Effects of Heme Site (FA1) Ligands Bilirubin, Biliverdin, Hemin, and Methyl Orange on the Albumin Binding of Site I Marker Warfarin: Complex Allosteric Interactions
Abstract
1. Introduction
2. Results and Discussion
2.1. Interaction of Heme Site Ligands with HSA Based on UV-Vis Spectroscopic and Fluorescence Quenching Studies
2.2. Effects of Heme Site Ligands on the WAR-Induced Quenching Effect
2.3. Effects of Heme Site Ligands on the Fluorescence of WAR–HSA Complex
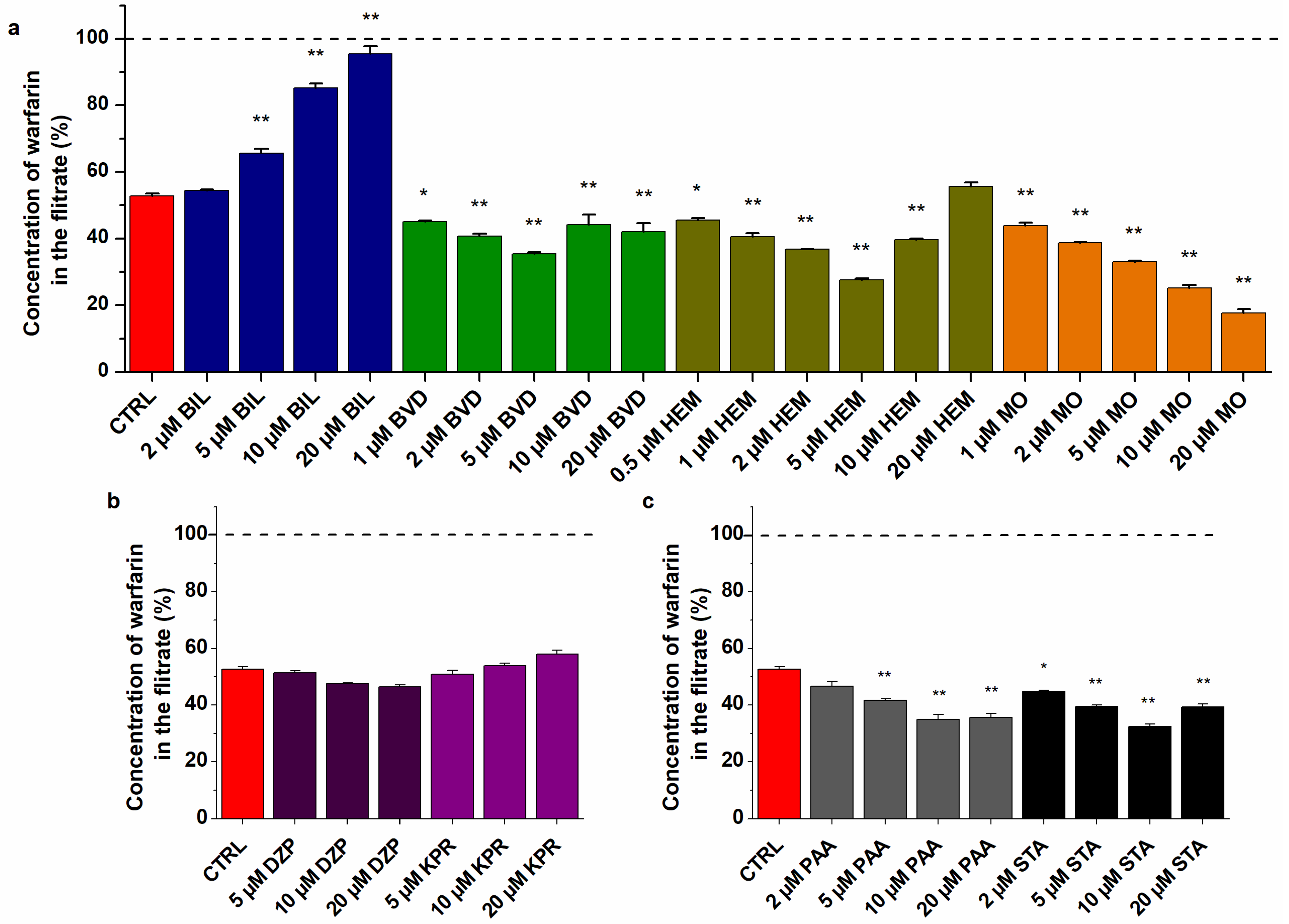
2.4. Effects of Heme Site Ligands on WAR–HSA Interaction Based on Ultrafiltration and Ultracentrifugation Studies
3. Materials and Methods
3.1. Reagents
3.2. UV-Vis Spectroscopic Studies
3.3. Fluorescence Spectroscopic Studies
3.4. Ultrafiltration Studies
3.5. Ultracentrifugation Studies
3.6. HPLC Analyses
3.7. Statistics
4. Conclusions
Supplementary Materials
Author Contributions
Funding
Institutional Review Board Statement
Informed Consent Statement
Data Availability Statement
Acknowledgments
Conflicts of Interest
References
- Peters, T. All about Albumin: Biochemistry, Genetics, and Medical Applications; Academic Press: San Diego, CA, USA, 1996; ISBN 978-0-12-552110-9. [Google Scholar]
- Fanali, G.; di Masi, A.; Trezza, V.; Marino, M.; Fasano, M.; Ascenzi, P. Human Serum Albumin: From Bench to Bedside. Mol. Aspects Med. 2012, 33, 209–290. [Google Scholar] [CrossRef] [PubMed]
- Merlot, A.M.; Kalinowski, D.S.; Richardson, D.R. Unraveling the Mysteries of Serum Albumin—More than Just a Serum Protein. Front. Physiol. 2014, 5, 299. [Google Scholar] [CrossRef] [PubMed]
- Sugio, S.; Kashima, A.; Mochizuki, S.; Noda, M.; Kobayashi, K. Crystal Structure of Human Serum Albumin at 2.5 Å Resolution. Protein Eng. Des. Sel. 1999, 12, 439–446. [Google Scholar] [CrossRef]
- Zsila, F. Subdomain IB Is the Third Major Drug Binding Region of Human Serum Albumin: Toward the Three-Sites Model. Mol. Pharm. 2013, 10, 1668–1682. [Google Scholar] [CrossRef] [PubMed]
- Mishra, V.; Heath, R.J. Structural and Biochemical Features of Human Serum Albumin Essential for Eukaryotic Cell Culture. Int. J. Mol. Sci. 2021, 22, 8411. [Google Scholar] [CrossRef] [PubMed]
- Ghuman, J.; Zunszain, P.A.; Petitpas, I.; Bhattacharya, A.A.; Otagiri, M.; Curry, S. Structural Basis of the Drug-Binding Specificity of Human Serum Albumin. J. Mol. Biol. 2005, 353, 38–52. [Google Scholar] [CrossRef] [PubMed]
- Petitpas, I.; Bhattacharya, A.A.; Twine, S.; East, M.; Curry, S. Crystal Structure Analysis of Warfarin Binding to Human Serum Albumin: ANATOMY OF DRUG SITE I*. J. Biol. Chem. 2001, 276, 22804–22809. [Google Scholar] [CrossRef] [PubMed]
- Curry, S. Lessons from the Crystallographic Analysis of Small Molecule Binding to Human Serum Albumin. Drug Metab. Pharmacokinet. 2009, 24, 342–357. [Google Scholar] [CrossRef] [PubMed]
- Wybranowski, T.; Cyrankiewicz, M.; Ziomkowska, B.; Kruszewski, S. The HSA Affinity of Warfarin and Flurbiprofen Determined by Fluorescence Anisotropy Measurements of Camptothecin. Biosystems 2008, 94, 258–262. [Google Scholar] [CrossRef]
- Joseph, K.S.; Hage, D.S. The Effects of Glycation on the Binding of Human Serum Albumin to Warfarin and L-Tryptophan. J. Pharm. Biomed. Anal. 2010, 53, 811–818. [Google Scholar] [CrossRef]
- Poór, M.; Li, Y.; Kunsági-Máté, S.; Petrik, J.; Vladimir-Knežević, S.; Kőszegi, T. Molecular Displacement of Warfarin from Human Serum Albumin by Flavonoid Aglycones. J. Lumin. 2013, 142, 122–127. [Google Scholar] [CrossRef]
- Fliszár-Nyúl, E.; Faisal, Z.; Skaper, R.; Lemli, B.; Bayartsetseg, B.; Hetényi, C.; Gömbös, P.; Szabó, A.; Poór, M. Interaction of the Emerging Mycotoxins Beauvericin, Cyclopiazonic Acid, and Sterigmatocystin with Human Serum Albumin. Biomolecules 2022, 12, 1106. [Google Scholar] [CrossRef] [PubMed]
- Zunszain, P.A.; Ghuman, J.; Komatsu, T.; Tsuchida, E.; Curry, S. Crystal Structural Analysis of Human Serum Albumin Complexed with Hemin and Fatty Acid. BMC Struct. Biol. 2003, 3, 6. [Google Scholar] [CrossRef] [PubMed]
- Ambrosetti, R.; Bianchini, R.; Fisichella, S.; Fichera, M.; Zandomeneghi, M. Resolution of the Absorbance and CD Spectra and Formation Constants of the Complexes between Human Serum Albumin and Methyl Orange. Chem.—Eur. J. 1996, 2, 149–156. [Google Scholar] [CrossRef]
- Jacobsen, J. Binding of Bilirubin to Human Serum Albumin—Determination of the Dissociation Constants. FEBS Lett. 1969, 5, 112–114. [Google Scholar] [CrossRef]
- Woolley, P.V.; Hunter, M.J. Binding and Circular Dichroism Data on Bilirubin-Albumin in the Presence of Oleate and Salicylate. Arch. Biochem. Biophys. 1970, 140, 197–209. [Google Scholar] [CrossRef]
- Beaven, G.H.; D’Albis, A.; Gratzer, W.B. The Interaction of Bilirubin with Human Serum Albumin. Eur. J. Biochem. 1973, 33, 500–509. [Google Scholar] [CrossRef]
- Brodersen, R. Bilirubin. Solubility and Interaction with Albumin and Phospholipid. J. Biol. Chem. 1979, 254, 2364–2369. [Google Scholar] [CrossRef]
- Ahlfors, C.E. Competitive Interaction of Biliverdin and Bilirubin Only at the Primary Bilirubin Binding Site on Human Albumin. Anal. Biochem. 1981, 110, 295–307. [Google Scholar] [CrossRef]
- Lorey, F.W.; Ahlfors, C.E.; Smith, D.G.; Neel, J.V. Bilirubin Binding by Variant Albumins in Yanomama Indians. Am. J. Hum. Genet. 1984, 36, 1112–1120. [Google Scholar] [PubMed]
- Athar, H.; Ahmad, N.; Tayyab, S.; Qasim, M.A. Use of Fluorescence Enhancement Technique to Study Bilirubin–Albumin Interaction. Int. J. Biol. Macromol. 1999, 25, 353–358. [Google Scholar] [CrossRef]
- Trull, F.R.; Ibars, O.; Lightner, D.A. Conformation Inversion of Bilirubin Formed by Reduction of the Biliverdin-Human Serum Albumin Complex: Evidence from Circular Dichroism. Arch. Biochem. Biophys. 1992, 298, 710–714. [Google Scholar] [CrossRef]
- Minchiotti, L.; Galliano, M.; Zapponi, M.C.; Tenni, R. The Structural Characterization and Bilirubin-Binding Properties of Albumin Herborn, a [Lys240Glu] Albumin Mutant. Eur. J. Biochem. 1993, 214, 437–444. [Google Scholar] [CrossRef]
- Beaven, G.H.; Chen, S.-H.; D’albis, A.; Gratzer, W.B. A Spectroscopic Study of the Haemin-Human-Serum-Albumin System. Eur. J. Biochem. 1974, 41, 539–546. [Google Scholar] [CrossRef]
- Silva, D.; Cortez, C.M.; Louro, S.R.W. Quenching of the Intrinsic Fluorescence of Bovine Serum Albumin by Chlorpromazine and Hemin. Braz. J. Med. Biol. Res. 2004, 37, 963–968. [Google Scholar] [CrossRef] [PubMed]
- Makarska-Bialokoz, M. Interactions of Hemin with Bovine Serum Albumin and Human Hemoglobin: A Fluorescence Quenching Study. Spectrochim. Acta A Mol. Biomol. Spectrosc. 2018, 193, 23–32. [Google Scholar] [CrossRef] [PubMed]
- Ascenzi, P.; Fasano, M. Allostery in a Monomeric Protein: The Case of Human Serum Albumin. Biophys. Chem. 2010, 148, 16–22. [Google Scholar] [CrossRef] [PubMed]
- Ascenzi, P.; Bocedi, A.; Notari, S.; Menegatti, E.; Fasano, M. Heme Impairs Allosterically Drug Binding to Human Serum Albumin Sudlow’s Site I. Biochem. Biophys. Res. Commun. 2005, 334, 481–486. [Google Scholar] [CrossRef] [PubMed]
- Bocedi, A.; Notari, S.; Menegatti, E.; Fanali, G.; Fasano, M.; Ascenzi, P. Allosteric Modulation of Anti-HIV Drug and Ferric Heme Binding to Human Serum Albumin. FEBS J. 2005, 272, 6287–6296. [Google Scholar] [CrossRef]
- Fanali, G.; Pariani, G.; Ascenzi, P.; Fasano, M. Allosteric and Binding Properties of Asp1-Glu382 Truncated Recombinant Human Serum Albumin—An Optical and NMR Spectroscopic Investigation. FEBS J. 2009, 276, 2241–2250. [Google Scholar] [CrossRef] [PubMed]
- Vuignier, K.; Schappler, J.; Veuthey, J.-L.; Carrupt, P.-A.; Martel, S. Drug–Protein Binding: A Critical Review of Analytical Tools. Anal. Bioanal. Chem. 2010, 398, 53–66. [Google Scholar] [CrossRef]
- van de Weert, M. Fluorescence Quenching to Study Protein-Ligand Binding: Common Errors. J. Fluoresc. 2010, 20, 625–629. [Google Scholar] [CrossRef] [PubMed]
- van de Weert, M.; Stella, L. Fluorescence Quenching and Ligand Binding: A Critical Discussion of a Popular Methodology. J. Mol. Struct. 2011, 998, 144–150. [Google Scholar] [CrossRef]
- Fliszár-Nyúl, E.; Lemli, B.; Kunsági-Máté, S.; Dellafiora, L.; Dall’Asta, C.; Cruciani, G.; Pethő, G.; Poór, M. Interaction of Mycotoxin Alternariol with Serum Albumin. Int. J. Mol. Sci. 2019, 20, 2352. [Google Scholar] [CrossRef] [PubMed]
- Yamasaki, K.; Chuang, V.T.G.; Maruyama, T.; Otagiri, M. Albumin–Drug Interaction and Its Clinical Implication. Biochim. Biophys. Acta BBA—Gen. Subj. 2013, 1830, 5435–5443. [Google Scholar] [CrossRef]
- Li, D.; Wang, Y.; Chen, J.; Ji, B. Characterization of the Interaction between Farrerol and Bovine Serum Albumin by Fluorescence and Circular Dichroism. Spectrochim. Acta A Mol. Biomol. Spectrosc. 2011, 79, 680–686. [Google Scholar] [CrossRef] [PubMed]
- Li, X.; Duan, H.; Song, Z.; Xu, R. Comparative Study on the Interaction between Fibrinogen and Flavonoids. J. Mol. Struct. 2022, 1262, 132963. [Google Scholar] [CrossRef]
- Tang, J.; Qi, S.; Chen, X. Spectroscopic Studies of the Interaction of Anti-Coagulant Rodenticide Diphacinone with Human Serum Albumin. J. Mol. Struct. 2005, 779, 87–95. [Google Scholar] [CrossRef]
- Wang, Y.-Q.; Zhang, H.-M.; Zhang, G.-C.; Tao, W.-H.; Fei, Z.-H.; Liu, Z.-T. Spectroscopic Studies on the Interaction between Silicotungstic Acid and Bovine Serum Albumin. J. Pharm. Biomed. Anal. 2007, 43, 1869–1875. [Google Scholar] [CrossRef] [PubMed]
- Alanazi, A.M.; Abdelhameed, A.S. A Spectroscopic Approach to Investigate the Molecular Interactions between the Newly Approved Irreversible ErbB Blocker “Afatinib” and Bovine Serum Albumin. PLoS ONE 2016, 11, e0146297. [Google Scholar] [CrossRef]
- Makarska-Bialokoz, M. Spectroscopic Study of Porphyrin-Caffeine Interactions. J. Fluoresc. 2012, 22, 1521–1530. [Google Scholar] [CrossRef] [PubMed]
- Varlan, A.; Hillebrand, M. Bovine and Human Serum Albumin Interactions with 3-Carboxyphenoxathiin Studied by Fluorescence and Circular Dichroism Spectroscopy. Molecules 2010, 15, 3905–3919. [Google Scholar] [CrossRef]
- Zhao, H.; Ge, M.; Zhang, Z.; Wang, W.; Wu, G. Spectroscopic Studies on the Interaction between Riboflavin and Albumins. Spectrochim. Acta A Mol. Biomol. Spectrosc. 2006, 65, 811–817. [Google Scholar] [CrossRef] [PubMed]
- Nusrat, S.; Siddiqi, M.K.; Zaman, M.; Zaidi, N.; Ajmal, M.R.; Alam, P.; Qadeer, A.; Abdelhameed, A.S.; Khan, R.H. A Comprehensive Spectroscopic and Computational Investigation to Probe the Interaction of Antineoplastic Drug Nordihydroguaiaretic Acid with Serum Albumins. PLoS ONE 2016, 11, e0158833. [Google Scholar] [CrossRef]
- Tu, B.; Chen, Z.-F.; Liu, Z.-J.; Li, R.-R.; Ouyang, Y.; Hu, Y.-J. Study of the Structure-Activity Relationship of Flavonoids Based on Their Interaction with Human Serum Albumin. RSC Adv. 2015, 5, 73290–73300. [Google Scholar] [CrossRef]
- Zhang, Y.-Z.; Xiang, X.; Mei, P.; Dai, J.; Zhang, L.-L.; Liu, Y. Spectroscopic Studies on the Interaction of Congo Red with Bovine Serum Albumin. Spectrochim. Acta A Mol. Biomol. Spectrosc. 2009, 72, 907–914. [Google Scholar] [CrossRef]
- Zhang, G.; Zhao, N.; Hu, X.; Tian, J. Interaction of Alpinetin with Bovine Serum Albumin: Probing of the Mechanism and Binding Site by Spectroscopic Methods. Spectrochim. Acta A Mol. Biomol. Spectrosc. 2010, 76, 410–417. [Google Scholar] [CrossRef]
- Poór, M.; Boda, G.; Needs, P.W.; Kroon, P.A.; Lemli, B.; Bencsik, T. Interaction of Quercetin and Its Metabolites with Warfarin: Displacement of Warfarin from Serum Albumin and Inhibition of CYP2C9 Enzyme. Biomed. Pharmacother. 2017, 88, 574–581. [Google Scholar] [CrossRef] [PubMed]
- Mohos, V.; Fliszár-Nyúl, E.; Schilli, G.; Hetényi, C.; Lemli, B.; Kunsági-Máté, S.; Bognár, B.; Poór, M. Interaction of Chrysin and Its Main Conjugated Metabolites Chrysin-7-Sulfate and Chrysin-7-Glucuronide with Serum Albumin. Int. J. Mol. Sci. 2018, 19, 4073. [Google Scholar] [CrossRef]
- Poór, M.; Boda, G.; Mohos, V.; Kuzma, M.; Bálint, M.; Hetényi, C.; Bencsik, T. Pharmacokinetic Interaction of Diosmetin and Silibinin with Other Drugs: Inhibition of CYP2C9-Mediated Biotransformation and Displacement from Serum Albumin. Biomed. Pharmacother. 2018, 102, 912–921. [Google Scholar] [CrossRef]
- Poór, M.; Kunsági-Máté, S.; Bálint, M.; Hetényi, C.; Gerner, Z.; Lemli, B. Interaction of Mycotoxin Zearalenone with Human Serum Albumin. J. Photochem. Photobiol. B 2017, 170, 16–24. [Google Scholar] [CrossRef] [PubMed]
- Domenici, E.; Bertucci, C.; Salvadori, P.; Wainer, I.W. Use of a Human Serum Albumin-Based High-Performance Liquid Chromatography Chiral Stationary Phase for the Investigation of Protein Binding: Detection of the Allosteric Interaction between Warfarin and Benzodiazepine Binding Sites. J. Pharm. Sci. 1991, 80, 164–166. [Google Scholar] [CrossRef] [PubMed]
- Kalhor, H.R.; Taghikhani, E. Probe into the Molecular Mechanism of Ibuprofen Interaction with Warfarin Bound to Human Serum Albumin in Comparison to Ascorbic and Salicylic Acids: Allosteric Inhibition of Anticoagulant Release. J. Chem. Inf. Model. 2021, 61, 4045–4057. [Google Scholar] [CrossRef] [PubMed]
- Vorum, H.; Honoré, B. Influence of Fatty Acids on the Binding of Warfarin and Phenprocoumon to Human Serum Albumin with Relation to Anticoagulant Therapy. J. Pharm. Pharmacol. 1996, 48, 870–875. [Google Scholar] [CrossRef]
- Boulton, D.W.; Walle, U.K.; Walle, T. Extensive Binding of the Bioflavonoid Quercetin to Human Plasma Proteins. J. Pharm. Pharmacol. 1998, 50, 243–249. [Google Scholar] [CrossRef] [PubMed]
- Fliszár-Nyúl, E.; Faisal, Z.; Mohos, V.; Derdák, D.; Lemli, B.; Kálai, T.; Sár, C.; Zsidó, B.Z.; Hetényi, C.; Horváth, Á.I.; et al. Interaction of SZV 1287, a Novel Oxime Analgesic Drug Candidate, and Its Metabolites with Serum Albumin. J. Mol. Liq. 2021, 333, 115945. [Google Scholar] [CrossRef]
- Scatchard, G. The Attractions of Proteins for Small Molecules and Ions. Ann. N. Y. Acad. Sci. 1949, 51, 660–672. [Google Scholar] [CrossRef]
- Gans, P.; Sabatini, A.; Vacca, A. Investigation of Equilibria in Solution. Determination of Equilibrium Constants with the HYPERQUAD Suite of Programs. Talanta 1996, 43, 1739–1753. [Google Scholar] [CrossRef]
- Lakowicz, J.R. Principles of Fluorescence Spectroscopy, 3rd ed.; Springer: New York, NY, USA, 2006; ISBN 978-0-387-31278-1. [Google Scholar]
- Wang, T.; Zeng, L.-H.; Li, D.-L. A Review on the Methods for Correcting the Fluorescence Inner-Filter Effect of Fluorescence Spectrum. Appl. Spectrosc. Rev. 2017, 52, 883–908. [Google Scholar] [CrossRef]
- Pászti-Gere, E.; Szentkirályi-Tóth, A.; Szabó, P.; Steinmetzer, T.; Fliszár-Nyúl, E.; Poór, M. In Vitro Characterization of the Furin Inhibitor MI-1851: Albumin Binding, Interaction with Cytochrome P450 Enzymes and Cytotoxicity. Biomed. Pharmacother. 2022, 151, 113124. [Google Scholar] [CrossRef]







| UV-Vis Spectroscopy | Fluorescence Quenching | |||
|---|---|---|---|---|
| Scatchard Plot logK | Hyperquad logK | Stern–Volmer Plot logKSV | Hyperquad logK | |
| BIL | 5.83 ± 0.02 | 7.53 ± 0.02 | 5.26 ± 0.01 | 5.35 ± 0.01 |
| BVD | 4.96 ± 0.06 | 5.55 ± 0.11 | 5.37 ± 0.03 | 5.45 ± 0.02 |
| HEM | 5.74 ± 0.04 | 7.35 ± 0.03 | 5.54 ± 0.02 0.5–3 µM: 5.23 ± 0.02 3–15 µM: 5.55 ± 0.03 | 5.49 ± 0.02 0.5–3 µM: 5.34 ± 0.01 3–15 µM: 5.53 ± 0.02 |
| MO | 4.19 ± 0.09 | 4.74 ± 0.08 | 4.76 ± 0.02 | 4.83 ± 0.02 |
Publisher’s Note: MDPI stays neutral with regard to jurisdictional claims in published maps and institutional affiliations. |
© 2022 by the authors. Licensee MDPI, Basel, Switzerland. This article is an open access article distributed under the terms and conditions of the Creative Commons Attribution (CC BY) license (https://creativecommons.org/licenses/by/4.0/).
Share and Cite
Lemli, B.; Lomozová, Z.; Huber, T.; Lukács, A.; Poór, M. Effects of Heme Site (FA1) Ligands Bilirubin, Biliverdin, Hemin, and Methyl Orange on the Albumin Binding of Site I Marker Warfarin: Complex Allosteric Interactions. Int. J. Mol. Sci. 2022, 23, 14007. https://doi.org/10.3390/ijms232214007
Lemli B, Lomozová Z, Huber T, Lukács A, Poór M. Effects of Heme Site (FA1) Ligands Bilirubin, Biliverdin, Hemin, and Methyl Orange on the Albumin Binding of Site I Marker Warfarin: Complex Allosteric Interactions. International Journal of Molecular Sciences. 2022; 23(22):14007. https://doi.org/10.3390/ijms232214007
Chicago/Turabian StyleLemli, Beáta, Zuzana Lomozová, Tamás Huber, András Lukács, and Miklós Poór. 2022. "Effects of Heme Site (FA1) Ligands Bilirubin, Biliverdin, Hemin, and Methyl Orange on the Albumin Binding of Site I Marker Warfarin: Complex Allosteric Interactions" International Journal of Molecular Sciences 23, no. 22: 14007. https://doi.org/10.3390/ijms232214007
APA StyleLemli, B., Lomozová, Z., Huber, T., Lukács, A., & Poór, M. (2022). Effects of Heme Site (FA1) Ligands Bilirubin, Biliverdin, Hemin, and Methyl Orange on the Albumin Binding of Site I Marker Warfarin: Complex Allosteric Interactions. International Journal of Molecular Sciences, 23(22), 14007. https://doi.org/10.3390/ijms232214007

