Size and Shape Selective Classification of Nanoparticles
Abstract
1. Introduction
2. Materials and Methods
2.1. Materials
2.2. Preparation and Classification of Molybdenum Disulfide Nanosheets
2.3. Analysis of the Two-Dimensional Nanoparticle Distributions
3. Results
3.1. Introduction of Mathematical Terminology
3.2. Framework for Describing Multi-Dimensional Particle Property Distributions
3.3. Measuring Two-Dimensional Nanoparticle Distributions
3.3.1. Overview
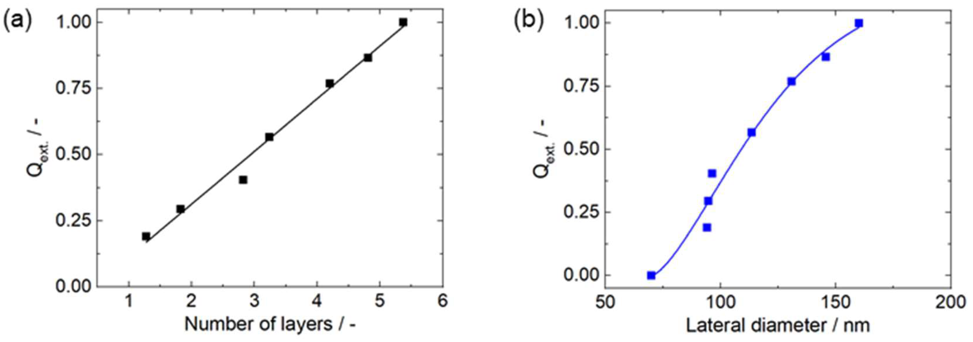
3.3.2. Molybdenum Disulfide Nanosheets
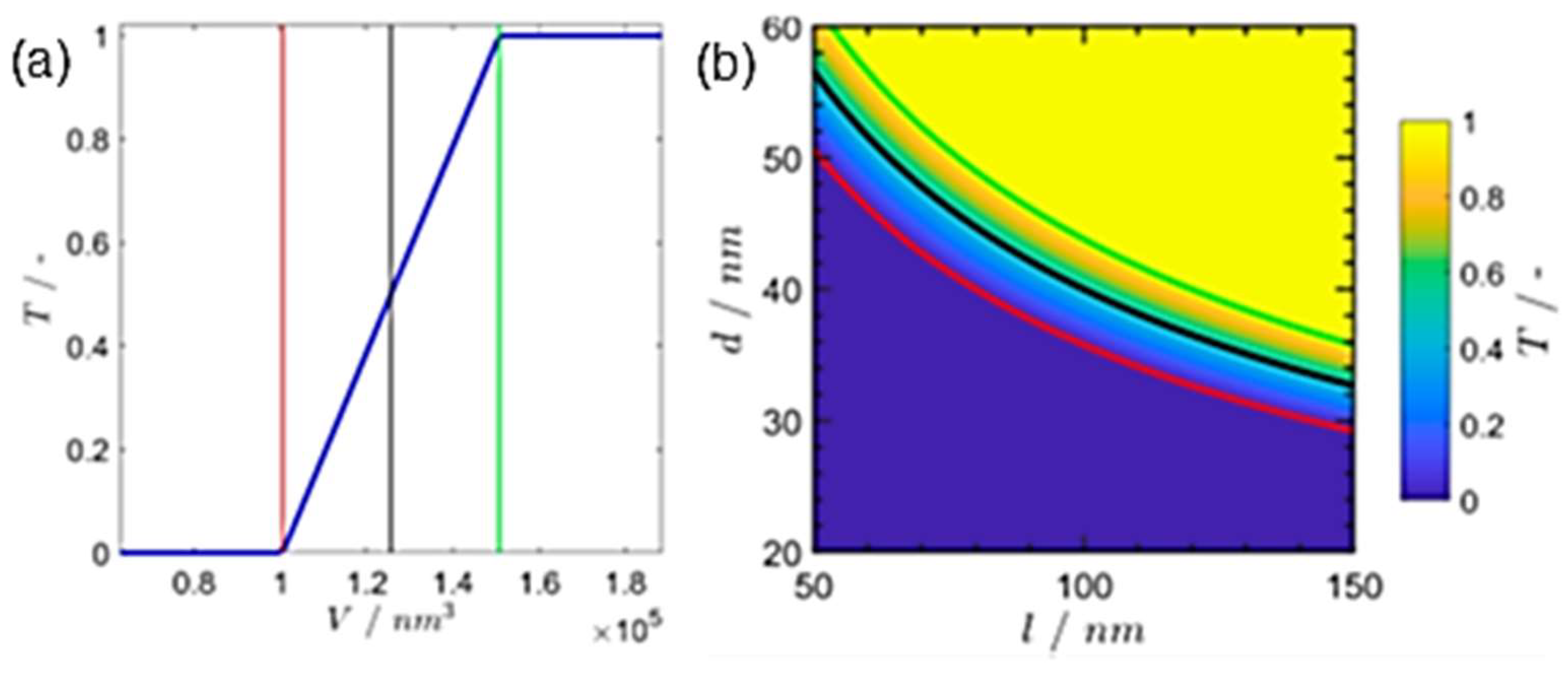
3.3.3. Gold Nanorods
3.3.4. Fitting of Measured Data to Multi-Dimensional Lognormal Distributions
3.4. Describing Particle Separation Processes—From the One-Dimensional to the Multi-Dimensional Case
- Fraction I: s ≥ scut and ≥ µM,cut ≥→ coarse with respect to s and µ;
- Fraction II: s ≥ scut and < µM,cut → coarse with respect to s but fine with respect to µ;
- Fraction III: s < scut and ≥ µM,cut → fine with respect to s but coarse with respect to µM;
- Fraction IV: s < scut and < µM,cut → fine with respect to s and µM.
- Fraction I: ;
- Fraction II: ;
- Fraction III: ;
- Fraction IV: .
4. Discussion
- A one-dimensional separation regarding the volume (for example, via centrifugation), which splits the feed PSD into two fractions (coarse and fine), each with a two-dimensional PSD;
- Separation regarding sedimentation properties and electrophoretic mobility via two orthogonal processes, which results in four two-dimensional size fractions.
5. Conclusions
Supplementary Materials
Author Contributions
Funding
Institutional Review Board Statement
Informed Consent Statement
Data Availability Statement
Acknowledgments
Conflicts of Interest
References
- Süß, S.; Metzger, C.; Damm, C.; Segets, D.; Peukert, W. Quantitative evaluation of nanoparticle classification by size-exclusion chromatography. Powder Technol. 2018, 339, 264–272. [Google Scholar] [CrossRef]
- Süβ, S.; Bartsch, K.; Wasmus, C.; Damm, C.; Segets, D.; Peukert, W. Chromatographic property classification of narrowly distributed ZnS quantum dots. Nanoscale 2020, 12, 12114–12125. [Google Scholar] [CrossRef] [PubMed]
- Gromotka, L.; Lübbert, C.; Traoré, N.; Peukert, W. Green and scalable fractionation of gold nanoclusters by anion exchange chromatography: Proof of principle and scale-up. ACS Appl. Nano Mater. 2023, 6, 6953–6962. [Google Scholar] [CrossRef]
- Gromotka, L.; Uttinger, M.J.; Schlumberger, C.; Thommes, M.; Peukert, W. Classification and characterization of multimodal nanoparticle size distributions by size-exclusion chromatography. Nanoscale 2022, 14, 17354–17364. [Google Scholar] [CrossRef] [PubMed]
- Fischer, C.H.; Giersig, M. Analysis of colloids: VII. Wide-bore hydrodynamic chromatography, a simple method for the determination of particle size in the nanometer size regime. J. Chromatogr. A 1994, 688, 97–105. [Google Scholar] [CrossRef]
- Niihori, Y.; Shima, D.; Yoshida, K.; Hamada, K.; Nair, L.V.; Hossain, S.; Kurashige, W.; Negishi, Y. High-performance liquid chromatography mass spectrometry of gold and alloy clusters protected by hydrophilic thiolates. Nanoscale 2018, 10, 1641–1649. [Google Scholar] [CrossRef] [PubMed]
- Siebrands, T.; Giersig, M.; Mulvaney, P.; Fischer, C.H. Steric exclusion chromatography of nanometer-sized gold particles. Langmuir 1993, 9, 2297–2300. [Google Scholar] [CrossRef]
- Wei, G.T.; Liu, F.K.; Wang, C.R. Shape separation of nanometer gold particles by size-exclusion chromatography. Anal. Chem. 1999, 71, 2085–2091. [Google Scholar] [CrossRef] [PubMed]
- Segets, D.; Komada, S.; Butz, B.; Spiecker, E.; Mori, Y.; Peukert, W. Quantitative evaluation of size selective precipitation of Mn-doped ZnS quantum dots by size distributions calculated from UV/Vis absorbance spectra. J. Nanopart. Res. 2013, 15, 1486. [Google Scholar] [CrossRef]
- Segets, D.; Lutz, C.; Yamamoto, K.; Komada, S.; Süß, S.; Mori, Y.; Peukert, W. Classification of zinc sulfide quantum dots by size: Insights into the particle surface–solvent interaction of colloids. J. Phys. Chem. C 2015, 119, 4009–4022. [Google Scholar] [CrossRef]
- Fukasawa, T.; Nomura, K.; Kawahaba, K.; Ohnishi, H.; Une, K.; Fukui, K.; Yoshida, H. Wet Classification of a Submicron Silica Particle Using Counter-Electrophoresis and Orthogonal-Electrophoresis Method. J. Soc. Powder Technol. Jpn. 2017, 54, 17–22. [Google Scholar] [CrossRef]
- Kowalczyk, B.; Lagzi, I.; Grzybowski, B.A. Nanoseparations: Strategies for size and/or shape-selective purification of nanoparticles. Curr. Opin. Colloid Interface Sci. 2011, 16, 135–148. [Google Scholar] [CrossRef]
- Radko, S.P.; Stastna, M.; Chrambach, A. Capillary zone electrophoresis of sub-µm-sized particles in electrolyte solutions of various ionic strengths: Size-dependent electrophoretic migration and separation efficiency. Electrophoresis 2000, 21, 3583–3592. [Google Scholar] [CrossRef] [PubMed]
- Yamamoto, T.; Harada, Y.; Tsuyama, T.; Fukui, K.; Yoshida, H. Classification of particles dispersed by bead milling with electrophoresis. KONA Powder Part. J. 2011, 29, 125–133. [Google Scholar] [CrossRef]
- Saar, K.L.; Peter, Q.; Müller, T.; Challa, P.K.; Herling, T.W.; Knowles, T.P.J. Rapid two-dimensional characterisation of proteins in solution. Microsyst. Nanoeng. 2019, 5, 33. [Google Scholar] [CrossRef] [PubMed]
- Salafi, T.; Zeming, K.K.; Zhang, Y. Advancements in microfluidics for nanoparticle separation. Lab Chip 2017, 17, 11–33. [Google Scholar] [CrossRef] [PubMed]
- Calero, V.; Garcia-Sanchez, P.; Ramos, A.; Morgan, H. Combining DC and AC electric fields with deterministic lateral displacement for micro- and nano-particle separation. Biomicrofluidics 2019, 13, 054110. [Google Scholar] [CrossRef] [PubMed]
- Calzolai, L.; Gilliland, D.; Garcìa, C.P.; Rossi, F. Separation and characterization of gold nanoparticle mixtures by flow-field-flow fractionation. J. Chromatogr. A 2011, 1218, 4234–4239. [Google Scholar] [CrossRef]
- Hagendorfer, H.; Kaegi, R.; Parlinska, M.; Sinnet, B.; Ludwig, C.; Ulrich, A. Characterization of Silver Nanoparticle Products Using Asymmetric Flow Field Flow Fractionation with a Multidetector Approach—A Comparison to Transmission Electron Microscopy and Batch Dynamic Light Scattering. Anal. Chem. 2012, 84, 2678. [Google Scholar] [CrossRef] [PubMed]
- Heroult, J.; Nischwitz, V.; Bartczak, D.; Goenaga-Infante, H. The potential of asymmetric flow field-flow fractionation hyphenated to multiple detectors for the quantification and size estimation of silica nanoparticles in a food matrix. Anal. Bioanal. Chem. 2014, 406, 3919–3927. [Google Scholar] [CrossRef] [PubMed]
- Loeschner, K.; Navratilova, J.; Legros, S.; Wagner, S.; Grombe, R.; Snell, J.; von der Kammer, F.; Larsen, E.H. Optimization and evaluation of asymmetric flow field-flow fractionation of silver nanoparticles. J. Chromatogr. A 2013, 1272, 116. [Google Scholar] [CrossRef] [PubMed]
- Müller, D.; Cattaneo, S.; Meier, F.; Welz, R.; de Mello, A.J. Nanoparticle separation with a miniaturized asymmetrical flow field-flow fractionation cartridge. Front. Chem. 2015, 3, 45. [Google Scholar] [CrossRef] [PubMed]
- Konrath, M.; Gorenflo, J.; Hübner, N.; Nirschl, H. Application of magnetic bearing technology in high-speed centrifugation. Chem. Eng. Sci. 2016, 147, 65–73. [Google Scholar] [CrossRef]
- Plüisch, C.S.; Bössenecker, B.; Dobler, L.; Wittemann, A. Zonal rotor centrifugation revisited: New horizons in sorting nanoparticles. RSC Adv. 2019, 9, 27549–27559. [Google Scholar] [CrossRef] [PubMed]
- Winkler, M.; Rhein, F.; Nirschl, H.; Gleiss, M. Real-Time Modeling of Volume and Form Dependent Nanoparticle Fractionation in Tubular Centrifuges. Nanomaterials 2022, 12, 3161. [Google Scholar] [CrossRef] [PubMed]
- Podoynitsyn, S.N.; Sorokina, O.N.; Kovarski, A.L.; Levin, I.I.; Simakin, S.B. High-gradient magnetic separation of nanoparticles with ferromagnetic track-etched membrane. IEEE Trans. Magn. 2018, 54, 1–8. [Google Scholar] [CrossRef]
- Arlt, C.-R.; Tschöpe, A.; Franzreb, M. Size fractionation of magnetic nanoparticles by magnetic chromatography. J. Magn. Magn. Mater. 2020, 497, 165967. [Google Scholar] [CrossRef]
- Barasinski, M.; Hilbig, J.; Neumann, S.; Rafaja, D.; Garnweitner, G. Simple model of the electrophoretic migration of spherical and rod-shaped Au nanoparticles in gels with varied mesh sizes. Colloids Surf. A Physicochem. Eng. Asp. 2022, 651, 129716. [Google Scholar] [CrossRef]
- Backes, C.; Szydłowska, B.M.; Harvey, A.; Yuan, S.; Vega-Mayoral, V.; Davies, B.R.; Zhao, P.-L.; Hanlon, D.; Santos, E.; Katsnelson, M.I.; et al. Production of Highly Monolayer Enriched Dispersions of Liquid-Exfoliated Nanosheets by Liquid Cascade Centrifugation. ACS Nano 2016, 10, 1589–1601. [Google Scholar] [CrossRef] [PubMed]
- Green, A.G.; Hersam, M.C. Solution Phase Production of Graphene with Controlled Thickness via Density Differentiation. Nano Lett. 2009, 9, 4031–4036. [Google Scholar] [CrossRef] [PubMed]
- Sun, X.; Luo, D.; Liu, J.; Evans, D.G. Monodisperse chemically modified graphene obtained by density gradient ultracentrifugal rate separation. ACS Nano 2010, 4, 3381–3389. [Google Scholar] [CrossRef] [PubMed]
- Bonaccorso, F.; Zerbetto, M.; Ferrari, A.C.; Amendola, V. Sorting nanoparticles by centrifugal fields in clean media. J. Phys. Chem. C 2013, 117, 13217–13229. [Google Scholar] [CrossRef]
- Fagan, J.A.; Becker, M.L.; Chun, J.; Hobbie, E.K. Length fractionation of carbon nanotubes using centrifugation. Adv. Mater. 2008, 20, 1609–1613. [Google Scholar] [CrossRef]
- Rhein, F.; Zhai, O.; Schmid, E.; Nirschl, H. Multidimensional Separation by Magnetic Seeded Filtration: Experimental Studies. Powders 2023, 2, 588–606. [Google Scholar] [CrossRef]
- Wilhelm, T.; Sygusch, J.; Furat, O.; Bachmann, K.; Rudolph, M.; Schmidt, V. Parametric Stochastic Modeling of Particle Descriptor Vectors for Studying the Influence of Ultrafine Particle Wettability and Morphology on Flotation-Based Separation Behavior. Powders 2023, 2, 353–371. [Google Scholar] [CrossRef]
- Buchwald, T.; Ditscherlein, R.; Peuker, U.A. Description of Separation Processes Involving Multidimensional Particle Property Distributions. Chem. Ing. Tech. 2023, 95, 199–209. [Google Scholar] [CrossRef]
- Buchwald, T.; Schach, E.; Peuker, U.A. A framework for the description of multidimensional particle separation processes. Powder Technol. 2024, 433, 119165. [Google Scholar] [CrossRef]
- Frank, U.; Dienstbier, J.; Tischer, F.; Wawra, S.E.; Gromotka, L.; Walter, J.; Liers, F.; Peukert, W. Multidimensional Fractionation of Particles. Separations 2023, 10, 252. [Google Scholar] [CrossRef]
- Frank, U.; Uttinger, M.J.; Wawra, S.E.; Lübbert, C.; Peukert, W. Progress in Multidimensional Particle Characterization. KONA Powder Part. J. 2022, 39, 3–28. [Google Scholar] [CrossRef]
- Frank, U.; Wawra, S.E.; Pflug, L.; Peukert, W. Multidimensional Particle Size Distributions and Their Application to Nonspherical Particle Systems in Two Dimensions. Part. Part. Syst. Charact. 2019, 36, 1800554. [Google Scholar] [CrossRef]
- Frank, U.; Drobek, D.; Sanchez-Iglesias, A.; Wawra, S.; Nees, N.; Walter, J.; Pflug, L.; Apeleo Zubiri, B.; Spiecker, E.; Liz-Marzán, L.M.; et al. Determination of 2D particle size distributions in plasmonic nanoparticle colloids via analytical ultracentrifugation: Application to gold bipyramids. ACS Nano 2023, 17, 5785–5798. [Google Scholar] [CrossRef] [PubMed]
- Wawra, S.E.; Pflug, L.; Thajudeen, T.; Kryschi, C.; Stingl, M.; Peukert, W. Determination of the two-dimensional distributions of gold nanorods by multiwavelength analytical ultracentrifugation. Nat. Commun. 2018, 9, 4898. [Google Scholar] [CrossRef] [PubMed]
- Damm, C.; Nacken, T.J.; Peukert, W. Quantitative evaluation of delamination of graphite by wet media milling. Carbon 2015, 81, 284–294. [Google Scholar] [CrossRef]
- Knieke, C.; Berger, A.; Voigt, M.; Taylor, R.; Röhrl, J.; Peukert, W. Scalable production of graphene sheets by mechanical delamination. Carbon 2010, 48, 3196–3204. [Google Scholar] [CrossRef]
- Nacken, T.J.; Damm, C.; Xing, H.; Rüger, A.; Peukert, W. Determination of quantitative structure-property and structure-process relationships for graphene production in water. Nano Res. 2015, 8, 1865–1881. [Google Scholar] [CrossRef]
- Schneider, C.A.; Rasband, W.S.; Eliceiri, K.W. NIH Image to ImageJ: 25 years of image analysis. Nat. Methods 2012, 9, 671–675. [Google Scholar] [CrossRef] [PubMed]
- Walter, J.; Löhr, K.; Karabudak, E.; Reis, W.; Mikhael, J.; Peukert, W.; Wohlleben, W.; Cölfen, H. Multidimensional analysis of nanoparticles with highly disperse properties using multiwavelength analytical ultracentrifugation. ACS Nano 2014, 8, 8871–8886. [Google Scholar] [CrossRef] [PubMed]
- Walter, J.; Peukert, W. Dynamic range multiwavelength particle characterization using analytical ultracentrifugation. Nanoscale 2016, 8, 7484–7495. [Google Scholar] [CrossRef] [PubMed]
- Schuck, P.; Rossmanith, P. Determination of the sedimentation coefficient distribution by least-squares boundary modeling. Biopolymers 2000, 54, 328–341. [Google Scholar] [CrossRef]
- Raasch, J. Description of Two-dimensional Distributions of Particle Size and Particle Velocity of a Flowing Discontinuous Phase by Means of Special Mathematical Functions. Part. Part. Syst. Charact. 1993, 10, 167–172. [Google Scholar] [CrossRef]
- Lee, K.W. Change of Particle Size Distribution during Brownian Coagulation. J. Colloid Interface Sci. 1983, 92, 315–325. [Google Scholar] [CrossRef]
- Biegel, M.; Schikarski, T.; Cardenas Lopez, P.; Gromotka, L.; Lübbert, C.; Völkl, A.; Damm, C.; Walter, J.; Peukert, W. Efficient quenching sheds light on early stages of gold nanoparticle formation. RSC Adv. 2023, 13, 18001–18013. [Google Scholar] [CrossRef] [PubMed]
- Coulson, J.M.; Richardson, J. Coulson and Richardson’s Chemical Engineering, 6th ed.; Butterworth-Heinemann: Amsterdam, The Netherlands, 2018. [Google Scholar]
- Leschonski, K.; Alex, W.; Koglin, B. Teilchengrößenanalyse. 1. Darstellung und Auswertung von Teilchengrößenverteilungen. Chem. Ing. Tech. 1974, 46, 23–26. [Google Scholar] [CrossRef]
- Stiess, M. Mechanische Verfahrenstechnik—Partikeltechnologie 1, 3rd ed.; Springer: Berlin/Heidelberg, Germany, 2009. [Google Scholar]
- Karabudak, E.; Brookes, E.; Lesnyak, V.; Gaponik, N.; Eychmüller, A.; Walter, J.; Segets, D.; Peukert, W.; Wohlleben, W.; Demeler, B.; et al. Simultaneous identification of spectral properties and sizes of multiple particles in solution with subnanometer resolution. Angew. Chem. Int. Ed. 2016, 55, 11770–11774. [Google Scholar] [CrossRef]
- Planken, K.L.; Cölfen, H. Analytical ultracentrifugation of colloids. Nanoscale 2010, 2, 1849–1869. [Google Scholar] [CrossRef] [PubMed]
- Walter, J.; Nacken, T.; Damm, C.; Thajudeen, T.; Eigler, S.; Peukert, W. Determination of the lateral dimension of graphene oxide nanosheets using analytical ultracentrifugation. Small 2015, 11, 814–825. [Google Scholar] [CrossRef] [PubMed]
- Traoré, N.; Uttinger, M.J.; Cardenas Lopez, P.; Drobek, D.; Gromotka, L.; Schmidt, J.; Walter, J.; Apeleo Zubiri, B.; Spiecker, E.; Peukert, W. Green room temperature synthesis of silver–gold alloy nanoparticles. Nanoscale Adv. 2023, 5, 1450–1464. [Google Scholar] [CrossRef] [PubMed]
- Walter, J.; Akdas, T.; Segets, D.; Gorbet, G.; Demeler, B.; Peukert, W. 2D analysis of polydisperse core-shell nanoparticles using analytical ultracen-trifugation. Analyst 2017, 142, 206–217. [Google Scholar] [CrossRef] [PubMed]
- Furat, O.; Frank, U.; Weber, M.; Wawra, S.; Peukert, W.; Schmidt, V. Estimation of bivariate probability distributions of nanoparticle characteristics, based on univariate measurements. Inverse Probl. Sci. Eng. 2021, 29, 1343–1368. [Google Scholar] [CrossRef]
- Mak, K.F.; Lee, C.; Hone, J.; Shan, J.; Heinz, T.F. Atomically thin MoS2: A new direct-gap semiconductor. Phys. Rev. Lett. 2010, 105, 136805. [Google Scholar] [CrossRef] [PubMed]
- Backes, C.; Smith, R.J.; McEvoy, N.; Berner, N.C.; McCloskey, D.; Nerl, H.C.; O’Neill, A.; King, P.J.; Higgins, T.; Hanlon, D.; et al. Edge and confinement effects allow in situ measurement of size and thickness of liquid-exfoliated nanosheets. Nat. Commun. 2014, 5, 4576. [Google Scholar] [CrossRef] [PubMed]
- Walter, J.; Sherwood, P.J.; Lin, W.; Segets, D.; Stafford, W.F.; Peukert, W. Simultaneous analysis of hydrodynamic and optical properties using analytical ultracentrifugation equipped with multiwavelength detection. Anal. Chem. 2015, 87, 3396–3403. [Google Scholar] [CrossRef] [PubMed]
- Demeler, B.; Nguyen, T.-L.; Gorbet, G.E.; Schirf, V.; Brookes, E.H. Characterization of size, anisotropy, and density heterogeneity of nanoparticles by sedimentation velocity. Anal. Chem. 2014, 86, 7688–7695. [Google Scholar] [CrossRef] [PubMed]
- Eustis, S.; El-Sayed, M.A. Determination of the aspect ratio statistical distribution of gold nanorods in solution from a theoretical fit of the observed inhomogeneously broadened longitudinal plasmon resonance absorption spectrum. J. Appl. Phys. 2006, 100, 44324. [Google Scholar] [CrossRef]
- Gans, R. Über die Form ultramikroskopischer Goldteilchen. Ann. Phys. 1912, 342, 881–900. [Google Scholar] [CrossRef]
- Olson, J. Optical characterization of single plasmonic nanoparticles. Chem. Soc. Rev. 2015, 44, 40–57. [Google Scholar] [CrossRef] [PubMed]
- Yu, R.; Liz-Marzán, L.M.; de Abajo, G.; Javier, F. Universal analytical modeling of plasmonic nanoparticles. Chem. Soc. Rev. 2017, 46, 6710–6724. [Google Scholar] [CrossRef] [PubMed]
- Myung, I.J. Tutorial on maximum likelihood estimation. J. Math. Psychol. 2003, 47, 90–100. [Google Scholar] [CrossRef]
- Johnson, R.; Wichern, D. Applied Multivariate Statistical Analysis, 6th ed.; Pearson: London, UK, 2013; ISBN 978-1-292-03757-8. [Google Scholar]
- Langford, E. Quartiles in Elementary Statistics. J. Stat. Educ. 2006, 14, 1–20. [Google Scholar] [CrossRef]
- Ebner, B.; Henze, N. Tests for multivariate normality—A critical review with emphasis on weighted L2-statistics. Test 2020, 29, 845–892. [Google Scholar] [CrossRef]
- Korkmaz, S.; Goksuluk, D.; Zararsiz, G. MVN: An R Package for Assessing Multivariate Normality. R J. 2014, 6, 151–162. [Google Scholar] [CrossRef]
- Kullback, S.; Leibler, R.A. On Information and Sufficiency. Ann. Math. Stat. 1951, 22, 79–86. [Google Scholar] [CrossRef]
- Amari, S. Information Geometry and Its Applications, 1st ed.; Springer: Tokyo, Japan, 2016. [Google Scholar]
- Dempster, A.P.; Laird, N.M.; Rubin, D.B. Maximum Likelihood from Incomplete Data via the EM Algorithm. J. R. Stat. Soc. Ser. B (Methodol.) 1977, 39, 1–22. [Google Scholar] [CrossRef]
- Rietema, K. Performance and design of hydrocyclones—III: Separating power of the hydrocyclone. Chem. Eng. Sci. 1961, 15, 310–319. [Google Scholar] [CrossRef]
- Cardenas Lopez, P.; Uttinger, M.J.; Traoré, N.; Khan, H.A.; Drobek, D.; Apeleo Zubiri, B.; Spiecker, E.; Pflug, L.; Peukert, W.; Walter, J. Multidimensional characterization of noble metal alloy nanoparticles by multiwavelength analytical ultracentrifugation. Nanoscale 2022, 14, 12928–12939. [Google Scholar] [CrossRef] [PubMed]











Disclaimer/Publisher’s Note: The statements, opinions and data contained in all publications are solely those of the individual author(s) and contributor(s) and not of MDPI and/or the editor(s). MDPI and/or the editor(s) disclaim responsibility for any injury to people or property resulting from any ideas, methods, instructions or products referred to in the content. |
© 2024 by the authors. Licensee MDPI, Basel, Switzerland. This article is an open access article distributed under the terms and conditions of the Creative Commons Attribution (CC BY) license (https://creativecommons.org/licenses/by/4.0/).
Share and Cite
Damm, C.; Long, D.; Walter, J.; Peukert, W. Size and Shape Selective Classification of Nanoparticles. Powders 2024, 3, 255-279. https://doi.org/10.3390/powders3020016
Damm C, Long D, Walter J, Peukert W. Size and Shape Selective Classification of Nanoparticles. Powders. 2024; 3(2):255-279. https://doi.org/10.3390/powders3020016
Chicago/Turabian StyleDamm, Cornelia, Danny Long, Johannes Walter, and Wolfgang Peukert. 2024. "Size and Shape Selective Classification of Nanoparticles" Powders 3, no. 2: 255-279. https://doi.org/10.3390/powders3020016
APA StyleDamm, C., Long, D., Walter, J., & Peukert, W. (2024). Size and Shape Selective Classification of Nanoparticles. Powders, 3(2), 255-279. https://doi.org/10.3390/powders3020016

