New Damage Evolution Law for Steel–Asphalt Concrete Composite Pavement Considering Wheel Load and Temperature Variation
Abstract
:1. Introduction
2. Materials and Methods
2.1. Theoretical Model
2.1.1. General Formulation
2.1.2. Damage Evolution Law under Single Cyclic Load and Constant Temperature
2.1.3. Damage Evolution Law under Different Cyclic Stress Amplitudes
2.1.4. Fatigue Damage Accumulation
2.2. Experiment
2.2.1. Raw Materials and Pavement Performances of Asphalt Concretes on Long-Span Steel Bridge Decks
2.2.2. Fatigue Measurement of Asphalt Concrete Beam on Steel Plate
3. Results and Discussion
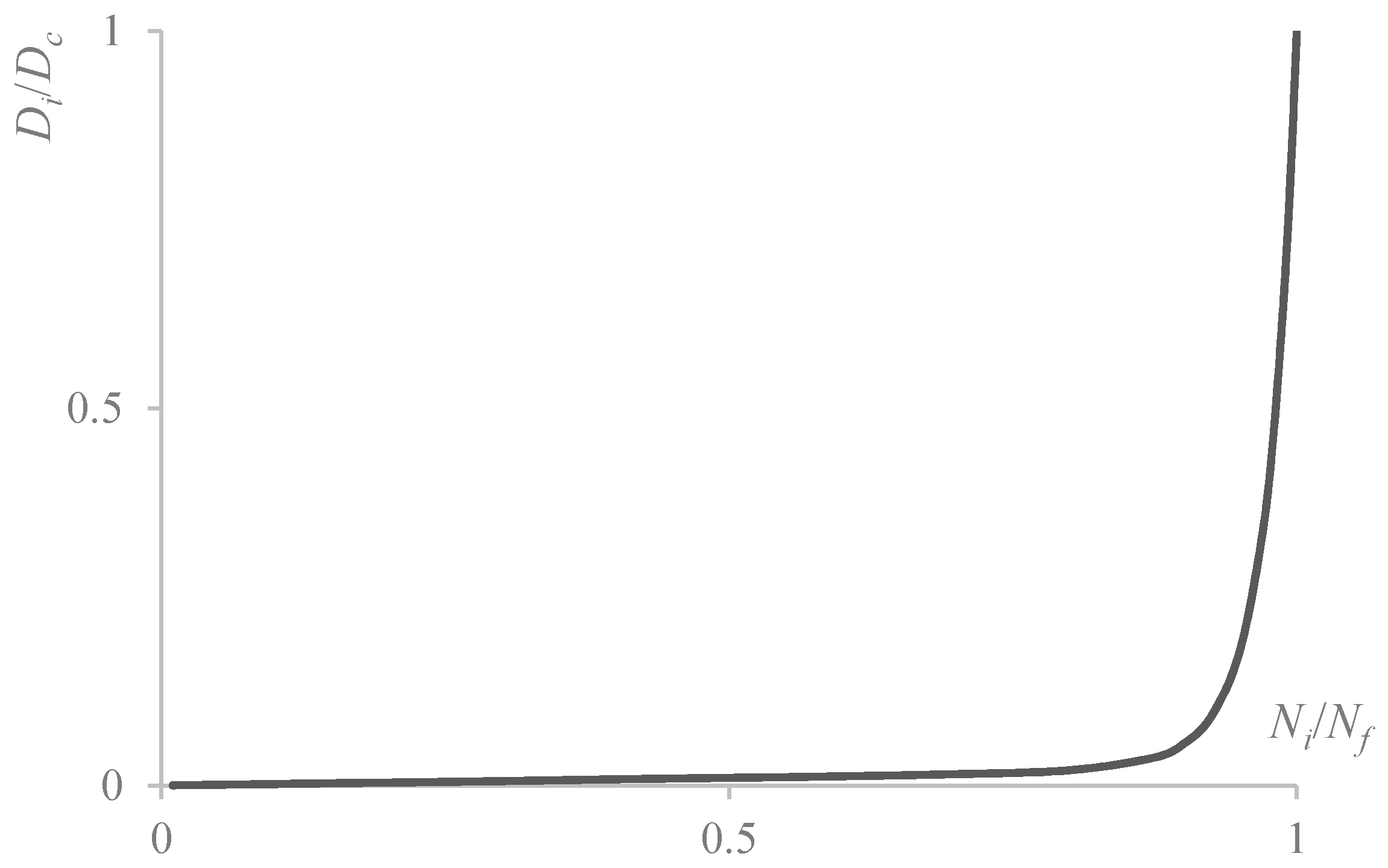
3.1. Fatigue Damage Evolution Law and Accumulation of Asphalt Concrete
3.2. Prediction of Fatigue Life of the Asphalt Concrete on the Long-Span Steel Bridge
- The theoretical prediction of fatigue life is comparable to that from the bending fatigue test. The difference between them is not greater than 11%. However, the predicted theoretical value is larger than the experimental value. The reason for this is that the theoretical predicted value calculation assumes the material to be homogeneous and does not take into account the amplification effect of the initial defects such as pores and micro-cracks in the asphalt mixture on fatigue damage.
- Temperature is one of the main factors affecting the fatigue life of asphalt pavement on a steel bridge deck. The fatigue life of the deck pavement decreases with temperature, as shown in Figure 8. This could be attributed to the increase in the elastic modulus of the asphalt mixture at lower temperatures, which results in an evident increase in the stress concentration and peak stress. Under the low-temperature condition of −15 °C, the EA deck pavement system achieved better anti-fatigue performance and could meet the design requirements of the steel deck pavement (Nf > 1200, for 10,000 cycles) [42]. Moreover, EA mixtures have been successfully applied in the Third Nanjing Yangtze River Bridge (2005), the North Branch Bridge of the Runyang Yangtze River (2005), and the Sutong Yangtze River Bridge (2008), which have withstood the local climate and traffic conditions for over 10 years. However, GA-I/II and SMA-10/13 showed poor fatigue endurance at lower temperatures (Nf < 12, for 10,000 cycles); thus, they failed to meet the design requirement for steel bridge deck pavement.
- The effect of load levels on the fatigue resistance of the steel deck pavement is significant, as can be inferred from both the theoretical prediction and the experimental results under different load levels (Figure 8). The fatigue life noticeably decreased with the increase in load levels. Under the loading level of 12 kN, the fatigue cycle number (Nf) was reduced by 15–20% compared with that of the load level of 16 kN. Additionally, the GA-I/II and SMA-10/13 showed poor fatigue endurance under overloading of 12 kN (Nf < 12, for 10,000 cycles); thus, they failed to meet the design requirement for steel bridge deck pavement.
- The bridge pavement constructed of EA has anti-fatigue performance superior to that of the other pavements. Under the same total thickness of the pavement layers, the fatigue life can be extended by a factor of more than one or two when GA-I/II or SMA-10/13 is adopted. The main reason is that the bending strength of the EA concrete is much higher than that of the modified SMA concrete and GA concrete. With higher strength and excellent resistance to deformation, the EA concrete is a suitable paving material for long-span steel bridge decks.
- In fact, GA pavement has been widely used for deck pavement construction of long-span steel bridges in China, such as the Jiangyin Yangtze River Highway Bridge and the Tsingma Bridge in Hong Kong. Based on field applications, it is concluded that the pavements constructed of SMA show high rutting resistance and good adhesion of the interfaces; they are capable of withstanding the entire stress and meeting the basic requirements with respect to vehicle loads. However, their ability to withstand high temperatures is somewhat poor. To meet the requirement for high-cycle fatigue life, the total thickness of the pavement layers should be increased, which contradicts the design requirement for thin-layer steel bridge deck pavement.
4. Conclusions
Author Contributions
Funding
Conflicts of Interest
References
- Ge, Z.; Huang, M.; Wang, Y. Fatigue behaviour of asphalt concrete beams reinforced by glass fibre-reinforced plastics. Int. J. Pavement Eng. 2014, 15, 36–42. [Google Scholar] [CrossRef]
- Yin, C.; Zhang, H.; Pan, Y. Cracking mechanism and repair techniques of epoxy asphalt on steel bridge deck pavement. Transp. Res. Rec. 2016, 2550, 123–130. [Google Scholar] [CrossRef]
- Zhong, K.; Yang, X.; Wei, X. Investigation on surface characteristics of epoxy asphalt concrete pavement. Int. J. Pavement Res. Technol. 2017, 10, 545–552. [Google Scholar] [CrossRef]
- Huang, W. Integrated design procedure for epoxy asphalt concrete–based wearing surface on long-span orthotropic steel deck bridges. J. Mater. Civil Eng. 2016, 28, 04015189:1–04015189:12. [Google Scholar] [CrossRef]
- Wang, Z.; Zhang, S. Fatigue endurance limit of epoxy asphalt concrete pavement on the deck of long-span steel bridge. Int. J. Pavement Res. Technol. 2018, 11, 408–415. [Google Scholar] [CrossRef]
- Zhang, L.; Wang, W.; Lu, Q.; Chen, X. An innovative approach to determine deck pavement modulus and interfacial slip stiffness based on a composite beam model. Constr. Build. Mater. 2013, 40, 411–418. [Google Scholar] [CrossRef]
- Bocci, E.; Graziani, A.; Canestrari, F. Mechanical 3D characterization of epoxy asphalt concrete for pavement layers of orthotropic steel decks. Constr. Build. Mater. 2015, 79, 145–152. [Google Scholar] [CrossRef]
- Luo, S.; Qian, Z.; Yang, X.; Wang, H. Design of gussasphalt mixtures based on performance of gussasphalt binders, mastics and mixtures. Constr. Build. Mater. 2017, 156, 131–141. [Google Scholar] [CrossRef]
- Kainuma, S.; Yang, M.; Jeong, Y.-S.; Inokuchi, S.; Kawabata, A.; Uchida, D. Experimental investigation for structural parameter effects on fatigue behavior of rib-to-deck welded joints in orthotropic steel decks. Eng. Fail. Anal. 2017, 79, 520–537. [Google Scholar] [CrossRef]
- Chen, L.; Qian, Z.; Wang, J. Multiscale numerical modeling of steel bridge deck pavements considering vehicle–pavement interaction. Int. J. Geomech. 2016, 16, B4015002:1–B4015002:8. [Google Scholar] [CrossRef]
- Liu, Y.; Qian, Z.D.; Zhang, M. Fatigue damage analysis of epoxy asphalt pavement for steel bridges considering coupled effects of heavy load and temperature variations. J. Southeast Univ. (Engl. Ed.) 2017, 33, 478–483. [Google Scholar] [CrossRef]
- Di Benedetto, H.; de La Roche, C.; Baaj, H.; Pronk, A.; Lundström, R. Fatigue of bituminous mixtures. Mater. Struct. 2004, 37, 202–216. [Google Scholar] [CrossRef]
- Harvey, J.T.; Deacon, J.A.; Tsai, B.-W.; Monismith, C.L. Fatigue Performance of Asphalt Concrete Mixes and Its Relationship to Asphalt Concrete Pavement Performance in California, Report No. RTA-65W485-2. In University of California at Berkeley, Institute of Transportation Studies, Asphalt Research Program: CAL/APT Program; National Technical Information Service: Springfield, VA, USA, 1995. [Google Scholar]
- Ameri, M.; Nowbakht, S.; Molayem, M.; Mirabimoghaddam, M.H. A study on fatigue modeling of hot mix asphalt mixtures based on the viscoelastic continuum damage properties of asphalt binder. Constr. Build. Mater. 2016, 106, 243–252. [Google Scholar] [CrossRef]
- Subhy, A.; Lo Presti, D.; Airey, G. New simplified approach for obtaining a reliable plateau value in fatigue analysis of bituminous materials. Eng. Fail. Anal. 2017, 79, 263–273. [Google Scholar] [CrossRef]
- Santagata, E.; Baglieri, O.; Dalmazzo, D. Investigating cohesive healing of asphalt binders by means of a dissipated energy approach. Int. J. Pavement Res. Technol. 2017, 10, 403–409. [Google Scholar] [CrossRef]
- Adhikari, S.; Shen, S.; You, Z. Evaluation of fatigue models of hot-mix asphalt through laboratory testing. Transp. Res. Rec. 2009, 2127, 36–42. [Google Scholar] [CrossRef]
- Zhao, Y.; Jiang, L.; Zhou, L. Improvement of bending fatigue test for asphalt surfacing on orthotropic steel bridge deck. Adv. Civil Eng. Mater. 2016, 5, 325–336. [Google Scholar] [CrossRef]
- Yoo, P.J.; Al-Qadi, I.L. A strain-controlled hot-mix asphalt fatigue model considering low and high cycles. Int. J. Pavement Eng. 2010, 11, 565–574. [Google Scholar] [CrossRef]
- Qian, Z.-D.; Wang, J.-Y.; Chen, L.-L.; Wang, L.-B. Three-dimensional discrete element modeling of crack development in epoxy asphalt concrete. J. Test. Eval. 2015, 43, 1–13. [Google Scholar] [CrossRef]
- Campbell, F.C. Fatigue and Fracture: Understanding the Basics; ASM International: Materials Park, OH, USA, 2012. [Google Scholar]
- Shen, S.; Chiu, H.-M.; Huang, H. Characterization of fatigue and healing in asphalt binders. J. Mater. Civil Eng. 2010, 22, 846–852. [Google Scholar] [CrossRef]
- Saboo, N.; Kumar, P. Optimum blending requirements for EVA modified binder. Transp. Res. Procedia 2016, 17, 98–106. [Google Scholar] [CrossRef]
- Suthiwarapirak, P.; Matsumoto, T.; Kanda, T. Flexural fatigue failure characteristics of an engineered cementitious composite and polymer cement mortars. Doboku Gakkai Ronbun. 2002, 718, 121–134. [Google Scholar] [CrossRef]
- Zhang, X.C.; Huang, W.; Wei, Q.; Zhang, L.; Tong, X.D. A fatigue damage analysis of composite construction composed asphalt concrete pavement and steel-box beam deck of steel bridge. Key Eng. Mater. 2004, 274–276, 223–228. [Google Scholar] [CrossRef]
- Liu, W.; Xu, S.; Li, Q. Experimental study on fracture performance of ultra-high toughness cementitious composites with J-integral. Eng. Fract. Mech. 2012, 96, 656–666. [Google Scholar] [CrossRef]
- De Freitas, S.T.; Kolstein, H.; Bijlaard, F. Fatigue assessment of full-scale retrofitted orthotropic bridge decks. J. Bridge Eng. 2017, 22. [Google Scholar] [CrossRef]
- Delgadillo, R.; Bahia, H.U.; Lakes, R. A nonlinear constitutive relationship for asphalt binders. Mater. Struct. 2012, 45, 457–473. [Google Scholar] [CrossRef]
- Sun, D.; Li, B.; Ye, F.; Zhu, X.; Lu, T.; Tian, Y. Fatigue behavior of microcapsule-induced self-healing asphalt concrete. J. Clean. Prod. 2018, 188, 466–476. [Google Scholar] [CrossRef]
- Yang, Y.; Qian, Z.; Song, X. A pothole patching material for epoxy asphalt pavement on steel bridges: Fatigue test and numerical analysis. Constr. Build. Mater. 2015, 94, 299–305. [Google Scholar] [CrossRef]
- Kainuma, S.; Jeong, Y.-S.; Ahn, J.-H.; Yamagami, T.; Tsukamoto, S. Behavior and stress of orthotropic deck with bulb rib by surface corrosion. J. Constr. Steel Res. 2015, 113, 135–145. [Google Scholar] [CrossRef]
- Anderson, T.L. Fracture Mechanics: Fundamentals and Applications, 4th ed.; CRC Press: Boca Raton, FL, USA, 2017. [Google Scholar] [CrossRef]
- Cheng, Y.-S.; Huang, Y. Measurement of continuous damage parameter. Eng. Fract. Mech. 1988, 31, 985–992. [Google Scholar] [CrossRef]
- Lemaitre, J. Evolution of dissipation and damage in metals submitted to dynamic loading. In Proceedings of the 1st International Congress on the Mechanical Behavior of Materials, Kyoto, Japan, 1–4 September 1971; pp. 151–157. [Google Scholar]
- Yu, S.W.; Feng, X.Q. Damage Mechanics; Tsinghua University Press: Beijing, China, 1997. [Google Scholar]
- Chaboche, J.-L. Continuous damage mechanics—A tool to describe phenomena before crack initiation. Nucl. Eng. Des. 1981, 64, 233–247. [Google Scholar] [CrossRef]
- Krajcinovic, D. Continuum damage mechanics. Appl. Mech. Rev. 1984, 37, 1–6. [Google Scholar] [CrossRef]
- Yokobori, T. Theory of Material Strength; Gihodo Ltd: Tokyo, Japan, 1955. [Google Scholar]
- Wang, J. Theory and Application of Damage Mechanics; Science Press: Beijing, China, 1997. [Google Scholar]
- China Ministry of Transport. Standard Test Material of Bitumen and Bituminous Mixtures for Highway Engineering; CN-JT: Beijing, China, 2011; pp. 373P, A374.
- Xu, X.; Huang, W. An approximate method for calculation of design indexes of steel bridges deck surfacing. China Civil Eng. J. 2007, 2007, 54–59. [Google Scholar]
- Specifications for Design of Highway Asphalt Pavement; Standard ID JTG D50-2017; China Communications Press: Beijing, China, 2017.












| Type | Percentage of Particle Mass Passing through Different Sieve Holes (Square Sieve/mm) (%) | Asphalt Content (%) | |||||||||
|---|---|---|---|---|---|---|---|---|---|---|---|
| 16 | 13.2 | 9.5 | 4.75 | 2.36 | 1.18 | 0.6 | 0.3 | 0.15 | 0.075 | ||
| EA | 100 | 95–100 | 65–85 | 50–70 | - | 28–40 | - | - | 7–14 | 6.5 | |
| GA-I | - | 100 | 90–100 | 60–80 | 50–70 | - | 35–40 | 28–35 | 25–34 | 20–27 | 7.2 |
| GA-II | 100 | 95–100 | - | 65–85 | 45–65 | - | 30–35 | 22–32 | 20–28 | 18–23 | 6.8 |
| SMA-10 | - | 100 | 90–100 | 30–50 | 22–30 | 17–25 | 15–22 | 12–20 | 10–18 | 9–12 | 6.2 |
| SMA-13 | 100 | 95–100 | <80 | 22–36 | 20–30 | 16–26 | 14–22 | 12–19 | 10–17 | 8–12 | 6.0 |
| Performance | Test Condition and Unit | EA | GA-I | GA-II | SMA-10 | SMA-13 | Test Method | Requirement [40] |
|---|---|---|---|---|---|---|---|---|
| Void fraction | (%) | 2.2 | 1.2 | 1.1 | 3 | 3.5 | T0708-2011 | ≤1.5 |
| Voids in the Mineral Aggregate | (%) | 18.7 | 19.1 | 18.7 | 17.7 | 17.2 | T0708-2011 | >17 |
| Asphalt filling rate | (%) | 82.3 | 86.7 | 85.3 | 81.3 | 79.7 | T0708-2011 | 70–90 |
| Ultimate bending strength | −15 °C, 1 mm/min (MPa) | 18.3 | 14.21 | 13.56 | 6.1 | 5.3 | T0715-2011 | ≥10 |
| Ultimate bending strain | −15 °C, 1 mm/min (10−3) | 2.74 | 3.63 | 3.42 | 2.76 | 2.07 | T0715-2011 | ≥2 |
| Indirect tensile strength | 25 °C (MPa) | 5.39 | 4.05 | 3.95 | 1.65 | 1.37 | T0716-2011 | - |
| Indirect tensile strength after freeze–thaw cycle | (MPa) | 4.15 | 3.77 | 3.09 | 1.41 | 1.24 | T0729-2000 | - |
| Linear contraction coefficient | 15 °C to −15 °C (10−5 °C−1) | 1.52 | 2.04 | 1.82 | 2.25 | 2.14 | T0720-1993 | ≤3.00 |
© 2019 by the authors. Licensee MDPI, Basel, Switzerland. This article is an open access article distributed under the terms and conditions of the Creative Commons Attribution (CC BY) license (http://creativecommons.org/licenses/by/4.0/).
Share and Cite
Xu, X.; Yang, X.; Huang, W.; Xiang, H.; Yang, W. New Damage Evolution Law for Steel–Asphalt Concrete Composite Pavement Considering Wheel Load and Temperature Variation. Materials 2019, 12, 3723. https://doi.org/10.3390/ma12223723
Xu X, Yang X, Huang W, Xiang H, Yang W. New Damage Evolution Law for Steel–Asphalt Concrete Composite Pavement Considering Wheel Load and Temperature Variation. Materials. 2019; 12(22):3723. https://doi.org/10.3390/ma12223723
Chicago/Turabian StyleXu, Xunqian, Xiao Yang, Wei Huang, Hongliang Xiang, and Wei Yang. 2019. "New Damage Evolution Law for Steel–Asphalt Concrete Composite Pavement Considering Wheel Load and Temperature Variation" Materials 12, no. 22: 3723. https://doi.org/10.3390/ma12223723
APA StyleXu, X., Yang, X., Huang, W., Xiang, H., & Yang, W. (2019). New Damage Evolution Law for Steel–Asphalt Concrete Composite Pavement Considering Wheel Load and Temperature Variation. Materials, 12(22), 3723. https://doi.org/10.3390/ma12223723
