New Insights on Plant Cell Elongation: A Role for Acetylcholine
Abstract
:1. Introduction
2. Results
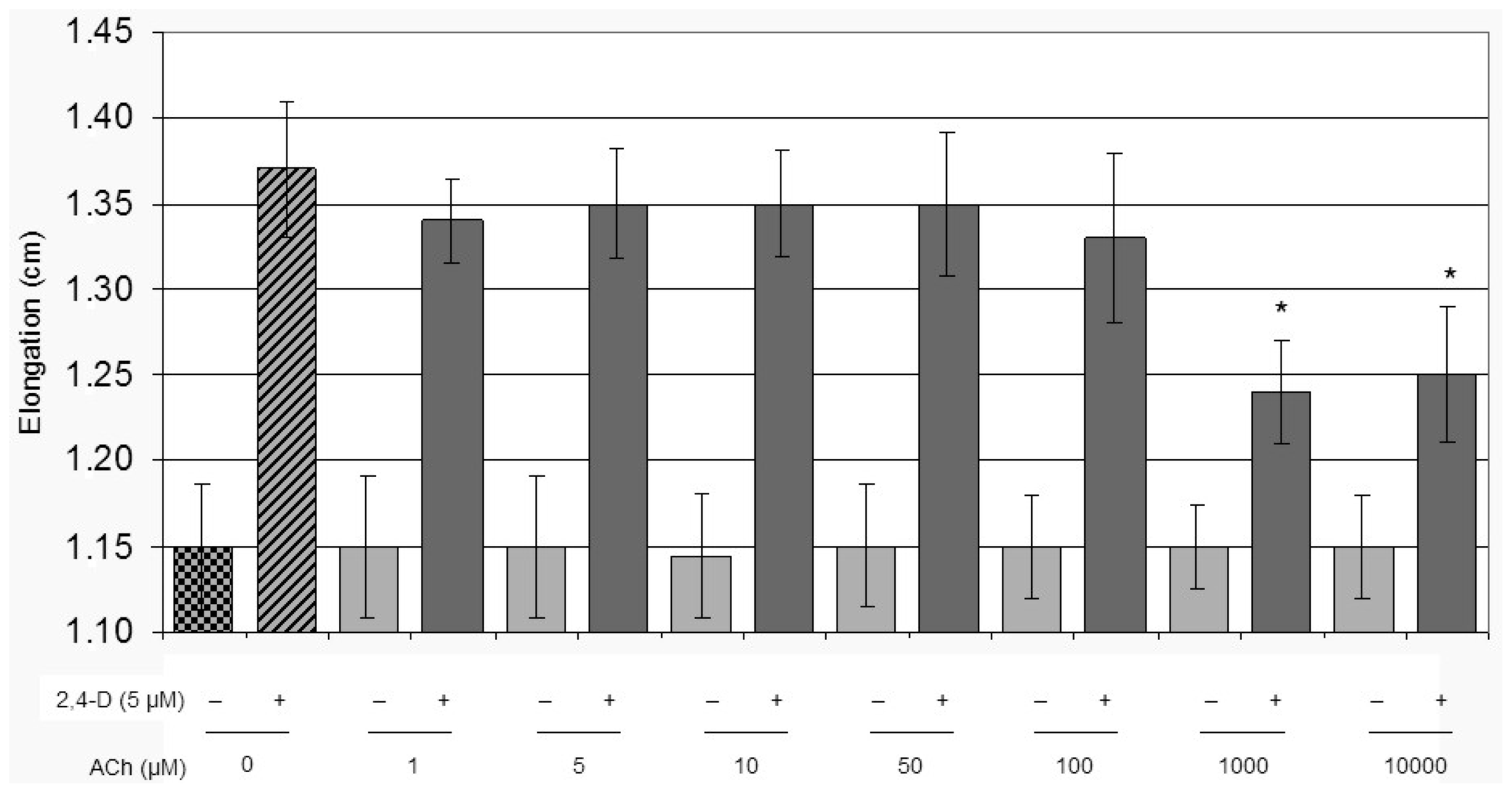
2.1. Determination of ACh Effect on Hypocotyl Segment Elongation
2.2. ACh Alone Has a Moderate Induction Effect on LeEXPA2 Expression, but a Very Strong Effect When Combined with Auxin
2.3. Auxin and ACh Interfere with Endocytosis but Promote Early Steps of the Process
2.4. Auxin and ACh Affect the Compartment Involved in Golgi-Independent ER-to-Vacuole Transport
3. Discussion
4. Experimental Section
4.1. Plant Material and Growth Conditions
4.2. Hypocotyl Segment Treatment
4.3. RNA Isolation and Reverse Transcription
4.4. Quantitative PCR
4.5. FM4-64 Dye Staining and Transient Transformation of Hypocotyl Protoplasts
5. Conclusions
Acknowledgments
Conflicts of Interest
- Author ContributionsThis work is the result of the collaboration between L.A. and G.P.D.S. L.A. defined the research theme. L.A. designed methods and experiments for the molecular part, G.P.D.S. for the citological one. S.F., F.B. and G.P.D.S. performed the experiments. L.A., G.P. and G.P.D.S. analysed and discussed the data, interpreted the results and wrote the paper.
References
- Geitmann, A.; Ortega, J.K.E. Mechanics and modeling of plant cell growth. Trends Plant Sci 2009, 14, 467–478. [Google Scholar]
- Cleland, R.E. Auxin and cell elongation. In Plant Hormones: Biosynthesis, Signal Transduction, Action! Revised 3rd ed.; Davies, P.J., Ed.; Springer Dordrecht Heidelberg: London, UK and New York, NY, USA, 2010; pp. 204–220. [Google Scholar]
- Baluška, F.; Šamaj, J.; Menzel, D. Polar transport of auxin: Carrier-mediated flux across the plasma membrane or neurotransmitter-like secretion? Trends Cell Biol 2003, 13, 282–285. [Google Scholar]
- Li, G.; Xue, H.W. Arabidopsis PLDζ2 regulates vesicle trafficking and is required for auxin response. Plant Cell 2007, 19, 281–295. [Google Scholar]
- Mancuso, S.; Marras, A.M.; Mugnai, S.; Schlicht, M.; Zarsky, V.; Li, G.; Song, L.; Xue, H.-W.; Baluška, F. Phospholipase Dζ 2 drives vesicular secretion of auxin for its polar cell-cell transport in the transition zone of the root apex. Plant Signal. Behav 2007, 2, 240–244. [Google Scholar]
- Shen, H.; Hou, N.Y.; Schlicht, M.; Wan, Y.; Mancuso, S.; Baluška, F. Aluminium toxicity targets PIN2 in Arabidopsis root apices: Effects on PIN2 endocytosis vesicular recycling and polar auxin transport. Chin. Sci. Bull 2008, 53, 2480–2487. [Google Scholar]
- Yang, X.; Song, L.; Xue, H.W. Membrane steroid binding protein 1 (MSBP1) stimulates tropism by regulating vesicle trafficking and auxin redistribution. Mol. Plant 2008, 1, 1077–1087. [Google Scholar]
- Baluška, F.; Mancuso, S. Microorganism and filamentous fungi drive evolution of plant synapses. Front. Cell. Infect. Microbiol 2013, 3, 44. [Google Scholar]
- Baluška, F.; Šamaj, J.; Wojtaszek, P.; Volkmann, D.; Menzel, D. Cytoskeleton—plasma membrane—cell wall continuum in plants: Emerging links revisited. Plant Physiol 2003, 133, 482–491. [Google Scholar]
- Baluška, F.; Wojtaszek, P.; Volkmann, D.; Barlow, P.W. The architecture of polarized cell growth: the unique status of elongating plant cells. Bioessays 2003, 25, 569–576. [Google Scholar]
- Baluška, F.; Volkmann, D.; Menzel, D. Plant synapses: Actin-based domains for cell-to-cell communication. Trends Plant Sci. 2005, 3, 106–111. [Google Scholar]
- Baluška, F.; Mancuso, S.; Volkmann, D.; Barlow, P.W. The “root-brain” hypothesis of Charles and Francis Darwin: Revival after more than 125 years. Plant Signal. Behav 2009, 4, 1121–1127. [Google Scholar]
- Baluška, F. Actin Myosin VIII and ABP1 as central organizers of auxin-secreting synapses. In Plant Electrophysiology; Volkov, A.G., Ed.; Springer-Verlag: Berlin, Germany, 2012; pp. 303–321. [Google Scholar]
- Tretyn, A.; Kendrick, R.E. Acetylcholine in plants: Presence metabolism and mechanism of action. Bot. Rev 1991, 57, 33–73. [Google Scholar]
- Kuklin, A.I.; Conger, B.V. Catecholamines in plants. J. Plant Growth Regul 1995, 14, 91–97. [Google Scholar]
- Odjakova, M.; Hadjiivanova, C. Animal neurotransmitter substances in plants. Bulg. J. Plant Physiol 1997, 23, 94–102. [Google Scholar]
- Roshchina, V. Neurotransmitters in Plant Life; Science Publishers Inc.: New Hempshire, NE, USA, 2001. [Google Scholar]
- Baluška, F.; Mancuso, S.; Volkmann, D.; Barlow, P. Root apices as plant command centres: The unique “brain-like” status of the root apex transition zone. Biologia 2004, 59, 9–17. [Google Scholar]
- Brenner, E.D.; Stahlberg, R.; Mancuso, S.; Vivanco, J.; Baluška, F.; van Volkenburgh, E. Plant neurobiology: An integrated view of plant signaling. Trends Plant Sci 2006, 11, 413–419. [Google Scholar]
- Ramakrishna, A.; Giridhar, P.; Ravishankar, G.A. Phytoserotonin: A review. Plant Signal. Behav 2011, 6, 800–809. [Google Scholar]
- Pelagio-Flores, R.; Ortïz-Castro, R.; Méndez-Bravo, A.; Macïas-Rodrïguez, L.; López-Bucio, J. Serotonin a tryptophan-derived signal conserved in plants and animals regulates root system architecture probably acting as a natural auxin inhibitor in Arabidopsis thaliana. Plant Cell Physiol 2011, 52, 490–508. [Google Scholar]
- Pelagio-Flores, R.; Muñoz-Parra, E.; Ortiz-Castro, R.; López-Bucio, J. Melatonin regulates Arabidopsis root system architecture likely acting independently of auxin signaling. J. Pineal Res 2012, 53, 279–288. [Google Scholar]
- Park, S.; Back, K. Melatonin promotes seminal root elongation and root growth in transgenic rice after germination. J. Pineal Res 2012, 53, 385–389. [Google Scholar]
- Lam, H.M.; Chiu, J.; Hsieh, M.H.; Meisel, L.; Oliveira, I.C.; Shin, M.; Coruzzi, G. Glutamate-receptor genes in plants. Nature 1998, 396, 125–126. [Google Scholar]
- Turano, F.J.; Panta, G.R.; Allard, M.W.; van Berkum, P. The putative glutamate receptors from plants are related to two superfamilies of animal neurotransmitter receptors via distinct evolutionary mechanisms. Mol. Biol. Evol 2001, 18, 1417–1420. [Google Scholar]
- Price, M.B.; Jelesko, J.; Okumoto, S. Glutamate receptor homologs in plants: Functions and evolutionary origins. Front. Plant Sci 2012, 3, 235. [Google Scholar]
- Baluška, F.; Mancuso, S. Root apex transition zone as oscillatory zone. Front. Plant Sci 2013, 4, 354. [Google Scholar]
- Jaffe, M.J. Evidence for the regulation of phytochrome-mediated processes in bean roots by the neurohumor acetylcholine. Plant Physiol 1970, 46, 768–777. [Google Scholar]
- Tanada, T. On the involvement of acetylcholine in phytochrome action. Plant Physiol 1972, 49, 860–861. [Google Scholar]
- Bossen, M.E.; Tretyn, A.; Kendrick, R.E.; Vredenberg, W.J. Comparison between swelling of etiolated wheat (Triticum aestivum L) protoplasts induced by phytochrome and α-naphthaleneacetic acid benzylaminopurine gibberellic acid abscisic acid and acetylcholine. J. Plant Physiol 1991, 137, 706–710. [Google Scholar]
- Wessler, I.; Kilbinger, H.; Bittinger, F.; Kirkpatrick, C.J. The non-neuronal cholinergic system: The biological role of non-neuronal acetylcholine in plants and humans. Jpn. J. Pharmacol 2001, 85, 2–10. [Google Scholar]
- Tretyn, A.; Bossen, M.E.; Kendrick, R.E. The influence of acetylcholine on the swelling of wheat (Triticum aestivum L) protoplasts. J. Plant Physiol 1990, 136, 24–29. [Google Scholar]
- Tretyn, A.; Kendrick, R.E.; Bossen, M.E.; Vredenberg, W.J. Influence of acetylcholine agonists and antagonists on the swelling of etiolated wheat (Triticum aestivum L) mesophyll protoplasts. Planta 1990, 182, 473–479. [Google Scholar]
- Wang, H.; Wang, X.; Zhang, S.; Lou, C. Nicotinic acetylcholine receptor is involved in acetylcholine regulating of stomatal movement. Sci. China Ser. C 1998, 41, 650–656. [Google Scholar]
- Wang, H.; Wang, X.; Zhang, S.; Lou, C. Muscarinic acetylcholine receptor involved in acetylcholine regulating of stomatal function. Chin. Sci. Bull 2000, 45, 250–252. [Google Scholar]
- Wang, H.; Zhang, S.; Wang, X.; Lou, C. Role of acetylcholine on plant root-shoot signal transduction. Chin. Sci. Bull 2003, 48, 570–573. [Google Scholar]
- Evans, M.L. Promotion of cell elongation in avena coleoptiles by acetylcholine. Plant Physiol 1972, 50, 414–416. [Google Scholar]
- Lawson, V.R.; Brady, R.M.; Campbell, A.; Knox, B.G.; Knox, G.D.; Walls, R.L. Interaction of acetylcholine chloride with IAA GA3 and red light in the growth of excised apical coleoptile segments. B. Torrey Bot. Club 1978, 105, 187–191. [Google Scholar]
- Cosgrove, D.J. Loosening of plant cell walls by expansins. Nature 2000, 407, 321–326. [Google Scholar]
- Català, C.; Rose, J.K.C.; Bennett, A.B. Auxin regulation and spatial localization of an endo-14-β-d-glucanase and a xyloglucan endotransglycosylase in expanding tomato hypocotyls. Plant J 1997, 12, 417–426. [Google Scholar]
- Caderas, D.; Muster, M.; Vogler, H.; Mandel, T.; Rose, J.K.C.; McQueen-Mason, S.; Kuhlemeier, C. Limited correlation between expansin gene expression and elongation growth rate. Plant Physiol 2000, 123, 1399–1414. [Google Scholar]
- Arru, L.; Rognoni, S.; Poggi, A.; Loreti, E. Effect of sugars on auxin-mediated LeEXPA2 gene expression. Plant Growth Regul 2008, 55, 11–20. [Google Scholar]
- Rolland, F.; Baena-Gonzalez, E.; Sheen, J. Sugar sensing and signaling in plants: Conserved and novel mechanisms. Annu. Rev. Plant Biol 2006, 57, 675–709. [Google Scholar]
- Eveland, A.L.; Jackson, D.P. Sugars signalling and plant development. J. Exp. Bot 2012, 63, 3367–3377. [Google Scholar]
- Dominguez, P.G.; Frankel, N.; Mazuch, J.; Balbo, I.; Iusem, N.; Fernie, A.R.; Carrari, F. ASR1 mediates glucose-hormone cross talk by affecting sugar trafficking in tobacco plants. Plant Physiol 2013, 161, 1486–1500. [Google Scholar]
- Gibson, S.I. Control of plant development and gene expression by sugar signaling. Curr. Opin. Plant Biol 2005, 8, 93–102. [Google Scholar]
- Baena-González, E.; Sheen, J. Convergent energy and stress signaling. Trends Plant. Sci 2008, 13, 474–482. [Google Scholar]
- Hanson, J.; Smeekens, S. Sugar perception and signaling: an update. Curr. Opin. Plant Biol 2009, 12, 562–567. [Google Scholar]
- Moghaddam, M.R.B.; van den Ende, W. Sugars the clock and transition to flowering. Front. Plant Sci 2013, 4, 22. [Google Scholar]
- Brown, J.H.; Taylor, P. Muscarinic receptor agonists and antagonists. In Goodman & Gilman’s the Pharmacological Basis of Therapeutics, 11th ed.; Brunton, L.L., Lazo, J.S., Parker, K.L., Eds.; Mc Graw Hill: New York, NY, USA, 2006; pp. 183–216. [Google Scholar]
- Westfall, T.C.; Westfall, D.P. Neurotransmission: The autonomic and somatic motor nervous systems. In Goodman & Gilman’s the Pharmacological Basis of Therapeutics, 11th ed.; Brunton, L.L., Lazo, J.S., Parker, K.L., Eds.; Mc Graw Hill: New York, NY, USA, 2006; pp. 137–181. [Google Scholar]
- Teh, O.K.; Moore, I. An ARF-GEF acting at the Golgi and in selective endocytosis in polarized plant cells. Nature 2007, 448, 493–497. [Google Scholar]
- Robinson, D.G.; Langhans, M.; Saint-Jore-Dupas, C.; Hawes, C. BFA effects are tissue and not just plant specific. Trends Plant Sci 2008, 13, 405–408. [Google Scholar]
- Wang, L.; Ruan, Y.L. Unraveling mechanisms of cell expansion linking solute transport metabolism plasmodesmtal gating and cell wall dynamics. Plant Signal. Behav 2010, 5, 1561–1564. [Google Scholar]
- De Benedictis, M.; Bleve, G.; Faraco, M.; Stigliano, E.; Grieco, F.; Piro, G.; Dalessandro, G.; di Sansebastiano, G.P. AtSYP51/52 functions diverge in the post-Golgi traffic and differently affect vacuolar sorting. Mol. Plant 2013, 6, 916–930. [Google Scholar]
- Stigliano, E.; Faraco, M.; Neuhaus, J.M.; Montefusco, A.; Dalessandro, G.; Piro, G.; di Sansebastiano, G.P. Two glycosylated vacuolar GFPs are new markers for ER-to-vacuole sorting. Plant Physiol. Biochem 2013, 73, 337–343. [Google Scholar]
- McQueen-Mason, S.; Durachko, D.M.; Cosgrove, D.J. Two endogenous proteins that induce cell wall extension in plants. Plant Cell 1992, 4, 1425–1433. [Google Scholar]
- Soltys, D.; Rudzińska-Langwald, A.; Gniazdowska, A.; Wiśniewska, A.; Bogatek, R. Inhibition of tomato (Solanum lycopersicum L) root growth by cyanamide is due to altered cell division phytohormone balance and expansin gene expression. Planta 2012, 236, 1629–1638. [Google Scholar]
- Choi, D.S.; Lee, Y.; Cho, H.T.; Kende, H. Regulation of expansin gene expression affects growth and development in transgenic rice plants. Plant Cell 2003, 15, 1386–1398. [Google Scholar]
- Sloan, J.; Backhaus, A.; Malinowski, R.; McQueen-Mason, S.; Fleming, A.J. Phased control of expansin activity during leaf development identifies a sensitivity window for expansin-mediated induction of leaf growth. Plant Physiol 2009, 151, 1844–1854. [Google Scholar]
- Rose, J.K.C.; Cosgrove, D.J.; Albersheim, P.; Darvill, A.G.; Bennett, A.B. Detection of expansin proteins and activity during tomato ontogeny. Plant Physiol 2000, 123, 1583–1592. [Google Scholar]
- Zenoni, S.; Fasoli, M.; Tornielli, G.B.; Santo, S.D.; Sanson, A.; Groot, P.; Sordo, S.; Citterio, S.; Monti, F.; Pezzotti, M. Overexpression of PhEXPA1 increases cell size modifies cell wall polymer composition and affects the timing of axillary meristem development in Petunia hybrida. New Phytol 2011, 191, 662–677. [Google Scholar]
- Rose, J.K.C.; Lee, H.H.; Bennet, A.B. Expression of a divergent expansin gene is fruit-specific and ripening regulated. Proc. Natl. Acad. Sci. USA 1997, 94, 5955–5960. [Google Scholar]
- Brummell, D.A.; Harpster, M.H.; Dunsmuir, P. Differential expression of expansin gene family members during growth and ripening of tomato fruit. Plant Mol. Biol 1999, 39, 161–169. [Google Scholar]
- Chen, F.; Bradford, K.J. Expression of an expansin is associated with endosperm weakening during tomato seed germination. Plant Physiol 2000, 124, 1265–1274. [Google Scholar]
- Reinhardt, D.; Wittwer, F.; Mandel, T.; Kuhlemeier, C. Localized upregulation of a new expansin gene predicts the site of leaf formation in the tomato meristem. Plant Cell 1998, 10, 1427–1437. [Google Scholar]
- Catalá, C.; Rose, J.K.C.; Bennett, A.B. Auxin-regulated genes encoding cell wall-modifying proteins are expressed during early tomato fruit growth. Plant Physiol 2000, 122, 527–534. [Google Scholar]
- Matsumura, H.; Nirasawa, S.; Terauchi, R. Transcript profiling in rice (Oryza sativa L) seedlings using serial analysis of gene expression (SAGE). Plant J 1999, 20, 719–726. [Google Scholar]
- Harb, A.; Krishnan, A.; Ambavaram, M.M.R.; Pereira, A. Molecular and physiological analysis of drought stress in Arabidopsis reveals early responses leading to acclimation in plant growth. Plant Physiol 2010, 154, 1254–1271. [Google Scholar]
- Lü, P.; Kang, M.; Jiang, X.; Dai, F.; Gao, J.; Zhang, C. RhEXPA4 a rose expansin gene modulates leaf growth and confers drought and salt tolerance to Arabidopsis. Planta 2013, 237, 1547–1559. [Google Scholar]
- Hutchison, K.W.; Singer, P.B.; McInnis, S.; Diaz-Sala, C.; Greenwood, M.S. Expansins are conserved in conifers and expressed in hypocotyls in response to exogenous auxin. Plant Physiol 1999, 120, 827–831. [Google Scholar]
- Cho, H.T.; Kende, H. Expression of expansin genes is correlated with growth in deepwater rice. Plant Cell 1997, 9, 1661–1671. [Google Scholar]
- Lee, Y.; Kende, H. Expression of b-expansins is correlated with internodal elongation in deepwater rice. Plant Physiol 2001, 127, 645–654. [Google Scholar]
- O’Malley, R.C.; Lynn, D.G. Expansin message regulation in parasitic angiosperms: Marking time in development. Plant Cell 2000, 12, 1455–1465. [Google Scholar]
- Wrobel, R.L.; Yoder, J.I. Differential RNA expression of α-expansin gene family members in the parasitic angiosperm Triphysaria versicolor (Scrophulariaceae). Gene 2001, 266, 85–93. [Google Scholar]
- Kim, J.H.; Cho, H.T.; Kende, H. α-Expansins in the semi-aquatic ferns Marsilea quadrifolia and Regnellidium diphyllum: Evolutionary aspects and physiological role in rachis elongation. Planta 2000, 212, 85–92. [Google Scholar]
- Vriezen, W.H.; de Graaf, B.; Mariani, C.; Voesenek, L.A.C.J. Submergence induces expansin gene expression in flooding-tolerant Rumex palustris and not in flooding-intolerant R. acetosa. Planta 2000, 210, 956–963. [Google Scholar]
- Wiese, A.; Elzinga, N.; Wobbes, B.; Smeekens, S. Sucrose-induced translational repression of plant bZIP-type transcription factors. Biochem. Soc. Trans 2005, 33, 272–275. [Google Scholar]
- Wind, J.; Smeekens, S.; Hanson, J. Sucrose: Metabolite and signaling molecule. Phytochemistry 2010, 71, 1610–1614. [Google Scholar]
- Ruan, Y.L. Signaling role of sucrose metabolism in development. Mol. Plant 2012, 5, 763–765. [Google Scholar]
- Tognetti, J.A.; Pontis, H.G.; Noël, G.M.M. Sucrose signaling in plants: A world yet to be explored. Plant Signal. Behav 2013, 8, e23316:1–e23315:10. [Google Scholar]
- Bamel, K.; Chandra Gupta, S.; Gupta, R. Acetylcholine causes rooting in leaf explants of in vitro raised tomato (Lycopersicon esculentum Miller) seedlings. Life Sci 2007, 80, 2393–2396. [Google Scholar]
- Sugiyama, K.I.; Tezuka, T. Acetylcholine promotes the emergence and elongation of lateral roots of Raphanus sativus. Plant Signal. Behav 2011, 6, 1545–1553. [Google Scholar]
- Roshchina, V.V.; Mukhin, E.N. Acetylcholine action on the photochemical reactions of pea chloroplasts. Plant Sci 1985, 42, 95–98. [Google Scholar]
- Tretyni, A.; Bossen, M.E.; Kendrick, R.E. Evidence for different types of acetylcholine receptors in plants. In Progress in Plant Growth Regulation; Karssen, C.M., van Loon, L.C., Vreugdenhil, D., Eds.; Kluwer Academic Publishers: Dordrecht, The Netherlands, 1992; pp. 306–311. [Google Scholar]
- Horiuchi, Y.; Kimura, R.; Kato, N.; Fujii, T.; Seki, M.; Endo, T.; Kato, T.; Kawashima, K. Evolutional study on acetylcholine expression. Life Sci 2003, 72, 1745–56. [Google Scholar]
- Kawashima, K.; Misawa, H.; Moriwaki, Y.; Fujii, Y.X.; Fujii, T.; Horiuchi, Y.; Yamadaa, T.; Imanaka, T.; Kamekura, M. Ubiquitous expression of acetylcholine and its biological functions in life forms without nervous systems. Life Sci 2007, 80, 2206–2209. [Google Scholar]
- Bouche, N.; Lacombe, B.; Fromm, H. GABA signaling: A conserved and ubiquitous mechanism. Trends Cell Biol 2003, 13, 607–610. [Google Scholar]
- Craxton, M. Synaptotagmin gene content of the sequenced genomes. BMC Genomics 2004, 5, 43–56. [Google Scholar]
- Brenner, E.D. Drugs in the plant. Cell 2002, 109, 680–681. [Google Scholar]
- Baluška, F.; Hlavacka, A.; Mancuso, S.; Volkmann, D.; Barlow, P.W. Neurobiological view of plants and their body plan. In Communication in Plants—Neuronal Aspects of Plant Life; Baluška, F., Mancuso, S., Volkmann, D., Eds.; Springer-Verlag: Berlin, Germany, 2006; pp. 19–35. [Google Scholar]
- Forde, B.G. Glutamate signalling in roots. J. Exp. Bot 2013. [Google Scholar] [CrossRef]
- Ljung, K. Auxin metabolism and homeostasis during plant development. Development 2013, 140, 943–950. [Google Scholar]
- Arvidsson, U.; Riedl, M.; Elde, R.; Meister, B. Vesicular acetylcholine transporter (VAChT) protein: A novel and unique marker for cholinergic neurons in the central and peripheral nervous systems. J. Comp. Neurol 1997, 378, 454–467. [Google Scholar]
- Guiheneuc, P. Neuromuscular synapse: Molecular mechanisms of acetylcholine vesicular exocytosis. Ann. Readapt. Med. Phys 2003, 46, 276–280. [Google Scholar]
- Prado, V.F.; Roy, A.; Kolisnyk, B.; Gros, R.; Prado, M.A. Regulation of cholinergic activity by the vesicular acetylcholine transporter. Biochem. J 2013, 450, 265–274. [Google Scholar]
- Faraco, M.; di Sansebastiano, G.P.; Spelt, K.; Koes, R.E.; Quattrocchio, F.M. One protoplast is not the other! Plant Physiol 2011, 156, 474–478. [Google Scholar]
- Denecke, J.; Aniento, F.; Frigerio, L.; Hawes, C.; Hwang, I.; Mathur, J.; Neuhaus, J.M.; Robinson, D.G. Secretory pathway research: The more experimental systems the better. Plant Cell 2012, 24, 1316–1326. [Google Scholar]
- Quattrocchio, F.M.; Spelt, C.; Koes, R. Transgenes and protein localization: myths and legends. Trends Plant Sci 2013, 18, 473–476. [Google Scholar]
- Di Sansebastiano, G.P.; Paris, N.; Marc-Martin, S.; Neuhaus, J.M. Regeneration of a lytic central vacuole and of neutral peripheral vacuoles can be visualized by green fluorescent proteins targeted to either type of vacuoles. Plant Physiol 2001, 126, 78–86. [Google Scholar]
- Bolte, S.; Talbot, C.; Boutte, Y.; Catrice, O.; Read, N.D.; Satiat-Jeunemaitre, B. FM-dyes as experimental probes for dissecting vesicle trafficking in living plant cells. J. Microsc 2004, 214, 159–173. [Google Scholar]
- De Caroli, M.; Lenucci, M.S.; di Sansebastiano, G.P.; Dalessandro, G.; de Lorenzo, G.; Piro, G. Protein trafficking to the cell wall occurs through mechanisms distinguishable from default sorting in tobacco. Plant J 2011, 65, 295–308. [Google Scholar]
- De Caroli, M.; Lenucci, M.S.; di Sansebastiano, G.P.; Dalessandro, G.; de Lorenzo, G.; Piro, G. Dynamic protein trafficking to the cell wall. Plant Signal. Behav 2011, 6, 1012–1015. [Google Scholar]
- Geldner, N.; Anders, N.; Wolters, H.; Keicher, J.; Kornberger, W.; Muller, P.; Delbarre, A.; Ueda, T.; Nakano, A.; Jürgens, G. The Arabidopsis GNOM ARF-GEF mediates endosomal recycling auxin transport and auxin-dependent plant growth. Cell 2003, 112, 219–230. [Google Scholar]
- Ding, Z.; Galván-Ampudia, C.S.; Demarsy, E.; Łangowski, Ł; Kleine-Vehn, J.; Fan, Y.; Morita, M.T.; Tasaka, M.; Fankhauser, C.; Offringa, R.; et al. Light-mediated polarization of the PIN3 auxin transporter for the phototropic response in Arabidopsis. Nat. Cell Biol 2011, 13, 447–452. [Google Scholar]
- Kleine-Vehn, J.; Dhonukshe, P.; Swarup, R.; Bennett, M.; Friml, J. Subcellular trafficking of the Arabidopsis auxin influx carrier AUX1 uses a novel pathway distinct from PIN1. Plant Cell 2006, 18, 3171–3181. [Google Scholar]
- Geldner, N.; Dénervaud-Tendon, V.; Hyman, D.L.; Mayer, U.; Stierhof, Y.D.; Chory, J. Rapid combinatorial analysis of membrane compartments in intact plants with a multicolor marker set. Plant J 2009, 59, 169–178. [Google Scholar]
- Drakakaki, G.; Robert, S.; Raikhel, N.V.; Hicks, G.R. Chemical dissection of endosomal pathways. Plant Signal. Behav 2009, 4, 57–62. [Google Scholar]
- Di Sansebastiano, G.P.; Renna, L.; Gigante, M.; de Caroli, M.; Piro, G.; Dalessandro, G. Green fluorescent protein reveals variability in vacuoles of three plant species. Biol. Plant 2007, 51, 49–55. [Google Scholar]
- Brunner, A.M.; Yakovlev, I.A.; Strauss, S.H. Validating internal controls for quantitative plant gene expression studies. BMC Plant Biol 2004, 4, 14. [Google Scholar]





© 2014 by the authors; licensee MDPI, Basel, Switzerland This article is an open access article distributed under the terms and conditions of the Creative Commons Attribution license (http://creativecommons.org/licenses/by/3.0/).
Share and Cite
Di Sansebastiano, G.-P.; Fornaciari, S.; Barozzi, F.; Piro, G.; Arru, L. New Insights on Plant Cell Elongation: A Role for Acetylcholine. Int. J. Mol. Sci. 2014, 15, 4565-4582. https://doi.org/10.3390/ijms15034565
Di Sansebastiano G-P, Fornaciari S, Barozzi F, Piro G, Arru L. New Insights on Plant Cell Elongation: A Role for Acetylcholine. International Journal of Molecular Sciences. 2014; 15(3):4565-4582. https://doi.org/10.3390/ijms15034565
Chicago/Turabian StyleDi Sansebastiano, Gian-Pietro, Silvia Fornaciari, Fabrizio Barozzi, Gabriella Piro, and Laura Arru. 2014. "New Insights on Plant Cell Elongation: A Role for Acetylcholine" International Journal of Molecular Sciences 15, no. 3: 4565-4582. https://doi.org/10.3390/ijms15034565
APA StyleDi Sansebastiano, G.-P., Fornaciari, S., Barozzi, F., Piro, G., & Arru, L. (2014). New Insights on Plant Cell Elongation: A Role for Acetylcholine. International Journal of Molecular Sciences, 15(3), 4565-4582. https://doi.org/10.3390/ijms15034565

