Abstract
A novel 18-nor-clerodane diterpenoid named sagitone (1) was isolated from the 95% ethanol extract of dry roots of Tinospora sagittata var. yunnanensis together with the five known diterpenoids columbin (2), palmatoside C (3), fibleucin (4), tinophylloloside (5) and epitinophylloloside (6). The structure of the new compound 1 was determined based on MS, IR, 1D and 2D NMR spectral data. The compounds 1~6 did not show significant cytotoxic activity against cancer cell lines K562 and HL-60.
1. Introduction
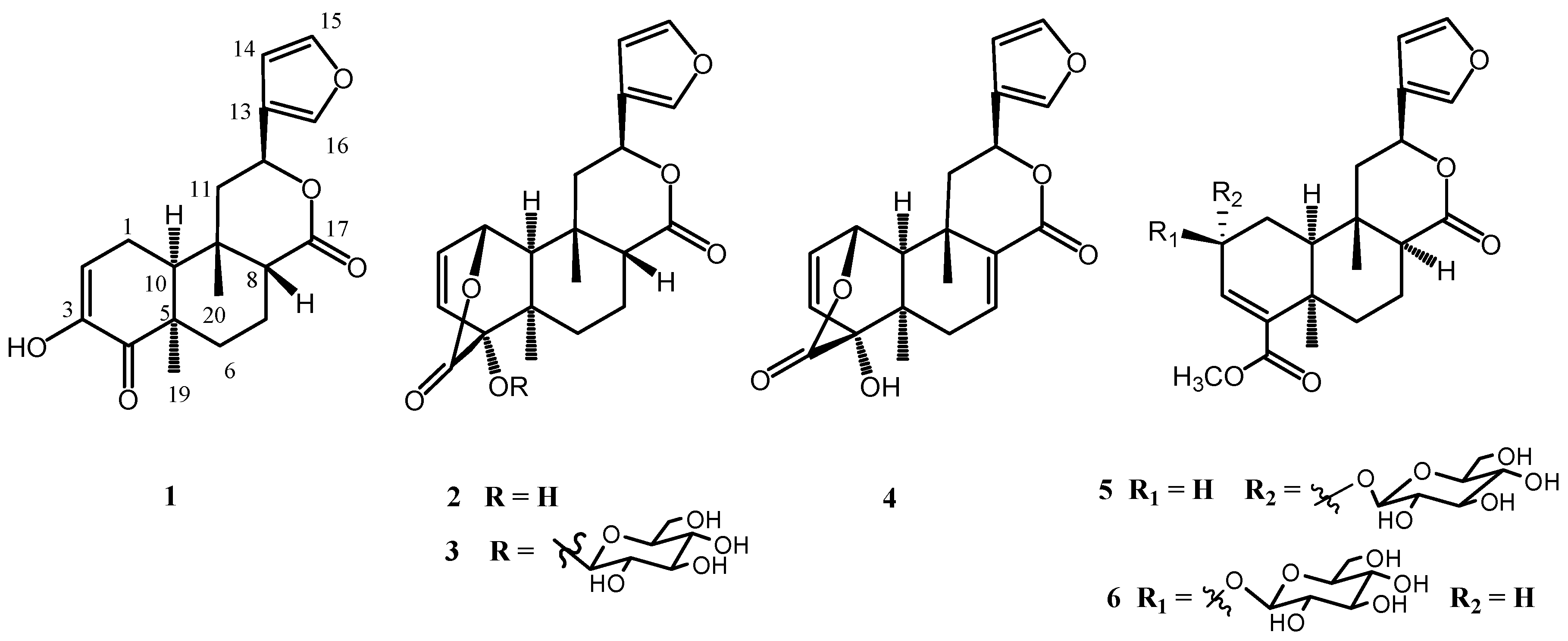
The clerodane diterpenoids occupy a unique and important place in the natural product field, because of their widespread distribution, extensive structural variation, and pronounced biological properties such as cytotoxic, antibacterial and antimicrobial activity [1,2,3,4]. Most species of the genus Tinospora (Menispermaceae) are among the most widely employed medicinal plants throughout a large part of Asia and Africa, and the characteristic constituents of this genus are the clerodane-based furnoid diterpenoids [5,6]. Tinospora sagittata var. yunnanensis, a member of family Menispermaceae, is a special plant native to Yunnan and Guangxi Province, China. The roots of T. sagittata var. yunnanensis has been used for thousands of years in Traditional Chinese Medicine for treating sore throat, laryngitis, gastralgia, and diarrhea [7]. Previous phytochemical investigation on the roots of T. sagittata var. yunnanensis revealed a number of alkaloids and clerodane-type diterpeneoids [8]. In the present study, we describe the isolation and structure elucidation of a novel 18-nor-clerodane diterpenoid, named sagitone (1), together with five known diterpenoids, columbin (2), palmatoside C (3), fibleucin (4), tinophylloloside (5) and epitinophylloloside (6), from the 95% ethanol extract of the dry roots of T. sagittata var. yunnanensis (Figure 1). The structure of the new compound 1 was determined based on MS, IR, 1D and 2D NMR spectral data, and the known ones 2-6 were identified by comparing their NMR data with those in the literature. All compounds did not show considerable inhibitory cytotoxic activity against cancer cell lines K562 and HL-60 at a concentration of 10 μM.
Figure 1.
The structures of compounds 1–6.
Figure 1.
The structures of compounds 1–6.

2. Results and Discussion
Compound 1 was obtained as an amorphous powder and with positive reaction in the 10% H2SO4-EtOH test. The molecular formula was deduced from a pseudo-molecular ion [M + H]+ at m/z 331.3816 in the HR-ESI-MS (calcd. for C19H23O5, 331.3829), which was in agreement with the 1H-NMR, 13C-NMR and DEPT spectra (Table 1). The IR spectrum showed characteristic absorption bands for hydroxyl group (3,407 cm−1), δ-lactone carbonyl (1,710 cm−1), α,β-unsaturated ketone (1,672 cm−1) and furan (874 cm−1) functions. Additionally, a strong absorption bond at 238 nm in the UV spectrum also suggested the presence of an α,β-unsaturated ketone group.
The 1H-, 13C-NMR and DEPT spectra of compound 1 (Table 1) revealed 19 carbons, consisting of two methyls, four methylenes, seven methines, and six quaternary carbons. Taking into account the nine degrees of unsaturation, compound 1 should include four rings. Careful analysis of its 1H- and 13C-NMR data strongly suggested that the compound exhibited typical clerodane diterpenoid signals. The characteristic 1H- and 13C-NMR signals of 1 revealed the existence of a β-substituted furan ring (δ 6.42 s, 7.43 s and 7.45 s; δ 108.4, 143.8, 139.6, 125.0). The one proton double doublet at δ 5.42 (J = 12.4, 4.0 Hz) was assigned to the C-12 proton and two one-proton double doublets at δ 2.30 (J = 14.8, 4.0 Hz) and 1.73 (J = 14.8, 12.0 Hz) were attributed to the C-11eq and C-11ax protons, respectively. The presence of a carbinolic carbon was also evident from 13C-NMR signal at δ 70.6 (C-12). The two methyl groups at C-9 and C-5 were observed as three proton singlets at δ 1.30 and 0.96, respectively. The signals at δ 2.30 and 2.20 were assigned to the protons at C-8 and C-10, and the C-6 and C-7 methylene protons resonating at δ 2.40 (m), 1.19 (dt, J = 14.0, 4.0 Hz) and 2.25 (m), 1.61 (m), respectively.
Table 1.
1H- and 13C-NMR data of 1 in CDCl3. (1H at 400 and 13C at 100 MHz; J in Hz).
| Position | δC | DEPT | δH | HMBC |
|---|---|---|---|---|
| 1 | 20.8 | CH2 | 2.87 (m) | C-3, 5, 9, 10 |
| 2.30 (m) | ||||
| 2 | 112.4 | CH | 5. 86 (m ) | C-3, 4, 10 |
| 3 | 145.7 | C | ||
| 4 | 198.9 | C | ||
| 5 | 44.3 | C | ||
| 6 | 29.4 | CH2 | 2.40 (m) | C-8, 19 |
| 1.19 (dt, 14, 4.0 Hz) | ||||
| 7 | 19.2 | CH2 | 2.25 (m) | C-5, 9, 17 |
| 1.61 (m) | ||||
| 8 | 49.1 | CH | 2.30 (m) | C-6, 10 |
| 9 | 36.5 | C | ||
| 10 | 44.6 | CH | 2.20 (m) | C-1, 2, 4, 5, 6, 8, 11 |
| 11 | 40.8 | CH2 | 2.30 (dd, 14.8, 4.0 Hz) | C-8, 10, 12, 13 |
| 1.73 (dd, 14.8 12.0 Hz) | ||||
| 12 | 70.3 | CH | 5.42 (dd, 12.4, 4.0 Hz) | C-13, 14, 16 |
| 13 | 125.0 | C | ||
| 14 | 108.4 | CH | 6.42 (s) | C-13, 15, 16 |
| 15 | 143.8 | CH | 7.43 (s) | C-13, 14, 16 |
| 16 | 139.6 | CH | 7.47 (s) | C-13, 14, 15 |
| 17 | 171.6 | C | ||
| 19 | 28.7 | CH3 | 1.30 (s) | C-4, 5, 6, 10 |
| 20 | 26.9 | CH3 | 0.96 (s) | C-8, 9, 10, 11 |
The 1H‑NMR and 13C‑NMR data of 1 are very similar to those of tinocallone C [9] that has been isolated from the roots of Tinospora capillipes. The main difference between these two compounds is the chemical shifts of C-2, C-3, and C-4 in ring A in the 1H-NMR and 13 C-NMR spectra, which are δ 112.4 (C-2), 145.7 (C-3), 198.9 (C-4), and δ 5.86 (m, H-2) in compound 1, and δ 145.5 (C-2), 128.3 (C-3), 200.8 (C-4), and δ 6.87 (m, H-2), 5.87 (dd, J = 10.2, 2.2 Hz, H-3) in tinocallone C [9], indicating that C-3 was substituted by hydroxyl group. In the HMBC spectrum (Figure 2), the correlations between H-2 (δ 5.86, m) and C-4 (δ 198.9), CH3-19 (δ 1.30 s) and C-4, H-1 (δ 2.87, 2.30, each m) and C-3 (δ 145.7), H-2 (δ 5.86, m) and C-3(δ 145.7), further confirmed the hydroxyl group at C-3. The position of γ-lactone group was also confirmed by the HMBC correlations observed from H-12 (δ 5.42) to C-13 (δ 125.0), C-14 (δ 108.4) and C-16 (δ 139.6) in the HMBC spectrum. The relative configuration of 1 was deduced by a ROESY analysis. The key correlation between CH3-9 and H-8 indicated that these were on the same orientation of the molecule, and were tentatively assumed as β-oriented. Similarly, the α-orientations of H-10, H-12 and CH3-5 were elucidated from the correlations between H-10 and CH3-5, and H-10 and H-12. The relative configuration of these positions remained the same as those in tinocallone C [9]. The spectral data of 1 were completely assigned using HSQC, 1H-1H COSY, HMBC and ROESY experiments. Thus, on the basis of above spectral data, compound 1 was identified as a new 18-norclerodane diterpenoid and named sagitone (Figure 2).
Figure 2.
The key HMBC correlations of compound 1.
Figure 2.
The key HMBC correlations of compound 1.

3. Experimental
3.1. General
All reagents were analytical grade and water was distilled twice. TLC was preformed with silica gel GF254 (Marine Chemical Industry Factory, Qingdao, China), and the spots were visualized by spraying with 10% H2SO4/EtOH reagent. Column chromatography was performed using silica gel (Marine Chemical Industry Factory, Qingdao, China), reverse-phase C18 silica gel (Merck, Germany) and Sephadex LH-20 (Sigma). Melting points were measured with an X-4 melting point apparatus and are uncorrected. Optical rotations were recorded on a Perkin-Elmer 241 polarimeter. UV spectra were obtained on a Perkin-Elmer Lambda 900 UV/VIS/NIR spectrophotometer. IR spectra were obtained on a Perkin-Elmer 577 spectrometer with KBr pellets. NMR Spectra were recorded on a Bruker AV-400 spectrometer (1H, 400 MHz; 13C, 100 MHz), and chemical shifts are presented as values relative to tetramethylsilane as an internal standard. Low-resolution electrospray-ionization mass spectrometry (ESI-MS) and HR-ESI-MS were recorded on a Finnigan LCQ-Advantage mass spectrometer and a VG Auto-Spec-3000 mass spectrometer.
3.2. Plant material
The dried roots of Tinospora sagittata var. yunnanensis were collected in November 2007 from Honghe County, Yunnan Province, China. The plant was authenticated by professor Shao-Bin Ma, Department of Biology, Yunnan University. A voucher specimen (TSY200711) was deposited in the herbarium of the School of Chemistry and Biotechnology, Yunnan University of Nationalities, Kunming, China.
3.3. Extraction and isolation
The dried roots (10.0 Kg) of T. sagittata var. yunnanensis were extracted with 95% ethanol (60 L × 3) for 48 h each at room temperature, and combined extract was concentrated under vacuum to give a brown residue (1,000 g). The residue was then suspended in water (1.5 L) and extracted with EtOAc (1.5 L × 5), and n-BuOH (1.5 L × 5) to give the corresponding EtOAc (250 g), n-BuOH extract (380 g), and water extract (350 g), respectively.
A part of EtOAc extract (75 g) was subjected to silica gel column chromatography and eluted with a gradient of petroleum ether-MeOH (50:1–0:1, v/v) to afford five fractions (Fr. 1–5). Fr. 3 (5.0 g) was chromatographed on Sephadex LH-20 column using CHCl3-MeOH (1:1, v/v) as eluent to give compound 1 (15 mg).
A part of the n-BuOH extract (50 g) was subjected to silica gel column chromatography using a stepwise gradient elution of CHCl3-MeOH (20:1–2:1) to obtain eight fractions (Fr. 1–8). Fr. 1 (8.0 g) was further purified over Sephadex LH-20 column eluted by MeOH, and then recrystallized in CHCl3 to give compound 2 (13 mg). Fr. 2 (6.2 g) was rechromatographed over silica gel column eluted by gradient EtOAc-MeOH (1:0–10:1) to afford compounds 5 (120 mg) and 6 (80 mg). Fr. 3 (4.7 g) was subsequently subjected to Sephadex LH-20 (eluted with MeOH) and ODS (eluted with 1% MeOH in water ) column chromatography, followed by purification over silica gel column chromatography with EtOAc-MeOH (1:0–6:1) as mobile phase to yield compound 3 (50 mg). Compound 4 was collected from Fr. 5 (5.8 g) by ODS (eluted with 20% MeOH) and silica gel column chromatography (eluted with EtOAc-MeOH; 1:0–8:1).
3.4. Characterization of compound 1
Sagitone (1): Amorphous powder, M.p. 185–186 °C; [α]25D= −4.8° (c = 0.68, CHCl3); UV (MeOH): λmax (log εmax): 238 (1.86), 325 (1.26) nm; IR (KBr): ν = 3,407, 3,148, 1,710, 1,672, 1,655, 1,503, 1,403, 1,300, 1,164, 1,082, 874 cm−1; ESI-MS: m/z = 331 [M + H]+, 683 [2M + Na]+; HR-ESI-MS: m/z = 331.3816 (calcd. 331.3829 for C19H23O5, [M + H]+), 683.2856 [2M + Na]+; 1H- and 13C-NMR: see Table 1.
3.5. Bioassay
Inhibition of cell-growth activity was determined by a MTT assay using human chronic myelogenous leukemia cells (K562) and human promyelocytic leukemia cells (HL-60) as previously described [10]. cis-Diamminedichloroplatinum (DDP) was used as a positive control. None of the compounds showed any obvious cytotoxic effect against cancer cell lines K562 and HL-60 at a concentration of 10 μM.
4. Conclusions
Repeated column chromatography (including normal-phase and reverse-phase silica gel, and Sephadex LH-20) of the dry roots of T. sagittata var. yunnanensis has led to the isolation of a new clerodane-type diterpenoid, named sagitone (1), together with the five known diterpenoids columbin (2), palmatoside C (3), fibleucin (4), tinophylloloside (5), and epitinophylloloside (6). The structure of the new compound 1 was determined by spectroscopic methods including 1D NMR, 2D NMR and MS experiment, and the structures of the known compounds including 2~6 were identified by comparing their NMR data with those of ones in the literature. None of the compounds showed any significant cytotoxic activity against the cancer cell lines K562 and HL-60 at a concentration of 10 μM.
Acknowledgements
This investigation was financially supported by the Key Project of Chinese Ministry of Education (No. 209116) and the Science Foundation of the Education Department of Yunnan Province (No. 07Y41403). We are grateful to School of Chemistry and Biotechnology, Yunnan Nationalities University for measuring NMR and MS spectra. We also thank Key Laboratory of Medicinal Chemistry for Natural Resource, Ministry of Education, Yunnan University for the cell cultivation and bioactivity tests.
- Samples Availability: Samples of compounds 1-6 are available from the authors.
References and Notes
- Hanson, J.R. Diterpenoids. Nat. Prod. Rep. 2007, 24, 1332–1341. [Google Scholar] [CrossRef]
- Castro, A.; Coll, J. Neo-clerodane diterpenoids from Verbenaceae: Structural elucidation and biological activity. Nat. Prod. Commun. 2008, 3, 1021–1031. [Google Scholar]
- Coll, J.; Tandron, Y.A. Neo-clerodane diterpenoids from Ajuga: Structural elucidation and biological activity. Phytochem. Rev. 2007, 7, 25–49. [Google Scholar] [CrossRef]
- Kabouche, A.; Kabouche, Z. Bioactive diterpenoids of Salvia species. Stud. Nat. Prod. Chem. 2008, 35, 753–834. [Google Scholar] [CrossRef]
- Maurya, R.; Wazir, V.; Kapil, R.S. Biotherapeutic diterpene glucosides from Tinospora species. J. Indian Chem. Soc. 1994, 71, 361–364. [Google Scholar]
- Pathak, S.K.; Jain, D.C.; Sharma, R.P. Chemistry and biological activities of the Genera Tinospora. Pharm. Biol. 1995, 33, 277–287. [Google Scholar] [CrossRef]
- Jiangsu New Medical College, The Dictionary of Traditional Chinese Medicine; People's Publishing House: Shanghai, China, 1986; pp. 1393–1394.
- Cheng, C.M.; Dai, Y.; Huang, X.Z.; Zhu, Y.; Dai, J.H.; Liu, X.F.; Wang, J. Chemical constituents from roots of Tinospora sagittata var. yunnanensis. Chin. Tradit. Herb. Drug. 2010, 41, 689–692. [Google Scholar]
- Song, C.Q.; Xu, R.S. New clerodane diterpenoids from Tinospora capillipes. Chin. Chem. Lett. 1992, 3, 185–188. [Google Scholar]
- Fu, G.M.; Wang, Y.H.; Gao, S.; Tang, M.H.; Yu, S.S. Five new cytotoxic triterpenoid saponins from the roots of Symplocos chinensis. Planta Med. 2005, 71, 666–672. [Google Scholar] [CrossRef]
© 2010 by the authors; licensee MDPI, Basel, Switzerland. This article is an open access article distributed under the terms and conditions of the Creative Commons Attribution license (http://creativecommons.org/licenses/by/3.0/).