Abstract
This study investigates the synoptic conditions associated with lake-effect snow (LES) over northwestern Pennsylvania with a focus on classifying cases based on the tracks of cyclones influencing the region, including Nor’easters (NEs), Alberta Clippers (ACs), Colorado Lows (COs), and Great Lakes Lows (GLs). Synoptic composites were constructed using the North American Regional Reanalysis (NARR) for all cases, as well as each cyclone group, using an LES repository spanning from 2006–2020. Additionally, 95 percent bootstrapped confidence intervals were created for each cyclone track to compare the initial mesoscale environmental properties (i.e., surface lake/air temperature and wind direction/speed) and LES impact (i.e., duration, maximum snowfall, and property damage). Synoptic composites of all LES cases exhibited an archetypal LES synoptic pattern consisting of an upper-level low geopotential height anomaly over the Hudson Bay and surface dipole structure centered across the Great Lakes basin. Regarding the different tracks, NEs and COs featured dynamic support in the form of enhanced turbulent mixing and synoptic vertical forcing, while ACs and GLs had greater thermodynamic support in the form of higher lapse rates and heightened heat and moisture fluxes. However, the bootstrapping analysis revealed minimal differences in LES impact between the cyclone types.
1. Introduction
Covering more than 243,450 km2, the North American Great Lakes (hereafter referred to as the “Great Lakes”) represent the second largest freshwater resource in the world and have a significant impact on the region’s climatology [1,2] and local economy [3,4]. Among these impacts, and one of the more unique consequences of the Great Lakes, are the localized peaks in annual snowfall totals in downwind areas (Figure 1). These “snowbelts” receive up to 55% of their annual snowfall [5] from narrow snow bands that form mid-lake as a result of air mass destabilization and resultant convection (referred to as “lake-effect snow” (LES)).
Figure 1.
National Oceanic and Atmospheric Administration (NOAA) National Center for Environmental Information (NCEI) 30-year climate normal snowfall over the northeast and Midwest United States (U.S.). Graphic was created by the Midwestern Regional Climate Center and can be accessed here: https://www.weather.gov/lot/snowclimatology. Accessed on 23 August 2024.
Due to the extreme amount of water they hold (~six billion gallons), the Great Lakes possess high thermal inertia, which acts to suppress heat energy loss during the fall and winter seasons [6]. This results in an “unstable” lake-effect season that extends from August to March [7]. A major characteristic of this season is having the temperatures at the surface of the lake be greater than the air temperatures found inland. During the peak unstable lake-effect season (December–February), heightened vertical temperature/vapor pressure gradients between continental polar air masses and the relatively warmer lake surfaces generate a convective internal boundary layer (CIBL), which is characterized by superadiabatic lapse rates, pronounced surface heat/moisture fluxes, and subsequent moist convection and LES [8,9,10,11,12,13,14,15,16]. LES occurs most frequently and prominently over the Great Lakes due to the physical traits previously described; however, it should be noted that LES is a global phenomenon that has been observed over the Great Salt Lake, Chesapeake Bay, Lake Winnipeg, and the Sea of Japan [17].
LES is driven by thermal instability, which manifests as linear convection with little vertical directional shear (<30°). Consequently, banded cloud structures aligned with CIBL winds are frequently observed and can take on a variety of orientations. When prevailing CIBL winds align parallel to a lake’s major axis, a single vigorous linear convective band (often referred to as “long-lake axis parallel”) develops mid-lake and can stretch over 150 km [18]. As fetch (i.e., open lake surface) and surface energy fluxes are maximized, major axis bands produce the greatest snowfall totals [7]. Additionally, as air mass destabilization ensues, thermally direct solenoid circulations generate bands of low-level convergence along the major axis, enhancing updraft circulations [19]. Major axis LES events occur most frequently over the eastern lakes (i.e., Lakes Erie and Ontario) due to the lakes’ parallel alignment to the prevailing westerly winds that are typically present during Great Lakes episodes [20,21]. Not surprisingly, these areas have been a primary study domain among research efforts to better understand major axis LES dynamics (e.g., [22,23,24,25,26]).
Prevailing low-level winds may also align parallel to a lake’s minor axis, which results in multiple less-intense linear bands of convection 5–8 km apart and stretching up to 50 km [7,27]. Because fetch significantly decreases due to the elliptical geometry of the lakes, energy fluxes and solenoidal forcing are suppressed, resulting in lower snowfall totals. However, because of the multiple band configuration, the coverage area is much larger compared to major axis bands, which tend to be more localized. Boundary layer convective rolls tend to dominate during minor axis LES events, which manifest as “cloud streets” on satellite imagery (Figure 2) [13,28,29]. Because convection is primarily driven by thermal instability, these rolls tend to align parallel to mean CIBL shear vectors [30,31]. Over the Great Lakes, minor axis LES band events are most frequently observed over the eastern Michigan Coast, southern Lake Superior coast, northeastern Ohio, northwestern Pennsylvania, and southwestern and western New York (Figure 1) [21].
Figure 2.
Visible satellite image taken on 22 January 2014 over Lake Ontario. Image was taken from the TERRA/MODIS satellite provided and was accessed via NASA Worldview.
Initial research devoted to analyzing minor axis bands arose out of attempting to identify environmental conditions conducive to LES over the western lakes (i.e., Lakes Michigan and Superior). Reference [32] assessed 30 LES cases over the southern shores of Lake Superior and eastern shores of Lake Michigan. This study forwarded work conducted by [8] in an attempt to identify specific atmospheric criteria for LES to occur and found extremely similar results, including a minimum lapse rate greater than or equal to the dry adiabatic lapse rate (DALR), a minimum CIBL depth of 1 km, and a minimum geostrophic wind speed of 5 m s−1. In the years since these two studies, many more have analyzed the spatial characteristics and dynamics of minor axis LES, including in situ projects [28,29,33,34], numerical simulations [35,36,37,38,39], and observation and remote sensing based climatologies [10,20,21,40]. These studies, as well as the overwhelming majority of LES research, primarily focus on the meso-β-scale (20–200 km) and meso-γ-scale (2–20 km). However, contemporary research efforts are beginning to identify the important influence large-scale (i.e., synoptic) environments and processes have on LES formation and morphology.
Reference [11] was among the first to lay out the synoptic conditions associated with LES over the Great Lakes, including two prevalent features:
- An upper-level low geopotential height anomaly centered over or in close proximity to the Hudson Bay;
- A mid-latitude cyclone (hereafter referred to as “cyclone”) and associated cold front located east of the Great Lakes. The trailing cyclonic surface winds generally feature a westerly component which favors long air parcel residence times over the lakes.
These criteria were based on the operating procedures used at the National Weather Service (NWS) forecasting office in Buffalo, NY, USA. Reference [41] updated this work by using statistical methods on a robust dataset including surface observations (Syracuse, NY, USA), reanalysis data, and climatological lake surface temperature (LST) and ice data to formulate a climatology of the synoptic regimes common over the eastern Great Lakes basin during the winter. These regimes were then manually classified as “LES regimes” using a set of subjective criteria based on prevailing low-level wind direction, CIBL instability, and surface temperatures. Five synoptic regimes were identified that were largely characterized by variations in the general synoptic setup described by [11]. The primary distinguishing factor among the regimes was the wind direction over the lakes, which was largely dictated by the position of the eastern mid-latitude cyclone. One feature prevalent amongst the regimes absent from the criteria laid out by [11] was an anticyclone west of the lakes that builds into the Great Lakes basin throughout the LES episode. This, combined with the eastern mid-latitude cyclone, creates a surface dipole structure that has significant influence on the surface flow regime, which ultimately dictates which type of snow band forms.
Recently, [42] furthered this work by updating the snowfall and LST data as well as selecting a different location for the surface observations (Buffalo, NY, USA). These revisions led to seven synoptic regimes conducive to LES over the eastern lakes, once again primarily distinguished by positioning differences in the low- and high-pressure systems and, subsequently, the overlying surface wind regime. Reference [43] performed a similar analysis using a higher-resolution reanalysis dataset. Additionally, they formulated their climatology using recorded LES cases and performed numerical simulations to assess possible linkages between the synoptic and mesoscale environments. Only three synoptic regimes were identified. These regimes were largely distinguished by the overlying surface wind patterns (westerly vs. west-southwesterly), as well as the proximity of the anticyclone to the lakes. Cases where the anticyclone was closer to where LES bands were set up resulted in less intense snowfall totals due to increased atmospheric stability. Reference [16] applied these methods to the western lakes to perform the first synoptic climatology of LES over Lakes Michigan and Superior. Four regimes were identified over Lake Michigan, each generally consisting of westerly or northwesterly surface flow. One secondary distinguishing factor amongst these regimes was the presence of upper-level cyclonic vorticity advection (CVA). Synoptic environments associated with CVA generally featured more intense bands via additional vertical forcing. Three regimes were identified for Lake Superior that featured either northerly (minor axis) or westerly (major axis) flow. Ultimately, an important finding from these works has been that, while mesoscale conditions dictate LES formation and severity, synoptic processes can still have major influences on LES, including snow band morphology, as well as providing secondary forcing mechanisms.
While these studies have provided insight into the synoptic conditions present during an LES event, little effort has been made to assess the evolution of these synoptic environments and how possible discrepancies in evolution might impact LES formation and characteristics (band type, spatial coverage, intensity, etc.). Reference [11] noted that the broad LES synoptic setup can form in a variety of different ways, citing that, while some of the worst LES events over Lake Ontario have been associated with Nor’easters, this has not been observed with Lake Erie because it is located further away from the Atlantic Coast. To the authors’ knowledge, no effort has been made to assess whether differences in the evolution of these synoptic regimes (e.g., cyclone track) have an influence on LES characteristics.
The primary objective of this study is to perform a climatology of the large-scale conditions associated with LES, with a focus on the temporal evolution of the synoptic regime. For this study, we will focus on northwestern Pennsylvania (NW PA), as this area is frequented by LES from Lake Erie and receives some of the largest annual snowfall totals (~256 cm) in the entire state [44]. Despite the amount of research that has been devoted to LES over Lake Erie, to these authors’ knowledge, this region has yet to be studied explicitly in the context of LES on the synoptic scale.
2. Materials and Methods
2.1. LES Repository
LES cases were identified using the National Oceanic and Atmospheric Administration (NOAA) Severe Storms Database (NOAA). Early versions of this database, which began in 1950, only documented severe thunderstorm phenomena (e.g., tornadoes, severe wind, and hail). Since 1996, this archive has incorporated 48 types of severe weather events based on a National Weather Service (NWS) NOAA directive, which outlines specific criteria for each event type [45]. Storm events are grouped together by county and severe weather type. Each event features a series of attributes, including episode ID, start and end dates, storm report source(s), county, state, Weather Forecasting Office (WFO), direct/indirect injuries and deaths, property and agricultural damage (US dollars), as well as a general synopsis of the event. The conventions for logging these attributes are outlined in [45]. According to [45], an LES event is defined as “convective snow bands that occur in the lee of large bodies of water when relatively cold air flows over warm water”.
Two counties located in NW PA, along the southern lee of Lake Erie, were selected to pull LES cases from: Erie and Crawford (Figure 3). LES cases from these counties were extracted from the NOAA Severe Storms Database into a data repository. In some instances, the episodes from Erie and Crawford counties overlapped with one another (i.e., a singular LES event impacted both counties). Such occurrences were identified using the “episode ID” within the database. For these situations, the episodes were treated as single cases, and the earliest start date and latest end date were used for the repository. Using this time frame ensured that the LES event was captured in its entirety. For this work, the 2006–2020 period of record for each county was assessed. This period of record encompasses the years during which all assessed attributes for each lake effect case were accurately documented. For each case, the following attributes were recorded:
Figure 3.
Map of Pennsylvania highlighting the two counties (Erie and Crawford) LES cases were extracted from. Both counties are located in the northwestern part of the state, adjacent to Lake Erie, and frequently observe multiband LES episodes. Black dot represents NARR grid point used for assessing 850 mb temperatures as part of LI calculation.
- Start date and end date;
- Duration (hours);
- Counties affected;
- Property damage (US dollars);
- Peak snowfall amount (inches);
- Initial surface air temperature (°C);
- Initial wind speed (knots);
- Initial wind direction (°);
- Initial LST (°C).
Surface air temperature and wind data were collected from archived METAR observations over KERI (Erie International Airport) at the start time of each identified LES event. These METAR reports provided hourly weather information, including temperature, wind speed, and direction, which were used to characterize atmospheric conditions during the onset of each event. Furthermore, to assess the influence of lake characteristics, daily average surface water temperatures were extracted for Lake Erie from the Great Lakes Surface Environmental Analysis (GLSEA). These temperatures are satellite-derived from NOAA Advanced Very High-Resolution Radar (AVHRR), Visible Infrared Imaging Radiometer Suite onboard the Suomi National Polar-Orbiting Partnership spacecraft (VIIRS S-NPP), and NOAA-20 Visible Infrared Imaging Radiometer Suite (VIIRS NOAA-20) imagery. In addition to assessing the LSTs directly, this dataset was used to calculate the temperature differences between LSTs and the 850 mb level (hereafter referred to as “Lake Index”). The lake index (LI) is a common metric for assessing low-level instability such that LIs greater than or equal to 13 °C are considered to be favorable for LES initiation [10,11,27]. In this study, LI values are calculated using average daily GLSEA LSTs and NARR composite 850 mb temperature data associated with the NARR grid point closest to the center of Lake Erie (Figure 3).
2.2. Cyclone Classification
Once the LES repository was developed, each case was classified based on the overlying synoptic conditions observed at the start time of each LES event. Specifically, the spatial and temporal characteristics of the associated surface cyclone influencing the surface wind field over Lake Erie during LES formation were assessed. Historically, cyclones have been primarily categorized by their cyclogenesis location and climatological propagation patterns (i.e., tracks). This work parallels the conventions used by [46] and assigns cyclones to one of four primary tracks: Alberta Clippers (ACs), Colorado Cyclones (COs), Nor’easters (NEs), and Great Lakes Low (GLs). Cyclones that followed different tracks (Oklahoma Hook, Texas Hook, etc.) were labeled as “other”, while cyclones whose track and/or cyclogenesis region could not be determined were labeled “indeterminate”. Cyclones were manually assessed and classified using a combination of archived 3-hr North America interactive surface analysis maps from the Weather Prediction Center (WPC) and NCEP/DOE Reanalysis II data [47]. We define cyclogenesis as an evident local MSLP minimum and/or closed low circulation that persists/strengthens during the 24 h after initial identification based on MSLP tendency (see Figure 4 for the regions assessed for cyclogenesis for each track). After cyclogenesis was established, each cyclone was categorized into one of four tracks based on the following criteria:
Figure 4.
Map of North America highlighting the different regions assessed for cyclogenesis for the four tracks analyzed in this study. Figure adapted from Figure 4 from [45].
- Alberta Clippers (AC)—cyclogenesis in the lee of the Canadian Rocky Mountains, followed by a primarily east–southeast track towards and along the United States–Canada international border.
- Colorado Cyclones (CO)—cyclogenesis in the lee of the American Rocky Mountains, along with an initial east–southeast track followed by a northeast track towards the Great Lakes basin.
- Nor’easter (NE)—cyclogenesis in either the western Atlantic Ocean (i.e., near the Florida coast) or the Gulf of Mexico, followed by a northward track along the United States east coast.
- Great Lakes Low (GL)—cyclogenesis in the upper Midwest, River Valley, or Great Lakes basin, followed by a north/northeastward track toward New England.
2.3. Composite Construction and Analysis
After each LES case was classified to a cyclone track, synoptic composite maps were created to display the average overlying conditions present for each cyclone track. Composites were constructed using the North American Regional Reanalysis (NARR) dataset [48]. This dataset represents a regional high-resolution extension of the global NCEP/DOE Reanalysis II that combines high-resolution NCEP Eta Model data with the Regional Data Assimilation System (RDAS). Together, these assimilate a suite of atmospheric variables output every three hours onto a 0.3 × 0.3° Northern Lambert Conformal Conic grid. NARR has frequently been used to represent atmospheric conditions during LES events [16,43,49] due to its efficacy in accurately portraying both synoptic and mesoscale characteristics and processes. For this study, NARR fields were retained on a nested 134 × 367 grid (35,981 grid points) that spanned from 25 to 65° N and from 140 to 30° W. To assess how the synoptic fields evolved leading up to and during an LES event, data were retained at −48, −24, 0, and +24 h with respect to the start time.
2.4. Bootstrapping Analysis
In addition to the synoptic composite map analysis, we compared the LES characteristics (duration, property damage, max snowfall, initial LST, initial air temperature, and initial wind speed/direction) associated with each cyclone track (AC, CO, NE, GL). Bootstrapping, a non-parametric technique, was utilized to complete this analysis. This statistical technique resamples the data, with replacement, in order to generate empirical distributions of a statistic of interest (e.g., mean, standard deviation) [50]. With these resampled distributions, confidence intervals were derived, allowing for the identification of any statistically significant differences in the LES characteristics between cyclone types.
For each LES characteristic of interest, ninety-five percent bootstrapped percentile confidence intervals of the mean were created for the different cyclone tracks. The confidence intervals were constructed by resampling the data 2000 times, thus controlling for cyclone type frequency differences. For each of these analyses, the null hypothesis was that the mean value of an LES characteristic of interest was equal amongst the different cyclone tracks, while the alternate hypothesis was that they were not equal. A null hypothesis was rejected when the median of one 95 percent bootstrapped confidence interval fell outside of the confidence interval of another (and vice versa). Such occurrences indicated statistically significant differences in an LES characteristic between the different cyclone tracks responsible for said events.
3. Results
3.1. Preliminary Analysis
From 2006–2020, 79 total LES cases were extracted from the NOAA Severe Storms Database. Of these 79 cases, 8 (10.13%) cyclones were classified as NEs, 21 (26.58%) cyclones were classified as GLs, and 19 (24.04%) cyclones were classified as ACs and COs. Additionally, six (7.6%) of the cases were classified as “other”, and another six (7.6%) were “indeterminate”. The majority (66.7%) of “other” cases were characterized by synoptic low-pressure systems that formed in the near vicinity of the Hudson Bay (referred to as “Hudson Lows” by [46]). “Indeterminate” cases primarily featured the presence of multiple cyclones in and around the Great Lakes basin, which clouded the authors’ ability to attribute the surface wind fields to a single system. There were also “indeterminate” cases that featured the absence of a cyclone entirely, in which the synoptic-scale wind fields were northwesterly across much of the Great Lakes basin. Figure 5 presents the seasonality of the LES events based on cyclone track (“other” and “indeterminate” cases were not included). As expected, most cases occurred during the early winter season (December and January), followed by the month of November. From there, the number of cases dropped off, with only a maximum of two cases per cyclone track occurring during any of the other months assessed (Figure 5). This can likely be attributed to Lake Erie’s shallow depth, which results in significantly higher ice coverage compared to the rest of the Great Lakes, particularly in the late winter.
Figure 5.
Number of LES cases from October through April for each cyclone track. Note “other” and “indeterminate” cases were appeared to follow the same sea-sonality, with most cases occurring in the early winter season.
Analysis of archived METAR data over KERI presented a more than conducive environment featuring below freezing average surface air temperatures (−1.5 °C), a favorable surface wind profile for high fetch (240° at 12 knots), and an unstable boundary layer characterized by an average LI of 15.53 °C.
Composites of all cases revealed an archetypal synoptic environment associated with LES over the Great Lakes. An initial 500 mb longwave trough was observed in and north of the Hudson Bay, with shortwaves east of the Canadian Maritimes and northwest of the Great Lakes Basin (Figure 6a). Accompanying low-MSLP anomalies were observed west of their respective upper-level shortwaves. The Canadian maritime system featured significantly lower pressures (~1002 mb) than the system northwest of the Great Lakes (~1012 mb), which resulted in slow southeasterly winds blowing 0–5 m/s over Lake Erie (Figure 7a). This can likely be attributed to the more amplified shortwave. Upstream, a longwave ridge was observed with accompanying high surface pressure along and just west of the Rocky Mountains. Towards the start of the LES event, the longwave train amplified significantly as it progressed east. Large 500 mb geopotential height falls (120 m over 48 h) occurred over the Great Lakes basin, with relatively equal magnitude height rises over the Great Plains (Figure 6). Consequently, the surface features also intensified. Particularly, because the shortwave west of the Great Lakes basin deepened significantly, stout pressure drops (6–8 mb) were observed over the northeast Great Lakes Basin right to the onset of the LES event (Figure 6c) with accompanying increases in surface wind speeds (Figure 7c). This resulted in a surface dipole structure commonly observed in LES events that affect the eastern Great Lakes [16,42,43]. The dipole is characterized by an eastward low-pressure system and a westward high-pressure system, ultimately setting up surface winds that have a westerly component.
Figure 6.
Synoptic composites using all cases of 500 mb geopotential heights (countered lines; m) and MSLP (shaded; mb) for t—48 h (a), t—24 h (b), t (c), and t + 24 h (d), where t represents the onset of LES.
Figure 7.
Mesoscale composites using all cases of 2 m temperature (red dashed lines; °C), specific humidity (shaded; g/kg), and 10 m winds (barbed; m/s) for t—48 h (a), t—24 h (b), t (c) and t + 24 h (d) where t represents the onset of LES.
Due to the configuration of the dipole with these composites, westerly/northwesterly winds were observed throughout the duration of the LES event (Figure 7c,d). Additionally, at the onset of LES, the 500 mb trough was located slightly west of Lake Erie, suggesting favorable upper-level forcing associated with differential cyclonic vorticity advection (DCVA). Also, as continental polar air began advecting over the Great Lakes due to the northerly shift in winds, air temperatures and atmospheric moisture content began to decrease. Temperatures lowered 6 °C over Lake Erie and specific humidity dropped 2–3 g/kg throughout the 96 h observed (Figure 7). After the onset of LES, the 500 mb trough began to shift to a negative tilt, resulting in a strengthened dipole. In addition to an intensified high- and low-pressure system, the latter began to shift towards the northeast (Figure 6d).
3.2. Alberta Clippers
Upper-level composites for Alberta Clipper cases exhibited a low 500 mb geopotential height anomaly centered over the northern Hudson Bay, along with a primarily zonal structure over the Great Lakes Basin and a subtle shortwave trough located upstream (Figure 8a). The shortwave trough coincided with a weak (1016–1018 mb) MSLP minimum over the northern Great Lakes basin 48 h before LES initiation. As time progressed, this MSLP minimum strengthened, featuring 6–8 mb pressure drops. Concurrently, the shortwave trough began to dig and amplify, which provided additional synoptic vertical forcing (Figure 8b). This process of the upper and low-level features feeding each other continued throughout the duration of the LES event (Figure 8c,d), exhibiting characteristics described by the Sutcliffe–Petterssen self-development theorem [51].
Figure 8.
Synoptic composites for Alberta Clippers of 500 mb geopotential heights (countered lines; m) and MSLP (shaded; mb) for t—48 h (a), t—24 h (b), t (c), and t + 24 h (d), where t represents the onset of LES.
Southwesterly surface winds were observed up to the LES event (Figure 9a,b), increasing in speed as the low-pressure system began to strengthen. As the clipper propagated east, winds shifted north, creating a conducive profile for short axis bands to form off Lake Erie (Figure 9c,d). The northerly shift also resulted in cold air advection, which caused surface temperatures to drop 3–4 °C to a value of ~−5 °C over northwestern PA over the observed 96 h. This enabled one of the most supportive thermodynamic profiles among all tracks (only behind Great Lakes Lows), with an average LI of 15.4 °C. Simultaneously, a major (1024 mb) surface high-pressure system and associated 500 mb ridge propagated in the clippers’ wake towards the Midwest, resulting in the dipole structure commonly observed during these events, as described in the previous section.
Figure 9.
Mesoscale composites for Alberta Clippers of 2 m temperature (red dashed lines; °C), specific humidity (shaded; g/kg), and 10 m winds (barbed; m/s) for t—48 h (a), t—24 h (b), t (c) and t + 24 h (d) where t represents the onset of LES.
3.3. Colorado Cyclones
Composites for Colorado Cyclone LES events revealed an initially benign synoptic field featuring a subtle wave train consisting of a 500 mb ridge over the eastern third of the United States and a 500 mb trough over the Rocky Mountains, with associated low- and high-pressure systems, respectively (Figure 10a). However, both systems, particularly the low-pressure system, quickly intensified as they continued east. The central low pressure of the Colorado Cyclone dropped ≥10 mb throughout the 96 h observed (Figure 10b,c). It is thought that, while baroclinic forcing was the predominant intensification mechanism, the additional surplus of energy provided by the Great Lakes themselves via aggregate heat and moisture fluxes also contributed to the system’s quick strengthening. The initial trough quickly deepened and amplified as this intensification occurred with substantial geopotential height falls (~180 m) over NW PA (Figure 10d). This likely resulted in further dynamic vertical forcing (i.e., DCVA), as the trough base, and associated vorticity maximum, were located upstream from NW PA. This aided the thermodynamic profile as LIs were second lowest (14.68 °C), only behind Nor’easters.
Figure 10.
Synoptic composites for Colorado Cyclones of 500 mb geopotential heights (countered lines; m) and MSLP (shaded; mb) for t—48 h (a), t—24 h (b), t (c), and t + 24 h (d), where t represents the onset of LES.
As the trough deepened and the subsequent surface system intensified and traversed the Great Lakes, winds over the eastern Great Lakes sped up by 5–10 m/s and veered from southerly to northwesterly (Figure 11). Finally, as expected, an upper-level high geopotential height anomaly and associated surface anticyclone followed the cyclone’s track, setting up the dipole structure (Figure 10).
Figure 11.
Mesoscale composites for Colorado Cyclones of 2 m temperature (red dashed lines; °C), specific humidity (shaded; g/kg), and 10 m winds (barbed; m/s) for t—48 h (a), t—24 h (b), t (c) and t + 24 h (d) where t represents the onset of LES.
3.4. Nor’easters
An initial broad 500 mb trough was observed over eastern Canada, which was associated with a system over the Hudson Bay (Figure 12a). Additionally, a shortwave embedded within the longwave trough was present, associated with a local MSLP minimum (~1012 mb) located over the southeast United States. This system quickly intensified as it progressed towards the east coast, which coincided with a substantial deepening of the upper-level trough, featuring up to 120 m 500 mb geopotential height drops, setting up upper-level support, strong northwesterly winds (10 m/s), and subsequent enhanced heat and moisture fluxes (Figure 12c and Figure 13c). This dynamic support made up for the lack of thermodynamic support, as the average LI associated with Nor’easters was the lowest (14.12 °C) of all tracks analyzed. The low-pressure system continued to strengthen and expand after the onset of LES as a 500 mb ridge and surface anticyclone built over the southeast United States (Figure 12c,d).
Figure 12.
Synoptic composites for Nor’easters of 500 mb geopotential heights (countered lines; m) and MSLP (shaded; mb) for t—48 h (a), t—24 h (b), t (c), and t + 24 h (d), where t represents the onset of LES.
Figure 13.
Mesoscale composites for Nor’easters of 2 m temperature (red dashed lines; °C), specific humidity (shaded; g/kg), and 10 m winds (barbed; m/s) for t—48 h (a), t—24 h (b), t (c) and t + 24 h (d) where t represents the onset of LES.
Surface winds featured an atypical evolution up to the onset of LES. Forty-eight hours out, winds were primarily westerly (Figure 13a) due to an unrelated synoptic MSLP minimum centered over the eastern Hudson Bay (Figure 12a). Twenty-four hours later, the Nor’easter began exhibiting more influence on the surface winds, which resulted in a primarily northerly profile due to Lake Erie being on the western edge of the cyclone (Figure 13b). As the Nor’easter progressed further north, winds backed northwesterly (Figure 13c,d), as now Lake Erie was on the cyclone’s southwestern edge.
3.5. Great Lakes Lows
NARR composites for Great Lake Lows featured similar spatial and intensity patterns to those observed with the Alberta Clipper composites. This was an expected result, as both feature similarities in their cyclogenesis regions, such as developing in areas climatologically characterized by continental polar air masses and featuring tracks unfavorable for additional latent heat forcing (other than the Great Lakes). As such, upper-level support was weak compared to Colorado Cyclones and Nor’easters, initially featuring zonal geostrophic upper-level flow absent of vorticity over the eastern United States (Figure 14a). The trough eventually began to take on cyclonic curvature as the surface low-pressure system (i.e., the Great Lakes Low) began to form and intensify (Figure 14b,c). That said, the surface low pressure system was weakest of all tracks analyzed (central pressure ~ 1010 mb at maximum intensity), which resulted in relatively slow winds (5 m/s), inhibiting turbulent mixing in the boundary layer.
Figure 14.
Synoptic composites for Great Lakes Lows of 500 mb geopotential heights (countered lines; m) and MSLP (shaded; mb) for t—48 h (a), t—24 h (b), t (c), and t + 24 h (d), where t represents the onset of LES.
The thermodynamic profile compensated for the lack of dynamic support, as strong cold air advection led to the highest LI observed (15.5 °C). Additionally, the northerly track and subsequent advection of continental polar air resulted in dry lower levels (2–3 g/kg), further enhancing vertical energy fluxes from the lake surface to the boundary layer. Surface winds flowed primarily southwesterly before LES initiation, but quickly veered northwesterly as the low-pressure system propagated over the basin and progressed east (Figure 15).
Figure 15.
Mesoscale composites for Great Lakes Lows of 2 m temperature (red dashed lines; °C), specific humidity (shaded; g/kg), and 10 m winds (barbed; m/s) for t—48 h (a), t—24 h (b), t (c) and t + 24 h (d) where t represents the onset of LES.
3.6. Bootstrap Analysis
Table 1 includes the central tendencies of the collected LES attributes based on the cyclone tracks responsible. While there appeared to be differences between cyclone tracks, the bootstrapping analysis allowed for identification of those that were of statistical significance. For all but one of the attributes, at least one relationship of significance was found.
Table 1.
Central tendency of lake-effect snow attributes by cyclone type.
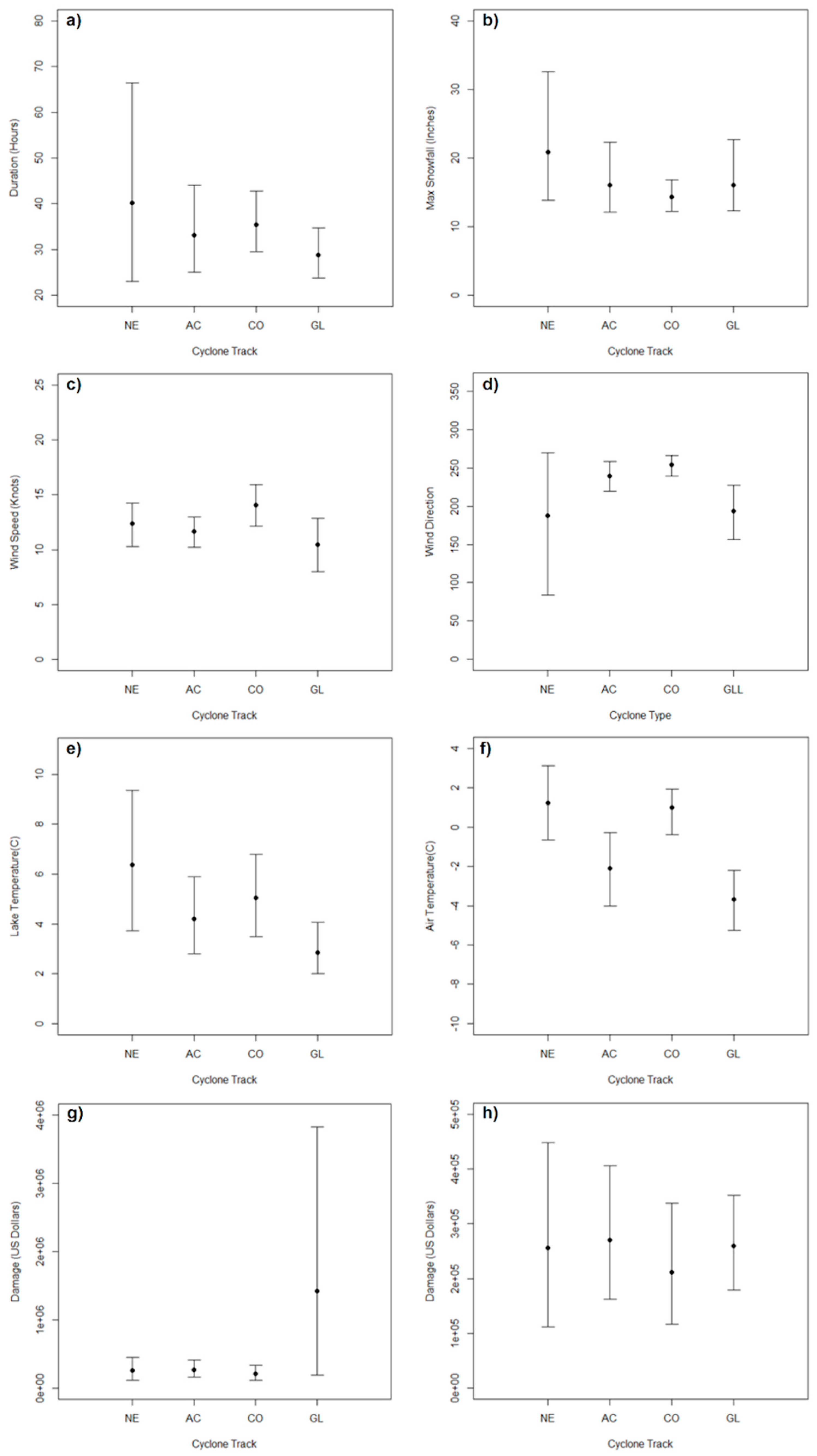
When it came to the average LES duration, only one statistically significant difference was noted between the cyclone tracks (Figure 16a). LES events associated with COs had a longer average duration than events associated with GLs. It is worth noting that the longest LES event during this study period (119 h) was associated with an NE. It lasted from 4 December 2010 to 9 December 2010, skewing the average for NE found in Table 1. Despite this, NEs as a whole were not associated with an average LES duration that was longer than the other tracks.
Figure 16.
Bootstrap-generated 95 percent confidence intervals of mean LES duration (a), maximum snowfall total (b), initial wind speed (c), initial wind direction (d), initial lake temperature (e), initial air temperature (f), property damage (g), and property damage with the historic 2017 LES event removed (h).
Average lake-effect maximum snowfall totals did not vary between the different responsible cyclone tracks. Despite the apparent differences from Table 1, the bootstrapping analysis revealed that none of these were statistically significant at the 95 percent confidence level (Figure 16b).
Bootstrap plots for initial wind speed and wind direction can be found in Figure 15c,d, respectively. When it comes to wind speed (Figure 16c), COs were associated with the highest average values. This was statistically significant when compared to GLs and ACs. Like with initial wind speed, some statistically significant results were found for initial wind direction based on the bootstrapping analysis (Figure 16d). Both COs and ACs had strong westerly components to their winds and were statistically different from GLs, which had more of a southerly component. While ACs also exhibited a slight southerly component, it was not enough to be statistically significantly different from COs. This matched the findings from the composite analysis (Figure 9c, Figure 11c and Figure 15c). The large bootstrap confidence interval for NEs was caused by strong variability in this weather element, preventing further statistically significant relationships from being identified.
The bootstrap plots for average initial LSTs (Figure 16e) and surface air temperatures (from KERI) (Figure 16f) also display some relationships. The average initial Lake Erie surface water temperatures during LES events were found to be at their lowest when a GL was responsible. This difference was statistically significant at the 95 percent confidence level when compared to both COs and NEs. The cyclone type bootstraps for average initial air temperatures during LES events were quite notable. In general, NEs and COs were associated with higher average initial surface air temperatures during LES events, while ACs and GLs were associated with lower average initial surface air temperatures. The difference between NEs and COs compared to the other two tracks was statistically significant.
The combined Erie and Crawford property damage during the study period was USD 43,182,000, with USD 25,000,000 (57.89%) of that coming from one historic event associated with a GL in December of 2017. This amount of property damage is 25 times greater than the next-costliest event. Interestingly, the bootstrap analysis found that this track’s mean LES property damage was not statistically significantly higher than the other tracks (Figure 16g). In fact, no statistically significant differences in average LES property damage were found. An analysis with this event removed was conducted to see if that resulted in changes to the findings. These additional confidence intervals revealed no statistically significant differences, and thus, consistent results (Figure 16h). To ensure that the counties themselves were not affecting the findings, an additional analysis was conducted on LES events that impacted both counties. This also resulted in consistent findings, indicating that storm track did not have an impact on LES property damage.
4. Discussion
A conventional synoptic setup and evolution for the Great Lakes region was noted when looking at the aggregate of all observed LES cases. This setup is characterized by an upper-level low geopotential height anomaly (i.e., trough) upstream of the Great Lakes basin that propagates east and intensifies throughout its progression (Figure 6). The deepening of the trough results in more upper-level cyclonic vorticity and subsequent quasigeostrophic (QG) vertical forcing. Supplemental upper-level support has long been an established phenomenon that can be the difference between average and intense LES episodes [7,52,53]. Through the trough’s progression, an associated surface cyclone propagates over the Great Lakes basin, leading to LES onset, as an anticyclone built in its wake sets up a surface dipole structure long observed during LES episodes across the Great Lakes. These large-scale conditions result in west–southwesterly winds (~240°) over Lake Erie at the beginning of the LES event that veer northerly as the surface cyclone propagates into the Canadian Maritimes.
Assessment of the mesoscale conditions revealed an environment ripe for LES, with below-freezing air temperatures (−1.5 °C), moderate wind speeds (12.11 kts), and ample instability, including an LI well above the minimum 13 °C threshold (15.53 °C). Assessment of the impacts from these revealed that LES events over NW PA on average feature maximum snowfall totals of 15.66 inches and span 32.71 h. Additionally, the median property damage that these cause to the area is USD 150,000 U.S. dollars. While NCEI does not give specific attribution information regarding property damage, there were some recurring hazards reported, including blowing and drifting snow, low visibility, automobile accidents, school closure, and road clean up, among others.
Synoptic composites of the four cyclone tracks assessed in this study primarily consisted of slight but notable variations to the setup observed previously with all cases. ACs and GLs lacked strong upper-level support, which was primarily due to suppressed intensification of the upper-level trough compared to other cyclone tracks. What ACs and GLs lacked in synoptic upper-level support was made up for in thermodynamic support, potentially explaining why the impacts from these (i.e., duration, maximum snowfall, and property damage) were not notably different based on the bootstrapping analysis. ACs and GLs featured the highest average Lis, which was primarily attributed to having the statistically significantly lower mean initial surface air temperature (Figure 16f). Interestingly, both of these tracks also featured lower average initial LSTs (including GLs being statistically significantly lower than COs and NEs based on the bootstrapping analysis), but such differences were not enough to counter those found with initial surface air temperature. Thus, ACs and GLs resulted in a mesoscale environment with more pronounced vertical energy fluxes and subsequent moist convection. Seasonality is a possible factor when it comes to the favorable thermodynamic support for ACs and GLs. This is due to the fact that these tracks often occurred during the peak winter months (December, January, and February), while COs and NEs featured many cases during the fall and spring seasons, when air temperatures are climatologically higher (Figure 5).
NEs and COs featured a strong upper-level synoptic setup, including a fast intensification of the upper-level trough and associated surface cyclone (Figure 10 and Figure 12). Another difference, which had implications on the mesoscale environment, was the position and strength of the surface cyclone. For NEs and COs, the surface cyclone was positioned slightly further east, over western New England and southern Ontario (Figure 10c and Figure 11c). This resulted in the westerly–northwesterly wind profile observed in the composites, setting up a conventional multiband setup over Lake Erie. As mentioned previously, due to upper-level support, NEs and COs were generally stronger, featuring the lowest central MSLPs (1002–1006 mb). The lower pressures generally led to faster winds, especially in the case of COs, which aided in turbulent mixing and convection.
Comparatively, while not as apparent in the composite maps, ACs and GLs were positioned further west, centered over Lake Superior (Figure 8c and Figure 14c). This positioning led to winds having a southerly component, something that was not observed with NEs or COs. This slight alteration to the wind profile may have initially provided higher fetch with bands taking on more of a long-lake-axis parallel spatial structure. This, combined with the higher instability, further explains why they did not have notably fewer impacts associated with them, despite the lack of upper-level synoptic support. Not surprisingly, wind speeds were also generally lower for ACs and GLs given their pressures (Figure 16).
It should be noted that this analysis had several limitations. First, the number of LES cases was limited to what was logged in NCEI Severe Storms Database. While this database’s period of record for logging LES events begins in 1996, LES events over the two counties analyzed in this study only date back to 2006. Future research should seek to form automated means to identify LES cases from high-resolution reanalysis datasets supplemented by other data sources (surface observations, soundings, numerical weather prediction model output, etc.) to form a more comprehensive LES repository. Second, the methods for classifying cyclone tracks and attributing LES cases to these tracks were conducted subjectively by the authors. While objective criteria were set for each of these methods, this process introduced the possibility of human error.
Altogether, the results of this study provide insight into the large-scale conditions favorable for LES over NW PA and how slight variations to these conditions can alter the LES environment as well as the impacts to NW PA. This study represents the first effort to assess variations in LES environments using cyclone tracks as the primary classifier. Now that it has been observed that these tracks result in noticeable differences in the LES environment (i.e., dynamic and thermodynamic), the authors plan to expand this work to areas prone to more intense LES events, including the eastern coasts of Lake Erie and Ontario. Such areas are frequented by single long-lake-axis parallel bands that consistently produce multi-inch snowfall-per-hour rates and cause significant economic impact [7,14,54,55] Additionally, future work over larger domains will assess if the distribution of different cyclone tracks holds from what was observed in this study, as well as possible changes in the seasonality of LES cases and associated cyclone tracks. A larger domain will also allow for better calculations of LES impacts, in particular property damage.
5. Conclusions
The objective of this research was to assess the overlying synoptic conditions conducive to LES over NW PA, an area often overlooked in the literature. An emphasis was placed on the evolution of synoptic fields and how possible discrepancies may have led to different impacts, including the duration of the event, maximum snowfall totals, and property damage. For this study, these discrepancies were characterized as four different cyclone tracks (ACs, COs, NEs, and GLs). Synoptic composites of all LES cases resulted in a typical setup for the Great Lakes region, with an upper-level low geopotential height anomaly over the Hudson Bay and surface dipole structure across the basin. When comparing the LES environments between the different cyclone tracks, some differences were noted. In particular, LES events associated with NEs and COs were supported more dynamically, with enhanced turbulent mixing and synoptic vertical forcing. LES events associated with ACs and GLs, on the other hand, had greater thermodynamic support (i.e., higher lapse rates and heightened heat/moisture fluxes). However, despite the environmental differences between the events, the LES impacts (i.e., duration, maximum snowfall, and property damage) were similar.
Author Contributions
Conceptualization, J.W. and C.E.; methodology, J.W. and C.E.; software, J.W. and C.E.; validation, J.W. and C.E.; formal analysis, J.W. and C.E.; investigation, J.W. and C.E.; resources, J.W. and C.E.; data curation, J.W. and C.E.; writing—original draft preparation, J.W. and C.E.; writing—review and editing, J.W. and C.E.; visualization, J.W. and C.E.; supervision, J.W. and C.E.; project administration, J.W. All authors have read and agreed to the published version of the manuscript.
Funding
This research received no external funding.
Institutional Review Board Statement
Not applicable.
Informed Consent Statement
Not applicable.
Data Availability Statement
Data can be found in the references cited in the manuscript.
Acknowledgments
We wish to thank two anonymous reviewers for their valuable contributions to help improving this manuscript. We also would like to express our heartfelt gratitude to the Mississippi State University Meteorology Program for its invaluable support throughout both authors’ academic journey.
Conflicts of Interest
The authors declare no conflicts of interest.
References
- Scott, R.W.; Huff, F.A. Impacts of the Great Lakes on Regional Climate Conditions. J. Great Lakes Res. 1996, 22, 845–863. [Google Scholar] [CrossRef]
- Notaro, M.; Holman, K.; Zarrin, A.; Fluck, E.; Vavrus, S.; Bennington, V. Influence of the Laurentian Great Lakes on Regional Climate. J. Clim. 2013, 26, 789–804. [Google Scholar] [CrossRef]
- Krantzberg, G.; Boer, C.D. A Valuation of Ecological Services in the Great Lakes Basin Ecosystem to Sustain Healthy Communities and a Dynamic Economy; McMaster University: Hamilton, ON, Canada, 2006. [Google Scholar]
- Vey, J.S.; Austin, J.C.; Bradley, J. The Next Economy: Economic Recovery and Transformation in the Great Lakes Region; Metropolitan Policy Program at Brookings: Washington, DC, USA, 2010. [Google Scholar]
- Hartnett, J.J. The Seasonal Snowfall Contributions of Different Snowstorm Types in Central New York State. Front. Water 2021, 3, 780869. [Google Scholar] [CrossRef]
- Great Lakes Commission. Available online: https://www.glc.org/lakes/#:~:text=They%20cover%20more%20than%2094%2C000,in%20the%20U.S.%20and%20Canada (accessed on 4 May 2023).
- Niziol, T.A.; Snyder, W.R.; Waldstreicher, J.S. Winter Weather Forecasting throughout the Eastern United States. Part IV: Lake Effect Snow. Weather Forecast. 1995, 10, 61–77. [Google Scholar] [CrossRef]
- Wiggin, B.L. Great Snows of the Great Lakes. Weatherwise 1950, 3, 123–126. [Google Scholar] [CrossRef]
- Eichenlaub, V.L. Lake Effect Snowfall to the Lee of the Great Lakes: Its Role in Michigan. Bull. Am. Meteorol. Soc. 1970, 51, 403–412. [Google Scholar] [CrossRef]
- Holroyd, E.W., III. Lake-Effect Cloud Bands as Seen from Weather Satellites. J. Atmos. Sci. 1971, 28, 1165–1170. [Google Scholar] [CrossRef]
- Niziol, T.A. Operational Forecasting of Lake Effect Snowfall in Western and Central New York. Weather Forecast. 1987, 2, 310–321. [Google Scholar] [CrossRef]
- Mann, G.E.; Wagenmaker, R.B.; Sousounis, P.J. The Influence of Multiple Lake Interactions upon Lake-Effect Storms. Mon. Weather Rev. 2002, 130, 1510–1530. [Google Scholar] [CrossRef]
- Kristovich, D.A.R.; Laird, N.F.; Hjelmfelt, M.R. Convective Evolution across Lake Michigan during a Widespread Lake-Effect Snow Event. Mon. Weather Rev. 2003, 131, 643–655. [Google Scholar] [CrossRef]
- Veals, P.G.; Steenburgh, W.J. Climatological Characteristics and Orographic Enhancement of Lake-Effect Precipitation East of Lake Ontario and over the Tug Hill Plateau. Mon. Weather Rev. 2015, 143, 3591–3609. [Google Scholar] [CrossRef]
- Kristovich, D.A.R.; Clark, R.D.; Frame, J.; Geerts, B.; Knupp, K.R.; Kosiba, K.A.; Laird, N.F.; Metz, N.D.; Minder, J.R.; Sikora, T.D.; et al. The Ontario Winter Lake-Effect Systems Field Campaign: Scientific and Educational Adventures to Further Our Knowledge and Prediction of Lake-Effect Storms. Bull. Am. Meteorol. Soc. 2017, 98, 315–332. [Google Scholar] [CrossRef]
- Wiley, J.; Mercer, A. Synoptic Climatology of Lake-Effect Snow Events off the Western Great Lakes. Climate 2021, 9, 43. [Google Scholar] [CrossRef]
- Monmonier, M. Lake Effect: Tales of Large Lakes, Arctic Winds, and Recurrent Snows, 1st ed.; Syracuse University Press: Syracuse, NY, USA, 2012; p. 17. [Google Scholar]
- Hill, J.D. Snow Squalls in the Lee of Lake Erie and Lake Ontario: A Review of the Literature; U.S. Department of Commerce, National Oceanic and Atmospheric Administration, National Weather Service Eastern Region: Bohemia, NY, USA, 1971; p. 20. [Google Scholar]
- Bergmaier, P.T.; Geerts, B.; Campbell, L.S.; Steenburgh, W.J. The OWLeS IOP2b Lake-Effect Snowstorm: Dynamics of the Secondary Circulation. Mon. Weather Rev. 2017, 145, 2437–2459. [Google Scholar] [CrossRef]
- Kristovich, D.A.R.; Steve, R.A. A Satellite Study of Oud-Band Frequencies over the Great Lakes. J. Appl. Meteorol. Climatol. 1995, 34, 2083–2090. [Google Scholar] [CrossRef]
- Laird, N.F.; Metz, N.D.; Gaudet, L.; Grasmick, C.; Higgins, L.; Loeser, C.; Zelinsky, D.A. Climatology of cold season lake-effect cloud bands for the North American Great Lakes. Int. J. Clim. 2017, 37, 2111–2121. [Google Scholar] [CrossRef]
- Peace, R.L.; Sykes, R.B. Mesoscale study of a lake effect snow storm. Mon. Weather Rev. 1966, 94, 495–507. [Google Scholar] [CrossRef]
- Ballentine, R.J.; Stamm, A.J.; Chermack, E.E.; Byrd, G.P.; Schleede, D. Mesoscale Model Simulation of the 4–5 January 1995 Lake-Effect Snowstorm. Weather Forecast. 1998, 13, 893–920. [Google Scholar] [CrossRef]
- Theeuwes, N.E.; Steeneveld, G.J.; Krikken, F.; Holtslag, A.A.M. Mesoscale modeling of lake effect snow over Lake Erie—Sensitivity to convection, microphysics and the water temperature. Adv. Sci. Res. 2010, 4, 15–22. [Google Scholar] [CrossRef][Green Version]
- Steenburgh, W.J.; Campbell, L.S. The OWLeS IOP2b Lake-Effect Snowstorm: Shoreline Geometry and the Mesoscale Forcing of Precipitation. Mon. Weather Rev. 2017, 145, 2421–2436. [Google Scholar] [CrossRef]
- Clark, C.A.; Metz, N.D.; Goebbert, K.H.; Ganesh-Babu, B.; Ballard, N.; Blackford, A.; Bottom, A.; Britt, C.; Carmer, K.; Davis, Q.; et al. Climatology of Lake-Effect Snow Days Along the Southern Shore of Lake Michigan: What Is the Sensitivity to Environmental Factors and Snowband Morphology? Front. Water 2022, 4, 826293. [Google Scholar] [CrossRef]
- Sousounis, P.J. Lake-Effect Storms. Encycl. Atmos. Sci. 2003, 1104–1115. [Google Scholar] [CrossRef]
- Kelly, R.D. A Single Doppler Radar Study of Horizontal-Roll Convection in a Lake-Effect Snow Storm. J. Atmos. Sci. 1982, 39, 1521–1531. [Google Scholar] [CrossRef]
- Kelly, R.D. Horizontal Roll and Boundary-Layer Interrelationships Observed over Lake Michigan. J. Atmos. Sci. 1984, 41, 1816–1826. [Google Scholar] [CrossRef]
- Kuo, H.L. Perturbations of Plane Couette Flow in Stratified Fluid and Origin of Cloud Streets. Phys. Fluids 1963, 6, 195–211. [Google Scholar] [CrossRef]
- Weckwerth, T.M.; Wilson, J.W.; Wakimoto, R.M.; Crook, N.A. Horizontal Convective Rolls: Determining the Environmental Conditions Supporting their Existence and Characteristics. Mon. Weather Rev. 1997, 125, 505–526. [Google Scholar] [CrossRef]
- Rothrock, H.J. An Aid in Forecasting Significant Lake Snows; ESSA Tech. Memo. WBTM CR-30, NOAA/NWS; National Weather Service: Kansas City, MO, USA, 1969; p. 18. [Google Scholar]
- Braham, R.R., Jr.; Dungey, M.J. Lake-Effect Snowfall over Lake Michigan. J. Appl. Meteorol. Climatol. 1995, 34, 282. [Google Scholar] [CrossRef]
- Kristovich, D.A.R.; Young, G.S.; Verlinde, J.; Sousounis, P.J.; Mourad, P.; Lenschow, D.; Rauber, R.M.; Ramamurthy, M.K.; Jewett, B.F.; Beard, K.; et al. The Lake—Induced Convection Experiment and the Snowband Dynamics Project. Bull. Am. Meteorol. Soc. 2000, 81, 519–542. [Google Scholar] [CrossRef]
- Hjelmfelt, M.R.; Braham, R.R., Jr. Numerical Simulation of the Airflow over Lake Michigan for a Major Lake-Effect Snow Event. Mon. Weather Rev. 1983, 111, 205–219. [Google Scholar] [CrossRef]
- Hsu, H.-M. Mesoscale Lake-effect Snowstorms in the Vicinity of Lake Michigan: Linear Theory and Numerical Simulations. J. Atmos. Sci. 1987, 44, 1019–1040. [Google Scholar] [CrossRef]
- Hjelmfelt, M.R. Numerical Study of the Influence of Environmental Conditions on Lake-Effect Snowstorms over Lake Michigan. Mon. Weather Rev. 1990, 3, 54–67. [Google Scholar] [CrossRef]
- Hjelmfelt, M.R. Orographic Effects in Simulated Lake-Effect Snowstorms over Lake Michigan. Mon. Weather Rev. 1992, 120, 373–377. [Google Scholar] [CrossRef]
- Cooper, K.A.; Hjelmfelt, M.R.; Derickson, R.G.; Kristovich, D.A.R.; Laird, N.F. Numerical Simulation of Transitions in Boundary Layer Convective Structures in a Lake-Effect Snow Event. Mon. Weather Rev. 2000, 128, 3283–3295. [Google Scholar] [CrossRef]
- Kelly, R.D. Mesoscale Frequencies and Seasonal Snowfalls for Different Types of Lake Michigan Snow Storms. J. Clim. Appl. Meteorol. 1986, 25, 308–312. [Google Scholar] [CrossRef]
- Ellis, A.W.; Leathers, D.J. A Synoptic Climatological Approach to the Analysis of Lake-Effect Snowfall: Potential Forecasting Applications. Weather Forecast. 1996, 11, 216–229. [Google Scholar] [CrossRef]
- Suriano, Z.J.; Leathers, D.J. Synoptically Classified Lake-Effect Snowfall Trends to the Lee of Lakes Erie and Ontario. Clim. Res. 2017, 74, 1–13. [Google Scholar] [CrossRef]
- Wiley, J.; Mercer, A. An Updated Synoptic Climatology of Lake Erie and Lake Ontario Heavy Lake-Effect Snow Events. Atmosphere 2020, 11, 872. [Google Scholar] [CrossRef]
- National Centers for Environmental Information. Available online: https://www.ncei.noaa.gov/ (accessed on 4 March 2024).
- National Weather Service Instruction 10-1605. Available online: https://www.ncdc.noaa.gov/stormevents/pd01016005curr.pdf (accessed on 26 July 2024).
- Hartnett, J.J. A classification scheme for identifying snowstorms affecting central New York State. Int. J. Clim. 2021, 41, 1712–1730. [Google Scholar] [CrossRef]
- NCEP/DOE Reanalysis 2 (R2); The NSF NCAR Research Data Archive at the National Center for Atmospheric Research, Computational and Information Systems Laboratory: Boulder, CO, USA, 2000; No. d091000. [CrossRef]
- Mesinger, F.; DiMego, G.; Kalnay, E.; Mitchell, K.; Shafran, P.C.; Ebisuzaki, W.; Jović, D.; Woollen, J.; Rogers, E.; Berbery, E.H.; et al. North American Regional Reanalysis. Bull. Am. Meteorol. Soc. 2006, 87, 343–360. [Google Scholar] [CrossRef]
- Wiley, J.; Mercer, A. Structure and Evolution of Non-Lake-Effect Snow Producing Alberta Clippers. Atmosphere 2021, 12, 1288. [Google Scholar] [CrossRef]
- Efron, B.; Tibshirani, R.J. An Introduction to the Bootstrap; Chapman and Hall/CRC: New York, NY, USA, 1993; p. 436. [Google Scholar]
- Petterssen, S. Motion and Motion Systems: Weather Analysis and Forecasting; McGraw-Hill: New York, NY, USA, 1956; Volume I, p. 428. [Google Scholar]
- Lackmann, G.M. Analysis of a Surprise Western New York Snowstorm. Weather Forecast. 2001, 16, 99–116. [Google Scholar] [CrossRef]
- Metz, N.D.; Bruick, Z.S.; Capute, P.K.; Neureuter, M.M.; Ott, E.W.; Sessa, M.F. An Investigation of Cold-Season Short-Wave Troughs in the Great Lakes Region and Their Concurrence with Lake-Effect Clouds. J. Appl. Meteorol. Clim. 2019, 58, 605–614. [Google Scholar] [CrossRef]
- Steiger, S.M.; Schrom, R.; Stamm, A.; Ruth, D.; Jaszka, K.; Kress, T.; Rathbun, B.; Frame, J.; Wurman, J.; Kosiba, K. Circulations, Bounded Weak Echo Regions, and Horizontal Vortices Observed within Long-Lake-Axis-Parallel—Lake-Effect Storms by the Doppler on Wheels. Mon. Weather Rev. 2013, 141, 2821–2840. [Google Scholar] [CrossRef]
- Campbell, L.S.; Steenburgh, W.J.; Veals, P.G.; Letcher, T.W.; Minder, J.R. Lake-Effect Mode and Precipitation Enhancement over the Tug Hill Plateau during OWLeS IOP2b. Mon. Weather Rev. 2016, 144, 1729–1748. [Google Scholar] [CrossRef]
Disclaimer/Publisher’s Note: The statements, opinions and data contained in all publications are solely those of the individual author(s) and contributor(s) and not of MDPI and/or the editor(s). MDPI and/or the editor(s) disclaim responsibility for any injury to people or property resulting from any ideas, methods, instructions or products referred to in the content. |
© 2024 by the authors. Licensee MDPI, Basel, Switzerland. This article is an open access article distributed under the terms and conditions of the Creative Commons Attribution (CC BY) license (https://creativecommons.org/licenses/by/4.0/).















