Abstract
A series of novel 1,4-dihydrobenzo[1,2,4][e]triazines bearing an acetyl or ester moiety as a functional group at the C(3) atom of the 1,2,4-triazine ring were synthesized. The synthetic protocol is based on an oxidative cyclization of functionally substituted amidrazones in the presence of DBU and Pd/C. It was found that the developed approach is suitable for the preparation of 1,4-dihydrobenzo[e][1,2,4]triazines, but the corresponding Blatter radicals were isolated only in few cases. In addition, a previously unknown dihydrobenzo[e][1,2,4]triazolo[3,4-c][1,2,4]triazine tricyclic open-shell derivative was prepared. Studies of thermal behavior of the synthesized 1,4-dihydrobenzo[1,2,4][e]triazines revealed their high thermal stability (up to 240–250 °C), which enables their application potential as components of functional organic materials.
1. Introduction
A creation of novel functional organic materials remains one of the urgent goals in modern chemistry and materials science [1,2,3,4]. Such materials constitute a large variety of usually conjugated organic compounds with different chemical and physical properties. Recent achievements of numerous research groups worldwide confirmed that an incorporation of a nitrogen heteroaromatic motif usually enhances the quality of materials compared to their carbocyclic analogues [5,6,7].
Among nitrogen heterocyclic species, 1,4-dihydrobenzo[e][1,2,4]triazine motif is of special importance due to a wide range of applications inherent to compounds derived thereof. Such fused heterocyclic systems display various pharmacological activities, including antibacterial and antiproliferative activity [8,9,10]. Moreover, dihydrobenzo[e][1,2,4]triazines are direct precursors to the corresponding nitrogen-centered benzotriazinyl radicals, also known as Blatter radicals [11,12,13], which possess ferromagnetic and antiferromagnetic properties [14,15,16,17], and are valuable components of functional organic materials used in molecular grafting [18], preparation of liquid crystals [19,20], molecular electronics and spintronics [21,22], and for some other applications [23,24,25]. Therefore, synthetic strategies toward the construction of the 1,4-dihydrobenzo[e][1,2,4]triazine scaffold need to be constantly explored.
There are a number of commonly used synthetic methods for the assembly of the 1,4-dihydrobenzo[e][1,2,4]triazine framework from various acyclic precursors [8,12]. The most widely explored protocol is based on an oxidative cyclization of (arylamino)hydrazones, also known as amidrazones. An interesting feature of this approach is its regiodiversity: RuCl3-mediated oxidation of amidrazones affords dihydrobenzo[e][1,2,4]triazines [26], while DBU-catalyzed aerial oxidation in the presence of Pd/C results in a direct formation of stable Blatter radicals (Scheme 1a) [12,27,28,29]. The latter protocol is generally used, and usually provides benzotriazinyl radicals in moderate to good yields, although only aromatic and heteroaromatic substituents are known to be installed onto the 1,2,4-triazine ring [11,12,27]. In this regard, a thorough investigation of scope and limitations of this approach for an assembly of the 1,4-dihydrobenzo[e][1,2,4]triazine core (either as Blatter radical or not) bearing additional functional groups remains relevant. It should be noted that electron-withdrawing groups at the fused benzo[1,2,4]triazine system may significantly affect both the reactivity and stability of Blatter radicals, and may be used for tuning functional properties of the resulted compounds. Herein, we disclose a divergent approach toward the construction of 1,4-dihydrobenzo[e][1,2,4]triazines bearing functional moieties at the triazine ring via DBU-catalyzed aerial oxidation of amidrazones in the presence of Pd/C (Scheme 1b).
Scheme 1.
Methods for the construction of the 1,4-dihydrobenzo[e][1,2,4]triazine scaffold: (a) known methods and (b) method described in this manuscript.
2. Results and Discussion
Our investigations towards the desired approach for the formation of 1,4-dihydrobenzo[e][1,2,4]triazines began from the preparation of a wide set of amidrazones 1. The synthesis of compound 1 is based on a simple three-step reaction sequence starting from readily available amine 2. It includes diazotization of amine 2, followed by the introduction of formed (het)arene diazonium salts 3 into the Japp–Klingemann reaction with chloroacetylacetone or chloroacetoacetic ester. This one-pot procedure enables an easy preparation of functionalized chlorohydrazone 4 bearing an acetyl or an ester moiety. Subsequent treatment of compound 4 with anilines afforded a series of amidrazones 1 (Scheme 2).
Scheme 2.
Synthesis of amidrazones 1a–l.
To optimize the reaction conditions for the desired synthesis of 1,4-dihydrobenzo[e][1,2,4]triazines, amidrazone 1a was selected as a model substrate. Various bases, additives, solvents, temperatures and reaction times were varied (Table 1). It was found that conditions used in the fundamental work by Koutentis et al. [27] for the synthesis of Blatter radicals (a combination of catalytic amounts of DBU and 5% Pd/C) were inappropriate in the case of amidrazone 1a (Table 1, entry 1), and neither benzotriazine 5a nor Blatter radical 6a were formed. The same result was observed upon using a stoichiometric amount of DBU in the absence of Pd/C (entry 2). An increase of the amount of Pd/C up to 15 mol.% catalyzed the oxidative cyclization of amidrazone 1a, but only benzotriazine 5a was formed as a sole product (entry 3). An increase of the reaction temperature decreased the reaction time, but also slightly decreased the yield of 5a (entry 4). More promising results were obtained upon utilization of two equiv. of DBU: target product 5a was obtained in a yield of 69% (entry 5). Further replacements of base, additive or solvent were less effective and provided benzotriazine 5a in poor yields (entries 6–11). Therefore, the optimal conditions for the synthesis of benzotriazine 5a were using two equiv. of DBU, 15 mol.% of 5% Pd/C in CH2Cl2 at 25 °C for 8 h (entry 5). Interestingly, in all optimization experiments, the formation of Blatter radical 6a was not observed, despite in all cases chromatography being used to isolate reaction products. Arguably, aerial oxidation of benzotriazine 5a does not proceed under these conditions, or acetyl-substituted Blatter radical 6a is substantially destabilized by the electron-withdrawing effect of the acetyl moiety. Our attempts to oxidize compound 5a to the Blatter radical 6a using MnO2 or NaIO4 or upon prolonged refluxing in o-xylene were unsuccessful and returned the starting material without decomposition, confirming the resistance of the thus obtained 1,4-dihydrobenzo[e][1,2,4]triazine 5a towards oxidation.
Table 1.
Optimization of oxidative cyclization of amidrazone 1a a.
To further evaluate the scope of the observed transformation, other acetyl-substituted amidrazones 1b–h were subjected to the optimized reaction conditions. Aside from dichloro derivative 5a, benzotriazine 5b bearing electron-donor p-tolyl substituent was formed in a good yield. Importantly, amidrazones 1c–e incorporating electron-withdrawing p-nitrophenyl moiety either at the hydrazone or amine motifs also smoothly underwent cyclization to form corresponding heterocyclic products 5c–e (Scheme 3). Similar results were obtained in the case of 1,2,5-oxadiazolyl substituted substrates 1f–h, which confirmed the lack of influence of electronic effects of aromatic or heteroaromatic subunits on the cyclization outcome. In addition, 1,4-dihydrobenzo[e][1,2,4]triazines 5i,j, bearing an ester functionality at the C(3) carbon atom of the heterocyclic moiety and electron-withdrawing p-nitrophenyl fragments at the N(1) nitrogen atom, were obtained in fair yields under the same conditions. All compounds were fully characterized by IR, 1H and 13C NMR spectroscopy (see Supplementary Materials), as well as high-resolution mass spectrometry and elemental analysis.
Scheme 3.
Synthesis of benzotriazines 5a–j using the conditions indicated in the entry 5 of Table 1.
More intriguing results were obtained upon oxidative cyclization of amidrazones 1k and 1l. Introduction of substrate 1k into the studied transformation provided two compounds 5k and 6k in a ratio 2:1, both of which possessed a formyl functionality as a result of oxidation of one of the methyl groups in the p-tolyl motif (Scheme 4). According to the 1H and 13C NMR spectroscopy data, the structure of the major product was assigned to as benzo[1,2,4]triazine 5k. At the same time, the structure of compound 6k was determined as a Blatter radical, which was confirmed by the presence of the multiplet signal in the EPR spectrum and HRMS data.
Scheme 4.
Oxidative cyclization of amidrazone 1k using the conditions indicated in entry 5 of Table 1.
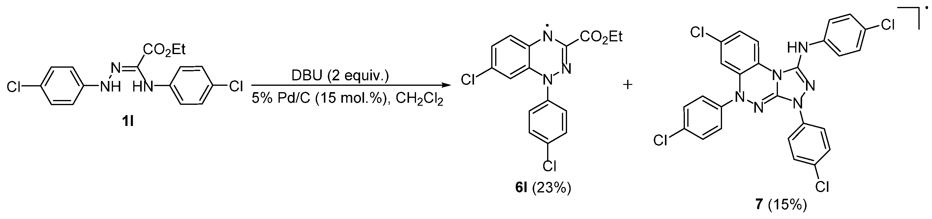
Oxidative cyclization of amidrazone 1l also resulted in the formation of two compounds 6l and 7 in moderate yields, although both of these derivatives were found to possess an unpaired electron (Scheme 5). Based on the EPR and HRMS data, the structure of 6l was assigned as the corresponding Blatter radical. The formation of Blatter radicals from amidrazones 1k,l is arguably attributed to the presence of electron-donating p-tolyl and p-chlorophenyl moieties at the N(1) atom of the benzo[1,2,4]triazine scaffold, while in the case of substrates 1i,j, the electron-withdrawing effect of the p-nitrophenyl substituent suppresses the oxidation to Blatter radicals. The structure of compound 7 was unambiguously confirmed by X-ray diffraction study and was characterized as dihydrobenzo[e][1,2,4]triazolo [3,4-c][1,2,4]triazine derivative (Figure 1). According to the EPR spectrum, compound 7 also represents an organic radical, although the corresponding signal is broadened due to the delocalization of the unpaired electron in the tricyclic system.
Scheme 5.
Oxidative cyclization of amidrazone 1l using the conditions indicated in entry 5 of Table 1.
Figure 1.
The crystal structure of compound 7. All atoms are shown as probability ellipsoids of atomic displacements (p = 50%).
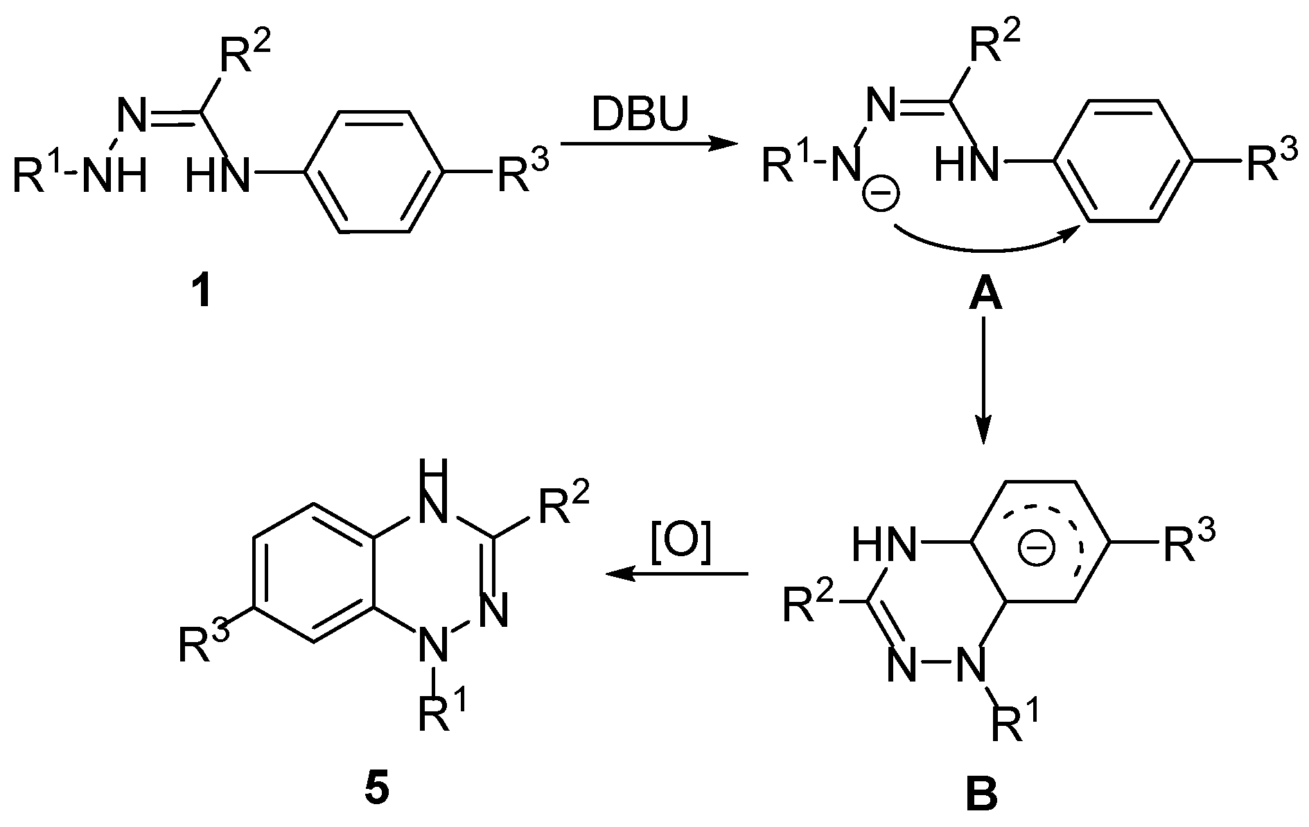
A plausible mechanism for the formation of benzo[1,2,4]triazines 5 is depicted in Scheme 6. At the first step, DBU acts as a strong base to deprotonate the N-NH-fragment and the generated anion A undergoes intramolecular nucleophilic attack onto the benzene ring with the formation of anionic σ-complex B. Further oxidation of intermediate A furnishes the formation of benzo[1,2,4]triazine 5.
Scheme 6.
A plausible mechanism for the formation of benzo [1,2,4]triazines 5.
For the formation of the previously unknown compound 7, the following mechanism was proposed (Scheme 7). Introduction of amidrazone 1l into oxidative cyclization under standard reaction conditions affords benzo[1,2,4]triazine 5l, which tautomerizes to the N(2)H form 5l’ with subsequent nucleophilic addition of the amidrazone anion A. Intermediate C undergoes cyclization to the perhydro[1,2,4]triazolo[3,4-c][1,2,4]triazine derivative D. Hydrolysis of both ester moieties in D under traces of moisture affords intermediate E, which undergoes oxidative decarboxylation to the final dihydrobenzo[e][1,2,4]triazolo[3,4-c][1,2,4]triazine derivative 7.
Scheme 7.
A plausible mechanism for the formation of compound 7.
To further elucidate the synthetic utility of the developed protocol, we conducted a set of experiments on recycling of the Pd/C catalyst on the example of oxidative cyclization of amidrazone 1a. After the reaction was completed, the catalyst was filtered off, washed with organic solvents, and dried at 100 °C for 24 h until the constant mass in each case. It was found that the catalyst could be reused at least 5 times without loss of activity, which was confirmed by nearly equal yields of benzo[1,2,4]triazine 5a (Scheme 8).
Scheme 8.
Recyclability of the Pd/C catalyst.
Since benzo[1,2,4]triazine derivatives are of special importance in the preparation of functional organic materials, we also studied the thermal behavior of the synthesized compounds using differential scanning calorimetry (DSC). Thermal stability is a crucial parameter which strictly defines the applicability of materials in a construction of functional devices or molecular grafting. To our delight, all synthesized benzo[1,2,4]triazines, except formyl-derived Blatter radical 6k and tricycle 7, were thermally stable up to 240–250 °C (for DSC curves, see SI). It should also be pointed out that no phase transitions or mass loss were observed during DSC studies, which strongly support the application potential of the synthesized compounds in material science.
3. Conclusions
In summary, a divergent approach toward the construction of 1,4-dihydrobenzo[e][1,2,4]triazines bearing functional moieties at the triazine ring via DBU-catalyzed aerial oxidation of amidrazones in the presence of Pd/C was realized. It was found that the synthesized 1,4-dihydrobenzo[e][1,2,4]triazines are substantially resistible towards various oxidants, which is attributed to the strong electron-withdrawing effect of the functional groups incorporated in the heterocyclic system. In addition, the dihydrobenzo[e][1,2,4]triazolo[3,4-c][1,2,4]triazine open-shell compound was also prepared for the first time as a minor product. Recyclability of the Pd/C catalyst was also demonstrated by conducting the oxidative cyclization for at least five times on the same substrate. The majority of the synthesized fused heterocyclic systems exhibited high thermal stability, which further enables their application potential in material science and related fields.
4. Materials and Methods
General. All reactions were carried out in well-cleaned oven-dried glassware with magnetic stirring. 1H and 13C NMR spectra were recorded on a Bruker AM-300 (300.13 and 75.47 MHz, respectively) spectrometer and referenced to a residual solvent peak. The chemical shifts are reported in ppm (δ); multiplicities are indicated by s (singlet), d (doublet), t (triplet), q (quartet), m (multiplet) and br (broad). Coupling constants, J, are reported in Hertz. The IR spectra were recorded on a Bruker “Alpha” spectrometer in the range 400–4000 cm−1 (resolution 2 cm−1). Elemental analyses were performed by the CHN Analyzer Perkin-Elmer 2400. High resolution mass spectra were recorded on a Bruker microTOF spectrometer with electrospray ionization (ESI). All measurements were performed in a positive (+MS) ion mode (interface capillary voltage: 4500 V) with scan range m/z: 50–3000. External calibration of the mass spectrometer was performed with Electrospray Calibrant Solution (Fluka). A direct syringe injection was used for all analyzed solutions in MeCN (flow rate: 3 μL min−1). Nitrogen was used as nebulizer gas (0.4 bar) and dry gas (4.0 L min−1); interface temperature was set at 180 °C. All spectra were processed by using Bruker DataAnalysis 4.0 software package. Thermal behaviour of the synthesized compounds was studied using differential scanning calorimeter Netzsch DSC 204 HP. Analytical thin-layer chromatography (TLC) was carried out on Merck 25 TLC silica gel 60 F254 aluminum sheets. The visualization of the TLC plates was accomplished with a UV light. All solvents were purified and dried using standard methods prior to use. All standard reagents were purchased from Aldrich or Acros Organics and used without further purification. Initial chlorohydrazones 4 were prepared according to previously published procedures [30]. Preparation of amidrazones 1 was accomplished similarly to the procedure reported in [31].
Synthesis of amidrazones 1a-l (general procedure). Et3N (1 mL, 7 mmol) was added to a magnetically stirred mixture of the corresponding chlorohydrazone 4 (5 mmol) and substituted aniline (5 mmol) in absolute EtOH (10 mL) at 20 °C. The reaction mixture was refluxed until the consumption of substrate 4 (TLC monitoring, eluent—CHCl3), and then cooled to 20 °C. If the crude product precipitated from the solution (in the case of compounds 1a,b,d,h,k), it was filtered off, washed with water (2 × 5 mL) and 50% EtOH (1 × 4 mL), dried in air and recrystallized from 95% EtOH. If the precipitate did not form, the solvent was evaporated to dryness and the residue was triturated with water until the precipitation did not occur. The solid formed was filtered off, washed with water (2 × 5 mL) and 50% EtOH (1 × 4 mL), dried in air, and recrystallized from 95% EtOH.
1-(4-Chlorophenylamino)-1-(4-chlorophenylhydrazono)-2-propanone (1a). Yellow solid, yield 1.47 g (91%), mp 102–103 °C, Rf 0.52 (CHCl3). IR (KBr): 3354, 3281, 1660, 1581, 1489, 1361, 1091 cm−1. 1H NMR (300 MHz, [D6]DMSO): 2.50 (s, 3H), 6.58 (d, J 8.5 Hz, 2H), 7.20 (d, J 8.5 Hz, 2H), 7.33 (s, 4H), 8.02 (s, 1H), 9.91 (s, 1H). 13C NMR (75.5 MHz, [D6]DMSO): 24.9, 115.5, 117.3, 122.7, 124.5, 128.3, 128.9, 135.9, 141.3, 142.8, 192.9. Anal. calcd. for C15H13Cl2N3O (%): C, 55.92; H, 4.07; N, 13.04. Found (%): C, 56.06; H, 4.24; N, 12.81.
1-(4-Chlorophenylamino)-1-(4-tolylhydrazono)-2-propanone (1b). Yellowish solid, yield 1.06 g (74%), mp 133–134 °C, Rf 0.48 (CHCl3). IR (KBr): 3349, 3320, 1672, 1582, 1523, 1495, 1350, 1184 cm−1. 1H NMR (300 MHz, CDCl3): 2.34 (s, 3H), 2.62 (s, 3H), 6.57 (d, J 8.5 Hz, 2H), 7.04 (d, J 8.2 Hz, 2H), 7.14 (d, J 8.2 Hz, 2H), 7.22 (d, J 8.5 Hz, 2H), NH protons are significantly broadened. 13C NMR (75.5 MHz, CDCl3): 20.7, 23.9, 113.9, 118.7, 126.9, 129.2, 129.9, 131.9, 134.9, 138.0, 140.5, 193.8. Anal. calcd. for C16H16ClN3O (%): C, 63.68; H, 5.34; N, 13.92. Found (%): C, 63.52; H, 5.52; N, 13.69.
1-(4-Nitrophenylamino)-1-phenylhydrazono-2-propanone (1c). Yellow solid, yield 1.02 g (69%), mp 167–168 °C, Rf 0.54 (CHCl3). IR (KBr): 3357, 3277, 1674, 1601, 1555, 1508, 1463, 1339, 1111, cm−1. 1H NMR (300 MHz, CDCl3): 2.64 (s, 3H), 6.64 (d, J 8.8 Hz, 2H), 7.07 (t, J 7.3 Hz, 1H), 7.17–7.21 (m, 2H), 7.36 (t, J 7.3 Hz, 2H), 8.14 (d, J 8.8 Hz, 2H), NH protons are significantly broadened. 13C NMR (75.5 MHz, CDCl3): 24.1, 114.3, 115.9, 123.2, 125.7, 129.6, 133.6, 141.7, 142.3, 146.0, 193.6. Anal. calcd. for C15H14N4O3 (%): C, 60.40; H, 4.73; N, 18.78. Found (%): C, 60.23; H, 4.90; N, 18.52.
1-(4-Nitrophenylhydrazono)-1-phenylamino-2-propanone (1d). Yellowish solid, yield 1.00 g (67%), mp 162–163 °C, Rf 0.47 (CHCl3). IR (KBr): 3352, 3274, 1677, 1594, 1496, 1328, 1164, 1108 cm−1. 1H NMR (300 MHz, CDCl3): 2.66 (s, 3H), 6.74 (d, J 8.8 Hz, 2H), 7.06–7.11 (m, 4H), 7.29–7.35 (m, 2H), 7.51 (s, 1H), 8.18 (d, J 8.8 Hz, 2H), another NH proton is significantly broadened. 13C NMR (75.5 MHz, CDCl3): 24.0, 112.9, 118.9, 123.3, 126.0, 129.5, 137.2, 138.0, 141.7, 148.0, 194.2. Anal. calcd. for C15H14N4O3 (%): C, 60.40; H, 4.73; N, 18.78. Found (%): C, 60.62; H, 4.66; N, 18.55.
1-(4-Nitrophenylhydrazono)-1-(4-tolylamino)-2-propanone (1e). Yellowish solid, yield 1.29 g (83%), mp 154–155 oC, Rf 0.56 (CHCl3). IR (KBr): 3384, 3258, 1672, 1592, 1513, 1479, 1327, 1158, 1108 cm−1. 1H NMR (300 MHz, CDCl3): 2.34 (s, 3H), 2.65 (s, 3H), 6.68 (d, J 8.7 Hz, 2H), 7.04 (d, J 7.7 Hz, 2H), 7.13 (d, J 7.7 Hz, 2H), 7.49 (br.s, 1H), 8.17 (d, J 8.7 Hz, 2H). 13C NMR (75.5 MHz, CDCl3): 20.8, 24.0, 112.7, 119.5, 126.0, 130.0, 133.3, 135.3, 137.4, 141.5, 148.1, 194.2. Anal. calcd. for C16H16N4O3 (%): C, 61.53; H, 5.16; N, 17.94. Found (%): C, 61.75; H, 5.01; N, 17.71.
1-(4-Chlorophenylamino)-1-[4-(3-fluorophenyl)-1,2,5-oxadiazolyl-3-yl]hydrazono-2-propanone (1f). Creme solid, yield 1.31 g (70%), mp 174–175 °C, Rf 0.17 (CHCl3). IR (KBr): 3322, 1691, 1594, 1550, 1483, 1089 cm−1. 1H NMR (300 MHz, [D6]DMSO): 2.28 (s, 3H), 6.75 (d, J 5.8 Hz, 2H), 7.28–7.41 (m, 6H), 8.57 (s, 1H), 9.56 (s, 1H). 13C NMR (75.5 MHz, [D6]DMSO): 24.6, 115.2 (d, J 23.8 Hz), 117.2 (d, J 20.9 Hz), 119.8, 124.4 (d, J 2.6 Hz), 124.7, 127.4 (d, J 9.0 Hz), 128.1, 130.7 (d, J 8.4 Hz), 138.6, 140.4, 146.5 (d, J 3.1 Hz), 153.9, 161.9 (d, J 245.2 Hz), 193.7. Anal. calcd. for C17H13ClFN5O2 (%): C, 54.63; H, 3.51; N, 18.74. Found (%): C, 54.39; H, 3.39; N, 18.63.
1-[4-(3-Chlorophenyl)-1,2,5-oxadiazolyl-3-yl]hydrazono-1-(4-chlorophenylamino)-2-propanone (1g). Creme solid, yield 1.23 g (63%), mp 162–163 °C, Rf 0.15 (CHCl3). IR (KBr): 3316, 1687, 1594, 1549, 1506, 1270, 1077 cm−1. 1H NMR (300 MHz, [D6]DMSO): 2.25 (s, 3H), 6.74 (d, J 8.0 Hz, 2H), 7.29 (d, J 8.0 Hz, 2H), 7.44–7.50 (m, 2H), 7.60–7.65 (m, 2H), 8.54 (s, 1H), 9.68 (s, 1H). 13C NMR (75.5 MHz, [D6]DMSO): 24.6, 119.6, 124.6, 126.9, 127.5, 128.0, 128.2, 130.1, 130.4, 133.4, 138.7, 140.4, 146.5, 154.0, 193.7. Anal. calcd. for C17H13Cl2N5O2 (%): C, 52.33; H, 3.36; N, 17.95. Found (%): C, 52.49; H, 3.23; N, 17.73.
1-(4-Chlorophenylamino)-1-[(4-cyclohexyl-1,2,5-oxadiazol-3-yl)hydrazono]-2-propanone (1h). Slightly orange solid, yield 0.99 g (55%), mp 97–98 °C, Rf 0.38 (CHCl3). IR (KBr): 3325, 2933, 2856, 1691, 1586, 1495, 1402, 1357, 1088 cm−1. 1H NMR (300 MHz, [D6]DMSO): 1.27–1.43 (m, 5H), 1.62–1.90 (m, 5H), 2.49 (s, 3H), 3.03 (t, J 7.5 Hz, 1H), 6.70 (d, J 6.8 Hz, 2H), 7.24 (d, J 6.8 Hz, 2H), 8.45 (s, 1H), 9.74 (s, 1H). 13C NMR (75.5 MHz, [D6]DMSO): 25.1, 25.3, 25.4, 30.7, 33.0, 119.4, 124.2, 128.0, 139.2, 139.8, 152.1, 153.8, 193.4. Anal. calcd. for C17H20ClN5O2 (%): C, 56.43; H, 5.57; N, 19.36. Found (%): C, 56.67; H, 5.45; N, 19.02.
Ethyl 2-(4-chlorophenylamino)-2-(4-nitrohydrazono)acetate (1i). Orange solid, yield 1.50 g (82%), mp 198–199 °C, Rf 0.25 (CHCl3). IR (KBr): 3403, 3278, 1708, 1591, 1532, 1489, 1322, 1110, 1009 cm−1. 1H NMR (300 MHz, CDCl3): 1.50 (t, J 7.1 Hz, 3H), 4.51 (q, J 7.1 Hz, 2H), 7.03 (d, J 8.8 Hz, 2H), 7.33 (d, J 8.7 Hz, 2H), 7.49 (d, J 8.7 Hz, 2H), 8.18 (d, J 8.8 Hz, 2H), 11.19 (s, 1H), another NH proton is significantly broadened. 13C NMR (75.5 MHz, CDCl3): 14.2, 63.4, 111.5, 113.2, 119.6, 126.0, 126.4, 129.1, 129.6, 137.9, 149.4, 159.4. Anal. calcd. for C16H15ClN4O4 (%): C, 52.97; H, 4.17; N, 15.44. Found (%): C, 53.20; H, 4.01; N, 15.22.
Ethyl 2-(4-nitrophehylhydrazono)-2-(4-tolylamino)acetate (1j). Orange solid, yield 1.23 g (72%), mp 162–163 °C, Rf 0.27 (CHCl3). IR (KBr): 3410, 3282, 1709, 1605, 1532, 1491, 1321, 1113 cm−1. 1H NMR (300 MHz, CDCl3): 1.45 (t, J 6.7 Hz, 3H), 2.37 (s, 3H), 4.45 (q, J 6.7 Hz, 2H), 6.71 (d, J 7.7 Hz, 1H), 7.13 (d, J 7.7 Hz, 1H), 7.20 (d, J 8.0 Hz, 1H), 7.42 (d, J 8.0 Hz, 1H), 7.65 (br s, 1H), 11.04 (br s, 1H). 13C NMR (75.5 MHz, CDCl3): 14.2, 20.9, 63.3, 111.4, 112.9, 118.9, 119.0, 125.9, 126.3, 129.7, 130.1, 131.8, 132.5, 133.4, 135.4, 136.5, 140.0, 141.5, 148.4, 149.7, 159.42, 162.7. Anal. calcd. for C17H18N4O4 (%): C, 59.64; H, 5.30; N, 16.37. Found (%): C, 59.38; H, 5.54; N, 16.13.
Ethyl 2-(4-tolylamino)-2-(4-tolylhydrazono)acetate (1k). Brown solid, yield 1.01 g (65%), mp 69–70 °C, Rf 0.49 (CHCl3). IR (KBr): 3359, 3291, 1702, 1567, 1512, 1472, 1370, 1105, 1021 cm−1. 1H NMR (300 MHz, [D6]DMSO): 1.19 (t, J 7.0 Hz, 3H), 2.21 (s, 3H), 2.23 (s, 3H), 4.15 (q, J 7.0 Hz, 2H), 6.54 (d, J 8.1 Hz, 2H), 7.01 (d, J 8.1 Hz, 2H), 7.04–7.12 (m, 4H), 7.72 (s, 1H), 9.39 (s, 1H). 13C NMR (75.5 MHz, [D6]DMSO): 14.1, 14.4, 20.6, 62.1, 111.4, 119.0, 126.3, 129.7, 132.5, 135.4, 140.0, 148.4, 159.4, 162.7. Anal. calcd. for C18H21N3O2 (%): C, 69.43; H, 6.80; N, 13.49. Found (%): C, 69.26; H, 7.02; N, 13.22.
Ethyl 2-(4-chlorophenylamino)-2-(4-chlorophenylhydrazono)acetate (1l). Pale yellow solid, yield 1.49 g (85%), mp 94–95 °C, Rf 0.52 (CHCl3). IR (KBr): 3351, 3299, 1704, 1595, 1567, 1490, 1278, 1091 cm−1. 1H NMR (300 MHz, CDCl3): 1.42 (t, 3H, J 7.0 Hz, CH3), 4.39 (q, 2H, J 7.0 Hz, CH2), 6.63 (d, J 8.4 Hz, 2H), 6.99–7.06 (m, 2H), 7.23–7.42 (m, 5H), 10.23 (br s, 1H, exchangeable proton). 13C NMR (75.5 MHz, CDCl3): 14.3, 62.2, 112.9, 114.0, 118.1, 119.0, 126.8, 129.0, 129.3, 129.8, 138.5, 163.3. Anal. calcd. for C16H15Cl2N3O2 (%): C, 54.56; H, 4.29; N, 11.93. Found (%): C, 54.35; H, 4.47; N, 11.65.
Synthesis of benzo[1,2,4[triazine derivatives 5–7 (general procedure). DBU (0.3 mL, 2 mmol) and 5% Pd/C (15 mol.%, 640 mg, 0.3 mmol) were added to a magnetically stirred mixture of amidrazone 1 (2 mmol) in CH2Cl2 (4 mL) at 25 °C. The reaction mixture was stirred at 25 °C until the consumption of starting amidrazone 1 (TLC monitoring, eluent—CHCl3), then Pd/C was filtered off and thoroughly washed with CH2Cl2 until the filtrate became completely colorless. The solvent was evaporated, and the residue was purified by preparative TLC (eluent—CHCl3).
3-Acetyl-7-chloro-1-(4-chlorophenyl)-1,4-dihydrobenzo[e][1,2,4]triazine (5a). Red solid, yield 0.442 g (69%), mp 198 °C, Td 254 °C, Rf 0.67 (CHCl3). IR (KBr): 3336, 1678, 1631, 1485, 1363, 1061 cm−1. 1H NMR (300 MHz, CDCl3): 2.41 (s, 3H), 6.27–6.31 (m, 2H), 6.40 (br s, 1H), 6.71 (dd, J 6.3, 1.9 Hz, 1H), 7.37–7.44 (m, 4H). 13C NMR (75.5 MHz, CDCl3): 23.7, 112.7, 114.3, 124.0, 124.3, 129.1, 129.6, 130.9, 131.3, 133.7, 141.0, 143.8, 191.1. HRMS (ESI) [M + H]+ m/z calcd. for C15H1135Cl2N3O.: 319.0266, found: 319.0274; calcd. for C15H1135Cl37ClN3O.: 321.0243, found: 321.0245.
3-Acetyl-7-chloro-1-(4-p-tolyl)-1,4-dihydrobenzo[e][1,2,4]triazine (5b). Purple solid, yield 0.461 g (77%), mp 170 °C, Td 255 °C, Rf 0.50 (CHCl3). IR (KBr): 3342, 1675, 1493, 1362, 1291, 1067 cm−1. 1H NMR (300 MHz, [D6]DMSO): 2.29 (s, 3H), 2.34 (s, 3H), 5.94 (s, 1H), 6.63–6.71 (m, 2H), 7.29 (br s, 4H), 8.53 (s, 1H). 13C NMR (75.5 MHz, [D6]DMSO): 20.5, 23.8, 110.8, 114.6, 123.1, 123.3, 126.7, 129.9, 132.4, 134.8, 135.1, 139.9, 144.6, 190.6. Anal. calcd. for C16H14ClN3O (%): C, 64.11; H, 4.71; N, 14.02. Found (%): C, 63.89; H, 4.88; N 13.78.
3-Acetyl-7-nitro-1-phenyl-1,4-dihydrobenzo[e][1,2,4]triazine (5c). Pale brown solid, yield 0.300 g (51%), Td 272 °C (decomposed without melting), Rf 0.27 (CHCl3). IR (KBr): 3334, 1679, 1573, 1506, 1371, 1315, 1087 cm−1. 1H NMR (300 MHz, [D6]DMSO): 2.29 (s, 3H), 6.68–6.71 (m, 3H), 7.34 (t, J 6.7 Hz, 1H), 7.45–7.60 (m, 4H), 9.24 (s, 1H). 13C NMR (75.5 MHz, [D6]DMSO): 23.7, 104.6, 112.3, 112.5, 122.0, 123.3, 126.3, 129.7, 133.7, 141.6, 141.7, 142.9, 143.3, 190.1. HRMS (ESI) Calcd. for: C15H12N4O3. [M.+ H]+: 296.0904, found: 296.0897.
3-Acetyl-1-(4-nitrophenyl)-1,4-dihydrobenzo[e][1,2,4]triazine (5d). Brown solid, yield 0.249 g (42%), mp 219 °C, Td 256 °C, Rf 0.47 (CHCl3). IR (KBr): 3349, 1682, 1585 1490, 1448, 1371, 1339, 1283, 1059 cm−1. 1H NMR (300 MHz, [D6]DMSO): 2.46 (s, 3H), 6.86–6.98 (m, 4H), 7.63 (d, J 9.1 Hz, 2H), 8.22 (d, J 9.1 Hz, 2H), 9.16 (s, 1H). 13C NMR (75.5 MHz, [D6]DMSO): 24.3, 114.7, 115.5, 116.4, 123.6, 125.4, 126.1, 127.4, 134.8, 140.3, 147.4, 147.7, 191.3. Anal. calcd. for C15H12N4O3 (%): C, 60.81; H, 4.08; N, 18.91. Found (%): C, 61.03; H, 3.94; N, 18.68.
3-Acetyl-1-(4-nitrophenyl)-7-methyl-1,4-dihydrobenzo[e][1,2,4]triazine (5e). Dark-brown solid, yield 0.415 g (67%), mp 252 °C, Td 252 °C, Rf 0.44 (CHCl3). IR (KBr): 3342, 1682, 1586, 1505, 1331, 1284, 1066 cm−1. 1H NMR (300 MHz, [D6]DMSO): 2.14 (s, 3H), 2.46 (s, 3H), 6.76–6.87 (m, 3H), 7.63 (d, J 9.2 Hz, 2H), 8.22 (d, J 9.2 Hz, 2H), 9.10 (s, 1H). 13C NMR (75.5 MHz, [D6]DMSO): 20.4, 24.3, 115.2, 115.3, 116.4, 125.4, 126.3, 127.3, 132.0, 132.9, 140.2, 147.4, 147.7, 191.4. Anal. calcd. for C16H14N4O3 (%): C, 61.93; H, 4.55; N, 18.06. Found (%): C, 61.65; H, 4.74; N, 17.82.
3-Acetyl-1-[4-(3-fluorophenyl)-1,2,5-oxadiazol-3-yl]-7-chloro-1,4-dihydrobenzo[e][1,2,4]triazine (5f). Orange solid, yield 0.379 g (51%), mp 159 °C, Td 254 °C, Rf 0.42 (CHCl3). IR (KBr): 3306, 1708, 1597, 1530, 1505, 1476, 1410, 1266 cm−1. 1H NMR (300 MHz, [D6]DMSO): 1.55 (s, 3H), 6.71 (d, J 8.3 Hz, 1H), 6.88 (dd, J 6.2, 2.1 Hz, 1H), 7.28 (br s, 1H), 7.36–7.42 (m, 1H), 7.57–7.65 (m, 3H), 9.05 (s, 1H). 13C NMR (75.5 MHz, [D6]DMSO): 22.7, 114.8, 115.2, 115.8 (d, J 23.6 Hz), 116.7 (d, J 20.9 Hz), 125.0, 125.1 (d, J 3.0 Hz), 126.8, 128.4, 128.6, 128.7, 130.4 (d, J 8.5 Hz), 131.3, 145.2, 148.7 (d, J 2.7 Hz), 152.9, 161.7 (d, J 244.5 Hz), 190.4. Anal. calcd. for C17H11ClFN5O2 (%): C, 54.92; H, 2.98; N, 18.84. Found (%): C, 54.70; H, 3.12; N, 18.57.
3-Acetyl-1-[4-(3-chlorophenyl)-1,2,5-oxadiazol-3-yl]-7-chloro-1,4-dihydrobenzo[e][1,2,4]triazine (5g). Red solid, yield 0.419 g (54%), mp 179 °C, Td 256 °C, Rf 0.50 (CHCl3). IR (KBr): 3363, 1697, 1651, 1495, 1411, 1362, 1080 cm−1. 1H NMR (300 MHz, [D6]DMSO): 1.54 (s, 3H), 6.71 (d, J 8.3 Hz, 1H), 6.87 (dd, J 6.3, 2.0 Hz, 1H), 7.32 (s, 1H), 7.54–7.63 (m, 2H), 7.70–7.73 (m, 1H), 7.86 (s, 1H), 9.06 (s, 1H). 13C NMR (75.5 MHz, [D6]DMSO): 22.7, 114.9, 115.3, 125.0, 126.8, 127.6, 128.6, 128.7 (2 C), 129.7, 130.2, 131.4, 133.0, 145.3, 148.6, 152.8, 190.4. Anal. calcd. for C17H11Cl2N5O2 (%): C, 52.60; H, 2.86; N, 18.04. Found (%): C, 52.34; H, 3.02; N, 17.78.
3-Acetyl-1-[4-cyclohexyl-1,2,5-oxadiazol-3-yl]-7-chloro-1,4-dihydrobenzo[e][1,2,4]triazine (5h). Carmine solid, yield 0.575 g (80%), mp 218 °C, Rf 0.47 (CHCl3). IR (KBr): 3315, 2928, 2863, 1699, 1594, 1499, 1306, 1073 cm−1. 1H NMR (300 MHz, [D6]DMSO): 1.32–1.81 (m, 8H), 2.10 (d, J 12.1 Hz, 2H), 2.32 (s, 3H), 3.13–3.23 (m, 1H), 6.70–6.74 (m, 1H), 6.85 (dd, J 6.2, 2.1 Hz, 1H), 7.21 (d, J 1.9 Hz, 1H), 9.06 (s, 1H). 13C NMR (75.5 MHz, [D6]DMSO): 24.2, 25.3, 25.5, 31.2, 34.1, 114.6, 115.2, 124.9, 126.8, 129.2, 131.6, 145.9, 152.8, 154.4, 190.4. Anal. calcd. for C17H18ClN5O2 (%): C, 56.75; H, 5.04; N, 19.46. Found (%): C, 56.97; H, 4.83; N, 19.19.
Ethyl 7-chloro-1-(4-nitrophenyl)-1,4-dihydrobenzo[e][1,2,4]triazine-3-carboxylate (5i). Brown solid, yield 0.404 g (56%) mp 242 °C, Td 242 °C, Rf 0.18 (CHCl3). IR (KBr): 3363, 3353, 1702, 1589, 1502, 1376, 1343, 1289, 1056 cm−1. 1H NMR (300 MHz, [D6]DMSO): 1.32 (t, J 7.1 Hz, 3H), 4.35 (q, J 7.1 Hz, 2H), 6.85 (s, 1H), 6.91 (d, J 8.3 Hz, 1H), 6.99 (d, J 8.3 Hz, 1H), 7.58 (d, J 9.1 Hz, 2H), 8.25 (d, J 9.1 Hz, 2H), 9.46 (s, 1H). 13C NMR (75.5 MHz, [D6]DMSO): 14.4, 62.9, 114.4, 116.7, 117.7, 125.8, 125.9, 128.0, 130.0, 134.2, 141.5, 143.5, 147.6, 159.6. Anal. calcd. for C16H13ClN4O4 (%): C, 53.27; H, 3.63; N, 15.53. Found (%): C, 52.98; H, 3.79; N, 15.29.
Ethyl 7-methyl-1-(4-nitrophenyl)-1,4-dihydrobenzo[e][1,2,4]triazine-3-carboxylate (5j). Dark red solid, yield 0.204 g (30%), mp 200 °C, Td 252 °C, Rf 0.35 (CHCl3). IR (KBr): 3368, 3353, 1715, 1589, 1517, 1375, 1328, 1111 cm−1. 1H NMR (300 MHz, [D6]DMSO): 1.31 (t, J 7.1 Hz, 3H), 2.14 (s, 3H), 4.33 (q, J 7.1 Hz, 2H), 6.76–6.86 (m, 3H), 7.52 (d, J 9.3 Hz, 2H), 8.19 (d, J 9.3 Hz, 2H), 9.33 (s, 1H). 13C NMR (75.5 MHz, [D6]DMSO): 14.4, 21.0, 62.8, 115.8, 115.9, 116.5, 125.9, 126.8, 127.8, 132.6, 133.9, 140.5, 143.9, 148.0, 159.9. Anal. calcd. for C17H16N4O4 (%): C, 60.00; H, 4.74; N, 16.46. Found (%): C, 59.82; H, 4.87; N, 16.23.
Ethyl 7-formyl-1-(4-p-tolyl)-1,4-dihydrobenzo[e][1,2,4]triazine-3-carboxylate (5k). Dark-red solid, yield 0.252 g (39%), mp 224 °C, Td 259 °C, Rf 0.21 (CHCl3). IR (KBr): 3217, 1718, 1659, 1569, 1504, 1433, 1376, 1323, 1109 cm−1. 1H NMR (300 MHz, [D6]DMSO): 1.26 (t, J 7.1 Hz, 3H), 2.36 (s, 3H), 4.26 (q, J 7.1 Hz, 2H), 6.25 (s, 1H), 6.72 (d, J 7.7 Hz, 1H), 7.22–7.32 (m, 5H), 9.09 (s, 1H), 9.48 (s, 1H). 13C NMR (75.5 MHz, [D6]DMSO): 13.9, 20.6, 61.9, 107.7, 112.8, 124.0, 130.1, 130.7, 132.5, 134.7, 135.6, 137.6, 140.1, 140.2, 159.2, 190.2. HRMS (ESI) Calcd. for C18H17N3NaO3 [M + Na]+: 346.1162, found: 346.1153.
3-Ethoxycarbonyl-7-formyl-1-(4-p-tolyl)-1,4-dihydrobenzo[e][1,2,4]triazin-4-yl (6k). Red-brown solid, yield 0.122 g (19%), mp 176 °C, Td 191 °C, Rf 0.20 (CHCl3). IR (KBr): 3220, 1734, 1719, 1676, 1660, 1571, 1507, 1434, 1278, 1102 cm−1. EPR (toluene) g = 2.0034. HRMS (ESI) Calcd. for C18H16N3NaO3 [M + Na]+: 345.1099, found: 345.1097. Anal. calcd. for C18H16N3O3 (%): C, 67.07; H, 5.00; N, 13.04. Found (%): C, 66.83; H, 5.26; N, 12.78.
3-Ethoxycarbonyl-7-chloro-1-(4-chlorophenyl)-1,4-dihydrobenzo[e][1,2,4]triazin-4-yl (6l). Red-brown solid, yield 0.419 g (23%), mp 167 °C, Td 254 °C, Rf 0.54 (CHCl3). IR (KBr): 3368, 1703, 1486, 1373, 1059 cm−1. EPR (toluene) g = 2.0035. HRMS (ESI) Calcd. for C16H1235Cl2N3NaO2 [M + Na]+: 371.0199, found: 371.0197; calcd. for C16H1235Cl37ClN3NaO2 [M + Na]+: 373.0170, found: 373.0175. Anal. calcd. for C16H12Cl2N3O2 (%): C, 55.03; H, 3.46; N, 12.03. Found (%): C, 54.79; H, 3.59; N, 11.79.
7-Chloro-3,5-di(4-chlorophenyl)-1-(4-chlorophenylamino)-3,5-dihydro-benzo[e][1,2,4]triazolo [3,4-c][1,2,4]-triazinyl (7). Gray solid, yield 0.083 g (15%), mp 194 °C, Td 194 °C, Rf 0.60 (CHCl3). IR (KBr): 3397, 1681, 1621, 1594, 1490, 1403, 1093 cm−1. EPR (toluene) g = 2.0024. HRMS (ESI) Calcd. for C26H1635Cl4N6. [M.+ H]+: 552.0186, found: 552.0185; calcd. for C26H1635Cl337ClN6.: 554.0159, found: 554.0159; calcd. for C26H1635Cl237Cl2N6.: 556.0133, found: 556.0127. Anal. calcd. for C26H16Cl4N6 (%): C, 56.34; H, 2.91; N, 15.16. Found (%): C, 56.57; H, 2.79; N, 14.89.
X-ray crystallographic data and refinement details. Crystals of 7 suitable for X-ray diffraction were grown from DMSO-CH2Cl2 mixture (2:1). X-ray diffraction data were collected at 100K on a four-circle Rigaku Synergy S diffractometer equipped with a HyPix600HE area-detector (kappa geometry, shutterless ω-scan technique), using graphite monochromatized Cu Kα-radiation. The intensity data were integrated and corrected for absorption and decay by the CrysAlisPro program [32]. The structure was solved by direct methods using SHELXT [33] and refined on F2 using SHELXL-2018 [34] in the OLEX2 program [35]. All non-hydrogen atoms were refined with individual anisotropic displacement parameters. The location of hydrogen atoms H14A and H14B were found from the electron density-difference map; these hydrogen atoms were refined with an individual isotropic displacement parameter. All other hydrogen atoms were placed in ideal calculated positions and refined as riding atoms with relative isotropic displacement parameters. The Mercury program suite [36] was used for molecular graphics. Three molecules of the solvent (DMSO) are disordered onto two positions. Deposition number 2160590 contain the supplementary crystallographic data. These data are provided free of charge by the joint Cambridge Crystallographic Data Centre.
Supplementary Materials
The following supporting information can be downloaded at: https://www.mdpi.com/article/10.3390/molecules27082575/s1, S1. Thermal behavior; S2. Crystallographic data (Tables S1–S7); S3. EPR spectra; S4. NMR and HRMS spectra.
Author Contributions
Conceptualization, A.S.K. and L.L.F.; methodology, M.A.E.; investigation, M.A.E. and A.S.K.; data curation, M.A.E. and A.S.K.; writing—original draft preparation, L.L.F.; writing—review and editing, L.L.F.; supervision, L.L.F.; project administration, L.L.F.; funding acquisition, L.L.F. All authors have read and agreed to the published version of the manuscript.
Funding
This work was supported by the Russian Science Foundation (grant # 21-73-10109).
Institutional Review Board Statement
Not applicable.
Informed Consent Statement
Not applicable.
Data Availability Statement
Data obtained in this project are contained within this article and available upon request from the authors.
Acknowledgments
Crystal structure determination was performed in the Department of Structural Studies of Zelinsky Institute of Organic Chemistry, Moscow. We are grateful to Igor B. Krylov (Zelinsky Institute of Organic Chemistry, Moscow) for recording EPR spectra and to Igor N. Melnikov (Semenov Federal Research Center for Chemical Physics, Moscow) for DSC measurements.
Conflicts of Interest
The authors declare no conflict of interest.
Sample Availability
Samples of the compounds are not available from the authors.
References
- Li, D.; Yu, G. Innovation of Materials, Devices, and Functionalized Interfaces in Organic Spintronics. Adv. Funct. Mater. 2021, 31, 2100550. [Google Scholar] [CrossRef]
- Liu, C.-Y.; Lin, P.-H.; Lee, K.-M. Development of Step-Saving Alternative Synthetic Pathways for Functional π-Conjugated Materials. Chem. Rec. 2021, 21, 3498–3508. [Google Scholar] [CrossRef] [PubMed]
- Sathiyan, G.; Wang, H.; Chen, C.; Miao, Y.; Zhai, M.; Cheng, M. Impact of fluorine substitution in organic functional materials for perovskite solar cell. Dyes Pigm. 2022, 198, 110029. [Google Scholar] [CrossRef]
- Yang, X.-D.; Tan, L.; Sun, J.-K. Encapsulation of Metal Clusters within Porous Organic Materials: From Synthesis to Catalysis Applications. Chem. Asian J. 2022, 17, e202101289. [Google Scholar] [CrossRef] [PubMed]
- Roy, S.; Das, S.K.; Khatua, H.; Das, S.; Chattopadhyay, B. Road Map for the Construction of High-Valued N-Heterocycles via Denitrogenative Annulation. Acc. Chem. Res. 2021, 54, 4395–4409. [Google Scholar] [CrossRef] [PubMed]
- Odom, A.L.; McDaniel, T.J. Titanium-Catalyzed Multicomponent Couplings: Efficient One-Pot Syntheses of Nitrogen Heterocycles. Acc. Chem. Res. 2015, 48, 2822–2833. [Google Scholar] [CrossRef] [PubMed]
- Makhova, N.N.; Belen’kii, L.I.; Gazieva, G.A.; Dalinger, I.L.; Konstantinova, L.S.; Kuznetsov, V.V.; Kravchenko, A.N.; Krayushkin, M.M.; Rakitin, O.A.; Starosotnikov, A.M.; et al. Progress in the chemistry of nitrogen-, oxygen- and sulfur-containing heterocyclic systems. Russ. Chem. Rev. 2020, 89, 55–124. [Google Scholar] [CrossRef]
- Ziarani, G.M.; Mostofi, M.; Gholamzadeh, P.; Mohammadi-Khanaposhtani, M.; Yavari, H. The synthesis of 1,2,4-benzotriazines. Arkivoc 2019, i, 41–105. [Google Scholar] [CrossRef] [Green Version]
- Mahran, A.M.; Farghaly, T.A.; Nada, A.A. Hydrazonoyl halides in heterocycles: Synthesis and anti-microbial activity of new 1,2,4-benzotriazine and bis-1,2,4-benzotriazine derivatives. Res. Chem. Intermed. 2015, 41, 2961–2969. [Google Scholar] [CrossRef]
- Keivanloo, A.; Bakherad, M.; Lotfi, M. Use of ligand-assisted click reactions for the rapid synthesis of novel 1,2,3-triazole pharmacophore-based 1,2,4-triazines and their benzofused analogues. Tetrahedron 2017, 73, 5872–5882. [Google Scholar] [CrossRef]
- Ji, Y.; Long, L.; Zheng, Y. Recent advances of stable Blatter radicals: Synthesis, properties and applications. Mater. Chem. Front. 2020, 4, 3433–3443. [Google Scholar] [CrossRef]
- Rogers, F.J.M.; Norcott, P.L.; Coote, M.L. Recent advances in the chemistry of benzo[e][1,2,4]triazinyl radicals. Org. Biomol. Chem. 2020, 18, 8255–8277. [Google Scholar] [CrossRef] [PubMed]
- Constantinides, C.P.; Koutentis, P.A. Stable N- and N/S-Rich Heterocyclic Radicals: Synthesis and Applications. Adv. Heterocycl. Chem. 2016, 119, 173–207. [Google Scholar] [CrossRef]
- Sidharth, T.N.S.; Nasani, R.; Gupta, A.; Sooraj, B.N.S.; Roy, S.; Mondal, A.; Konar, S. Reversal of magnetic exchange coupling between copper(II) and Blatter radical depending on the coordination environment. Inorg. Chim. Acta 2020, 503, 119395. [Google Scholar] [CrossRef]
- Kapuściński, S.; Szczytko, J.; Pociecha, D.; Jasiński, M.; Kaszyński, P. Discs, dumbbells and superdiscs: Molecular and supermolecular architecture dependent magnetic behavior of mesogenic Blatter radical derivatives. Mater. Chem. Front. 2021, 5, 6512–6521. [Google Scholar] [CrossRef]
- Constantinides, C.P.; Lawson, D.B.; Zissimou, G.A.; Berezin, A.A.; Mailman, A.; Manoli, M.; Kourtellaris, A.; Leitus, G.M.; Clérac, R.; Tuononen, H.M.; et al. Polymorphism in a π stacked Blatter radical: Structures and magnetic properties of 3-(phenyl)-1-(pyrid-2-yl)-1,4-dihydrobenzo[e][1,2,4]triazin-4-yl. CrystEngComm 2020, 22, 5453–5463. [Google Scholar] [CrossRef]
- Constantinides, C.P.; Lawson, D.B.; Berezin, A.A.; Zissimou, G.A.; Manoli, M.; Leitus, G.M.; Koutentis, P.A. Ferromagnetic interactions in a 1D Heisenberg linear chain of 1-phenyl-3,7-bis(trifluoromethyl)-1,4-dihydro-1,2,4-benzotriazin-4-yls. CrystEngComm 2019, 21, 4599–4606. [Google Scholar] [CrossRef]
- Kapuściński, S.; Anand, B.; Bartos, P.; Garcia Fernandez, J.M.; Kaszyński, P. Tethered Blatter Radical for Molecular Grafting: Synthesis of 6-Hydroxyhexyloxy, Hydroxymethyl, and Bis(hydroxymethyl) Derivatives and Their Functionalization. Molecules 2022, 27, 1176. [Google Scholar] [CrossRef]
- Kaszyński, P.; Kapuściński, S.; Ciastek-Iskrzycka, S. Liquid crystalline derivatives of heterocyclic radicals. Adv. Heterocycl. Chem. 2019, 128, 263–331. [Google Scholar] [CrossRef]
- Jasiński, M.; Szczytko, J.; Pociecha, D.; Monobe, H.; Kaszyński, P. Substituent-Dependent Magnetic Behavior of Discotic Benzo[e][1,2,4]triazinyls. J. Am. Chem. Soc. 2016, 138, 9421–9424. [Google Scholar] [CrossRef]
- Zhang, Y.; Zheng, Y.; Zhou, H.; Miao, M.S.; Wudl, F.; Nguyen, T.Q. Temperature Tunable Self-Doping in Stable Diradicaloid Thin-Film Devices. Adv. Mater. 2015, 27, 7412–7419. [Google Scholar] [CrossRef] [PubMed]
- Calzolari, A.; Rajca, A.; Casu, M.B. From radical to triradical thin film processes: The Blatter radical derivatives. J. Mater. Chem. C 2021, 9, 10787–10793. [Google Scholar] [CrossRef]
- Morgan, I.S.; Mansikkamäki, A.; Zissimou, G.A.; Koutentis, P.A.; Rouzières, M.; Clérac, R.; Tuononen, H.M. Coordination Complexes of a Neutral 1,2,4-Benzotriazinyl Radical Ligand: Synthesis, Molecular and Electronic Structures, and Magnetic Properties. Chem. Eur. J. 2015, 21, 15843–15853. [Google Scholar] [CrossRef]
- Karecla, G.; Papagiorgis, P.; Panagi, N.; Zissimou, G.A.; Constantinides, C.P.; Koutentis, P.A.; Itskos, G.; Hayes, S.C. Emission from the stable Blatter radical. New J. Chem. 2017, 41, 8604–8613. [Google Scholar] [CrossRef]
- Zissimou, G.A.; Berezin, A.A.; Manoli, M.; Nicolaides, C.; Trypiniotis, T.; Koutentis, P.A. 3,3′,3′-(Benzene-1,3,5-triyl)tris(1-phenyl-1H-benzo[e][1,2,4]triazin-4-yl): A C3 symmetrical Blatter-type triradical. Tetrahedron 2020, 76, 131077. [Google Scholar] [CrossRef]
- Al-Noaimi, M.Z.; Abdel-Jalil, R.J.; El-Abadelah, M.M.; Haddad, S.F.; Baqi, Y.N.H.; Voelter, W. Metal-Assisted Oxidative Cyclization of Arylamidrazones I. Synthesis of 3-Acetyl-1,4-dihydro-1-phenyl-1,2,4-benzotriazine. Monat. Chem. 2006, 137, 745–750. [Google Scholar] [CrossRef]
- Koutentis, P.A.; Lo Re, D. Catalytic Oxidation of N-Phenylamidrazones to 1,3-Diphenyl-1,4-dihydro-1,2,4-benzotriazin-4-yls: An Improved Synthesis of Blatter’s Radical. Synthesis 2010, 2010, 2075–2079. [Google Scholar] [CrossRef]
- Bodzioch, A.; Zheng, M.; Kaszyński, P.; Utecht, G. Functional Group Transformations in Derivatives of 1,4-Dihydrobenzo[1,2,4]triazinyl Radical. J. Org. Chem. 2014, 79, 7294–7310. [Google Scholar] [CrossRef]
- Ciccullo, F.; Gallagher, N.M.; Geladari, O.; Chassé, T.; Rajca, A.; Casu, M.B. A Derivative of the Blatter Radical as a Potential Metal-Free Magnet for Stable Thin Films and Interfaces. ACS Appl. Mater. Interfaces 2016, 8, 1805–1812. [Google Scholar] [CrossRef]
- Titenkova, K.Y.; Shaferov, A.V.; Larin, A.A.; Epishina, M.A.; Kulikov, A.S.; Ananyev, I.V.; Makhova, N.N. Tandem acid-promoted intramolecular azide-hydrazone electrocyclization/hydrolysis approach for the synthesis of N-aminotetrazoles. Tetrahedron 2022, 103, 132563. [Google Scholar] [CrossRef]
- Arafeh, M.M.; Moghadam, E.S.; Adham, S.A.I.; Stoll, R.; Abdel-Jalil, R.J. Synthesis and Cytotoxic Activity Study of Novel 2-(Aryldiazenyl)-3-methyl-1H-benzo[g]indole Derivatives. Molecules 2021, 26, 4240. [Google Scholar] [CrossRef] [PubMed]
- CrysAlisPro. Version 1.171.41.106a. In Rigaku Oxford Diffraction; Rigaku Corporation: Oxford, UK, 2021. [Google Scholar]
- Sheldrick, G.M. SHELXT—Integrated space-group and crystal-structure determination. Acta Crystallogr. Sect. A. 2015, 71, 3–8. [Google Scholar] [CrossRef] [PubMed] [Green Version]
- Sheldrick, G.M. Crystal structure refinement with SHELXL. Acta Crystallogr. Sect. C 2015, 71, 3–8. [Google Scholar] [CrossRef] [PubMed]
- Dolomanov, O.V.; Bourhis, L.J.; Gildea, R.J.; Howard, J.A.K.; Puschmann, H. OLEX2: A complete structure solution, refinement and analysis program. J. Appl. Cryst. 2009, 42, 229–341. [Google Scholar] [CrossRef]
- Macrae, C.F.; Edgington, P.R.; McCabe, P.; Pidcock, E.; Shields, G.P.; Taylor, R.; Towler, M.; van de Streek, J. Mercury: Visualization and Analysis of Crystal Structures. J. Appl. Cryst. 2006, 39, 453–457. [Google Scholar] [CrossRef] [Green Version]
Publisher’s Note: MDPI stays neutral with regard to jurisdictional claims in published maps and institutional affiliations. |
© 2022 by the authors. Licensee MDPI, Basel, Switzerland. This article is an open access article distributed under the terms and conditions of the Creative Commons Attribution (CC BY) license (https://creativecommons.org/licenses/by/4.0/).









