Optimized Extraction of Phenylpropanoids and Flavonoids from Lemon Verbena Leaves by Supercritical Fluid System Using Response Surface Methodology
Abstract
1. Introduction
2. Materials and Methods
2.1. Reagents
2.2. Plant Material
2.3. Supercritical Extraction Procedures
2.4. Design of Experiments
2.5. Identification of Polar Profile of SFE Lemon Verbena Extracts by HPLC-ESI-TOF-MS
3. Results
3.1. Identification and Quantitation of Phytochemical Profile of Supercritical Extracts of Lemon Verbena by LC/MS
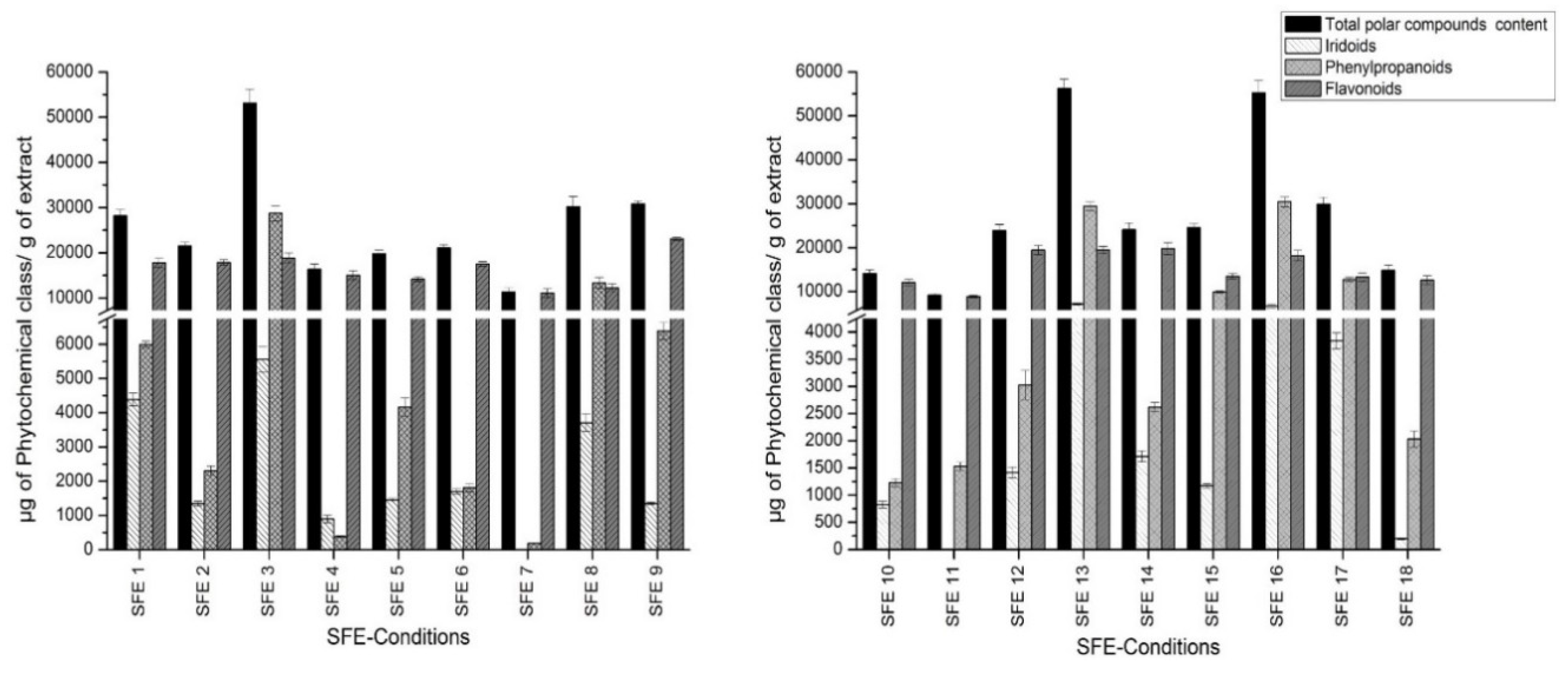
3.2. Effect of Independent Variables on Extraction Yield and Bioactive Compound Recovery
3.3. Evaluation of Model Fitting Parameters
3.3.1. Extraction Yield Optimization
3.3.2. Total Polar Compound Content Optimization
4. Conclusions
Supplementary Materials
Author Contributions
Funding
Acknowledgments
Conflicts of Interest
References
- Barba, F.J.; Criado, M.N.; Belda-Galbis, C.M.; Esteve, M.J.; Rodrigo, D. Stevia rebaudiana Bertoni as a natural antioxidant/antimicrobial for high pressure processed fruit extract: Processing parameter optimization. Food Chem. 2014, 148, 261–267. [Google Scholar] [CrossRef]
- Pimentel-Moral, S.; Borrás-Linares, I.; Lozano-Sánchez, J.; Arráez-Román, D.; Martínez-Férez, A.; Segura-Carretero, A. Microwave-assisted extraction for Hibiscus sabdariffa bioactive compounds. J. Pharm. Biomed. Anal. 2018, 156, 313–322. [Google Scholar] [CrossRef] [PubMed]
- Ameer, K.; Shahbaz, H.M.; Kwon, J.H. Green Extraction Methods for Polyphenols from Plant Matrices and Their Byproducts: A Review. Compr. Rev. Food Sci. Food Saf. 2017, 16, 295–315. [Google Scholar] [CrossRef]
- Roselló-Soto, E.; Koubaa, M.; Moubarik, A.; Lopes, R.P.; Saraiva, J.A.; Boussetta, N.; Grimi, N.; Barba, F.J. Emerging opportunities for the effective valorization of wastes and by-products generated during olive oil production process: Non-conventional methods for the recovery of high-added value compounds. Trends Food Sci. Technol. 2015, 45, 296–310. [Google Scholar] [CrossRef]
- Kazan, A.; Koyu, H.; Turu, I.C.; Yesil-Celiktas, O. Supercritical fluid extraction of Prunus persica leaves and utilization possibilities as a source of phenolic compounds. J. Supercrit. Fluids 2014, 92, 55–59. [Google Scholar] [CrossRef]
- Urbonaviciene, D.; Viskelis, P. The cis -lycopene isomers composition in supercritical CO2 extracted tomato by-products. LWT Food Sci. Technol. 2017, 85, 517–523. [Google Scholar] [CrossRef]
- Song, L.; Liu, P.; Yan, Y.; Huang, Y.; Bai, B.; Hou, X.; Zhang, L. Supercritical CO2 fluid extraction of flavonoid compounds from Xinjiang jujube (Ziziphus jujuba Mill.) leaves and associated biological activities and flavonoid compositions. Ind. Crops Prod. 2019, 139, 111508. [Google Scholar]
- Bogolitsyn, K.; Krasikova, A.; Gusakova, M.; Ivakhnov, A.; Gravitis, J. Selective extraction of terpenoid compounds of Juniperus communis L.wood in the medium of a binary solvent (supercritical CO2 with modifier). Phytochem. Anal. 2019, 30, 609–616. [Google Scholar] [CrossRef]
- Koubaa, M.; Rosello, E.; Jana, S.Z.; Rez, A.; Grimi, N.; Boussetta, N.; Barba, F.J. Current and New Insights in the Sustainable and Green Recovery of Nutritionally Valuable Compounds from Stevia rebaudiana Bertoni. J. Agric. Food Chem. 2015, 63, 6835–6846. [Google Scholar] [CrossRef]
- Tyśkiewicz, K.; Konkol, M.; Rój, E. The Application of Supercritical Fluid Extraction in Phenolic Compounds Isolation from Natural Plant Materials. Molecules 2018, 23, 2625. [Google Scholar] [CrossRef]
- Espinosa-Pardo, F.A.; Nakajima, V.M.; Macedo, G.A.; Macedo, J.A.; Martínez, J. Extraction of phenolic compounds from dry and fermented orange pomace using supercritical CO2 and cosolvents. Food Bioprod. Process. 2017, 101, 1–10. [Google Scholar] [CrossRef]
- Del Pilar Sánchez-Camargo, A.; Valdés, A.; Sullini, G.; García-Cañas, V.; Cifuentes, A.; Ibáñez, E.; Herrero, M. Two-step sequential supercritical fluid extracts from rosemary with enhanced anti-proliferative activity. J. Funct. Foods 2014, 11, 293–303. [Google Scholar] [CrossRef]
- Da Porto, C.; Decorti, D.; Natolino, A. Water and ethanol as co-solvent in supercritical fluid extraction of proanthocyanidins from grape marc: A comparison and a proposal. J. Supercrit. Fluids 2014, 87, 1–8. [Google Scholar] [CrossRef]
- De la Luz Cádiz-Gurrea, M.; Olivares-Vicente, M.; Herranz-López, M.; Román-Arráez, D.; Fernández-Arroyo, S.; Micol, V.; Segura-Carretero, A. Bioassay-guided purification of Lippia citriodora polyphenols with AMPK modulatory activity. J. Funct. Foods 2018, 46, 514–520. [Google Scholar] [CrossRef]
- Diez-Echave, P.; Vezza, T.; Rodríguez-Nogales, A.; Hidalgo-Garcia, L.; Garrido-Mesa, J.; Ruiz-Malagon, A.; Molina-Tijeras, J.A.; Romero, M.; Robles-Vera, I.; Leyva-Jiménez, F.J.; et al. The Beneficial Effects of Lippia Citriodora Extract on Diet-Induced Obesity in Mice Are Associated with Modulation in the Gut Microbiota Composition. Mol. Nutr. Food Res. 2020, 2000005. [Google Scholar] [CrossRef] [PubMed]
- Herranz-López, M.; Barrajón-Catalán, E.; Segura-Carretero, A.; Menéndez, J.A.; Joven, J.; Micol, V. Lemon verbena (Lippia citriodora) polyphenols alleviate obesity-related disturbances in hypertrophic adipocytes through AMPK-dependent mechanisms. Phytomedicine 2015, 22, 605–614. [Google Scholar] [CrossRef] [PubMed]
- Leyva-Jiménez, F.J.; Lozano-Sánchez, J.; Borrás-Linares, I.; Arráez-Román, D.; Segura-Carretero, A. Comparative study of conventional and pressurized liquid extraction for recovering bioactive compounds from Lippia citriodora leaves. Food Res. Int. 2018, 109, 213–222. [Google Scholar] [CrossRef]
- Leyva-Jiménez, F.J.; Lozano-Sánchez, J.; Borrás-Linares, I.; Arráez-Román, D.; Segura-Carretero, A. Manufacturing design to improve the attainment of functional ingredients from Aloysia citriodora leaves by advanced microwave technology. J. Ind. Eng. Chem. 2019, 79, 52–61. [Google Scholar] [CrossRef]
- Quirantes-Piné, R.; Arráez-Román, D.; Segura-Carretero, A.; Fernández-Gutiérrez, A. Characterization of phenolic and other polar compounds in a lemon verbena extract by capillary electrophoresis-electrospray ionization-mass spectrometry. J. Sep. Sci. 2010, 33, 2818–2827. [Google Scholar] [CrossRef]
- Imakura, Y.; Kobayashi, S.; Kida, K.; Kido, M. Iridoid glucosides from Campsis chinensis. Phytochemistry 1984, 23, 2263–2269. [Google Scholar] [CrossRef]
- Wang, T.; Zhang, Y.; Chen, Y.; Wang, S.; Dong, Y.; Wang, T.; Qu, L.; Li, N. Bioactive constituents from the aerial parts of Lippia triphylla. Molecules 2015, 20, 21946–21959. [Google Scholar]
- Takeda, Y.; Morimoto, Y.; Matsumoto, T.; Ogimi, C.; Hirata, E.; Takushi, A.; Otsuka, H. Iridoid glucosides from the leaves and stems of Duranta erecta. Phytochemistry 1995, 39, 829–833. [Google Scholar] [CrossRef]
- Quirantes-Piné, R.; Herranz-López, M.; Funes, L.; Borrás-Linares, I.; Micol, V.; Segura-Carretero, A.; Fernández-Gutiérrez, A. Phenylpropanoids and their metabolites are the major compounds responsible for blood-cell protection against oxidative stress after administration of Lippia citriodora in rats. Phytomedicine 2013, 20, 1112–1118. [Google Scholar] [CrossRef] [PubMed]
- Youssef, F.S.; Ashour, M.L.; Ebada, S.S.; Sobeh, M.; El-Beshbishy, H.A.; Singab, A.N.; Wink, M. Antihyperglycaemic activity of the methanol extract from leaves of Eremophila maculata (Scrophulariaceae) in streptozotocin-induced diabetic rats. J. Pharm. Pharmacol. 2017, 69, 733–742. [Google Scholar] [CrossRef]
- Yosioka, I.; Sugawara, T.; Yoshikawa, K.; Kitagawa, I. Soil Bacterial Hydrolysis leading to Genuine Aglycone. VII. On Monoterpenoid Glucosides of Scrophularia buergeriana MIQ. and Paeonia albiflora PALLAS. Chem. Pharm. Bull. (Tokyo) 1972, 20, 2450–2453. [Google Scholar] [CrossRef]
- Matsumoto, T.; Nakamura, S.; Nakashima, S.; Ohta, T.; Ogawa, K.; Fukaya, M.; Tsukioka, J.; Hasei, T.; Watanabe, T.; Matsuda, H. Neolignan and megastigmane glucosides from the aerial parts of Isodon japonicus with cell protective effects on BaP-induced cytotoxicity. Phytochemistry 2017, 137, 101–108. [Google Scholar] [CrossRef] [PubMed]
- Vega, P.J.; Balaban, M.O.; Sims, C.A.; O’Keefe, S.F.; Cornell, J.A. Supercritical Carbon Dioxide Extraction Efficiency for Carotenes from Carrots by RSM. J. Food Sci. 1996, 61, 757–759. [Google Scholar] [CrossRef]
- Baysal, T.; Ersus, S.; Starmans, D.A.J. Supercritical CO2 Extraction of-Carotene and Lycopene from Tomato Paste Waste. J. Agric. Food Chem. 2000, 48, 5507–5511. [Google Scholar] [CrossRef]
- Cádiz-Gurrea, M.; Lozano-Sánchez, J.; Fernández-Ochoa, Á.; Segura-Carretero, A. Enhancing the Yield of Bioactive Compounds from Sclerocarya birrea Bark by Green Extraction Approaches. Molecules 2019, 24, 966. [Google Scholar] [CrossRef]
- Pimentel-Moral, S.; Borrás-Linares, I.; Lozano-Sánchez, J.; Arráez-Román, D.; Martínez-Férez, A.; Segura-Carretero, A. Supercritical CO2 extraction of bioactive compounds from Hibiscus sabdariffa. J. Supercrit. Fluids 2019, 147, 213–221. [Google Scholar] [CrossRef]
- Bimakr, M.; Rahman, R.; Taip, F.; Chuan, L.; Ganjloo, A.; Md Salleh, L.; Selamat, J.; Hamid, A. Supercritical Carbon Dioxide (SC-CO) Extraction of Catechin, Epicatechin, 2 Rutin and Luteolin from Spearmint (Mentha spicata L.) Leaves. World Appl. Sci. J. 2008, 5, 410–417. [Google Scholar]
- Castro-Vargas, H.I.; Rodríguez-Varela, L.I.; Ferreira, S.R.S.; Parada-Alfonso, F. Extraction of phenolic fraction from guava seeds (Psidium guajava L.) using supercritical carbon dioxide and co-solvents. J. Supercrit. Fluids 2010, 51, 319–324. [Google Scholar] [CrossRef]
- Junior, M.R.M.; Leite, A.V.; Dragano, N.R.V. Supercritical Fluid Extraction and Stabilization of Phenolic Compounds From Natural Sources—Review (Supercritical Extraction and Stabilization of Phenolic Compounds). Open Chem. Eng. J. 2014, 5, 51–60. [Google Scholar] [CrossRef][Green Version]
- Tyśkiewicz, K.; Konkol, M.; Rój, E. Supercritical Carbon Dioxide (scCO2) Extraction of Phenolic Compounds from Lavender (Lavandula angustifolia) Flowers: A Box-Behnken Experimental Optimization. Molecules 2019, 24, 3354. [Google Scholar] [CrossRef] [PubMed]
- Pinto, D.; de la LuzCádiz-Gurrea, M.; Sut, S.; Ferreira, A.S.; Leyva-Jimenez, F.J.; Dall’Acqua, S.; Segura-Carretero, A.; Delerue-Matos, C.; Rodrigues, F. Valorisation of underexploited Castanea sativa shells bioactive compounds recovered by supercritical fluid extraction with CO2: A response surface methodology approach. J. CO2 Util. 2020, 40, 101194. [Google Scholar] [CrossRef]
- Roselló-Soto, E.; Barba, F.J.; Lorenzo, J.M.; Dominguez, R.; Pateiro, M.; Mañes, J.; Moltó, J.C. Evaluating the impact of supercritical-CO2 pressure on the recovery and quality of oil from “horchata” by-products: Fatty acid profile, α-tocopherol, phenolic compounds, and lipid oxidation parameters. Food Res. Int. 2019, 120, 888–894. [Google Scholar] [CrossRef] [PubMed]



| Symbols | Factors | Coded Levels | ||||
|---|---|---|---|---|---|---|
| −α | −1 | 0 | +1 | +α | ||
| Experimental Levels | ||||||
| Z1 | Temperature (°C) | 36 | 40 | 50 | 60 | 64 | 
| Z2 | Pressure (bar) | 98 | 150 | 275 | 400 | 452 | 
| Z3 | Co-solvent (% ethanol) | 5 | 7 | 11 | 15 | 17 | 
| Peak | RT (min) | Proposed Compound | m/z | m/z Exp | Molecular Formula | Error (ppm) | mSigma | 
|---|---|---|---|---|---|---|---|
| Iridoid glycosides | |||||||
| 2 | 3.0 | Shanzhiside | 391.1224 | 391.1246 | C16H23O11 | 5.6 | 27.2 | 
| 3 | 4.0 | Gardoside | 373.1142 | 373.1140 | C16H21O10 | −0.6 | 57.9 | 
| 7 | 6.0 | Theveside | 389.1097 | 389.1089 | C16H21O11 | −2.0 | 13.3 | 
| 9 | 7.3 | Myxopyroside | 449.1286 | 449.1301 | C18H25O13 | 3.3 | 9.4 | 
| 16 | 16.0 | Lamiidoside | 567.1719 | 567.1687 | C26H31O14 | 5.7 | 11.4 | 
| 21 | 19.6 | Hydroxy-campsiside | 521.1628 | 521.1664 | C25H29O12 | 7.0 | 44.2 | 
| 22 | 19.9 | Lippianoside B | 549.1608 | 549.1614 | C26H29O13 | 1.0 | 16.4 | 
| 23 | 20.5 | Durantoside I | 551.1769 | 551.1770 | C26H31O13 | 1.0 | 4.5 | 
| 34 | 31.2 | Manuleoside H | 569.2287 | 569.2240 | C27H37O13 | 6.1 | 9.9 | 
| Phenylpropanoids/phenylethanoids | |||||||
| 4 | 4.2 | Verbasoside | 461.1676 | 461.1664 | C20H29O12 | 3.9 | 7.3 | 
| 17 | 16.5 | Verbascoside | 623.2039 | 623.1981 | C29H35O15 | −1.6 | 2.9 | 
| 18 | 17.7 | Lariciresinol glucopyranoside | 521.2031 | 521.2028 | C26H33O11 | 4.4 | 28.8 | 
| 19 | 18.7 | Isoverbascoside | 623.1984 | 623.1981 | C29H35O15 | −0.5 | 12.2 | 
| 20 | 19.1 | Forsythoside A | 623.1990 | 623.1981 | C29H35O15 | −1.3 | 3.1 | 
| 24 | 21.1 | Leucoseptoside A or isomer | 637.2132 | 637.2138 | C30H37O15 | 1.3 | 5.7 | 
| 27 | 22.6 | Leucoseptoside A or isomer | 637.2138 | 637.2158 | C30H37O15 | −3.2 | 12.8 | 
| 30 | 27.0 | Martynoside or isomer | 651.2327 | 651.2294 | C31H39O15 | 0.6 | 16.1 | 
| 31 | 28.3 | Martynoside or isomer | 651.2327 | 651.2307 | C31H39O15 | −2.0 | 19.3 | 
| 33 | 30.7 | Osmanthisude B | 591.2135 | 591.2083 | C29H35O13 | −8.8 | 17.3 | 
| Flavonoids | |||||||
| 35 | 32.0 | Methyl-quercetin | 315.0540 | 315.0510 | C16H11O7 | −4.1 | 11.9 | 
| 37 | 34.6 | Dimethyl-kaempferol | 299.0539 | 299.0561 | C16H11O6 | 7.5 | 3.8 | 
| 38 | 35.1 | Dimethyl-quercetin | 329.0652 | 329.0667 | C17H13O7 | 4.4 | 3.6 | 
| Oxylipins | |||||||
| 10 | 8.5 | Tuberonic acid glucoside | 387.1663 | 387.1661 | C18H27O9 | −0.7 | 4.5 | 
| 14 | 12.3 | Tuberonic acid | 225.1143 | 225.1132 | C12H17O4 | 4.7 | 31.8 | 
| Sugars | |||||||
| 1 | 2.8 | Disaccharide | 341.1089 | 341.1089 | C12H21O11 | 0.1 | 29.3 | 
| Other Compounds | |||||||
| 5 | 5.1 | Dihydroharpagenin or isomer | 203.0916 | 203.0925 | C9H15O5 | 4.2 | 3.8 | 
| 6 | 5.4 | Dihydroharpagenin or isomer | 203.0924 | 203.0925 | C9H15O5 | 0.4 | 15.7 | 
| 11 | 8.7 | Hydroxy-epoxy-ionol glucopyranoside | 387.1943 | 387.1966 | C19H31O8 | 9.4 | 7.3 | 
| 29 | 25.8 | Octen-primeveroside | 421.2051 | 421.2079 | C19H33O10 | 6.6 | 14.2 | 
| Unknown | |||||||
| 8 | 6.7 | UK1 | 201.1123 | 201.1132 | C10H17O4 | 4.4 | 10.5 | 
| 12 | 10.7 | UK2 | 435.2181 | 435.2236 | C27H31O5 | −0.9 | 49.8 | 
| 13 | 11.6 | UK2 derivative | 433.2070 | 433.2079 | C27H29O5 | −2.6 | 55.3 | 
| 15 | 14.0 | UK3 | 201.1114 | 201.1132 | C10H17O4 | 5.5 | 18.9 | 
| 25 | 21.8 | UK4 | 417.2105 | 417.2130 | C20H33O9 | 5.6 | 8.4 | 
| 26 | 22.2 | UK5 | 187.0973 | 187.0976 | C9H15O4 | 5.7 | 10.1 | 
| 28 | 23.9 | UK6 | 183.1027 | 183.1034 | C 10H15O3 | −4.1 | 14.6 | 
| 32 | 30.3 | UK7 | 375.2049 | 375.2024 | C18H31O8 | 0.4 | 14.0 | 
| 36 | 33.7 | Uk8 | 327.2202 | 327.2177 | C18H31O5 | 1.1 | 0.3 | 
| Factors | Total Polar Content | Yield | ||
|---|---|---|---|---|
| Coefficient | p-Value | Coefficient | p-Value | |
| β0 | 174,734.000 | −3.910 | ||
| β1 | −4819.360 | 0.523 | −0.050 | *0.023 | 
| β2 | −141.311 | *0.012 | 0.022 | *0.030 | 
| β3 | −7406.600 | *0.003 | 0.863 | 0.133 | 
| β1·β1 | 44.199 | 0.075 | 0.002 | 0.091 | 
| β2·β2 | −0.033 | 0.772 | −0.000 | 0.067 | 
| β3·β3 | 301.068 | 0.062 | −0.016 | *0.032 | 
| β1·β2 | 1.570 | 0.320 | −0.000 | 0.123 | 
| β1·β3 | 5.891 | 0.895 | −0.006 | *0.045 | 
| β2·β3 | 12.713 | *0.031 | −0.016 | *0.017 | 
| Total Polar | Yield | |||||||||
|---|---|---|---|---|---|---|---|---|---|---|
| Sum of Squares | Degrees of Freedom | Mean Squares | Fisher-Ratio | p-Value | Sum of Squares | Degrees of Freedom | Mean Squares | Fisher Ratio | p-Value | |
| Model | 2.393E+09 | 3 | 7.976E+08 | 10.014 | <0.001 * | 1.468 | 3 | 0.489 | 2.187 | 0.135 | 
| Residual | 1.115E+09 | 14 | 7.965E+07 | 3.133 | 14 | 0.224 | ||||
| Lack-of-fit | 3.510E+08 | 5 | 7.020E+07 | 3.220 | 0.182 | 0.426 | 5 | 0.0851 | 2.200 | 0.274 | 
| Pure error | 6.540E+07 | 3 | 2.180E+07 | 0.116 | 3 | 0.0387 | ||||
| Total (corr.) | 3.510E+09 | 17 | 4.601 | 17 | ||||||
| R2 | 0.881 | 0.882 | ||||||||
| CV | 10.42 | 2.57 | ||||||||
| Experimental Point | Z1 | Z2 | Z3 | Extraction Yield | Total Content * | ||
|---|---|---|---|---|---|---|---|
| Predicted | Observed | Predicted | Observed | ||||
| 1 | 60 | 150 | 15 | 3.717 | 3.692 | 29,319 | 28,213 ± 1381 | 
| 2 | 50 | 275 | 11 | 3.612 | 3.582 | 20,766 | 21,521 ± 821 | 
| 3 | 50 | 275 | 17 | 3.251 | 3.207 | 47,414 | 53,152 ± 3111 | 
| 4 | 50 | 98 | 11 | 2.908 | 2.945 | 10,401 | 16,348 ± 1138 | 
| 5 | 40 | 150 | 15 | 3.393 | 3.448 | 27,376 | 19,799 ± 832 | 
| 6 | 40 | 150 | 7 | 2.028 | 2.159 | 16,029 | 21,069 ± 700 | 
| 7 | 60 | 150 | 7 | 3.275 | 3.027 | 17,971 | 11,279 ± 988 | 
| 8 | 60 | 400 | 7 | 4.093 | 3.978 | 19,917 | 30,183 ± 2312 | 
| 9 | 36 | 275 | 11 | 3.607 | 3.343 | 28,232 | 30,830 ± 639 | 
| 10 | 50 | 275 | 11 | 3.612 | 3.521 | 20,766 | 14,125 ± 848 | 
| 11 | 50 | 275 | 5.3 | 2.922 | 3.086 | 13,387 | 9182 ± 352 | 
| 12 | 50 | 275 | 11 | 3.612 | 3.847 | 20,766 | 23,895 ± 1384 | 
| 13 | 40 | 400 | 15 | 3.461 | 3.648 | 54,748 | 56,279 ± 2096 | 
| 14 | 50 | 275 | 11 | 3.612 | 3.377 | 20,766 | 24,085 ± 1572 | 
| 15 | 50 | 452 | 11 | 3.535 | 3.618 | 31,131 | 24,626 ± 828 | 
| 16 | 60 | 400 | 15 | 3.193 | 3.002 | 56,691 | 55,282 ± 2760 | 
| 17 | 64 | 275 | 11 | 4.299 | 4.683 | 30,980 | 29,915 ± 1552 | 
| 18 | 40 | 400 | 7 | 3.439 | 3.404 | 17,974 | 14,861 ± 1163 | 
© 2020 by the authors. Licensee MDPI, Basel, Switzerland. This article is an open access article distributed under the terms and conditions of the Creative Commons Attribution (CC BY) license (http://creativecommons.org/licenses/by/4.0/).
Share and Cite
Leyva-Jiménez, F.J.; Lozano-Sánchez, J.; Fernández-Ochoa, Á.; Cádiz-Gurrea, M.d.l.L.; Arráez-Román, D.; Segura-Carretero, A. Optimized Extraction of Phenylpropanoids and Flavonoids from Lemon Verbena Leaves by Supercritical Fluid System Using Response Surface Methodology. Foods 2020, 9, 931. https://doi.org/10.3390/foods9070931
Leyva-Jiménez FJ, Lozano-Sánchez J, Fernández-Ochoa Á, Cádiz-Gurrea MdlL, Arráez-Román D, Segura-Carretero A. Optimized Extraction of Phenylpropanoids and Flavonoids from Lemon Verbena Leaves by Supercritical Fluid System Using Response Surface Methodology. Foods. 2020; 9(7):931. https://doi.org/10.3390/foods9070931
Chicago/Turabian StyleLeyva-Jiménez, Francisco Javier, Jesús Lozano-Sánchez, Álvaro Fernández-Ochoa, María de la Luz Cádiz-Gurrea, David Arráez-Román, and Antonio Segura-Carretero. 2020. "Optimized Extraction of Phenylpropanoids and Flavonoids from Lemon Verbena Leaves by Supercritical Fluid System Using Response Surface Methodology" Foods 9, no. 7: 931. https://doi.org/10.3390/foods9070931
APA StyleLeyva-Jiménez, F. J., Lozano-Sánchez, J., Fernández-Ochoa, Á., Cádiz-Gurrea, M. d. l. L., Arráez-Román, D., & Segura-Carretero, A. (2020). Optimized Extraction of Phenylpropanoids and Flavonoids from Lemon Verbena Leaves by Supercritical Fluid System Using Response Surface Methodology. Foods, 9(7), 931. https://doi.org/10.3390/foods9070931
 
        






 
                         
       