Simulation of the Dynamics of Supersonic N-Crowdions in fcc Lead and Nickel
Abstract
1. Introduction
2. Materials and Methods
3. Results and Discussion
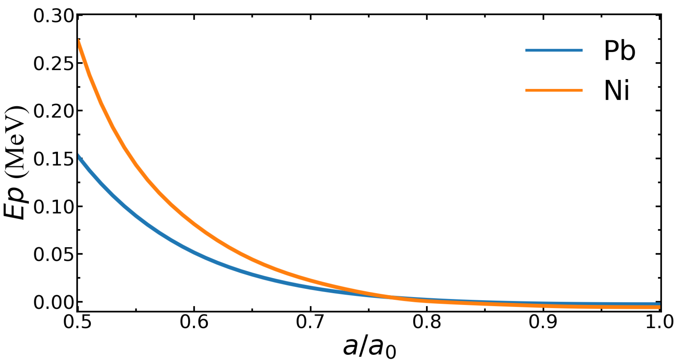
3.1. Comparison of Potentials for Pb and Ni
3.2. Dynamics of Supersonic 1- and 2-Crowdions
3.3. The Effect of Temperature
4. Conclusions
Author Contributions
Funding
Data Availability Statement
Conflicts of Interest
Abbreviations
| LAMMPS | Large-Scale Atomic/Molecular Massively Parallel Simulator |
| EAM | Embedded Atom Model |
| OVITO | Open Visualization Tool |
References
- Kiss, A.M.; Fong, A.Y.; Calta, N.P.; Thampy, V.; Martin, A.A.; Depond, P.J.; Wang, J.; Matthews, M.J.; Ott, R.T.; Tassone, C.J.; et al. Laser-Induced Keyhole Defect Dynamics during Metal Additive Manufacturing. Adv. Eng. Mater. 2019, 21, 1900455. [Google Scholar] [CrossRef]
- Edalati, K.; Bachmaier, A.; Beloshenko, V.; Beygelzimer, Y.; Blank, V.; Botta, W.; Bryła, K.; Čížek, J.; Divinski, S.; Enikeev, N.; et al. Nanomaterials by severe plastic deformation: Review of historical developments and recent advances. Mater. Res. Lett. 2022, 10, 163–256. [Google Scholar] [CrossRef]
- Wei, Q.; Schuster, B.E.; Mathaudhu, S.N.; Hartwig, K.T.; Kecskes, L.J.; Dowding, R.J.; Ramesh, K.T. Dynamic behaviors of body-centered cubic metals with ultrafine grained and nanocrystalline microstructures. Mater. Sci. Eng. A 2008, 493, 58–64. [Google Scholar] [CrossRef]
- Shepelev, I.A.; Chetverikov, A.P.; Dmitriev, S.V.; Korznikova, E.A. Shock waves in graphene and boron nitride. Comput. Mater. Sci. 2020, 177, 109549. [Google Scholar] [CrossRef]
- Terentyev, D.A.; Klaver, T.P.C.; Olsson, P.; Marinica, M.C.; Willaime, F.; Domain, C.; Malerba, L. Self-trapped interstitial-type defects in iron. Phys. Rev. Lett. 2008, 100, 145503. [Google Scholar] [CrossRef]
- Terentyev, D.A.; Malerba, L.; Hou, M. Dimensionality of interstitial cluster motion in bcc-Fe. Phys. Rev. B 2007, 75, 104108. [Google Scholar] [CrossRef]
- Zhang, Z.; Yabuuchi, K.; Kimura, A. Defect distribution in ion-irradiated pure tungsten at different temperatures. J. Nucl. Mater. 2016, 480, 207–215. [Google Scholar] [CrossRef]
- Zhou, W.H.; Zhang, C.G.; Li, Y.G.; Zeng, Z. Transport, dissociation and rotation of small self-interstitial atom clusters in tungsten. J. Nucl. Mater. 2014, 453, 202–209. [Google Scholar] [CrossRef]
- Granberg, F.; Byggmästar, J.; Nordlund, K. Molecular dynamics simulations of high-dose damage production and defect evolution in tungsten. J. Nucl. Mater. 2021, 556, 153158. [Google Scholar] [CrossRef]
- Li, Z.Z.; Li, Y.H.; Terentyev, D.; Castin, N.; Bakaev, A.; Bonny, G.; Yang, Z.; Liang, L.; Zhou, H.B.; Gao, F.; et al. Investigating the formation mechanism of void lattice in tungsten under neutron irradiation: From collision cascades to ordered nanovoids. Acta Mater. 2021, 219, 117239. [Google Scholar] [CrossRef]
- Nordmark, H.; Holmestad, R.; Walmsley, J.C.; Ulyashin, A. Transmission electron microscopy study of hydrogen defect formation at extended defects in hydrogen plasma treated multicrystalline silicon. J. Appl. Phys. 2009, 105, 033506. [Google Scholar] [CrossRef]
- Nordlund, K. Historical review of computer simulation of radiation effects in materials. J. Nucl. Mater. 2019, 520, 273–295. [Google Scholar] [CrossRef]
- Paneth, H.R. The mechanism of self-diffusion in alkali metals. Phys. Rev. 1950, 80, 708–711. [Google Scholar] [CrossRef]
- Derlet, P.M.; Nguyen-Manh, D.; Dudarev, S.L. Multiscale modeling of crowdion and vacancy defects in body-centered-cubic transition metals. Phys. Rev. B 2007, 76, 054107. [Google Scholar] [CrossRef]
- Bhardwaj, U.; Sand, A.; Warrier, M. Graph theory based approach to characterize self interstitial defect morphology. Comput. Mater. Sci. 2021, 195, 110474. [Google Scholar] [CrossRef]
- Xu, A.; Armstrong, D.E.J.; Beck, C.; Moody, M.P.; Smith, G.D.W.; Bagot, P.A.J.; Roberts, S.G. Ion-irradiation induced clustering in W-Re-Ta, W-Re and W-Ta alloys: An atom probe tomography and nanoindentation study. Acta Mater. 2017, 124, 71–78. [Google Scholar] [CrossRef]
- Xu, K.; Weber, M.H.; Cao, Y.; Jiang, W.; Edwards, D.J.; Johnson, B.R.; McCloy, J.S. Ion irradiation induced changes in defects of iron thin films: Electron microscopy and positron annihilation spectroscopy. J. Nucl. Mater. 2019, 526, 151774. [Google Scholar] [CrossRef]
- Mason, D.R.; Sand, A.E.; Yi, X.; Dudarev, S.L. Direct observation of the spatial distribution of primary cascade damage in tungsten. Acta Mater. 2018, 144, 905–917. [Google Scholar] [CrossRef]
- Fang, J.; Liu, L.; Gao, N.; Hu, W.; Deng, H. Molecular dynamics simulation of the behavior of typical radiation defects under stress gradient field in tungsten. J. Appl. Phys. 2021, 130, 125103. [Google Scholar] [CrossRef]
- Wang, J.; Hou, Q.; Zhang, B.L. Migration behavior of self-interstitial defects in tungsten and iron. Solid State Commun. 2021, 325, 114158. [Google Scholar] [CrossRef]
- Fu, B.Q.; Fitzgerald, S.P.; Hou, Q.; Wang, J.; Li, M. Effect of collision cascades on dislocations in tungsten: A molecular dynamics study. Nucl. Instrum. Methods Phys. Res. Sect. B 2017, 393, 169–173. [Google Scholar] [CrossRef]
- Domínguez-Gutiérrez, F.J.; Byggmästar, J.; Nordlund, K.; Djurabekova, F.; von Toussaint, U. On the classification and quantification of crystal defects after energetic bombardment by machine learned molecular dynamics simulations. Nucl. Mater. Energy 2020, 22, 100724. [Google Scholar] [CrossRef]
- Chartier, A.; Marinica, M.C. Rearrangement of interstitial defects in alpha-Fe under extreme condition. Acta Mater. 2019, 180, 141–148. [Google Scholar] [CrossRef]
- Fu, J.; Chen, Y.; Fang, J.; Gao, N.; Hu, W.; Jiang, C.; Zhou, H.B.; Lu, G.H.; Gao, F.; Deng, H. Molecular dynamics simulations of high-energy radiation damage in W and W–Re alloys. J. Nucl. Mater. 2019, 524, 9–20. [Google Scholar] [CrossRef]
- Wang, J.; He, B.; Song, W.; Dang, W. Energetics, kinetics and dynamics of self-interstitial clusters in bcc tungsten. Mol. Simul. 2019, 45, 666–671. [Google Scholar] [CrossRef]
- Cheng, F.; Zheng, Q.; Li, Y.; Zhang, C.; Zeng, Z. Electronic energy loss assessment in theoretical modeling of primary radiation damage in tungsten. Int. J. Mod. Phys. C 2021, 32, 21501345. [Google Scholar] [CrossRef]
- Castin, N.; Bakaev, A.; Bonny, G.; Sand, A.E.; Malerba, L.; Terentyev, D. On the onset of void swelling in pure tungsten under neutron irradiation: An object kinetic Monte Carlo approach. J. Nucl. Mater. 2017, 493, 280–293. [Google Scholar] [CrossRef]
- Dudarev, S.L.; Ma, P.W. Elastic fields, dipole tensors, and interaction between self-interstitial atom defects in bcc transition metals. Phys. Rev. Mater. 2018, 2, 033602. [Google Scholar] [CrossRef]
- Korznikova, E.A.; Shunaev, V.V.; Shepelev, I.A.; Glukhova, O.E.; Dmitriev, S.V. Ab initio study of the propagation of a supersonic 2-crowdion in fcc Al. Comput. Mater. Sci. 2022, 204, 111125. [Google Scholar] [CrossRef]
- Gilbert, M.R.; Arakawa, K.; Bergstrom, Z.; Caturla, M.J.; Dudarev, S.L.; Gao, F.; Goryaeva, A.M.; Hu, S.Y.; Hu, X.; Kurtz, R.J.; et al. Perspectives on multiscale modelling and experiments to accelerate materials development for fusion. J. Nucl. Mater. 2021, 554, 153113. [Google Scholar] [CrossRef]
- Ma, P.W.; Mason, D.R.; Dudarev, S.L. Multiscale analysis of dislocation loops and voids in tungsten. Phys. Rev. Mater. 2020, 4, 103609. [Google Scholar] [CrossRef]
- Dudarev, S.L.; Mason, D.R.; Tarleton, E.; Ma, P.W.; Sand, A.E. A multi-scale model for stresses, strains and swelling of reactor components under irradiation. Nucl. Fusion 2018, 58, 126002. [Google Scholar] [CrossRef]
- Becquart, C.; Souidi, A.; Hou, M. Replacement collision and focuson sequences revisited by full molecular dynamics and its binary collision approximation. Philos. Mag. 2005, 85, 409–415. [Google Scholar] [CrossRef]
- Natsik, V.; Smirnov, S. Dislocations and crowdions in two-dimensional crystals. Part III: Plastic deformation of the crystal as a result of defect movement and defect interaction with the field of elastic stresses. Low Temp. Phys. 2016, 42, 207–218. [Google Scholar] [CrossRef]
- Starikov, S.A.; Kuznetsov, A.R.; Sagaradze, V.V. Crowdion in deformed fcc metal. Atomistic Modeling. Phys. Met. Metallogr. 2021, 122, 1207–1212. [Google Scholar] [CrossRef]
- Dmitriev, S.V.; Korznikova, E.A.; Chetverikov, A.P. Supersonic N-crowdions in a two-dimensional Morse crystal. J. Exp. Theor. Phys. 2018, 126, 347–352. [Google Scholar] [CrossRef]
- Shepelev, I.A.; Korznikova, E.A.; Bachurin, D.V.; Semenov, A.S.; Chetverikov, A.P.; Dmitriev, S.V. Supersonic crowdion clusters in 2D Morse lattice. Phys. Lett. A 2020, 384, 126032. [Google Scholar] [CrossRef]
- Dmitriev, S.V.; Medvedev, N.N.; Chetverikov, A.P.; Zhou, K.; Velarde, M.G. Highly enhanced transport by supersonic N-crowdions. Phys. Status Solidi 2017, 11, 1700298. [Google Scholar] [CrossRef]
- Babicheva, R.I.; Evazzade, I.; Korznikova, E.A.; Shepelev, I.A.; Zhou, K.; Dmitriev, S.V. Low-energy channel for mass transfer in Pt crystal initiated by molecule impact. Comput. Mater. Sci. 2019, 163, 248–255. [Google Scholar] [CrossRef]
- Bayazitov, A.M.; Dmitriev, S.V.; Zakharov, P.V.; Shepelev, I.A.; Fomin, S.Y.; Korznikova, E.A. Features of mass transfer by N-crowdions in fcc Ni3Al lattice. In Proceedings of the IOP Conference Series: Materials Science and Engineering, Kazimierz Dolny, Poland, 21–23 November 2019; IOP Publishing: Bristol, UK, 2019; Volume 672, p. 012033. [Google Scholar]
- Shepelev, I.; Bachurin, D.; Korznikova, E.; Dmitriev, S. Highly efficient energy and mass transfer in bcc metals by supersonic 2-crowdions. J. Nucl. Mater. 2022, 568, 153841. [Google Scholar] [CrossRef]
- Garber, R.I.; Fedorenko, A.I. Focusing of atomic collisions in crystals. Phys. Usp. 1964, 7, 479–507. [Google Scholar] [CrossRef]
- Zhou, X.W.; Johnson, R.A.; Wadley, H.N.G. Misfit-energy-increasing dislocations in vapor-deposited CoFe/NiFe multilayers. Phys. Rev. B 2004, 69, 144113. [Google Scholar] [CrossRef]
- Zhou, X.; Wadley, H.; Johnson, R.; Larson, D.; Tabat, N.; Cerezo, A.; Petford-Long, A.; Smith, G.; Clifton, P.; Martens, R.; et al. Atomic scale structure of sputtered metal multilayers. Acta Mater. 2001, 49, 4005–4015. [Google Scholar] [CrossRef]
- Stoller, R.E.; Tamm, A.; Béland, L.K.; Samolyuk, G.D.; Stocks, G.M.; Caro, A.; Slipchenko, L.V.; Osetsky, Y.N.; Aabloo, A.; Klintenberg, M.; et al. Impact of short-range forces on defect production from high-energy collisions. J. Chem. Theory Comput. 2016, 12, 2871–2879. [Google Scholar] [CrossRef]
- Mishin, Y.; Farkas, D.; Mehl, M.J.; Papaconstantopoulos, D.A. Interatomic potentials for monoatomic metals from experimental data and ab initio calculations. Phys. Rev. B 1999, 59, 3393–3407. [Google Scholar] [CrossRef]
- Stukowski, A. Visualization and analysis of atomistic simulation data with OVITO–the Open Visualization Tool. Model. Simul. Mater. Sci. Eng. 2009, 18, 015012. [Google Scholar] [CrossRef]
- Chou, S.P.; Ghoniem, N.M. Molecular dynamics of collision cascades with composite pair–many-body potentials. Phys. Rev. B 1991, 43, 2490–2495. [Google Scholar] [CrossRef]
- Bayazitov, A.M.; Murzaev, R.T.; Bebikhov, Y.V. Effect of interatomic potentials on dynamics of supersonic 2-crowdions in tungsten. AIP Conf. Proc. 2022, 2533, 020032. [Google Scholar] [CrossRef]








Disclaimer/Publisher’s Note: The statements, opinions and data contained in all publications are solely those of the individual author(s) and contributor(s) and not of MDPI and/or the editor(s). MDPI and/or the editor(s) disclaim responsibility for any injury to people or property resulting from any ideas, methods, instructions or products referred to in the content. |
© 2023 by the authors. Licensee MDPI, Basel, Switzerland. This article is an open access article distributed under the terms and conditions of the Creative Commons Attribution (CC BY) license (https://creativecommons.org/licenses/by/4.0/).
Share and Cite
Bayazitov, A.M.; Semenov, A.S.; Dmitriev, S.V. Simulation of the Dynamics of Supersonic N-Crowdions in fcc Lead and Nickel. Micro 2023, 3, 632-642. https://doi.org/10.3390/micro3030044
Bayazitov AM, Semenov AS, Dmitriev SV. Simulation of the Dynamics of Supersonic N-Crowdions in fcc Lead and Nickel. Micro. 2023; 3(3):632-642. https://doi.org/10.3390/micro3030044
Chicago/Turabian StyleBayazitov, Ayrat M., Alexander S. Semenov, and Sergey V. Dmitriev. 2023. "Simulation of the Dynamics of Supersonic N-Crowdions in fcc Lead and Nickel" Micro 3, no. 3: 632-642. https://doi.org/10.3390/micro3030044
APA StyleBayazitov, A. M., Semenov, A. S., & Dmitriev, S. V. (2023). Simulation of the Dynamics of Supersonic N-Crowdions in fcc Lead and Nickel. Micro, 3(3), 632-642. https://doi.org/10.3390/micro3030044

