Endemics and Cosmopolitans: Application of Statistical Mechanics to the Dry Forests of Mexico
Abstract
1. Introduction
2. The Underlying Model
3. Relevant Aspects of the Data
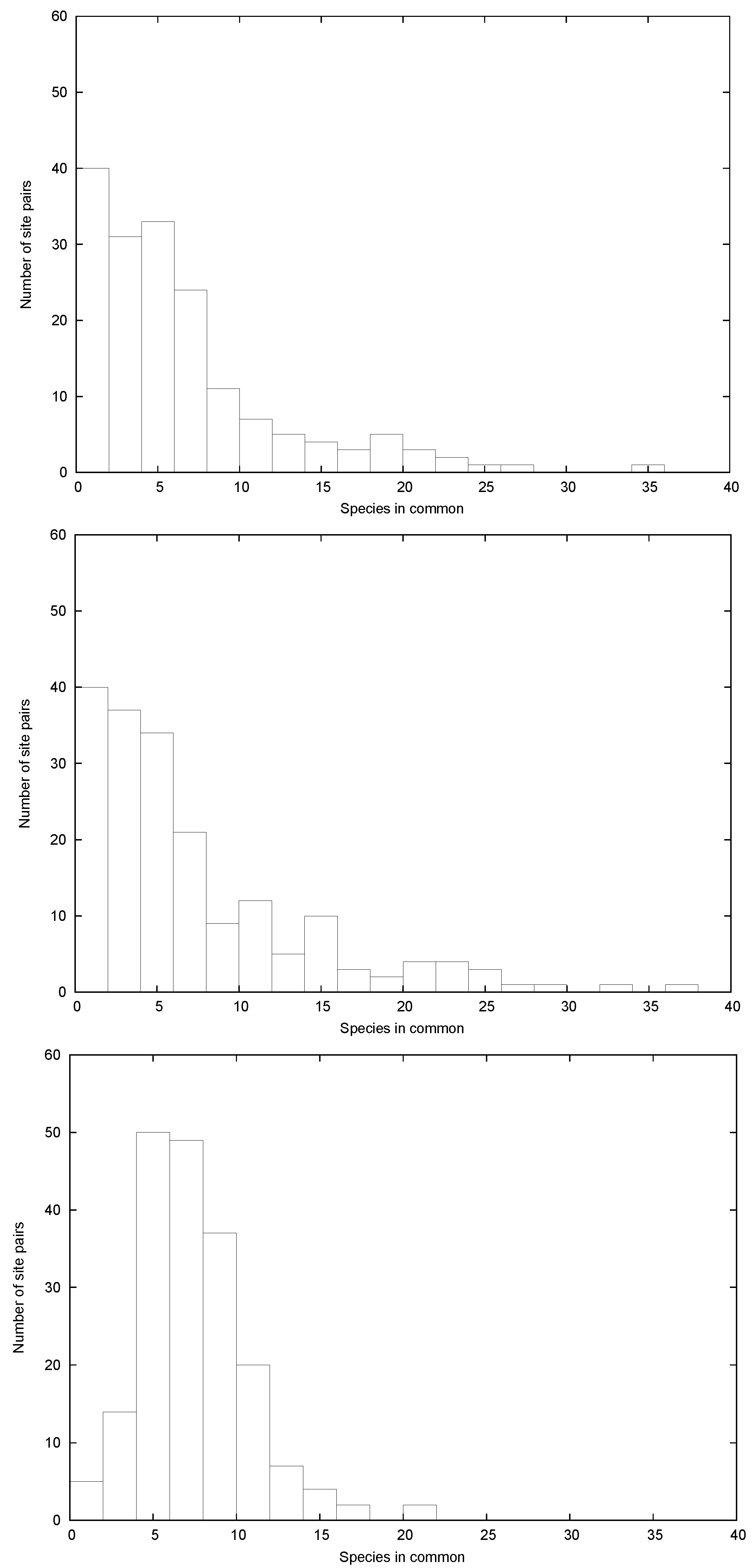
4. Disentangling the Conundrum
5. Discussion and Conclusions
Author Contributions
Funding
Acknowledgments
Conflicts of Interest
Appendix A
References
- Pueyo, S.; He, F.; Zillio, T. The maximum entropy formalism and the idiosyncratic theory of biodiversity. Ecol. Lett. 2007, 10, 1017–1028. [Google Scholar] [CrossRef]
- Harte, J. Maximum Entropy and Ecology; Oxford Series in Ecology and Evolution; Oxford University Press: New York, NY, USA, 2011; ISBN 978-0-19-959341-5. [Google Scholar]
- Bowler, M.G.; Kelly, C.K. On the statistical mechanics of species abundance distributions. Theor. Popul. Biol. 2012, 82, 85–91. [Google Scholar] [CrossRef] [PubMed]
- Bowler, M.G. Species abundance distributions, statistical mechanics and the priors of maxent. Theor. Popul. Biol. 2014, 92, 69–77. [Google Scholar] [CrossRef]
- Kelly, C.K.; Blundell, S.J.; Bowler, M.G.; Fox, G.A.; Harvey, P.H.; Lomas, M.R.; Ian Woodward, F. The statistical mechanics of community assembly and species distribution. N. Phytol. 2011, 191, 819–827. [Google Scholar] [CrossRef] [PubMed]
- Bowler, M.G.; Kelly, C.K. On the statistical mechanics of alien species distribution. Entropy 2017, 19, 674. [Google Scholar] [CrossRef]
- Trejo, I.; Dirzo, R. Floristic diversity of Mexican seasonally dry tropical forests. Biodivers. Conserv. 2002, 11, 2063–2084. [Google Scholar] [CrossRef]
- MacArthur, R.H. On the relative abundance of species. Am. Nat. 1960, 94, 25–36. [Google Scholar] [CrossRef]
- Magurran, A.E.; Henderson, P.A. Explaining the excess of rare species in abundance distributions. Nature 2003, 422, 714–716. [Google Scholar] [CrossRef] [PubMed]



© 2019 by the author. Licensee MDPI, Basel, Switzerland. This article is an open access article distributed under the terms and conditions of the Creative Commons Attribution (CC BY) license (http://creativecommons.org/licenses/by/4.0/).
Share and Cite
Bowler, M.G.; Kelly, C.K. Endemics and Cosmopolitans: Application of Statistical Mechanics to the Dry Forests of Mexico. Entropy 2019, 21, 616. https://doi.org/10.3390/e21060616
Bowler MG, Kelly CK. Endemics and Cosmopolitans: Application of Statistical Mechanics to the Dry Forests of Mexico. Entropy. 2019; 21(6):616. https://doi.org/10.3390/e21060616
Chicago/Turabian StyleBowler, Michael G., and Colleen K. Kelly. 2019. "Endemics and Cosmopolitans: Application of Statistical Mechanics to the Dry Forests of Mexico" Entropy 21, no. 6: 616. https://doi.org/10.3390/e21060616
APA StyleBowler, M. G., & Kelly, C. K. (2019). Endemics and Cosmopolitans: Application of Statistical Mechanics to the Dry Forests of Mexico. Entropy, 21(6), 616. https://doi.org/10.3390/e21060616
 
        
