RF Energy Harvesting and Information Transmission Based on NOMA for Wireless Powered IoT Relay Systems
Abstract
1. Introduction
- Realizing the energy constrained nature of IoT nodes, we have considered and investigated an RF EH-based on TS, PS and NOMA for IoT relay systems.
- Although a myriad of works have been carried out in the literature for EH, the absolute vast majority of those works only consider RF EH at relay node and transmission of source node data successfully to its destination node. Those approaches do not consider the data transmission of the relay node that may be an IoT node which needs to transmit its data along with the source node data to their respective destinations. In this paper, we rather focus on RF EH and information transmission based on TS, PS relaying and NOMA for IoT relay systems.
- We have mathematically derived the outage probability, throughput and sum-throughput for our proposed system. We have also formulated an iterative algorithm-Golden Section Search Method to find the optimal time switching and power splitting factor for sum-throughput maximization.
- Our proposed system analytical results for TS and PS are validated by simulation results. The developed analysis is corroborated through Monte-Carlo simulations and some representative performance comparisons are presented.
2. System Model
3. System Model Based on Time Switching and NOMA
3.1. Stage 1
3.2. Stage 2
3.3. Outage Probability, Throughput and Sum-Throughput
4. System Model Based on Power Splitting and NOMA
4.1. Stage 1
4.2. Stage 2
4.3. Outage Probability, Throughput and Sum-Throughput
5. Optimal Time Switching and Optimal Power Splitting Factor for Sum-Throughput Maximization
| Algorithm 1Golden Section Search Method for Finding Optimal Time Switching Factor and Optimal Power Splitting Factor |
|
|
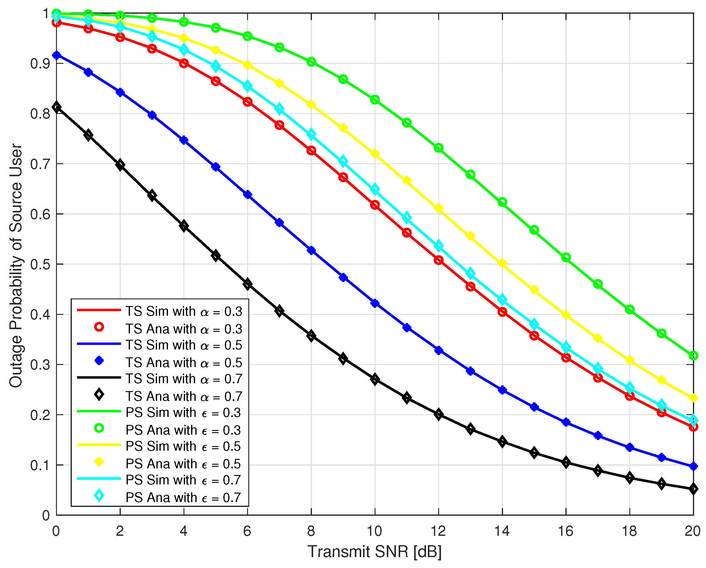
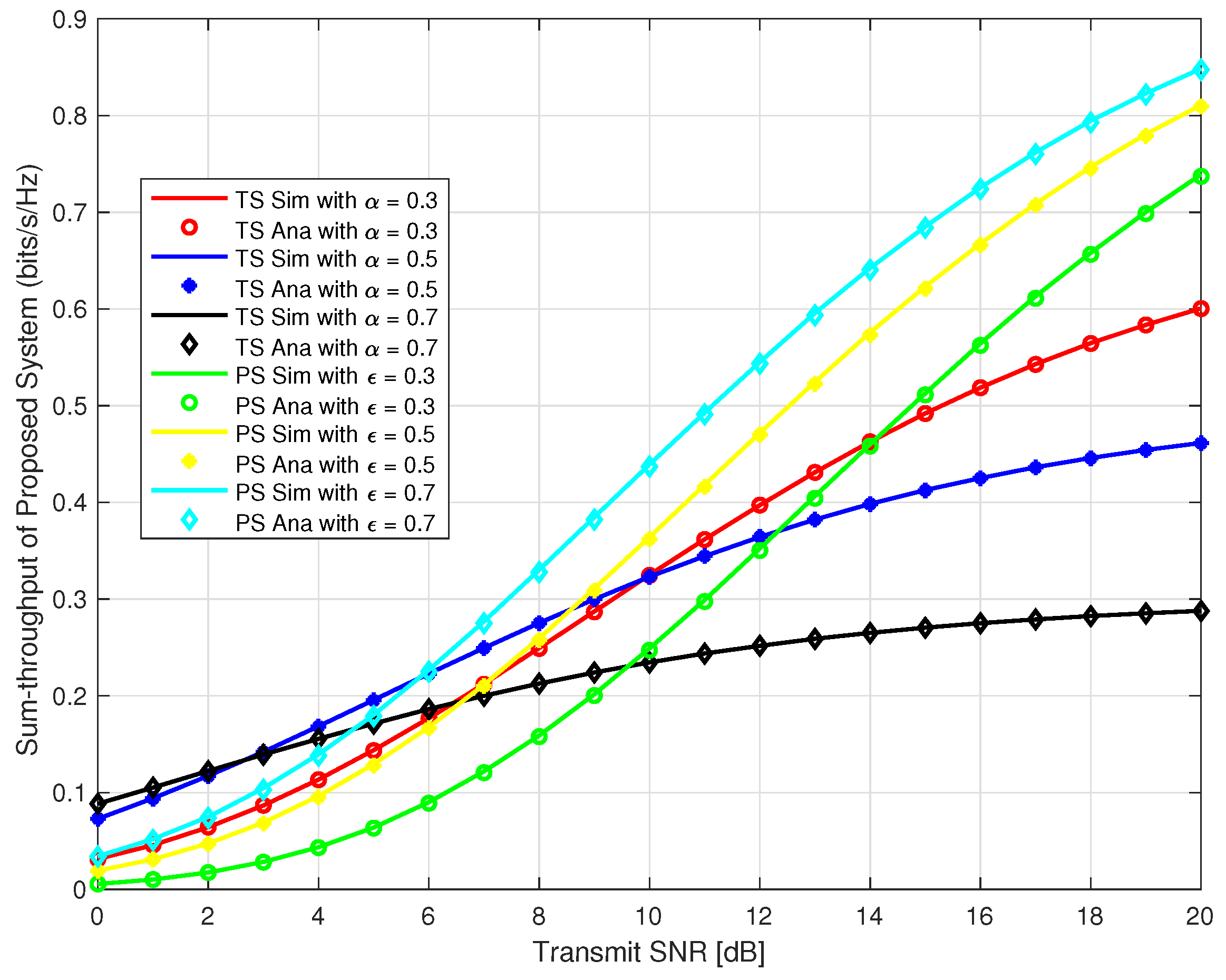
6. Numerical Results and Discussion
7. Conclusions and Future Works
Author Contributions
Funding
Conflicts of Interest
Abbreviations
| Symbol | Meaning |
| IoT relay node | |
| Power of source node transmit signal | |
| RF | Radio Frequency |
| EH | Energy Harvesting |
| SNR | Signal-to-noise ratio |
| NOMA | Non-orthogonal multiple access |
| PS | Power splitting |
| DF | Decode and Forward |
| Power splitting factor | |
| Source node information data | |
| T | Time period |
| , | Information signal received at |
| Additive White Gaussian Nosie at | |
| Noise variance at | |
| Channel co-efficient between source node and node | |
| Mean variance of | |
| Channel co-efficient between and source user | |
| Mean variance of | |
| Channel co-efficient between and user | |
| Mean variance of | |
| Energy conversion efficiency | |
| , | Energy harvested at node |
| , | Transmit power of node |
| , | Superimposed composite signal for NOMA protocol |
| , | Power allocation factors for NOMA protocol |
| node information data | |
| , | Received signal at destination source user |
| , | Received signal at destination user |
| , | Additive White Gaussian Nosie at destination source user |
| Additive White Gaussian Nosie at destination user | |
| , | Received SNR at node |
| , | Transmit SNR |
| , | SNR required at the destination source user to decode and cancel information data |
| , | Received SNR at destination source user node |
| , | Received SNR at destination user node |
| Noise variance at destination source user node | |
| Noise variance at destination user node | |
| , | Outage probability |
| , | Outage probability of source node |
| , | Outage probability of node |
| R | Rate in bits per second per hertz |
| , | Throughput of source node |
| , | Throughput of node |
| , | Sum-throughput of whole system |
| Optimal time switching factor | |
| Optimal power splitting factor | |
| First-order modified Bessel function of the second kind | |
| Exponential integral of order n |
Appendix A. Proof of Theorem 1 in (16) and (17)
Appendix B. Proof of Theorem 1 in (18) and (19)
Appendix C. Proof of Theorem 1 in (36) and (37)
Appendix D. Proof of Theorem 1 in (38) and (39)
References
- Ericsson, L. More Than 50 Billion Connected Devices. 2011. Available online: https://www.akos-rs.si/files/Telekomunikacije/Digitalna_agenda/Internetni_protokol_Ipv6/More-than-50-billion-connected-devices.pdf (accessed on 26 September 2018).
- Mumtaz, S.; Alsohaily, A.; Pang, Z.; Rayes, A.; Tsang, K.F.; Rodriguez, J. Massive Internet of Things for industrial applications: Addressing wireless IIoT connectivity challenges and ecosystem fragmentation. IEEE Ind. Electron. Mag. 2017, 11, 28–33. [Google Scholar] [CrossRef]
- Molina, B.; Palau, C.E.; Fortino, G.; Guerrieri, A.; Savaglio, C. Empowering smart cities through interoperable Sensor Network Enablers. In Proceedings of the 2014 IEEE International Conference on Systems, Man and Cybernetics (SMC), San Diego, CA, USA, 5–8 October 2014; pp. 7–12. [Google Scholar]
- Rauniyar, A.; Hagos, D.H.; Shrestha, M. A Crowd-Based Intelligence Approach for Measurable Security, Privacy, and Dependability in Internet of Automated Vehicles with Vehicular Fog. Mob. Inf. Syst. 2018, 2018, 7905960. [Google Scholar] [CrossRef]
- Savaglio, C.; Fortino, G. Autonomic and cognitive architectures for the Internet of Things. In Proceedings of the International Conference on Internet and Distributed Computing Systems, Windsor, UK, 2–4 September 2015; pp. 39–47. [Google Scholar]
- Ambrosin, M.; Anzanpour, A.; Conti, M.; Dargahi, T.; Moosavi, S.R.; Rahmani, A.M.; Liljeberg, P. On the Feasibility of Attribute-Based Encryption on Internet of Things Devices. IEEE Micro 2016, 36, 25–35. [Google Scholar] [CrossRef]
- Li, S.; Xu, L.D.; Zhao, S. 5G internet of things: A survey. J. Ind. Inf. Integr. 2018, 10, 1–9. [Google Scholar] [CrossRef]
- Atzori, L.; Iera, A.; Morabito, G. The internet of things: A survey. Comput. Netw. 2010, 54, 2787–2805. [Google Scholar] [CrossRef]
- Guo, W.; Deng, Y.; Yilmaz, H.B.; Farsad, N.; Elkashlan, M.; Eckford, A.; Nallanathan, A.; Chae, C.B. SMIET: Simultaneous molecular information and energy transfer. IEEE Wirel. Commun. 2018, 25, 106–113. [Google Scholar] [CrossRef]
- Rauniyar, A.; Engelstad, P.; Moen, J. A New Distributed Localization Algorithm Using Social Learning Based Particle Swarm Optimization for Internet of Things. In Proceedings of the 2018 IEEE 87th Vehicular Technology Conference (VTC Spring), Porto, Portugal, 3–6 June 2018; pp. 1–7. [Google Scholar]
- Liang, X.; Chen, M.; Balasingham, I.; Leung, V.C. Cooperative communications with relay selection for wireless networks: Design issues and applications. Wirel. Commun. Mob. Comput. 2013, 13, 745–759. [Google Scholar] [CrossRef]
- Razeghi, B.; Hodtani, G.A.; Nikazad, T. Multiple Criteria Relay Selection Scheme in Cooperative Communication Networks. Wirel. Pers. Commun. 2017, 96, 2539–2561. [Google Scholar] [CrossRef]
- Ibrahim, A.S.; Sadek, A.K.; Su, W.; Liu, K.R. Cooperative communications with relay-selection: When to cooperate and whom to cooperate with? IEEE Trans. Wirel. Commun. 2008, 7, 2814–2827. [Google Scholar] [CrossRef]
- Geng, K.; Gao, Q.; Fei, L.; Xiong, H. Relay selection in cooperative communication systems over continuous time-varying fading channel. Chin. J. Aeronaut. 2017, 30, 391–398. [Google Scholar] [CrossRef]
- Lu, X.; Wang, P.; Niyato, D.; Kim, D.I.; Han, Z. Wireless networks with RF energy harvesting: A contemporary survey. IEEE Commun. Surv. Tutor. 2015, 17, 757–789. [Google Scholar] [CrossRef]
- Zhou, X.; Zhang, R.; Ho, C.K. Wireless information and power transfer: Architecture design and rate-energy tradeoff. IEEE Trans. Commun. 2013, 61, 4754–4767. [Google Scholar] [CrossRef]
- Liu, P.; Gazor, S.; Kim, I.M.; Kim, D.I. Noncoherent relaying in energy harvesting communication systems. IEEE Trans. Wirel. Commun. 2015, 14, 6940–6954. [Google Scholar] [CrossRef]
- Mateu, L.; Moll, F. Review of energy harvesting techniques and applications for microelectronics (Keynote Address). Pro. SPIE 2005, 5837, 359–374. [Google Scholar]
- Zhang, R.; Ho, C.K. MIMO broadcasting for simultaneous wireless information and power transfer. IEEE Trans. Wirel. Commun. 2013, 12, 1989–2001. [Google Scholar] [CrossRef]
- Wu, Q.; Chen, W.; Ng, D.W.K.; Schober, R. Spectral and energy efficient wireless powered IoT networks: NOMA or TDMA? IEEE Trans. Veh. Technol. 2018, 67, 6663–6667. [Google Scholar] [CrossRef]
- Islam, S.R.; Avazov, N.; Dobre, O.A.; Kwak, K.S. Power-domain non-orthogonal multiple access (NOMA) in 5G systems: Potentials and challenges. IEEE Commun. Surv. Tutor. 2017, 19, 721–742. [Google Scholar] [CrossRef]
- Ding, Z.; Yang, Z.; Fan, P.; Poor, H.V. On the performance of non-orthogonal multiple access in 5G systems with randomly deployed users. arXiv, 2014; arXiv:1406.1516. [Google Scholar]
- Saito, Y.; Kishiyama, Y.; Benjebbour, A.; Nakamura, T.; Li, A.; Higuchi, K. Non-orthogonal multiple access (NOMA) for cellular future radio access. In Proceedings of the 2013 IEEE 77th Vehicular Technology Conference (VTC Spring), Dresden, Germany, 2–5 June 2013; pp. 1–5. [Google Scholar]
- Varshney, L.R. Transporting information and energy simultaneously. In Proceedings of the 2008 IEEE International Symposium on Information Theory, Toronto, ON, Canada, 6–11 July 2008; pp. 1612–1616. [Google Scholar] [CrossRef]
- Sun, L.; Zhang, T.; Lu, L.; Niu, H. Cooperative communications with relay selection in wireless sensor networks. IEEE Trans. Consum. Electron. 2009, 55, 513–517. [Google Scholar] [CrossRef]
- Sudevalayam, S.; Kulkarni, P. Energy harvesting sensor nodes: Survey and implications. IEEE Commun. Surv. Tutor. 2011, 13, 443–461. [Google Scholar] [CrossRef]
- Lo, A.; Law, Y.; Jacobsson, M. A cellular-centric service architecture for machine-to-machine (M2M) communications. IEEE Wirel. Commun. 2013, 20, 143–151. [Google Scholar] [CrossRef]
- Nasir, A.A.; Zhou, X.; Durrani, S.; Kennedy, R.A. Relaying Protocols for Wireless Energy Harvesting and Information Processing. IEEE Trans. Wirel. Commun. 2013, 12, 3622–3636. [Google Scholar] [CrossRef]
- Du, G.; Xiong, K.; Qiu, Z. Outage analysis of cooperative transmission with energy harvesting relay: Time switching versus power splitting. Math. Probl. Eng. 2015, 2015, 598290. [Google Scholar] [CrossRef]
- Liu, Y.; Ding, Z.; Elkashlan, M.; Poor, H.V. Cooperative Non-orthogonal Multiple Access with Simultaneous Wireless Information and Power Transfer. IEEE J. Sel. Areas Commun. 2016, 34, 938–953. [Google Scholar] [CrossRef]
- Ha, D.B.; Nguyen, S.Q. Outage Performance of Energy Harvesting DF Relaying NOMA Networks. Mob. Netw. Appl. 2017, 1–14. [Google Scholar] [CrossRef]
- Kader, M.F.; Shahab, M.B.; Shin, S.Y. Cooperative spectrum sharing with energy harvesting best secondary user selection and non-orthogonal multiple access. In Proceedings of the 2017 International Conference on Computing, Networking and Communications (ICNC), Santa Clara, CA, USA, 26–29 January 2017; pp. 46–51. [Google Scholar]
- Jain, N.; Bohara, V.A. Energy harvesting and spectrum sharing protocol for wireless sensor networks. IEEE Wirel. Commun. Lett. 2015, 4, 697–700. [Google Scholar] [CrossRef]
- Zhou, Z.; Zhou, S.; Cui, J.H.; Cui, S. Energy-efficient cooperative communication based on power control and selective single-relay in wireless sensor networks. IEEE Trans. Wirel. Commun. 2008, 7. [Google Scholar] [CrossRef]
- Chong, E.K.P.; Zak, S.H. An Introduction to Optimization, 4th ed.; John Wiley & Sons: Hoboken, NJ, USA, 2013. [Google Scholar]
- Gradshteyn, I.S.; Ryzhik, I.M. Table of Integrals, Series, and Products; Academic Press: Cambridge, MA, USA, 2007. [Google Scholar]











| Parameter | Symbol | Values |
|---|---|---|
| Mean of | 1 | |
| Mean of | 1 | |
| Mean of | 0.5 | |
| Source Node Transmit SNR | 0–20 dB | |
| Energy Harvesting Efficiency | 1 | |
| Source and IoT Node Rate | R | 1 bps/Hz |
| Power Factor for NOMA | 0.2 | |
| Power Factor for NOMA | 0.8 | |
| Noise Variance | 1 |
© 2018 by the authors. Licensee MDPI, Basel, Switzerland. This article is an open access article distributed under the terms and conditions of the Creative Commons Attribution (CC BY) license (http://creativecommons.org/licenses/by/4.0/).
Share and Cite
Rauniyar, A.; Engelstad, P.; Østerbø, O.N. RF Energy Harvesting and Information Transmission Based on NOMA for Wireless Powered IoT Relay Systems. Sensors 2018, 18, 3254. https://doi.org/10.3390/s18103254
Rauniyar A, Engelstad P, Østerbø ON. RF Energy Harvesting and Information Transmission Based on NOMA for Wireless Powered IoT Relay Systems. Sensors. 2018; 18(10):3254. https://doi.org/10.3390/s18103254
Chicago/Turabian StyleRauniyar, Ashish, Paal Engelstad, and Olav N. Østerbø. 2018. "RF Energy Harvesting and Information Transmission Based on NOMA for Wireless Powered IoT Relay Systems" Sensors 18, no. 10: 3254. https://doi.org/10.3390/s18103254
APA StyleRauniyar, A., Engelstad, P., & Østerbø, O. N. (2018). RF Energy Harvesting and Information Transmission Based on NOMA for Wireless Powered IoT Relay Systems. Sensors, 18(10), 3254. https://doi.org/10.3390/s18103254
