Abstract
The study presents a thorough and detailed analysis of bicalutamide’s structural and conformational properties. Quantum chemical calculations were employed to explore the conformational properties of the molecule, identifying significant energy differences between conformers. Analysis revealed that hydrogen bonds stabilise the conformers, with notable variations in torsion angles. Conformers were classified into ‘closed’ and ‘open’ types based on the relative orientation of the cyclic fragments. NOE spectroscopy in different solvents (CDCl3 and DMSO-d6) was used to study the conformational preferences of the molecule. NOESY experiments provided the predominance of ‘closed’ conformers in non-polar solvents and a significant presence of ‘open’ conformers in polar solvents. The proportions of open conformers were 22.7 ± 3.7% in CDCl3 and 59.8 ± 6.2% in DMSO-d6, while closed conformers accounted for 77.3 ± 3.7% and 40.2 ± 6.2%, respectively. This comprehensive study underscores the solvent environment’s impact on its structural behaviour. The findings significantly contribute to a deeper understanding of conformational dynamics, stimulating further exploration in drug development.
1. Introduction
Multicomponent crystals, with their potential to develop new forms of chemical compounds with biological activity, are a fascinating area of research. The challenge of enhancing the solubility and bioavailability of these compounds has led to the promising task of optimising methods for modifying known solid forms and creating new ones, such as salts, co-crystals, crystal solvates, and polymorphs [1,2,3,4,5,6]. According to the Biopharmaceutical Classification System (BCS), which exhibits low water solubility and high membrane permeability, compounds of class II are particularly intriguing for modification [7,8,9,10,11]. Critical factors in the formation processes of multicomponent crystals and polymorphs include the preparation environment (solvent) characteristics, state parameters, and their combined influence on nucleation processes [12]. However, as noted in [13], the basic principles for selecting solvents to obtain different solid forms of pharmaceutical compounds still need to be solved.
Researchers [13,14,15,16,17] have employed a trial-and-error method with solvents and their combinations to adjust solvation pathways to achieve the desired forms of various pharmaceutical compounds. Another approach [14,15,16,17] includes a combination of virtual and experimental screening methods, which has shown promise in the comprehensive search for methods of obtaining specific solid forms of pharmaceutical compounds [18,19]. Abramov et al. [20] and Hao’s group [21,22] researched how controlling conformer populations could aid in selecting solvents for screening polymorphic forms. Their work was reflected in previous studies on small molecules exhibiting polymorphism and solvatomorphism [23,24,25,26,27,28,29,30,31,32]. In our research, we use nuclear Overhauser effect spectroscopy (NOESY) to analyse the spatial structure of small molecules in saturated solutions [32,33,34,35,36,37,38,39]. This method is crucial for understanding the role of the solvent in forming specific crystalline forms. It has proven effective in determining the ratio of conformer groups in solutions [40,41,42,43,44,45] and supercritical fluids [24,30,32,46] and shows promise for understanding processes in the prenucleation state and predicting crystalline forms [46,47].
Bicalutamide (BCL) is an important compound used to treat prostate cancer [13,48]. Understanding its solid forms is crucial for improving solubility and bioavailability [15,49,50,51]. BCL’s pharmacological action involves blocking androgen receptors and is more tolerable than other antiandrogens [52,53,54]. However, its application may be limited by side effects such as gynecomastia and hematuria, highlighting the need for further research and development [55,56,57]. Two crystalline forms of BCL are known, including the stable form I (CSD Refcode: JAYCES01) in monoclinic symmetry and the metastable form II (CSD Refcode: JAYCES02) in triclinic symmetry [13,49,58]. The formation of these forms is determined by the molecule’s ‘open’ and ‘closed’ conformations, respectively. The type of conformational flexibility, where the change in dihedral angle leads to the molecule ‘folding’ or ‘unfolding,’ is quite common. It often characterises various solid forms and is observed in structures with cyclic fragments, often connected by extended aliphatic motifs [28,32,42,59,60,61,62]. This conformational flexibility is a critical factor in understanding the different solid forms of BCL and is a focus of our research.
The torsion angle C13–S–C12–C10 provides the main difference in the spatial structure of molecules within the unit cells of crystals, with values of −88.3(4)° and 72.5(4)° in forms I and II, respectively [49].
Various methods for obtaining polymorphic forms and co-crystals of BCL are presented in [63,64,65]. Perlovich et al. [13] conducted a comprehensive study of BCL in organic solvents and their mixtures to find and obtain new polymorphic and solvatomorph forms through crystallisation. A new BCL crystal solvate with dimethyl sulfoxide (DMSO) (CSD Refcode: FAHFIG) was discovered, with a melting point of 115.3 °C. The dissolution enthalpy of the crystal solvate exceeds 20 kJ/mol, whereas the values for the two polymorphic forms and the amorphous state are less than 10 kJ/mol. It is also noted that the DMSO crystal solvate is less stable than the polymorphic forms I and II, as it quickly loses solvent at room temperature. For other solvents, such as methanol, ethanol, 2-propanol, water, etc., recrystallisation led to the formation of the stable polymorphic form I. Approximately 50 different solvent combinations were used, and only the I polymorphic modification of BCL was obtained [13]. The polymorphic form II was achieved using the method presented in [49]. Additionally, ref. [66] discusses the monocrystalline X-ray structure of BCL (CSD Refcode: JAYCES), noting that the molecule’s conformation in the single crystal is similar to that observed in form I, except for the position of the hydroxyl group. This conformational rearrangement disrupts the intramolecular hydrogen bond between the hydroxyl and sulfonyl groups in the structure, altering the crystal packing.
The authors of [67] presented the structures of two BCL co-crystals with 4,4′-bipyridine (CSD Refcode: KIHZOR) (melting point 157–159 °C) and trans-1,2-bis(4-pyridyl) ethene (CSD Refcode: KIHZIL) (melting point 161–163 °C), respectively. The lengths of the hydrogen bonds O-H⋯N are 2.76 Å and 2.81 Å, and H-N⋯N are 3.50 Å and 3.12 Å for the first and second co-crystals, respectively. Each BCL molecule in the co-crystal forms a horseshoe-like structure similar to the polymorphic form I of pure BCL. The authors also noted that using the liquid-assisted grinding method, only one form was isolated for the co-crystals.
In [68], the co-crystallized X-ray structure of the androgen receptor bound to BCL (PDB ID: 1Z95) is reported. The authors of [69] conducted an extensive conformational search based on data from the CCDC (Cambridge Crystallographic Data Center) and PDB (Protein Data Bank) databases. They found that BCL molecules exist in 4 conformations in various forms with significant differences in torsion angle values and absolute/relative energies. During the optimisation of four structures taken as a basis using the Becke 3-Lee–Yang–Parr (B3LYP) methods [70,71] with basis sets 6-311+G(d,p), 6-311++G(d,p), 6-311++G(2df,3pd) 6-311++G(d,p), and RMP2/6-31+G(d,p) [72], 18 possible conformations were identified, whose geometric and energy characteristics are discussed in detail in [69]. Optimising structures in the gas phase using the B3LYP/6-31+G(d,p) method revealed significant differences in the torsion angle τ1(C13–S–C12–C10) values in the crystal and gas/solution. The authors also noted differences in the intermolecular hydrogen bonds of the sulfone with hydroxyl and amide groups when analysing crystalline structures.
The broad interest in modifying this compound is primarily driven by enhancing the solubility of the obtained forms. For instance, Perlovich et al. [13] noted that the obtained BCL crystal solvate with DMSO demonstrated a concentration increase up to 3.3 times higher than form I over the same period. A similar trend is observed in the solubility characteristics of the metastable form II and the amorphous state, with concentrations of ≈3.0 × 10−7 and 3.3 × 10−7 mol. frac., respectively, exceeding the analogous values for form I by more than two times. In summary, information on the spatial structure of bicalutamide molecules in saturated solutions is crucial for developing effective forms with specified properties.
2. Results and Discussion
2.1. Quantum-Chemical Calculations
The compound (((2RS)-4′-cyano-3-(4-fluorophenyl-sulfonyl)-2-hydroxy-2-methyl-3′-(trifluoromethyl)-propionate-anilide)) consists of two substituted cyclic fragments (A and B) and an aliphatic linker region C (see Figure 1). Fragment A is a substituted six-membered ring (benzonitrile) with a trifluoromethyl group in the meta-position at carbon C6, and fragment B is a fluorobenzene fragment of the molecule. The aliphatic region is a hetero-substituted carbon chain including amino, carbonyl, hydroxyl, and sulfonyl groups. The structural fragment –N(H)–C(O)– consists of two interconnected functional groups: a carbonyl (–C=O) and an amino group (–N(H)–).
Figure 1.
The structure of the BCL molecule with atom numbering is used to interpret the NMR spectrum and designate the angle τ1(C10–C12–S–C13) (red line), fragment A—benzonitrile with a trifluoromethyl group; fragment B—fluorobenzene; fragment C—aliphatic region is a hetero-substituted carbon chain.
In the crystalline state, BCL is a racemic mixture of two isomers, R and S [69,73], with chirality at carbon C10 (see Figure 1). While in the crystal form, BCL can exhibit two conformationally defined polymorphic forms (I and II), with synthesis methods and physicochemical characteristics described by Vega et al. [49]. Form I, unlike form II, is characterised by a moderate intramolecular hydrogen bond between the hydroxyl group at carbon C10 and the sulfonyl oxygen. Additionally, the same authors confirmed the existence of intra- and intermolecular π⋯π-stacking interactions in forms I and II, respectively.
BCL molecules in polymorphic forms primarily differ in the torsion angle τ1(C10–C12–S–C13), with values of −88.3° and 72.5° for forms I and II, respectively [49]. A conformational search within quantum chemical calculations showed that varying the positions of the cyclic fragments relative to each other, accompanied by changes in the τ1 angle (see Figure 1), results in many different conformers. While differences in other dihedral angles within the linker aliphatic fragment C of BCL molecules exist [69], such changes are not characteristic for identifying solid forms and are not discussed in this study.
As demonstrated in previous works [30,74], it should be noted that accounting for solvent effects using continuum models such as PCM in quantum chemical calculations can significantly reduce the selection of probable conformers. The potential errors due to the omission of solvent effects can significantly impact the interpretation of NOESY data and lead to inaccuracies in determining the proportions of conformer groups [29]. Therefore, we conducted the conformational search in the gas phase to ensure thorough research. The energy difference between BCL conformers 1–10 is 31.02 kJ/mol, while the differences between BCL-1 and BCL-2 and between BCL-1 and BCL-3 are 1.35 kJ/mol and 25.59 kJ/mol, respectively. The further conformational search was unnecessary, as the obtained structures were unlikely to exist in the solution. The values of the τ1 angles, relative conformer energies, hydrogen bond energies, distances, and angles, as well as images of the conformer structures, are provided in Table 1. Cartesian coordinates of the optimised geometries of conformers are given as Supplementary Material.
Table 1.
Relative conformer energies, energies, distances and angles of hydrogen bonds present in the structures of bicalutamide conformers.
According to the quantum chemical calculations summarised in Table 1, BCL conformers are stabilised by weak intramolecular hydrogen bonds, with two present in each structure. Conformers BCL-1 to BCL-5 and BCL-9 and BCL-10 feature pairs of hydrogen bonds, N-H...OH and O-H...OS, with bond energies around −30 kJ/mol. The N-H...OH bond is also present in conformers BCL-6 and BCL-7, but the second hydrogen bond in these conformers is N-H...OS, with an energy of only −9 kJ/mol. The strongest hydrogen bonds N-H...OS and O-H...OC, with energies exceeding −40 kJ/mol, were observed in conformer BCL-8. Additionally, the relative orientation of A and B rings in BCL indicates that molecules can adopt “closed” (BCL-1, BCL-2, BCL-6, BCL-7) and “open” (BCL-3, BCL-4, BCL-5, BCL-8, BCL-9, BCL-10) conformations (see Figure 2), where the peripheral fluorine atoms in the cyclic fragments are aligned, with distances < 6 Å, or opposite with distances > 9 Å, respectively [75]. Similar conformational change trends are observed in structures forming different polymorphic forms, as confirmed by crystallographic analysis data [49]. Additionally, several studies [69,76,77] focused on BCL’s conformational state characterisation, which is consistent with the results presented here. However, within this study’s broad range of conformers, the τ1 dihedral angle values are unreliable for distinguishing “closed” and “open” conformers, as their values vary widely within each group. As will be shown later, BCL’s conformational flexibility is unique in that no single dihedral angle allows for a clear separation of the conformer set, complicating conformational analysis. Thus, internuclear distance values may be suitable for distinguishing structural motifs and calculating their proportionate distribution in the studied systems.
Figure 2.
The molecular structure of “closed” (a) and “open” (b) BCL conformations, excluding atom numbering for simplicity. The structures were created with ChemCraft 1.8.
Furthermore, in our quest to understand the influence of the environment (CHCl3 and DMSO) on the distribution of conformers, we conducted quantum chemical calculations using the integral equation formalism variant of the polarisable continuum model (IEFPCM) [78,79]. These calculations led to the discovery of Gibbs solvation energy values (∆Gsolv) for each of the 10 conformers (see Figure 3a), a significant finding in our study. We also calculated the relative free energies of the conformers (∆GCHCl3 and ∆GDMSO), considering the environment’s influence (see Figure 3b).
Figure 3.
(a) Gibbs solvation energies for bicalutamide conformers obtained from quantum chemical calculations using the IEFPCM model, accounting for the influence of the solvents CHCl3 (black line) and DMSO (red line), average Gibbs solvation energy (dashed line); (b) relative free energies of bicalutamide conformers obtained from quantum chemical calculations in the gas phase (blue line) and considering the solvent effects (black and red lines).
The analysis of the obtained results indicated that the Gibbs solvation energies were −41.26 ± 6.53 kJ/mol and −58.44 ± 8.99 kJ/mol for the conformers of bicalutamide in CHCl3 and DMSO, respectively. These findings significantly impact our understanding of bicalutamide behaviour in different solvents. The values of the relative free energies of the conformers considering the influence of the medium (∆GCHCl3, ∆GDMSO) and those calculated in the gas phase (∆Gg) are comparable (see Figure 3b). Similarly to ∆Gsolv, a decrease in energy values was observed for the BCL-6 and BCL-7 conformers in different solvents, indicating a weak influence of the medium on the energetic and structural characteristics of the bicalutamide conformers. As shown in the graphs, the contribution of Gibbs solvation energy is insufficient to redistribute the low-energy “closed” and high-energy “open” conformers, which opens up new avenues for further research.
The calculation of the Boltzmann factor (exp(−∆G/RT)) was conducted with utmost precision and did not yield results different from those in the gas phase (see Figure 4). According to quantum-chemical calculations, the likely conformers are BCL-1 and BCL-2, which belong to the “closed” type regardless of the medium. Therefore, the calculations of the conformer group fractions based on the NOESY experimental data relied on the structural data of the conformers obtained from the gas phase, ensuring the reliability of our findings.
Figure 4.
The Boltzmann factor for bicalutamide conformers was obtained from quantum chemical calculations performed in the gas phase (blue line) and with the inclusion of solvents CHCl3 (black line) and DMSO (red line).
2.2. Results of NMR Experiments
2.2.1. NMR Spectrum Analysis
To calculate the proportions of BCL conformer groups, resonance signals in 1H NMR spectra (see Figure 5) were analysed in solvents of varying polarity (CDCl3 and DMSO-d6). The assignment of resonance signals was performed using one-dimensional (13C) (see Figure S1) and two-dimensional NMR approaches (1H-13C HSQC, 1H-13C HMBC, 1H-1H TOCSY with different mixing times) (see Figures S2–S4). Note that 13C spectra of BCL in CDCl3 were not provided due to the low solubility of the research object and the resulting high signal-to-noise ratio, which prevents signal assignment. Nevertheless, the comprehensive analysis revealed correlations between carbon and hydrogen atoms through one (1H-13C HSQC) and more than one (1H-13C HMBC) chemical bonds, as well as correlations between hydrogen atoms in a continuous chain of chemical bonds (1H-1H TOCSY), forming a reliable basis for assigning resonance signals in 1H and cross-peaks in 1H-1H NOESY NMR spectra. All obtained information on the assignment of resonance signals in 1D and cross-peaks in 2D NMR spectra is provided in Tables S1 and S2.
Figure 5.
1H NMR spectra of BCL in DMSO-d6 and CDCl3 within analyses of couplings constants and molecular structure assignments.
Solvent changes lead to variations in chemical shift values of signals corresponding to hydrogen atoms in BCL molecules. In the high field region, there are two signals, one at 0 ppm corresponding to methyl groups of the internal standard tetramethylsilane present in the commercially available solvents. Additionally, a strong singlet signal is observed for the hydrogen atoms of the BCL methyl group (H11 (DMSO-d6) − s, δ = 1.43 ppm; H11 (CDCl3) − s, δ = 1.62 ppm). Signals for the CH2 group protons are found between 3 to 7 ppm (H12a (DMSO-d6) − d, 2J12a-12b = 14.86 Hz, δ = 3.74 ppm; H12a (CDCl3) − d, 2J12a-12b = 14.45 Hz, δ = 3.51 ppm; H12b (DMSO-d6) − d, 2J12b-12a = 14.86 Hz, δ = 3.97 ppm; H12b (CDCl3) − d, 2J12b-12a = 14.45 Hz, δ = 3.96 ppm), along with the hydroxyl proton signal (OH (DMSO-d6) − s, δ = 6.44 ppm; OH (CDCl3) − s, δ = 5.07 ppm). Signals for aromatic fragment protons are located in the 7 to 10 ppm range (H15/17 (DMSO-d6) − t, 3J15/17-14/18 = 8.78 Hz, δ = 7.37 ppm; H15/17 (CDCl3) − t, 3J15/17-14/18 = 8.38 Hz, δ = 7.21 ppm; H14/18 (DMSO-d6) − m, 3J14/18-15/17 = 13.90 Hz, 5J14/18-12b/12a = 3.50 Hz, δ = 7.94 ppm; H14/18 (CDCl3) − m, 3J14/18-15/17 = 13.50 Hz, 5J14/18-12b/12a = 3.75 Hz, δ = 7.91 ppm; H3 (DMSO-d6) − dd, 3J3-4 = 8.60 Hz, 4J3-1 = 1.35 Hz, δ = 8.24 ppm; H4 (DMSO-d6) − d, 3J4-3 = 8.60 Hz, δ = 8.09 ppm; H3/4 (CDCl3) − δ = 7.83 ppm; H1 (DMSO-d6) − d, 4J1-3 = 1.15 Hz, δ = 8.45 ppm; H1 (CDCl3) − s, δ = 8.01 ppm), along with NH group signals (NH (DMSO-d6) − s, δ = 10.41 ppm; NH (CDCl3) − s, δ = 9.09 ppm). Analysis of chemical shift values indicates that upon switching from CDCl3 to DMSO-d6, all signals, except H11, shift downfield, likely due to deshielding influenced by the phenyl fragment ring currents during conformational rearrangements. A similar trend was observed in arbidol conformational equilibria studies in varying polarity solvents [32].
A distinctive feature of 1H NMR spectra of BCL is the separation of diastereotopic protons CH2 group signals H12a and H12b near the molecule’s chiral centre [77,80,81], reflecting the presence of two BCL enantiomers. Also noteworthy are signals corresponding to water protons in the system (δ(H2O) = 1.62 ppm − CDCl3 and 3.39 ppm − DMSO-d6). Based on the isotopic purity of the solvents used (99.8 and 99.9 atom % D for CDCl3 and DMSO-d6, respectively) and the integral intensity values of hydrogen signals from H2O and the solvent, the water content in the studied systems is 0.09% and 0.006%, respectively. The chemical shift values of signals for characteristic atom groups in BCL structures are typical and align with literature data [82,83].
A comparison of the obtained resonance signal assignments in the 1H NMR spectra with results from [80,84], which provided similar data for BCL in D2O/CD3OD (8:2, v/v) and D2O containing 5% DMSO-d6, revealed that the CH3 group protons (H11) also show intense signals in the high field region (δ ≈ 1.5 ppm). Moving along the chemical shift axis to the downfield region, signals for CH2 group protons (H12a, H12b − δ ≈ 3.9 ppm) appear, with the reported δ value as the centred signal for the AB system. The hydroxyl group proton signal (OH) is found at δ ≈ 6.5 ppm, according to [84]. In contrast, the amino group proton (NH) occupies the far-left position in the downfield region, which is consistent with the same data. Other signals related to the aromatic fragments of BCL molecules are similarly positioned between 7.2 ppm and 8.4 ppm. The protons of the fluorobenzene fragment exhibit identical chemical shift values for ortho- (δ ≈ 7.9 ppm) and meta- (δ ≈ 7.2 ppm) positions. The study [81] performed assignments of 1H NMR signals in BCL spectra in DMSO-d6, recorded on a Varian Gemini 2000, 200 MHz spectrometer at 25 °C. This study’s signal sequence and chemical shift values align with our results, confirming the data, although the chemical shifts and spectral resolution differ. The chemical shift values of resonance signals in the 1H and 13C NMR spectra of pure BCL in CDCl3, obtained using two-dimensional NMR approaches, have not been previously reported in the literature.
The analysis of spin-spin coupling constants (SSCC) (see Figure 5) further confirms the correct assignment of resonance signals and aligns with literature data on BCL structure characteristics using NMR methods [81]. Results indicate a decrease in SSCC values for corresponding signals when transitioning from DMSO-d6 to CDCl3 within 1 Hz, expected with solvent changes and potentially related to molecular geometry alterations during conformational rearrangements due to solvation effects [85,86,87]. The obtained SSCC values are also consistent with literature data [81,88], with the constant values for the doublet signals of protons H12a and H12b being 14.78 Hz [81], while our values are 2J12a-12b = 14.86 Hz and 14.45 Hz in DMSO-d6 and CDCl3, respectively. This trend is also observed for the trifluoromethyl-substituted benzonitrile fragment protons, where the constant value for the doublet of proton H4 is 8.44 Hz, according to the literature [81]. In comparison, our value from the 1H BCL spectrum in DMSO-d6 is 3J4-3 = 8.60 Hz. Constants 4J3-1 = 1.35 Hz and 4J1-3 = 1.15 Hz from BCL spectra analysis in DMSO-d6 also agree with the literature results at 1.56 Hz. However, data on the fine structure of signals H14/18 and H15/17 are unavailable in the literature.
2.2.2. Reference-Free NOE NMR Analysis
Analysis of NOESY spectra recorded in CDCl3 and DMSO-d6 (see Figure 6) revealed 11 and 15 pairs of cross-peaks related to hydrogen atoms within 5–6 Å in BCL molecules. Most cross-peaks are familiar to BCL regardless of the solvent. The observed differences are due to signal overlap, primarily in the downfield region where protons of the cyclic fragment with a trifluoromethyl radical are located, or low signal intensity, which may be related to both BCL concentration in CDCl3 and changes in rotational correlation times with solvent changes [89].
Figure 6.
1H-1H NOESY NMR spectra of BCL in CDCl3 (a) and DMSO-d6 (b).
To determine probable BCL conformers in different environments, an attempt was made to use the approach proposed by Roberto R. Gil and co-authors in [90]. We have previously applied reference-free NOE NMR analysis to find probable conformers of 1,5-diaryl-3-oxo-1,4-pentadienes [34]. However, satisfactory results were not achieved due to the large set of probable conformers and high conformational lability. For using reference-free NOE NMR analysis, normalised integral intensities of all cross-peaks observed in NOESY spectra and cross-relaxation rates for proton pairs were calculated using the PANIC model (Peak Amplitude Normalization for Improved Cross-relaxation) [91,92,93,94], within the IRA (initial rate approximation) framework [95,96] (see Figures S6 and S7). The magnetisation exchange between two adjacent proton spins within the molecule is primarily driven by dipole cross-relaxation. Thus, cross-relaxation rates σexp (see Equation (1)) [37,97,98,99,100] accurately measure this process.
where ħ is the reduced Planck constant, µ0 is the magnetic permeability, ω0 is the Larmor frequency, and γ is the gyromagnetic ratio.
Thus, as seen from Equation (1), the cross-relaxation rate determines the internuclear distance rexp. Additionally, as noted by Lee and Krishna [101], the cross-relaxation rate is a weighted average over all conformers in the studied system, which can be expressed by Equation (2).
where σi is the cross-relaxation rate in conformer i, and xi is the relative proportion of that conformer.
This study did not determine the cross-relaxation rate for the H14/18-H15/17 distance in CDCl3 due to significant T1 noise contributions to integral intensity values. Similarly, values for H3-H4 and H12a-H12b distances in DMSO-d6 were not determined due to the proximity of cross and diagonal peaks, resulting in significant errors in integral intensity determination. Cross-relaxation rates for other distances are provided in Figures S6 and S7.
For reference-free NOE NMR analysis, corresponding internuclear distances with observed NOESY cross-peaks were calculated, considering intramolecular mobility for each of the 10 conformers obtained from quantum chemical calculations. Previously, the Tropp model was most effective in accounting for intramolecular mobility. However, ref. [42] proposed semi-empirical coefficients for spherical harmonics, allowing precise consideration of methyl group mobility and increasing the accuracy of determining internuclear distances involving them. Sternberg and Witter [102] showed that an incorrect averaging model could lead to erroneous NOESY data interpretation, ultimately complicating accurate internuclear distance assessment. This conclusion underscores the importance of proper averaging model application, suggesting more complex models.
Consequently, internuclear distances corresponding to NOESY cross-peaks were determined using three averaging models, considering intramolecular lability characterised by rotational correlation times and group movement speeds—slow (>100 ps), medium (50–100 ps) and fast (<50 ps) [93].
Typically, for calculating distances involving hydrogen atoms in benzene rings, the averaging model in Equation (3) is used [103,104]:
To determine distances between fragments with medium movement speeds, such as between CH2 group protons, Equation (4) is used:
where rcalc is the average internuclear distance obtained from conformer structures, nI and nS, are the number of equivalent atoms in groups I and S, and ri is the distance between atoms in the considered groups.
Equation (5) determines distances between fragments with fast movement types, such as methyl groups. This model includes spherical harmonics and their coefficients, previously mentioned [42], to account for complex movement types in the considered fragments accurately.
where θmol and φmol are the polar angles of the internuclear vector in the molecular frame of reference, and Y2k are second-order spherical harmonics.
The DIST_ACCESS program (RU 2020618574), included in the Unified Registry of Russian Programs for Electronic Computers and Databases, was used for the calculations. Data on internuclear distances and cross-relaxation rates were used to construct graphs, presented in Figure 7. The obtained dependencies were approximated using the exponential model described in [90]. Graphs were created for the ten BCL conformers in CDCl3 (see Figure S8) and DMSO-d6 (see Figure S9).
Figure 7.
Dependence of the cross-relaxation rate on the internuclear distance for one of the conformers for bicalutamide in CDCl3 (a) and DMSO-d6 (b). The red line indicates the approximating curve 1/r6.
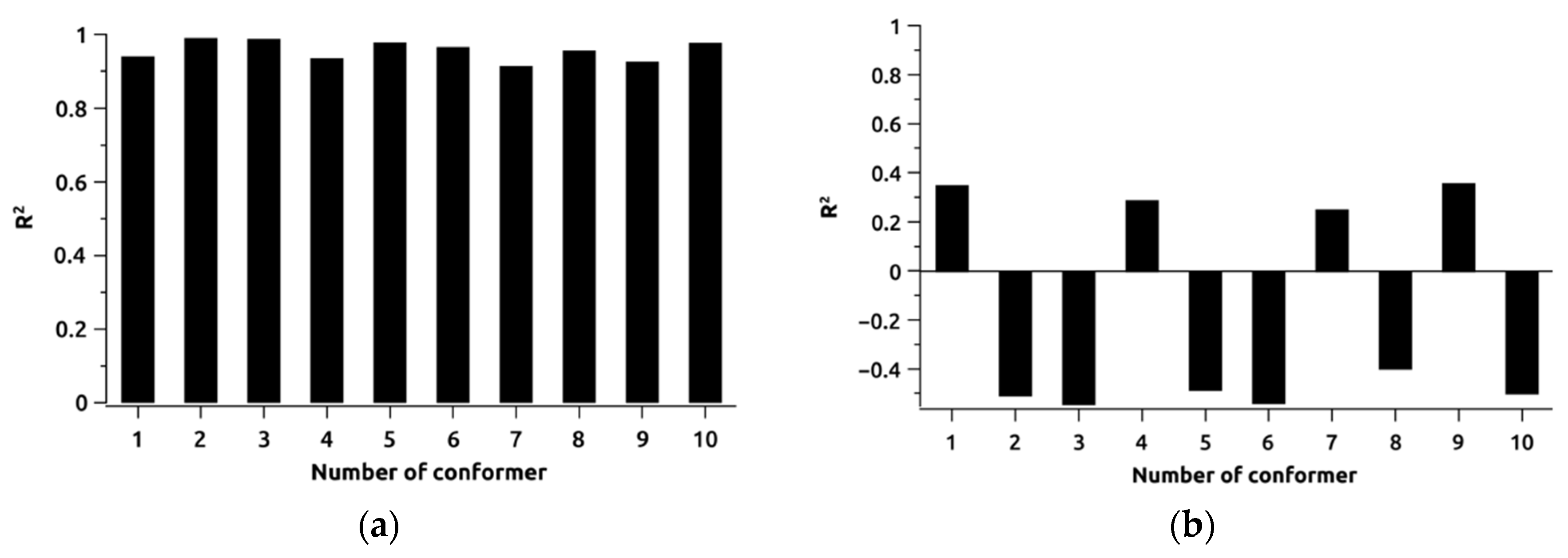
The graphs constructed for the first conformer show that experimentally obtained cross-relaxation rate values for BCL internuclear distances in CDCl3 better agree with corresponding internuclear distances than those obtained from NOESY spectra analysis in DMSO-d6. Determination coefficients of 0.939 and 0.347 confirm this observation for data obtained in CDCl3 and DMSO-d6, respectively. Similar results were obtained when analysing cross-relaxation rate dependencies on corresponding internuclear distances in other BCL conformers.
The joint analysis results of determination coefficient values are presented as diagrams in Figure 8. Despite the low dispersion of analysed values observed for the CDCl3 system, the obtained data do not unequivocally identify the predominant conformer of the studied object due to the close determination coefficient values. This proximity may be explained by the significant conformational flexibility of the BCL molecule in CDCl3, as in previously considered cases [34]. In contrast, the DMSO-d6 results show the opposite trend—data poorly fitting the model may show negative determination coefficients for nonlinear functions. It is noteworthy that when identifying probable BCL structures in CDCl3 based on determination coefficients, conformers BCL-2, BCL-3, BCL-5, BCL-6, BCL-8, and BCL-10 exhibit higher values, whereas analysing DMSO-d6 spectral data identifies probable conformers as BCL-1, BCL-4, BCL-7, and BCL-9. We acknowledge that this situation is likely coincidental, requiring further confirmation, and cannot be used for definitive conclusions.
Figure 8.
Distribution of coefficients of determination obtained for each conformer of bicalutamide in CDCl3 (a) and DMSO-d6 (b).
The analysis shows that the exponential dependence of the cross-relaxation rate on the corresponding internuclear distance is only sometimes maintained. For conformationally flexible molecules, an alternative approach based on the quantitative determination of experimental internuclear distance values dependent on molecular conformation is required [32,36,42,105].
2.2.3. Method Based on Determining Experimental Values of Internuclear Distances
The previously obtained results on the determination of cross-relaxation rates and calculated internuclear distances were utilised to construct graphs (see Figure 9) based on data for all BCL conformers to select appropriate conformation-dependent (rexp) and reference (r0) distances.
Figure 9.
Dependence between the cross-relaxation rate determined from NOESY experiments in CDCl3 (a) and DMSO-d6 (b) and the internuclear distances in BCL conformers.
As seen from the graphs, the distances H12a-H12b and H15/17-H14/18 in chloroform and DMSO-d6, respectively, undergo minimal changes in value depending on the conformation of BCL molecules (see Table 2), making them the only candidates for use as reference distances. Other distances can be conformation-dependent but are unsuitable for precise quantitative assessment of the proportions of “open” and “closed” BCL conformer groups. Some cross-peaks observed in the NOESY spectrum of BCL in DMSO-d6 correspond to distances that exceed the experimental sensitivity limit for certain conformers (H14/18-NH, OH-H14/18, H11-H14/18). Using these distances in calculations will inevitably lead to significant errors in the obtained results, as previously demonstrated in [42]. Additionally, the distances H1-NH, H3/4-NH (CDCl3), and H3-NH (DMSO-d6) determine the conformational flexibility of the molecule but relate to the positional change of the trifluoromethyl-substituted cyclic fragment relative to the aliphatic structure and do not allow the separation of BCL conformers into “open” and “closed” groups. Therefore, a comprehensive analysis established that the H12b-H14/18 distance could be conformation-determining. The calculated distance values range from 2.97 Å for conformer 10 to 4.33 Å for conformer 1 (see Table 2). These distance values allow the identification of two groups of conformers corresponding to the “open” and “closed” types with average values of 3.35 Å and 4.21 Å, respectively. Notably, the H12b-H14/18 distances obtained using Equation (3) show the best results and allow accurate comparison with NOESY experimental data despite the participation of hydrogen atoms (H12b) in the CH2 group. The developed structure of intramolecular hydrogen bonds in different BCL conformers likely restricts the mobility of CH2 group protons, necessitating the use of the slow-motion averaging model.
Table 2.
Reference and conformation-determining distances were obtained using averaging models based on the conformer structures from quantum chemical calculations.
To determine the values of conformation-determining distances based on NOESY experimental data within the isolated spin pair approximation (ISPA) model, cross-relaxation rates for reference and target distances were used (see Equation (6)) [106,107,108].
where rexp is the target conformation-determining distance, r0 is the reference distance based on quantum chemical calculations, σ0 and σexp are the cross-relaxation rates for reference and conformation-determining distances.
The cross-relaxation rates for reference and conformation-determining distances, calculated using the IRA model, were (2.46 ± 0.15) × 10−1 s−1 and (1.29 ± 0.09) × 10−2 s−1 for H12a-H12b in CDCl3 and H15/17-H14/18 in DMSO-d6, respectively. For the H12b-H14/18 conformation-determining distance, the cross-relaxation rates were (2.35 ± 0.07) × 10−3 s−1 and (3.12 ± 0.13) × 10−2 s−1, derived from NOESY data in the same solvents (see Figure 10). The increase in cross-relaxation rates when transitioning from CDCl3 to DMSO-d6 is expectedly accompanied by a decrease in conformation-determining distances, which are 3.86 Å and 3.55 Å in CDCl3 and DMSO-d6, respectively.
Figure 10.
Average integral intensity of reference distances H12a-H12b (a), H15/17-H14/18 (c), and experimental distances H12b-H14/18 (b,d) derived from NOESY spectral analysis for bicalutamide in CDCl3 (a,b) and DMSO-d6 (c,d).
The experimental values of the H12b-H14/18 distance fall within the calculated range, allowing for the determination of the proportions of “open” and “closed” conformers within the two-state exchange model (see Equation (7)):
where rexp is the experimental conformation-determining distance H12b-H14/18, ropen and rclose are the calculated distances for “open” and “closed” conformer groups, Popen and Pclose are the proportions of “open” and “closed” conformer groups.
The methodology for determining conformer group proportions is described in previous works [34,105,109]. It can be visualised as a graph of probable experimental distance values (rexp) within the range of calculated values from the proportion of the conformer group (open or close). In the case of a two-state exchange (Popen) ↔ (Pclose), the dependence represents a curve rexp = f(Popen) (see Figure 11). It was determined that the proportions of open-type conformers in CDCl3 and DMSO-d6 are 22.7 ± 3.7% and 59.8 ± 6.2%, respectively, while the proportions of closed-type conformers are 77.3 ± 3.7% and 40.2 ± 6.2%, respectively. The observed geometric changes in BCL molecules when transitioning to a more polar solvent are confirmed by data from [110], where the authors demonstrated the influence of the medium on the characteristics of the conformers of the study object using the PCM method. The distributions of conformer group fractions obtained differ from the results of the Boltzmann factor analysis (refer to Figure 4), indicating that quantitative information about the conformer structure parameters (inter-nuclear distances) is more valid than their calculated energy values. The discrepancies between the quantum-chemical calculation results and the NOESY experiment stem from the inability of the PCM models to accurately consider the impact of intermolecular interactions, including hydrogen bonds and π-π interactions. As we have found, these interactions are the driving force behind the intriguing redistribution of the fractions of “closed” and “open” conformer groups of bicalutamide.
Figure 11.
Graphs showing the change in the proportion of “open” type BCL conformers depending on the H12b-H14/18 internuclear distance (blue line). Red lines indicate results for CDCl3, purple for DMSO-d6, and green dashed lines show the error range for determining experimental distance and conformer group proportion.
Additionally, the results align with the data from the Perlovich group [13], where a BCL-DMSO solvate was obtained and registered in the Cambridge Crystallographic Data Centre under number 879630 (CSD Refcode: FAHFIG). The analysis of the BCL molecule structure within the solvate (see Figure 12) showed that the H12b-H14/18 distance is 3.16 Å, corresponding to the “open” conformation, where peripheral fluorine atoms are oppositely directed with a distance between them >9 Å. Furthermore, [67] discusses the role of numerous hydrogen bond synthons in forming various BCL co-crystals, in which the molecules predominantly adopt the “open” conformation.
Figure 12.
Structure of the BCL molecule within the DMSO solvate. Hydrogen atoms forming the experimental H12b-H14/18 distance are highlighted in green.
To identify potential similarities in the structural motifs of BCL molecules in solution and solid form, root mean square deviation (RMSD) values were calculated using ChemCraft V.1.8 software (see Table S3). As noted in [111], RMSD calculation remains the fastest way to measure the structural similarity of molecules, which is particularly important for large datasets. RMSD characterises the average displacement between structures and can be calculated using Equation (8):
where di is the distance between the i-th atom in two aligned structures, and N is the total number of equivalent atoms.
Known method limitations, such as size constraints of studied molecules [112], the requirement for identical chemical composition of molecular structures [111], and the peculiarities of comparing molecules with different conformational flexibility [113,114], do not affect the calculations conducted in this study. However, Table S3 (blue area) shows that the comparison of molecular structures obtained from quantum chemical calculations demonstrates comparably high RMSD values (≈2.8 Å). Nonetheless, for specific pairs, BCL-1–BCL-7 and BCL-2–BCL-6, RMSD values are 0.78 Å and 0.74 Å, respectively, indicating high degrees of similarity. These conformers are classified as “closed” types. The remaining structures, classified as “open” type conformers, exhibit higher variability in molecular fragment orientations, reflected in RMSD values. Subsequently, RMSD values were calculated by comparing structures obtained from quantum chemical calculations and literature data (see Table S3) presented in CCDC and PDB databases for two BCL polymorphs (CSD Refcode: JAYCES01 and JAYCES02) [49], DMSO solvate (CSD Refcode: FAHFIG) [13], co-crystals (CSD Refcode: KIHZOR and KIHZIL) [67], bioactive form (PDB ID: 1Z95) [68], and single-crystal X-ray structure (CSD Refcode: JAYCES) [66] (see Figure S5). Table S3 (orange area) shows that the obtained RMSD values (≈2.7 Å) demonstrate significant differences in the analysed structures. The closest values are observed for BCL molecules in the co-crystal with 4,4′-Bipyridine (CSD Refcode: KIHZOR) and conformer BCL-1 (RMSD = 0.91 Å), classified as “closed” type. Regarding comparing structures obtained from databases, common motifs were not identified, with RMSD values ≈ of 1.7 Å (see Table S3—green area).
Additionally, for detailed analysis, the values of seven dihedral angles determining the main conformational changes in the molecular structure and the values of internuclear distances defining potential intramolecular hydrogen bonds were calculated (see Table S4). The data analysis showed that none of the dihedral angles and the set of intramolecular hydrogen bonds are characteristic for identifying common motifs between conformers observed in solid forms and gas phases. Nevertheless, the H12b-H14/18 distance values exhibit similar trends in “open” and “closed” conformers obtained from databases (see Table 3). In this case, the distance is a crucial characteristic for identifying conformer types determined in experiments and during the analysis of calculated data.
Table 3.
Internuclear distances obtained from the structures of BCL conformers observed in various solid and bioactive forms.
The table shows that using structures obtained from the CCDC and PDB databases allows for identifying “open” and “closed” bicalutamide conformers. The H12b-H14/18 distance values (ropen and rclose) are characteristic for these groups, at 3.38 Å and 4.19 Å, respectively. However, the previously used reference distances H12a-H12b and H14/18-H15/17 differ significantly. Using quantum chemical calculation data, these distances were established at 1.78 Å and 2.80 Å, respectively. However, Table 3 data show a decrease in H12a-H12b and H14/18-H15/17 distances by 0.19 Å and 0.18 Å, respectively. An attempt was made to calculate the conformer group proportions based on NOESY experimental data and seven structures obtained from the CCDC and PDB databases. The existing differences alter the experimental H12b-H14/18 distances (rexp) determined using the ISPA method (see Equation (6)), which are 3.45 Å and 3.31 Å for BCL in CDCl3 and DMSO-d6, respectively. Using the obtained experimental distance values in the two-state exchange equation (see Equation (7)), it was found that the proportions of “open” and “closed” BCL conformer groups in CDCl3 are 16.4% and 83.6%, respectively. In the case of DMSO-d6, Equation (7) has no solutions, as the experimental distance value does not fall within the range of calculated values obtained from the considered conformer structures, and the “open” conformer group proportion would exceed 100%. As noted by the authors of [69], the discussed structures obtained from solid BCL forms are unlikely in the solution phase, and their optimisation using a broad range of quantum chemical methods results in structures significantly different from the original ones. The same authors note that the bioactive conformation of BCL in the co-crystallized X-ray structure of the androgen receptor (PDB ID: 1Z95) has an entirely different molecular conformation compared to any of the structures described in the solid state, which is also reflected in the H12a-H12b and H14/18-H15/17 distances shown in Table 3. This case underscores the importance of using optimised structures to interpret NOESY experimental data accurately. These are a few tools for identifying common structural motifs in small molecules with high conformational flexibility and determining conformer group proportions.
3. Materials and Methods
This study utilised commercially available compounds from Sigma-Aldrich Rus (Moscow, Russia): bicalutamide (C18H14F4N2O4S-(S)-N-(4-Cyano-3-(trifluoromethyl)phenyl)-3-((R)-(4-fluorophenyl)sulfinyl)-2-hydroxy-2-methylpropanamide; CAS: 90357-06-5); chloroform-d1 (CDCl3; CAS: 865-49-6); and anhydrous dimethyl sulfoxide-d6 (DMSO-d6; CAS: 2206-27-1). Solutions of BCL in CDCl3 and DMSO-d6 for NMR experiments were prepared in standard NMR tubes (Wilmad, O.D. = 5 mm) without further purification of the components. NMR spectra were recorded on a Bruker Avance III 500 MHz spectrometer operating (Bruker, Karlsruhe, Germany) at 500.17 MHz and 125.77 MHz for 1H and 13C nuclei, respectively. Temperature stabilisation (25 °C) was achieved using a Bruker BVT-2000 heating unit and a Bruker BCU 05 cooling accessory (Bruker, Karlsruhe, Germany), with a temperature maintenance accuracy of ±0.1 °C. Chemical shift values in the NMR spectra were determined relative to the internal standard TMS included in the solvents used. For optimising the duration of 2D NMR experiments, the non-uniform sampling (NUS) method was employed [115,116,117,118,119].
1H NMR spectra were recorded using the standard pulse program “zg” in the TopSpin 3.6.1 software package. Spectra were recorded over a frequency range of 13.2 ppm, with a relaxation delay of 3 s and 32,768 data points. 13C NMR spectra were recorded using the pulse program “zgpg30” with proton decoupling during the relaxation delay to enhance signal intensity. Applying 30° radiofrequency electromagnetic pulses instead of 90° ensured rapid pulse generation and system relaxation. The 13C NMR spectra were recorded over a range of 237 ppm, with a relaxation delay of 1 s and 65,536 data points.
1H-13C HSQC spectra were recorded using the “hsqcedetgp” pulse program [120,121,122,123], which allows differentiation of CH, CH3, and CH2 group cross-peaks in molecular structures due to phase sensitivity. The spectral range was 14 ppm (F2–1H) and 290 ppm (F1–13C), with a relaxation delay of 1 s and data points of 2048 and 256 along the F2 and F1 axes, respectively. 1H-13C HMBC spectra were recorded using the “hmbcgpndqf” pulse program to observe long-range carbon-hydrogen correlations [124]. The spectral range was 20 ppm (F2–1H) and 290 ppm (F1–13C), with a relaxation delay of 1 s and data points of 2048 and 256 along the F2 and F1 axes, respectively.
Homogeneous 1H-1H TOCSY spectra were recorded using the “mlevgpphprzf” pulse program, based on Hartmann-Hahn homogeneous transfer using the MLEV-17 sequence, with a spin-lock parameter of 20 ms and 100 ms to observe short- and long-range proton-proton interactions in continuous chemical bond chains [125,126]. The spectral range was 15.4 ppm along the F2 and F1 axes, with a relaxation delay of 2 s and data points of 2048 and 256 along the F2 and F1 axes, respectively.
1H-1H NOESY spectra were recorded using the “noesygpphpp” pulse program [127,128]. The spectral range was 15.4 ppm along the F2 and F1 axes, with a relaxation delay of 1.3 s and data points of 2048 and 256 along the F2 and F1 axes, respectively.
Initial conformer configurations of BCL were obtained using the Gabedit V. 2.5.2 software package [129] with the Amber force field [130] and molecular dynamics method at 1000 K, followed by optimisation using the openmopac V. 22.11 package via the PM6 method [131]. Several attempts were made to generate a set of conformers based on different initial structures. The obtained structures were then optimised in the Gaussian V. 16 package using the Austin–Frisch–Petersson (APFD) functional [132,133] and the 6-311++g(2d,2p) basis set [134]. The selection of the functional is based on its specialisation for conformational searches relevant to small molecules containing cyclic fragments in their structure [93,95]. Additionally, including diffuse and polarisation functions in the basis set improves the description of electron density and spatial structure of small molecules [96]. A total of 10 conformer structures with different dihedral angles and energies were optimised. The quantum theory of atoms in molecules (QTAIM) [135,136,137] was employed to estimate the strength of various hydrogen bonds. The electron and potential energy density at critical points are proportional to the bond energy. We utilised the correlation proposed by Espinosa et al. [98] to estimate the bond energy. Furthermore, Gibbs solvation energies and relative free energies of the conformers were calculated considering the environment within the IEFPCM model [78,79,138]. The Gibbs solvation energies were calculated as the difference in total electronic energies of the conformers in the gas phase and the solvent environment [138].
4. Conclusions
Our comprehensive bicalutamide (BCL) conformers analysis, employing quantum chemical calculations and NMR spectroscopy, has unveiled novel insights into this compound’s structural and energetic characteristics. BCL’s conformational flexibility, transitioning between ‘closed’ and ‘open’ conformations under intramolecular hydrogen bonding and π-π stacking interactions, is a significant finding. The energy differences between various conformers, primarily determined by the torsion angle τ1(C10–C12–S–C13), underscore the delicate balance between stability and structural variability. Quantum chemical calculations have further clarified the relative energies and hydrogen bond strengths across ten conformers, confirming the role of weak intramolecular hydrogen bonds in stabilising ‘closed’ conformations. The NOESY spectra analysis has highlighted the impact of solvent polarity on BCL conformations. The identification of conformation-determining distances, particularly H12b-H14/18, has enabled a quantitative assessment of ‘open’ and ‘closed’ conformer proportions, revealing a significant solvent effect, with higher proportions of ‘open’ conformers in more polar solvents like DMSO.
The results of this study underscore the crucial role of intramolecular interactions and solvent effects on BCL’s conformational properties. This study highlights the need for further research into BCL’s conformational behaviour in various environments and offers a promising avenue for enhancing its pharmaceutical applications and efficacy.
Supplementary Materials
The following supporting information can be downloaded at: https://www.mdpi.com/article/10.3390/ijms25158254/s1.
Author Contributions
Conceptualization, I.A.K.; methodology, I.A.K.; validation, V.V.S., K.V.B. and M.A.K.; formal analysis, K.V.B. and V.V.S.; investigation, I.A.K., K.V.B. and M.A.K.; resources, I.A.K.; data curation, I.A.K.; writing—original draft preparation, V.V.S. and K.V.B.; writing—review and editing, I.A.K. and K.V.B.; visualisation, K.V.B.; supervision, I.A.K.; project administration, I.A.K.; funding acquisition, I.A.K. All authors have read and agreed to the published version of the manuscript.
Funding
The research was supported by a grant from the Russian Science Foundation (project no. 24-23-00318).
Institutional Review Board Statement
Not applicable.
Informed Consent Statement
Not applicable.
Data Availability Statement
Data is contained within the article and Supplementary Material.
Conflicts of Interest
The authors declare no conflicts of interest.
References
- Duarte, A.R.C.; Ferreira, A.S.D.; Barreiros, S.; Cabrita, E.; Reis, R.L.; Paiva, A. A Comparison between Pure Active Pharmaceutical Ingredients and Therapeutic Deep Eutectic Solvents: Solubility and Permeability Studies. Eur. J. Pharm. Biopharm. 2017, 114, 296–304. [Google Scholar] [CrossRef] [PubMed]
- Butler, J.M.; Dressman, J.B. The Developability Classification System: Application of Biopharmaceutics Concepts to Formulation Development. J. Pharm. Sci. 2010, 99, 4940–4954. [Google Scholar] [CrossRef] [PubMed]
- Shan, N.; Zaworotko, M.J. The Role of Cocrystals in Pharmaceutical Science. Drug Discov. Today 2008, 13, 440–446. [Google Scholar] [CrossRef] [PubMed]
- Kapourani, A.; Katopodis, K.; Valkanioti, V.; Chatzitheodoridou, M.; Cholevas, C.; Barmpalexis, P. Evaluation of Suitable Polymeric Matrix/Carriers during Loading of Poorly Water Soluble Drugs onto Mesoporous Silica: Physical Stability and In Vitro Supersaturation. Polymers 2024, 16, 802. [Google Scholar] [CrossRef]
- Chambi, J.T.; Prado, L.D.; Patricio, B.F.d.C.; Ceballos, M.; Bianco, I.; Fandaruff, C.; Rocha, H.V.A.; Kuznetsov, A.; Cuffini, S.L. Quantitative Analysis and Evaluation of Solid-State Stability of Mebendazole Forms A and C Suspensions by Powder X-ray Diffraction Using the Rietveld Method. Int. J. Pharm. 2024, 650, 123721. [Google Scholar] [CrossRef] [PubMed]
- Justen, A.; Schaldach, G.; Thommes, M. Insights into the Mechanism of Enhanced Dissolution in Solid Crystalline Formulations. Polymers 2024, 16, 510. [Google Scholar] [CrossRef] [PubMed]
- Agnihotri, T.G.; Paradia, P.K.; Jain, A. Biopharmaceutical Classification System: A Strategic Tool in Pharmaceutical Formulation. Dos. Forms Formul. Dev. Regul. Recent Futur. Trends Pharm. 2024, 1, 443–469. [Google Scholar] [CrossRef]
- Fu, Q.; Lu, H.D.; Xie, Y.F.; Liu, J.Y.; Han, Y.; Gong, N.B.; Guo, F. Salt Formation of Two BCS II Drugs (Indomethacin and Naproxen) with (1R, 2R)-1,2-Diphenylethylenediamine: Crystal Structures, Solubility and Thermodynamics Analysis. J. Mol. Struct. 2019, 1185, 281–289. [Google Scholar] [CrossRef]
- Vishweshwar, P.; McMahon, J.A.; Bis, J.A.; Zaworotko, M.J. Pharmaceutical Co-Crystals. J. Pharm. Sci. 2006, 95, 499–516. [Google Scholar] [CrossRef]
- Jones, W.; Motherwell, W.D.S.; Trask, A.V. Pharmaceutical Cocrystals: An Emerging Approach to Physical Property Enhancement. MRS Bull. 2006, 31, 875–879. [Google Scholar] [CrossRef]
- Schultheiss, N.; Newman, A. Pharmaceutical Cocrystals and Their Physicochemical Properties. Cryst. Growth Des. 2009, 9, 2950–2967. [Google Scholar] [CrossRef]
- Shaikh, T.R.; Shelke, N.; Tothadi, S. Multicomponent Solvate Crystals of 3,5-Dinitrobenzoic Acid and Acetamide and CSD Analysis of Solvates. ACS Omega 2023, 8, 24644–24653. [Google Scholar] [CrossRef] [PubMed]
- Perlovich, G.L.; Blokhina, S.V.; Manin, N.G.; Volkova, T.V.; Tkachev, V.V. Polymorphism and Solvatomorphism of Bicalutamide: Thermophysical Study and Solubility. J. Therm. Anal. Calorim. 2013, 111, 655–662. [Google Scholar] [CrossRef]
- Miller, J.M.; Collman, B.M.; Greene, L.R.; Grant, D.J.W.; Blackburn, A.C. Identifying the Stable Polymorph Early in the Drug Discovery–Development Process. Pharm. Dev. Technol. 2005, 10, 291–297. [Google Scholar] [CrossRef] [PubMed]
- Vrečer, F.; Vrbinc, M.; Meden, A. Characterization of Piroxicam Crystal Modifications. Int. J. Pharm. 2003, 256, 3–15. [Google Scholar] [CrossRef] [PubMed]
- Jarring, K.; Larsson, T.; Stensland, B.; Ymén, I. Thermodynamic Stability and Crystal Structures for Polymorphs and Solvates of Formoterol Fumarate. J. Pharm. Sci. 2006, 95, 1144–1161. [Google Scholar] [CrossRef] [PubMed]
- Hilfiker, R.; Berghausen, J.; Blatter, F.; Burkhard, A.; De Paul, S.M.; Freiermuth, B.; Geoffroy, A.; Hofmeier, U.; Marcolli, C.; Siebenhaar, B.; et al. Polymorphism—Integrated Approach from High-Throughput Screening to Crystallization Optimization. J. Therm. Anal. Calorim. 2003, 73, 429–440. [Google Scholar] [CrossRef]
- Drozd, K.V.; Manin, A.N.; Voronin, A.P.; Boycov, D.E.; Churakov, A.V.; Perlovich, G.L. A Combined Experimental and Theoretical Study of Miconazole Salts and Cocrystals: Crystal Structures, DFT Computations, Formation Thermodynamics and Solubility Improvement. Phys. Chem. Chem. Phys. 2021, 23, 12456–12470. [Google Scholar] [CrossRef]
- Manin, A.N.; Drozd, K.V.; Surov, A.O.; Churakov, A.V.; Volkova, T.V.; Perlovich, G.L. Identification of a Previously Unreported Co-Crystal Form of Acetazolamide: A Combination of Multiple Experimental and Virtual Screening Methods. Phys. Chem. Chem. Phys. 2020, 22, 20867–20879. [Google Scholar] [CrossRef]
- Abramov, Y.A.; Zell, M.; Krzyzaniak, J.F. Toward a Rational Solvent Selection for Conformational Polymorph Screening. Chem. Eng. Pharm. Ind. 2019, 519–532. [Google Scholar] [CrossRef]
- Li, X.; Wang, N.; Huang, Y.; Xing, J.; Huang, X.; Ferguson, S.; Wang, T.; Zhou, L.; Hao, H. The Role of Solute Conformation, Solvent–Solute and Solute–Solute Interactions in Crystal Nucleation. AIChE J. 2023, 69, e18144. [Google Scholar] [CrossRef]
- Tian, B.; Hao, H.; Huang, X.; Wang, T.; Wang, J.; Yang, J.; Li, X.; Li, W.; Zhou, L.; Wang, N. Solvent Effect on Molecular Conformational Evolution and Polymorphic Manipulation of Cimetidine. Cryst. Growth Des. 2023, 23, 7266–7275. [Google Scholar] [CrossRef]
- Khodov, I.; Efimov, S.; Krestyaninov, M.; Kiselev, M. Exposing Hidden Conformations of Carbamazepine Appearing Due to Interaction With the Solid Phase by 2D 1H-15N HMBC NMR Spectroscopy. J. Pharm. Sci. 2021, 110, 1533–1539. [Google Scholar] [CrossRef] [PubMed]
- Khodov, I.; Dyshin, A.; Efimov, S.; Ivlev, D.; Kiselev, M. High-Pressure NMR Spectroscopy in Studies of the Conformational Composition of Small Molecules in Supercritical Carbon Dioxide. J. Mol. Liq. 2020, 309, 113113. [Google Scholar] [CrossRef]
- Khodov, I.A.; Efimov, S.V.; Klochkov, V.V.; Alper, G.A.; Batista De Carvalho, L.A.E. Determination of Preferred Conformations of Ibuprofen in Chloroform by 2D NOE Spectroscopy. Eur. J. Pharm. Sci. 2014, 65, 65–73. [Google Scholar] [CrossRef]
- Khodov, I.A.; Efimov, S.V.; Klochkov, V.V.; De Carvalho, L.A.E.B.; Kiselev, M.G. The Importance of Suppressing Spin Diffusion Effects in the Accurate Determination of the Spatial Structure of a Flexible Molecule by Nuclear Overhauser Effect Spectroscopy. J. Mol. Struct. 2016, 1106, 373–381. [Google Scholar] [CrossRef]
- Khodov, I.A.; Belov, K.V.; Krestyaninov, M.A.; Sobornova, V.V.; Dyshin, A.A.; Kiselev, M.G. Does DMSO Affect the Conformational Changes of Drug Molecules in Supercritical CO2 Media? J. Mol. Liq. 2023, 384, 122230. [Google Scholar] [CrossRef]
- Eventova, V.A.; Belov, K.V.; Efimov, S.V.; Khodov, I.A. Conformational Screening of Arbidol Solvates: Investigation via 2D NOESY. Pharmaceutics 2023, 15, 226. [Google Scholar] [CrossRef]
- Belov, K.V.; de Carvalho, L.A.E.B.; Dyshin, A.A.; Efimov, S.V.; Khodov, I.A. The Role of Hidden Conformers in Determination of Conformational Preferences of Mefenamic Acid by NOESY Spectroscopy. Pharmaceutics 2022, 14, 2276. [Google Scholar] [CrossRef]
- Belov, K.V.; Dyshin, A.A.; Krestyaninov, M.A.; Efimov, S.V.; Khodov, I.A.; Kiselev, M.G. Conformational Preferences of Tolfenamic Acid in DMSO-CO2 Solvent System by 2D NOESY. J. Mol. Liq. 2022, 367, 120481. [Google Scholar] [CrossRef]
- Khodov, I.A.; Belov, K.V.; Krestyaninov, M.A.; Dyshin, A.A.; Kiselev, M.G.; Krestov, G.A. Investigation of the Spatial Structure of Flufenamic Acid in Supercritical Carbon Dioxide Media via 2D NOESY. Materials 2023, 16, 1524. [Google Scholar] [CrossRef] [PubMed]
- Belov, K.V.; Dyshin, A.A.; Khodov, I.A. Conformational Analysis of Arbidol in Supercritical Carbon Dioxide: Insights into “Opened” and “Closed” Conformer Groups. J. Mol. Liq. 2024, 397, 124074. [Google Scholar] [CrossRef]
- Wieske, L.H.E.; Erdélyi, M. Non-Uniform Sampling for NOESY? A Case Study on Spiramycin. Magn. Reson. Chem. 2021, 59, 723–737. [Google Scholar] [CrossRef] [PubMed]
- Belov, K.; Brel, V.; Sobornova, V.; Fedorova, I.; Khodov, I. Conformational Analysis of 1,5-Diaryl-3-Oxo-1,4-Pentadiene Derivatives: A Nuclear Overhauser Effect Spectroscopy Investigation. Int. J. Mol. Sci. 2023, 24, 16707. [Google Scholar] [CrossRef] [PubMed]
- Williamson, M.P. Nuclear Magnetic Resonance Spectroscopy | Nuclear Overhauser Effect. In Encyclopedia of Analytical Science, 3rd ed.; Elsevier: Amsterdam, The Netherlands, 2019; pp. 264–271. [Google Scholar] [CrossRef]
- Khodov, I.A.; Efimov, S.V.; Nikiforov, M.Y.; Klochkov, V.V.; Georgi, N. Inversion of Population Distribution of Felodipine Conformations at Increased Concentration in Dimethyl Sulfoxide Is a Prerequisite to Crystal Nucleation. J. Pharm. Sci. 2014, 103, 392–394. [Google Scholar] [CrossRef] [PubMed]
- Vögeli, B.; Segawa, T.F.; Leitz, D.; Sobol, A.; Choutko, A.; Trzesniak, D.; Van Gunsteren, W.; Riek, R. Exact Distances and Internal Dynamics of Perdeuterated Ubiquitin from NOE Buildups. J. Am. Chem. Soc. 2009, 131, 17215–17225. [Google Scholar] [CrossRef] [PubMed]
- Schmidt, M.; Reinscheid, F.; Sun, H.; Abromeit, H.; Scriba, G.K.E.; Sönnichsen, F.D.; John, M.; Reinscheid, U.M. Hidden Flexibility of Strychnine. Eur. J. Org. Chem. 2014, 6, 1147–1150. [Google Scholar] [CrossRef]
- Butts, C.P.; Jones, C.R.; Song, Z.; Simpson, T.J. Accurate NOE-Distance Determination Enables the Stereochemical Assignment of a Flexible Molecule—Arugosin C. Chem. Commun. 2012, 48, 9023–9025. [Google Scholar] [CrossRef]
- Jones, C.R.; Greenhalgh, M.D.; Bame, J.R.; Simpson, T.J.; Cox, R.J.; Marshall, J.W.; Butts, C.P. Subtle Temperature-Induced Changes in Small Molecule Conformer Dynamics-Observed and Quantified by NOE Spectroscopy. Chem. Commun. 2016, 52, 2920–2923. [Google Scholar] [CrossRef]
- Khodov, I.A.; Nikiforov, M.Y.; Alper, G.A.; Blokhin, D.S.; Efimov, S.V.; Klochkov, V.V.; Georgi, N. Spatial Structure of Felodipine Dissolved in DMSO by 1D NOE and 2D NOESY NMR Spectroscopy. J. Mol. Struct. 2013, 1035, 358–362. [Google Scholar] [CrossRef]
- Khodov, I.A.; Belov, K.V.; Pogonin, A.E.; Savenkova, M.A.; Gamov, G.A. Spatial Structure and Conformations of Hydrazones Derived from Pyridoxal 5′-Phosphate and 2-,3-Pyridinecarbohydrazide in the Light of NMR Study and Quantum Chemical Calculations. J. Mol. Liq. 2021, 342, 117372. [Google Scholar] [CrossRef]
- Tabekoueng, G.B.; Armand, F.; Fozing, F.; Mas-Claret, E.; Langat, M.K.; Frese, M.; Bissoue, A.N.; Wansi, J.D.; François, A.; Waffo, K.; et al. Cytotoxic Clerodane Diterpenoids from the Roots of Casearia Barteri Mast. RSC Adv. 2024, 14, 23109–23117. [Google Scholar] [CrossRef] [PubMed]
- Dávid, C.Z.; Kúsz, N.; Agbadua, O.G.; Berkecz, R.; Kincses, A.; Spengler, G.; Hunyadi, A.; Hohmann, J.; Vasas, A. Phytochemical Investigation of Carex Praecox Schreb. and ACE-Inhibitory Activity of Oligomer Stilbenes of the Plant. Molecules 2024, 29, 3427. [Google Scholar] [CrossRef] [PubMed]
- Menant, S.; Tognetti, V.; Oulyadi, H.; Guilhaudis, L.; Ségalas-Milazzo, I. A Joint Experimental and Theoretical Study on the Structural and Spectroscopic Properties of the Piv-Pro-d-Ser-NHMe Peptide. J. Phys. Chem. B 2024, 128, 6704–6715. [Google Scholar] [CrossRef] [PubMed]
- Belov, K.V.; Krestyaninov, M.A.; Dyshin, A.A.; Khodov, I.A. The Influence of Lidocaine Conformers on Micronized Particle Size: Quantum Chemical and NMR Insights. J. Mol. Liq. 2024, 396, 124120. [Google Scholar] [CrossRef]
- Khodov, I.A.; Belov, K.V.; Krestyaninov, M.A.; Kiselev, M.G. Conformational Equilibria of a Thiadiazole Derivative in Solvents of Different Polarities: An NMR Study. Russ. J. Phys. Chem. A 2022, 96, 765–772. [Google Scholar] [CrossRef]
- Cockshott, I.D. Bicalutamide: Clinical Pharmacokinetics and Metabolism. Clin. Pharmacokinet. 2004, 43, 855–878. [Google Scholar] [CrossRef]
- Vega, D.R.; Polla, G.; Martinez, A.; Mendioroz, E.; Reinoso, M. Conformational Polymorphism in Bicalutamide. Int. J. Pharm. 2007, 328, 112–118. [Google Scholar] [CrossRef]
- Persson, R.; Nordholm, S.; Perlovich, G.; Lindfors, L. Monte Carlo Studies of Drug Nucleation 1: Formation of Crystalline Clusters of Bicalutamide in Water. J. Phys. Chem. B 2011, 115, 3062–3072. [Google Scholar] [CrossRef][Green Version]
- Volkova, T.V.; Simonova, O.R.; Perlovich, G.L. Physicochemical Profile of Antiandrogen Drug Bicalutamide: Solubility, Distribution, Permeability. Pharmaceutics 2022, 14, 674. [Google Scholar] [CrossRef]
- McLeod, D.G. Tolerability of Nonsteroidal Antiandrogens in the Treatment of Advanced Prostate Cancer. Oncologist 1997, 2, 18–27. [Google Scholar] [CrossRef]
- Zhang, Y.; Zhang, Q.; Wu, X.; Wu, G.; Ma, X.; Cheng, L. Bicalutamide, an Androgen Receptor Antagonist, Effectively Alleviate Allergic Rhinitis via Suppression of PI3K–PKB Activity. Eur. Arch. Oto-Rhino-Laryngol. 2023, 280, 703–711. [Google Scholar] [CrossRef] [PubMed]
- Narayanan, R. Therapeutic Targeting of the Androgen Receptor (AR) and AR Variants in Prostate Cancer. Asian J. Urol. 2020, 7, 271–283. [Google Scholar] [CrossRef] [PubMed]
- Trump, D.L.; Waldstreicher, J.A.; Kolvenbag, G.; Wissel, P.S.; Neubauer, B.L. Androgen Antagonists: Potential Role in Prostate Cancer Prevention. Urology 2001, 57, 64–67. [Google Scholar] [CrossRef] [PubMed]
- Szafraniec-Szczęsny, J.; Antosik-Rogóż, A.; Knapik-Kowalczuk, J.; Kurek, M.; Szefer, E.; Gawlak, K.; Chmiel, K.; Peralta, S.; Niwiński, K.; Pielichowski, K.; et al. Compression-Induced Phase Transitions of Bicalutamide. Pharmaceutics 2020, 12, 438. [Google Scholar] [CrossRef] [PubMed]
- Lloyd, A.; Penson, D.; Dewilde, S.; Kleinman, L. Eliciting Patient Preferences for Hormonal Therapy Options in the Treatment of Metastatic Prostate Cancer. Prostate Cancer Prostatic Dis. 2008, 11, 153–159. [Google Scholar] [CrossRef] [PubMed]
- Gana, I.; Céolin, R.; Rietveld, I.B. Bicalutamide Polymorphs i and II: A Monotropic Phase Relationship under Ordinary Conditions Turning Enantiotropic at High Pressure. J. Therm. Anal. Calorim. 2013, 112, 223–228. [Google Scholar] [CrossRef]
- Gamov, G.A.; Khodov, I.A.; Belov, K.V.; Zavalishin, M.N.; Kiselev, A.N.; Usacheva, T.R.; Sharnin, V.A. Spatial Structure, Thermodynamics and Kinetics of Formation of Hydrazones Derived from Pyridoxal 5′-Phosphate and 2-Furoic, Thiophene-2-Carboxylic Hydrazides in Solution. J. Mol. Liq. 2019, 283, 825–833. [Google Scholar] [CrossRef]
- Wang, C.; Rosbottom, I.; Turner, T.D.; Laing, S.; Maloney, A.G.P.; Sheikh, A.Y.; Docherty, R.; Yin, Q.; Roberts, K.J. Molecular, Solid-State and Surface Structures of the Conformational Polymorphic Forms of Ritonavir in Relation to Their Physicochemical Properties. Pharm. Res. 2021, 38, 971–990. [Google Scholar] [CrossRef]
- Ferenczy, G.G.; Párkányi, L.; Ángyán, J.G.; Kálmán, A.; Hegedus, B. Crystal and Electronic Structure of Two Polymorphic Modifications of Famotidine. An Experimental and Theoretical Study. J. Mol. Struct. THEOCHEM 2000, 503, 73–79. [Google Scholar] [CrossRef]
- Perdih, F.; Žigart, N.; Časar, Z. Crystal Structure and Solid-State Conformational Analysis of Active Pharmaceutical Ingredient Venetoclax. Crystals 2021, 11, 261. [Google Scholar] [CrossRef]
- Westheim, R. Bicalutamide Forms. U.S. Patent US20040063782A1, 1 April 2004. pp. 1–15. [Google Scholar]
- Breitenstein, W.; Furet, P.; Jacob, S.; Manley, P.W. Inhibitors of Tyrosine Kinases. European Patent EP1532138A1, 25 May 2004. pp. 1–83. [Google Scholar]
- Shukla, A.K.; Maikap, G.C.; Agarwal, S.K. Process for Preparation of Bicalutamide. U.S. Patent US7544828B2, 9 June 2009. pp. 1–12. [Google Scholar]
- Hu, X.R.; Gu, J.M. N-[4-Cyano-3-(Trifluoromethyl)Phenyl]-3-(4-Fluorophenylsulfonyl) -2-Hydroxy-2-Methylpropionamide. Acta Crystallogr. Sect. E Struct. Rep. Online 2005, 61, o3897–o3898. [Google Scholar] [CrossRef]
- Bis, J.A.; Vishweshwar, P.; Weyna, D.; Zaworotko, M.J. Hierarchy of Supramolecular Synthons: Persistent Hydroxyl⋯pyridine Hydrogen Bonds in Cocrystals That Contain a Cyano Acceptor. Mol. Pharm. 2007, 4, 401–416. [Google Scholar] [CrossRef]
- Bohl, C.E.; Gao, W.; Miller, D.D.; Bell, C.E.; Dalton, J.T. Structural Basis for Antagonism and Resistance of Bicalutamide in Prostate Cancer. Proc. Natl. Acad. Sci. USA 2005, 102, 6201–6206. [Google Scholar] [CrossRef]
- Dhaked, D.K.; Jain, V.; Kasetti, Y.; Bharatam, P.V. Conformational Polymorphism in Bicalutamide: A Quantum Chemical Study. Struct. Chem. 2012, 23, 1857–1866. [Google Scholar] [CrossRef]
- Becke, A.D. Density-Functional Exchange-Energy Approximation with Correct Asymptotic Behavior. Phys. Rev. A 1988, 38, 3098. [Google Scholar] [CrossRef]
- Lee, C.; Yang, W.; Parr, R.G. Development of the Colle-Salvetti Correlation-Energy Formula into a Functional of the Electron Density. Phys. Rev. B 1988, 37, 785. [Google Scholar] [CrossRef] [PubMed]
- Ditchfield, R.; Hehre, W.J.; Pople, J.A. Self-Consistent Molecular-Orbital Methods. IX. An Extended Gaussian-Type Basis for Molecular-Orbital Studies of Organic Molecules. J. Chem. Phys. 1971, 54, 724–728. [Google Scholar] [CrossRef]
- Mukherjee, A.; Kirkovsky, L.; Yao, X.T.; Yates, R.C.; Miller, D.D.; Dalton, J.T. Enantioselective Binding of Casodex to the Androgen Receptor. Xenobiotica 1996, 26, 117–122. [Google Scholar] [CrossRef] [PubMed]
- Wright, S.E.; Cole, J.C.; Cruz-Cabeza, A.J. Conformational Change in Molecular Crystals: Impact of Solvate Formation and Importance of Conformational Free Energies. Cryst. Growth Des. 2021, 21, 6924–6936. [Google Scholar] [CrossRef]
- Surov, A.O.; Solanko, K.A.; Bond, A.D.; Bauer-Brandl, A.; Perlovich, G.L. Cocrystals of the Antiandrogenic Drug Bicalutamide: Screening, Crystal Structures, Formation Thermodynamics and Lattice Energies. CrystEngComm 2016, 18, 4818–4829. [Google Scholar] [CrossRef]
- Joo, H.; Kraka, E.; Cremer, D. Environmental Effects on Molecular Conformation: Bicalutamide Analogs. J. Mol. Struct. THEOCHEM 2008, 862, 66–73. [Google Scholar] [CrossRef]
- Li, W.; Hwang, D.J.; Cremer, D.; Joo, H.; Kraka, E.; Kim, J.; Ross, C.R.; Nguyen, V.Q.; Dalton, J.T.; Miller, D.D. Structure Determination of Chiral Sulfoxide in Diastereomeric Bicalutamide Derivatives. Chirality 2009, 21, 578–583. [Google Scholar] [CrossRef] [PubMed]
- Miertuš, S.; Scrocco, E.; Tomasi, J. Electrostatic Interaction of a Solute with a Continuum. A Direct Utilizaion of AB Initio Molecular Potentials for the Prevision of Solvent Effects. Chem. Phys. 1981, 55, 117–129. [Google Scholar] [CrossRef]
- Pascual-ahuir, J.L.; Silla, E.; Tuñon, I. GEPOL: An Improved Description of Molecular Surfaces. III. A New Algorithm for the Computation of a Solvent-Excluding Surface. J. Comput. Chem. 1994, 15, 1127–1138. [Google Scholar] [CrossRef]
- De Gaetano, F.; Cristiano, M.C.; Paolino, D.; Celesti, C.; Iannazzo, D.; Pistarà, V.; Iraci, N.; Ventura, C.A. Bicalutamide Anticancer Activity Enhancement by Formulation of Soluble Inclusion Complexes with Cyclodextrins. Biomolecules 2022, 12, 1716. [Google Scholar] [CrossRef]
- Rao, R.N.; Raju, A.N.; Narsimha, R. Isolation and Characterization of Process Related Impurities and Degradation Products of Bicalutamide and Development of RP-HPLC Method for Impurity Profile Study. J. Pharm. Biomed. Anal. 2008, 46, 505–519. [Google Scholar] [CrossRef]
- Nukada, K.; Yamamoto, O.; Suzuki, T.; Takeuchi, M.; Ohnishi, M. Graphic Representation of Proton Chemical Shifts General Consideration and Methyl and Methylene Groups. Anal. Chem. 1963, 35, 1892–1898. [Google Scholar] [CrossRef]
- Lin, X.; Wang, C.; Ideta, K.; Miyawaki, J.; Nishiyama, Y.; Wang, Y.; Yoon, S.; Mochida, I. Insights into the Functional Group Transformation of a Chinese Brown Coal during Slow Pyrolysis by Combining Various Experiments. Fuel 2014, 118, 257–264. [Google Scholar] [CrossRef]
- Smith, A.A.; Kannan, K.; Manavalan, R.; Rajendiran, N. Spectral Characteristics of Bicalutamide Drug in Different Solvents and β-Cyclodextrin. J. Incl. Phenom. Macrocycl. Chem. 2007, 58, 161–167. [Google Scholar] [CrossRef]
- Barfield, M.; Johnston, M.D. Solvent Dependence of Nuclear Spin-Spin Coupling Constants. Chem. Rev. 1973, 73, 53–73. [Google Scholar] [CrossRef]
- Rummens, F.H.A.; Simon, C.; Coupry, C.; Lumbroso-Bader, N. Spectroscopic Studies on Olefins. VII–Propene and 3-Methylbutene-1; Proton NMR Coupling Constants as a Function of Solvent and Temperature in Relation to Molecular Geometry. Org. Magn. Reson. 1980, 13, 33–39. [Google Scholar] [CrossRef]
- Jessen, L.M.; Reinholdt, P.; Kongsted, J.; Sauer, S.P.A. The Importance of Solvent Effects in Calculations of NMR Coupling Constants at the Doubles Corrected Higher Random-Phase Approximation. Magnetochemistry 2023, 9, 102. [Google Scholar] [CrossRef]
- Kandil, S.B.; Kariuki, B.M.; McGuigan, C.; Westwell, A.D. Synthesis, Biological Evaluation and X-Ray Analysis of Bicalutamide Sulfoxide Analogues for the Potential Treatment of Prostate Cancer. Bioorg. Med. Chem. Lett. 2021, 36, 127817. [Google Scholar] [CrossRef] [PubMed]
- Lameiras, P.; Nuzillard, J.M. Tailoring the Nuclear Overhauser Effect for the Study of Small and Medium-Sized Molecules by Solvent Viscosity Manipulation. Prog. Nucl. Magn. Reson. Spectrosc. 2021, 123, 1–50. [Google Scholar] [CrossRef] [PubMed]
- Koos, M.R.M.; Schulz, K.H.G.; Gil, R.R. Reference-Free NOE NMR Analysis. Chem. Sci. 2020, 11, 9930–9936. [Google Scholar] [CrossRef] [PubMed]
- Macur, S.; Farmer, B.T.; Brown, L.R. An Improved Method for the Determination of Cross-Relaxation Rates from NOE Data. J. Magn. Reson. 1986, 70, 493–499. [Google Scholar] [CrossRef]
- Esposito, G.; Pastore, A. An Alternative Method for Distance Evaluation from NOESY Spectra. J. Magn. Reson. 1988, 76, 331–336. [Google Scholar] [CrossRef]
- Khodov, I.A.; Belov, K.V.; Dyshin, A.A.; Krestyaninov, M.A.; Kiselev, M.G. Pressure Effect on Lidocaine Conformational Equilibria in ScCO2: A Study by 2D NOESY. J. Mol. Liq. 2022, 367, 120525. [Google Scholar] [CrossRef]
- Bame, J.; Hoeck, C.; Carrington, M.J.; Butts, C.P.; Jäger, C.M.; Croft, A.K. Improved NOE Fitting for Flexible Molecules Based on Molecular Mechanics Data-a Case Study with: S-Adenosylmethionine. Phys. Chem. Chem. Phys. 2018, 20, 7523–7531. [Google Scholar] [CrossRef]
- Andersen, N.H.; Eaton, H.L.; Lai, X. Quantitative Small Molecule NOESY. A Practical Guide for Derivation of Cross-relaxation Rates and Internuclear Distances. Magn. Reson. Chem. 1989, 27, 515–528. [Google Scholar] [CrossRef]
- Hu, H.; Krishnamurthy, K. Revisiting the Initial Rate Approximation in Kinetic NOE Measurements. J. Magn. Reson. 2006, 182, 173–177. [Google Scholar] [CrossRef] [PubMed]
- Butts, C.P.; Jones, C.R.; Towers, E.C.; Flynn, J.L.; Appleby, L.; Barron, N.J. Interproton Distance Determinations by NOE—Surprising Accuracy and Precision in a Rigid Organic Molecule. Org. Biomol. Chem. 2011, 9, 177–184. [Google Scholar] [CrossRef] [PubMed]
- Butts, C.P.; Chini, M.G.; Jones, C.R.; Zampella, A.; D’Auria, M.V.; Renga, B.; Fiorucci, S.; Bifulco, G. Quantitative NMR-Derived Interproton Distances Combined with Quantum Mechanical Calculations of 13C Chemical Shifts in the Stereochemical Determination of Conicasterol F, a Nuclear Receptor Ligand from Theonella Swinhoei. J. Org. Chem. 2012, 77, 1489–1496. [Google Scholar] [CrossRef]
- Jones, C.R.; Butts, C.P.; Harvey, J.N. Accuracy in Determining Interproton Distances Using Nuclear Overhauser Effect Data from a Flexible Molecule. Beilstein J. Org. Chem. 2011, 7, 145–150. [Google Scholar] [CrossRef] [PubMed]
- Butts, C.P.; Jones, C.R.; Harvey, J.N. High Precision NOEs as a Probe for Low Level Conformers—A Second Conformation of Strychnine. Chem. Commun. 2011, 47, 1193–1195. [Google Scholar] [CrossRef]
- Lee, W.; Krishna, N.R. Influence of Conformational Exchange on the 2D NOESY Spectra of Biomolecules Existing in Multiple Conformations. J. Magn. Reson. 1992, 98, 36–48. [Google Scholar] [CrossRef]
- Sternberg, U.; Witter, R. Structures Controlled by Entropy: The Flexibility of Strychnine as Example. Molecules 2022, 27, 7987. [Google Scholar] [CrossRef] [PubMed]
- Koning, T.M.G.; Boelens, R.; Kaptein, R. Calculation of the Nuclear Overhauser Effect and the Determination of Proton-Proton Distances in the Presence of Internal Motions. J. Magn. Reson. 1990, 90, 111–123. [Google Scholar] [CrossRef]
- Khodov, I.A.; Kiselev, M.G.; Efimov, S.V.; Klochkov, V.V. Comment on “Conformational Analysis of Small Organic Molecules Using NOE and RDC Data: A Discussion of Strychnine and α-Methylene-γ-Butyrolactone” . J. Magn. Reson. 2016, 266, 67–68. [Google Scholar] [CrossRef]
- Novikova, D.; Al Mustafa, A.; Grigoreva, T.; Vorona, S.; Selivanov, S.; Tribulovich, V. NMR-Verified Dearomatization of 5,7-Substituted Pyrazolo [1,5-a]Pyrimidines. Molecules 2023, 28, 6584. [Google Scholar] [CrossRef] [PubMed]
- Efimov, S.V.; Khodov, I.A.; Ratkova, E.L.; Kiselev, M.G.; Berger, S.; Klochkov, V.V. Detailed NOESY/T-ROESY Analysis as an Effective Method for Eliminating Spin Diffusion from 2D NOE Spectra of Small Flexible Molecules. J. Mol. Struct. 2016, 1104, 63–69. [Google Scholar] [CrossRef]
- Kolmer, A.; Edwards, L.J.; Kuprov, I.; Thiele, C.M. Conformational Analysis of Small Organic Molecules Using NOE and RDC Data: A Discussion of Strychnine and α-Methylene-γ-Butyrolactone. J. Magn. Reson. 2015, 261, 101–109. [Google Scholar] [CrossRef]
- Dewis, L.; Crouch, R.; Russell, D.; Butts, C. Improving the Accuracy of 1H–19F Internuclear Distance Measurement Using 2D 1H–19F HOESY. Magn. Reson. Chem. 2019, 57, 1143–1149. [Google Scholar] [CrossRef]
- Pronina, Y.A.; Stepakov, A.V.; Popova, E.A.; Boitsov, V.M.; Baichurin, R.I.; Selivanov, S.I. Diastereomers of Cyclopropa[a]Pyrrolizine Spiro-Fused with a Benzo [4,5]Imidazo [1,2-a]Indole Fragment: Structure Determinations Using NMR Methods. Appl. Magn. Reson. 2023, 54, 999–1014. [Google Scholar] [CrossRef]
- Le, Y.; Ji, H.; Chen, J.F.; Shen, Z.; Yun, J.; Pu, M. Nanosized Bicalutamide and Its Molecular Structure in Solvents. Int. J. Pharm. 2009, 370, 175–180. [Google Scholar] [CrossRef] [PubMed]
- Sargsyan, K.; Grauffel, C.; Lim, C. How Molecular Size Impacts RMSD Applications in Molecular Dynamics Simulations. J. Chem. Theory Comput. 2017, 13, 1518–1524. [Google Scholar] [CrossRef] [PubMed]
- Maiorov, V.N.; Crippen, G.M. Size-Independent Comparison of Protein Three-Dimensional Structures. Proteins Struct. Funct. Bioinform. 1995, 22, 273–283. [Google Scholar] [CrossRef]
- Martínez, L. Automatic Identification of Mobile and Rigid Substructures in Molecular Dynamics Simulations and Fractional Structural Fluctuation Analysis. PLoS ONE 2015, 10, e0119264. [Google Scholar] [CrossRef]
- Wang, X. A Normalized Weighted RMSD Measure for Protein Structure Superposition. In Proceedings of the International Symposium on Bioinformatics Research and Applications (ISBRA) 2011, Changsha, China, 27–29 May 2011. [Google Scholar]
- Delaglio, F.; Walker, G.S.; Farley, K.; Sharma, R.; Hoch, J.; Arbogast, L.; Brinson, R.; Marino, J.P. Non-Uniform Sampling for All: More NMR Spectral Quality, Less Measurement Time. Am. Pharm. Rev. 2017, 20, 339681. [Google Scholar]
- Kazimierczuk, K.; Orekhov, V. Non-Uniform Sampling: Post-Fourier Era of NMR Data Collection and Processing. Magn. Reson. Chem. 2015, 53, 921–926. [Google Scholar] [CrossRef] [PubMed]
- Luo, J.; Zeng, Q.; Wu, K.; Lin, Y. Fast Reconstruction of Non-Uniform Sampling Multidimensional NMR Spectroscopy via a Deep Neural Network. J. Magn. Reson. 2020, 317, 106772. [Google Scholar] [CrossRef] [PubMed]
- Nawrocka, E.K.; Kasprzak, P.; Zawada, K.; Sadło, J.; Grochala, W.; Kazimierczuk, K.; Leszczyński, P.J. Nonstationary Two-Dimensional Nuclear Magnetic Resonance: A Method for Studying Reaction Mechanisms in Situ. Anal. Chem. 2019, 91, 11306–11315. [Google Scholar] [CrossRef] [PubMed]
- Gołowicz, D.; Kasprzak, P.; Orekhov, V.; Kazimierczuk, K. Fast Time-Resolved NMR with Non-Uniform Sampling. Prog. Nucl. Magn. Reson. Spectrosc. 2020, 116, 40–55. [Google Scholar] [CrossRef] [PubMed]
- Willker, W.; Leibfritz, D.; Kerssebaum, R.; Bermel, W. Gradient Selection in Inverse Heteronuclear Correlation Spectroscopy. Magn. Reson. Chem. 1993, 31, 287–292. [Google Scholar] [CrossRef]
- Palmer III, A.G.; Cavanagh, J.; Wright, P.E.; Rance, M. Sensitivity Improvement in Proton-Detected Two-Dimensional Heteronuclear Correlation NMR Spectroscopy. J. Magn. Reson. 1991, 93, 151–170. [Google Scholar] [CrossRef]
- Kay, L.E.; Keifer, P.; Saarinen, T. Pure Absorption Gradient Enhanced Heteronuclear Single Quantum Correlation Spectroscopy with Improved Sensitivity. J. Am. Chem. Soc. 1992, 114, 10663–10665. [Google Scholar] [CrossRef]
- Schleucher, J.; Schwendinger, M.; Sattler, M.; Schmidt, P.; Schedletzky, O.; Glaser, S.J.J.; Sorensen, O.W.; Griesinger, C.; Sørensen, O.W.; Griesinger, C. A General Enhancement Scheme in Heteronuclear Multidimensional NMR Employing Pulsed Field Gradients. J. Biomol. NMR 1994, 4, 301–306. [Google Scholar] [CrossRef]
- Cicero, D.O.; Barbato, G.; Bazzo, R. Sensitivity Enhancement of a Two-Dimensional Experiment for the Measurement of Heteronuclear Long Range Coupling Constants, by a New Scheme of Coherence. J. Magn. Reason. 2001, 148, 209–213. [Google Scholar] [CrossRef]
- Liu, M.; Mao, X.A.; Ye, C.; Huang, H.; Nicholson, J.K.; Lindon, J.C. Improved Watergate Pulse Sequences for Solvent Suppression in NMR Spectroscopy. J. Magn. Reson. 1998, 132, 125–129. [Google Scholar] [CrossRef]
- Bax, A.; Davis, D.G. MLEV-17-Based Two-Dimensional Homonuclear Magnetization Transfer Spectroscopy. J. Magn. Reson. 1985, 65, 355–360. [Google Scholar] [CrossRef]
- Wagner, R.; Berger, S. Gradient-Selected NOESY—A Fourfold Reduction of the Measurement Time for the NOESY Experiment. J. Magn. Reson. Ser. A 1996, 123, 119–121. [Google Scholar] [CrossRef] [PubMed]
- Jeener, J.; Meier, B.H.; Bachmann, P.; Ernst, R.R. Investigation of Exchange Processes by Two-Dimensional NMR Spectroscopy. J. Chem. Phys. 1979, 71, 4546–4553. [Google Scholar] [CrossRef]
- Allouche, A.R. Gabedita—A Graphical User Interface for Computational Chemistry Softwares. J. Comput. Chem. 2011, 32, 174–182. [Google Scholar] [CrossRef] [PubMed]
- Yang, L.; Tan, C.H.; Hsieh, M.J.; Wang, J.; Duan, Y.; Cieplak, P.; Caldwell, J.; Kollman, P.A.; Luo, R. New-Generation Amber United-Atom Force Field. J. Phys. Chem. B 2006, 110, 13166–13176. [Google Scholar] [CrossRef]
- Stewart, J.J.P. Application of the PM6 Method to Modeling Proteins. J. Mol. Model. 2009, 15, 765–805. [Google Scholar] [CrossRef]
- Austin, A.; Petersson, G.A.; Frisch, M.J.; Dobek, F.J.; Scalmani, G.; Throssell, K. A Density Functional with Spherical Atom Dispersion Terms. J. Chem. Theory Comput. 2012, 8, 4989–5007. [Google Scholar] [CrossRef]
- Barrientos, L.; Miranda-Rojas, S.; Mendizabal, F. Noncovalent Interactions in Inorganic Supramolecular Chemistry Based in Heavy Metals. Quantum Chemistry Point of View. Int. J. Quantum Chem. 2019, 119, e25675. [Google Scholar] [CrossRef]
- Wiberg, K.B. Basis Set Effects on Calculated Geometries: 6-311++G** vs. Aug-Cc-PVDZ. J. Comput. Chem. 2004, 25, 1342–1346. [Google Scholar] [CrossRef]
- Barbosa, W.G.; Santos, C.V., Jr.; Andrade, R.B.; Lucena, J.R.; Moura, R.T. Bond Analysis in Meta- and Para-Substituted Thiophenols: Overlap Descriptors, Local Mode Analysis, and QTAIM. J. Mol. Model. 2024, 30, 1–16. [Google Scholar] [CrossRef]
- Vashchenko, A.V.; Afonin, A.V. Comparative Estimation of the Energies of Intramolecular C-H…O, N-H…O, and O-H…O Hydrogen Bonds According to the QTAIM Analysis and NMR Spectroscopy Data. J. Struct. Chem. 2014, 55, 636–643. [Google Scholar] [CrossRef]
- Afonin, A.V.; Rusinska-Roszak, D. Quantification of Hydrogen Bond Energy Based on Equations Using Spectroscopic, Structural, QTAIM-Based, and NBO-Based Descriptors Which Calibrated by the Molecular Tailoring Approach. J. Mol. Model. 2024, 30, 18. [Google Scholar] [CrossRef] [PubMed]
- Marenich, A.V.; Cramer, C.J.; Truhlar, D.G. Universal Solvation Model Based on Solute Electron Density and on a Continuum Model of the Solvent Defined by the Bulk Dielectric Constant and Atomic Surface Tensions. J. Phys. Chem. B 2009, 113, 6378–6396. [Google Scholar] [CrossRef] [PubMed]
Disclaimer/Publisher’s Note: The statements, opinions and data contained in all publications are solely those of the individual author(s) and contributor(s) and not of MDPI and/or the editor(s). MDPI and/or the editor(s) disclaim responsibility for any injury to people or property resulting from any ideas, methods, instructions or products referred to in the content. |
© 2024 by the authors. Licensee MDPI, Basel, Switzerland. This article is an open access article distributed under the terms and conditions of the Creative Commons Attribution (CC BY) license (https://creativecommons.org/licenses/by/4.0/).





















