Next Article in Journal
New Quinoxaline-1,4-Dioxides Derived from Beirut Reaction of Benzofuroxane with Active Methylene Nitriles
Previous Article in Journal
Evaluation of Reactivity (pKa) of Substituted Aromatic Diamines, Monomers for Polyamides Synthesis, via Nuclear Magnetic Resonance, NMR-1H
 
 
Font Type:
Arial Georgia Verdana
Font Size:
Aa Aa Aa
Line Spacing:
Column Width:
Background:
Proceeding Paper

6-Amino-4-Aryl-3-Carbamoyl-5-Cyano-1,4-Dihydropyridine-2-Thiolates: Synthesis, Reactions and Docking Studies †

by
Nawras T. Jassim
1,
Victor V. Dotsenko
1,2,3,* and
Nicolai A. Aksenov
3
1
Department of organic chemistry and technologies, Kuban State University, 149 Stavropolskaya str, 350040 Krasnodar, Russia
2
ChemEx Lab, Vladimir Dal’ Lugansk National University, 20A/7 Molodezhny, 91034 Lugansk, Russia
3
Department of Chemistry, North Caucasus Federal University, 1a Pushkin St., 355009 Stavropol, Russia
*
Author to whom correspondence should be addressed.
Presented at the 24th International Electronic Conference on Synthetic Organic Chemistry, 15 November–15 December 2020; Available online: https://ecsoc-24.sciforum.net/.
Chem. Proc. 2021, 3(1), 13; https://doi.org/10.3390/ecsoc-24-08394
Published: 14 November 2020

Abstract

:
New triethylammonium 6-amino-4-aryl-3-carbamoyl-5-cyano-1,4-dihydropyridine-2-thiolates were prepared in good yields by the ternary condensation of malononitrile, aldehydes and monothiomalonamide in the presence of Et3N. The thiolates underwent S-alkylation under mild conditions to produce new 1,4-dihydronicotinamides. Molecular docking studies were carried out in order to explore the interaction mechanism and to investigate suitable binding modes of the new compounds on the calcium channel proteins. Some of the compounds in the in silico experiments were found to be more potent as calcium channel blockers than the reference drug, Nifedipine.

Published: 14 November 2020

1. Introduction

1,4-Dihydropyridines, usually readily available through Hantzsch synthesis, have been known for a long time as compounds of practical interest, primarily as cardioprotectors, HIV-1 protease inhibitors and calcium channel blockers (for reviews, see [1,2,3,4,5,6,7]). Much less is known about sulfur-containing 1,4-dihydropyridine-3-carboxamides, which are expected to have biological activity. The general route for these compounds is based on the Hantzsch-type ternary reaction of monothiomalonamides with aldehydes and methylene active compounds (Scheme 1). The methods for the synthesis of 2-(R-thio)-1,4-nicotinamides were reported in [8,9,10,11,12]. In continuation of our studies on the chemistry of functionalized pyridines, we decided to prepare new 1,4-dihydropyridine-3-carboxamides starting from monothiomalonamide 1 (R = H) (3-amino-3-thioxopropanamide, thiocarbamoylacetamide) and malononitrile.

2. Results and Discussion

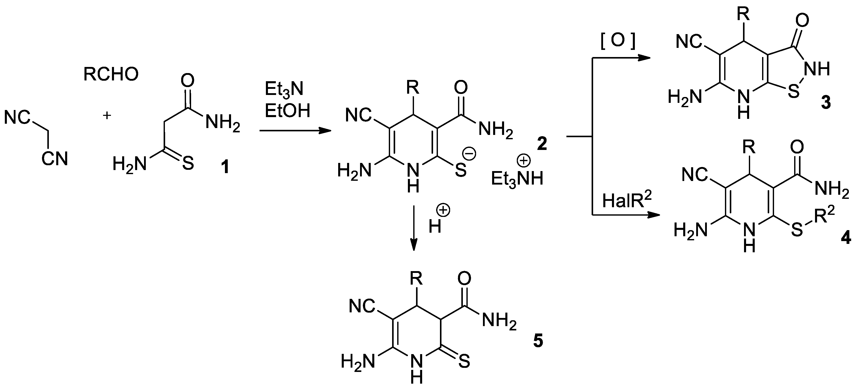
We found that new triethylammonium 6-amino-4-aryl-3-carbamoyl-5-cyano-1,4-dihydropyridine-2-thiolates 2 can be prepared in 80–91% yields by the ternary condensation of malononitrile, aldehydes and monothiomalonamide 1 in the presence of Et3N (Scheme 2). The reactions of the thiolates 2 were investigated. Thus, the oxidation under mild conditions afforded isothiazolopyridines 3, and S-alkylation with reactive halides produced 2-(S-alkyl)-1,4-dihydronicotinamides 4 in 50–80% yields. The acidification of salts led to the formation of tetrahydropyridines 5 in almost quantitative yields.
Some of the prepared compounds were studied in silico for possible cardioprotecting effects. Molecular docking study was carried out using the Autodock vina program (version 1.5.6) and MOE software in order to explore the interaction mechanism and to investigate suitable binding modes of compounds 24 on the calcium channel proteins. The crystal structure of calcium channel blocker alpha 1 was retrieved from the RSCB Protein Data Bank (PDB ID: 3LV3). Binding energy calculations were performed on the compound with the best results for 4a (Figure 1), which had a good docking score and H-bond interaction.
The binding energy of active compound 4a was found to be −9.3 kcal/mol, and the binding energy of the other selected active compound, 4b, was −8.9 kcal/mol. These compounds had lower binding energies than combating with the (3LV3) receptor. The compounds, which had hydrogen bond interactions with ARG 239, ASP 238 and TYR 209 active residues, showed the lowest binding energies. This implies that the active site residues, ASP, ARG and TYR, are more favorable compared to the binding with 3LV3 protein. It is noteworthy that Nifedipine, a known trading cardioprotecting drug used as the reference in the similar calculations, showed a binding energy of only −6.2 kcal/mol.
The more negative value of binding energy demonstrated a higher binding affinity. ARG and TYR (negatively charged residues) formed hydrogen bonds with the NH group for all compounds; compound 4a was the best with a strong hydrogen bond (distance C-O...H 2.4 Å) as compared to compound 4b. Figure 2, Figure 3, Figure 4 and Figure 5 show the predicted interaction of compound 4a,b with 3LV3 protein.

3. Experimental

3.1. Preparation of Triethylammonium 6-Amino-4-aryl-3-carbamoyl-5-cyano-1,4-dihydropyridine-2-thiolates 2. General Procedure

A mixture of the corresponding aromatic aldehyde (7.6 mmol) with monothiomalonamide (0.89 g and 7.6 mmol), malononitrile (0.5 g, 7.6 mmol) and 1.6 mL of triethylamine in ethanol (10 mL) was stirred at room temperature (RT) for 0.5 h. A light yellow solid separated was filtered off, washed with acetone and air dried to produce thiolates 2 which were used without further purification. The yields were 80–91%.

3.2. Preparation of Compounds 5. General Procedure

A solution of the corresponding triethylammonium 6-amino-4-aryl-3-carbamoyl-5-cyano-1,4-dihydropyridine-2-thiolate 2 (5 mmol) in 70% aq. EtOH was carefully treated with HCl to adjust pH to 3.0. The yellow powder or crystals were filtered off to produce corresponding tetrahydronicotinamide 5 in 90–95% yields. As an example, X-ray and spectroscopic data for selected compound 5b (R = 2-ClC6H4) are shown in Figure 6, Figure 7 and Figure 8.

Author Contributions

Conceptualization, N.T.J., V.V.D.; methodology, V.V.D..; calculations, N.T.J.; analysis, N.A.A.; investigation, N.T.J., V.V.D..; resources, N.T.J., V.V.D., N.A.A.; writing—original draft preparation, V.V.D.; writing—review and editing, V.V.D.; supervision, V.V.D.; funding acquisition, V.V.D. All authors have read and agreed to the published version of the manuscript.

Funding

The research was carried out with the financial support of the Kuban Science Foundation, scientific project No. MFI-20.1-26/20.

Conflicts of Interest

The authors declare no conflict of interest.

References

  1. Safak, C.; Simsek, R. Fused 1,4-dihydropyridines as potential calcium modulatory compounds. Mini Rev. Med. Chem. 2006, 6, 747–755. [Google Scholar] [CrossRef] [PubMed]
  2. Hilgeroth, A. Dimeric 4-Aryl-1,4-dihydropyridines: Development of a third class of nonpeptidic HIV-1 protease inhibitors. Mini Rev. Med. Chem. 2002, 2, 235–245. [Google Scholar] [CrossRef] [PubMed]
  3. Triggle, D.J. 1, 4-Dihydropyridines as calcium channel ligands and privileged structures. Cell. Mol. Neurobiol. 2003, 23, 293–303. [Google Scholar] [CrossRef] [PubMed]
  4. Triggle, D.J.; Langs, D.A.; Janis, R.A. Ca2+ channel ligands: Structure-function relationships of the 1,4-dihydropyridines. Med. Res. Rev. 1989, 9, 123–180. [Google Scholar] [CrossRef] [PubMed]
  5. Wan, J.P.; Liu, Y. Recent advances in new multicomponent synthesis of structurally diversified 1,4-dihydropyridines. RSC Adv. 2012, 2, 9763–9777. [Google Scholar] [CrossRef]
  6. Sharma, V.K.; Singh, S.K. Synthesis, utility and medicinal importance of 1,2-& 1,4-dihydropyridines. RSC Adv. 2017, 7, 2682–2732. [Google Scholar] [CrossRef]
  7. Triggle, D.J. The 1,4-dihydropyridine nucleus: A pharmacophoric template part 1. Actions at ion channels. Mini Rev. Med. Chem. 2003, 3, 215–223. [Google Scholar] [CrossRef] [PubMed]
  8. Krauze, A.; Popelis, J.; Duburs, G. Efficient regioselective one-pot synthesis of partially hydrogenated thiazolo [3, 2-a] pyridines. Tetrahedron 1998, 54, 9161–9168. [Google Scholar] [CrossRef]
  9. Krauze, A.; Liepinsh, E.; Vilums, M.; Duburs, G. A new regioselective synthesis of 2-methoxymethyl-3-oxo-2,3-dihydro-7H-thiazolo [3,2-a]pyridine-8-carboxylic acid methylamide. Chem. Heterocycl. Compd. 2009, 45, 250–252. [Google Scholar] [CrossRef]
  10. Krauze, A.; Viļums, M.; Sīle, L.; Duburs, G. Alternative products in one-pot reaction of benzylidenemalononitrile, N-methyl-2-thiocarbamoylacetamide, and ω-bromoacetophenone. Chem. Heterocycl. Compd. 2007, 43, 653–657. [Google Scholar] [CrossRef]
  11. Krauze, A.; Vilums, M.; Sīle, L.; Duburs, G. Alternative Products in One-Pot Reaction of Benzylidene-Malononitrile, Thiocarbamoylacetamide And Alkyl Halides. Heterocycl. Commun. 2009, 15, 239–244. [Google Scholar] [CrossRef]
  12. Dotsenko, V.V.; Krivokolysko, S.G.; Litvinov, V.P. The Mannich reaction in the synthesis of N, S-containing heterocycles 12. First example of aminomethylation involving 2-thioxonicotinamide derivative: Synthesis of 3,5,7,11-tetraazatricyclo [7.3.1.02,7]tridec-2-ene-9-carboxamides. Russ. Chem. Bull. 2012, 61, 136–140. [Google Scholar] [CrossRef]
Scheme 1. The preparation of 1,4-dihydronicotinamides from monothiomalonamide.
Scheme 1. The preparation of 1,4-dihydronicotinamides from monothiomalonamide.
Chemproc 03 00013 sch001
Scheme 2. Synthesis and reactions of thiolates 2.
Scheme 2. Synthesis and reactions of thiolates 2.
Chemproc 03 00013 sch002
Figure 1. The structures of the most active (according to docking studies) compound 4a,b.
Figure 1. The structures of the most active (according to docking studies) compound 4a,b.
Chemproc 03 00013 g001
Figure 2. Three-dimensional interaction pose of compound 4b in the active site of the protein (pdb:3LV3).
Figure 2. Three-dimensional interaction pose of compound 4b in the active site of the protein (pdb:3LV3).
Chemproc 03 00013 g002
Figure 3. Two-dimensional interaction pose of compound 4b with amino acids of the active site of 3LV3 protein.
Figure 3. Two-dimensional interaction pose of compound 4b with amino acids of the active site of 3LV3 protein.
Chemproc 03 00013 g003
Figure 4. Three-dimensional interaction pose of compound 4a in the active site of the protein (pdb:3LV3).
Figure 4. Three-dimensional interaction pose of compound 4a in the active site of the protein (pdb:3LV3).
Chemproc 03 00013 g004
Figure 5. Two-dimensional interaction pose of compound 4a with amino acids of the active site of 3LV3 protein.
Figure 5. Two-dimensional interaction pose of compound 4a with amino acids of the active site of 3LV3 protein.
Chemproc 03 00013 g005
Figure 6. The structure of compound 5b (X-ray data).
Figure 6. The structure of compound 5b (X-ray data).
Chemproc 03 00013 g006
Figure 7. NMR 1H spectrum (400 MHz, DMSO-d6) of compound 5b.
Figure 7. NMR 1H spectrum (400 MHz, DMSO-d6) of compound 5b.
Chemproc 03 00013 g007
Figure 8. NMR 13C DEPTQ spectrum (101 MHz, DMSO-d6) of compound 5b.
Figure 8. NMR 13C DEPTQ spectrum (101 MHz, DMSO-d6) of compound 5b.
Chemproc 03 00013 g008
Publisher’s Note: MDPI stays neutral with regard to jurisdictional claims in published maps and institutional affiliations.

Share and Cite

MDPI and ACS Style

Jassim, N.T.; Dotsenko, V.V.; Aksenov, N.A. 6-Amino-4-Aryl-3-Carbamoyl-5-Cyano-1,4-Dihydropyridine-2-Thiolates: Synthesis, Reactions and Docking Studies. Chem. Proc. 2021, 3, 13. https://doi.org/10.3390/ecsoc-24-08394

AMA Style

Jassim NT, Dotsenko VV, Aksenov NA. 6-Amino-4-Aryl-3-Carbamoyl-5-Cyano-1,4-Dihydropyridine-2-Thiolates: Synthesis, Reactions and Docking Studies. Chemistry Proceedings. 2021; 3(1):13. https://doi.org/10.3390/ecsoc-24-08394

Chicago/Turabian Style

Jassim, Nawras T., Victor V. Dotsenko, and Nicolai A. Aksenov. 2021. "6-Amino-4-Aryl-3-Carbamoyl-5-Cyano-1,4-Dihydropyridine-2-Thiolates: Synthesis, Reactions and Docking Studies" Chemistry Proceedings 3, no. 1: 13. https://doi.org/10.3390/ecsoc-24-08394

APA Style

Jassim, N. T., Dotsenko, V. V., & Aksenov, N. A. (2021). 6-Amino-4-Aryl-3-Carbamoyl-5-Cyano-1,4-Dihydropyridine-2-Thiolates: Synthesis, Reactions and Docking Studies. Chemistry Proceedings, 3(1), 13. https://doi.org/10.3390/ecsoc-24-08394

Article Metrics

Back to TopTop