Abstract
As a renewable energy carrier, dark fermentative biohydrogen (H2) represents a promising future alternative to fossil fuels. Recently, the limited H2 yield of 4 moles of H2 per mole glucose, the so-called “Thauer limit”, was surpassed by a defined artificial consortium. In this article, we demonstrate the upscaling of this drawing board design, from serum bottles to laboratory scale bioreactors. Our results illustrate that this designed microbial co-culture can be successfully implemented in batch mode, with maximum H2 yields of 6.18 and 4.45 mol mol−1 substrate. Furthermore, we report volumetric H2 productivities of 105.6 and 80.8 mmol H2 L−1 h−1. These rates are higher than for any other dark fermentative H2 production system using a synthetic microbial co-culture applied in batch mode on a defined medium. Our study is an important step forward for the application of artificial microbial consortia in future biotechnology and energy production systems.
1. Introduction
Molecular hydrogen (H2) is an energy carrier with high combustion yields [1]. Biologically produced H2, referred to as biohydrogen production (BHP), is considered an environmentally friendly clean alternative with near zero carbon emission and has potential to replace fossil fuels as energy carriers [2]. Comparing different BHP systems, two main parameters must be considered. The H2 evolution rate (HER/mmol H2 L−1 h−1) represents the volumetric productivity over time and is independent of the respective culture used, as opposed to the substrate conversion efficiency (Y(H2/S)/mol H2 mol−1 substrate). Taking these units into consideration, the high HER, rapid cell growth, and relatively simple implementation due to non-requirement of light energy, advocate the use of dark fermentative H2 production (DFHP) over photobiological H2 production processes [3,4]. However, the low Y(H2/S) is the major drawback of DFHP, which is restricted to a theoretical maximum of 4 moles H2 produced per one mole of glucose consumed in microbial pure cultures and microbial enrichment cultures when acetate is produced as a by-product [5]. DFHP can be carried out by various organisms using mainly two different H2 generating pathways. Strictly anaerobic H2 producers perform the pyruvate ferredoxin oxidoreductase (PFOR) pathway, whereas the pyruvate formate lyase (PFL) pathway is active in facultative anaerobes [3]. As the name already implies, in the course of the PFOR pathway, H2 is generated by a ferredoxin dependent hydrogenase enzyme. Depending on the organism, reduction equivalents may originate from glycolysis or from the conversion of pyruvate to acetyl-CoA and reduced ferredoxin [6]. Alternatively, pyruvate is converted into formate via the activity of the PFL enzyme, and formate is then split into H2 and CO2 [6].
These two main H2 generating metabolic routes are active in multiple microbial species. Members of Enterobacteriaceae and Clostridiaceae are both very extensively studied and successful H2 producing microbes [3,7,8]. Among these, Enterobacter aerogenes and Clostridium acetobutylicum have shown high H2 productivities in pure culture. Nevertheless, the maximum Y(H2/S) of 3.14 and 2.16 mol H2 mol−1 substrate, by C. acetobutylicum and E. aerogenes, respectively [9,10], are still below the theoretical limit.
Interspecies interactions within microbial communities have shown positive effects on the productivity of fermentation systems [11,12]. Hence, E. aerogenes and C. acetobutylicum were grown in a co-culture as an attempt to increase the Y(H2/S). This defined artificial microbial consortium surmounted the restriction of 4 moles H2 mol−1 glucose in DFHP [13]. In a drawing board like approach to establish a pipeline for design and engineering of artificial microbial consortia for DFHP [14], the cultivation parameters were pre-selected by considering a priori physiological and biotechnological knowledge from a preceding meta-data analysis [3]. With the design of experiments (DoE) approach, a mutual medium was developed, taking into consideration each of the organisms’ nutritional requirements and the buffer capacity of the medium. In addition, refinement of initial substrate and cell concentrations were performed to prevent substrate inhibition and ensure a stable coexistence of the two organisms. This precision design of an artificial microbial consortium has resulted in the proliferation of both organisms and in exceeding the previously described physiological limit by reaching a Y(H2/S) of 5.58 mol mol−1 [13]. As with most studies on BHP, this study was also conducted in serum bottles, with a closed batch cultivation mode without controlling cultivation parameters, such as pH. Being fast and simple in application, the cultivation in closed systems can be used for screening of the microbial strains used [4]. Yet, DFHP in closed batch systems are limited in their growth and H2 productivity due to a decrease in pH and high H2 partial pressure, which reduces HER [15]. To overcome these drawbacks, N2 sparging and pH control [16,17] may be applied to enhance DFHP [18]. Thus, the DFHP should be performed in bioreactors to assess their suitability for subsequent scale-up.
Even though DFHP has already been investigated for more than a century [3,4,19], there are only a limited number of results of batch and in continuous culture experiments available for pure cultures and for defined microbial DFHP ecosystems. While the bioprocess parameters e.g., pH, substrate concentration, and temperature can be controlled, the identification of suitable scale-up procedures and parameters in batch cultivation mode, as well as data on long-term bioprocess stability of BHP in continuous culture, are urgently required. Ideally, after screening for the basic requirements during closed batch cultivation, the microbes can then be implemented in laboratory scale bioreactors to examine their physiological potential for high quantitative BHP. These insights will help for future scale-up of the process to pilot scale bioreactors and possible industrialization. It has already been shown that cultivation in batch mode can increase H2 productivity compared to closed batch cultivation [18] and that careful strain selection and optimization of the culture conditions genuinely affect the bioreactor performance [20]. Besides, some successful pilot scale DFHP experiments have been performed already. Y(H2/S) of 2.12 and 2.76 mol H2 mol−1 glucose were obtained by a consortium of C. butyricum and C. pasteurianum in 20 L batch bioreactors [7] and a tri-culture of Citrobacter freundii, Enterobacter aerogenes, and Rhodopseudomonas palustris in a 100 L vessel [21], respectively. Two consortia of Enterobacter cloacae plus Bacillus cereus and E. cloacae plus Klebsiella sp., produced 3.2 and 3 mol H2 per mol glucose, respectively, at a working volume of 4 L in 5 L bioreactors [22].
The aim of this study was to examine if a drawing board like design of an artificial microbial DFHP co-culture can be propagated towards future industrial scale fermentation processes. Therefore, the scale-up experiment was carried out in laboratory-scale bioreactors rather than closed batch serum bottles, to follow a gradual scale up strategy. Our approach differs from the previously applied DFHP experiments regarding a re-assessment of the inoculation ratio of the two microorganisms, described in our most recent paper [14]. Furthermore, apart from examining the performance in volumetrically larger vessels, our experimental set-up enabled the manual and controlled adjustment of the most crucial fermentation variables, including pH, temperature, N2 gassing rate, and agitation speed. We hypothesized that a defined microbial consortium of E. aerogenes and C. acetobutylicum can be scaled-up regarding HER/mmol H2 L−1 h−1 and Y(H2/S)/mol mol−1, from closed batch to batch.
2. Materials and Methods
2.1. Chemicals
CO2, N2, and H2 were 99.999 Vol.−%. In addition, 20 Vol.−% CO2 in N2 was used (Air Liquide, Schwechat, Austria). All other chemicals were of highest grade available.
2.2. Experimental Set-Up
Cultures of Clostridium acetobutylicum DSM 792 and Enterobacter aerogenes DSM 30053 were used for pure culture and consortium experiments. Both microorganisms were cultivated strict anaerobically in a DASGIP parallel bioreactor system in 2 L bioreactors (Eppendorf AG, Hamburg, Germany) using 1.5 L working volume over the time period from 40 to 53 h until the H2 production ceased. A defined medium was used for all the experiments (including pre-cultures), as previously described in detail elsewhere [13], containing (per L) 3.47 g of NH4Cl, 10.41 g of KH2PO4, 5.31 g of K2HPO4, and 1.35 g of NaCl. To each bioreactor, 7.5 mL of a 200× vitamin stock solution was added, containing (per L) 0.2 g of 4-amino-benzoic acid, 0.9 g thiamine, 0.002 g biotin, as well as 15 mL of a 100× mineral stock solution containing (per L) 0.2 g of MgSO4·7H2O, 0.01 g of MnCl2·4H2O, 0.01 g of FeSO4·7H2O, and 0.01 g of NaCl. Glucose served as carbon source for H2 production batch experiments at a concentration of 30 g L−1. Before inoculation, glucose and mineral solution were sterilized separately at 121 °C for 20 min, and vitamin solution was sterilized by filtration (0.2 µm pore size). Anaerobic conditions inside the bioreactors were obtained by flushing the vessels with N2 prior to inoculation. Pre-cultures were grown anaerobically at 0.3 bar in a N2 atmosphere in a closed batch set-up. Inoculation was performed using the required amount of C. acetobutylicum pre-culture to reach an optical density of 0.3 in the bioreactor (ranging from 150 to 200 mL) and 0.01% (v/v) of E. aerogenes DSM 30053 (15 mL) of an anaerobically and aseptically transferred inoculum from the pre-culture vessels to the bioreactor.
The experiments were performed once (N = 1) with controlled pH and twice (N = 2) with uncontrolled pH, and both sets were performed in duplicates (n = 2). Temperature was set at 37 ± 0.5 °C, agitation speed at 100 and 200 rpm, and N2 inflow rate at 1 sL h−1. A pH probe (Mettler Toledo GmbH, Wien, Austria) and a redox probe (Mettler Toledo GmbH, Wien, Austria) were used to observe the pH and oxidation reduction potential (ORP), respectively.
2.3. Optical Density (OD) Measurements and Cell Counting
At each time point, 1 mL of liquid sample was collected from the bioreactors and the optical density (600 nm (OD600)) was measured with a spectrophotometer (Specord 200 Plus, AnalytikJena, Jena, Germany). After increased growth of the culture, the samples were diluted 1:10 to ensure an exact measurement in the linear absorption range.
To determine the cell concentrations in the pre-cultures, 1 mL samples were retrieved using sterile syringes (Soft-Ject, Henke SassWolf, Tuttlingen, Germany) and hypodermic needles (Sterican size 14, B. Braun, Melsungen, Germany).
Cells were counted using a Nikon Eclipse 50i microscope (Nikon, Amsterdam, Netherlands) at each sampling point. 12 µL of each sample (non-, 1:10, 1:50 or 1:100 diluted) were applied onto a Neubauer improved cell counting chamber (Superior Marienfeld, Lauda-Königshofen, Germany) with a grid depth of 0.1 mm.
2.4. Quantification of Gas Composition
Gas samples were taken in a gas bag (10 L SKC Quality Sampling Bag, SKC Inc., Covington, GA, USA) connected to the off-gas tubing at each time point. Once the gas bag was filled, the gas was collected and transferred into sealed (Butyl rubber 20 mm, Chemglass Life Science LLC, Vineland, NJ, USA) and crimped 120 mL glass serum bottles (Ochs Glasgerätebau, Langerwehe, Germany) which were flushed with the fermentation off-gas for 5 min applying hyperdermic needles (Sterican size 14, B. Braun, Melsungen, Germany) and appropriate tubing.
The compositions of the collected gas samples were analyzed using gas chromatography (GC) (7890A GC System, Agilent Technologies, Santa Clara, CA, USA) with a 19,808 Shin Carbon ST Micropacked Column (Restek GmbH, Bad Homburg, Germany). The measurements were accomplished with a gas injection and control unit (Joint Analytical System GmbH, Moers, Germany), as described before [23]. A thermal conductivity detector was used for the measurements, and the gases were separated at 170 °C using helium as the carrier gas. The reference flow setting was 10 mL min−1. The makeup flow was set to 1 mL min−1. The standard gasses for GC measurements were 99.999 Vol.−% H2, 99.999 Vol.−% CO2, 99.999 Vol.−% N2, 20 Vol.−% CO2 in H2, 20 Vol.−% CO2 in N2, a test gas containing 4.5 Vol.−% H2 in N2, and a test gas containing 22.4 Vol.−% H2; 19.7 Vol.−% CO2; 15.5 Vol.−% N2 14.1 Vol.−% CH4 in CO, and a test gas containing 22.4 Vol.−% H2; 19.7 Vol.−% CO2; and 12.2 Vol.−% N2 (Air Liquide GmbH, Schwechat, Austria). Another standard test gas for GC measurements comprised the following composition: 0.01 Vol.−% CH4; 0.08 Vol.−% CO2 in N2 (Messer GmbH, Wien, Austria). Standard GC curves with an R2 of 0.99 or higher were obtained with aforementioned standard gases.
2.5. Quantification of Metabolites
The concentrations of sugars, volatile fatty acids, and alcohols were quantified using high-performance liquid chromatography (HPLC). Measurements were done at 45 °C using an Agilent 1100 system consisting of a G1310A isocratic pump, a G1313A ALS autosampler, a Transgenomic ICSep ICE-ION-300 column, a G1316A column thermostat set at 45 °C, and a G1362A RID refractive index detector. Then, 40 µL of sample was used as injection volume and 0.005 mol L−1 H2SO4 as solvent, with a flow rate of 0.325 mL min−1 and a pressure of 48–49 bar.
2.6. DNA Extraction and qPCR
DNA was extracted from 1 mL culture samples at each time point as follows: After centrifugation (at 4 °C and 13,400× g revolutions per minute (rpm) for 30 min) and resuspension in pre-warmed (65 °C) 1% sodium dodecyl sulfate (SDS) extraction buffer, the cells were transferred to Lysing Matrix E tubes (MP Biomedicals, Santa Ana, CA, USA) containing equal volume of phenol/chloroform/isoamyl alcohol (25:24:1) and around 0.5 g Bulk B Beads, and lysed in a FastPrep-24 (MP-Biomedicals, NY, USA) device (speed setting 4 for 30 s). This was followed by centrifugation at 13,400× g rpm for 10 min. An equal volume of chloroform/isoamyl alcohol (24:1) was added to the supernatant, and the mixture was then centrifuged again at 13,400× g rpm for 10 min. Addition of 1 µL glycogen (20 mg mL−1) and double volume of polyethylene glycol (PEG) solution (30% PEG, 1.6 mol L−1 NaCl) allowed the DNA to precipitate, which was performed overnight at 4 °C. Nucleic acid pellets were retrieved by centrifugation at 13,400× g rpm for 30 min, followed by washing with 70% cold ethanol solution, drying in a SpeedVac at 30 °C (Thermo Scientific, Dreieich, Germany), and resuspension in 40 µL Tris-EDTA buffer. The extracted DNA was stored at −20 °C until further analysis. Quantification of Nucleic Acid was performed with NanoDrop ND-1000 spectrophotometer (NanoDrop Technologies, Wilmington, DE, USA).
For the qPCR diluted DNA equivalents (1:300) were used for analysis. Additionally, negative controls with sterile DEPC water as a replacement for the DNA templates were run in parallel. Six standards with previously determined cell concentrations at different dilutions, ranging from 1:10 to 1:1·106, were amplified simultaneously and used both as a positive control and to generate a standard curve as described elsewhere [13]. All amplification reactions were run in triplicates.
To prevent false positive amplification, primer design was done by targeting species specific genes. Using the ClustalW2 multiple sequence alignment program (http://www.ebi.ac.uk/Tools/clustalw2/, accessed on 15 March 2018), optimal primers were identified by sequence comparison of the genes.
For E. aerogenes DSM 30053 forward primer 5′GCG TTG TGG GGT TGC ACG AT 3′ and reverse primer 5′ TGG CGC GCG AGC ACA TTT TC 3′; for C. acetobutylicum DSM 792 forward primer 5′ TGG CAC AGT CAG TCG GCT ACC 3′; and reverse primer 5′ GCG TGA TGC ACC TAA CCC AGC 3′ were used.
Reactions were set up using SYBR Green labelled Luna Universal qPCR Master Mix (M3003L, New England Biolabs, Ipswich, MA, USA) following the manufacturer’s protocol and performed in Eppendorf Mastercycler epgradientS realplex2 (Eppendorf, Hamburg, Germany). Amplification protocol was run, as described in detail elsewhere [13].
2.7. Data Analysis
To determine the specific growth rate (µ/h−1) for each bioreactor, the following equation was used: X = X0∙eµt with X, cell number/cells mL−1; X0, initial cell number/cells mL−1; t, time/h; and e, Euler number. Calculation of HER/mmol H2 L−1 h−1 was done by taking into consideration the total gas flow rate/sL h−1, the respective concentration of H2, the ideal gas law, and the inert gas flow correction factor.
3. Results
3.1. Experimental Set-Up
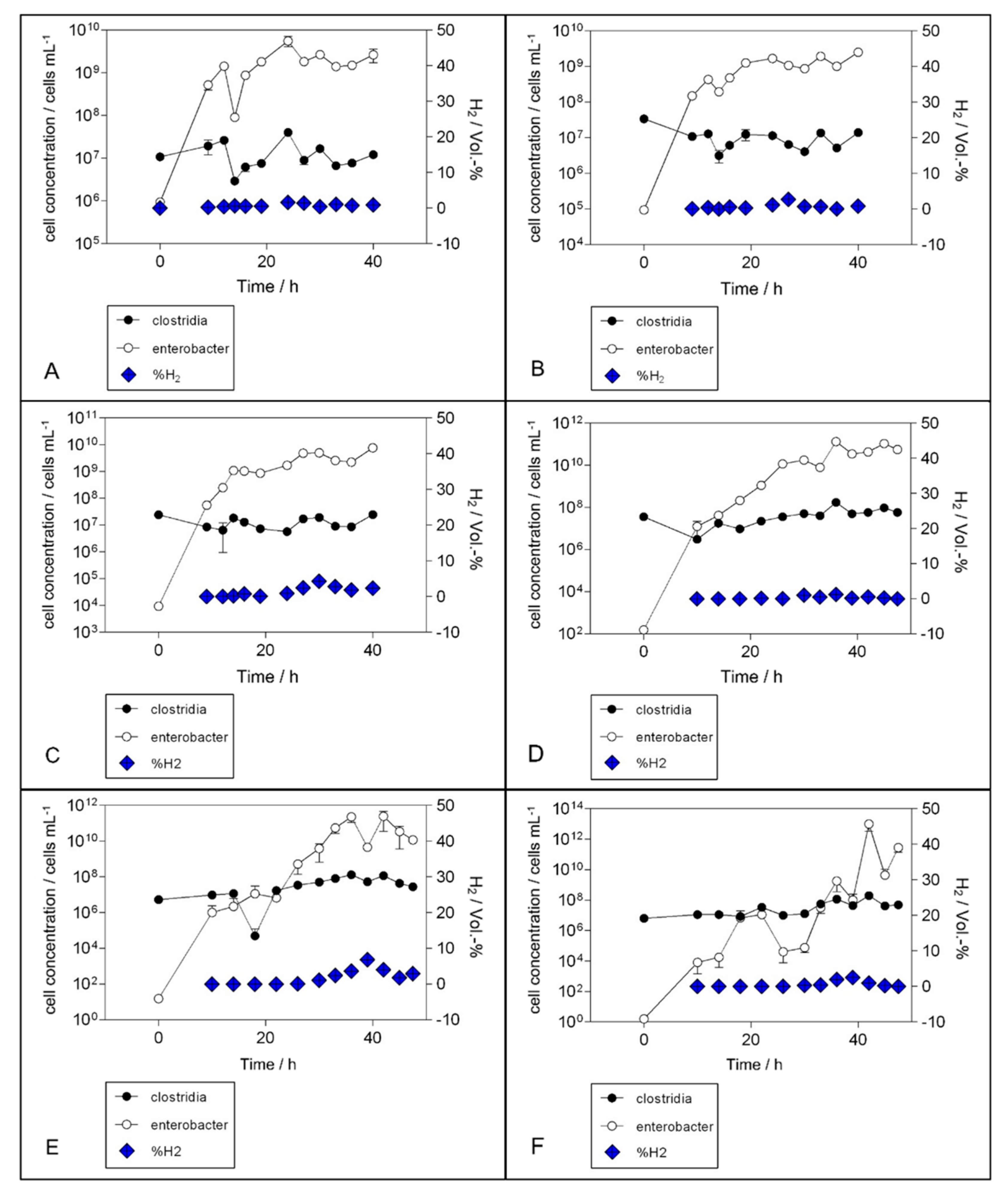
To establish the artificial consortium of C. acetobutylicum and E. aerogenes in bioreactors, the culturing conditions were at large kept identical to those described before [13]. We anticipated that the initial ratio that was optimized for the closed batch runs had to be adjusted to the batch set-up. Nevertheless, neither an increase nor a decrease of the initial E. aerogenes cell concentration (ratios ranging from 1:10 to 1:10,000,000; E. aerogenes: C. acetobutylicum) resulted in stable growth or significant H2 production (Figure 1). This initial inoculation ratio of 1:10,000 in favour of C. acetobutylicum can thus be considered the optimum inoculation ratio both for closed batch and batch cultivation. Therefore, medium, substrate, and cell concentrations were kept the same for the up-scaling experiments in the bioreactors. To further optimise H2 production, we adjusted the system pH. During the first cultivations, the initial pH was set to 6. However, a rapid pH decrease was observed due to the accumulation of acidic metabolic end products for the experiments with uncontrolled pH. When pH was controlled at 6, an increase in Y(H2/S) and HER were observed (Figure 2).
Figure 1.
Different bioreactor runs with varying initial cell concentrations. (A) 1:10; (B) 1:100; (C) 1:1000; (D) 1:100,000; (E) 1:1,000,000; and (F) 1:10,000,000 for C. acetobutylicum: E. aerogenes. Depicted are the respective cell concentrations of Clostridium acetobutylicum and Enterobacter aerogenes, measured with qPCR, as well as the H2 concentration.
Figure 2.
HER and Y(H2/S) results over time for the two best bioreactor runs. The displayed results were achieved when the pH was kept stable at 6 in the top chart (A), and when the pH was not controlled in the lower chart (B). Bars indicate HER; single data plots represent the Y(H2/S); standard deviations are given as error bars.
3.2. H2 Production
The highest Y(H2/S) of 6.18 mol H2 mol−1 substrate and HER of 105.6 mmol H2 L−1 h−1 were achieved when the pH was controlled in the interval between 20–25 h after inoculation. Whereas the second-highest Y(H2/S) of 4.45 mol H2 mol−1 substrate and HER of 80.8 mmol H2 L−1 h−1 were observed under non-controlled conditions between 25 to 29 h after inoculation (Figure 2). Both values clearly surpass the theoretical limit of 4 mol H2 mol−1 glucose and also the highest Y(H2/S) and HER values that had been obtained in closed batch before. We have to stress here that these high values have only been obtained within the respective intervals between two timepoints, taking into consideration not only the glucose consumption but also the re-uptake of metabolic by-products (Supplementary Materials Table S1).
4. Discussion
To our knowledge, this is the first report of a synthetic co-culture cultivated in batch mode describing an improvement of Y(H2/S) beyond the Thauer limit. For comparison, Table 1 lists different studies on DFHP using synthetic consortia operated in batch cultivation systems.
Table 1.
Overview of studies on DFHP with pure cultures and co-cultures.
With the application of Caldicellulosiruptor kristjanssonii and Caldicellulosiruptor saccharolyticus Zeidan and Van Niel [24] reported a Y(H2/S) that is very close to the theoretical limit (3.8 mol H2 mol−1 C6 sugar equivalent). This result was achieved by using extreme thermophilic organisms which, due to thermodynamics, usually produce higher yields than mesophiles [7,25]. Furthermore, and like all other studies on co-cultures listed in Table 1, the experiments were conducted using a complex medium rather than a defined medium, making a comprehensive H2 production analysis challenging.
Apart from using complex or defined media, earlier reports on DFHP using artificial consortia in batch reactors deviate from the current study in the working volume within the bioreactor. Working volumes range from only 100 mL [9] to as much as 18 L [7] (Table 1). Also varying among the different studies is the pH, ranging from 5.25 [26] to 7 [9,27].
Optimum pH values for maximum H2 production were found to be slightly acidic, around 6.5 [24,28,29]. This parameter directly affects the hydrogenase activity, metabolic by-products, and Y(H2/S) [30], which is why the ability to monitor and control the in situ acidity/alkalinity during the fermentation procedure is a very convenient feature of the batch fermentation set-up.
Clostridium sp. have been shown to stably produce H2 at a pH of 5.5–6 [31,32], while the peak substrate conversion rate of E. aerogenes was found between pH 6 and 7 [33]. With no base or acid inflow to keep the pH steady, we observed a rapid acidification of the medium due to acidogenic growth properties of the organisms. This acidification lead, at first, to an increased H2 production, but very acidic conditions will eventually initiate a metabolic switch to solventogenesis, or even the formation of spores in Clostridium sp. with decreased H2 productivities. Both spore formation and production of solvents rather than acids can be seen as preventive actions to keep harmful effects of undissociated acids at bay [34,35]. Hence, keeping the pH stable at 6 would favour the acetate pathway and prevent the metabolic shift. Our results confirm this assumption, as the maximum Y(H2/S) (6.18 mol H2 mol−1 substrate) was observed under controlled pH conditions, and a lower Y(H2/S) (4.45 mol H2 mol−1 substrate) was achieved when the pH was allowed to decrease. Interestingly, this second-best result was obtained rather late in the experiment (Figure 2) when the pH dropped below the optimum value.
In addition to the pH, other environmental parameters have a crucial influence on the system performance. Ergal et al. [13] found that only a remarkable discrepancy in the initial cell concentration allowed the stable co-existence of C. acetobutylicum and E. aerogenes. This was necessary, as the fast-growing E. aerogenes threatened to quickly overgrow the C. acetobutylicum population. Since different strains show different growth behaviour, it is important to counteract possible imbalances by compensating with varying initial cell concentrations. Once the proliferation of subdominant species can be guaranteed, the requirements for a stable and well-functioning synthetic consortium were provided. Yet, the initial cell ratio of 1:10,000 that enabled high H2 yield and productivity in Ergal et al. [13] is quite unique. Usually, inoculation ratios do not exceed 1:1 or 1:2 [7,22,29]. Within this work, we show that the designed co-culture can be successfully applied and produced Y(H2/S) beyond theoretical limits after the initial report in closed batch mode in serum bottles, and also performed here in batch mode in bioreactors.
Synthetic microbial consortia are, in fact, well applicable for increased H2 production, compared to monocultures. Still, the theoretical limit of 4 mol H2 per mol glucose during DFHP can barely be met and is almost never exceeded. In this regard, thermophilic strains are more favourable over mesophilic ones, as higher temperatures favour increased specific H2 productivities [24,36]. Mesophilic H2 producers have the advantage of being extensively studied, and the literature provides a broad and detailed understanding of their physiological and genetic properties. These insights are required to design specific microbial consortia and set up a suitable environment that meets the organisms’ requirements and enables high biofuel production. Following this drawing board like approach, Ergal et al. [13] succeeded to implement successful synthetic microbial consortia producing Y(H2/S) that surpassed the Thauer limit. It was also what distinguished their study from other reports on BHP by artificial consortia.
5. Conclusions
Artificial microbial ecosystems can be effectively used for scale-up of DFHP from closed batch to lab scale bioreactors. In this study, we obtained the highest Y(H2/S) and the highest HER on glucose for any DFHP system using a synthetic microbial co-culture on a defined medium in batch mode up to date. This work provides the fundamentals for further scale-up of our DFHP bioprocess, which is required to unravel the scaling criterion aiming to establish DFHP at industrial scale. Further studies on design and engineering of artificial microbial consortia for DFHP regarding substrates such as lignocellulose, lipid waste, and food waste will drive our understanding of their function. Moreover, the development of more sophisticated techniques to control the physical space and environment of engineered microbial consortia might lead to a further improvement of HER and Y(H2/S). This study is another step forward in demonstrating the application possibilities of artificial microbial consortia in future biotechnology and energy production systems.
Supplementary Materials
The following supporting information is available online at https://www.mdpi.com/article/10.3390/applmicrobiol2010015/s1. Table S1: Dataset.
Author Contributions
Conceptualization, İ.E., W.F., T.V., M.V., G.B. and S.K.-M.R.R.; methodology, I.K., W.F., M.V., G.B. and S.K.-M.R.R.; validation, İ.E. and S.K.-M.R.R.; formal analysis, İ.E.; investigation, İ.E., E.Z., N.H. and I.K.; resources, W.F., M.V., G.B. and S.K.-M.R.R.; data curation, İ.E. and E.Z.; writing original draft preparation, İ.E., E.Z. and S.K.-M.R.R.; writing review and editing, İ.E., E.Z., I.K., W.F., T.V., M.V. and S.K.-M.R.R.; visualization, İ.E. and E.Z.; supervision, W.F., M.V., G.B. and S.K.-M.R.R.; project administration, M.V. and S.K.-M.R.R.; funding acquisition, W.F., T.V., M.V., G.B. and S.K.-M.R.R. All authors have read and agreed to the published version of the manuscript.
Funding
This research was funded by the Austrian Research Promotion Agency (Forschungsförderungsgesellschaft (FFG)), project H2.AT, grant number 853618; and funded by BMBWF, project WTZ, grant number CZ 08/2020.
Institutional Review Board Statement
Not applicable.
Informed Consent Statement
Not applicable.
Data Availability Statement
The datasets used and/or analysed during the current study are available from the corresponding author on reasonable request.
Conflicts of Interest
The authors declare no conflict of interest.
References
- Hay, J.X.W.; Wu, T.Y.; Juan, J.C.; Md. Jahim, J. Biohydrogen Production through Photo Fermentation or Dark Fermentation Using Waste as a Substrate: Overview, Economics, and Future Prospects of Hydrogen Usage. Biofuels Bioprod. Biorefining 2013, 7, 334–352. [Google Scholar] [CrossRef]
- Vinoth Kanna, I.; Paturu, P. A Study of Hydrogen as an Alternative Fuel. Int. J. Ambient Energy 2020, 41, 1433–1436. [Google Scholar] [CrossRef]
- Ergal, İ.; Fuchs, W.; Hasibar, B.; Thallinger, B.; Bochmann, G.; Rittmann, S.K.-M. The Physiology and Biotechnology of Dark Fermentative Biohydrogen Production. Biotechnol. Adv. 2018, 36, 2165–2186. [Google Scholar] [CrossRef]
- Rittmann, S.; Herwig, C. A Comprehensive and Quantitative Review of Dark Fermentative Biohydrogen Production. Microb. Cell Factories 2012, 11, 115. [Google Scholar] [CrossRef] [PubMed]
- Thauer, R.K.; Jungermann, K.; Decker, K. Energy Conservation in Chemotrophic Anaerobic Bacteria. Bacteriol. Rev. 1977, 41, 100–180. [Google Scholar] [CrossRef] [PubMed]
- Hallenbeck, P.C. Fermentative Hydrogen Production: Principles, Progress, and Prognosis. Int. J. Hydrogen Energy 2009, 34, 7379–7389. [Google Scholar] [CrossRef]
- Masset, J.; Calusinska, M.; Hamilton, C.; Hiligsmann, S.; Joris, B.; Wilmotte, A.; Thonart, P. Fermentative Hydrogen Production from Glucose and Starch Using Pure Strains and Artificial Co-Cultures Of Clostridium spp. Biotechnol. Biofuels 2012, 5, 35. [Google Scholar] [CrossRef]
- Patel, S.K.S.; Kumar, P.; Mehariya, S.; Purohit, H.J.; Lee, J.-K.; Kalia, V.C. Enhancement in Hydrogen Production by Co-Cultures of Bacillus and Enterobacter. Int. J. Hydrogen Energy 2014, 39, 14663–14668. [Google Scholar] [CrossRef]
- Alshiyab, H.; Kalil, M.S.; Hamid, A.A.; Yusoff, W.M.W. Effect of Salts Addition on Hydrogen Production by C. acetobutylicum. Pak. J. Biol. Sci. 2008, 11, 2193–2200. [Google Scholar] [CrossRef] [PubMed]
- Yokoi, H.; Ohkawara, T.; Hirose, J.; Hayashi, S.; Takasaki, Y. Characteristics of Hydrogen Production by Aciduric Enterobacter Aerogenes Strain HO-39. J. Ferment. Bioeng. 1995, 80, 571–574. [Google Scholar] [CrossRef]
- Pachapur, V.L.; Kutty, P.; Pachapur, P.; Brar, S.K.; Le Bihan, Y.; Galvez-Cloutier, R.; Buelna, G. Seed Pretreatment for Increased Hydrogen Production Using Mixed-Culture Systems with Advantages over Pure-Culture Systems. Energies 2019, 12, 530. [Google Scholar] [CrossRef]
- Pachapur, V.L.; Sarma, S.J.; Brar, S.K.; Bihan, Y.L.; Buelna, G.; Verma, M. Hydrogen Production from Biodiesel Industry Waste by Using a Co-Culture of Enterobacter aerogenes and Clostridium butyricum. Biofuels 2017, 8, 651–662. [Google Scholar] [CrossRef]
- Ergal, İ.; Gräf, O.; Hasibar, B.; Steiner, M.; Vukotić, S.; Bochmann, G.; Fuchs, W.; Rittmann, S.K.-M.R. Biohydrogen Production beyond the Thauer Limit by Precision Design of Artificial Microbial Consortia. Commun. Biol 2020, 3, 443. [Google Scholar] [CrossRef]
- Ergal, İ.; Bochmann, G.; Fuchs, W.; Rittmann, S.K.-M. Design and Engineering of Artificial Microbial Consortia for Biohydrogen Production. Curr. Opin. Biotechnol. 2022, 73, 74–80. [Google Scholar] [CrossRef] [PubMed]
- Chong, M.-L.; Sabaratnam, V.; Shirai, Y.; Hassan, M.A. Biohydrogen Production from Biomass and Industrial Wastes by Dark Fermentation. Int. J. Hydrogen Energy 2009, 34, 3277–3287. [Google Scholar] [CrossRef]
- Eriksen, N.T.; Nielsen, T.M.; Iversen, N. Hydrogen Production in Anaerobic and Microaerobic Thermotoga neapolitana. Biotechnol. Lett. 2007, 30, 103–109. [Google Scholar] [CrossRef]
- Nguyen, T.-A.D.; Han, S.J.; Kim, J.P.; Kim, M.S.; Sim, S.J. Hydrogen Production of the Hyperthermophilic Eubacterium, Thermotoga neapolitana under N2 Sparging Condition. Bioresour. Technol. 2010, 101, S38–S41. [Google Scholar] [CrossRef] [PubMed]
- Ngo, T.A.; Nguyen, T.H.; Bui, H.T.V. Thermophilic Fermentative Hydrogen Production from Xylose by Thermotoga neapolitana DSM 4359. Renew. Energy 2012, 37, 174–179. [Google Scholar] [CrossRef]
- Rittmann, S.K.-M.R.; Lee, H.S.; Lim, J.K.; Kim, T.W.; Lee, J.-H.; Kang, S.G. One-Carbon Substrate-Based Biohydrogen Production: Microbes, Mechanism, and Productivity. Biotechnol. Adv. 2015, 33, 165–177. [Google Scholar] [CrossRef] [PubMed]
- Hamilton, C.; Hiligsmann, S.; Beckers, L.; Masset, J.; Wilmotte, A.; Thonart, P. Optimization of Culture Conditions for Biological Hydrogen Production by Citrobacter Freundii CWBI952 in Batch, Sequenced-Batch and Semicontinuous Operating Mode. Int. J. Hydrogen Energy 2010, 35, 1089–1098. [Google Scholar] [CrossRef]
- Vatsala, T.M.; Raj, S.M.; Manimaran, A. A Pilot-Scale Study of Biohydrogen Production from Distillery Effluent Using Defined Bacterial Co-Culture. Int. J. Hydrogen Energy 2008, 33, 5404–5415. [Google Scholar] [CrossRef]
- Patel, S.K.S.; Singh, M.; Kumar, P.; Purohit, H.J.; Kalia, V.C. Exploitation of Defined Bacterial Cultures for Production of Hydrogen and Polyhydroxybutyrate from Pea-Shells. Biomass Bioenergy 2012, 36, 218–225. [Google Scholar] [CrossRef]
- Reischl, B.; Ergal, İ.; Rittmann, S.K.-M.R. Biohydrogen Production Characteristics of Desulfurococcus amylolyticus DSM 16532. Int. J. Hydrogen Energy 2018, 43, 8747–8753. [Google Scholar] [CrossRef]
- Zeidan, A.A.; Van Niel, E.W.J. Developing a Thermophilic Hydrogen-Producing Co-Culture for Efficient Utilization of Mixed Sugars. Int. J. Hydrogen Energy 2009, 34, 4524–4528. [Google Scholar] [CrossRef]
- Wang, A.; Ren, N.; Shi, Y.; Lee, D.-J. Bioaugmented Hydrogen Production from Microcrystalline Cellulose Using Co-Culture—Clostridium acetobutylicum X9 and Ethanoigenens harbinense B49. Int. J. Hydrogen Energy 2008, 33, 912–917. [Google Scholar] [CrossRef]
- Yokoi, H.; Saitsu, A.; Uchida, H.; Hirose, J.; Hayashi, S.; Takasaki, Y. Microbial Hydrogen Production from Sweet Potato Starch Residue. J. Biosci. Bioeng. 2001, 91, 58–63. [Google Scholar] [CrossRef]
- Cappelletti, B.M.; Reginatto, V.; Amante, E.R.; Antônio, R.V. Fermentative Production of Hydrogen from Cassava Processing Wastewater by Clostridium acetobutylicum. Renew. Energy 2011, 36, 3367–3372. [Google Scholar] [CrossRef]
- Pawar, S.S.; Vongkumpeang, T.; Grey, C.; van Niel, E. Biofilm Formation by Designed Co-Cultures of Caldicellulosiruptor Species as a Means to Improve Hydrogen Productivity. Biotechnol. Biofuels 2015, 8, 19. [Google Scholar] [CrossRef] [PubMed]
- Mishra, P.; Roy, S.; Das, D. Comparative Evaluation of the Hydrogen Production by Mixed Consortium, Synthetic Co-Culture and Pure Culture Using Distillery Effluent. Bioresour. Technol. 2015, 198, 593–602. [Google Scholar] [CrossRef]
- Ghimire, A.; Frunzo, L.; Pirozzi, F.; Trably, E.; Escudie, R.; Lens, P.N.L.; Esposito, G. A Review on Dark Fermentative Biohydrogen Production from Organic Biomass: Process Parameters and Use of By-Products. Appl. Energy 2015, 144, 73–95. [Google Scholar] [CrossRef]
- Lin, C.-Y.; Wu, S.-Y.; Lin, P.-J.; Chang, J.-S.; Hung, C.-H.; Lee, K.-S.; Chang, F.-Y.; Chu, C.-Y.; Cheng, C.-H.; Lay, C.-H.; et al. Pilot-Scale Hydrogen Fermentation System Start-Up Performance. Int. J. Hydrogen Energy 2010, 35, 13452–13457. [Google Scholar] [CrossRef]
- Lee, H.-S.; Salerno, M.B.; Rittmann, B.E. Thermodynamic Evaluation on H2 Production in Glucose Fermentation. Environ. Sci. Technol. 2008, 42, 2401–2407. [Google Scholar] [CrossRef] [PubMed]
- Fabiano, B.; Perego, P. Thermodynamic Study and Optimization of Hydrogen Production by Enterobacter Aerogenes. Int. J. Hydrogen Energy 2002, 27, 149–156. [Google Scholar] [CrossRef]
- Dürre, P. Physiology and Sporulation in Clostridium. Microbiol. Spectr. 2014, 2, 315–329. [Google Scholar] [CrossRef]
- Van Ginkel, S.; Logan, B.E. Inhibition of Biohydrogen Production by Undissociated Acetic and Butyric Acids. Environ. Sci. Technol. 2005, 39, 9351–9356. [Google Scholar] [CrossRef]
- Zeidan, A.A.; Rådström, P.; van Niel, E.W. Stable Coexistence of Two Caldicellulosiruptor Species in a de Novo Constructed Hydrogen-Producing Co-Culture. Microb. Cell Factories 2010, 9, 102. [Google Scholar] [CrossRef] [PubMed]
- Bagy, M.M.K.; Abd-Alla, M.H.; Morsy, F.M.; Hassan, E.A. Two Stage Biodiesel and Hydrogen Production from Molasses by Oleaginous Fungi and Clostridium acetobutylicum ATCC 824. Int. J. Hydrogen Energy 2014, 39, 3185–3197. [Google Scholar] [CrossRef]
- Perego, P.; Fabiano, B.; Ponzano, G.P.; Palazzi, E. Experimental Study of Hydrogen Kinetics from Agroindustrial By-Product: Optimal Conditions for Production and Fuel Cell Feeding. Bioprocess Eng. 1998, 19, 205–211. [Google Scholar] [CrossRef]
- Zhao, H.; Ma, K.; Lu, Y.; Zhang, C.; Wang, L.; Xing, X.-H. Cloning and Knockout of Formate Hydrogen Lyase and H2-Uptake Hydrogenase Genes in Enterobacter Aerogenes for Enhanced Hydrogen Production. Int. J. Hydrogen Energy 2009, 34, 186–194. [Google Scholar] [CrossRef]
- Martinez-Porqueras, E.; Rittmann, S.; Herwig, C. Analysis of H2 to CO2 Yield and Physiological Key Parameters of Enterobacter aerogenes and Caldicellulosiruptor saccharolyticus. Int. J. Hydrogen Energy 2013, 38, 10245–10251. [Google Scholar] [CrossRef]
Publisher’s Note: MDPI stays neutral with regard to jurisdictional claims in published maps and institutional affiliations. |
© 2022 by the authors. Licensee MDPI, Basel, Switzerland. This article is an open access article distributed under the terms and conditions of the Creative Commons Attribution (CC BY) license (https://creativecommons.org/licenses/by/4.0/).

