Data-Driven Spatio-Temporal Modelling and Optimal Sensor Placement for a Digital Twin Set-Up †
Abstract
:1. Introduction
2. Methodology
2.1. Training Data-Set and Greenhouse CFD Simulations
2.2. Proper Orthogonal Decomposition
2.3. Reconstruction from Sparse Measurement
2.4. QR Pivoting for Sparse Sensor Placement
3. Results and Discussion
3.1. Flow Reconstruction from Sensor Placement for Test Data
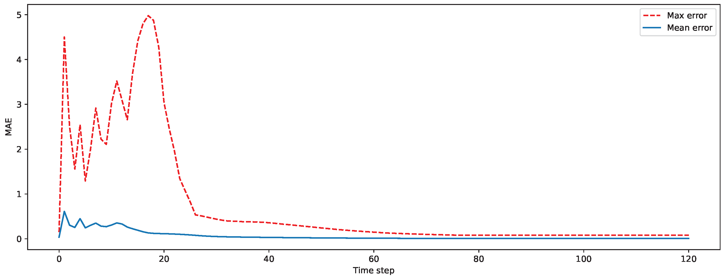
3.2. Flow Reconstruction of Velocity Using LSTM-POD ROM
4. Conclusions
Author Contributions
Funding
Institutional Review Board Statement
Informed Consent Statement
Data Availability Statement
Acknowledgments
Conflicts of Interest
References
- Rasheed, A.; San, O.; Kvamsdal, T. Digital Twin: Values, Challenges and Enablers from a modeling perspective. IEEE Access 2020, 8, 21980–22012. [Google Scholar] [CrossRef]
- Donoho, D. Compressed sensing. IEEE Trans. Inf. Theory 2006, 52, 1289–1306. [Google Scholar] [CrossRef]
- Manohar, K.; Brunton, B.W.; Kutz, J.N.; Brunton, S.L. Data-Driven Sparse Sensor Placement for Reconstruction: Demonstrating the Benefits of Exploiting Known Patterns. IEEE Control Syst. Mag. 2018, 38, 63–86. [Google Scholar] [CrossRef]
- Pawar, S.; Ahmed, S.E.; San, O.; Rasheed, A. Data-driven recovery of hidden physics in reduced order modeling of fluid flows. Phys. Fluids 2020, 32, 036602. [Google Scholar] [CrossRef]
- Ahmed, S.E.; Pawar, S.; San, O.; Rasheed, A.; Tabib, M. A nudged hybrid analysis and modeling approach for realtime wake-vortex transport and decay prediction. Comput. Fluids 2021, 221, 104895. [Google Scholar] [CrossRef]
- Tabib, M.V.; Pawar, S.; Ahmed, S.E.; Rasheed, A.; San, O. A non-intrusive parametric reduced order model for urban wind flow using deep learning and Grassmann manifold. J. Phys. Conf. Ser. 2021, 2018, 012038. [Google Scholar] [CrossRef]









Disclaimer/Publisher’s Note: The statements, opinions and data contained in all publications are solely those of the individual author(s) and contributor(s) and not of MDPI and/or the editor(s). MDPI and/or the editor(s) disclaim responsibility for any injury to people or property resulting from any ideas, methods, instructions or products referred to in the content. |
© 2023 by the authors. Licensee MDPI, Basel, Switzerland. This article is an open access article distributed under the terms and conditions of the Creative Commons Attribution (CC BY) license (https://creativecommons.org/licenses/by/4.0/).
Share and Cite
Tabib, M.; Skare, K.; Bruaset, E.; Rasheed, A. Data-Driven Spatio-Temporal Modelling and Optimal Sensor Placement for a Digital Twin Set-Up. Eng. Proc. 2023, 39, 98. https://doi.org/10.3390/engproc2023039098
Tabib M, Skare K, Bruaset E, Rasheed A. Data-Driven Spatio-Temporal Modelling and Optimal Sensor Placement for a Digital Twin Set-Up. Engineering Proceedings. 2023; 39(1):98. https://doi.org/10.3390/engproc2023039098
Chicago/Turabian StyleTabib, Mandar, Kristoffer Skare, Endre Bruaset, and Adil Rasheed. 2023. "Data-Driven Spatio-Temporal Modelling and Optimal Sensor Placement for a Digital Twin Set-Up" Engineering Proceedings 39, no. 1: 98. https://doi.org/10.3390/engproc2023039098
APA StyleTabib, M., Skare, K., Bruaset, E., & Rasheed, A. (2023). Data-Driven Spatio-Temporal Modelling and Optimal Sensor Placement for a Digital Twin Set-Up. Engineering Proceedings, 39(1), 98. https://doi.org/10.3390/engproc2023039098

