Abstract
Aiming toward compounds with improved anti-Toxoplasma activity by exploiting the parasite auxotrophies, a library of nucleobase-tethered trithiolato-bridged dinuclear ruthenium(II)-arene conjugates was synthesized and evaluated. Structural features such as the type of nucleobase and linking unit were progressively modified. For comparison, diruthenium hybrids with other type of molecules were also synthesized and assessed. A total of 37 compounds (diruthenium conjugates and intermediates) were evaluated in a primary screening for in vitro activity against transgenic Toxoplasma gondii tachyzoites constitutively expressing β-galactosidase (T. gondii β-gal) at 0.1 and 1 µM. In parallel, the cytotoxicity in non-infected host cells (human foreskin fibroblasts, HFF) was determined by alamarBlue assay. Twenty compounds strongly impairing parasite proliferation with little effect on HFF viability were subjected to T. gondii β-gal half maximal inhibitory concentration determination (IC50) and their toxicity for HFF was assessed at 2.5 µM. Two promising compounds were identified: 14, ester conjugate with 9-(2-oxyethyl)adenine, and 36, a click conjugate bearing a 2-(4-(hydroxymethyl)-1H-1,2,3-triazol-1-yl)methyl substituent, with IC50 values of 0.059 and 0.111 µM respectively, significantly lower compared to pyrimethamine standard (IC50 = 0.326 µM). Both 14 and 36 exhibited low toxicity against HFF when applied at 2.5 µM and are candidates for potential treatment options in a suitable in vivo model.
1. Introduction
Toxoplasma gondii, the most prevalent infectious protozoan in man, is an opportunistic pathogen with a high zoonotic potential. Approximately 30% of humans worldwide, as well as most warm-blooded animal species, are infected with this parasite [1,2]. Acute toxoplasmosis can be life-threatening in immunocompromised hosts, and upon primary infection during pregnancy, the parasite can cross the placenta and inflict fetal damage and/or abortion [3], rendering T. gondii an important public health problem [2,4]. Current management of toxoplasmosis relies on conventional therapy, which has important shortcomings related to reduced tolerance and overall potency, poor efficacy to the latent stage of the parasite, as well as drug resistance [5,6].
As an obligate intracellular pathogen that can invade and replicate in any nucleated mammalian cell, T. gondii is in stringent dependence on specific host cell resources [7]. The parasite lacks many genes encoding the entire metabolic pathways, but has evolved efficient strategies to acquire crucial metabolites from the host cells [8]. For survival, T. gondii is auxotrophic for numerous nutrients and has acquired salvage mechanisms to import the vital compounds that it cannot synthesize, such as, for example, various metabolites including polyamines, cholesterol, purine derivatives, and essential amino acids [8]. T. gondii is a strictly purine (adenine, guanine, xanthine, and hypoxanthine) auxotroph, and is thus incapable of de novo biosynthesis of purine nucleic bases and relies on their scavenging from the host cell to meet its nutritional needs [8,9,10,11,12]. In contrast, T. gondii scavenges and synthesizes pyrimidine nucleobases and nucleosides [8,13,14,15,16].
The drugs that are currently used for the treatment of toxoplasmosis include antifolates, such as combined pyrimethamine–sulfadiazine or trimethoprim–sulfamethoxazole. Pyrimethamine can be combined with antibiotics that inhibit protein synthesis such as clindamycin and azithromycin, and atovaquone, a mitochondrial cytochrome bc1 inhibitor that interferes in oxidative phosphorylation, is also in clinical use. However, these treatments are unspecific, adverse effects have been frequently documented, and clinical failures have been reported [17]. A considerable effort is being made to identify better solutions [17,18,19,20] and new structures are emerging [21,22,23,24,25,26,27]. For example, experimental compounds such as bumped kinase inhibitors, which impair the activity of T. gondii calcium dependent protein kinase 1 (essential for host cell invasion and egress), endochin-like quinolones (ELQs) that are specific and potent T. gondii cytochrome bc1 inhibitors, and a leucinostatin-derived antimicrobial peptide that interferes in multipole metabolic pathways, have been demonstrated to exert anti-parasitic effects in vitro and in vivo [28,29,30]. In addition, some combinations of pyrimethamine, clindamycin, guanabenz, and ELQs exhibited synergistic effects and were found to be more potent than monotherapies [31].
Chemotherapeutic strategies addressing the parasitic cell cycle and the specific metabolic defects of T. gondii based on its auxotrophic nature were explored earlier [32,33,34]. Targeting the T. gondii purine salvage pathways represents a potential pharmacological approach [8,35,36], which was experimentally investigated [37,38,39,40,41,42] but not widely applied due to the apprehension that compounds affecting parasite metabolism can also be toxic to the host [34]. The potential of purine analogues as antiparasitic agents was previously demonstrated [35,43] and several derivatives have shown efficacy against T. gondii [44,45].
The research of metal-based compounds for biological applications has received a lot of attention [46,47,48], and if initially most of the bioactive metalorganic compounds were conceived as alternatives to anticancer platinum-based drugs [49,50,51], other pharmacological properties, among which, antiparasitic activity [52,53,54,55,56,57], further encouraged studies in this area. If ruthenium complexes emerged as one of the most promising classes of metal-based anticancer compounds [58,59], they have also shown particularly interesting efficacy against various parasites [60,61,62,63,64,65].
Combining two or more active molecules into a hybrid structure is a popular strategy in the design of new therapeutic agents and prior approaches aiming to improve the targeting and anticancer activity of platinum [66,67] and ruthenium [67] complexes by modifying them with metabolites revealed significant benefits [68]. Conjugating metal complexes to nucleobases, nucleosides, and nucleotides afforded compounds with a wide range of applications, such as, for example, potential anticancer agents [69,70]. An important effort was invested in the development of various metallocene–nucleobase hybrids [70,71,72,73] and research was further extended to other organometallic derivatives [74,75,76,77], some relevant examples being presented in Figure 1.
Figure 1.
Structure of various conjugates organometallic complex nucleobase/nucleoside (A–L), and of symmetric (M,N) and mixed (O) trithiolato-bridged ruthenium(II)-arene complexes.
For example, thymine and adenine ferrocene derivatives A and B [78,79] and di-ferrocene–uracil compound C [80] showed promising anticancer activity and good selectivity. Copper-catalyzed azide-alkyne [3+2] cycloaddition (CuAAC) was used to prepare antitubercular agent D [81], anticancer compound E [82], and antifungal derivative F [72]. CuAAC click reactions also afforded cytostatic bis-ferrocene conjugates G bridged by 1,2,3-triazole linkers to 5-substituted uracil [83]. Cymantrene and cyrhetrene uracil and thymine conjugates H showed promising activity against Trypanosoma brucei and good selectivity [84], and 5-fluorouracil ruthenium(II)-arene compound I exhibited moderate anticancer activity [85,86]. Thymidine–ruthenium compounds J, K [87] and L [74] exhibited interesting cancer cell toxicity with cellular uptake independent of nucleoside transporters mediation.
Trithiolato-bridged dinuclear ruthenium(II)-arene complexes (e.g., compounds M–O in Figure 1) are highly active against cancer cells but show limited selectivity [88]. Recent studies revealed that they also exhibit remarkable antiparasitic activity but also interesting selectivity profiles against Toxoplasma gondii, Neospora caninum, and Trypanosoma brucei [89,90,91]. For instance, complex O had very low IC50 values of 1.2 nM for T. gondii and 1 nM for N. caninum [89,90].
Trithiolato diruthenium compounds present a structure based on two half-sandwich ruthenium(II)-arene units bridged by three thiols, the Ru2S3 unit forming a trigonal-bipyramidal framework. The straightforward synthesis and scale-up of mixed trithiolato dinuclear ruthenium complexes like complex O (Figure 1) as well as their outstanding chemical inertness make this scaffold a good substrate for functionalization. Diruthenium conjugates with short peptides [92], coumarins [93], BODIPYs [94], and anticancer and antimicrobial drugs [95,96] have been reported and some of them exhibited improved water solubility, as well as enhanced anticancer or antiparasitic activity.
Amide or ester coupling reactions allowed easy modification of mixed trithiolato diruthenium compounds bearing hydroxy, amine, and carboxylic acid groups [93,95,96]. However, as in some cases this type of reaction presented shortcomings [96], other alternatives were envisioned.
The aim of this study was to generate novel hybrid molecules as improved antiparasitic compounds by exploiting the T. gondii auxotrophies for nucleic bases. To this end, the synthesis and biological activity assessment of new conjugates nucleobase–trithiolato-bridged dinuclear ruthenium(II)-arene unit were performed. The pool of nucleobases comprised adenine, uracil, cytosine, thymine, and xanthine. Conjugates with other types of small molecules were also synthesized and assessed to ascertain this approach.
Besides the nature of the nucleobase, the influence of the type and length of the linkers between the two moieties were also evaluated. In general, amide or ester coupling reactions allowed easy modification of mixed trithiolato diruthenium compounds bearing hydroxy, amine, and carboxylic acid groups [93,95,96]. However, as in some cases this type of reaction presented shortcomings [96], another objective of this study was to identify and validate new synthetic routes affording hybrids based on the diruthenium unit. The proposed strategy challenged the use of CuAAC reactions [97,98] with the formation of triazole connectors. Azide-alkyne click reactions proved a valuable way for the post-functionalization of metal complexes [81,99,100,101,102,103,104,105,106,107,108,109], whereas the triazole linkers exhibit favorable properties, including a moderate dipole character, hydrogen-bonding capability, rigidity, and stability [110]. Since click reactions require azide and alkyne partners, the use of the trithiolato diruthenium scaffold in either role can be examined in reactions with compounds containing the respective complementary group. A first example of a trithiolato–diruthenium conjugate with metronidazole obtained using a CuAAC reaction was recently reported [96].
Using compound concentrations of 0.1 and 1 µM, the newly obtained hybrids and associated intermediates were submitted to a first in vitro screening, against a transgenic T. gondii strain constitutively expressing β-galactosidase (T. gondii β-gal) grown in human foreskin fibroblasts (HFF), while their cytotoxicity was evaluated in non-infected HFF by alamarBlue assay. The compounds which at 1 µM exhibited interesting antiparasitic activity (90% tachyzoite proliferation inhibition) and low cytotoxicity (>50% HFF viability), were subjected to a T. gondii IC50 (half-maximal inhibitory concentration) determination, and HFF cytotoxicity assessment at 2.5 µM.
2. Results
2.1. Synthesis
2.1.1. Synthesis of the Trithiolato-Bridged Dinuclear Ruthenium(II)-Arene Intermediates 2–9
To access the hybrid molecules, nine diruthenium intermediates 2–9 bearing functional groups enabling covalent tethering (i.e., via ester conjugation or click chemistry) of appropriately substituted compounds were first synthesized. Intermediates 2–4 functionalized with an amino, carboxy, or hydroxy group, respectively, were obtained following a two-step pathway (Scheme 1) using formerly reported procedures [93,111]. Precursor 1, obtained from the ruthenium dimer ([Ru(η6-p-MeC6H4Pri)Cl2]2) and (4-(tert-butyl)phenyl)methanethiol [93], was reacted with 4-amino-benzenethiol, 2-(4-mercaptophenyl)acetic acid and, respectively, (2-mercaptophenyl)methanol in the appropriate solvent to yield compounds 2–4.
Scheme 1.
Synthesis of the mixed dinuclear ruthenium(II)–arene intermediates 2, 3, and 4.
Intermediates 2 and 3 were further reacted with various alkyne derivatives bearing carboxy, hydroxy, and amino groups using ester or amide coupling reactions as presented in Scheme 2. Reactions of amino derivative 2 with 5-hexynoic acid and 4-ethynylbenzoic acid (Scheme 2, top) in the presence of EDCI (N-(3-dimethylaminopropyl)-N′-ethylcarbodiimide hydrochloride) and HOBt (1-hydroxybenzotriazol) as coupling agents, in basic conditions (DIPEA, N,N-diisopropylethylamine), afforded the ruthenium–alkyne compounds 5 and 6 in 41 and 34% yield, respectively. Alkyne derivatives 7 and 8 were synthetized by reacting carboxy diruthenium compound 3 with propargyl alcohol and propargyl amine (Scheme 2, bottom). Ester 7 was obtained in the presence of EDCI as coupling agent and DMAP (4-(dimethylamino)pyridine) as basic catalyst and was isolated in 60% yield, while amide 8 was described previously [96].
Scheme 2.
Synthesis of the alkyne diruthenium derivatives 5–8 starting from the amino and carboxy intermediates 2 and 3.
The trithiolato diruthenium(II)–arene compounds can also function as an azide partner in click reactions. With this aim, azide-functionalized compound 9 was synthesized following a two-step process (Scheme 3 (top)). The hydroxy group of 4 was activated by mesylation with MsCl in basic conditions (TEA, triethylamine), followed by the nucleophilic substitution with azide (NaN3); 9 was isolated in 66% yield over two steps.
Scheme 3.
Synthesis of the azide–diruthenium compounds 9 (top) and 10 (bottom).
Diruthenium azide 10 (Scheme 3 (bottom)) was obtained by adapting a literature procedure [112], starting from amino derivative 2 using the Sandmeyer reaction. The poor solubility of amine 2 and of the intermediate diazonium salt (not isolated) led to incomplete conversion. Compound 10 was unstable to mild heating and silicagel chromatographic purifications, and only a small quantity of this intermediate was purified for biological evaluation tests. Nevertheless, azide 10 could be used for click reactions even if it contained traces of 2. Attempts to synthesize 10 using other literature protocols [113,114] were unsuccessful (either the azide was not obtained, or the conversion was lower). Based on their structural features, the various diruthenium conjugates obtained in this study were organized in five families.
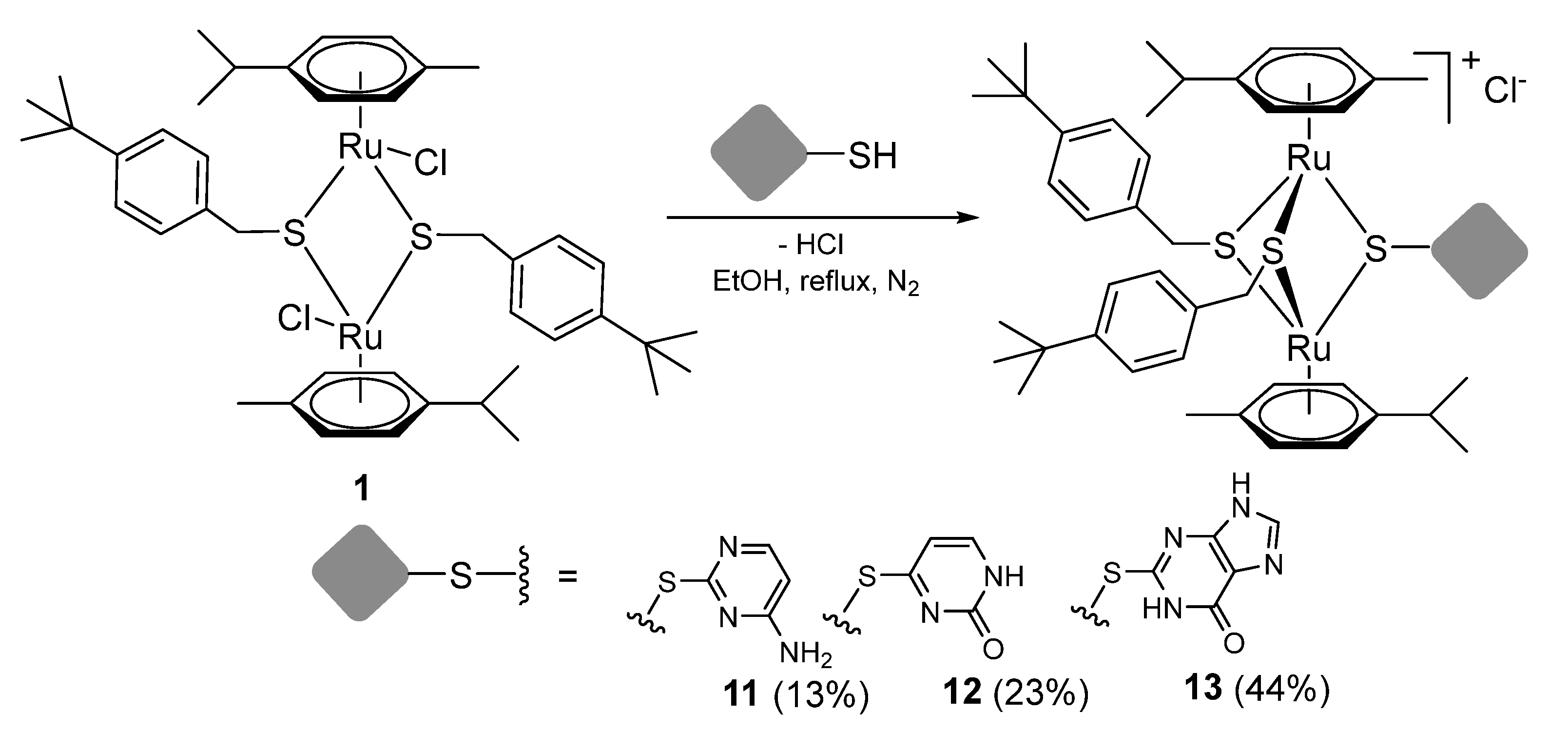
2.1.2. Synthesis of Compounds 11–13 (Family 1)
In the compounds constituting family 1, the nucleobase moiety was introduced as one of the bridging thiols (Scheme 4). Reactions of the dithiolato diruthenium intermediate 1 with 2-thiocytosine, 4-thiouracil, and 2-thioxanthine afforded the mixed trithiolato derivatives 11, 12, and 13 in low yields of 13, 23, and 44%, respectively.
Scheme 4.
Synthesis of the mixed trithiolato diruthenium complexes 11, 12, and 13.
The introduction of nucleobase units on the trithiolato diruthenium scaffold using this method presented important limitations. In reactions run with other substrates such as 6-thioguanine, 8-mercaptoadenine, and 2-thiobarbituric acid, the reduced solubility of the thiols in refluxing EtOH led to poor conversions and important difficulties in the recovery of the pure product. Compounds 11 and 12 still contained traces of impurities and their biological activity was not assessed.
2.1.3. Synthesis of Compound 14 (Family 2)
Family 2 comprises ester conjugate 14 obtained by the reaction of carboxy intermediate 3 with 9-(2-hydroxyethyl)adenine 14A in the presence of EDCI as coupling agent and DMAP as base and was isolated in 43% yield (Scheme 5).
Scheme 5.
Synthesis of the adenine ester conjugate 14.
2.1.4. Synthesis of Compounds 15–26 (Family 3)
The use of the click CuAAC (copper catalyzed azide–alkyne cycloaddition) reactions [101,115] for the obtainment of new conjugates with nucleobases was challenged. A first series of reactions were run using diruthenium azide derivatives 9 and 10 as substrates (Scheme 6).
Scheme 6.
Synthesis of the uracil (15), thymine (16), cytosine (17), and adenine (18) propargyl derivatives and their CuAAC reactions with the diruthenium azides 9 (left) and 10 (right), affording conjugates 19–22 and, respectively, 23–26.
N-Propargyl derivatives of uracil (15), thymine (16), cytosine (17), and adenine (18) were synthesized by the nucleophilic substitution reactions performed on propargyl bromide with the corresponding nucleobases in basic conditions (K2CO3), by adapting literature procedures [116,117,118] (Scheme 6). Alkyne derivatives 15–18 were isolated in low to medium yields (25–48% range). The synthesis of the nucleobase propargyl derivatives 15–18 using either directly the nucleobases or appropriately protected intermediates was previously reported [119,120,121]. In this study, the synthesis of derivatives 15–18 was not optimized as our purpose was to obtain these intermediates in the quantity and quality allowing the click reactions and the in vitro biological activity screening. The 1H and 13C NMR data for compounds 15–18 (Supplementary Materials) are in good agreement with the published data [122,123,124], taking the different conditions used for the measurements.
The CuAAC reactions were performed by adapting reported protocols [101,115], in the presence of CuSO4 as catalyst and sodium ascorbate as reducing agent. Nucleobase propargyl derivatives 15–18 were reacted with azides 9 and 10 (Scheme 6), affording the click products 19–22 and 23–26 in low yield (19–48% and 17–30% range, correspondingly). The quantities of isolated products were suitable for a first antiparasitic activity and cytotoxicity screening.
2.1.5. Synthesis of Compounds 27–33 (Family 4)
The diruthenium complexes can act as alkyne partner in CuAAC reactions. As azide component, 6-(azidomethyl)uracil 27 was synthesized (isolated 22% yield) by the nucleophilic substitution of the chlorine in 6-(chloromethyl)uracil with NaN3 (Scheme 7).
Scheme 7.
Synthesis of the azide uracil derivative 27 and of the corresponding click conjugates 28–31, using diruthenium alkyne derivatives 5–8.
The uracil azide 27 was reacted with the alkyne functionalized diruthenium derivatives 5–8 (Scheme 7) in the presence of CuSO4 and sodium ascorbate [101,115], affording the corresponding click products 28–31 in low to medium yields (31 to 73% range). These reactions afforded conjugates presenting two types of spacers (aliphatic 28 vs. aromatic 29) and having ester (30) or amide bonds in the linking units (28, 29, and 31) (Scheme 7).
Adenine azide derivative 32 was synthesized in two steps starting from 9-(2-hydroxyethyl)adenine (14A) and was reacted with the alkyne functionalized diruthenium compound 8, to afford conjugate 33 in 13% yield (Scheme 8).
Scheme 8.
Synthesis of the azide adenine derivative 32 and of the corresponding click conjugate 33.
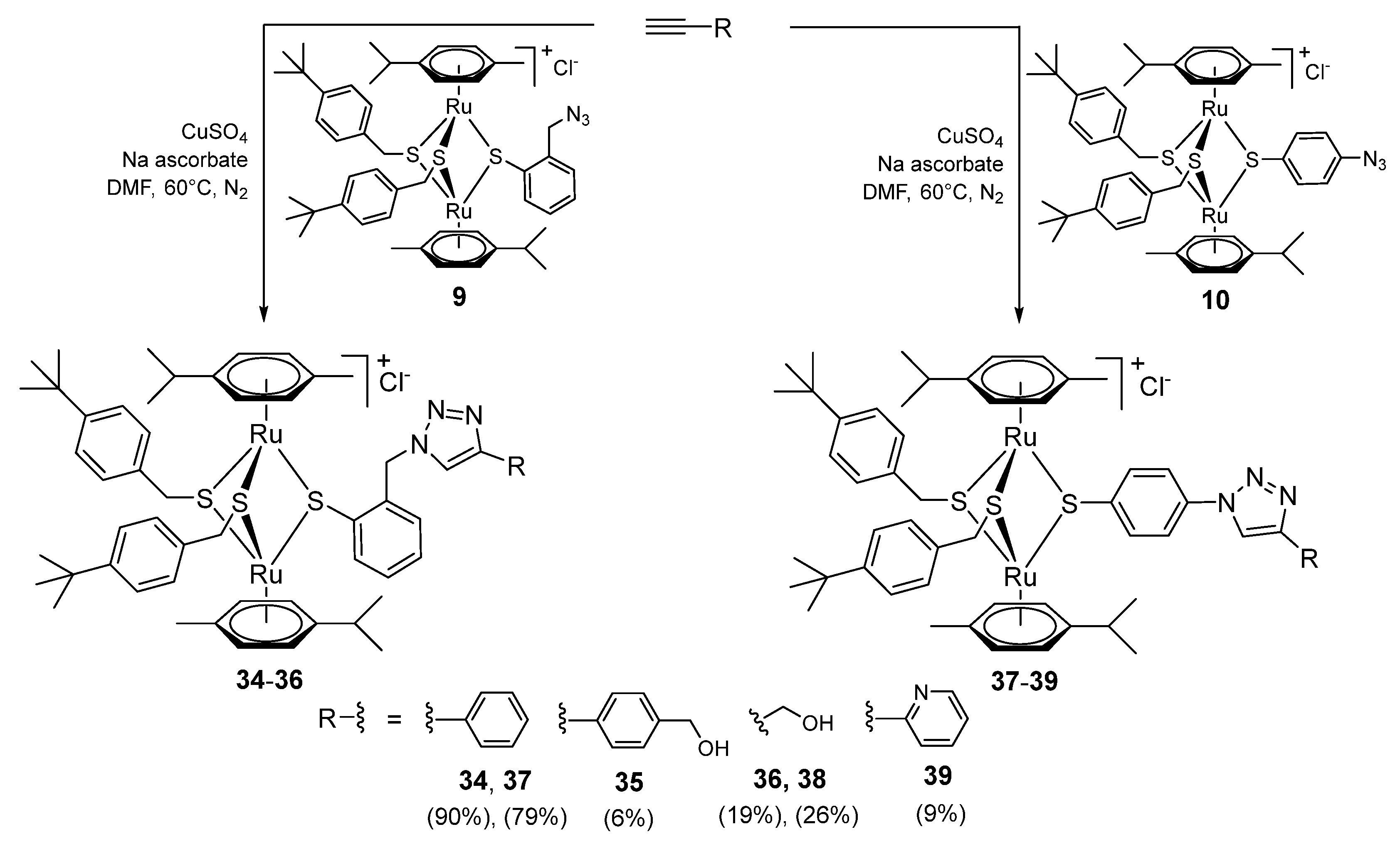
2.1.6. Synthesis of Compounds 34–39 (Family 5)
To evaluate the impact of the nature of the substituent anchored on the diruthenium scaffold on the biological activity, click conjugates of azides 9 and 10 with various alkyne derivatives such as ethynylbenzene, 4-ethynylbenzyl alcohol, propargyl alcohol, and 2-ethynylpyridine were also synthesized (Scheme 9), the reactions being performed in similar conditions [101,115].
Scheme 9.
CuAAC reactions of azide diruthenium derivatives 9 (left) and 10 (right) with ethynylbenzene, 4-ethynylbenzyl alcohol, propargyl alcohol, and 2-ethynylpyridine.
If the phenyl derivative 34 was obtained in good yield (90%), the products with polar substituents were isolated only in poor yields (6% for 35 and 19% for 36). A similar effect was observed in the reactions run with azide 10, as the phenyl click product 37 was isolated in high yield (79%), while the reactions with more polar ethynyl compounds were less performant affording compounds 38 and 39 only in 26 and, respectively, 9% yield. The alkyne reactivity can increase as the para-substituent becomes more electron-withdrawing, resulting in acidic Csp-H bonds [122]. The conversion seems to be influenced also by polar effects not only by substituent electronic properties. This can explain the higher yield obtained with lipophilic phenylacetylene compared to more polar propargyl alcohol and 4-ethynylbenzyl alcohol. Note that the syntheses were not optimized as the aim was to obtain the click compounds satisfying the quantity and quality requirements necessary for a first in vitro bioactivity screening. The reported yields correspond to the isolated pure compounds and do not always reflect the conversion, as the purification of some compounds was more laborious.
All compounds were fully characterized by 1H and 13C NMR (Nuclear Magnetic Resonance) spectroscopy, ESI-MS (electrospray ionization mass spectrometry) and elemental analysis experiments (the full description is presented in the Supporting information).
2.1.7. Stability of the Compounds
For the biological activity evaluation, 1 mM stock solutions of all compounds were prepared in dimethylsulfoxide (DMSO). 1H-NMR spectra of intermediate 4 and of conjugates 24, 28, 33, and 39 in DMSO-d6, recorded at 25 °C 5 min and 100 days after sample preparation, showed no modifications (see Supporting information), demonstrating very good stability of the diruthenium compounds in this highly complexing solvent.
Furthermore, for evaluating the compounds’ potential nucleobase-pairing via H-bonding interactions, 1H-NMR measurements were performed using DMSO-d6 solutions of uracil, thymine, cytosine, and adenine conjugates 23, 24, 25, and 26 and of the respective complementary nucleic bases (see details in Supporting information). These experiments further evidenced the stability of the diruthenium–nucleobase conjugates in DMSO-d6. The presence of weak H-bonding interactions between the conjugates and the nucleobases was demonstrated by the broadening and the small chemical shift changes of the resonance signals corresponding to the NH groups (Figures S3–S7).
Compounds 7, 14, and 30 have an ester linker that can potentially be hydrolyzed in growth media. Comparable conjugates with coumarin and BODIPY fluorescent units linked through ester bonds to the diruthenium unit were recently investigated [93,94]. As a very limited solvolysis of the ester bonds was noticed after 168 h for some compounds, it was concluded that the coumarin and BODIPY diruthenium conjugates exhibit high stability in the conditions used for the biological evaluations [93]. Therefore, it was assumed that compounds 7, 14, and 30 are sufficiently stable for the in vitro evaluation.
2.2. Assessment of the In Vitro Activity against T. gondii β-gal and Host Cells
2.2.1. Primary Screening
The compounds (conjugates and respective intermediates) were subjected to a sequential biological screening. The antiparasitic activity (proliferation inhibition) was evaluated using T. gondii β-gal grown in HFF host cell monolayers and the cytotoxic effects were studied in non-infected HFF monolayers [90]. A first screening (Table 1 and Figure 2) of all compounds against T. gondii β-gal tachyzoites and HFF was carried out at concentrations of 0.1 and 1 µM. In a second screening, the selected compounds (which at 1 µM inhibited T. gondii-β-gal proliferation by at least 90% and impaired the HFF viability not more than 50%) were submitted to dose-response studies to determine the IC50 values, while cytotoxicity in HFF was assessed at 2.5 µM (the results are summarized in Table 2). The same screening strategy was applied in previous studies [111]. Pyrimethamine (IC50 = 0.326 µM) was used as reference compound as shown earlier [93].
Table 1.
Primary cytotoxicity/efficacy screening of all compounds in non-infected HFF cultures and T. gondii β-gal tachyzoites cultured in HFF. Tests were performed in triplicate. The 20 compounds selected for the dose-response study against T. gondii β-gal and the assessment of the toxicity against HFF are highlighted in bold.

Figure 2.
Clustered column chart showing the in vitro activities at 0.1 (top) and 1 µM (bottom) of the tested compounds on HFF viability and T. gondii β-gal proliferation. Non-infected HFF monolayers treated only with 0.1% DMSO exhibited 100% viability and 100% proliferation was attributed to T. gondii β-gal tachyzoites treated only with 0.1% DMSO. For each assay, standard deviations were calculated from triplicates and are displayed on the graph. Data for compounds 2–4 and 8 were previously reported [79,82,97].
The antiparasitic activity of compounds 2–4 and 8 was previously reported and discussed [93,96,111] and the values are provided in Table 1 and Figure 2 for comparison.
From the diruthenium alkyne intermediates 5–8, only derivative 5 presented reduced toxicity on HFF at 1 µM, while amide 8 affected HFF viability even at 0.1 µM. Compound 5 exhibited an improved antiparasitic efficacy compared to its amino diruthenium precursor 2. Ester 7 and amide 8 affected more the proliferation of T. gondii β-gal than the carboxy precursor 3 but also exerted a stronger effect on the host cells viability at 1 µM. Both diruthenium azides 9 and 10 exhibited high activity against the parasite even at 0.1 µM and were moderately toxic to HFF at 1 µM.
The nucleic base intermediates 14A, 15–18, 27, and 32 were non-toxic to the host cells and exhibited no antiparasitic activity against T. gondii β-gal at 1 µM.
In family 1, compound 13, with 2-thioxanthine as one of the thiol bridges, neither affected HFF viability, nor was active against the parasite at both tested concentrations.
The adenine ester conjugate 14 from family 2 exhibited significantly improved antiparasitic activity compared to its precursors 3 and 14A (9-(2-hydroxyethyl) adenine), almost abolishing parasite proliferation at 1 µM, while exhibiting moderate HFF toxicity at the same concentration.
From the compounds of family 3, the uracil, thymine, cytosine, and adenine click conjugates 19–22 were moderately toxic when tested at 1 µM. Nucleobase hybrids 19–22 almost abolished parasite proliferation at 1 µM, but only the cytosine conjugate 21 exhibited a strong antiparasitic effect at 0.1 µM.
Compounds 23–26 did not affect HFF viability at 0.1 µM, but the uracil and adenine derivatives 23 and 26 presented moderate toxicity to the host cells at 1 µM (HFF viability 76% for both). Among compounds 23–26, the thymine functionalized compound 24 had a stronger antiparasitic effect at 0.1 µM, while cytosine derivative 25 had a low effect on parasite proliferation even at 1 µM. Conjugates 23, 24, and 26, bearing uracil, thymine, and adenine, almost abolished parasite proliferation when applied at 1 µM. Overall, compared to the diruthenium azide precursor 10, nucleobase click conjugates 23–26 applied at 1 µM affected HFF to a lower degree, but exhibited reduced antiparasitic activity at 0.1 µM.
When comparing conjugates presenting the same nucleobase in family 3, cytosine derivatives 21 and 25 exhibited the most striking differences in T. gondii β-gal activity. While 21 almost abolished parasite proliferation when applied at 0.1 µM (4%), 25 exerted reduced antiparasitic efficacy even at 1 µM (35%). This suggests that both the linking mode and the type of nucleobase influence the activity of the conjugates.
In family 4, the uracil triazole conjugates 28–31 were non-toxic to HFF at 1 µM. However, among their respective diruthenium alkyne intermediates, only 5 did not affect HFF viability at 1 µM, while 6, 7, and 8 were toxic to the host cells at the same concentration. Analogues 28, 29, and 31, with amide bonds in their linking unit, presented reduced to no efficacy against T. gondii β-gal even at 1 µM. However, compound 30, with an ester bond in the connecting part, presented a significantly stronger antiparasitic effect compared to amide 31 when applied at 1 µM. Related to uracil derivative 31, adenine functionalized compound 33 presented a slightly increased activity against the parasite but also higher cytotoxicity to host cells.
In family 5, toxicity differences were observed between click compounds 34–36 obtained from the diruthenium azide derivative 9. Compound 35 showed important HFF toxicity at 1 µM, while derivative 36 was highly active against the parasite at 0.1 µM and was non-toxic to the host cells even at 1 µM. Interestingly, phenyl derivative 37 presented a similar toxicity profile to its analogue 34 with a different mode of linking to the diruthenium moiety. For compounds presenting the methylene–hydroxy group as substituent, 38 exhibited slightly increased HFF toxicity and a reduced antiparasitic efficacy when applied at 0.1 µM compared to 36. In family 5, compared to precursor diruthenium azides 9 and 10, only click products 36 and 39 exhibited an improved HFF toxicity/parasite efficacy profile.
Comparing adenine conjugates 14, 22, and 26, the most promising candidate for further studies is the ester analogue 14. The uracil hybrids 19, 23, 28, 29, 30, and 31 exhibited reduced toxicity to HFF at 1 µM but also limited activity against the parasite at 0.1 µM. Compounds 19, 23, and 30 presented antiparasitic properties only at 1 µM, while 28, 29, and 31 showed low antiparasitic activity even at this concentration.
2.2.2. IC50 Values against T. gondii β-Gal Tachyzoites and HFF Toxicity at 2.5 µM
In a secondary screening, the dose-response studies (IC50 values) against T. gondii β-gal tachyzoites and the HFF toxicity at 2.5 µM for 20 selected compounds (which, when applied at 1 µM, inhibited T. gondii-β-gal proliferation by at least 90% and did not alter HFF viability by more than 50%) were determined (the results are summarized in Table 2). The same screening strategy was applied in previous studies [111].
Among the diruthenium intermediates, carboxy derivative 3 did not affect HFF viability, amine 2 and propargyl ester 7 exhibited medium toxicity on HFF at 2.5 µM (51% for both), and all the other compounds were highly cytotoxic.
The adenine ester derivative 14 from family 2 was very promising with an IC50 value of 0.059 µM (5 times lower than that of the standard drug pyrimethamine, IC50 = 0.326 µM), and with moderate effect on HFF cells (76% viability at 2.5 µM, a concentration 40 times higher compared to its IC50). Of note, compound 14 exhibited significantly improved antiparasitic activity compared to its diruthenium precursor 3, with a low increase of host cells cytotoxicity [111].
From family 3, only click conjugates 19, 22, 23, and 24 presented medium or low toxicity on the host cells. Adenine compound 22 exhibited a promising IC50 value of 0.108 µM, but also considerably impaired HFF viability (52%). Uracil and thymine click derivatives 23 and 24 had a lower impact on the host cells viability (64 and 85%) but presented IC50 values higher or comparable to that of pyrimethamine (0.426 and 0.357 µM). Interestingly, the ortho substituted conjugates 19–22 are on average slightly more toxic to HFF than the para substituted conjugates 23, 24, and 26. Both uracil and thymine click derivatives 23 and 24 are less toxic to HFF than the parent diruthenium azide derivative 10.
The uracil derivative 30 (click compound presenting an ester bond, family 4) did not affect host cells at 2.5 µM (97%) but exhibited a high IC50 value (0.659 µM).
From the click products with other types of substituents (family 5), compounds 34, 37, and 39 were highly toxic against HFF at 2.5 µM, and thus, anchoring hydrophobic molecules to the diruthenium scaffold via triazole units appears to be detrimental to the toxicity of HFF. The way in which the substituents are linked to the diruthenium scaffold appears to be important as the triazole–phenyl derivative 34 was significantly more toxic to the host cells compared to its analogue 37 (3 vs. 17%). The triazole–hydroxymethylene compounds 36 and 38 exhibited similar IC50 values on T. gondii β-gal (0.111 vs. 0.128 µM) for medium toxicity against HFF (77 vs. 59%). Only conjugates 36 and 38 were less toxic to the host cell compared to the parent diruthenium azide derivatives 9 and 10.
Table 2.
Half maximal inhibitory concentration (IC50) values (µM) on T. gondii β-gal for the 20 selected compounds and their effect at 2.5 µM on HFF viability.
Table 2.
Half maximal inhibitory concentration (IC50) values (µM) on T. gondii β-gal for the 20 selected compounds and their effect at 2.5 µM on HFF viability.

| Compound | R | IC50 (µM) | [LS; LI] c | SE d | HFF Viability (%) e | SD f |
|---|---|---|---|---|---|---|
| Diruthenium intermediates | ||||||
| 4 b | ![]() | 0.038 | [0.060; 0.023] | 0.110 | 4 | 2 |
| 5 | ![]() | 0.038 | [0.050; 0.029] | 0.063 | 34 | 1 |
| 6 | ![]() | 0.288 | [0.348; 0.238] | 0.188 | 17 | 1 |
| 7 | ![]() | 0.289 | [0.363; 0.230] | 0.229 | 51 | 3 |
| 9 | ![]() | 0.048 | [0.058; 0.040] | 0.139 | 11 | 1 |
| 10 | ![]() | 0.064 | [0.080; 0.051] | 0.050 | 38 | 1 |
| Family 2 | ||||||
| 14 | ![]() | 0.059 | [0.085; 0.040] | 0.037 | 76 | 3 |
| Family 3 | ||||||
| 19 | ![]() | 0.460 | [0.626; 0.338] | 0.307 | 50 | 0 |
| 20 | ![]() | 0.363 | [0.371; 0.354] | 0.023 | 39 | 1 |
| 21 | ![]() | 0.046 | [0.058; 0.037] | 0.048 | 38 | 1 |
| 22 | ![]() | 0.108 | [0.141; 0.083] | 0.066 | 52 | 1 |
| 23 | ![]() | 0.426 | [0.553; 0.328] | 0.260 | 64 | 1 |
| 24 | ![]() | 0.357 | [0.418; 0.305] | 0.156 | 85 | 4 |
| 26 | ![]() | 0.178 | [0.226; 0.140] | 0.061 | 45 | 2 |
| Family 4 | ||||||
| 30 | ![]() | 0.659 | [0.684; 0.635] | 0.037 | 97 | 1 |
| Family 5 | ||||||
| 34 | ![]() | 0.092 | [0.108; 0.078] | 0.038 | 3 | 0 |
| 36 | ![]() | 0.111 | [0.135; 0.090] | 0.039 | 77 | 1 |
| 37 | ![]() | 0.096 | [0.122; 0.076] | 0.057 | 17 | 1 |
| 38 | ![]() | 0.128 | [0.164; 0.099] | 0.058 | 59 | 1 |
| 39 | ![]() | 0.075 | [0.091; 0.061] | 0.043 | 1 | 0 |
| Pyrimethamine a | 0.326 | [0.396; 0.288] | 0.051 | 99 | 6 | |
a Compounds reported in Ref. [93]. b Compound reported in Ref. [96]. c Values at 95% confidence interval (CI), LS is the upper limit of CI and LI is the lower limit of CI. d The standard error of the regression (SE) represents the average distance that the observed values fall from the regression line. e Control HFF cells treated only with 0.25% DMSO exhibited 100% viability. f The standard deviation of the mean (six replicate experiments).
No specific SAR (structure–activity relationships) could be identified. Both the attached unit and the connector play an important role in the biological activity. If the interactions of the anchored unit with potential biochemical targets (DNA, proteins) are indeed responsible for the observed biological activity of the conjugates, the structure of some compounds (e.g., those in which the connectors between the two units are longer and more flexible as in conjugates 14, 28 or 30, 31 and 33) could be more favorable compared to that of hybrids in which the access to the pendants is more sterically hindered (e.g., compounds 19–22). The observed biological effects both in terms of host cell toxicity and antiparasitic activity are multifactorial, as along with the attached molecule, the connecting position, the bonds present in the linker and its rigidity, are also very important. Of note, if in the structure of the conjugates the presence of metabolites like nucleobases can favor cell accumulation, the size of the diruthenium unit could constitute a limitative factor in membrane transfer. Assessing the conjugates obtained in this study against other purine auxotrophic parasites, such as Leishmania donovani and Plasmodium falciparum [123] could further validate the proposed approach.
The most interesting compounds that deserve to be considered for further studies are ester 14 (conjugated to 9-(2-oxyethyl)adenine) and click product 36 (bearing a 2-(4-(hydroxymethyl)-1H-1,2,3-triazol-1-yl)methyl substituent). Both 14 and 36 exhibit slightly lower toxicity on HFF compared to the standard drug pyrimethamine but significantly improved antitoxoplasma activity. Adenine ester conjugate 14 exhibits improved antiparasitic properties compared to both its precursors the carboxy diruthenium compound 3 and 9-(2-hydroxyethyl)adenine (14A), and this type of connection should be considered for the future development of other nucleobase conjugates.
The mechanisms of action of trithiolato diruthenium compounds have not yet been elucidated. These compounds generally exhibit reduced water solubility [88] and contrary to other Ru(II)-arene complexes presenting labile chlorine or carboxylate ligands, they do not hydrolyze and are stable in the presence of most biomolecules such as amino acids and DNA [88]. Only the oxidation of cysteine (Cys) and glutathione (GSH) to form cystine and GSSG, respectively, was observed in the presence of some compounds, but no correlation between the in vitro cytotoxicity and the catalytic activity on the oxidation reaction of glutathione was observed [124,125]. Recently, inductively coupled plasma mass spectrometry (ICP-MS) experiments proved that complexes M and N (Figure 1) specifically target the mitochondrion in A2780 ovarian cancer cells [89]. Noteworthy, TEM (transmission electron microscopy) studies of different protozoan parasites (Toxoplasma gondii, Neospora caninum, Trypanosoma brucei) treated with trithiolato dinuclear ruthenium(II)-arene complexes revealed alterations in the mitochondrial ultrastructure pointing out this organelle as a potential target [89]. Interestingly, a similar effect was also observed in the case of trithiolato diruthenium conjugates with coumarin and BODIPY fluorophores [93,94].
The potential cellular and molecular targets of conjugate 14 were recently investigated [126]. Affinity chromatography of parasite extracts on epoxy-sepharose-bound conjugate 14, which is also highly active against T. brucei bloodstream forms [126], showed that this compound interacts with mitochondrial proteins in both parasite species. In T. gondii, a major compound 14 binding protein is an homolog to the human mitochondrial import inner membrane translocase subunit Tim1, which is putatively involved in importing proteins from the cytoplasm into the mitochondrion. The mitochondrion as a major target of ruthenium compounds has been identified earlier in both T. gondii and T. brucei, primarily by TEM [90,91]. However, besides mitochondrial proteins, affinity chromatography has also identified a range of other binding proteins that could be assigned to different cellular pathways, which indicates that this compound could affect several important cellular functions [126]. It is conceivable that, in terms of mode of action, the adenine part of the conjugate 14 could facilitate the uptake of the ruthenium moiety, which would then be processed intracellularly and exert its antiparasitic activity. Further research to clarify the mechanisms that lead to antiparasitic activity is envisaged.
3. Materials and Methods
3.1. Chemistry
The chemistry experimental part, with full description of procedures and characterization data for all compounds, is presented in the Supplementary Materials.
3.2. Biological Evaluation
3.2.1. Cell and Parasite Culture
All tissue culture media were purchased from Gibco-BRL, and biochemical agents were purchased from Sigma-Aldrich. Human foreskin fibroblasts (HFF) were purchased from ATCC, maintained in DMEM (Dulbecco’s Modified Eagle’s Medium) supplemented with 10% fetal calf serum (FCS, Gibco-BRL, Waltham, MA, USA) and antibiotics as previously described [60]. Transgenic T. gondii β-gal (expressing the β-galactosidase gene from Escherichia coli) were kindly provided by Prof. David Sibley (Washington University, St. Louis, MO, USA) and were maintained, isolated, and prepared for new infections as shown before [60,127].
3.2.2. In Vitro Assessment against T. gondii Tachyzoites and Human Foreskin Fibroblasts
The screening cascade for the compounds was described in former studies [111]. All compounds were prepared as 1 mM stock solutions from powder, in dimethyl sulfoxide (DMSO, Sigma, St. Louis, MO, USA). For in vitro activity and cytotoxicity assays, HFF were seeded at 5 × 103/well and allowed to grow to confluence in phenol-red free culture medium at 37 °C and 5% CO2. T. gondii tachyzoites were released from host cells, and HFF monolayers were infected with freshly isolated parasites (1 × 103/well), and compounds were added concomitantly with infection.
In the primary screening, HFF monolayers infected with T. gondii β-gal were treated with 0.1 and 1 µM of each compound, or the corresponding concentration of DMSO (0.01 or 0.1%, respectively) as controls and were incubated for 72 h at 37 °C/5% CO2 as previously described [128].
For the dose-response study (IC50 values), measurements for T. gondii β-gal were performed. The selected compounds were added concomitantly with infection in 8 serial concentrations 0.007, 0.01, 0.03, 0.06, 0.12, 0.25, 0.5, and 1 μM.
To measure the activity of the tested compound on T. gondii β-gal parasites, after a period of 72 h of culture at 37 °C/5% CO2, the culture medium was aspirated, and cells were permeabilized by adding 90 μL PBS (phosphate buffered saline) with 0.05% Triton X-100. Next, 10 μL of 5 mM chlorophenolred-β-D-galactopyranoside (CPRG; Roche Diagnostics, Rotkreuz, Switzerland, substrate for the β-galactosidase) in PBS were added. Release of chlorophenol red was measured at 570 nm using an EnSpire® multimode plate reader (PerkinElmer, Inc., Waltham, MA, USA). A 100% proliferation of T. gondii β-gal was assigned to control parasites treated only with DMSO. For the primary screening at 0.1 and 1 μM, the activity was measured as the release of chlorophenol red over time and was calculated as percentage from the respective DMSO treated control, which represented 100% of T. gondii β-gal growth.
For the IC50 assays, the activity measured as the release of chlorophenol red over time was proportional to the number of live parasites down to 50 per well as determined in pilot assays. IC50 values were calculated after the logit-log-transformation of relative growth and subsequent regression analysis. All calculations were performed using the corresponding software tool contained in the Excel software package (Microsoft, Redmond, WA, USA).
Cytotoxicity assays using uninfected confluent HFF host cells were performed by the alamarBlue assay as previously reported [129]. Confluent HFF monolayers in 96 well-plates were exposed to 0.1, 1, and 2.5 μM of each compound. Non-treated HFF as well as DMSO controls (0.01%, 0.1%, and 0.25%) were included. After 72 h of incubation at 37 °C/5% CO2, the medium was removed, and the plates were washed once with PBS. Resazurin suspended in PBS to a final concentration of 0.01 g/L was added to each well (200 μL/well). Fluorescence was measured at excitation wavelength 530 nm and emission wavelength 590 nM using an EnSpire® multimode plate reader (PerkinElmer, Inc, Waltham, MA, USA). The cytotoxicity values were calculated as percentage of the respective DMSO control, which represented 100% of HFF viability.
4. Conclusions
This study was focused on the synthesis and antiparasitic activity assessment of nucleobase-tethered trithiolato-bridged dinuclear ruthenium(II)-arene compounds, aiming at exploiting the parasite auxotrophies and metabolic peculiarities for nucleic bases. Various synthetic strategies and structural modifications were considered, affording 23 new diruthenium conjugates. The CuAAC reactions proved to be a convenient method for the functionalization of trithiolato diruthenium compounds with various substrates including nucleobase derivatives. The organometallic fragment was used both as alkyne and azide group bearing partner and allowed the isolation of 19 new click conjugates. The conjugate synthesis based on CuAAC reactions can be used to develop other thiolato-bridged ruthenium(II)-arene hybrids in a convenient manner and to construct larger libraries of compounds.
The antiparasitic activity and the toxicity on the host cells were influenced not only by the nature of the molecule appended to the diruthenium scaffold but also by the linker between the two moieties. Even though some of the compounds presented in this study exhibit good antitoxoplasma activity and low HFF toxicity, when considering the overall results, targeting T. gondii metabolic pathways using nucleobase conjugates of trithiolato diruthenium derivatives does not appear to be a promising approach as the hybrid molecules presenting nucleic base units did not necessarily performed better compared to conjugates presenting other types of substituents. However, further evaluations of the conjugates against other nucleobase auxotrophic parasites, such as Leishmania donovani and Plasmodium should be performed to conclusively appraise the proposed strategy.
Ester 14, conjugated to 9-(2-oxyethyl)adenine, and click product 36, bearing a 2-(4-(hydroxymethyl)-1H-1,2,3-triazol-1-yl)methyl substituent, exhibited interesting IC50 values on T. gondii β-gal of 0.059 and 0.111 µM, respectively, with only medium toxicity to HFF at 2.5 µM. These two hybrid molecules deserve further investigations.
Supplementary Materials
The following supporting information can be downloaded at: https://www.mdpi.com/article/10.3390/molecules27238173/s1, Synthetical procedures; Synthesis of the trithiolato-bridged dinuclear ruthenium(II)-arene intermediates 5–7 and 9, 10; Synthesis of the conjugates 11–13 (family 1); Synthesis of the compounds 14 (family 2); Synthesis of the compounds 15–26 (family 3); Synthesis of the compounds 27–33 (family 4); Synthesis of the compounds 34–39 (family 5). Figure S1. 1H NMR spectra of 4 and 24 recorded in DMSO-d6 at 25 °C; (A) recorded 5 min after sample preparation, and (B) sample after >100 days storage at 0–5 °C in the dark. Figure S2. 1H NMR spectra of 28, 33, and 39 recorded in DMSO-d6 at 25 °C; (A) recorded 5 min after sample preparation, and (B) sample after > 100 days storage at 0–5 °C in the dark; Figure S3. Study of H-bond interactions with complementary nucleobases by 1H NMR at r.t. for cytosine conjugate 25 and guanine; Figure S4. Study of H-bond interactions with complementary nucleobases by 1H NMR for uracil conjugate 23 and adenine; Figure S5. Study of H-bond interactions with complementary nucleobases by 1H NMR at r.t. for thymine conjugate 24 and adenine; Figure S6. Study of H-bond interactions with complementary nucleobases by 1H NMR for adenine conjugate 26 and uracil; Figure S7. Study of H-bond interactions with complementary nucleobases by 1H NMR for adenine conjugate 26 and thymine; References [93,96,101,111,112,115,117,118,128,130,131,132,133] are cited in Supplementary Materials.
Author Contributions
Conceptualization, A.H., J.F. and E.P.; Methodology, O.D., G.B., A.H., J.F. and E.P.; Software, M.M., Y.A., O.D., N.A., G.B. and E.P.; Validation, O.D., G.B., A.H., J.F. and E.P.; Formal Analysis, M.M., Y.A., O.D., N.A., G.B. and E.P.; Investigation, M.M, Y.A., O.D., N.A., G.B. and E.P.; Resources, A.H. and J.F.; Data Curation, O.D., G.B., N.A., J.F., A.H. and E.P.; Writing—Original Draft Preparation, O.D., G.B., N.A. and E.P.; Writing—Review & Editing, O.D., G.B., N.A., A.H., J.F. and E.P.; Supervision, G.B., A.H., J.F. and E.P.; Project Administration, A.H. and J.F.; Funding Acquisition, A.H. and J.F. All authors have read and agreed to the published version of the manuscript.
Funding
This work was financially supported by the Swiss Science National Foundation (SNF, Sinergia project CRSII5-173718 and project no. 310030_184662).
Institutional Review Board Statement
Not applicable.
Informed Consent Statement
Not applicable.
Data Availability Statement
The data are included in the article and Supplementary Materials.
Conflicts of Interest
The authors declare no conflict of interest.
References
- Torgerson, P.R.; Devleesschauwer, B.; Praet, N.; Speybroeck, N.; Willingham, A.L.; Kasuga, F.; Rokni, M.B.; Zhou, X.N.; Fevre, E.M.; Sripa, B.; et al. World Health Organization estimates of the global and regional disease burden of 11 foodborne parasitic diseases, 2010: A data synthesis. PLoS Med. 2015, 12, e1001920. [Google Scholar] [CrossRef] [PubMed]
- Meireles, L.R.; Ekman, C.C.; Andrade Jr, H.F.; Luna, E.J. Human toxoplasmosis outbreaks and the agent infecting form. Findings from a systematic review. Rev. Inst. Med. Trop. Sao Paulo 2015, 57, 369–376. [Google Scholar] [CrossRef]
- Neville, A.J.; Zach, S.J.; Wang, X.; Larson, J.J.; Judge, A.K.; Davis, L.A.; Vennerstrom, J.L.; Davis, P.H. Clinically available medicines demonstrating anti-Toxoplasma activity. Antimicrob. Agents Chemother. 2015, 59, 7161–7169. [Google Scholar] [CrossRef] [PubMed]
- Vargas-Villavicencio, J.A.; Besne-Merida, A.; Correa, D. Vertical transmission and fetal damage in animal models of congenital toxoplasmosis: A systematic review. Vet. Parasitol. 2016, 223, 195–204. [Google Scholar] [CrossRef] [PubMed]
- Alday, P.H.; Doggett, J.S. Drugs in development for toxoplasmosis: Advances, challenges, and current status. Drug Des. Dev. Ther. 2017, 11, 273–293. [Google Scholar] [CrossRef]
- Konstantinovic, N.; Guegan, H.; Stajner, T.; Belaz, S.; Robert-Gangneux, F. Treatment of toxoplasmosis: Current options and future perspectives. Food Waterborne Parasitol. 2019, 15, e00036. [Google Scholar] [CrossRef]
- Sibley, L.D. Toxoplasma gondii: Perfecting an intracellular life style. Traffic 2003, 4, 581–586. [Google Scholar] [CrossRef]
- Coppens, I. Exploitation of auxotrophies and metabolic defects in Toxoplasma as therapeutic approaches. Int. J. Parasitol. 2014, 44, 109–120. [Google Scholar] [CrossRef]
- Krug, E.C.; Marr, J.J.; Berens, R.L. Purine metabolism in Toxoplasma gondii. J. Biol. Chem. 1989, 264, 10601–10607. [Google Scholar] [CrossRef]
- Chaudhary, K.; Darling, J.A.; Fohl, L.M.; Sullivan, W.J., Jr.; Donald, R.G.; Pfefferkorn, E.R.; Ullman, B.; Roos, D.S. Purine salvage pathways in the apicomplexan parasite Toxoplasma gondii. J. Biol. Chem. 2004, 279, 31221–31227. [Google Scholar] [CrossRef]
- Perrotto, J.; Keister, D.B.; Gelderman, A.H. Incorporation of precursors into Toxoplasma DNA. J. Protozool. 1971, 18, 470–473. [Google Scholar] [CrossRef]
- Fox, B.A.; Bzik, D.J. Biochemistry and metabolism of Toxoplasma gondii: Purine and pyrimidine acquisition in Toxoplasma gondii and other Apicomplexa. In Toxoplasma gondii. The Model Apicomplexan—Perspectives and Methods, 3rd ed.; Weiss, L.M., Kim, K., Eds.; Academic Press: Cambridge, MA, USA, 2020; pp. 397–449. [Google Scholar]
- Fox, B.A.; Bzik, D.J. De novo pyrimidine biosynthesis is required for virulence of Toxoplasma gondii. Nature 2002, 415, 926–929. [Google Scholar] [CrossRef] [PubMed]
- Fox, B.A.; Bzik, D.J. Avirulent uracil auxotrophs based on disruption of orotidine-5′-monophosphate decarboxylase elicit protective immunity to Toxoplasma gondii. Infect. Immun. 2010, 78, 3744–3752. [Google Scholar] [CrossRef] [PubMed]
- Schwartzman, J.D.; Pfefferkorn, E.R. Pyrimidine synthesis by intracellular Toxoplasma gondii. J. Parasitol. 1981, 67, 150–158. [Google Scholar] [CrossRef] [PubMed]
- Iltzsch, M.H. Pyrimidine salvage pathways in Toxoplasma gondii. J. Eukaryot Microbiol. 1993, 40, 24–28. [Google Scholar] [CrossRef]
- Hajj, R.E.; Tawk, L.; Itani, S.; Hamie, M.; Ezzeddine, J.; El Sabban, M.; El Hajj, H. Toxoplasmosis: Current and emerging parasite druggable targets. Microorganisms 2021, 9, 531. [Google Scholar] [CrossRef]
- Wu, R.Z.; Zhou, H.Y.; Song, J.F.; Xia, Q.H.; Hu, W.; Mou, X.D.; Li, X. Chemotherapeutics for Toxoplasma gondii: Molecular biotargets, binding modes, and structure-activity relationship investigations. J. Med. Chem. 2021, 64, 17627–17655. [Google Scholar] [CrossRef]
- Cajazeiro, D.C.; Toledo, P.P.M.; de Sousa, N.F.; Scotti, M.T.; Reimao, J.Q. Drug repurposing based on protozoan proteome: In vitro evaluation of in silico screened compounds against Toxoplasma gondii. Pharmaceutics 2022, 14, 1634. [Google Scholar] [CrossRef]
- Silva, M.D.; Teixeira, C.; Gomes, P.; Borges, M. Promising drug targets and compounds with anti-Toxoplasma gondii activity. Microorganisms 2021, 9, 1960. [Google Scholar] [CrossRef]
- Hopper, A.T.; Brockman, A.; Wise, A.; Gould, J.; Barks, J.; Radke, J.B.; Sibley, L.D.; Zou, Y.; Thomas, S. Discovery of Selective Toxoplasma gondii Dihydrofolate Reductase Inhibitors for the Treatment of Toxoplasmosis. J. Med. Chem. 2019, 62, 1562–1576. [Google Scholar] [CrossRef]
- Jiang, L.; Liu, B.; Hou, S.; Su, T.; Fan, Q.; Alyafeai, E.; Tang, Y.; Wu, M.; Liu, X.; Li, J.; et al. Discovery and evaluation of chalcone derivatives as novel potential anti-Toxoplasma gondii agents. Eur. J. Med. Chem. 2022, 234, 114244. [Google Scholar] [CrossRef]
- Sadeghi, M.; Sarvi, S.; Emami, S.; Khalilian, A.; Hosseini, S.A.; Montazeri, M.; Shahdin, S.; Nayeri, T.; Daryani, A. Evaluation of anti-parasitic activities of new quinolones containing nitrofuran moiety against Toxoplasma gondii. Exp. Parasitol. 2022, 240, 108344. [Google Scholar] [CrossRef] [PubMed]
- Weglinska, L.; Bekier, A.; Trotsko, N.; Kapron, B.; Plech, T.; Dzitko, K.; Paneth, A. Inhibition of Toxoplasma gondii by 1,2,4-triazole-based compounds: Marked improvement in selectivity relative to the standard therapy pyrimethamine and sulfadiazine. J. Enzyme Inhib. Med. Chem. 2022, 37, 2621–2634. [Google Scholar] [CrossRef]
- Bekier, A.; Gatkowska, J.; Chyb, M.; Sokolowska, J.; Chwatko, G.; Glowacki, R.; Paneth, A.; Dzitko, K. 4-Arylthiosemicarbazide derivatives—Pharmacokinetics, toxicity and anti-Toxoplasma gondii activity in vivo. Eur. J. Med. Chem. 2022, 244, 114812. [Google Scholar] [CrossRef] [PubMed]
- Molina, D.A.; Ramos, G.A.; Zamora-Velez, A.; Gallego-Lopez, G.M.; Rocha-Roa, C.; Gomez-Marin, J.E.; Cortes, E. In vitro evaluation of new 4-thiazolidinones on invasion and growth of Toxoplasma gondii. Int. J. Parasitol. Drugs Drug Resist. 2021, 16, 129–139. [Google Scholar] [CrossRef] [PubMed]
- Araujo-Silva, C.A.; De Souza, W.; Martins-Duarte, E.S.; Vommaro, R.C. HDAC inhibitors Tubastatin A and SAHA affect parasite cell division and are potential anti-Toxoplasma gondii chemotherapeutics. Int. J. Parasitol. Drugs Drug Resist. 2021, 15, 25–35. [Google Scholar] [CrossRef]
- Imhof, D.; Anghel, N.; Winzer, P.; Balmer, V.; Ramseier, J.; Hanggeli, K.; Choi, R.; Hulverson, M.A.; Whitman, G.R.; Arnold, S.L.M.; et al. In vitro activity, safety and in vivo efficacy of the novel bumped kinase inhibitor BKI-1748 in non-pregnant and pregnant mice experimentally infected with Neospora caninum tachyzoites and Toxoplasma gondii oocysts. Int. J. Parasitol. Drugs Drug Resist. 2021, 16, 90–101. [Google Scholar] [CrossRef]
- Doggett, J.S.; Schultz, T.; Miller, A.J.; Bruzual, I.; Pou, S.; Winter, R.; Dodean, R.; Zakharov, L.N.; Nilsen, A.; Riscoe, M.K.; et al. Orally bioavailable endochin-like quinolone carbonate ester prodrug reduces Toxoplasma gondii brain cysts. Antimicrob. Agents Chemother. 2020, 64, e00535-20. [Google Scholar] [CrossRef]
- Muller, J.; Boubaker, G.; Imhof, D.; Hanggeli, K.; Haudenschild, N.; Uldry, A.C.; Braga-Lagache, S.; Heller, M.; Ortega-Mora, L.M.; Hemphill, A. Differential affinity chromatography coupled to mass spectrometry: A suitable tool to identify common binding proteins of a broad-range antimicrobial peptide derived from leucinostatin. Biomedicines 2022, 10, 2675. [Google Scholar] [CrossRef]
- Martynowicz, J.; Doggett, J.S.; Sullivan, W.J., Jr. Efficacy of Guanabenz combination therapy against chronic toxoplasmosis across multiple mouse strains. Antimicrob. Agents Chemother. 2020, 64, e00539-20. [Google Scholar] [CrossRef]
- Hammarton, T.C.; Mottram, J.C.; Doerig, C. The cell cycle of parasitic protozoa: Potential for chemotherapeutic exploitation. Prog. Cell. Cycle Res. 2003, 5, 91–101. [Google Scholar] [PubMed]
- Mukherjee, S.; Mukherjee, N.; Gayen, P.; Roy, P.; Babu, S.P. Metabolic inhibitors as antiparasitic drugs: Pharmacological, biochemical and molecular perspectives Curr. Drug. Metab. 2016, 17, 937–970. [Google Scholar] [CrossRef] [PubMed]
- de Koning, H.P.; Bridges, D.J.; Burchmore, R.J. Purine and pyrimidine transport in pathogenic protozoa: From biology to therapy. FEMS Microbiol. Rev. 2005, 29, 987–1020. [Google Scholar] [CrossRef] [PubMed]
- el Kouni, M.H. Potential chemotherapeutic targets in the purine metabolism of parasites. Pharmacol. Ther. 2003, 99, 283–309. [Google Scholar] [CrossRef] [PubMed]
- el Kouni, M.H. Adenosine metabolism in Toxoplasma gondii: Potential targets for chemotherapy. Curr. Pharm. Des. 2007, 13, 581–597. [Google Scholar] [CrossRef]
- Wang, Y.; Karnataki, A.; Parsons, M.; Weiss, L.M.; Orlofsky, A. 3-Methyladenine blocks Toxoplasma gondii division prior to centrosome replication. Mol. Biochem. Parasitol. 2010, 173, 142–153. [Google Scholar] [CrossRef][Green Version]
- Kim, Y.A.; Rawal, R.K.; Yoo, J.; Sharon, A.; Jha, A.K.; Chu, C.K.; Rais, R.H.; Al Safarjalani, O.N.; Naguib, F.N.; El Kouni, M.H. Structure-activity relationships of carbocyclic 6-benzylthioinosine analogues as subversive substrates of Toxoplasma gondii adenosine kinase. Bioorg. Med. Chem. 2010, 18, 3403–3412. [Google Scholar] [CrossRef]
- Kim, Y.A.; Sharon, A.; Chu, C.K.; Rais, R.H.; Al Safarjalani, O.N.; Naguib, F.N.; el Kouni, M.H. Synthesis, biological evaluation and molecular modeling studies of N6-benzyladenosine analogues as potential anti-toxoplasma agents. Biochem. Pharmacol. 2007, 73, 1558–1572. [Google Scholar] [CrossRef]
- Gherardi, A.; Sarciron, M.E. Molecules targeting the purine salvage pathway in apicomplexan parasites. Trends Parasitol. 2007, 23, 384–389. [Google Scholar] [CrossRef]
- Sullivan, W.J., Jr.; Dixon, S.E.; Li, C.; Striepen, B.; Queener, S.F. IMP dehydrogenase from the protozoan parasite Toxoplasma gondii. Antimicrob. Agents Chemother. 2005, 49, 2172–2179. [Google Scholar] [CrossRef]
- Al Safarjalani, O.N.; Naguib, F.N.; El Kouni, M.H. Uptake of nitrobenzylthioinosine and purine beta-L-nucleosides by intracellular Toxoplasma gondii. Antimicrob. Agents Chemother. 2003, 47, 3247–3251. [Google Scholar] [CrossRef] [PubMed]
- Azzouz, S.; Lawton, P. In vitro effects of purine and pyrimidine analogues on Leishmania donovani and Leishmania infantum promastigotes and intracellular amastigotes. Acta Parasitol. 2017, 62, 582–588. [Google Scholar] [CrossRef]
- Al Safarjalani, O.N.; Rais, R.H.; Kim, Y.A.; Chu, C.K.; Naguib, F.N.; El Kouni, M.H. Carbocyclic 6-benzylthioinosine analogues as subversive substrates of Toxoplasma gondii adenosine kinase: Biological activities and selective toxicities. Biochem. Pharmacol. 2010, 80, 955–963. [Google Scholar] [CrossRef]
- Donaldson, T.M.; Cassera, M.B.; Ho, M.C.; Zhan, C.; Merino, E.F.; Evans, G.B.; Tyler, P.C.; Almo, S.C.; Schramm, V.L.; Kim, K. Inhibition and structure of Toxoplasma gondii purine nucleoside phosphorylase. Eukaryot Cell 2014, 13, 572–579. [Google Scholar] [CrossRef]
- Anthony, E.J.; Bolitho, E.M.; Bridgewater, H.E.; Carter, O.W.L.; Donnelly, J.M.; Imberti, C.; Lant, E.C.; Lermyte, F.; Needham, R.J.; Palau, M.; et al. Metallodrugs are unique: Opportunities and challenges of discovery and development Chem. Sci. 2020, 11, 12888–12917. [Google Scholar] [CrossRef] [PubMed]
- Loginova, N.V.; Harbatsevich, H.I.; Osipovich, N.P.; Ksendzova, G.A.; Koval’chuk, T.V.; Polozov, G.I. Metal complexes as promising agents for biomedical applications. Curr. Med. Chem. 2020, 27, 5213–5249. [Google Scholar] [CrossRef] [PubMed]
- Ong, Y.C.; Gasser, G. Organometallic compounds in drug discovery: Past, present and future. Drug Discov. Today Technol. 2020, 37, 117–124. [Google Scholar] [CrossRef]
- Konkankit, C.C.; Marker, S.C.; Knopf, K.M.; Wilson, J.J. Anticancer activity of complexes of the third row transition metals, rhenium, osmium, and iridium. Dalton Trans. 2018, 47, 9934–9974. [Google Scholar] [CrossRef]
- Simpson, P.V.; Desai, N.M.; Casari, I.; Massi, M.; Falasca, M. Metal-based antitumor compounds: Beyond cisplatin. Future Med. Chem. 2019, 11, 119–135. [Google Scholar] [CrossRef]
- Gasser, G.; Ott, I.; Metzler-Nolte, N. Organometallic anticancer compounds. J. Med. Chem. 2011, 54, 3–25. [Google Scholar] [CrossRef]
- Deng, Y.; Wu, T.; Zhai, S.Q.; Li, C.H. Recent progress on anti-Toxoplasma drugs discovery: Design, synthesis and screening. Eur. J. Med. Chem. 2019, 183, 111711. [Google Scholar] [CrossRef] [PubMed]
- Mbaba, M.; Golding, T.M.; Smith, G.S. Recent advances in the biological investigation of organometallic platinum-group metal (Ir, Ru, Rh, Os, Pd, Pt) complexes as antimalarial agents. Molecules 2020, 25, 5276. [Google Scholar] [CrossRef]
- Gambino, D.; Otero, L. Design of prospective antiparasitic metal-based compounds including selected organometallic cores. Inorg. Chim. Acta 2018, 472, 58–75. [Google Scholar] [CrossRef]
- Navarro, M.; Justo, R.M.S.; Delgado, G.Y.S.; Visbal, G. Metallodrugs for the treatment of Trypanosomatid diseases: Recent advances and new insights. Curr. Pharm. Des. 2021, 27, 1763–1789. [Google Scholar] [CrossRef] [PubMed]
- Brown, R.W.; Hyland, C.J.T. Medicinal organometallic chemistry—An emerging strategy for the treatment of neglected tropical diseases Med. Chem. Commun. 2015, 6, 1230–1243. [Google Scholar] [CrossRef]
- Ong, Y.C.; Roy, S.; Andrews, P.C.; Gasser, G. Metal compounds against neglected tropical diseases. Chem. Rev. 2019, 119, 730–796. [Google Scholar] [CrossRef] [PubMed]
- Coverdale, J.P.C.; Laroiya-McCarron, T.; Romero-Canelón, I. Designing ruthenium anticancer drugs: What have we learnt from the key drug candidates? Inorganics 2019, 7, 31. [Google Scholar] [CrossRef]
- Lee, S.Y.; Kim, C.Y.; Nam, T.G. Ruthenium complexes as anticancer agents: A brief history and perspectives. Drug Des. Dev. Ther. 2020, 14, 5375–5392. [Google Scholar] [CrossRef] [PubMed]
- Barna, F.; Debache, K.; Vock, C.A.; Kuster, T.; Hemphill, A. In vitro effects of novel ruthenium complexes in Neospora caninum and Toxoplasma gondii tachyzoites. Antimicrob. Agents Chemother. 2013, 57, 5747–5754. [Google Scholar] [CrossRef] [PubMed]
- Gambino, D.; Otero, L. Perspectives on what ruthenium-based compounds could offer in the development of potential antiparasitic drugs. Inorg. Chim. Acta 2012, 393, 103–114. [Google Scholar] [CrossRef]
- Adams, M.; Li, Y.; Khot, H.; De Kock, C.; Smith, P.J.; Land, K.; Chibale, K.; Smith, G.S. The synthesis and antiparasitic activity of aryl- and ferrocenyl-derived thiosemicarbazone ruthenium(II)-arene complexes. Dalton Trans. 2013, 42, 4677–4685. [Google Scholar] [CrossRef] [PubMed]
- Fernandez, M.; Arce, E.R.; Sarniguet, C.; Morais, T.S.; Tomaz, A.I.; Azar, C.O.; Figueroa, R.; Diego Maya, J.; Medeiros, A.; Comini, M.; et al. Novel ruthenium(II) cyclopentadienyl thiosemicarbazone compounds with antiproliferative activity on pathogenic trypanosomatid parasites. J. Inorg. Biochem. 2015, 153, 306–314. [Google Scholar] [CrossRef] [PubMed]
- Stringer, T.; Quintero, M.A.S.; Wiesner, L.; Smith, G.S.; Nordlander, E. Evaluation of PTA-derived ruthenium(II) and iridium(III) quinoline complexes against chloroquine-sensitive and resistant strains of the Plasmodium falciparum malaria parasite. J. Inorg. Biochem. 2019, 191, 164–173. [Google Scholar] [CrossRef]
- Fandzloch, M.; Jedrzejewski, T.; Dobrzanska, L.; Esteban-Parra, G.M.; Wisniewska, J.; Paneth, A.; Paneth, P.; Sitkowski, J. New organometallic ruthenium(II) complexes with purine analogs—A wide perspective on their biological application. Dalton Trans. 2021, 50, 5557–5573. [Google Scholar] [CrossRef]
- Wang, X.; Guo, Z. Targeting and delivery of platinum-based anticancer drugs. Chem. Soc. Rev. 2013, 42, 202–224. [Google Scholar] [CrossRef]
- Kenny, R.G.; Marmion, C.J. Toward multi-targeted platinum and ruthenium drugs—A new paradigm in cancer drug treatment regimens? Chem. Rev. 2019, 119, 1058–1137. [Google Scholar] [CrossRef] [PubMed]
- Zhao, Y.; Kang, Y.; Xu, F.; Zheng, W.; Luo, Q.; Zhang, Y.; Jia, F.; Wang, F. Pharmacophore conjugation strategy for multi-targeting metal-based anticancer complexes. In Advances in Inorganic Chemistry; Sadler, P.J., van Eldik, R., Eds.; Academic Press: Cambridge, MA, USA, 2020; Volume 75, pp. 257–285. [Google Scholar]
- Kowalski, K. Organometallic nucleosides—Synthesis, transformations, and applications Coord. Chem. Rev. 2021, 432, 213705. [Google Scholar] [CrossRef]
- Kowalski, K. Ferrocenyl-nucleobase complexes: Synthesis, chemistry and applications. Coord. Chem. Rev. 2016, 317, 132–156. [Google Scholar] [CrossRef]
- Singh, A.; Lumb, I.; Mehra, V.; Kumar, V. Ferrocene-appended pharmacophores: An exciting approach for modulating the biological potential of organic scaffolds. Dalton Trans. 2019, 48, 2840–2860. [Google Scholar] [CrossRef]
- Daniluk, M.; Buchowicz, W.; Koszytkowska-Stawińska, M.; Jarząbek, K.; Jarzembska, K.N.; Kamiński, R.; Piszcz, M.; Laudy, A.E.; Tyski, S. Ferrocene amino acid ester uracil conjugates: Synthesis, structure, electrochemistry and antimicrobial evaluation. ChemistrySelect 2019, 4, 11130–11135. [Google Scholar] [CrossRef]
- James, P.; Neudorfl, J.; Eissmann, M.; Jesse, P.; Prokop, A.; Schmalz, H.G. Enantioselective synthesis of ferrocenyl nucleoside analogues with apoptosis-inducing activity. Org. Lett. 2006, 8, 2763–2766. [Google Scholar] [CrossRef] [PubMed]
- Florindo, P.R.; Pereira, D.M.; Borralho, P.M.; Piedade, M.F.M.; Conceição Oliveira, M.; Dias, A.M.; Rodrigues, C.M.P.; Fernandes, A.C. Organoruthenium(II) nucleoside conjugates as colon cytotoxic agents. New J. Chem. 2019, 43, 1195–1205. [Google Scholar] [CrossRef]
- Leitao, M.I.P.S.; Herrera, F.; Petronilho, A. N-Heterocyclic Carbenes Derived from Guanosine: Synthesis and Evidences of Their Antiproliferative Activity. ACS Omega 2018, 3, 15653–15656. [Google Scholar] [CrossRef] [PubMed]
- Collado, A.; Gómez-Gallego, M.; Sierra, M.A. Nucleobases having M–C bonds: An emerging bio-organometallic field. Eur. J. Org. Chem. 2018, 2018, 1617–1623. [Google Scholar] [CrossRef]
- Kaczmarek, R.; Korczynski, D.; Krolewska-Golinska, K.; Wheeler, K.A.; Chavez, F.A.; Mikus, A.; Dembinski, R. Organometallic nucleosides: Synthesis and biological evaluation of substituted dicobalt hexacarbonyl 2′-deoxy-5-oxopropynyluridines. ChemistryOpen 2018, 7, 237–247. [Google Scholar] [CrossRef] [PubMed]
- Nguyen, H.V.; Sallustrau, A.; Balzarini, J.; Bedford, M.R.; Eden, J.C.; Georgousi, N.; Hodges, N.J.; Kedge, J.; Mehellou, Y.; Tselepis, C.; et al. Organometallic nucleoside analogues with ferrocenyl linker groups: Synthesis and cancer cell line studies. J. Med. Chem. 2014, 57, 5817–5822. [Google Scholar] [CrossRef] [PubMed]
- Ismail, M.K.; Khan, Z.; Rana, M.; Horswell, S.L.; Male, L.; Nguyen, H.V.; Perotti, A.; Romero-Canelon, I.; Wilkinson, E.A.; Hodges, N.J.; et al. Effect of regiochemistry and methylation on the anticancer activity of a ferrocene-containing organometallic nucleoside analogue. ChemBioChem 2020, 21, 2487–2494. [Google Scholar] [CrossRef]
- Skiba, J.; Kowalski, K.; Prochnicka, A.; Ott, I.; Solecka, J.; Rajnisz, A.; Therrien, B. Metallocene-uracil conjugates: Synthesis and biological evaluation of novel mono-, di- and tri-nuclear systems. J. Organomet. Chem. 2015, 782, 52–61. [Google Scholar] [CrossRef]
- Singh, A.; Biot, C.; Viljoen, A.; Dupont, C.; Kremer, L.; Kumar, K.; Kumar, V. 1H-1,2,3-triazole-tethered uracil-ferrocene and uracil-ferrocenylchalcone conjugates: Synthesis and antitubercular evaluation. Chem. Biol. Drug Des. 2017, 89, 856–861. [Google Scholar] [CrossRef] [PubMed]
- Rep, V.; Piskor, M.; Simek, H.; Misetic, P.; Grbcic, P.; Padovan, J.; Gabelica Markovic, V.; Jadresko, D.; Pavelic, K.; Kraljevic Pavelic, S.; et al. Purine and purine isostere derivatives of ferrocene: An evaluation of ADME, antitumor and electrochemical properties. Molecules 2020, 25, 1570. [Google Scholar] [CrossRef]
- Djaković, S.; Glavaš-Obrovac, L.; Lapić, J.; Maračić, S.; Kirchofer, J.; Knežević, M.; Jukić, M.; Raić-Malić, S. Synthesis and biological evaluations of mono- and bis-ferrocene uracil derivatives. Appl. Organomet. Chem. 2020, 35, e6052. [Google Scholar] [CrossRef]
- Kowalski, K.; Szczupak, L.; Saloman, S.; Steverding, D.; Jablonski, A.; Vrcek, V.; Hildebrandt, A.; Lang, H.; Rybarczyk-Pirek, A. Cymantrene, cyrhetrene and ferrocene nucleobase conjugates: Synthesis, structure, computational study, electrochemistry and antitrypanosomal activity. ChemPlusChem 2017, 82, 303–314. [Google Scholar] [CrossRef] [PubMed]
- Liu, K.-G.; Cai, X.-Q.; Li, X.-C.; Qin, D.-A.; Hu, M.-L. Arene-ruthenium(II) complexes containing 5-fluorouracil-1-methyl isonicotinate: Synthesis and characterization of their anticancer activity. Inorg. Chim. Acta 2012, 388, 78–83. [Google Scholar] [CrossRef]
- Li, Z.J.; Hou, Y.; Qin, D.A.; Jin, Z.M.; Hu, M.L. Two half-sandwiched ruthenium (II) compounds containing 5-fluorouracil derivatives: Synthesis and study of DNA intercalation. PLoS ONE 2015, 10, e0120211. [Google Scholar] [CrossRef] [PubMed]
- Florindo, P.R.; Pereira, D.M.; Borralho, P.M.; Costa, P.J.M.; Rodrigues, C.M.P.; Piedade, M.F.M.; Fernandes, A.C. New [(η5-C5H5)Ru(N–N)(PPh3)][PF6] compounds: Colon anticancer activity and GLUT-mediated cellular uptake of carbohydrate-appended complexes. Dalton Trans. 2016, 45, 11926–11930. [Google Scholar] [CrossRef]
- Furrer, J.; Süss-Fink, G. Thiolato-bridged dinuclear arene ruthenium complexes and their potential as anticancer drugs. Coord. Chem. Rev. 2016, 309, 36–50. [Google Scholar] [CrossRef]
- Basto, A.P.; Anghel, N.; Rubbiani, R.; Muller, J.; Stibal, D.; Giannini, F.; Suss-Fink, G.; Balmer, V.; Gasser, G.; Furrer, J.; et al. Targeting of the mitochondrion by dinuclear thiolato-bridged arene ruthenium complexes in cancer cells and in the apicomplexan parasite Neospora caninum. Metallomics 2019, 11, 462–474. [Google Scholar] [CrossRef]
- Basto, A.P.; Muller, J.; Rubbiani, R.; Stibal, D.; Giannini, F.; Suss-Fink, G.; Balmer, V.; Hemphill, A.; Gasser, G.; Furrer, J. Characterization of the activities of dinuclear thiolato-bridged arene ruthenium complexes against Toxoplasma gondii. Antimicrob. Agents Chemother. 2017, 61, e01017–e01031. [Google Scholar] [CrossRef]
- Jelk, J.; Balmer, V.; Stibal, D.; Giannini, F.; Suss-Fink, G.; Butikofer, P.; Furrer, J.; Hemphill, A. Anti-parasitic dinuclear thiolato-bridged arene ruthenium complexes alter the mitochondrial ultrastructure and membrane potential in Trypanosoma brucei bloodstream forms. Exp. Parasitol. 2019, 205, 107753. [Google Scholar] [CrossRef]
- Giannini, F.; Bartoloni, M.; Paul, L.E.H.; Süss-Fink, G.; Reymond, J.-L.; Furrer, J. Cytotoxic peptide conjugates of dinuclear areneruthenium trithiolato complexes. Med. Chem. Commun. 2015, 6, 347–350. [Google Scholar] [CrossRef]
- Desiatkina, O.; Paunescu, E.; Mosching, M.; Anghel, N.; Boubaker, G.; Amdouni, Y.; Hemphill, A.; Furrer, J. Coumarin-tagged dinuclear trithiolato-bridged ruthenium(II)-arene complexes: Photophysical properties and antiparasitic activity. ChemBioChem 2020, 21, 2818–2835. [Google Scholar] [CrossRef] [PubMed]
- Desiatkina, O.; Boubaker, G.; Anghel, N.; Amdouni, Y.; Hemphill, A.; Furrer, J.; Paunescu, E. Synthesis, photophysical properties and biological evaluation of new conjugates BODIPY—Dinuclear trithiolato-bridged ruthenium(II)-arene complexes. ChemBioChem, 2022; in press. [Google Scholar] [CrossRef] [PubMed]
- Stibal, D.; Therrien, B.; Suss-Fink, G.; Nowak-Sliwinska, P.; Dyson, P.J.; Cermakova, E.; Rezacova, M.; Tomsik, P. Chlorambucil conjugates of dinuclear p-cymene ruthenium trithiolato complexes: Synthesis, characterization and cytotoxicity study in vitro and in vivo. J. Biol. Inorg. Chem. 2016, 21, 443–452. [Google Scholar] [CrossRef]
- Desiatkina, O.; Johns, S.K.; Anghel, N.; Boubaker, G.; Hemphill, A.; Furrer, J.; Păunescu, E. Synthesis and antiparasitic activity of new conjugates-organic drugs tethered to trithiolato-bridged dinuclear ruthenium(II)–arene complexes. Inorganics 2021, 9, 59. [Google Scholar] [CrossRef]
- Liang, L.; Astruc, D. The copper(I)-catalyzed alkyne-azide cycloaddition (CuAAC) “click” reaction and its applications. An overview. Coord. Chem. Rev. 2011, 255, 2933–2945. [Google Scholar] [CrossRef]
- Meldal, M.; Tornoe, C.W. Cu-catalyzed azide-alkyne cycloaddition. Chem. Rev. 2008, 108, 2952–3015. [Google Scholar] [CrossRef]
- Zhang, W.Y.; Banerjee, S.; Imberti, C.; Clarkson, G.J.; Wang, Q.; Zhong, Q.; Young, L.S.; Romero-Canelon, I.; Zeng, M.; Habtemariam, A.; et al. Strategies for conjugating iridium(III) anticancer complexes to targeting peptides via copper-free click chemistry. Inorg. Chim. Acta 2020, 503, 119396. [Google Scholar] [CrossRef] [PubMed]
- Farrer, N.J.; Griffith, D.M. Exploiting azide-alkyne click chemistry in the synthesis, tracking and targeting of platinum anticancer complexes. Curr. Opin. Chem. Biol. 2020, 55, 59–68. [Google Scholar] [CrossRef]
- Zabarska, N.; Stumper, A.; Rau, S. CuAAC click reactions for the design of multifunctional luminescent ruthenium complexes. Dalton Trans. 2016, 45, 2338–2351. [Google Scholar] [CrossRef]
- Wang, X.; Zhu, M.; Gao, F.; Wei, W.; Qian, Y.; Liu, H.K.; Zhao, J. Imaging of a clickable anticancer iridium catalyst. J. Inorg. Biochem. 2018, 180, 179–185. [Google Scholar] [CrossRef]
- Ganesh, V.; Sudhir, V.S.; Kundu, T.; Chandrasekaran, S. 10 years of click chemistry: Synthesis and applications of ferrocene-derived triazoles. Chem. Asian J. 2011, 6, 2670–2694. [Google Scholar] [CrossRef]
- Singh, G.; Arora, A.; Kalra, P.; Maurya, I.K.; Ruizc, C.E.; Estebanc, M.A.; Sinha, S.; Goyal, K.; Sehgal, R. A strategic approach to the synthesis of ferrocene appended chalcone linked triazole allied organosilatranes: Antibacterial, antifungal, antiparasitic and antioxidant studies. Bioorg. Med. Chem. 2019, 27, 188–195. [Google Scholar] [CrossRef] [PubMed]
- Kumar, K.; Carrere-Kremer, S.; Kremer, L.; Guerardel, Y.; Biot, C.; Kumar, V. Azide-alkyne cycloaddition en route towards 1H-1,2,3-triazole-tethered beta-lactam-ferrocene and beta-lactam-ferrocenylchalcone conjugates: Synthesis and in vitro anti-tubercular evaluation. Dalton Trans. 2013, 42, 1492–1500. [Google Scholar] [CrossRef] [PubMed]
- Singh, A.; Viljoen, A.; Kremer, L.; Kumar, V. Azide-alkyne cycloaddition en route to 4-aminoquinoline-ferrocenylchalcone conjugates: Synthesis and anti-TB evaluation. Future Med. Chem. 2017, 9, 1701–1708. [Google Scholar] [CrossRef]
- Kroll, A.; Monczak, K.; Sorsche, D.; Rau, S. A luminescent ruthenium azide complex as a substrate for copper-catalyzed click reactions. Eur. J. Inorg. Chem. 2014, 2014, 3462–3466. [Google Scholar] [CrossRef]
- Karmis, R.E.; Carrara, S.; Baxter, A.A.; Hogan, C.F.; Hulett, M.D.; Barnard, P.J. Luminescent iridium(III) complexes of N-heterocyclic carbene ligands prepared using the ‘click reaction’. Dalton Trans. 2019, 48, 9998–10010. [Google Scholar] [CrossRef]
- Mandal, S.; Das, R.; Gupta, P.; Mukhopadhyay, B. Synthesis of a sugar-functionalized iridium complex and its application as a fluorescent lectin sensor. Tetrahedron Lett. 2012, 53, 3915–3918. [Google Scholar] [CrossRef]
- Kolb, H.C.; Sharpless, K.B. The growing impact of click chemistry on drug discovery. Drug Discov. Today 2003, 8, 1128–1137. [Google Scholar] [CrossRef] [PubMed]
- Păunescu, E.; Boubaker, G.; Desiatkina, O.; Anghel, N.; Amdouni, Y.; Hemphill, A.; Furrer, J. The quest of the best—A SAR study of trithiolato-bridged dinuclear ruthenium(II)-arene compounds presenting antiparasitic properties. Eur. J. Med. Chem. 2021, 222, 113610. [Google Scholar] [CrossRef]
- Păunescu, E.; Louise, L.; Jean, L.; Romieu, A.; Renard, P.-Y. A versatile access to new halogenated 7-azidocoumarins for photoaffinity labeling: Synthesis and photophysical properties. Dyes Pigm. 2011, 91, 427–434. [Google Scholar] [CrossRef]
- Kitamura, M.; Kato, S.; Yano, M.; Tashiro, N.; Shiratake, Y.; Sando, M.; Okauchi, T. A reagent for safe and efficient diazo-transfer to primary amines: 2-azido-1,3-dimethylimidazolinium hexafluorophosphate. Org. Biomol. Chem. 2014, 12, 4397–4406. [Google Scholar] [CrossRef]
- Beckmann, H.S.; Wittmann, V. One-pot procedure for diazo transfer and azide-alkyne cycloaddition: Triazole linkages from amines. Org. Lett. 2007, 9, 1–4. [Google Scholar] [CrossRef] [PubMed]
- Roy, B.; Dutta, S.; Choudhary, A.; Basak, A.; Dasgupta, S. Design, synthesis and RNase A inhibition activity of catechin and epicatechin and nucleobase chimeric molecules. Bioorg. Med. Chem. Lett. 2008, 18, 5411–5414. [Google Scholar] [CrossRef] [PubMed]
- Vo, D.D.; Duca, M. Design of Multimodal Small Molecules Targeting miRNAs Biogenesis: Synthesis and In Vitro Evaluation; Schmidt, M.F., Ed.; Springer: New York, NY, USA, 2017. [Google Scholar]
- Krim, J.; Taourirte, M.; Engels, J.W. Synthesis of 1,4-disubstituted mono and bis-triazolocarbo-acyclonucleoside analogues of 9-(4-hydroxybutyl)guanine by Cu(I)-catalyzed click azide-alkyne cycloaddition. Molecules 2011, 17, 179–190. [Google Scholar] [CrossRef] [PubMed]
- Lolk, L.; Pohlsgaard, J.; Jepsen, A.S.; Hansen, L.H.; Nielsen, H.; Steffansen, S.I.; Sparving, L.; Nielsen, A.B.; Vester, B.; Nielsen, P. A click chemistry approach to pleuromutilin conjugates with nucleosides or acyclic nucleoside derivatives and their binding to the bacterial ribosome. J. Med. Chem. 2008, 51, 4957–4967. [Google Scholar] [CrossRef]
- Krim, J.; Sillahi, B.; Taourirte, M.; Rakib, E.M.; Engels, J.W. Microwave-assisted click chemistry: Synthesis of mono and bis-1,2,3-triazole acyclonucleoside analogues of Acyclovir via copper(I)-catalyzed cycloaddition. ARKIVOC 2009, 2009, 142–152. [Google Scholar] [CrossRef]
- Lindsell, W.E.; Murray, C.; Preston, P.N.; Woodman, T.A.J. Synthesis of 1,3-diynes in the purine, pyrimidine, 1,3,5-triazine and acridine series. Tetrahedron 2000, 56, 1233–1245. [Google Scholar] [CrossRef]
- Rocha, D.H.A.; Machado, C.M.; Sousa, V.; Sousa, C.F.V.; Silva, V.L.M.; Silva, A.M.S.; Borges, J.; Mano, J.F. Customizable and regioselective one-pot N−H Functionalization of DNA nucleobases to create a library of nucleobase derivatives for biomedical applications. Eur. J. Org. Chem. 2021, 2021, 4423–4433. [Google Scholar] [CrossRef]
- Zhang, X.; Liu, P.; Zhu, L. Structural determinants of alkyne reactivity in copper-catalyzed azide-alkyne cycloadditions. Molecules 2016, 21, 1697. [Google Scholar] [CrossRef]
- Kokina, A.; Ozolina, Z.; Liepins, J. Purine auxotrophy: Possible applications beyond genetic marker. Yeast 2019, 36, 649–656. [Google Scholar] [CrossRef]
- Giannini, F.; Furrer, J.; Ibao, A.F.; Suss-Fink, G.; Therrien, B.; Zava, O.; Baquie, M.; Dyson, P.J.; Stepnicka, P. Highly cytotoxic trithiophenolatodiruthenium complexes of the type [(eta6-p-MeC6H4Pri)2Ru2(SC6H4-p-X)3]+: Synthesis, molecular structure, electrochemistry, cytotoxicity, and glutathione oxidation potential. J. Biol. Inorg. Chem. 2012, 17, 951–960. [Google Scholar] [CrossRef] [PubMed]
- Giannini, F.; Suss-Fink, G.; Furrer, J. Efficient oxidation of cysteine and glutathione catalyzed by a dinuclear areneruthenium trithiolato anticancer complex. Inorg. Chem. 2011, 50, 10552–10554. [Google Scholar] [CrossRef][Green Version]
- Anghel, N.; Muller, J.; Serricchio, M.; Jelk, J.; Butikofer, P.; Boubaker, G.; Imhof, D.; Ramseier, J.; Desiatkina, O.; Paunescu, E.; et al. Cellular and molecular targets of nucleotide-tagged trithiolato-bridged arene ruthenium complexes in the protozoan parasites Toxoplasma gondii and Trypanosoma brucei. Int. J. Mol. Sci. 2021, 22, 10787. [Google Scholar] [CrossRef] [PubMed]
- McFadden, D.C.; Seeber, F.; Boothroyd, J.C. Use of Toxoplasma gondii expressing beta-galactosidase for colorimetric assessment of drug activity in vitro. Antimicrob. Agents Chemother. 1997, 41, 1849–1853. [Google Scholar] [CrossRef]
- Studer, V.; Anghel, N.; Desiatkina, O.; Felder, T.; Boubaker, G.; Amdouni, Y.; Ramseier, J.; Hungerbuhler, M.; Kempf, C.; Heverhagen, J.T.; et al. Conjugates containing two and three trithiolato-bridged dinuclear ruthenium(II)-arene units as in vitro antiparasitic and anticancer agents. Pharmaceuticals 2020, 13, 471. [Google Scholar] [CrossRef] [PubMed]
- Muller, J.; Aguado-Martinez, A.; Manser, V.; Balmer, V.; Winzer, P.; Ritler, D.; Hostettler, I.; Arranz-Solis, D.; Ortega-Mora, L.; Hemphill, A. Buparvaquone is active against Neospora caninum in vitro and in experimentally infected mice. Int. J. Parasitol. Drugs Drug. Resist. 2015, 5, 16–25. [Google Scholar] [CrossRef]
- Vo, D.D.; Duca, M. Drug Target miRNA: Methods and Protocols; Schmidt, E.M.F., Ed.; Springer: New York, NY, USA, 2017; pp. 137–154. [Google Scholar]
- Giannini, F.; Furrer, J.; Süss-Fink, G.; Clavel, C.M.; Dyson, P.J. Synthesis, characterization and in vitro anticancer activity of highly cytotoxic trithiolato diruthenium complexes of the type [(η6-p-MeC6H4iPr)2Ru2(μ2-SR1)2(μ2-SR2)]+ containing different thiolato bridges. J. Organomet. Chem. 2013, 744, 41–48. [Google Scholar] [CrossRef]
- Jansa, P.; Špaček, P.; Votruba, I.; Břehová, P.; Dračínský, M.; Klepetářová, B.; Janeba, Z. Efficient one-pot synthesis of polysubstituted 6-[(1H-1,2,3-triazol-1-yl)methyl]uracils through the “click” protocol. Collect. Czech. Chem. Commun. 2011, 76, 1121–1131. [Google Scholar] [CrossRef]
- Fulmer, G.R.; Miller, A.J.M.; Sherden, N.H.; Gottlieb, H.E.; Nudelman, A.; Stoltz, B.M.; Bercaw, J.E.; Goldberg, K.I. NMR chemical shifts of trace impurities: Common laboratory solvents, organics, and gases in deuterated solvents relevant to the organometallic chemist. Organometallics 2010, 29, 2176–2179. [Google Scholar] [CrossRef]
Publisher’s Note: MDPI stays neutral with regard to jurisdictional claims in published maps and institutional affiliations. |
© 2022 by the authors. Licensee MDPI, Basel, Switzerland. This article is an open access article distributed under the terms and conditions of the Creative Commons Attribution (CC BY) license (https://creativecommons.org/licenses/by/4.0/).





































































