Next Article in Journal
Enhancing Predictive Accuracy Under Data Scarcity: Modeling Molecular Interactions to Describe Sealing Material Compatibility with Bio-Hybrid Fuels
Previous Article in Journal
Enhanced Cadmium Removal by Raw Argan Shell Adsorbent: Experimental and Theoretical Investigations for Ecological Applications
 
 
Font Type:
Arial Georgia Verdana
Font Size:
Aa Aa Aa
Line Spacing:
Column Width:
Background:
Review

Polystyrene–Carbon Nanotube Composites: Interaction Mechanisms, Preparation Methods, Structure, and Rheological Properties—A Review

1
Dipartimento di Matematica e Fisica, Università degli Studi della Campania “Luigi Vanvitelli”, 81100 Caserta, Italy
2
Dipartimento di Ingegneria, Università degli Studi della Campania “Luigi Vanvitelli”, Via Roma 29, 81031 Aversa, Italy
3
Department of Physics, Government College University Faisalabad, Faisalabad 38000, Pakistan
*
Author to whom correspondence should be addressed.
Physchem 2025, 5(2), 14; https://doi.org/10.3390/physchem5020014
Submission received: 11 February 2025 / Revised: 9 March 2025 / Accepted: 1 April 2025 / Published: 3 April 2025
(This article belongs to the Section Nanoscience)

Abstract

This review focuses on the rheological behavior of polystyrene (PS) composites reinforced with carbon nanotubes (CNTs), providing an in-depth analysis of how CNT incorporation affects the viscosity, elasticity, and flow properties of these materials. The review covers fundamental aspects of PS and CNT structures, emphasizing their influence on the composite’s rheological properties. Key interaction mechanisms, including van der Waals forces and covalent bonding, are discussed for their role in determining material behavior. Various preparation methods, such as melt mixing, solution mixing, and in situ polymerization, are evaluated based on their impact on CNT dispersion and rheological performance. The study examines critical rheological parameters such as relative and complex viscosity, shear thinning, and elasticity, supported by theoretical models and experimental findings. The review also identifies major challenges, such as achieving uniform CNT dispersion and addressing processing limitations, while offering insights into future research directions aimed at improving the rheological performance and scalability of PS/CNT composites for advanced applications.

1. Introduction

Polymer composites have experienced significant development over the years, receiving increasing interest as versatile materials with various applications in several industries, e.g., construction, aerospace, automobiles, electronics, and medical fields [1]. Polymer composites are multifunctional materials with two or more different constituents, i.e., a polymer matrix and additives or reinforced fillers. These components synergistically merge to give rise to a new composite material with advanced and enhanced mechanical, electrical, and thermal properties compared to the original component [2].
The integration of carbon nanotubes (CNTs) into polymer matrices has revolutionized the field of material science, leading to the development of advanced composites with exceptional properties due to their unique cylindrical nanostructures composed of rolled-up graphene sheets, exhibiting extraordinary mechanical, electrical, and thermal properties. Polystyrene (PS), an extensively used thermoplastic polymer, is valued for its low cost, ease of processing, excellent electrical insulation properties, and chemical resistance, making it suitable for a wide range of applications from packaging materials to electronics. However, despite these advantages, PS has significant limitations, including relatively low mechanical strength, poor thermal stability, and limited electrical conductivity, which restrict its use in more demanding applications. To overcome these limitations, the incorporation of CNTs into PS matrices imparts remarkable mechanical reinforcement, improving thermal conductivity and electrical conductivity due to their high aspect ratio, strength, and conductive nature, making them highly suitable for demanding applications in aerospace, electronics, automotive, packaging, and other industrial sectors [3,4,5]. Rheology, broadly defined as the study of the deformation and flow behavior of materials, encompasses both liquid-like (viscous) and solid-like (elastic) responses, making it essential for understanding the behavior of polymer composites [5]. In the context of this review, the term “rheological properties” refers to key parameters such as viscosity, elasticity, shear-thinning behavior, storage modulus, and loss modulus, which dictate the processability and performance of CNT/PS composites. The addition of CNTs substantially alters the rheological behavior of the composite, such as increased viscosity, modified elasticity, and altered shear-thinning characteristics. These rheological changes have critical implications for the processing and ultimate performance of the material. In aerospace and automotive applications, where material strength and reliability are paramount, increased viscosity and elasticity can contribute to the development of stronger and more resilient components [6]. However, these same properties may complicate processing, requiring advanced techniques to achieve uniform CNT dispersion and prevent defects that could undermine the material’s integrity. In electronics and packaging, where precision and consistency are crucial, understanding and controlling these rheological properties is essential to ensure that the composites perform as intended. Therefore, a comprehensive understanding of the rheological behavior of CNT/PS composites is indispensable in their design and fabrication as it directly influences processability, performance, and reliability across these diverse and demanding applications [5,6,7].
Despite extensive research on PS/CNT composites, current reviews often lack a detailed analysis of how different CNT dispersion methods (e.g., melt mixing, solution mixing, in situ polymerization) influence both rheological and processing performance. Additionally, many studies do not thoroughly examine the interaction mechanisms, such as van der Waals forces and covalent bonding, which are crucial to understanding material behavior. While rheological parameters like complex viscosity, shear thinning, and elasticity have been explored, their precise relationships with CNT dispersion remain underexplored. Furthermore, challenges related to achieving uniform CNT dispersion and scalability are inadequately addressed.
This review paper fills these gaps by providing a comprehensive and systematic analysis of the rheological properties of PS/CNT composites, with a particular focus on the impact of CNT dispersion methods. It also covers the fundamentals of PS/CNT composites, including the structure and properties of PS, the characteristics of CNTs, and the interaction mechanisms between them, such as dispersion and entanglement. This paper examines various preparation methods for PS/CNT composites and provides a detailed discussion of critical rheological properties. By identifying existing challenges and proposing future research directions, this review offers a novel contribution to the field, enhancing the understanding of PS/CNT composites and paving the way for their scalability and practical applications.

2. Fundamentals of PS/CNT Composites

2.1. Structure and Properties of Polystyrene (PS)

Polystyrene (PS) is a widely used thermoplastic polymer composed of styrene monomers. Its amorphous structure makes it transparent, but the bulky phenyl groups along the polymer backbone restrict chain mobility, leading to brittleness. Syndiotactic PS (sPS), with its more ordered molecular arrangement, exhibits partial crystallinity, enhancing its mechanical strength and thermal stability. Commercial forms of PS, such as general purpose PS (GPPS), are transparent but fragile, suitable for optical components and packaging. High-impact PS (HIPS) incorporates rubber additives for increased toughness, making it ideal for automotive and consumer products. Foam-based expanded PS (EPS) and extruded PS (XPS) provide excellent thermal insulation and lightweight structural properties for applications in packaging and construction [8,9,10,11,12]. Despite these advantages, PS suffers from low thermal stability, weak mechanical strength, and poor electrical conductivity, which has driven the development of PS/CNT nanocomposites to improve these properties [3,5].

2.2. Structure and Characteristics of Carbon Nanotubes (CNTs)

Carbon nanotubes (CNTs) are cylindrical nanostructures formed by rolling graphene sheets, classified into single-walled (SWCNTs) and multi-walled (MWCNTs) varieties. Their sp2-hybridized carbon bonding results in exceptional mechanical strength, high electrical conductivity, and excellent thermal stability. Depending on their chirality, CNTs can exhibit metallic or semiconducting behavior, influencing their applications in various fields. In polymer matrices like PS, CNTs can significantly improve properties; however, their dispersion is a critical challenge. Due to strong van der Waals forces, CNTs tend to agglomerate, reducing their reinforcing efficiency. To overcome this, functionalization techniques are employed to improve CNT–polymer interactions and enhance their dispersion. Covalent functionalization introduces chemical groups that improve compatibility but may modify CNT conductivity. Non-covalent methods, such as polymer wrapping and surfactant-assisted dispersion, help preserve the electrical properties of CNTs while improving their uniform distribution in the matrix [13,14,15].
The addition of CNTs to PS significantly alters both the rheological properties and functional performance of the composite. From a rheological standpoint, the presence of CNTs introduces a network-like structure within the polymer matrix, which impacts the flow behavior of the composite during processing. At low CNT concentrations, the composite behaves like a typical polymer, with Newtonian flow. As CNT content increases, shear thinning behavior becomes more prominent due to the formation of CNT networks that restrict polymer chain mobility. This results in a notable increase in the viscosity and elasticity of the PS/CNT composite. The extent of these changes is highly dependent on the CNT loading, aspect ratio, dispersion quality, and interactions with the polymer matrix [16]. Dynamic rheological measurements show that the storage modulus (G′) and loss modulus (G″) of PS/CNT composites increase with CNT incorporation, indicating a shift towards more solid-like behavior [17]. The onset of this change correlates with the formation of a CNT network, which imparts structural integrity and reduces the ability of the polymer to flow under stress. At high CNT concentrations, this network structure alters the viscoelastic properties, increasing the composite’s resistance to deformation and better processability during molding and extrusion. The synergistic effect between CNTs and PS creates multifunctional composites with properties that extend well beyond those of the base polymer. The rheological changes induced by CNTs during processing are closely linked to the enhancements in the mechanical, electrical, and thermal performance of the material. As such, CNTs not only improve the composite’s strength and conductivity but also optimize its processability, enabling the production of more complex and durable components in a wide range of industries, including aerospace, automotive, electronics, and packaging [18,19].

2.3. Interaction Mechanisms Between Polystyrene (PS) and Carbon Nanotubes (CNT)

The interaction mechanisms between PS and CNT are integral to the performance of PS/CNT composites and are dictated by the physicochemical properties of both the polymer and the nanofiller. A comprehensive understanding of these interactions is essential for optimizing the composite’s mechanical, thermal, and electrical properties.

2.3.1. Van der Waals Forces

Van der Waals forces are the most fundamental type of interaction between polystyrene (PS) and carbon nanotubes (CNTs). These forces are weak electrostatic attractions that arise between molecules due to temporary dipoles that form as electrons move around within their orbitals. In the context of PS/CNT composites, these forces are primarily the result of interactions between the π-electrons in the aromatic phenyl rings of PS and the delocalized π-electron clouds on the surface of the CNTs. The CNTs’ extensive surface area, due to their high aspect ratio, allows for a substantial number of these interactions to occur simultaneously, which collectively contribute to a significant adhesive force between the PS matrix and the CNTs [20].
This interaction is crucial for the composite’s mechanical properties because, despite their weak individual strength, the cumulative effect of van der Waals forces can create a strong interfacial adhesion between the polymer chains and the CNTs. This adhesion facilitates stress transfer from the PS matrix to the CNTs, which is essential for improving the composite’s tensile strength and modulus. Additionally, these interactions help maintain the structural integrity of the composite by preventing CNT aggregation, which can lead to weak points and reduce the material’s overall performance. Therefore, van der Waals forces, although subtle, play a foundational role in enhancing the composite’s mechanical characteristics [5,21].

2.3.2. π-π Stacking Interactions

π-π stacking interactions represent a crucial class of non-covalent interactions in PS/CNT composites, stemming from the aromatic nature of both polystyrene (PS) and carbon nanotubes (CNTs). These interactions occur when the aromatic rings of the PS polymer align parallel to the graphene-like walls of the CNTs, facilitating overlap between the π-orbitals of the phenyl groups in PS and the π-electrons of the CNTs. This alignment results in a stable, attractive force between the polymer and the nanofiller, thereby enhancing interfacial adhesion beyond what is achievable through van der Waals forces alone [5,22]. It is important to note that the strength and efficacy of π-π stacking interactions are influenced by both the tacticity of the PS polymer and the structural characteristics of the CNTs. The tacticity of PS, which refers to the regularity of the spatial arrangement of its phenyl groups along the polymer backbone (e.g., atactic, isotactic, or syndiotactic), can significantly impact the extent to which the aromatic rings align with the CNT surface. In isotactic PS, where the phenyl groups are regularly aligned, the π-π stacking interactions with CNTs are likely to be more efficient compared to atactic PS, which exhibits a more random orientation of the phenyl groups that may be less favorable for optimal overlap with the CNT π-electrons. Consequently, the tacticity of PS plays a critical role in modulating the strength of these interactions, and by extension, the mechanical properties of the composite [5,23].
Additionally, the structural features of the CNTs, such as their chirality, diameter, and surface functionalization, also exert a significant influence on nature and strength of π-π stacking interactions. The alignment and spacing of the aromatic rings in PS may vary in their interaction efficiency depending on the curvature and other structural characteristics of the CNTs. For instance, CNTs with specific diameters or chiralities may promote stronger π-π stacking interactions due to more favorable spatial arrangements between the CNT surface and the phenyl groups of the polymer. Furthermore, the surface functionalization of CNTs can alter their electronic properties and surface chemistry, which may also impact the extent of π-π stacking interactions. When CNTs are well-dispersed within the PS matrix, π-π stacking interactions ensure a strong association between the polymer chains and the CNTs under mechanical stress. This enhanced interfacial interaction facilitates more efficient stress transfer, thereby improving the composite’s tensile strength and stiffness [24,25]. Moreover, the presence of strong π-π interactions reduces the mobility of the polymer chains near the CNTs, contributing to an increase in the rigidity and resistance to deformation of the composite material [26]. Thus, π-π stacking interactions are a key mechanism that reinforces the composite, improving its mechanical properties and durability under load.

2.3.3. Covalent Bonding

Covalent bonding, although less prevalent in non-functionalized polystyrene/carbon nanotube (PS/CNT) composites, represents a more robust and permanent form of interfacial interaction. This bonding occurs when CNTs undergo chemical functionalization, introducing reactive groups capable of forming covalent linkages with PS chains. Functionalization typically involves the attachment of carboxyl (-COOH), hydroxyl (-OH), amine (-NH2), or silane groups to the CNT surface, which can then participate in specific chemical reactions with the PS matrix during composite fabrication. For instance, carboxyl (-COOH) and hydroxyl (-OH) groups on CNTs can react with functionalized PS containing maleic anhydride (MA) or other reactive moieties through esterification or amidation reactions, forming strong covalent bonds. Likewise, amine (-NH2) functionalized CNTs can engage in nucleophilic substitution or amidation reactions with suitably modified PS chains, enhancing interfacial adhesion. Silane-modified CNTs undergo hydrolysis and condensation reactions to form covalent Si-O-C bonds between the CNTs and the polymer matrix. The remaining functional groups on the silane (such as amino silane or epoxy) can further covalently bond with reactive sites on the PS matrix, strengthening the interfacial interaction. Additionally, radical grafting techniques, such as peroxide-initiated reactions, enable direct covalent attachment between CNTs and PS via carbon–carbon (C-C) bond formation through radical polymerization [5,20,27,28].
The formation of covalent bonds in PS/CNT composites significantly enhances their mechanical strength and thermal stability. Unlike non-covalent interactions, covalent linkages prevent polymer chain slippage relative to the CNTs under mechanical stress, thereby improving load transfer efficiency and reducing the likelihood of structural failure under high loads. Furthermore, covalent functionalization mitigates CNT aggregation, promoting a more uniform dispersion of nanofillers within the PS matrix—a crucial factor in achieving consistent mechanical and electrical properties across the composite. The strong chemical bonds also confer greater resistance to thermal degradation, allowing the composite to withstand elevated temperatures, thereby increasing its durability in demanding environments [29].

2.3.4. Interfacial Polarization

Interfacial polarization is a key factor influencing the electrical properties of PS/CNT composites, particularly when these materials are subjected to an external electric field. This phenomenon occurs at the interface between the insulating PS matrix and the conductive CNTs. When an electric field is applied, the difference in electrical properties between the two materials can cause a redistribution of charges, leading to the accumulation of charges at the interface. This charge accumulation, or interfacial polarization, significantly impacts the composite’s dielectric properties [30]. The presence of CNTs within the PS matrix creates regions where charge carriers can accumulate, forming localized regions of high electrical potential [31]. This charge accumulation can enhance the composite’s dielectric constant, making it suitable for applications requiring high dielectric materials, such as capacitors or other electronic components. The effectiveness of interfacial polarization in enhancing dielectric properties depends on the quality of the interface, which is influenced by how well the CNTs are dispersed and integrated within the PS matrix [32].
Moreover, interfacial polarization can contribute to the formation of conductive pathways within the composite, especially when the CNT content exceeds a critical percolation threshold. Above this threshold, the composite transitions from an insulator to a conductor, as the CNTs form a continuous network that allows for the free flow of electrons. The alignment and connectivity of CNTs, aided by interfacial polarization, play a crucial role in determining the electrical conductivity of the composite [32]. Therefore, controlling the interfacial interactions and dispersion of CNTs is essential for tuning the electrical properties of PS/CNT composites to meet specific application requirements.

2.4. Dispersion and Entanglement

The dispersion of CNTs within the PS matrix plays a pivotal role in determining the composite’s overall performance. Due to strong van der Waals interactions, CNTs naturally tend to aggregate into bundles, significantly reducing the effective surface area available for interaction with the polymer matrix. This clustering weakens potential enhancements in mechanical, electrical, and rheological properties [16,33]. Achieving uniform dispersion is essential but challenging, necessitating methods such as sonication, mechanical mixing, and the use of surfactants. Sonication, by inducing high-frequency ultrasonic cavitation, provides the necessary shear energy density to disrupt CNT aggregates, promoting effective dispersion, particularly in low-viscosity solvents. However, excessive sonication can damage nanotubes, shortening their effective length. In contrast, shear mixing, which relies on viscous forces in polymer solutions or melts, is less aggressive but struggles to separate parallel CNT bundles [21,30]. Experimental evidence suggests that a critical mixing time (t*) is required to achieve a stable and reproducible CNT dispersion. Below this threshold, the system remains dominated by dense tube clusters, often undetectable under optical microscopy, leading to erratic rheological responses due to accidental jamming in a colloidal glass-like state. At mixing times exceeding t*, the dispersion reaches a more homogeneous and stable state, displaying reproducible rheological behavior indicative of uniform distribution. While complete dispersion cannot be unequivocally confirmed, supporting evidence from freeze-fractured surface imaging and rheological measurements suggests a well-dispersed system when mixed beyond t* [34].
In addition to dispersion, polymer–CNT entanglement significantly influences the composite’s mechanical and rheological properties [35]. The interaction between polymer chains and CNTs creates a reinforcing effect, improving stress transfer, toughness, and impact resistance. Another crucial factor is CNT concentration as it dictates the rheological state of the composite. At low concentrations, CNTs remain individually dispersed in the matrix, exhibiting viscosity scaling that deviates from Einstein’s classical 2.5 factor due to their pronounced shape anisotropy. However, above a critical threshold (~2–3 wt.%), CNTs form a percolated network where entanglement and inter-tube interactions become dominant, leading to a transition from a viscous-liquid rheology to an elastic gel-like state. The storage modulus (G′) in such systems exhibits a plateau at low frequencies, characteristic of weakly elastic networks. The transition between colloidal glass-like jamming at short mixing times and the formation of a rheological stable entangled CNT network at longer times suggests an interplay between nanotube interactions, dispersion kinetics, and polymer matrix rheology [34,36].
These insights highlight the fundamental role of shear forces, mixing time, and nanotube concentration in governing CNT dispersion, percolation, and rheological behavior in polymer matrices. By optimizing these parameters, researchers can better control CNT dispersion quality, ensuring enhanced mechanical reinforcement and predictable rheological properties in PS-CNT composites.

3. PS/CNT Composite Preparation Methods

The formation of polystyrene (PS) and carbon nanotube (CNT) composites involves integrating CNTs into the PS matrix to enhance its mechanical, thermal, and electrical properties. This process requires careful control over various factors, including the dispersion of CNTs, the interaction between CNTs and the PS matrix, and the overall composite fabrication method. Each step in the formation of PS/CNT composites plays a critical role in determining the final properties of the material [20].
The development of polystyrene (PS) and carbon nanotube (CNT) composites has progressed significantly, evolving from traditional, straightforward methods to more sophisticated modern techniques. Each method offers unique advantages and challenges, with modern methods providing more control over composite properties and better integration of CNTs into the PS matrix. Below is an exploration of both traditional and modern methods, providing detailed insights into each approach.

3.1. Melt Mixing

Melt mixing, also known as melt compounding, is a widely adopted technique in the polymer industry for producing PS/CNT composites. In this method, PS pellets are melted at elevated temperatures, typically between 180 °C and 220 °C, within an extruder. CNTs are then introduced into the molten polymer, and the mixture is subjected to high shear forces, promoting the dispersion of CNTs within the polymer matrix. The molten composite is then extruded into a desired shape, which can further be processed using techniques like injection molding or compression molding (Figure 1) [18,37].
Zhang et al. [38] prepared conductive polymer composites (CPCs) by melt mixing using poly(phenylene oxide)/polystyrene (PPO/PS) blends as matrices with varying compositions. They focused on improving the dispersion of carbon nanotubes (CNTs) by adjusting the matrix viscosity through different blend ratios. The study found that the best dispersion and electrical conductivity occurred at an intermediate matrix viscosity, which balanced polymer infiltration and CNT agglomerate breakage. Notably, the percolation threshold of the PPO/PS(35/65)/CNTs nanocomposites was 63% lower than that of PS/CNTs nanocomposites.
Additionally, the electrical resistivity of PPO/PS(35/65)/2%CNTs was approximately 103 Ω cm, which is nine orders of magnitude lower than that of PS/2%CNTs. Melt mixing is advantageous because it eliminates the need for solvents, making the process more environmentally friendly. It is also well-suited for large-scale production and is compatible with conventional polymer processing equipment. However, dispersing CNTs uniformly in the viscous polymer melt is challenging, and the high processing temperatures can degrade both the CNTs and the polymer matrix [39].

3.2. Solution Mixing

Solution mixing method is highly effective for preparing PS/CNT composites, not only in thin films but also in bulk materials, fibers, and coatings. This approach ensures uniform dispersion of CNTs within the PS matrix, which is crucial for improving mechanical strength, electrical conductivity, and thermal stability. While commonly used for thin films to control CNT distribution, it is equally beneficial for bulk PS/CNT composites, enhancing overall performance. The method’s versatility extends to fibers and coatings, where well-dispersed CNTs improve flexibility and conductivity, making it a valuable technique for various forms of PS/CNT composites.
In this method, polystyrene (PS) is dissolved in an organic solvent, such as toluene, chloroform, or tetrahydrofuran (THF), to form a homogeneous solution. Separately, CNTs are dispersed in the same solvent using ultrasonication, which helps to break down any agglomerates and achieve a more uniform distribution. The PS solution and the CNT dispersion are then mixed thoroughly to ensure that the CNTs are evenly distributed throughout the PS matrix. Following mixing, the solvent is evaporated under controlled conditions to produce a composite film or coating. However, at sufficiently high energy inputs, sonication can induce polymer chain scission, primarily due to cavitation effects. This process involves the formation and rapid collapse of microscopic bubbles in the liquid medium, generating intense localized shear forces, shock waves, and transient high temperatures. When the energy imparted exceeds the bond dissociation energy of the polymer backbone, chain cleavage may occur, leading to a reduction in molecular weight [40]. In the case of PS, the carbon–carbon backbone is susceptible to homolytic or heterolytic bond cleavage under extreme sonication conditions. Prolonged or excessive exposure to high-energy sonication can result in significant molecular degradation, which may alter the polymer’s mechanical, thermal, and rheological properties. Therefore, careful optimization of sonication parameters, including power, duration, and solvent environment, is essential to achieve effective dispersion while minimizing polymer degradation [41].
Erkmen et al. [42] found that PS-based composites reinforced with silane-modified CNTs and prepared via masterbatch dilution showed a 33% increase in tensile strength and 34% increase in modulus compared to melt mixing. Masterbatch dilution also reduced electrical resistivity. Both methods achieved 100% shape recovery in under 30 s during electrically actuated bending tests, highlighting improved thermal and electrical conductivity. In another study, Parnian and D’Amore investigated PS/CNT nanocomposite films prepared using solution mixing and the doctor blade technique [21]. They found that conductivity became unmeasurable with increasing CNT content in dilute PS solutions, while higher PS concentrations led to increased conductivity up to a threshold before decreasing, explained partly by PS–THF viscosity data. Sen et al. [43] demonstrated that incorporating carboxylic acid functionalized multi-walled carbon nanotubes (cMWCNTs) into polystyrene (PS) via solution blending significantly enhanced the nanocomposite (NC) films’ thermal stability, rheological properties, and hardness. Figure 2a shows the preparation process for PS/cMWCNTs composite film. Fourier transform infrared spectroscopy (FTIR), Raman spectroscopy, and X-ray diffraction (XRD) confirmed the strong interaction between the PS matrix and the cMWCNTs, which contributed to these improvements. Thermogravimetric analysis (TGA) showed that the well-dispersed cMWCNTs increased the thermal degradation resistance of the NC films, with higher activation energy and procedural decomposition temperature. Figure 2b,c show the TEM analysis of PS nanocomposite surfaces, specifically for samples with PS concentrations of 0.3% and 0.5%, revealing a strong interfacial interaction between the PS matrix and the carbon nanotubes (CNTs), which appeared embedded and coiled within the matrix. The micrographs showed that the nanotubes, with diameters ranging from 12 to 20 nm, were uniformly dispersed in the matrix at the lower PS concentration (0.3%) (Figure 2b). However, at the higher PS concentration (0.5%) (Figure 2c), some regions displayed aggregated CNT masses, indicating less-uniform distribution. Despite these aggregates, the overall nanotube dispersion was still good, aligning with previous findings in similar composites.
The primary advantage of solution mixing lies in its straightforwardness and effectiveness in creating thin films with dispersed CNTs. However, achieving uniform dispersion of CNTs remains a significant challenge due to their tendency to agglomerate. The process of solvent removal can also lead to defects, impacting the composite’s final properties. Despite these challenges, solution mixing has been widely used in research and small-scale production [44].

3.3. In Situ Polymerization

In situ polymerization involves the polymerization of styrene monomers in the presence of dispersed CNTs, allowing the CNTs to be embedded within the growing PS matrix. This method can be conducted in bulk, solution, or emulsion phases, depending on the desired properties of the final composite. A polymerization initiator, such as benzoyl peroxide, is typically used to start the polymerization process. Azubuike and Sundararaj [45] explored the in situ compatibilization of polymer blend nanocomposites (PBNs) by reacting polystyrene maleic anhydride (PSMA) with nylon during melt processing. They created PS/polyamide blends with varying PSMA (1–10 vol.%) and a constant 1.5 vol.% CNT loading. The addition of PSMA improved CNT distribution, resulting in a conductivity of 7.4 × 10−2 S/m at 3 vol.% PSMA, three and a half orders of magnitude higher than the non-reactive blend. The study details the mechanisms behind enhanced conductivity and improved rheological properties due to interfacial reactions. Patole et al. [46] achieved the attachment of polystyrene (PS) nanoparticles to multiwall carbon nanotubes (MWCNTs) via in situ microemulsion polymerization, utilizing the high surface area of selectively grown MWCNTs. SEM and high-resolution (HR) TEM confirmed the distribution and anchoring of PS nanoparticles on the MWCNT surface. This attachment enhanced the MWCNTs’ Raman G/D ratio and increased the thermal degradation temperature of PS. The modified MWCNTs exhibited improved durability and dispersibility in various organic solvents. Figure 3a illustrates the proposed mechanism where MWCNTs are first functionalized by anionic SDS surfactant, isolating them in water. During polymerization, Brownian motion causes SDS etching, creating anchoring sites on the MWCNTs for PS nanoparticles. Unanchored PS and excess SDS were removed through methanol washing, yielding the PS nanoparticle-covered MWCNT composite. Figure 3b presents an SEM image of the dried composite, revealing a uniform distribution of MWCNTs and PS nanoparticles. The HRTEM image in Figure 3c shows spherical PS nanoparticles uniformly deposited along the length of the CNTs. A closer view in Figure 3d highlights the attachment of PS nanoparticles to the CNT surface. The HRTEM image in Figure 3e serves as a confirmation of the proposed hypothesis.
This method offers the advantage of potentially strong interfacial bonding between the CNTs and the PS matrix, which can improve the mechanical and thermal properties of the composite. Additionally, in situ polymerization often leads to better CNT dispersion compared to physical blending methods. However, the process is complex and requires precise control over the polymerization conditions to prevent defects [47].

3.4. Wet Spinning

Wet spinning is a traditional technique primarily used to produce fibers or filaments from PS/CNT composites. In this method, a solution of PS and dispersed CNTs is extruded through a spinneret into a coagulation bath containing a non-solvent. The non-solvent causes the polymer to precipitate, forming solid fibers that are collected and dried. These fibers can then be drawn to improve their mechanical properties [48]. Farha et al. [49] developed a highly densified and multifunctional carbon nanotube (CNT) yarn through wet compression using acetone, which serves as a lubricant to reduce CNT interactions and increase packing density. The yarn’s density increased by 120%, from 0.211 to 0.465 g/cm3, while the diameter was controlled at 175 ± 5 μm. This process significantly enhanced the yarn’s tensile strength, modulus, electrical conductivity, and gauge factor by 185%, 887.5%, 105%, and 305%, respectively. Additionally, the CNT yarn exhibited excellent electrothermal stability, reaching 275 °C in 15 s and maintaining performance under bending and knotting, making it suitable for smart textiles, wearable electronics, and fabric heaters. Zhao et al. [50] developed a rapid and continuous twisting wet spinning method for producing highly densified CNT yarns. This process involved dispersing CNTs in a surfactant solution, removing the surfactant in a coagulation bath, and applying twisting to improve yarn density and CNT alignment. The resulting CNT yarns exhibited a tensile strength of 600 MPa, a Young’s modulus of ≈40 GPa, and high conductivity of 8990 S cm−1. Additionally, the CNT yarn demonstrated an ultra-fast electrothermal response of over 1000 °C s−1 at a low voltage of 5 V, with stable mechanical properties during heating. This scalable approach offers a pathway for producing high-performance CNT yarns for various applications. Figure 4a illustrates the rapid preparation of CNT yarns, completed within minutes. SWCNTs were dispersed in water with sodium taurodeoxycholate (STDOC) and extruded into an acetic acid (HOAc) coagulation bath at 2 mL h−1 for effective coagulation and surfactant removal. The gel-like CNT yarns were then twisted to enhance density Figure 4b,c, exhibiting strong mechanical properties without fractures during manipulation Figure 4d. This efficient process enabled continuous production, as demonstrated by a single CNT yarn exceeding 20 m in length collected on a spool without breakage Figure 4e.
Wet spinning is particularly effective for creating continuous fibers with well-aligned CNT, which can enhance the strength and conductivity of the fibers. However, maintaining uniform CNT dispersion throughout the spinning process is challenging, and the process itself is complex, requiring precise control of the spinning conditions. Additionally, wet spinning is associated with high equipment and operational costs.

3.5. Spray Drying

Spray drying is used to produce PS/CNT composite powders. The process involves atomizing a solution of PS and dispersed CNTs into fine droplets, which are then dried rapidly in a heated chamber. As the solvent evaporates, composite particles are formed and collected as a fine powder, which can be further processed into films, coatings, or molded parts. Prasad et al. [51] introduced a straightforward spray coating method for fabricating ultraviolet (UV) and thermally stable PS-MWCNT superhydrophobic coatings. The incorporation of MWCNTs enhanced the micro/nano roughness, leading to the formation of protrusion-like surface structures. These coatings exhibited superhydrophobic stability up to 250 °C but underwent a transition to superhydrophilic behavior at 300 °C. This transition is primarily attributed to the thermal degradation or chemical modification of the PS matrix at elevated temperatures, which diminishes the hydrophobic characteristics of the polymer and enhances surface polarity, thereby promoting increased water affinity. Thermogravimetric analysis indicated a 10 °C shift to higher temperatures with MWCNT incorporation, suggesting weak interactions between PS and MWCNTs, as further supported by Fourier transform infrared, Raman, and X-ray photoelectron spectroscopy. The transition from superhydrophobicity to superhydrophilicity can be explained by alterations in the surface chemistry and the breakdown of the nanostructured surface, which originally facilitated water repellence. These coatings demonstrate significant potential for applications requiring both thermal stability and UV resistance. Zhou et al. [52] developed a novel technology for preparing styrene–butadiene rubber (SBR)/carbon nanotube (CNT) composites by combining a spray drying method with subsequent mechanical mixing. The cross-linking degree of the vulcanized composites increased with the CNT content, leading to significant enhancements in mechanical properties: tensile strength improved by nearly 600%, tear strength by 250%, and hardness by 70% compared to pure SBR composites. This approach effectively reinforced the composites, demonstrating its potential to enhance the modification and reinforcement of nanocomposites with high CNT content. Figure 5 shows the schematic steps involved in the spray drying method.
The spray drying process is advantageous for its rapidity and scalability, making it suitable for large-scale production. It also allows for control over the size and morphology of the composite particles. However, achieving uniform CNT dispersion within each particle is challenging, and the high temperatures used during drying can cause CNT agglomeration or degradation [54].

3.6. Electrospinning

Electrospinning is a modern technique for producing PS/CNT composites in the form of nanofibers. In this method, a solution of PS and CNTs is pumped through a fine needle under the influence of a high-voltage electric field. The electric field stretches the polymer solution into fine jets, which solidify into nanofibers as the solvent evaporates. These nanofibers are collected on a grounded collector, forming either a nonwoven mat or aligned fibers. Byun et al. [55] reported a CNT-embedded PS/PAN (6:4) nanofibrous oil sorbent using electrospinning, aimed at improving reusability and oil removal. The addition of 0.25 wt.% CNT enhanced the sorbent’s hydrophobicity, oleophilicity, and porosity. The sorbent demonstrated high oil absorption capacities of 248 g/g for motor oil and 80 g/g for diesel oil and retained over 70% recovery efficiency after seven reuse cycles with diesel oil. This durable, reusable sorbent shows significant promise for tackling marine oil spills. Parangusan et al. [56] developed CNT-reinforced PS nanocomposite membranes via electrospinning and enhanced polymer-filler interactions through gamma irradiation. At 0.5 wt.% CNT concentration and a 15 kGy irradiation dose, the membranes showed optimal hydrophobicity, oil absorption, mechanical strength, and antibacterial activity. These findings demonstrate the membrane’s potential for treating oil-contaminated water. Figure 6 provides a schematic representation of the entire procedure.
The key advantage of electrospinning is its ability to produce nanofibers with a high surface area, which can significantly enhance the mechanical and electrical properties of the composite. Additionally, electrospinning allows for precise control over the fiber diameter and alignment, making it suitable for producing highly conductive and strong composite materials. However, the scalability of electrospinning is limited, and maintaining uniform CNT dispersion in the spinning solution is challenging. Furthermore, the process requires high-voltage equipment and efficient solvent management, adding complexity and cost.

3.7. Self-Assembly Techniques

Self-assembly techniques are modern methods that utilize the spontaneous organization of CNTs and PS into ordered structures through non-covalent interactions, such as van der Waals forces or π-π stacking. In this method, functionalized CNTs are mixed with PS or its monomer in a solvent, and the system is allowed to self-organize under controlled conditions. Factors such as solvent evaporation, phase separation, or changes in environmental conditions (e.g., pH or temperature) influence the self-assembly process, resulting in the formation of nanostructured composites. Oliveira et al. [57] utilized a supramolecular self-assembly approach to incorporate multiwalled carbon nanotubes (MWCNTs) into polystyrene (PS) nanocomposites via melt extrusion and injection molding. They investigated the effects of grafted, pristine, and carboxylated MWCNTs on the morphology and mechanical properties. The self-assembly of grafted MWCNTs enhanced dispersion and interfacial interactions, significantly improving mechanical performance. Electron microscopy and impact tests showed that these interfacial interactions govern crack propagation. The PS-grafted MWCNT composites exhibited an increased elastic modulus, demonstrating the effectiveness of self-assembly in creating enhanced materials for industrial applications. Liu and Wang [58] used a self-assembly method in THF to organize polystyrene (PS)-grafted MWCNTs into bundles. PS grafted via atom transfer radical polymerization improved dispersibility, unlike unmodified MWCNTs. The self-assembled structures were 15–25 µm long and 1.5–4 µm wide, with aligned nanotubes. The process was driven by solvent-philic/solvent-phobic interactions, and buoyancy and gravity influenced the final structure. A micro-phase separation model was proposed to explain this behavior. Zhang et al. [59] developed a method for creating core–shell nanospheres with polystyrene (PS) as the core and multi-walled carbon nanotubes (MWNTs) as the shell using hydrogen-bonding self-assembly. PS–COOH nanospheres were synthesized via soap-free emulsion copolymerization, while MWNTs were functionalized with poly(vinyl pyrrolidone) (PVP). The carbonyl groups in PVP formed hydrogen bonds with the carboxyl groups on PS, enabling rapid and reversible self-assembly that can be controlled by pH. These core–shell nanospheres are promising as conductive reinforcement fillers in high-performance nanocomposites. Song et al. [60] developed carbon nanotube rings (CNTR) coated with gold nanoparticles (CNTR@AuNPs) using a self-assembly method. These nanostructures, with CNTR embedded in closely attached AuNPs, act as efficient Raman probes and photoacoustic (PA) contrast agents for imaging-guided cancer therapy. CNTR@AuNPs exhibited a 120-fold increase in extinction intensity at 808 nm and a 110-fold stronger SERS signal compared to CNTR due to enhanced coupling with the AuNPs. These properties were successfully applied in cancer imaging and therapy, supported by numerical simulations and analysis. The detailed process is shown in Figure 7.
Self-assembly techniques allow for the creation of composites with precise nanostructures, which can enhance their mechanical, electrical, and thermal properties. This method is particularly advantageous for applications requiring highly specialized composite architectures. However, the process is slow and requires meticulous control over the conditions, making it difficult to scale for industrial production [20].

3.8. Three-Dimensional Printing (Additive Manufacturing)

Three-dimensional printing, or additive manufacturing, is an advanced technique for fabricating PS/CNT composites with complex geometries and tailored properties. In this method, PS/CNT composites are either prepared as a filament for fused deposition modelling (FDM) or as a resin for stereolithography (SLA). In FDM, the composite filament is heated and extruded through a nozzle to build the object layer by layer. In SLA, a photopolymer resin containing dispersed CNTs is selectively cured using a laser to form each layer of the composite. Lv et al. [61] developed high-performance electromagnetic interference shielding (EMI SE) materials using 3D printing. They created lightweight honeycomb structures with polylactic acid (PLA) as the matrix and graphene nanosheets combined with carbon nanotubes (GNs/CNTs) as fillers. The optimal printed material demonstrated an electrical conductivity of 110.8 S/m and an EMI SE property of 53.5 dB, well above the commercial standard of 20 dB. The study revealed that when pore sizes are less than λ/5 of the incident wavelength, the materials achieve a favorable balance of lightweight (0.4–1.0 g/cm3) and effective EMI SE (35–45 dB). This research paves the way for diverse architectural designs in EMI SE applications through 3D printing. Baskakova et al. [62] developed a process for producing polystyrene filaments containing 0.0025–2 wt.% single-walled carbon nanotubes (SWCNTs) through the extrusion of crushed polystyrene composites (Figure 8). The resulting polymer composite (PC) filaments exhibited high uniformity in filler distribution and no air pores. Microscopy and electromagnetic property comparisons indicated that both extrusion and printing enhanced SWCNT dispersion. This method enables the creation of filaments for 3D printing with various base polymers, incorporating functional fillers up to and beyond the electrical percolation threshold.
Three-dimensional printing offers unparalleled control over the design and structure of PS/CNT composites, allowing for the creation of components with intricate internal architectures and customized properties. This method is particularly advantageous for producing functionally graded materials with varying properties within the same object. However, 3D printing has limitations, including high equipment and material costs and challenges in maintaining uniform CNT dispersion within the printing material. The process is also slower compared to traditional manufacturing methods, which limits its applicability for large-scale production [63].

3.9. Layer-by-Layer (LbL) Assembly

Layer-by-Layer (LbL) assembly is an effective technique for fabricating polystyrene (PS)/carbon nanotube (CNT) composites, offering precise control over the material’s microstructure and properties. In this technique, alternating layers of PS and CNTs are sequentially deposited onto a substrate, forming a multilayered structure. The process typically begins with the deposition of a CNT layer, followed by the application of a PS layer, with the cycle repeated to achieve the desired thickness and composite composition. The interactions between the CNTs and PS matrix, whether electrostatic, hydrogen bonding, or covalent, play a pivotal role in ensuring uniform dispersion and integration of the CNTs within the polymer matrix. This level of control results in composites with significantly enhanced mechanical properties, including improved stiffness and tensile strength, as well as augmented thermal and electrical conductivities. The LbL assembly technique further allows for the fine-tuning of the composite morphology, making it particularly suitable for applications where precise property modulation is required, such as in sensor technologies, conductive films, and structural reinforcement. The PS matrix serves not only as a dispersing agent for CNTs but also as a stabilizing medium that prevents CNT agglomeration, thereby maximizing their functional contributions within the composite material [64,65,66]. Hong et al. [67] discussed LbL assembly as a versatile method for fabricating multifunctional films with tailored properties. Carbon-based nanomaterials, like carbon nanotubes and graphene sheets, are highlighted for their unique characteristics and potential in various applications, including conducting electrodes, batteries, solar cells, supercapacitors, fuel cells, and sensors. The article reviews the use of carbon materials in LbL-assembled nanostructured films and capsules, aiming to reveal their unique features and applications, and suggests future integration with 3D printing for enhanced functionality. Srivastava et al. [68] highlighted the LbL assembly as a cost-effective and versatile technique for creating advanced materials with structural flexibility. This method allows for precise nanoscale thickness control and integrates various nanocomponents, such as nanoparticles and nanowires with polymers, enhancing their properties. The article focuses on applications of inorganic nanocrystals in polymer thin films, including the development of optomechanical materials, optical coatings, and films with strong mechanical properties. LbL assembly also shows promise in biological applications, such as neurotransmitter detection and biocompatible film fabrication. Overall, LbL assembly offers significant potential for advancing materials in both technology and biomedicine. Figure 9 explains the schematic steps involved in LBL method.
LbL assembly allows for precise control over the thickness and composition of each layer, making it ideal for creating thin films or coatings with specific functional properties. This method also enables the incorporation of different types of CNTs or other nanoparticles in various layers, allowing for the tailoring of the composite’s electrical, mechanical, and thermal characteristics. However, the LbL process is slow and labor-intensive, making it less suitable for large-scale production. Despite these challenges, LbL assembly is invaluable for applications requiring highly specialized composite structures [69].

3.10. Co-Solvent Method

The co-solvent method is a contemporary variant of solution mixing that employs multiple solvents to enhance CNT dispersion within the PS matrix. This technique involves selecting compatible solvent pairs that can improve the solubility of PS and CNTs, leading to better interaction between the two phases. The process begins by dissolving PS in a primary solvent and dispersing CNTs in a secondary solvent. The two solutions are then mixed, and the solvents are gradually removed, typically under reduced pressure, to form the composite. By using a combination of solvents, the co-solvent method can achieve a more uniform CNT dispersion and prevent agglomeration, leading to composites with better-controlled morphologies. Lubineau and Rahaman [70] explored the effects of nanoscale reinforcements, particularly carbon nanotubes (CNTs), on the mechanical properties of continuous-fiber/epoxy-matrix laminated composites used in aerospace applications. It investigated common degradation mechanisms in laminated structures and evaluated various nano-reinforcement strategies to mitigate these issues. The study highlighted the role of CNTs in enhancing mechanical performance due to their exceptional strength and stiffness. Additionally, it discussed the co-solvent method as an effective approach for improving the dispersion of CNTs, leading to reduced degradation and enhanced performance across multiple scales (Figure 10).
One of the significant advantages of the co-solvent method is its ability to produce composites with enhanced properties due to improved CNT dispersion. However, the method requires the careful selection of solvents as they must be compatible with both PS and CNTs while ensuring effective solvent removal without leaving residues. The process also adds complexity to the preparation, as multiple solvents must be managed and removed efficiently.

3.11. Sol–Gel Method

The sol–gel method is an advanced technique used to incorporate CNTs into a PS matrix via a precursor solution that undergoes gelation and polymerization. In this process, a sol, which is a colloidal suspension of PS precursors and CNTs in a solvent, is prepared. The sol undergoes a series of chemical reactions, leading to the formation of a gel, a solid network that encapsulates the CNTs within the PS matrix. The gel is then dried and cured to form the final composite [71]. Liao et al. [72] presented a method for fabricating large-area ordered macroporous SiO2 inverse opals (2 × 2 cm2) on ITO substrates using sequential electrophoretic deposition of polystyrene (PS) microspheres (500 nm and 1 μm) and SiO2 sols (~5 nm). The PS microspheres served as a template, forming a defect-free colloidal crystal. Their negative surface charge, along with that of the SiO2 sols, enabled effective sol–gel transformation. After infiltrating SiO2 into the voids and oxidizing them to remove the PS template, the resulting inverse opals displayed excellent surface uniformity and structural integrity. Fourier transform infrared spectroscopy confirmed the removal of PS, leaving a complete SiO2 skeleton, while X-ray diffraction showed its amorphous nature. Gao et al. [73] employed a conventional sol–gel method to prepare CNTs/TiO2 nanocomposites with carbon loadings up to 20% by weight. Characterization of the bare multi-walled CNTs and the composites was conducted using techniques such as TEM, XRD, BET, and TGA–DSC. The results indicated successful coating of the CNTs with discrete clusters of TiO2, which, after annealing at 500 °C, formed mesoporous crystalline TiO2 (anatase) clusters. Photocatalytic activity was assessed through the photodegradation of methylene blue (MB), revealing that the optimal CNTs/TiO2 ratio was between 1.5% and 5% by weight, leading to a maximum activity increase of 12.8% compared to pure TiO2. In the study by Toyama et al. [74], the authors investigated the synthesis of polystyrene (PS)@TiO2 core–shell particles using the sol–gel method with an aqueous NH3 promoter. They found that reaction temperature and promoter concentration significantly influenced particle morphology, resulting in TiO2 shell thickness of approximately 5 nm, as confirmed by transmission electron microscopy. Energy-dispersive X-ray spectroscopy detected titanium on the surfaces. The PS@TiO2 particles exhibited superior photocatalytic activity in methylene blue degradation compared to commercial P25 and sol–gel synthesized TiO2. This research highlights the sol–gel method’s effectiveness in enhancing the photocatalytic properties of PS@TiO2 core–shell structures. Lai et al. [75] investigated carbon-doped TiO2 due to its nontoxicity, stability, and abundance, which enhance light absorption efficiency. High-efficiency photocatalysts were synthesized through a hydrothermal reaction in a high-pressure reactor, followed by the preparation of TiO2/CNT mesoporous composites using the sol–gel method in an ultrasonic environment (Figure 11). Characterization via SEM and TEM revealed the presence of TiO2 nanoparticles alongside CNTs, with phase analysis confirming an anatase-doped structure. Tests demonstrated that these composites exhibited superior infrared and visible light absorption compared to pure TiO2. The TiO2/CNT mesoporous nanomaterials developed in this study show promise for clean industrial applications.
The sol–gel method allows for the creation of PS/CNT composites with high structural control and enhanced thermal stability due to the strong interaction between the CNTs and the polymer matrix. This method also offers the possibility of tailoring the composite’s properties by adjusting the sol–gel process parameters. However, the sol–gel process is complex, requiring precise control over the chemical reactions involved. The need for careful management of the gelation process makes it more suitable for specialized applications rather than routine use [76].

3.12. Microwave-Assisted Processing

Microwave-assisted processing is a modern technique that utilizes microwave radiation to enhance the preparation of PS/CNT composites. In this method, the composite mixture, typically consisting of PS and CNTs, is exposed to microwave radiation, which selectively heats the CNTs due to their high electrical conductivity. This selective heating improves the dispersion of CNTs within the PS matrix and promotes better interfacial bonding between the CNTs and the polymer [30,77]. Xie et al. [78] developed lightweight, high-strength microcellular polystyrene/carbon nanotube (PS/CNT) composite foams using a microwave-assisted foaming and welding method. The foams exhibited a density of 0.095 g/cm3, an ultralow percolation threshold of 0.0014 vol.%, and a high electromagnetic interference shielding effectiveness of 211.5 dB cm3/g at 12.4 GHz with just 0.046 vol.% CNT. Microwave sintering enhanced the compression stress to 7.1 MPa and tensile strength to 2.2 MPa. This work demonstrates the efficacy of microwave-assisted processing in creating multifunctional composite foams for wearable electronics. Microwave processing offers several advantages, including energy efficiency and faster processing times compared to conventional heating methods. The technique also enhances the properties of the composite by improving CNT dispersion and reducing processing times. However, microwave-assisted processing requires careful control to prevent the degradation of materials, as excessive heating can damage both the PS matrix and the CNTs [79]. E. Rezvanpanah et al. [80] demonstrated the effectiveness of CNTs as multifunctional agents in the selective microwave heating of PS for thermoplastic foaming. The study showed that CNTs, incorporated into a transparent PS matrix, facilitated uniform temperature distribution upon microwave irradiation, promoting localized polymer softening and enhanced super-saturation of the blowing agent. This process led to improved bubble nucleation and growth, resulting in foams with fine-celled, uniform structures and substantial thickness (1 cm) with expansion ratios exceeding 22-fold. In comparison to conventional foaming techniques, such as water bath and fast pressure drop, the CNT-assisted method produced foams with superior uniformity and lower density. Furthermore, CNTs served not only as heating and nucleating agents but also as collapse-preventing agents, offering enhanced control over foam morphology.
While the microwave-assisted foaming technique using CNTs offers significant advantages in terms of uniformity and control over foam morphology, it is essential to consider potential limitations such as the dispersion and compatibility of CNTs within the polymer matrix. Inconsistent CNT distribution could affect heating efficiency and foam quality. Additionally, careful optimization of microwave power and exposure time is required to avoid overheating or degradation of the polymer. Further research is needed to fully understand the long-term stability and scalability of this method for industrial applications [81].

3.13. Chemical Vapor Deposition (CVD) with PS Deposition

Chemical vapor deposition (CVD) and polystyrene (PS) deposition are advanced methods for fabricating CNT/PS composites. CNTs are first grown on a substrate via CVD, where a hydrocarbon gas decomposes at high temperatures, forming CNTs on metal nanoparticle catalysts like Fe, Co, Ni, or Mo. These catalysts, supported by substrates such as Al2O3, MgO, or SiO2, facilitate CNT growth, with hydrocarbons like CH4, C2H2, or even liquid benzene and alcohol serving as carbon sources. After CNT synthesis (at 600–1100 °C), PS is deposited onto the CNTs by in situ polymerization, spin coating, or dip coating. Flexible CNTs, critical for electronic applications, can be produced at lower temperatures (25–500 °C) (Figure 12). Various CVD methods, such as thermal (TCVD) and plasma-enhanced (PECVD) methods, have been developed for large-scale CNT production [82]. Martínez et al. [83] developed composites from polystyrene with hydroxyl end groups and multiwall carbon nanotubes (CNTs) to evaluate their properties. CNTs were synthesized via chemical vapor deposition, and the polystyrene was produced through solution polymerization. Thin films were created by pouring into petri dishes or dip-coating. Characterization included SEM, FTIR, Raman, UV-vis, Vickers microhardness, and electrical resistivity analysis. Raman spectroscopy revealed interactions between CNTs and polystyrene. Results showed that resistivity and transparency decreased with increasing CNT concentrations, with transmittance at about 80% for 0.8 wt.% CNTs and maximum Vickers hardness at 1.6 wt.%. Guzenko et al. [84] developed conductive polymer composites (CPCs) for flexible piezoresistive sensors using hollow three-dimensional graphitic shells (GS) as a filler in the PS matrix. Synthesized via chemical vapor deposition (CVD), the GS enhanced the piezoresistive response of the composites compared to commercial MWCNTs, despite lower mechanical and thermal performance. The distribution of GS and CNTs was analyzed using X-ray diffraction and scanning electron microscopy, alongside evaluations of electrical, thermal, and mechanical properties.
This method ensures that CNTs are well-integrated into the PS matrix, offering the potential for excellent alignment and distribution of CNTs within the composite. The resulting PS/CNT composites exhibit superior mechanical, electrical, and thermal properties due to the high-quality integration of CNTs. However, the CVD process is complex and expensive, typically requiring specialized equipment and conditions. As a result, this method is often used for research and specialized applications rather than large-scale manufacturing.

4. Rheological Properties of PS/CNT Composites

The rheological properties of polymer nanocomposites are highly influenced by the interplay among three critical components: the polymer matrix, the characteristics of the filler (specifically carbon nanotubes), and their structural arrangement within the composite. The polymer matrix acts as the continuous phase in which nanoparticles are dispersed, and its viscoelastic behavior significantly impacts filler interactions. As noted by Bicerano et al. [85], the matrix’s molecular weight, viscosity, and relaxation dynamics play crucial roles in determining its rheological response. Higher-molecular-weight polymers exhibit pronounced entanglement effects, enhancing filler dispersion while increasing viscosity. The rheological behavior of the matrix under shear or oscillatory conditions is essential for accommodating nanoparticle networks, ultimately affecting processing and end-use properties. CNT characteristics are pivotal in defining their impact on the rheological properties of the composite. Chatterjee and Krishnamoorti [86] emphasize that high-aspect-ratio CNTs can form interconnected networks at relatively low concentrations due to their anisotropic geometry. This network formation leads to significant increases in storage modulus and complex viscosity, particularly as filler concentration approaches the percolation threshold the point at which a continuous network forms throughout the matrix. Furthermore, surface functionalization of CNTs can enhance compatibility with the polymer matrix, improving dispersion and mechanical reinforcement. Structural considerations further complicate this relationship. Moniruzzaman and Winey [13] discuss how the alignment, dispersion, and percolation of nanotubes within the matrix critically influence rheological behavior. Aligned CNTs can enhance load transfer efficiency and result in anisotropic mechanical properties; however, achieving uniform dispersion remains a challenge due to CNT agglomeration driven by van der Waals forces. Poor dispersion can lead to localized stress concentrations and diminished performance. Rheological measurements serve as sensitive indicators of dispersion states; for instance, an increase in low-frequency storage modulus often correlates with improved network formation. The interplay between these factors is non-linear and highly dependent on processing conditions. Shear-induced alignment during processing can enhance CNT alignment but may disrupt percolation networks if shear rates are excessively high. Chatterjee and Krishnamoorti (2013) [86] note that this balance between alignment and network integrity is crucial for tailoring properties such as electrical conductivity or mechanical strength.
The interplay between the polymer matrix and CNTs, including their dispersion, alignment, and interactions, governs the material’s response to deformation. Key rheological properties like shear and extensional rheology, nonlinear viscoelasticity, and thixotropy are essential to understanding and optimizing PS/CNT composite performance for diverse applications. Shear rheology is essential for understanding how PS/CNT composites behave when subjected to shear forces, such as those encountered in extrusion, injection molding, and other processing techniques [87]. In particular, the behavior of CNTs, which tend to form networks within the polymer matrix, strongly influences the rheological properties of the composite. CNTs, especially those with high aspect ratios, can form interconnected networks even at low concentrations due to their anisotropic geometry. These networks significantly enhance the material’s storage modulus and complex viscosity as the filler concentration approaches the percolation threshold, the point at which the CNT network becomes conductive. Proper dispersion of CNTs within the polymer matrix is vital to achieving enhanced rheological properties. Well-dispersed CNTs lead to better network formation and improved mechanical reinforcement. Surface functionalization of CNTs can further improve their compatibility and dispersion in the polymer matrix. Despite these advantages, CNTs tend to agglomerate due to van der Waals forces, which can disrupt the network and lead to localized stress concentrations. This results in negative effects on the material’s rheological and mechanical properties. Under shear deformation, CNTs tend to align along the flow direction. This alignment can enhance the composite’s anisotropic properties, such as improved mechanical strength and conductivity in the direction of the flow. However, excessively high shear rates can disrupt the percolation network and degrade the composite’s overall performance [88,89].
In addition to shear rheology, extensional rheology is crucial for processes where the material undergoes elongational flow, such as fiber spinning, film blowing, 3D printing, and melt extrusion. The extensional viscosity (ηE), which characterizes the material’s resistance to stretching, plays a critical role in these processes [90]. In PS/CNT composites, the presence of CNTs introduces strain-hardening behavior, where the extensional viscosity increases with the elongational strain rate. This enhances the melt strength and printability of the composite, especially beneficial for processes like 3D printing where high extensional viscosity improves shape retention. As the CNT concentration increases, extensional viscosity significantly increases due to stronger interactions between the polymer and the CNTs, and the formation of CNT networks. This behavior also improves processing in 3D printing, preventing issues like filament breakage and sagging in film production. During extensional deformation, CNTs can align further, contributing to enhanced mechanical strength and anisotropic properties along the flow direction. This behavior is advantageous for producing high-performance, anisotropic materials in various applications [91,92].
Nonlinear viscoelasticity becomes prominent in polymer nanocomposites when subjected to large deformations or complex shear flows. This behavior goes beyond simple linear models and provides a more accurate representation of real-world processing conditions [93]. Large amplitude oscillatory shear (LAOS) is a technique used to study the nonlinear viscoelastic behavior of materials under large oscillatory deformations, as encountered in processing techniques like extrusion, injection molding, and 3D printing. LAOS experiments reveal that PS/CNT composites exhibit strain-stiffening behavior, where the viscosity and storage modulus increase as the strain amplitude increases. This is attributed to the formation of percolated CNT networks that become more resistant to deformation at higher strains. These networks enhance the material’s stiffness and energy storage capacity. As the strain amplitude exceeds a certain threshold, the response of PS/CNT composites becomes highly nonlinear. This nonlinear behavior is characterized by higher-order harmonics in the stress response, indicating complex interactions between the CNTs and the polymer matrix. The magnitude of these harmonics increases with CNT concentration, reflecting the growing complexity of the composite’s internal structure. LAOS can also be used to examine the yield stress, the point at which the material transitions from solid-like to liquid-like behavior. In PS/CNT composites, higher CNT concentrations can increase the yield stress due to the formation of robust CNT networks, which resist deformation at low shear stresses [94,95].
Thixotropy is the time-dependent decrease in viscosity under constant shear, followed by recovery when the shear is reduced. This behavior is important for processes that involve intermittent shear, such as extrusion, injection molding, and coating applications [96]. During shear, CNTs align along with the flow direction, which contributes to a decrease in viscosity. Once the shear is reduced or removed, the material recovers its original structure, and the viscosity increases. This reversible process is a key feature of thixotropic behavior in PS/CNT composites. Under shear, CNTs tend to form a network structure that significantly increases the viscosity of the composite. When the shear is removed, the network begins to break down, reducing viscosity. Over time, the viscosity recovers as the CNTs reassemble into a more ordered network. This behavior is important for controlling the material’s flow during processing. Well-dispersed CNTs contribute to stable network formation, resulting in more pronounced thixotropic behavior. Poor dispersion, on the other hand, leads to weaker, fragmented CNT networks, resulting in less pronounced thixotropy and more inconsistent processing behavior [97,98].

4.1. Steady-Shear and Oscillatory-Shear Viscosity

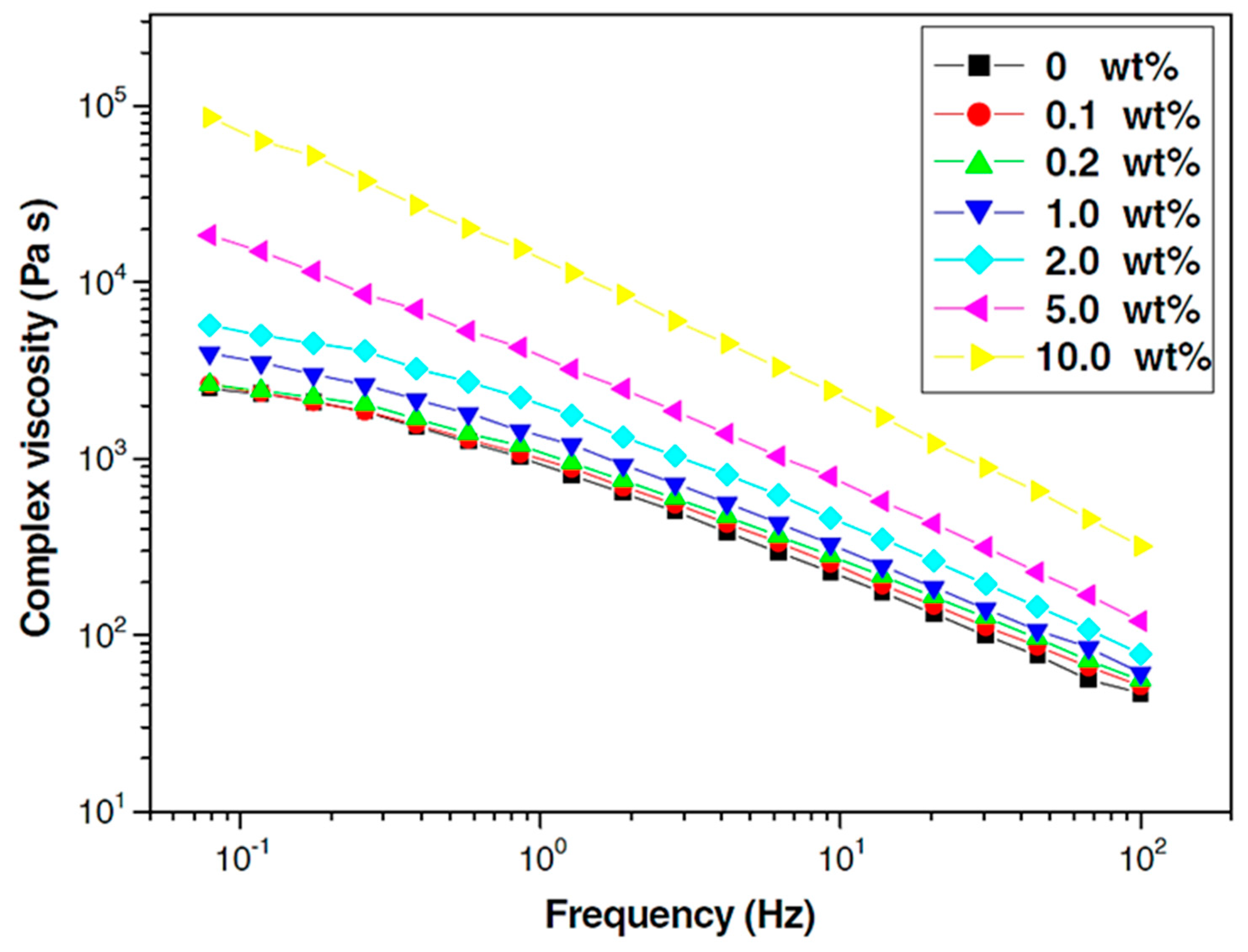
The presence of CNTs significantly influences the viscosity of molten PS. Viscosity measures a material’s resistance to flow, and the addition of CNTs can alter this property in various ways. In general, the viscosity of PS/CNT composites exhibits a strong increase with CNT concentration, even before the formation of a percolated network. This initial rise in viscosity is attributed to the hydrodynamic effects and microstructural constraints imposed by dispersed CNTs, which hinder the mobility of polymer chains and increase entanglement density [99]. At low CNT concentrations, the CNTs are well dispersed within the PS matrix, and the increase in viscosity is moderate due to isolated CNT–polymer interactions. However, as the CNT concentration increases, steric hindrance and nanotube–polymer coupling become more pronounced, leading to a nonlinear viscosity response.
Once a percolated CNT network is formed, the viscosity behavior transitions dramatically. At this stage, CNT–CNT interactions dominate, forming a physically interconnected network that significantly restricts macroscopic flow. The zero-shear viscosity diverges towards extremely high values, approaching a pseudo-solid-like or gel-like behavior as CNT loading further increases. This percolation-driven transition is well described by scaling laws and theoretical models, such as the Einstein–Batchelor equation [100] for dilute suspensions and percolation theories for high-loadings, which capture the critical CNT volume fraction at which viscosity shifts from polymer-dominated to network-dominated behavior. The strong nonlinear dependence of viscosity on CNT concentration underscores the complex interplay between dispersion, entanglement, and network formation, which must be carefully considered in the processing and application of PS/CNT composites.
The viscosity of particle dispersions is significantly influenced by the shape of the particles, as discussed by Bicerano, Douglas, and Brune [85]. When fillers are high-aspect-ratio fibers, the viscosity behavior differs markedly from that of composites with spherical fillers. This is because the elongated shape of fibers increases the interaction between particles, leading to higher viscosity. The Einstein equation for relative viscosity is typically used for dilute suspensions of spherical particles and relates the relative viscosity of a suspension to the volume fraction of the dispersed phase. However, this equation is not suitable for high aspect ratio fillers because it does not account for the shape of the particles. Intrinsic viscosity, a measure of a solute’s contribution to the viscosity of a solution, is influenced by the shape and size of the particles. For high-aspect-ratio particles, the intrinsic viscosity is higher due to the increased hydrodynamic interactions. Viscosity in suspensions can be characterized using different parameters, among which relative viscosity and intrinsic viscosity are distinct but related concepts, as explained by Rubinstein and Colby in Polymer Physics (Oxford, 2003, ch. 8.3) [101]. Relative viscosity describes the increase in a solution’s viscosity due to the presence of dissolved polymer molecules by comparing it to the viscosity of the pure solvent. It is a concentration-dependent parameter that characterizes the bulk flow behavior of polymer solutions. However, relative viscosity does not provide direct information about individual polymer molecules or their structural properties.
In contrast, intrinsic viscosity represents the contribution of individual polymer molecules to the viscosity of a solution in the dilute regime, where intermolecular interactions are negligible. It serves as a fundamental parameter for assessing molecular properties such as size, shape, and conformation in solution. Intrinsic viscosity is particularly relevant for understanding polymer-solvent interactions, as it reflects the extent to which polymer chains expand or contract depending on solvent quality. A higher intrinsic viscosity indicates a more extended polymer conformation, while a lower value suggests a more compact structure.
R. G. Larson in “The Structure and Rheology of Complex Fluids” [102] explained that the intrinsic viscosity of rod-like particles is proportional to their aspect ratio (length/diameter). This relationship is crucial for understanding the rheological behavior of composites with non-spherical fillers.
The Einstein equation for relative viscosity is given by the following:
ηr = 1 + 2.5ϕ
where ηr is the relative viscosity and ϕ is the volume fraction of the dispersed phase. This equation is valid for spherical particles in dilute suspensions [103].
For non-spherical particles, the intrinsic viscosity [η] can be expressed as follows:
[η] = 3/2 (L/D)
where “L’’ is the length and “D” is the diameter of the rod-like particles. This equation shows the dependence of intrinsic viscosity on the aspect ratio of the particles.
For CNT/PS composites, the concept of intrinsic viscosity and its dependence on aspect ratio is more appropriate. This is because CNTs have a high aspect ratio, and their dispersion significantly affects the composite’s viscosity. The intrinsic viscosity model better captures the rheological behavior of CNT/PS composites compared to the Einstein equation, which is limited to spherical particles.
For higher concentrations, more complex models, such as the Krieger–Dougherty equation or the Mooney equation are used to account for particle interactions and network formation [104,105,106]. Parnian and D’Amore explored how polymer solution viscosity affects carbon nanotube (CNT) dispersion, focusing on its impact on mechanical and electrical properties. They found that viscosity depends on polymer concentration and molecular weight, with distinct behaviors emerging at different concentration levels. Below a critical concentration, the polymer chains are loosely distributed, resulting in lower viscosity and minimal interaction between chains. Above this critical concentration, the chains become entangled, significantly increasing viscosity and making flow more difficult. Their findings suggest that when polymer concentration is near this critical point, CNT dispersions are unstable, as network structures do not form effectively. However, increasing the concentration beyond this point leads to a sharp rise in viscosity, promoting the formation of more stable network structures. While their study primarily discusses CNT dispersions in polystyrene (PS) melt, they also examine PS solutions to understand how viscosity influences dispersion behavior across different polymer states. This indicates that viscosity is a key factor in determining the stability and uniformity of CNT dispersions, with higher viscosity aiding in achieving stable dispersions [21].
Oscillatory shear rheometry is widely used to characterize the viscoelastic behavior of polymer solutions and composites. In this technique, a sinusoidal deformation is applied to the material, and the resulting stress response is analyzed to determine the storage modulus (G′), loss modulus (G″), and complex viscosity (η*). Oscillatory shear primarily focuses on measuring how a material responds to periodic deformations across different frequencies. This allows for the evaluation of fundamental viscoelastic properties without inducing nonlinear effects, such as molecular rearrangement or network breakdown. Linear viscoelasticity describes the material’s response under small deformations, where stress and strain remain proportional, allowing the evaluation of fundamental viscoelastic properties without inducing structural changes. These concepts are well-established in rheological studies [107,108].
Complex viscosity (η*) is a measure of a material’s resistance to deformation under oscillatory shear. It combines both the elastic and viscous components of the material’s response and is useful for characterizing the overall rheological behavior of PS/CNT composites. Unlike steady shear viscosity, which is measured under continuous flow, complex viscosity provides frequency-dependent information, helping to capture viscoelastic transitions in polymer-based systems. Complex viscosity is determined from oscillatory rheometric data and provides insights into the material’s viscoelastic properties [102].
The complex viscosity is given by the following:
η * = G ' 2 + G 2 ω
where G′ is the storage modulus, G″ is the loss modulus, and ω is the angular frequency of the applied oscillatory stress. The complex viscosity of PS/CNT composites typically increases with CNT concentration due to the formation of a percolated CNT network, which imparts additional resistance to deformation. It is important to note that while the Cox–Merz rule suggests that the steady-shear viscosity and complex viscosity functions are often nearly identical for many materials, this equivalence does not always hold for composites. In PS/CNT composites, deviations from the Cox–Merz rule can occur due to the heterogeneous nature of the CNT network and its influence on stress distribution, leading to differences between the steady-shear and oscillatory rheological responses. Analyzing complex viscosity helps in understanding the interplay between elastic and viscous behavior in PS/CNT composites. It provides valuable information for optimizing processing conditions and predicting the material’s performance in various applications. Park et al. [109] examined the rheological properties of multi-walled carbon nanotube (MWCNT) and polystyrene (PS) composites, focusing on complex viscosity (η*), storage modulus (G′), and loss modulus (G″). The study considered various contents of a dispersing agent (0, 10, and 20 wt.%) in relation to the physical gel formation and MWCNT dispersion within the composites.
Although all composites displayed similar rheological trends, the results for the composite without the dispersing agent were primarily highlighted for clarity. At 210 °C, the complex viscosity (η*) versus frequency plot for the composite with 0 wt.% dispersing agent showed (Figure 13) that complex viscosity increased with higher MWCNT concentrations. This effect was most pronounced at low frequencies, where MWCNT concentrations between 2 and 5 wt.% significantly altered the frequency dependence of complex viscosity. As frequency increased, the complex viscosity decreased due to shear thinning behavior, illustrating the dynamic response of the composite material under varying shear conditions.
Kaseem et al. [20] reported that Woo and Lee investigated the impact of various MWCNT treatment methods on the rheological properties of latex-blended PS/MWCNT composites. They compared four treatments: untreated (PS/P-CNT), acid-treated (PS/A-CNT), ultrasonic-treated (PS/U-CNT), and a combination of acid and ultrasound (PS/AU-CNT). The findings revealed that the PS/P-CNT composites had the poorest dispersion due to weak interactions between the PS latex and MWCNTs, while the PS/AU-CNT composites achieved the best dispersion. Figure 14a,b illustrate this disparity, with Figure 14a showing the poor dispersion in PS/P-CNT composites and Figure 14b highlighting the optimal dispersion in PS/AU-CNT composites. Figure 14c shows that the nanotube interactions formed a solid-like network at low frequencies, resulting in significant yield stress. Conversely, at higher frequencies, as illustrated in Figure 14d, weakened nanotube interactions and the orientation of the fillers led to lower viscosities. This underscores the critical role of treatment methods in optimizing dispersion and rheological performance in the composites.
Another study [109] explored the mechanical properties of polystyrene composites reinforced with multi-walled carbon nanotubes (MWCNTs), focusing on the influence of MWCNT content on viscoelastic behavior. The storage modulus (G′) of the composites, measured at 210 °C, is logarithmically plotted as a function of frequency in Figure 15a. The results demonstrated that G′ generally increased with frequency, with a more pronounced rise in the storage modulus observed particularly in the low-frequency range. This finding suggests a heightened sensitivity of G′ to frequency variations. In Figure 15b, the loss modulus (G″) versus frequency is presented. Similar to the storage modulus, G″ also exhibited an increase with frequency. However, the rise in G″ was less pronounced than that of G′, indicating that the storage modulus is more sensitive to changes in frequency. Additionally, a significant qualitative change in both moduli versus frequency plots was noted when the MWCNT content was increased from 2 to 5 wt.%, suggesting that higher MWCNT concentrations substantially enhance the viscoelastic properties of the composites.
Zhang et al. [38] developed low-cost, high-performance conductive polymer composites (CPCs) using miscible poly(phenylene oxide)/polystyrene (PPO/PS) blends as matrices to enhance the dispersion of carbon nanotubes (CNTs). This approach achieved a significantly lower percolation threshold compared to traditional methods, resulting in improved electrical conductivity. Figure 16 illustrates the rheological properties of the composites. In (a) and (b), the storage modulus (G′) and loss modulus (G″) are shown as functions of frequency, respectively. Both G′ and G″ increase with CNT content, with a more pronounced rise in G′, indicating typical behavior for filled polymers. The substantial increase at low frequencies suggests the formation of a CNT network that enhances the composites’ elasticity. In (c), the damping factor (tan δ) decreases with increasing CNT content, reflecting the development of a more elastic material. Finally, (d) displays the complex viscosity, which shows shear-thinning behavior in CNT-containing composites, indicating effective dispersion and interactions between CNTs and the PPO/PS matrix. A low-frequency plateau in G′ and a positive slope in tan δ at 2.0 wt.% CNT content further confirm the establishment of a rheological percolating network, consistent with the previously determined electrical percolation threshold.

4.2. Shear Thinning and Flow Behavior

Shear thinning, or pseudoplastic behavior, is a phenomenon whereby the viscosity of a material decreases with the increasing shear rate. This behavior is commonly observed in PS/CNT composites, particularly at high CNT concentrations. The shear thinning behavior is attributed to the alignment of CNTs under shear forces, which reduces the internal friction and resistance to flow.
The flow behavior of PS/CNT composites can be characterized using the power-law model, which relates shear stress (τ) to shear rate (γ) by the following equation:
τ = K γn
where “K” is the consistency index and “n” is the flow behavior index. In the case of shear-thinning materials, the flow behavior index “n” is less than 1, indicating a decrease in viscosity with increasing shear rate. The presence of CNTs in the PS matrix affects the power-law parameters, with higher CNT concentrations typically leading to more pronounced shear thinning behavior. The shear thinning behavior of PS/CNT composites is advantageous in processing applications as it allows for easier flow and moldability under high shear conditions. However, it also poses challenges in achieving uniform dispersion and controlling the material’s final properties.
In addition to the power-law model, other models, such as the Bingham and Herschel–Bulkley models, can also be used to describe the flow behavior of PS/CNT composites. The Bingham model [110] describes materials that behave as a rigid body at low stresses but flow as a viscous fluid at high stress. It is characterized by a yield stress (τ0) that must be exceeded before flow begins and a plastic viscosity (μp) that describes the flow behavior once the yield stress is surpassed [111]. The Bingham model is particularly useful for materials that exhibit a yield stress, such as certain suspensions and emulsions. The Bingham model is mathematically expressed as follows:
τ = τ0 + μpγ
where τ is the shear stress, τ0 is the yield stress, μₚ is the plastic viscosity, and γ is the shear rate.
The Herschel–Bulkley model [112] is a more generalized approach that combines elements of both the power-law and Bingham models. It is defined by the equation:
τ = τ0 + Kγn
where τ0 is the yield stress, K is the consistency index, and n is the flow behavior index. This model can describe shear-thinning, shear-thickening, and Bingham plastic behaviors depending on the values of the parameters. The Herschel–Bulkley model is widely used in the study of complex fluids, such as drilling muds and food products, due to its flexibility in fitting experimental data [112]. The shear thinning behavior of PS/CNT composites is advantageous in processing applications as it allows for easier flow and moldability under high shear conditions. However, it also poses challenges in achieving uniform dispersion and controlling the material’s final properties.
A study [33] investigated the effects of three types of styrene–butadiene block copolymers (SB and SBS) on the morphology, electrical, and rheological properties of immiscible polypropylene–polystyrene (PP:PS) blends filled with multi-walled carbon nanotubes (MWCNTs) at a fixed ratio of 70:30 vol.%. The experiments were conducted at 200 °C, and the molecular weights were PP: ~250,000 g/mol, PS: ~280,000 g/mol, and (SB and SBS): 100,000 to 150,000 g/mol. The addition of copolymers reduced droplet size in the blend and improved morphology, while MWCNTs maintained their ability to create co-continuity. Notably, the electrical resistivity of the PP:PS/1.0 vol.% MWCNT system decreased by 5 orders of magnitude due to the formation of conductive networks through PS droplets, PP, and copolymer micelles. Molecular simulations indicated that diblock copolymers had better interactions with MWCNTs than triblock copolymers, while interactions between copolymers and PP or PS were stronger than with MWCNTs. TEM images showed that MWCNT localization shifted from PS to the PS–PP–micelle interfaces. Figure 17 displays shear viscosity as a function of shear rate for neat PP, PS, and copolymers, showing that PS has the lowest viscosity (597 Pa·s) compared to the copolymers. This lower viscosity likely facilitated better wetting of MWCNTs, reducing their interaction with copolymers and PP. The study also used Hildebrand solubility parameters to analyze interactions among the copolymers, polymers, and MWCNTs, highlighting the complexity of these relationships.
In another study [113], Massoudi and coauthors examined constitutive relations for flow and heat transfer in nanofluids, emphasizing the measurement of viscosity and thermal conductivity. The study highlighted the limitations of conventional models, which often fail to account for non-linear and time-dependent behaviors. The research proposed treating nanofluids as generalized second-grade fluids, with viscosity dependent on the rate of deformation. Key findings showed that solid concentration and fluid nonlinearity significantly influenced viscosity, and the proposed model effectively described fluid behavior when compared to experimental data. Additionally, it noted that an orthogonal rheometer is required to assess normal stress differences in nanofluids.
Kagarise et al. [114] conducted a detailed study on the transient shear rheology of polystyrene (PS) composites reinforced with carbon nanofibers (CNFs). Their findings demonstrated that as the concentration of CNFs increased, the stress overshoot response to transient shear also became more pronounced. Additionally, the steady-state viscosity of the composites, observed at long times under constant shear, increased with higher CNF concentrations. Since steady-shear tests assume that the material has reached equilibrium, transient shear tests are crucial for understanding how the material equilibrates under applied shear. These results highlighted the influence of CNFs on the viscoelastic properties of the composite, particularly under shear stress.
Figure 18a,b present the transient shear viscosity versus time for the composites at different constant shear rates. In Figure 18a, the pure PS (SC0) shows typical rheological behavior for a homogeneous linear polymer, exhibiting Newtonian characteristics at lower shear rates and shear thinning at higher rates. At shear rates of 0.01 s−1, 0.001 s−1, and 0.0001 s−1, the viscosity curves overlap, indicating minimal change in viscosity with time. In contrast, Figure 18b for the PS composite with 10 wt.% CNF (SC10) shows a more pronounced shear thinning effect at low shear rates (below 0.1 s−1), where the viscosity significantly increases, demonstrating the strong influence of CNF content on the composite’s rheological response. Figure 18c,d illustrate the reduced stress at the startup of constant shear for both SC0 and SC10 composites, plotted as a function of strain. The reduced stress, τred, represents the ratio of transient shear stress to steady-state shear stress. In Figure 18c, the SC0 sample exhibits typical behavior with minimal stress overshoot at all shear rates. However, Figure 18d reveals that in the SC10 sample, the magnitude of the stress overshoot increases with increasing shear rates, showcasing a much more pronounced viscoelastic response. This stress overshoot phenomenon, where the shear stress initially exceeds its steady-state value before decreasing, is characteristic of materials with a structured internal network, such as PS/CNF composites. Notably, the strain corresponding to the peak of the stress overshoot decreases as the shear rate increases in SC10, a behavior absent in SC0. Additionally, the overshoot width (the duration over which the stress exceeds steady-state levels) narrows with increasing shear rates in SC10, whereas it remains relatively constant for SC0. These differences between SC0 and SC10 indicate that the addition of CNFs significantly alters the structural dynamics of the composite during shear, leading to greater stress responses and enhanced shear thinning behavior. The transient shear tests, by capturing the material’s response before equilibrium, provide key insights into how CNFs influence the time-dependent rheological properties of PS-based composites. This suggests that CNFs play a crucial role in modifying both the transient and steady-state rheological properties of PS-based composites.

4.3. Elasticity

Elasticity refers to the ability of a material to return to its original shape after deformation. In PS/CNT composites, the incorporation of CNTs enhances the elastic modulus of the material, reflecting an increase in stiffness and resistance to deformation. Unlike the previous section, which focused on the polymer melt (or concentrated solution) and its rheological behavior relevant to processing, this section discusses the polymer in its solid state, which is crucial for applications. The transition between these two regimes occurs at the glass transition temperature (Tg), which, for polystyrene (PS), is approximately 370 ± 10 K. The elasticity of the composite can be characterized by rheological techniques such as oscillatory rheometry, which measures the material’s response to oscillatory stress. The storage modulus (G′) and loss modulus (G″) are key parameters in oscillatory rheometry. The storage modulus represents the elastic, or “solid-like”, behavior of the material, while the loss modulus represents the viscous, or “liquid-like”, behavior. The ratio of G″ to G′ indicates the degree of elasticity versus viscosity in the composite. As CNT concentration increases, the storage modulus generally increases, indicating enhanced elastic behavior and stiffness.
The relationship between the elastic modulus and CNT concentration can be described by the following equation [115]:
E = E0 + kϕn
where “E” is the elastic modulus of the composite, “E0” is the modulus of the pure PS, “k” is a constant related to the reinforcement effect of CNTs, and “n” is the concentration exponent. This equation is phenomenological, meaning it is derived from empirical observations rather than fundamental principles. It highlights the significant impact of CNTs on the composite’s elasticity, with higher concentration leading to greater improvements in stiffness and rigidity.
This relationship highlights the significant impact of CNTs on the composite’s stiffness and rigidity. As CNT concentration increases, the elastic modulus rises due to the effective load transfer from the polymer matrix to the stiff CNTs. This behavior is supported by theoretical models like the Halpin–Tsai equations [116], which considers the shape and orientation of fillers, and the Mori–Tanaka method [117], which estimates stress distribution and elastic energy in materials with inclusions. Additionally, empirical studies, such as those by Fornes and Paul [118], demonstrate the applicability of these models to various polymer nanocomposites, including PS/CNT composites. These models and studies provide a comprehensive understanding of the reinforcement mechanisms at play, explaining the observed increase in stiffness with higher CNT concentrations. Fragneaud et al. [119] studied the enhancement of interfacial adhesion in polystyrene–carbon nanotube (CNT) composites by grafting polystyrene chains onto CNT surfaces. They covalently bonded polystyrene with an average molecular weight of about 104 g mol−1 and synthesized composites with varying CNT weight fractions. The grafting improved nanotube dispersion, increased Young’s modulus below Tg, and enhanced stress at break, while low-molecular-weight grafting plasticized the matrix near the nanotube surface.
However, the inclusion of nanoparticles in polymer matrices, even when well-dispersed, does not necessarily lead to an improvement in elasticity or shear moduli. A key factor that influences this behavior is the effect of nanoparticles on the glass transition temperature (Tg) of the composite material [120]. The addition of nanoparticles, particularly those with high surface area, can disrupt the packing of polymer chains, resulting in increased free volume at the nanoparticle/polymer interface. This typically causes a decrease in Tg relative to the pure polymer, as the polymer chains exhibit greater mobility at lower temperatures. This reduction in Tg can lead to a decrease in the overall rigidity of the material, which may negatively affect its mechanical properties, such as elasticity and shear modulus. Furthermore, the interaction between the nanoparticles and the polymer matrix dependent on nanoparticle size, surface functionalization, and loading plays a crucial role in determining the extent of Tg reduction. While well-dispersed nanoparticles can enhance mechanical properties by reinforcing the polymer matrix, excessive nanoparticle loading or poor dispersion can lead to agglomeration, which can further diminish the mechanical performance and exacerbate the reduction in Tg. Consequently, the relationship between nanoparticle incorporation, Tg, and the composite’s mechanical behavior should be carefully considered, as changes in Tg do not always correlate directly with improvements in elasticity or shear moduli [121,122].
In Figure 19, the storage shear modulus at 420 K is plotted against filler volume fraction and compared to the Halpin–Kardos (HK) model, using parameters (CNT Young’s modulus = 750 GPa; f = 80). For CNT fractions below 0.5 vol.%, the moduli aligned well with HK predictions. However, at higher fractions, observed moduli exceeded expectations, highlighting the impact of nanotube entanglements on mechanical behavior, especially when the polymer acts nearly as a liquid. This suggests that the HK model, which overlooks filler–filler interactions, underestimates experimental data. Additionally, PS-g-CNx composites were less stiff than a-CNx MWNT composites due to the lubricant effect of the grafted PS layer aiding nanotube disentanglement.
Moskalyuk et al. [123] investigated the elastic properties of polystyrene-based nanocomposites filled with various inclusions such as SiO2, Al2O3, alumosilicates, and carbon nanofillers. Composites were fabricated using melt technology, and both linear and non-linear elastic properties were studied. The addition of rigid fillers significantly increased the elastic modulus, with carbon fillers achieving up to an 80% rise. Non-linear elastic moduli were more sensitive to filler content than linear ones. Figure 20a shows the elastic modulus as a function of filler type and concentration, highlighting that carbon-based fillers had the greatest impact on improving elasticity. Marcourt et al. [124] studied CNT-filled conductive polymer composites (CPCs) using pure polystyrene (PS) and high-impact polystyrene (HIPS). They employed a volume segregation strategy to achieve conductivity at low CNT content by maintaining a continuous phase of the filler. The study monitored electrical conductivity and elongational stress, showing that while both composites behaved similarly during CNT network destruction, the HIPS nodules slightly hindered the structuring during deformation.
Figure 20b shows storage modulus (G′) vs. frequency for PS composites, and Figure 20c for HIPS composites, highlighting higher modulus in HIPS due to rubber nodules. Figure 20d illustrates equilibrium modulus vs. filler concentration, where PS follows a percolation exponent of 2.76, while HIPS exhibits a lower exponent of 1.84, indicating a different network structure. Furthermore, the percolation of fillers within the liquid matrix contributes to weak solidification, as demonstrated by oscillatory shear measurements. This effect is particularly relevant in Figure 20b,c, where the storage modulus trends indicate the gradual transition from liquid-like to weakly solid-like behavior due to filler network formation. In Figure 20d, the percolation exponent differences between PS and HIPS also highlight the distinct network structures and how filler percolation influences the overall modulus behavior.

5. Challenges and Future Perspectives

The development of polystyrene/carbon nanotube (PS/CNT) composites presents several intricate challenges that must be addressed to fully harness their potential in various applications. One of the most pressing issues is achieving a uniform dispersion of carbon nanotubes (CNTs) within the PS matrix. The high surface area and strong van der Waals forces inherent to CNTs often lead to significant aggregation, which can severely detract from the mechanical and rheological properties of the composite material. While techniques such as sonication, high-shear mixing, and functionalization have been employed to improve dispersion, each method has inherent limitations; for instance, sonication can induce fragmentation, and high-shear mixing may result in thermal degradation. Consequently, future research must focus on exploring innovative dispersion strategies, including advanced mechanical mixing techniques and the development of novel surfactants tailored for CNT stabilization, to achieve a more homogeneous distribution without compromising the integrity of the CNTs.
Equally critical is the challenge of ensuring strong interfacial bonding between CNTs and the PS matrix. The chemically inert and smooth surface of CNTs can hinder effective stress transfer, thereby undermining the potential mechanical enhancements that these composites can offer. Functionalization of CNTs serves as a common approach to enhance interfacial interactions; however, it may inadvertently alter the properties of the CNTs, which can diminish their reinforcing capabilities. Thus, the pursuit of new functionalization methods that enhance compatibility while preserving the unique characteristics of CNTs is vital. Additionally, the exploration of coupling agents and compatibilizers that promote better interactions between CNTs and PS could provide further improvements in composite performance.
Scalability and cost remain significant barriers to the commercialization of PS/CNT composites. The expense associated with producing high-quality CNTs and the complexity of ensuring consistent dispersion and performance at an industrial scale present a terrible challenge. To mitigate these issues, ongoing research is focused on developing more cost-effective synthesis methods for CNTs, as well as optimizing processing conditions that enhance the feasibility of large-scale manufacturing. Furthermore, the environmental and health implications of CNTs cannot be overlooked. Concerns regarding their toxicity to human health and ecosystems necessitate a concerted effort to develop safer, low-toxicity variants of CNTs, alongside improved handling and disposal methods.
To address the challenges associated with the development of polystyrene/carbon nanotube (PS/CNT) composites, several targeted solutions can be implemented. Achieving uniform dispersion of CNTs can be facilitated through advanced mixing techniques, such as combining high-energy ultrasonic mixing with high-shear mixing to maintain CNT integrity. The development and use of novel surfactants specifically designed for CNT stabilization will further enhance dispersion without negatively impacting their properties. Employing in situ polymerization methods during the synthesis of PS may also promote improved CNT distribution. For ensuring strong interfacial bonding, optimizing functionalization techniques is crucial; this includes grafting polymer chains onto CNT surfaces and incorporating effective coupling agents that enhance compatibility with the PS matrix. Investigating hybrid composites that combine CNTs with other nanofillers can also improve bonding and overall performance. Addressing scalability and cost concerns necessitates research into more cost-effective synthesis methods for CNTs, such as using alternative precursors in chemical vapor deposition (CVD), while optimizing processing parameters for efficiency and quality. Collaborations between academia and industry can also foster knowledge sharing and resource utilization for scalable production. To mitigate environmental and health concerns, the development of low-toxicity CNTs and comprehensive safe handling protocols is essential. Moreover, formulating biodegradable PS/CNT composites and conducting lifecycle assessments will help ensure environmental sustainability. Finally, leveraging interdisciplinary collaboration and computational tools is vital; promoting research initiatives that integrate machine learning can accelerate the identification of optimal material formulations and processing conditions. Together, these solutions present a comprehensive approach to advancing the field of PS/CNT composites and realizing their full potential in various applications.

6. Conclusions

The rheological properties of PS/CNT composites are crucial for their processing and performance in advanced applications. Incorporating CNTs significantly alters parameters such as viscosity, elasticity, and flow behavior, making uniform dispersion a critical challenge. Agglomeration due to strong van der Waals forces increases viscosity and reduces flowability, complicating processing methods. The interaction mechanisms, including Van der Waals forces, covalent bonding, and π-π stacking, enhance viscoelastic properties and facilitate better stress transfer from the matrix to CNTs, improving mechanical performance. Preparation methods, such as melt mixing, solution mixing, and others, significantly impact on the rheological behavior, presenting unique advantages and limitations regarding CNT dispersion. PS/CNT composites typically exhibit shear thinning and viscoelastic characteristics, which are essential for extrusion and injection molding. Achieving the right balance between viscosity and elasticity is vital for effective material processing while maintaining the final product’s integrity. This review highlights the current challenges and future directions in the field and is a valuable resource for new researchers. Our comprehensive collection of data and insights can guide future investigations, helping to foster innovation in the development and optimization of PS/CNT composites. By addressing existing challenges and leveraging this accumulated knowledge, the full potential of PS/CNT composites can be realized across various industries, including electronics, aerospace, and automotive engineering.

Author Contributions

Writing—original draft preparation, S.Y.; writing—review and editing, Z.A.; formal analysis and investigation, S.A.; revision and analysis, A.D. All authors have read and agreed to the published version of the manuscript.

Funding

This research received no external funding.

Conflicts of Interest

The authors declare no conflicts of interest.

References

  1. Oladele, I.O.; Omotosho, T.F.; Adediran, A.A. Polymer-based composites: An indispensable material for present and future applications. Int. J. Polym. Sci. 2020, 2020, 8834518. [Google Scholar] [CrossRef]
  2. Kashfipour, M.A.; Mehra, N.; Zhu, J. A review on the role of interface in mechanical, thermal, and electrical properties of polymer composites. Adv. Compos. Hybrid. Mater. 2018, 1, 415–439. [Google Scholar]
  3. Mergen, Ö.B.; Arda, E.; Evingür, G.A. Electrical, optical, and mechanical percolations of multi-walled carbon nanotube and carbon mesoporous-doped polystyrene composites. J. Compos. Mater. 2020, 54, 31–44. [Google Scholar] [CrossRef]
  4. Pantano, A. Mechanical properties of CNT/polymer. In Carbon Nanotube-Reinforced Polymers; Elsevier: Amsterdam, The Netherlands, 2018; pp. 201–232. [Google Scholar]
  5. Li, H.; Wang, G.; Wu, Y.; Jiang, N.; Niu, K. Functionalization of Carbon Nanotubes in Polystyrene and Properties of Their Composites: A Review. Polymers 2024, 16, 770. [Google Scholar] [CrossRef]
  6. Park, J.S.; An, J.H.; Jang, K.-S.; Lee, S.J. Rheological and electrical properties of polystyrene nanocomposites via incorporation of polymer-wrapped carbon nanotubes. Korea-Aust. Rheol. J. 2019, 31, 111–118. [Google Scholar]
  7. Lee, J.; Kim, H. Rheological properties and phase structure of polypropylene/polystyrene/multiwalled carbon nanotube composites. Korea-Aust. Rheol. J. 2020, 32, 153–158. [Google Scholar]
  8. Khaksar, M.-R.; Ghazi-Khansari, M. Determination of migration monomer styrene from GPPS (general purpose polystyrene) and HIPS (high impact polystyrene) cups to hot drinks. Toxicol. Mech. Methods 2009, 19, 257–261. [Google Scholar]
  9. Alfarraj, A.; Nauman, E.B. Super HIPS: Improved high impact polystyrene with two sources of rubber particles. Polymer 2004, 45, 8435–8442. [Google Scholar]
  10. Ramli Sulong, N.H.; Mustapa, S.A.S.; Abdul Rashid, M.K. Application of expanded polystyrene (EPS) in buildings and constructions: A review. J. Appl. Polym. Sci. 2019, 136, 47529. [Google Scholar] [CrossRef]
  11. Aksit, M.; Zhao, C.; Klose, B.; Kreger, K.; Schmidt, H.-W.; Altstädt, V. Extruded polystyrene foams with enhanced insulation and mechanical properties by a benzene-trisamide-based additive. Polymers 2019, 11, 268. [Google Scholar] [CrossRef]
  12. Baugh, L.S.; Schulz, D.N. Discovery of syndiotactic polystyrene: Its synthesis and impact. Polymer 2020, 53, 3627–3631. [Google Scholar] [CrossRef]
  13. Moniruzzaman, M.; Winey, K.I. Polymer nanocomposites containing carbon nanotubes. Macromolecules 2006, 39, 5194–5205. [Google Scholar] [CrossRef]
  14. Ali, Z.; Yaqoob, S.; Yu, J.; D’Amore, A. Critical review on the characterization, preparation, and enhanced mechanical, thermal, and electrical properties of carbon nanotubes and their hybrid filler polymer composites for various applications. Composites Part C Open Access 2024, 13, 100434. [Google Scholar] [CrossRef]
  15. Dervishi, E.; Li, Z.; Xu, Y.; Saini, V.; Biris, A.R.; Lupu, D.; Biris, A.S. Carbon nanotubes: Synthesis, properties, and applications. Part. Sci. Technol. 2009, 27, 107–125. [Google Scholar] [CrossRef]
  16. Arrigo, R.; Malucelli, G. Rheological behavior of polymer/carbon nanotube composites: An overview. Materials 2020, 13, 2771. [Google Scholar] [CrossRef]
  17. Zhang, Q.; Fang, F.; Zhao, X.; Li, Y.; Zhu, M.; Chen, D. Use of dynamic rheological behavior to estimate the dispersion of carbon nanotubes in carbon nanotube/polymer composites. J. Phys. Chem. B 2008, 112, 12606–12611. [Google Scholar] [CrossRef]
  18. Mohd Nurazzi, N.; Asyraf, M.M.; Khalina, A.; Abdullah, N.; Sabaruddin, F.A.; Kamarudin, S.H.; Ahmad, S.b.; Mahat, A.M.; Lee, C.L.; Aisyah, H. Fabrication, functionalization, and application of carbon nanotube-reinforced polymer composite: An overview. Polymers 2021, 13, 1047. [Google Scholar] [CrossRef]
  19. Grady, B.P. Effects of carbon nanotubes on polymer physics. J. Polym. Sci. Part B Polym. Phys. 2012, 50, 591–623. [Google Scholar] [CrossRef]
  20. Kaseem, M.; Hamad, K.; Ko, Y.G. Fabrication and materials properties of polystyrene/carbon nanotube (PS/CNT) composites: A review. Eur. Polym. J. 2016, 79, 36–62. [Google Scholar] [CrossRef]
  21. Parnian, P.; D’Amore, A. Investigating the electrical and mechanical properties of polystyrene (PS)/untreated SWCNT nanocomposite films. J. Compos. Sci. 2024, 8, 49. [Google Scholar] [CrossRef]
  22. Hoseini, A.H.A.; Arjmand, M.; Sundararaj, U.; Trifkovic, M. Significance of interfacial interaction and agglomerates on electrical properties of polymer-carbon nanotube nanocomposites. Mater. Des. 2017, 125, 126–134. [Google Scholar]
  23. Pérez, E.M.; Martín, N. π–π interactions in carbon nanostructures. Chem. Soc. Rev. 2015, 44, 6425–6433. [Google Scholar] [PubMed]
  24. Guadagno, L.; Raimondo, M.; Vertuccio, L.; Naddeo, C.; Barra, G.; Longo, P.; Lamberti, P.; Spinelli, G.; Nobile, M. Morphological, rheological and electrical properties of composites filled with carbon nanotubes functionalized with 1-pyrenebutyric acid. Compos. Part B Eng. 2018, 147, 12–21. [Google Scholar]
  25. Wheeler, S.E.; Bloom, J.W. Toward a more complete understanding of noncovalent interactions involving aromatic rings. J. Phys. Chem. A 2014, 118, 6133–6147. [Google Scholar]
  26. Wang, K.; Li, N.; Ren, K.; Zhang, Q.; Fu, Q. Exploring interfacial enhancement in polystyrene/multiwalled carbon nanotube monofilament induced by stretching. Compos. Part A Appl. Sci. Manuf. 2014, 61, 84–90. [Google Scholar]
  27. Yin, X.; Li, Q.; Wang, H.; Yang, W.; Zhou, X.; Zhang, H.; Lyu, W. Enhancing the reinforcing efficiency in CNT nanocomposites via the development of pyrene-based active dispersants. RSC Adv. 2021, 11, 23892–23900. [Google Scholar]
  28. Khan, M.U.; Gomes, V.G.; Altarawneh, I.S. Synthesizing polystyrene/carbon nanotube composites by emulsion polymerization with non-covalent and covalent functionalization. Carbon 2010, 48, 2925–2933. [Google Scholar]
  29. Erkmen, B. Polystyrene-Based and Carbon Fabric-Reinforced Polymer composites Containing Carbon Nanotubes: Preparation, Modification and Characterization. Ph.D. Thesis, Middle East Technical University, Cankaya, Turkey, 2020. [Google Scholar]
  30. Keshmiri, N.; Hoseini, A.H.A.; Najmi, P.; Liu, J.; Milani, A.S.; Arjmand, M. Highly conductive polystyrene/carbon nanotube/PEDOT: PSS nanocomposite with segregated structure for electromagnetic interference shielding. Carbon 2023, 212, 118104. [Google Scholar]
  31. Shrivastava, N.K.; Khatua, B. Development of electrical conductivity with minimum possible percolation threshold in multi-wall carbon nanotube/polystyrene composites. Carbon 2011, 49, 4571–4579. [Google Scholar]
  32. Shrivastava, N.; Maiti, S.; Suin, S.; Khatua, B. Influence of selective dispersion of MWCNT on electrical percolation of in-situ polymerized high-impact polystyrene/MWCNT nanocomposites. Express Polym. Lett. 2014, 8, 15–29. [Google Scholar]
  33. Navas, I.O.; Kamkar, M.; Arjmand, M.; Sundararaj, U. Morphology evolution, molecular simulation, electrical properties, and rheology of carbon nanotube/polypropylene/polystyrene blend nanocomposites: Effect of molecular interaction between styrene-butadiene block copolymer and carbon nanotube. Polymers 2021, 13, 230. [Google Scholar] [CrossRef] [PubMed]
  34. Huang, Y.; Terentjev, E. Dispersion and rheology of carbon nanotubes in polymers. Int. J. Mater. Form. 2008, 1, 63–74. [Google Scholar]
  35. Graves, K.A.; Higgins, L.J.; Nahil, M.A.; Mishra, B.; Williams, P.T. Structural comparison of multi-walled carbon nanotubes produced from polypropylene and polystyrene waste plastics. J. Anal. Appl. Pyrolysis 2022, 161, 105396. [Google Scholar] [CrossRef]
  36. Hobbie, E.K. Shear rheology of carbon nanotube suspensions. Rheol. Acta 2010, 49, 323–334. [Google Scholar]
  37. Yousfi, M.; Alix, S.; Lebeau, M.; Soulestin, J.; Lacrampe, M.-F.; Krawczak, P. Evaluation of rheological properties of non-Newtonian fluids in micro rheology compounder: Experimental procedures for a reliable polymer melt viscosity measurement. Polym. Test. 2014, 40, 207–217. [Google Scholar]
  38. Zhang, Q.; Wang, J.; Guo, B.-H.; Guo, Z.-X.; Yu, J. Electrical conductivity of carbon nanotube-filled miscible poly (phenylene oxide)/polystyrene blends prepared by melt compounding. Compos. Part B Eng. 2019, 176, 107213. [Google Scholar]
  39. Papageorgiou, D.G.; Li, Z.; Liu, M.; Kinloch, I.A.; Young, R.J. Mechanisms of mechanical reinforcement by graphene and carbon nanotubes in polymer nanocomposites. Nanoscale 2020, 12, 2228–2267. [Google Scholar] [CrossRef]
  40. Stegen, J. Mechanics of carbon nanotube scission under sonication. J. Chem. Phys. 2014, 140, 244908. [Google Scholar]
  41. Ishak, K.A.; Annuar, M.S.M.; Aris, M.H. Chain scission by ultrasonication of polycaprolactone with different initial molecular weight and concentration. J. Polym. Res. 2022, 29, 134. [Google Scholar]
  42. Erkmen, B.; Bayram, G. Influence of nanocomposite preparation techniques on the multifunctional properties of carbon fabric-reinforced polystyrene-based composites with carbon nanotubes. SPE Polym. 2022, 3, 163–175. [Google Scholar]
  43. Sen, P.; Suresh, K.; Kumar, R.V.; Kumar, M.; Pugazhenthi, G. A simple solvent blending coupled sonication technique for synthesis of polystyrene (PS)/multi-walled carbon nanotube (MWCNT) nanocomposites: Effect of modified MWCNT content. J. Sci. Adv. Mater. Devices 2016, 1, 311–323. [Google Scholar] [CrossRef]
  44. Riolo, D.; Piazza, A.; Cottini, C.; Serafini, M.; Lutero, E.; Cuoghi, E.; Gasparini, L.; Botturi, D.; Marino, I.G.; Aliatis, I. Raman spectroscopy as a PAT for pharmaceutical blending: Advantages and disadvantages. J. Pharm. Biomed. Anal. 2018, 149, 329–334. [Google Scholar] [CrossRef] [PubMed]
  45. Azubuike, L.; Sundararaj, U. Interface strengthening of PS/APA polymer blend nanocomposites via in situ compatibilization: Enhancement of electrical and rheological properties. Materials 2021, 14, 4813. [Google Scholar] [PubMed]
  46. Patole, A.S.; Patole, S.; Yoo, J.B.; Ahn, J.H.; Kim, T.H. Effective in situ synthesis and characteristics of polystyrene nanoparticle-covered multiwall carbon nanotube composite. J. Polym. Sci. Part B Polym. Phys. 2009, 47, 1523–1529. [Google Scholar] [CrossRef]
  47. Rane, A.V.; Kanny, K.; Abitha, V.; Thomas, S. Methods for synthesis of nanoparticles and fabrication of nanocomposites. In Synthesis of Inorganic Nanomaterials; Elsevier: Amsterdam, The Netherlands, 2018; pp. 121–139. [Google Scholar]
  48. Quijano, J.R.B. Mechanical, Electrical and Sensing Properties of Melt-Spun Polymer Fibers Filled with Carbon Nanoparticles. Ph.D. Thesis, Technical University of Dresden, Dresden, Germany, 2018. [Google Scholar]
  49. Farha, F.I.; Wei, X.; Zhang, Q.; Liu, W.; Chen, W.; Liu, L.; Xu, F. Microstructural tuning of twisted carbon nanotube yarns through the wet-compression process: Implications for multifunctional textiles. ACS Appl. Nano Mater. 2022, 5, 11071–11079. [Google Scholar]
  50. Zhao, X.; Kong, D.; Tao, J.; Kong, N.; Mota-Santiago, P.; Lynch, P.A.; Shao, Y.; Zhang, J. Wet Twisting in spinning for rapid and cost-effective fabrication of superior carbon nanotube yarns. Adv. Funct. Mater. 2024, 34, 2400197. [Google Scholar]
  51. Prasad, G.; Chakradhar, R.; Bera, P.; Anand Prabu, A. UV and thermally stable polystyrene-MWCNT superhydrophobic coatings. Surf. Interface Anal. 2017, 49, 93–98. [Google Scholar]
  52. Zhou, X.; Zhu, Y.; Liang, J.; Yu, S. New fabrication of Styrene-Butadiene Rubber/Carbon Nanotubes nanocomposite and corresponding mechanical properties. Mater. Sci. Technol. 2010, 26, 1127. [Google Scholar]
  53. Tambe, S.; Jain, D.; Meruva, S.K.; Rongala, G.; Juluri, A.; Nihalani, G.; Mamidi, H.K.; Nukala, P.K.; Bolla, P.K. Recent advances in amorphous solid dispersions: Preformulation, formulation strategies, technological advancements and characterization. Pharmaceutics 2022, 14, 2203. [Google Scholar] [CrossRef]
  54. Ozmen, L.; Langrish, T. A study of the limitations to spray dryer outlet performance. Dry. Technol. 2003, 21, 895–917. [Google Scholar]
  55. Byun, S.; Lee, J.; Lee, J.; Jeong, S. Reusable carbon nanotube-embedded polystyrene/polyacrylonitrile nanofibrous sorbent for managing oil spills. Desalination 2022, 537, 115865. [Google Scholar] [CrossRef]
  56. Parangusan, H.; Ponnamma, D.; Hassan, M.K.; Adham, S.; Al-Maadeed, M.A.A. Designing carbon nanotube-based oil absorbing membranes from gamma irradiated and electrospun polystyrene nanocomposites. Materials 2019, 12, 709. [Google Scholar] [CrossRef] [PubMed]
  57. Oliveira, E.Y.; Bode, R.; Escárcega-Bobadilla, M.V.; Zelada-Guillén, G.A.; Maier, G. Polymer nanocomposites from self-assembled polystyrene-grafted carbon nanotubes. New J. Chem. 2016, 40, 4625–4634. [Google Scholar]
  58. Liu, Y.; Wang, G.-J. A novel method for well-organized polystyrene-grafted multi-walled carbon nanotube bundles via self-assembly in tetrahydrofuran. Fibers Polym. 2013, 14, 1073–1081. [Google Scholar] [CrossRef]
  59. Zhang, C.; Liu, T.; Lu, X. Facile fabrication of polystyrene/carbon nanotube composite nanospheres with core-shell structure via self-assembly. Polymer 2010, 51, 3715–3721. [Google Scholar] [CrossRef]
  60. Song, J.; Wang, F.; Yang, X.; Ning, B.; Harp, M.G.; Culp, S.H.; Hu, S.; Huang, P.; Nie, L.; Chen, J. Gold nanoparticle coated carbon nanotube ring with enhanced raman scattering and photothermal conversion property for theranostic applications. J. Am. Chem. Soc. 2016, 138, 7005–7015. [Google Scholar] [CrossRef]
  61. Lv, Q.; Tao, X.; Shi, S.; Li, Y.; Chen, N. From materials to components: 3D-printed architected honeycombs toward high-performance and tunable electromagnetic interference shielding. Compos. Part B Eng. 2022, 230, 109500. [Google Scholar] [CrossRef]
  62. Baskakova, K.I.; Okotrub, A.V.; Bulusheva, L.G.; Sedelnikova, O.V. Manufacturing of carbon nanotube-polystyrene filament for 3D printing: Nanoparticle dispersion and electromagnetic properties. Nanomanufacturing 2022, 2, 292–301. [Google Scholar] [CrossRef]
  63. Zheng, Y.; Huang, X.; Chen, J.; Wu, K.; Wang, J.; Zhang, X. A review of conductive carbon materials for 3D printing: Materials, technologies, properties, and applications. Materials 2021, 14, 3911. [Google Scholar] [CrossRef]
  64. Tian, Y.; Park, J.G.; Cheng, Q.; Liang, Z.; Zhang, C.; Wang, B. The fabrication of single-walled carbon nanotube/polyelectrolyte multilayer composites by layer-by-layer assembly and magnetic field assisted alignment. Nanotechnology 2009, 20, 335601. [Google Scholar] [CrossRef]
  65. Zhao, S.; Caruso, F.; Dähne, L.; Decher, G.; De Geest, B.G.; Fan, J.; Feliu, N.; Gogotsi, Y.; Hammond, P.T.; Hersam, M.C. The future of layer-by-layer assembly: A tribute to ACS nano associate editor Helmuth Mohwald. ACS Nano 2019, 13, 6151–6169. [Google Scholar] [PubMed]
  66. Zhang, Z.; Zeng, J.; Groll, J.; Matsusaki, M. Layer-by-layer assembly methods and their biomedical applications. Biomater. Sci. 2022, 10, 4077–4094. [Google Scholar]
  67. Hong, J.; Han, J.Y.; Yoon, H.; Joo, P.; Lee, T.; Seo, E.; Char, K.; Kim, B.-S. Carbon-based layer-by-layer nanostructures: From films to hollow capsules. Nanoscale 2011, 3, 4515–4531. [Google Scholar] [CrossRef]
  68. Srivastava, S.; Kotov, N.A. Composite layer-by-layer (LBL) assembly with inorganic nanoparticles and nanowires. Acc. Chem. Res. 2008, 41, 1831–1841. [Google Scholar] [CrossRef]
  69. Zhang, X.; Chen, H.; Zhang, H. Layer-by-layer assembly: From conventional to unconventional methods. Chem. Commun. 2007, 8, 1395–1405. [Google Scholar]
  70. Lubineau, G.; Rahaman, A. A review of strategies for improving the degradation properties of laminated continuous-fiber/epoxy composites with carbon-based nanoreinforcements. Carbon 2012, 50, 2377–2395. [Google Scholar]
  71. Shi, C.; Qian, X.; Jing, J.; Che, H. Functionalized CNTs with DOPO and silicon containing agents: Effective reinforcer for thermal and flame retardant properties of polystyrene nanocomposites. Front. Chem. 2021, 8, 627642. [Google Scholar]
  72. Liao, C.-H.; Hung, P.-S.; Cheng, Y.; Wu, P.-W. Combination of microspheres and sol-gel electrophoresis for the formation of large-area ordered macroporous SiO2. Electrochem. Commun. 2017, 85, 6–10. [Google Scholar] [CrossRef]
  73. Gao, B.; Chen, G.Z.; Puma, G.L. Carbon nanotubes/titanium dioxide (CNTs/TiO2) nanocomposites prepared by conventional and novel surfactant wrapping sol–gel methods exhibiting enhanced photocatalytic activity. Appl. Catal. B Environ. 2009, 89, 503–509. [Google Scholar]
  74. Toyama, N.; Takahashi, T.; Terui, N.; Furukawa, S. Synthesis of polystyrene@ TiO2 core–shell particles and their photocatalytic activity for the decomposition of methylene blue. Inorganics 2023, 11, 343. [Google Scholar] [CrossRef]
  75. Lai, H.; Zhao, Z.; Yu, W.; Lin, Y.; Feng, Z. Physicochemical and Antibacterial Evaluation of TiO2/CNT Mesoporous Nanomaterials Prepared by High-Pressure Hydrothermal Sol–Gel Method under an Ultrasonic Composite Environment. Molecules 2023, 28, 3190. [Google Scholar] [CrossRef] [PubMed]
  76. Modan, E.M.; PLĂIAȘU, A.G. Advantages and disadvantages of chemical methods in the elaboration of nanomaterials. Ann. “Dunarea De Jos” Univ. Galati. Fascicle IX Metall. Mater. Sci. 2020, 43, 53–60. [Google Scholar]
  77. Rybakov, K.I.; Olevsky, E.A.; Krikun, E.V. Microwave sintering: Fundamentals and modeling. J. Am. Ceram. Soc. 2013, 96, 1003–1020. [Google Scholar]
  78. Xie, Y.; Li, Z.; Tang, J.; Li, P.; Chen, W.; Liu, P.; Li, L.; Zheng, Z. Microwave-assisted foaming and sintering to prepare lightweight high-strength polystyrene/carbon nanotube composite foams with an ultralow percolation threshold. J. Mater. Chem. C 2021, 9, 9702–9711. [Google Scholar]
  79. Shahbazi, M.; Aghvami-Panah, M.; Panahi-Sarmad, M.; Seraji, A.A.; Zeraatkar, A.; Ghaffarian Anbaran, R.; Xiao, X. Fabricating bimodal microcellular structure in polystyrene/carbon nanotube/glass-fiber hybrid nanocomposite foam by microwave-assisted heating: A proof-of-concept study. J. Appl. Polym. Sci. 2022, 139, 52125. [Google Scholar]
  80. Rezvanpanah, E.; Anbaran, S.R.G.; Di Maio, E. Carbon nanotubes in microwave foaming of thermoplastics. Carbon 2017, 125, 32–38. [Google Scholar]
  81. Zubair, M.; Ferrari, R.; Alagha, O.; Mu’azu, N.D.; Blaisi, N.I.; Ateeq, I.S.; Manzar, M.S. Microwave foaming of materials: An emerging field. Polymers 2020, 12, 2477. [Google Scholar] [CrossRef]
  82. Baghel, P.; Sakhiya, A.K.; Kaushal, P. Ultrafast growth of carbon nanotubes using microwave irradiation: Characterization and its potential applications. Heliyon 2022, 8, e10943. [Google Scholar]
  83. Granados-Martínez, F.G.; Domratcheva-Lvova, L.; Flores-Ramírez, N.; García-González, L.; Zamora-Peredo, L.; de Mondragón-Sánchez, M.L. Composite films from polystyrene with hydroxyl end groups and carbon nanotubes. Mater. Res. 2017, 19, 133–138. [Google Scholar]
  84. Guzenko, N.; Godzierz, M.; Kurtyka, K.; Hercog, A.; Nocoń-Szmajda, K.; Gawron, A.; Szeluga, U.; Trzebicka, B.; Yang, R.; Rümmeli, M.H. Flexible Piezoresistive Polystyrene Composite Sensors Filled with Hollow 3D Graphitic Shells. Polymers 2023, 15, 4674. [Google Scholar] [CrossRef]
  85. Bicerano, J.; Douglas, J.F.; Brune, D.A. Model for the viscosity of particle dispersions. J. Macromol. Sci. Part C Polym. Rev. 1999, 39, 561–642. [Google Scholar]
  86. Chatterjee, T.; Krishnamoorti, R. Rheology of polymer carbon nanotubes composites. Soft Matter 2013, 9, 9515–9529. [Google Scholar] [CrossRef] [PubMed]
  87. Tiwari, M.K.; Bazilevsky, A.V.; Yarin, A.L.; Megaridis, C.M. Elongational and shear rheology of carbon nanotube suspensions. Rheol. Acta 2009, 48, 597–609. [Google Scholar] [CrossRef]
  88. Ma, A.W.; Mackley, M.R.; Chinesta, F. The microstructure and rheology of carbon nanotube suspensions. Int. J. Mater. Form. 2008, 1, 75–81. [Google Scholar]
  89. Ma, A.W.; Chinesta, F.; Mackley, M.R.; Ammar, A. The rheological modelling of carbon nanotube (CNT) suspensions in steady shear flows. Int. J. Mater. Form. 2008, 1, 83–88. [Google Scholar]
  90. Münstedt, H. Extensional rheology and processing of polymeric materials. Int. Polym. Process. 2018, 33, 594–618. [Google Scholar]
  91. Miyazono, K.; Kagarise, C.D.; Koelling, K.W.; Mahboob, M.; Bechtel, S.E. Shear and extensional rheology and flow-induced orientation of carbon nanofiber/polystyrene melt composites. J. Appl. Polym. Sci. 2011, 119, 1940–1951. [Google Scholar]
  92. Rizvi, A.; Bae, S.S.; Mohamed, N.M.; Lee, J.H.; Park, C.B. Extensional flow resistance of 3D fiber networks in plasticized nanocomposites. Macromolecules 2019, 52, 6467–6473. [Google Scholar]
  93. Kamkar, M.; Aliabadian, E.; Shayesteh Zeraati, A.; Sundararaj, U. Application of nonlinear rheology to assess the effect of secondary nanofiller on network structure of hybrid polymer nanocomposites. Phys. Fluids 2018, 30, 023102. [Google Scholar]
  94. Kamkar, M.; Sultana, S.N.; Pawar, S.P.; Eshraghian, A.; Erfanian, E.; Sundararaj, U. The key role of processing in tuning nonlinear viscoelastic properties and microwave absorption in CNT-based polymer nanocomposites. Mater. Today Commun. 2020, 24, 101010. [Google Scholar]
  95. Lim, H.T.; Ahn, K.H.; Hong, J.S.; Hyun, K. Nonlinear viscoelasticity of polymer nanocomposites under large amplitude oscillatory shear flow. J. Rheol. 2013, 57, 767–789. [Google Scholar] [CrossRef]
  96. Larson, R.G.; Wei, Y. A review of thixotropy and its rheological modeling. J. Rheol. 2019, 63, 477–501. [Google Scholar]
  97. Mitchell, C.A.; Bahr, J.L.; Arepalli, S.; Tour, J.M.; Krishnamoorti, R. Dispersion of functionalized carbon nanotubes in polystyrene. Macromolecules 2002, 35, 8825–8830. [Google Scholar]
  98. Garmestani, H.; Al-Haik, M.S.; Dahmen, K.; Tannenbaum, R.; Li, D.; Sablin, S.S.; Hussaini, M.Y. Polymer-mediated alignment of carbon nanotubes under high magnetic fields. Adv. Mater. 2003, 15, 1918–1921. [Google Scholar]
  99. Pötschke, P.; Fornes, T.; Paul, D. Rheological behavior of multiwalled carbon nanotube/polycarbonate composites. Polymer 2002, 43, 3247–3255. [Google Scholar]
  100. Vodnik, V.V.; Dzunuzovic, E.; Dzunuzovic, J. Synthesis and characterization of polystyrene based nanocomposites. In Polystyrene: Synthesis, Characteristics and Applications, 1st ed.; Lynwood, C., Ed.; Nova Science Publishers: Hauppauge, NY, USA, 2014; pp. 201–240. [Google Scholar]
  101. Rubinstein, M.; Colby, R.H. Polymer Physics; Oxford University Press: Oxford, UK, 2003. [Google Scholar]
  102. Larson, R.G. The Structure and Rheology of Complex Fluids; Oxford University Press: New York, NY, USA, 1999; Volume 150. [Google Scholar]
  103. Sukumaran, A.; Das, K.; Rawat, K.; Bohidar, H. Universal Validity of Einstein Relation and Size-Dependent Viscosity and Surface-Active Characteristics of Nanofluids. Int. J. Nanosci. 2018, 17, 1850006. [Google Scholar]
  104. Banfill, P.F.G. Concentration effects in the rheology of cement pastes: Krieger-Dougherty revisited. In Proceedings of the 13th International Congress on the Chemistry of Cement, Madrid, Spain, 5 October 2012. [Google Scholar]
  105. Guillot, P.; Colin, A. Determination of the flow curve of complex fluids using the Rabinowitsch–Mooney equation in sensorless microrheometer. Microfluid. Nanofluid. 2014, 17, 605–611. [Google Scholar] [CrossRef]
  106. PAL, R. Evaluation of the Mooney viscosity/concentration equation for liquid-liquid emulsions. Chem. Eng. Commun. 1990, 89, 209–214. [Google Scholar]
  107. Ferry, J. Viscoelastic Properties of Polymers; Wiley: Hoboken, NJ, USA, 1980; Volume 264. [Google Scholar]
  108. Tadros, T.F. Rheology of Dispersions: Principles and Applications; John Wiley & Sons: Hoboken, NJ, USA, 2011. [Google Scholar]
  109. Park, S.-D.; Han, D.-H.; Teng, D.; Kwon, Y. Rheological properties and dispersion of multi-walled carbon nanotube (MWCNT) in polystyrene matrix. Curr. Appl. Phys. 2008, 8, 482–485. [Google Scholar]
  110. Saasen, A.; Ytrehus, J.D. Viscosity models for drilling fluids—Herschel-bulkley parameters and their use. Energies 2020, 13, 5271. [Google Scholar] [CrossRef]
  111. Negishi, H.; Kondo, M.; Amakawa, H.; Obara, S.; Kurose, R. Bingham fluid simulations using a physically consistent particle method. J. Fluid. Sci. Technol. 2023, 18, JFST0035. [Google Scholar]
  112. Yusufi, B.; Kapelan, Z.; Mehta, D. Advances in modeling the flow of Herschel–Bulkley fluids in pipes: A review. Phys. Fluids 2025, 37, 021302. [Google Scholar]
  113. Massoudi, M.; Phuoc, T.X. Remarks on constitutive modeling of nanofluids. Adv. Mech. Eng. 2012, 4, 927580. [Google Scholar] [CrossRef]
  114. Kagarise, C.; Xu, J.; Wang, Y.; Mahboob, M.; Koelling, K.W.; Bechtel, S.E. Transient shear rheology of carbon nanofiber/polystyrene melt composites. J. Non-Newton. Fluid Mech. 2010, 165, 98–109. [Google Scholar] [CrossRef]
  115. Jarali, C.S.; Patil, S.F.; Pilli, S.C.; Lu, Y.C. Modeling the effective elastic properties of nanocomposites with circular straight CNT fibers reinforced in the epoxy matrix. J. Mater. Sci. 2013, 48, 3160–3172. [Google Scholar]
  116. Zhou, D.; Tong, X.; Liu, H.; Lv, S.; Srivatsan, T.; Gao, X. A modified Halpin–Tsai model for predicting the elastic modulus of composite materials. AIP Adv. 2024, 14, 015157. [Google Scholar] [CrossRef]
  117. Tran, V.P.; Brisard, S.; Guilleminot, J.; Sab, K. Mori–Tanaka estimates of the effective elastic properties of stress-gradient composites. Int. J. Solids Struct. 2018, 146, 55–68. [Google Scholar] [CrossRef]
  118. Fornes, T.; Paul, D. Modeling properties of nylon 6/clay nanocomposites using composite theories. Polymer 2003, 44, 4993–5013. [Google Scholar] [CrossRef]
  119. Fragneaud, B.; Masenelli-Varlot, K.; Gonzalez-Montiel, A.; Terrones, M.; Cavaille, J.-Y. Mechanical behavior of polystyrene grafted carbon nanotubes/polystyrene nanocomposites. Compos. Sci. Technol. 2008, 68, 3265–3271. [Google Scholar]
  120. Faraguna, F.; Jukic, A.; Vidovic, E. Synthesis and characterization of polystyrene composites with oxidized and ethylbenzene functionalized multiwall carbon nanotubes. J. Compos. Biodegrad. Polym. 2013, 1, 23–33. [Google Scholar] [CrossRef]
  121. Serenko, O.A.; Roldughin, V.I.; Askadskii, A.A.; Serkova, E.S.; Strashnov, P.V.; Shifrina, Z.B. The effect of size and concentration of nanoparticles on the glass transition temperature of polymer nanocomposites. RSC Adv. 2017, 7, 50113–50120. [Google Scholar]
  122. Khan, R.A.A.; Qi, H.-K.; Huang, J.-H.; Luo, M.-B. A simulation study on the effect of nanoparticle size on the glass transition temperature of polymer nanocomposites. Soft Matter 2021, 17, 8095–8104. [Google Scholar] [PubMed]
  123. Moskalyuk, O.A.; Belashov, A.V.; Beltukov, Y.M.; Ivan’kova, E.M.; Popova, E.N.; Semenova, I.V.; Yelokhovsky, V.Y.; Yudin, V.E. Polystyrene-based nanocomposites with different fillers: Fabrication and mechanical properties. Polymers 2020, 12, 2457. [Google Scholar] [CrossRef]
  124. Marcourt, M.; Cassagnau, P.; Fulchiron, R.; Rousseaux, D.; Lhost, O.; Karam, S. High Impact Polystyrene/CNT nanocomposites: Application of volume segregation strategy and behavior under extensional deformation. Polymer 2018, 157, 156–165. [Google Scholar]
Figure 1. (a) Overview of the micro-compounder, highlighting various valves and channels. (b) Schematic diagram of the twin-screw extruder used for melt mixing CNT-reinforced nanocomposites [18].
Figure 1. (a) Overview of the micro-compounder, highlighting various valves and channels. (b) Schematic diagram of the twin-screw extruder used for melt mixing CNT-reinforced nanocomposites [18].
Physchem 05 00014 g001
Figure 2. (a) Schematic process for the preparation of PS/cMW/CNT composite film. TEM micrographs of PS nanocomposite surfaces showing (b) the sample with 0.3% PS concentration, where the cMWCNTs are uniformly dispersed within the matrix, and (c) the sample with 0.5% PS concentration, where some aggregation of cMWCNTs is observed, though overall dispersion remains effective [43].
Figure 2. (a) Schematic process for the preparation of PS/cMW/CNT composite film. TEM micrographs of PS nanocomposite surfaces showing (b) the sample with 0.3% PS concentration, where the cMWCNTs are uniformly dispersed within the matrix, and (c) the sample with 0.5% PS concentration, where some aggregation of cMWCNTs is observed, though overall dispersion remains effective [43].
Physchem 05 00014 g002
Figure 3. (a) Schematic of the multistep process for functionalizing MWCNTs with PS nanoparticles via in situ microemulsion polymerization. (b) SEM and (ce) HRTEM images of MWCNT/PS nanoparticle composites synthesized through in situ microemulsion polymerization. Reused with permission from [46].
Figure 3. (a) Schematic of the multistep process for functionalizing MWCNTs with PS nanoparticles via in situ microemulsion polymerization. (b) SEM and (ce) HRTEM images of MWCNT/PS nanoparticle composites synthesized through in situ microemulsion polymerization. Reused with permission from [46].
Physchem 05 00014 g003
Figure 4. (a) The wet-spinning process for fabricating neat CNT yarns is depicted schematically. SWCNTs were dispersed in water using STDOC as a surfactant then extruded into acetic acid (coagulation bath) via a syringe to form continuous yarns. The yarn was stretched, twisted for rapid dehydration, and wound onto a spool. (b) SEM images showing the CNT yarn surface. (c) A magnified SEM image highlighting the neat arrangement of SWCNTs. (d) SEM image illustrating tightly intertwined, flexible CNT yarns with uniform appearance. (e) A photograph displaying a 20 m long single CNT yarn wrapped on a spool without breaking. Adopted with permission from [50].
Figure 4. (a) The wet-spinning process for fabricating neat CNT yarns is depicted schematically. SWCNTs were dispersed in water using STDOC as a surfactant then extruded into acetic acid (coagulation bath) via a syringe to form continuous yarns. The yarn was stretched, twisted for rapid dehydration, and wound onto a spool. (b) SEM images showing the CNT yarn surface. (c) A magnified SEM image highlighting the neat arrangement of SWCNTs. (d) SEM image illustrating tightly intertwined, flexible CNT yarns with uniform appearance. (e) A photograph displaying a 20 m long single CNT yarn wrapped on a spool without breaking. Adopted with permission from [50].
Physchem 05 00014 g004
Figure 5. Schematic illustration of the spray drying process [53].
Figure 5. Schematic illustration of the spray drying process [53].
Physchem 05 00014 g005
Figure 6. Schematic representation of the electrospinning process used for fabricating CNT-reinforced PS nanocomposite membranes [56].
Figure 6. Schematic representation of the electrospinning process used for fabricating CNT-reinforced PS nanocomposite membranes [56].
Physchem 05 00014 g006
Figure 7. Schematic illustration of the self-assembly of carbon nanotubes (CNT) into CNT rings (CNTR) and the subsequent growth of redox-active poly(4-vinylphenol) (PvPH) brushes via surface-initiated atom-transfer radical polymerization (SI-ATRP) to reduce Au3⁺ to Au0 and coat gold nanoparticles onto the CNTR. Adopted with permission from [60].
Figure 7. Schematic illustration of the self-assembly of carbon nanotubes (CNT) into CNT rings (CNTR) and the subsequent growth of redox-active poly(4-vinylphenol) (PvPH) brushes via surface-initiated atom-transfer radical polymerization (SI-ATRP) to reduce Au3⁺ to Au0 and coat gold nanoparticles onto the CNTR. Adopted with permission from [60].
Physchem 05 00014 g007
Figure 8. Schematic representation of the preparation process for base composite materials, filaments, and 3D-printed samples derived from polystyrene (PS) and single-walled carbon nanotubes (SWCNTs) [62].
Figure 8. Schematic representation of the preparation process for base composite materials, filaments, and 3D-printed samples derived from polystyrene (PS) and single-walled carbon nanotubes (SWCNTs) [62].
Physchem 05 00014 g008
Figure 9. (A) Schematic of the layer-by-layer (LBL) film deposition process: Steps 1 and 3 illustrate the adsorption of the polyanion and polycation, while steps 2 and 4 represent the washing stages. (B) Two adsorption pathways show LBL deposition for polymers alone and for polymers with nanoparticles (NPs) [53].
Figure 9. (A) Schematic of the layer-by-layer (LBL) film deposition process: Steps 1 and 3 illustrate the adsorption of the polyanion and polycation, while steps 2 and 4 represent the washing stages. (B) Two adsorption pathways show LBL deposition for polymers alone and for polymers with nanoparticles (NPs) [53].
Physchem 05 00014 g009
Figure 10. Schematic of the solvent casting process using a co-solvent method for the preparation of carbon nanotube (CNT)–polymer composites. Adopted with permission from [70].
Figure 10. Schematic of the solvent casting process using a co-solvent method for the preparation of carbon nanotube (CNT)–polymer composites. Adopted with permission from [70].
Physchem 05 00014 g010
Figure 11. Schematic illustration of the formation of mesoporous TiO2/CNT nanomaterial membranes using the sol–gel method with ultrasonic irradiation [75].
Figure 11. Schematic illustration of the formation of mesoporous TiO2/CNT nanomaterial membranes using the sol–gel method with ultrasonic irradiation [75].
Physchem 05 00014 g011
Figure 12. (a) Schematic diagram of the CVD method. (b) Growth mechanism of carbon nanotubes through bottom growth. (c) Growth mechanism of carbon nanotubes through tip growth. Reused with permission from [82].
Figure 12. (a) Schematic diagram of the CVD method. (b) Growth mechanism of carbon nanotubes through bottom growth. (c) Growth mechanism of carbon nanotubes through tip growth. Reused with permission from [82].
Physchem 05 00014 g012
Figure 13. Complex viscosity (η*) of MWCNT/PS composites at 210 °C at various MWCNT concentrations, without any dispersing agent. Adopted with permission [109].
Figure 13. Complex viscosity (η*) of MWCNT/PS composites at 210 °C at various MWCNT concentrations, without any dispersing agent. Adopted with permission [109].
Physchem 05 00014 g013
Figure 14. SEM images demonstrating the dispersion characteristics of MWCNTs within freeze-dried PS/MWCNT composites: (a) PS/P-CNT and (b) PS/AU-CNT. Furthermore, (c) depicts the complex viscosities of PS/P-CNT composites at 210 °C as a function of frequency, while (d) illustrates the complex viscosities of PS/AU-CNT composites at 210 °C across the same frequency range. Adopted with permission [20].
Figure 14. SEM images demonstrating the dispersion characteristics of MWCNTs within freeze-dried PS/MWCNT composites: (a) PS/P-CNT and (b) PS/AU-CNT. Furthermore, (c) depicts the complex viscosities of PS/P-CNT composites at 210 °C as a function of frequency, while (d) illustrates the complex viscosities of PS/AU-CNT composites at 210 °C across the same frequency range. Adopted with permission [20].
Physchem 05 00014 g014
Figure 15. Storage modulus (G′) and loss modulus (G″) of MWCNT/PS composites without the dispersing agent, measured at 210 °C: (a) storage modulus (G′); (b) loss modulus (G″). Adopted with permission. Reused with permission [109].
Figure 15. Storage modulus (G′) and loss modulus (G″) of MWCNT/PS composites without the dispersing agent, measured at 210 °C: (a) storage modulus (G′); (b) loss modulus (G″). Adopted with permission. Reused with permission [109].
Physchem 05 00014 g015
Figure 16. (a) Storage modulus, (b) loss modulus, (c) damping factor (tan δ), and (d) complex viscosity plotted against frequency for CNT-filled PPO/PS(35/65) blends with CNT concentrations of 0, 0.5, 1, 2, and 3 wt.% at a temperature of 270 °C. Adopted with permission [38].
Figure 16. (a) Storage modulus, (b) loss modulus, (c) damping factor (tan δ), and (d) complex viscosity plotted against frequency for CNT-filled PPO/PS(35/65) blends with CNT concentrations of 0, 0.5, 1, 2, and 3 wt.% at a temperature of 270 °C. Adopted with permission [38].
Physchem 05 00014 g016
Figure 17. Shear viscosity as a function of shear rate for pure polypropylene (PP), pure polystyrene (PS), and pure styrene–butadiene block copolymers, measured using capillary rheology [33].
Figure 17. Shear viscosity as a function of shear rate for pure polypropylene (PP), pure polystyrene (PS), and pure styrene–butadiene block copolymers, measured using capillary rheology [33].
Physchem 05 00014 g017
Figure 18. Transient shear viscosity as a function of time for (a) SC0 (pure PS) and (b) SC10 (PS with 10 wt.% CNF) composites at various constant shear rates. The respective shear rates are indicated in the legend for each plot. Reduced stress during the startup of constant shear for different shear rates in (c) SC0 (pure PS) and (d) SC10 (PS with 10 wt.% CNF) samples. The corresponding shear rates for each case are listed in the legend. Reused with permission [114].
Figure 18. Transient shear viscosity as a function of time for (a) SC0 (pure PS) and (b) SC10 (PS with 10 wt.% CNF) composites at various constant shear rates. The respective shear rates are indicated in the legend for each plot. Reduced stress during the startup of constant shear for different shear rates in (c) SC0 (pure PS) and (d) SC10 (PS with 10 wt.% CNF) samples. The corresponding shear rates for each case are listed in the legend. Reused with permission [114].
Physchem 05 00014 g018
Figure 19. Shear storage modulus at 420 K of polystyrene composites filled with a-CNx MWNTs (○) and PS-g-CNx MWNTs (■) compared to the shear modulus calculated using the Halpin–Kardos equation (—). Adopted with permission [119].
Figure 19. Shear storage modulus at 420 K of polystyrene composites filled with a-CNx MWNTs (○) and PS-g-CNx MWNTs (■) compared to the shear modulus calculated using the Halpin–Kardos equation (—). Adopted with permission [119].
Physchem 05 00014 g019
Figure 20. (a) Elastic modulus of PS composites relative to filler concentration [123]. (b) Storage modulus as a function of angular frequency at 200 °C for PS-based composites at varying CNT concentrations. (c) Storage modulus as a function of angular frequency at 200 °C for HIPS composites, with volume concentrations specified for the PS phase. (d) Equilibrium modulus plotted against CNT volume fraction in the PS continuous phase. Symbols represent experimental results, while lines correspond to predictions from percolation theory. Adopted with permission [124].
Figure 20. (a) Elastic modulus of PS composites relative to filler concentration [123]. (b) Storage modulus as a function of angular frequency at 200 °C for PS-based composites at varying CNT concentrations. (c) Storage modulus as a function of angular frequency at 200 °C for HIPS composites, with volume concentrations specified for the PS phase. (d) Equilibrium modulus plotted against CNT volume fraction in the PS continuous phase. Symbols represent experimental results, while lines correspond to predictions from percolation theory. Adopted with permission [124].
Physchem 05 00014 g020
Disclaimer/Publisher’s Note: The statements, opinions and data contained in all publications are solely those of the individual author(s) and contributor(s) and not of MDPI and/or the editor(s). MDPI and/or the editor(s) disclaim responsibility for any injury to people or property resulting from any ideas, methods, instructions or products referred to in the content.

Share and Cite

MDPI and ACS Style

Yaqoob, S.; Ali, Z.; Ali, S.; D’Amore, A. Polystyrene–Carbon Nanotube Composites: Interaction Mechanisms, Preparation Methods, Structure, and Rheological Properties—A Review. Physchem 2025, 5, 14. https://doi.org/10.3390/physchem5020014

AMA Style

Yaqoob S, Ali Z, Ali S, D’Amore A. Polystyrene–Carbon Nanotube Composites: Interaction Mechanisms, Preparation Methods, Structure, and Rheological Properties—A Review. Physchem. 2025; 5(2):14. https://doi.org/10.3390/physchem5020014

Chicago/Turabian Style

Yaqoob, Saba, Zulfiqar Ali, Sajjad Ali, and Alberto D’Amore. 2025. "Polystyrene–Carbon Nanotube Composites: Interaction Mechanisms, Preparation Methods, Structure, and Rheological Properties—A Review" Physchem 5, no. 2: 14. https://doi.org/10.3390/physchem5020014

APA Style

Yaqoob, S., Ali, Z., Ali, S., & D’Amore, A. (2025). Polystyrene–Carbon Nanotube Composites: Interaction Mechanisms, Preparation Methods, Structure, and Rheological Properties—A Review. Physchem, 5(2), 14. https://doi.org/10.3390/physchem5020014

Article Metrics

Back to TopTop