Abstract
There is a trend to find new ways of using photocatalysis in order to synthesize valuable products or to control or track live processes with special fluorescence-based molecular probes. The paper presents some results concerning new photochemical properties of azidoaniline, its 7-nitrobenzofurazan (NBD) derivative and ciprofloxacin derivatives.
1. Introduction
Over the last few decades researchers have studied incorporation of antibacterial agents into composite polymeric materials in order to achieve effective inhibition of bacterial growth. Ciprofloxacin is a broad-spectrum antibiotic effective against plenty Gram-positive and Gram-negative bacteria and it has many functional groups which can be modified. Its hydrophobic derivatives can be used as fluorescent photo-initiators showing antimicrobial properties [1,2,3]. In this work, the photopolymerization of acrylamide using a hydrophobic CPF derivative as an initiator was performed.
NBD compounds can give off fluorescence; consequently, they are employed as molecular probes and potentially can be utilized in disease diagnostics. However, their photochemistry is not sufficiently described. In biochemical studies, a combination of fluorescent properties with different effects of functional groups which may modify characteristics of fluorescence is a promising way to design drugs. Here, different properties of para-azidoaniline and its NBD derivative were discovered.
Moreover, NBD compounds can be applied as prodrugs and fluorescent probes for enzyme analysis [4]. An interaction of NBD derivatives with plasma proteins is being examined for their potential to bind with these proteins in order to transfer through organism tissues and living systems with the help of blood plasma [5].
The recent studies show that NBD compounds are potentially able to cross biological membranes, while they can be linked to proteins important for metabolism such as cytochrome P450 (e.g., see [6]).
2. Materials and Methods
The following methods and tools were used: UV light source (maximum at 365 nm), Blue LED light source (maximum at 450 nm), Gaussian 09W software (HF/STO-3G and b3lyp/6-31+g(d,p) theory levels, as indicated below), Autodock Vina [7], FYTdock [8], spectrofluorometer (CM 2203, Solar, Gomel, Belarus), spectrophotometer (PB 2201, Solar, Belarus), thin-layer chromatography (Sorbfil), mass-spectrometry (LCMS 2020, Shimadzu, Columbia, MD, USA), pharmaceutical substance of CPF hydrochloride (Zhejiang LangHua Pharmaceutical Co., Ltd., Linhai, China), hexanoyl acid anhydride, triethylamine (Sigma-Aldrich, Burlington, MA, USA), methanol and acetonitrile (HPLC quality, Merck, Darmstadt, Germany), chloroform, DMSO, acrylamide, N,N’-methylene-bis-acrylamide, DCC, NBD-chloride, NaHCO3, 97% hexyne-1, para-azidoaniline, and CuI. Synthesis of hexanoyl derivative of CPF was performed according to [3] and confirmed using LC-MS.
3. Results and Discussion
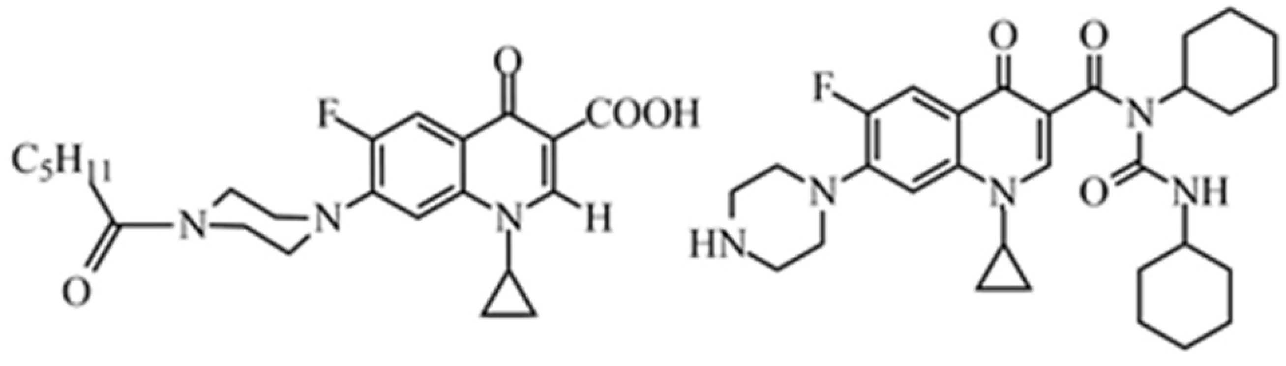
Ciprofloxacin (CPF) is known to emit blue fluorescence as well as to generate free radicals during photoexcitation due to the presence of acetophenone fragments. In this way CPF and its derivatives can be used as initiators for radical photopolymerization [9,10]. CPF is very soluble in water; therefore, its modification with hydrophobic groups allows production of amphiphilic fluorescent initiators of photopolymerizations. CPF, CPF-Hex and CPF-DCC (Figure 1) were synthesized using hexanoic anhydride and dicyclohexyl carbodiimide, respectively, with yields of 90% and 30%, respectively. TLC Rf values amounted to 0.7 for CPF-DCC and 0.8 for CPF-Hex; 5:1 acetone/acetic acid solvent was used as eluent.
Figure 1.
CPF-Hex (on the left) and CPF-DCC (on the right) structures.
A three-dimensional grid structure forming a stable aqua gel with UV-induced blue fluorescence of CPF-Hex was produced as a result of 365 nm UV light exposure of acrylamide and N,N’-methylene-bis-acrylamide mixture laced with 1% hexanoyl CPF derivative (CPF-Hex) in water-methanol solution, proving the ability of CPF-Hex to be a polymerization photo-initiator.
Similar conversions were monitored for CPF-DCC and also reported for methylmethacrylates [3]. The 0.5% pyridine or triethylamine were essential as co-initiators. Polyacrylamide gels were formed during polymerization of 0.1 g/mL acrylamide aqueous solution with the presence of tiny amounts of bifunctional crosslinking agent (0.005 g/mL N,N’-methylene-bis-acrylamide). An example of such gel formation is shown in Figure 2a.
Figure 2.
Absorbance spectrum of CPF-Hex transferred into aqueous solution after 8 washings within 240 min (incubation time was 30 min), (a)—gel formed after UV light exposure of the acrylamide and N,N’-methylene-bis-acrylamide mixture laced with CPF and CPF-DCC initiators in water; (b)—the mixture under consideration without UV light exposure.
Multiple washing with equal volumes of water permitted the construction of a CPF-Hex release from gel curve which shows that mostly CPF-Hex is quickly released; hence it is not covalently linked to the matrix (Figure 2).
On the other hand, the gel showed trace blue fluorescence, so it was suggested that CPF-Hex was retained inside the gel partially but strongly due to, e.g., covalent bond formation at an initial photopolymerization step.
Dealing with the 7-nitrobenzofurazan p-azidoaniline (NBD-AzAn) derivative, reactions between the compound and hexyne-1 were performed using both CuI as catalyst ([3+3] azide-alkyne cycloaddition, classical “click chemistry” reaction) without UV light exposure and vice versa (based on known photo-crosslinking properties of phenylazide derivatives). NBD-AzAn synthesis was performed at room temperature by mixing para-azidoaniline with NBD-chloride laced with NaHCO3 in a solution of acetonitrile-methanol (2:1) followed by SiO2 column chromatography. Synthesis of triazole (Figure 3, 2) was performed by mixing NBD-AzAn (Figure 3, 1) with an excess of hexyne-1 using CuI as a catalyst followed by TLC analysis confirming formation of the triazole (Figure 3, 2) as a single product. The products molecular weight were confirmed using LCMS.
Figure 3.
Click modification of NBD-AzAn proving azide group in its structure and possibility for further functionalization using CuAAC.
UV irradiation of the mixture of NBD-AzAn and hexyne-1 yielded a transient formation of a yellow fluorescent product, whereas the copper-catalyzed click reaction gave a purple triazole compound (Figure 3). Changes in absorbance and fluorescence spectra in various solvents were estimated (absorbance maximum in methanol is at 478 nm).
To evaluate biological properties of the compound we used an inverse high-throughput virtual screening using Autodock Vina [7] and a helper tool FYTdock [8]. A total of 450 randomly chosen PDB structures of cytochrome P450 were used because the enzymes are known to reduce organic azides in hypoxic conditions and based on our experience in using dockings to evaluate protein-ligand interactions [5]. Docking results revealed 55 hits with binding energy values from −11.3 to −9.9 kcal/mol and complexes with structures PDB 6DWN, 6UDM (CYP1A1), 6CIZ, 6WW (CYP17), and 3TDA (CYP2D6).
A hypothetical scheme of pathways of photoinduced NBD-AzAn reactions is given based on literature data (Figure 4) was performed in 97% hexyne-1 solution using blue LED light exposure. The reference methanol sample exposed to UV light after 30 min of the experiment did not gain any fluorescent properties (Figure 5a). An amount of 160 mkM NBD-AzAn solution in 97% hexyne-1 was studied (Figure 5b); the stock solution of 1 mg/mL NBD-AzAn was prepared by dissolving dry pure substance in acetonitrile. Twenty mkL of the stock solution was added to the 400 mkL of hexyne-1. The methanol solution of the substance was prepared the same way from the same stock solution as described above and used as a reference sample (Figure 5a). Further, an extra test was performed for NBD-AzAn in 97% hexyne-1; the solution was placed in another vial with no light exposure. In the first 5–7 min, yellow fluorescence of the test solution exposed to UV light was increasing (Figure 5b). The experiment lasted for 30 min. The reference sample was left for 24 h unexposed to UV light in 97% hexyne-1; no fluorescence in blue light was observed.
Figure 4.
The scheme of a set of theoretically possible photoinduced reactions for azidoaniline and its NBD derivative.
Figure 5.
Photos of the samples under investigation showing formation of a product with yellow fluorescence in the case of NBD-AzAn (b), but not NBD- ethynylaniline, blue light exposure then it is in hexyne-1 solvent. a—methanol and NBD-AzAn; b—hexyne-1 and NBD-AzAn; c—hexyne-1; d—hexyne-1 and NBD-ethynylaniline; e—hexyne-1 and 3-ethynylaniline. In each box 450 nm blue light exposed samples are on the right, whereas control not-irradiated samples are on the left; signatures indicate photography conditions: blue 450 nm lamp light with blue light (yellow) photo-filter, Vis—common light.
The corresponding experiments were performed in 97% hexyne-1 solution using blue LED light exposure. The reference methanol sample exposed to UV light after 30 min of the experiment did not gain any fluorescent properties (Figure 5a). An amount of 160 mkM NBD-AzAn solution in 97% hexyne-1 was studied (Figure 5b); the stock solution of 1 mg/mL NBD-AzAn was prepared by dissolving dry pure substance in acetonitrile. Twenty mkL of the stock solution were added to the 400 mkL of hexyne-1. The methanol solution of the substance was prepared the same way from the same stock solution as described above and used as a reference sample (Figure 5a). Further, an extra test was performed for NBD-AzAn in 97% hexyne-1; the solution was placed in another vial with no light exposure. In the first 5–7 min, yellow fluorescence of the test solution exposed to UV light was increasing (Figure 5b). The experiment lasted for 30 min. The reference sample was left for 24 h unexposed to UV light in 97% hexyne-1; no fluorescence in blue light was observed. Another reference test was held when the same preparation and exposure scheme was used for NBD-ethynylaniline (Figure 5d,e). None of the three samples showed fluorescence by the end of the experiment. Moreover, 97% hexyne-1 was not fluorescent after visible light exposure (Figure 5c).
In addition to the photoinduced radical processes with nitrene intermediate [11], it is highly possible that click reactions similar to the copper-catalyzed ones (Figure 3) may occur under the influence of light. DFT calculations analysis demonstrated that presence of the NBD fragment had almost no influence on the Gibbs reaction energy values. DFT calculations were performed using b3lyp/6-31+g(d,p) theory level; the Gibbs energy value obtained for S0 state amounted to −1070.090218 a.u for NBD-AzAn and −451.144638 a.u. for para-azidoaniline. Theoretical Gibbs energy values calculated using HF/STO-3G theory level in vacuum for the click interactions with para-azidoaniline and its NBD derivative (Figure 3, Table 1) amounted to −0.162339 И −0.163499 a.u.; consequently, the NBD derivative has almost no influence on the Gibbs reaction energy in this particular case. The click chemistry of NBD-AzAn and para-azidoaniline can be successfully applied in the field of medicinal chemistry where this approach is used for the design of triazole functional compounds frequently playing a pharmacophore role in drugs. In addition, click interactions are applied in lead-compound searches, in bioconjugation proteomic strategies and in DNA studies [12]. Click reactions, honored by the 2022 Nobel Prize, are held in physiological conditions, although copper toxicity might limit their usage [13].
Table 1.
The theoretically-calculated Gibbs reaction energy values (a.u.) of the formation of the products from the reactants designated in Figure 4.
Azidoaniline photolysis was studied in acetonitrile and methanol using UV-Vis spectroscopy (Figure 6), resulting in monitoring of a red fluorescent product formation in the first case (Figure 6, I, II).
Figure 6.
The fluorescence emission spectra of para-azidoaniline sample in progress during 18 h of its UV-driven photolysis in methanol (excitation at 460 nm). I—red fluorescence of the test solution in UV light; II—TLC of the test solution in UV light.
To evaluate biological properties of the compound we used an inverse high-throughput virtual screening using Autodock Vina [7] and a helper tool FYTdock [8]. A total of 450 randomly chosen PDB structures of cytochrome P450 were used because the enzymes are known to reduce organic azides in hypoxic conditions and based on our experience in using dockings to evaluate protein-ligand interactions [5]. Docking results revealed 55 hits for NBD-AzAn with binding energy values from −11.3 to −9.9 kcal/mol and complexes with structures PDB 6DWN, 6UDM (CYP1A1), 6CIZ, 6WW (CYP17), and 3TDA (CYP2D6).
4. Conclusions
It was found that the CPF itself, N-hexanoyl (CPF-Hex) and some other derivatives of ciprofloxacin exhibit the properties of a photo-initiator of polymerization under UV light (365 nm) on the model system of aqueous alcoholic solutions of acrylamide and N,N’-methylene-bis-acrylamide, and that part of the CPF-Hex molecule is capable to bind tightly with the polymer gel.
A new visible light-induced interaction and the click process yielding a purple product between alkyne and azide were performed. Revealed transformations were partially characterized with quantum-chemical calculations and photometry. The photolysis of para-azidoaniline in methanol was performed and resulted in a red fluorescent product. Clarification of the molecular basis of these processes may allow for the design of new molecular probes or agents for photodynamic therapy. Docking demonstrated ability of NBD-AzAn to bind affinely with cytochromes P450 CYP17A1, 1A1, 2D6.
Author Contributions
Conceptualization, Y.V.F., V.S.K., L.I.G., K.N.B. and Y.A.P.; writing—original draft preparation, V.S.K. and L.I.G.; writing—review and editing, Y.V.F.; supervision, V.M.S. and S.V.K. All authors have read and agreed to the published version of the manuscript.
Funding
The work was supported governmental grants of republic of Belarus No. of registration 20210560, No. 20220695 and a personal grant of Wargaming.net to V.S.K.
Institutional Review Board Statement
Not applicable.
Informed Consent Statement
Not applicable.
Data Availability Statement
Not applicable.
Conflicts of Interest
The authors declare no conflict of interest.
References
- William, C.; Navarro, M.; Biot, C. Medicinal Potential of Ciprofloxacin and Its Derivatives. Future Med. Chem. 2013, 5, 81–96. [Google Scholar]
- Zhang, R.; Jones, M.M.; Moussa, H.; Keskar, M.; Huo, N.; Zhang, Z.; Visser, M.B.; Sabatini, C.; Swihart, M.T.; Cheng, C. Polymer–Antibiotic Conjugates as Antibacterial Additives in Dental Resins. Biomater. Sci. 2019, 7, 287–295. [Google Scholar] [CrossRef] [PubMed]
- Bardakova Kseniia, N.; Faletrov, Y.V.; Epifanov, E.O.; Minaev, N.V.; Kaplin, V.S.; Piskun, Y.A.; Koteneva, P.I. A Hydrophobic Derivative of Ciprofloxacin as a New Photoinitiator of Two-Photon Polymerization: Synthesis and Usage for the Formation of Biocompatible Polylactide-Based 3D Scaffolds. Polymers 2021, 13, 3385. [Google Scholar] [CrossRef] [PubMed]
- Jiang, C.; Huang, H.; Kang, X.; Yang, L.; Xi, Z.; Sun, H.; Pluth, M.D.; Yi, L. NBD-Based Synthetic Probes for Sensing Small Molecules and Proteins: Design, Sensing Mechanisms and Biological Applications. Chem. Soc. Rev. 2021, 50, 7335–7882. [Google Scholar] [CrossRef] [PubMed]
- Faletrov Yaroslav, V.; Karpushenkova, V.S.; Zavalinich, V.A.; Yakovets, P.S.; Shkredava, A.D.; Shkumatov, V.M. Interaction of Nitrobenzoxadiazole Derivatives of Piperazine and Aniline with Bovine Serum Albumine in Silico and in Vitro. J. Belarusian State Univ. Chem. 2021, 2, 25–35. [Google Scholar] [CrossRef]
- Faletrov, Y.V.; Pozniak, H.I.; Yakovets, P.S.; Frolova, N.S.; Shkumatov, V.M. New lipophilic conjugates of fluorescent NBD-piperazine: Synthesis, in silico interactions with lipid bilayer and cytochromes P450. Proc. Natl. Acad. Sci. Belarus Chem. Ser. 2022, 58, 62–67. [Google Scholar] [CrossRef]
- Trott, O.; Olson, A.J. AutoDock Vina: Improving the Speed and Accuracy of Docking with a New Scoring Function, Efficient Optimization, and Multithreading. J. Comput. Chem. 2009, 31, 455–461. [Google Scholar] [CrossRef] [PubMed]
- Faletrov Yaroslav, V.; Staravoitava, V.A.; Dudko, A.R.; Shkumatov, V.M. Application of Docking-Based Inverse High Throughput Virtual Screening to Found Phytochemical Covalent Inhibitors of SARS-CoV-2 Main Protease, NSP12 and NSP16. 2022; preprint. in review. [Google Scholar]
- Soldevila, S.; Cuquerella, M.C.; Lhiaubet-Vallet, V.; Edge, R.; Bosca, F. Seeking the mechanism responsible for fluoroquinolone photomutagenicity: A pulse radiolysis, steady-state, and laser flash photolysis study. Free Radic. Biol. Med. 2014, 67, 417–425. [Google Scholar] [CrossRef] [PubMed]
- Vasconcelos Tibiriçá, G.; Henriques, D.M.; König, A.; Martins, A.F.; Kümmerer, И.K. Photo-Degradation of the Antimicrobial Ciprofloxacin at High PH: Identification and Biodegradability Assessment of the Primary by-Products. Chemosphere 2009, 76, 487–493. [Google Scholar] [CrossRef] [PubMed]
- Ankita, I.; Hommelsheim, R.; Cone, G.W.; Frings, M.; Petroff, J.T.; Bolm, C.; McCulla, R.D. Photochemistry of N -Phenyl Dibenzothiophene Sulfoximine. Photochem. Photobiol. 2021, 97, 1322–1334. [Google Scholar]
- Kolb, H.C.; Sharpless, K.B. The growing impact of click chemistry on drug discovery. Drug Discov. Today 2003, 8, 1128–1137. [Google Scholar] [CrossRef] [PubMed]
- Jiang, X.; Hao, X.; Jing, L.; Wu, G.; Kang, D.; Liu, X.; Zhan, P. Recent applications of click chemistry in drug discovery. Expert Opin. Drug Discov. 2019, 14, 779–789. [Google Scholar] [CrossRef]
Disclaimer/Publisher’s Note: The statements, opinions and data contained in all publications are solely those of the individual author(s) and contributor(s) and not of MDPI and/or the editor(s). MDPI and/or the editor(s) disclaim responsibility for any injury to people or property resulting from any ideas, methods, instructions or products referred to in the content. |
© 2022 by the authors. Licensee MDPI, Basel, Switzerland. This article is an open access article distributed under the terms and conditions of the Creative Commons Attribution (CC BY) license (https://creativecommons.org/licenses/by/4.0/).





