Sonication-Assisted Decellularization of Waste Tilapia (Oreochromis niloticus) Heads for Extracellular Matrix Extraction
Abstract
1. Introduction
2. Materials and Methods
2.1. Sample Preparation and Demineralization
2.2. Decellularization Process
2.3. Evaluation of the dECM
2.3.1. Hematoxylin and Eosin (H and E) Staining
2.3.2. DNA Quantification
2.3.3. Protein Quantification
2.3.4. Attenuated Total Reflectance–Fourier Transform Infrared Spectroscopy (ATR–FTIR) Analysis
2.3.5. Sodium Dodecyl-Sulfate–Polyacrylamide Gel Electrophoresis (SDS–PAGE)
2.3.6. Differential Scanning Calorimetry (DSC)
2.3.7. Residual Detergent Determination
2.3.8. Statistical Analysis
3. Results
3.1. Hematoxylin and Eosin (H and E) Staining
3.2. DNA Quantification
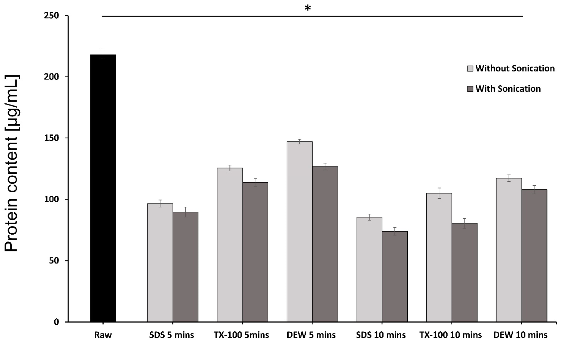
3.3. Protein Quantification
3.4. Attenuated Total Reflectance–Fourier Transform Infrared Spectroscopy (ATR–FTIR) Analysis
3.5. Sodium Dodecyl Sulfate–Polycrylamide Gel Electrophoresis (SDS–PAGE)
3.6. Differential Scanning Calorimetry (DSC)
3.7. Residual Detergent Determination
4. Discussion
5. Conclusions
Author Contributions
Funding
Institutional Review Board Statement
Informed Consent Statement
Data Availability Statement
Acknowledgments
Conflicts of Interest
References
- The State of World Fisheries and Aquaculture 2022; Food and Agriculture Organization: Rome, Italy, 2022.
- Philippine Council for Agriculture and Fisheries. Philippine Tilapia Industry Roadmap 2022–2025; Philippine Council for Agriculture and Fisheries: Quezon City, Philippines, 2022. [Google Scholar]
- Gao, P.; Li, L.; Xia, W.; Xu, Y.; Liu, S. LWT-Food Science and Technology Valorization of Nile tilapia (Oreochromis niloticus) fish head for a novel fi sh sauce by fermentation with selected lactic acid bacteria. LWT-Food Sci. Technol. 2020, 129, 109539. [Google Scholar] [CrossRef]
- De Ungria, S.; Fernandez, L.T.; Santos, J.P. Circular economy in fisheries: How is fish market waste managed in the Philippines? Res. Sq. 2022, 1–15. [Google Scholar] [CrossRef]
- Lee, T.C.; Pu, N.A.S.M.; Alipal, J.; Muhamad, M.S.; Basri, H.; Idris, M.I.; Abdullah, H.Z. Tilapia wastes to valuable materials: A brief review of biomedical, wastewater treatment, and biofuel applications. Mater. Today Proc. 2022, 57, 1389–1395. [Google Scholar] [CrossRef]
- Coppola, D.; Lauritano, C.; Esposito, F.P.; Riccio, G.; Rizzo, C.; de Pascale, D. Fish Waste: From Problem to Valuable Resource. Mar. Drugs 2021, 19, 116. [Google Scholar] [CrossRef]
- Ribeiro Cardoso dos Santos, D.M.; Victor dos Santos, C.W.; Barros de Souza, C.; Sarmento de Albuquerque, F.; Marcos dos Santos Oliveira, J.; Vieira Pereira, H.J. Trypsin purified from Coryphaena hippurus (common dolphinfish): Purification, characterization, and application in commercial detergents. Biocatal. Agric. Biotechnol. 2019, 25, 101584. [Google Scholar] [CrossRef]
- dos Santos, C.W.V.; da Costa Marques, M.E.; de Araújo Tenório, H.; de Miranda, E.C.; Vieira Pereira, H.J. Purification and characterization of trypsin from Luphiosilurus alexandri pyloric cecum. Biochem. Biophys. Rep. 2016, 8, 29–33. [Google Scholar] [CrossRef][Green Version]
- Sun, Y.; Yan, L.; Chen, S.; Pei, M. Functionality of decellularized matrix in cartilage regeneration: A comparison of tissue versus cell sources. Acta Biomater. 2018, 74, 56–73. [Google Scholar] [CrossRef]
- Frantz, C.; Stewart, K.M.; Weaver, V.M.; Frantz, C.; Stewart, K.M.; Weaver, V.M. The extracellular matrix at a glance. J. Cell Sci. 2010, 2010, 4195–4200. [Google Scholar] [CrossRef] [PubMed]
- Agmon, G.; Christman, K.L. Controlling stem cell behavior with decellularized extracellular matrix scaffolds. Curr. Opin. Solid State Mater. Sci. 2016, 20, 193–201. [Google Scholar] [CrossRef]
- Isaeva, E.V.; Beketov, E.E.; Arguchinskaya, N.V.; Ivanov, S.A.; Shegay, P.V.; Kaprin, A.D. Decellularized Extracellular Matrix for Tissue Engineering (Review). Sovrem. Tehnol. v Med. 2022, 14, 57–69. [Google Scholar] [CrossRef]
- Badylak, S.F.; Freytes, D.O.; Gilbert, T.W. Extracellular matrix as a biological scaffold material: Structure and function. Acta Biomater. 2009, 5, 1–13. [Google Scholar] [CrossRef] [PubMed]
- Nisperos, M.J.; Bacosa, H.; Lumancas, G.; Arellano, F.; Aron, J.; Baclayon, L.; Bantilan, Z.C.; Labares, M.; Bual, R. Time-Dependent Demineralization of Tilapia (Oreochromis niloticus) Bones Using Hydrochloric Acid for Extracellular Matrix Extraction. Biomimetics 2023, 8, 217. [Google Scholar] [CrossRef] [PubMed]
- Pang, S.; Su, F.Y.; Green, A.; Salim, J.; McKittrick, J.; Jasiuk, I. Comparison of different protocols for demineralization of cortical bone. Sci. Rep. 2021, 11, 7012. [Google Scholar] [CrossRef] [PubMed]
- Gupta, S.K.; Mishra, N.C. Decellularization Methods for Scaffold Fabrication. In Decellularized Scaffolds and Organogenesis. Methods in Molecular Biology; Humana Press: New York, NY, USA, 2017. [Google Scholar] [CrossRef]
- Li, Y.; Wu, Q.; Li, L.; Chen, F.; Bao, J.; Li, W. Decellularization of porcine whole lung to obtain a clinical-scale bioengineered scaffold. J. Biomed. Mater. Res.-Part A 2021, 109, 1623–1632. [Google Scholar] [CrossRef]
- Balestrini, J.L.; Gard, A.L.; Liu, A.; Leiby, K.L.; Schwan, J.; Kunkemoeller, B.; Calle, E.A.; Sivarapatna, A.; Lin, T.; Dimitrievska, S.; et al. Production of decellularized porcine lung scaffolds for use in tissue engineering. Integr. Biol. 2015, 7, 1598–1610. [Google Scholar] [CrossRef]
- Alaee, S.; Asadollahpour, R.; Hosseinzadeh Colagar, A.; Talaei-Khozani, T. The decellularized ovary as a potential scaffold for maturation of preantral ovarian follicles of prepubertal mice. Syst. Biol. Reprod. Med. 2021, 67, 413–427. [Google Scholar] [CrossRef]
- Prebeg, T.; Omerčić, D.; Erceg, V.; Matijašić, G. Comparison of Sodium Lauryl Sulfate and Sodium Lauryl Ether Sulfate Detergents for Decellularization of Porcine Liver for Tissue Engineering Applications. Chem. Eng. Trans. 2023, 100, 745–750. [Google Scholar] [CrossRef]
- Bondi, C.A.M.; Marks, J.L.; Wroblewski, L.B.; Raatikainen, H.S.; Lenox, S.R.; Gebhardt, K.E. Human and Environmental Toxicity of Sodium Lauryl Sulfate (SLS): Evidence for Safe Use in Household Cleaning Products. Environ. Health Insights 2015, 9, 27–32. [Google Scholar] [CrossRef]
- Kawasaki, T.; Kirita, Y.; Kami, D.; Kitani, T.; Ozaki, C.; Itakura, Y.; Toyoda, M.; Gojo, S. Novel detergent for whole organ tissue engineering. J. Biomed. Mater. Res. Part A 2015, 103, 3364–3373. [Google Scholar] [CrossRef]
- Gilbert, T.W.; Sellaro, T.L.; Badylak, S.F. Decellularization of tissues and organs. Biomaterials 2006, 27, 3675–3683. [Google Scholar] [CrossRef]
- Keshvari, M.A.; Afshar, A.; Daneshi, S.; Khoradmehr, A.; Baghban, M.; Muhaddesi, M.; Behrouzi, P.; Miri, M.R.; Azari, H.; Nabipour, I.; et al. Decellularization of kidney tissue: Comparison of sodium lauryl ether sulfate and sodium dodecyl sulfate for allotransplantation in rat. Cell Tissue Res. 2021, 386, 365–378. [Google Scholar] [CrossRef] [PubMed]
- Yaghoubi, A.; Azarpira, N.; Karbalay-Doust, S.; Daneshi, S.; Vojdani, Z.; Talaei-Khozani, T. Prednisolone and mesenchymal stem cell preloading protect liver cell migration and mitigate extracellular matrix modification in transplanted decellularized rat liver. Stem Cell Res. Ther. 2022, 13, 36. [Google Scholar] [CrossRef] [PubMed]
- Hassanpour, A.; Talaei-khozani, T.; Kargar-abarghouei, E.; Razban, V. Decellularized human ovarian scaffold based on a sodium lauryl ester sulfate (SLES)—Treated protocol, as a natural three—Dimensional scaffold for construction of bioengineered ovaries. Stem Cell Res. Ther. 2018, 9, 252. [Google Scholar] [CrossRef] [PubMed]
- Miranda, C.M.F.C.; Leonel, L.C.P.C.; Cañada, R.R.; Maria, D.A.; Miglino, M.A.; Del Sol, M.; Lobo, S.E. Effects of chemical and physical methods on decellularization of murine skeletal muscles. An. Acad. Bras. Cienc. 2021, 93, e20190942. [Google Scholar] [CrossRef] [PubMed]
- Sawada, K.; Terada, D.; Yamaoka, T.; Kitamura, S.; Fujisato, T. Cell removal with supercritical carbon dioxide for acellular artificial tissue. J. Chem. Technol. Biotechnol. 2008, 83, 943–949. [Google Scholar] [CrossRef]
- Lin, C.; Hsia, K.; Su, C.; Chen, C.; Yeh, C.; Ma, H.; Lu, J. Sonication-Assisted Method for Decellularization of Human Umbilical Artery for Small-Caliber Vascular Tissue Engineering. Polymers 2021, 13, 1699. [Google Scholar] [CrossRef]
- Azhim, A.; Syazwani, N.; Morimoto, Y.; Furukawa, K.S.; Ushida, T. The use of sonication treatment to decellularize aortic tissues for preparation of bioscaffolds. J. Biomater. Appl. 2015, 29, 130–141. [Google Scholar] [CrossRef]
- Shen, W.; Berning, K.; Tang, S.W.; Lam, Y.W. Rapid and detergent-free decellularization of cartilage. Tissue Eng.-Part C Methods 2020, 26, 201–206. [Google Scholar] [CrossRef]
- Azhim, A.; Yamagami, K.; Muramatsu, K.; Morimoto, Y.; Furukawa, K.S.; Tanaka, M.; Fukui, Y.; Ushida, T. The use of sonication treatment to completely decellularize aorta tissue. In Proceedings of the VI Latin American Congress on Biomedical Engineering CLAIB 2014, Paraná, Argentina, 29–31 October 2014; Volume 39, pp. 1987–1990. [Google Scholar] [CrossRef]
- Kawecki, M.; Łabuś, W.; Klama-Baryla, A.; Kitala, D.; Kraut, M.; Glik, J.; Misiuga, M.; Nowak, M.; Bielecki, T.; Kasperczyk, A. A review of decellurization methods caused by an urgent need for quality control of cell-free extracellular matrix’ scaffolds and their role in regenerative medicine. J. Biomed. Mater. Res.-Part B Appl. Biomater. 2018, 106, 909–923. [Google Scholar] [CrossRef]
- Narciso, M.; Otero, J.; Navajas, D.; Farre, R.; Almendros, I.; Gavara, N. Immage-Based Method to Quantify Decellularization of Tissue Sections. Int. J. Mol Sci 2021, 22, 8399. [Google Scholar] [CrossRef]
- Oliveira, A.C.; Garzón, I.; Ionescu, A.M.; Carriel, V.; Cardona, J.D.L.C.; González-Andrades, M.; Pérez, M.D.M.; Alaminos, M.; Campos, A. Evaluation of Small Intestine Grafts Decellularization Methods for Corneal Tissue Engineering. PLoS ONE 2013, 8, e66538. [Google Scholar] [CrossRef] [PubMed]
- Ijima, H.; Nakamura, S.; Bual, R.; Shirakigawa, N.; Tanoue, S. Physical Properties of the Extracellular Matrix of Decellularized Porcine Liver. Gels 2018, 4, 39. [Google Scholar] [CrossRef] [PubMed]
- Steinhilber, A.E.; Schmidt, F.F.; Naboulsi, W.; Planatscher, H.; Niedzwiecka, A.; Zagon, J.; Lampen, A.; Joos, T.O.; Poetz, O. Species Differentiation and Quantification of Processed Animal Proteins and Blood Products in Fish Feed using an 8-Plex Mass Spectrometry-Based Assay. J. Agric. Food Chem. 2018, 66, 10327–10335. [Google Scholar] [CrossRef] [PubMed]
- Sujithra, S.; Kiruthiga, N.; Prabhu, M.J.; Kumeresan, R. Isolation and Determination of Type I Collagen from Tilapia (Oreochromis niloticus) Waste. Int. J. Eng. Technol. 2013, 5, 2181–2185. [Google Scholar]
- Laemmli, U. Cleavage of Structural Proteins during the Assembly of the Head of Bacteriophage T4. Nature 1970, 227, 680–685. [Google Scholar] [CrossRef]
- Pavlović, B.; Cvijetić, N.; Dragačević, L.; Ivković, B.; Vujić, Z.; Kuntić, V. Direct UV Spectrophotometry and HPLC determination of triton X-100 in split virus influenza vaccine. J. AOAC Int. 2016, 99, 396–400. [Google Scholar] [CrossRef]
- Alizadeh, M.; Rezakhani, L.; Soleimannejad, M.; Sharifi, E.; Anjomshoa, M.; Alizadeh, A. Evaluation of vacuum washing in the removal of SDS from decellularized bovine pericardium: Method and device description. Heliyon 2019, 5, e02253. [Google Scholar] [CrossRef] [PubMed]
- Bual, R.; Labares, M.; Valle, K.D.D.; Pague, J.; Bantilan, Z.C.; Ducao, P.G.; Alimasag, J.; Acibar, C. Characterization of Decellularized Extracellular Matrix from Milkfish (Chanos chanos) Skin. Biomimetics 2022, 7, 213. [Google Scholar] [CrossRef]
- Arvanitoyannis, I.S.; Kassaveti, A. Fish industry waste: Treatments, environmental impacts, current and potential uses. Int. J. Food Sci. Technol. 2008, 43, 726–745. [Google Scholar] [CrossRef]
- Sockalingam, K.; Abdullah, H.Z. Extraction of high value added gelatin biopolymer from black tilapia (Oreochromis mossambicus) head bones. AIP Conf. Proc. 2015, 1669, 020076. [Google Scholar]
- Crapo, P.M.; Gilbert, T.W.; Badylak, S.F. An overview of tissue and whole organ decellularization processes. Biomaterials 2011, 32, 3233–3243. [Google Scholar] [CrossRef] [PubMed]
- Galang, M.G.Y.; Estrellado, J.R.C. Effect of Sonication Power on the Degree of Cell Removal and Scaffold Integrity of Decellularized Porcine Kidney Cortex Using a Bath-Type Sonicator. Bachelor’s Thesis, Gokongwei College of Engineering, Manila, Philippines, 2022. [Google Scholar]
- Luo, J.; Fang, Z.; Smith, R.L.; Qi, X. Fundamentals of Acoustic Cavitation in Sonochemistry. In Production of Biofuels and Chemicals with Ultrasound; Biofuels and Biorefineries; Fang, Z., Smith, R., Jr., Qi, X., Eds.; Springer: Dordrecht, The Netherlands, 2015; Volume 4. [Google Scholar] [CrossRef]
- Gill, P.; Moghadam, T.T.; Ranjbar, B. Differential Scanning Calorimetry Techniques: Applications in Biology and Nanoscience. J. Biomol. Tech. 2010, 21, 167–193. [Google Scholar] [PubMed]
- Suslick, S. Sonochemistry. Science 1990, 247, 1439–1445. [Google Scholar] [CrossRef] [PubMed]
- Gilpin, A.; Yang, Y. Decellularization Strategies for Regenerative Medicine: From Processing Techniques to Applications. BioMed Res. Int. 2017, 2017, 9831534. [Google Scholar] [CrossRef]







| Decellularizing Agent | Treatment | Contact Time |
|---|---|---|
| 1% SDS 1% TX-100 Deionized water (DEW) | Sonication-assisted (WS) Without sonication (NS) | 5 min 10 min |
Disclaimer/Publisher’s Note: The statements, opinions and data contained in all publications are solely those of the individual author(s) and contributor(s) and not of MDPI and/or the editor(s). MDPI and/or the editor(s) disclaim responsibility for any injury to people or property resulting from any ideas, methods, instructions or products referred to in the content. |
© 2024 by the authors. Licensee MDPI, Basel, Switzerland. This article is an open access article distributed under the terms and conditions of the Creative Commons Attribution (CC BY) license (https://creativecommons.org/licenses/by/4.0/).
Share and Cite
Baclayon, L.; Bual, R.; Labares, M., Jr.; Valle, K.D.D.; Pague, J., Jr.; Alimasag, J.; Lumancas, G.; Arellano, F.; Nisperos, M.J.; Aron, J.; et al. Sonication-Assisted Decellularization of Waste Tilapia (Oreochromis niloticus) Heads for Extracellular Matrix Extraction. Biomass 2024, 4, 1078-1091. https://doi.org/10.3390/biomass4040060
Baclayon L, Bual R, Labares M Jr., Valle KDD, Pague J Jr., Alimasag J, Lumancas G, Arellano F, Nisperos MJ, Aron J, et al. Sonication-Assisted Decellularization of Waste Tilapia (Oreochromis niloticus) Heads for Extracellular Matrix Extraction. Biomass. 2024; 4(4):1078-1091. https://doi.org/10.3390/biomass4040060
Chicago/Turabian StyleBaclayon, Lean, Ronald Bual, Marionilo Labares, Jr., Kit Dominick Don Valle, Job Pague, Jr., Johnel Alimasag, Gladine Lumancas, Fernan Arellano, Michael John Nisperos, Jemwel Aron, and et al. 2024. "Sonication-Assisted Decellularization of Waste Tilapia (Oreochromis niloticus) Heads for Extracellular Matrix Extraction" Biomass 4, no. 4: 1078-1091. https://doi.org/10.3390/biomass4040060
APA StyleBaclayon, L., Bual, R., Labares, M., Jr., Valle, K. D. D., Pague, J., Jr., Alimasag, J., Lumancas, G., Arellano, F., Nisperos, M. J., Aron, J., & Bacosa, H. (2024). Sonication-Assisted Decellularization of Waste Tilapia (Oreochromis niloticus) Heads for Extracellular Matrix Extraction. Biomass, 4(4), 1078-1091. https://doi.org/10.3390/biomass4040060

