Next Article in Journal
Study on NH3-SCR Activity and HCl/H2O Tolerance of Titanate-Nanotube-Supported MnOx-CeO2 Catalyst at Low Temperature
Next Article in Special Issue
A Green Synthesis of 3-Selanyl-Isoflavones via Lipase Mediated Selenylation/Cyclization of Enaminones
Previous Article in Journal
Functionalized Chitosan and Alginate Composite Hydrogel-Immobilized Laccase with Sustainable Biocatalysts for the Effective Removal of Organic Pollutant Bisphenol A
Previous Article in Special Issue
Highly Efficient and Magnetically Recyclable Non-Noble Metal Fly Ash-Based Catalysts for 4-Nitrophenol Reduction
 
 
Font Type:
Arial Georgia Verdana
Font Size:
Aa Aa Aa
Line Spacing:
Column Width:
Background:
Article

Binuclear Dioxomolybdenum(VI) Complex Based on Bis(2-pyridinecarboxamide) Ligand as Effective Catalyst for Fuel Desulfurization

1
REQUIMTE/LAQV and Department of Chemistry and Biochemistry, Faculty of Sciences, University of Porto, 4169-007 Porto, Portugal
2
REQUIMTE/LAQV and ICBAS, School of Medicine and Biomedical Sciences, University of Porto, 4050-313 Porto, Portugal
3
REQUIMTE/LAQV and Department of Chemistry, Faculty of Sciences and Technology, New University NOVA of Lisbon, 2829-516 Monte da Caparica, Portugal
*
Authors to whom correspondence should be addressed.
Catalysts 2024, 14(5), 305; https://doi.org/10.3390/catal14050305
Submission received: 29 March 2024 / Revised: 22 April 2024 / Accepted: 25 April 2024 / Published: 4 May 2024

Abstract

A binuclear dioxomolybdenum catalyst [(MoO2Cl2)2(L)] (1) (with L (1S,2S)-N,N′-bis(2-pyridinecarboxamide)-1,2-cyclohexane) was prepared and used as catalyst for the desulfurization of a multicomponent model fuel containing the most refractory sulfur compounds in real fuels. This complex was shown to have a high efficiency to oxidize the aromatic benzothiophene derivative compounds present in fuels, mainly using a biphasic 1:1 model fuel/MeOH system. This process conciliates catalytic oxidative and extractive desulfurization, resulting in the oxidation of the sulfur compounds in the polar organic solvent. The oxidative catalytic performance of (1) was shown to be influenced by the presence of water in the system. Using 50% aq. H2O2, it was possible to reuse the catalyst and the extraction solvent, MeOH, during ten consecutive cycles without loss of desulfurization efficiency.

1. Introduction

Fossil fuels will still be the main available natural resource to supply the impressive increment of energy consumption expected until 2050, which is associated with the expansion of the planet population [1]. However, fossil fuel usage compromises the health of our planet and the health of humanity due to the large emissions of toxic gases [2]. Sulfur oxide emission has been one of the biggest concerns since the heavy crudes and fuel oils present a high concentration and high variety of sulfur compounds. Desulfurization of fuel oil is of real importance to reduce environmental pollution due to the emission of sulfur oxides from fuel combustion. The environmental rules are very strict, and in many countries the sulfur content in fuel oil must be decreased to less than 10 ppm [1]. In order to decrease sulfur emissions to the environment, it is important to remove the sulfur compounds from fuels before fuel combustion. The emissions of SOx are responsible for the formation of acid rain, causing irreparable damage to vegetation, buildings, and even human health [3]. Therefore, the desulfurization processes capable of producing low-sulfur or even sulfur-free fuels are of high importance, and this is an actual worldwide research topic.
The conventional industrial process to obtain ultra-low-sulfur diesel (below 10 ppm of S), is the hydrodesulfurization (HDS) process [4,5]. However, this technology requires high pressures and high temperature leading to an increase in energy consumption and cost of the overall process [6,7]. Oxidative desulfurization (ODS) can be seen as a potential complementary or alternative technology since it requires milder reaction conditions (<100 °C and atmospheric pressure) and is more efficient in removing aromatic sulfur compounds [8,9,10,11,12,13,14,15]. In the ODS process, the sulfur compounds are oxidized to sulfoxides in the presence of oxidants (H2O2, molecular oxygen, or organic oxidants) and then further oxidized to sulfones. The latter compounds have a strong polarity and can be easily removed by extraction, adsorption, and precipitation from the fuel oil [6,7]. Our research group has been combining ODS with extractive processes (ECODS), and very good results have been achieved for model and real diesel fuels [16,17,18,19,20,21,22,23,24].
Several cis-dioxomolybdenum(VI) complexes have been investigated as catalysts in ODS and ECODS of simulated or real diesel fuels. Specifically, some of us have reported on cis-dioxomolybdenum(VI) complexes based on oxygen donor ligands, using 1-butyl-3-methylimidazolium hexafluorophosphate ([BMIM]PF6) [17], or polyethylene glycol (PEG)-based deep eutectic solvents (DES) as extraction solvents, and more recently, bipyridine ligands with different substituents and using different extraction solvents (acetonitrile, [BMIM][PF6] and PEG based DES) [19]. Ferella et al. also investigated the activity of several binuclear cis-dioxomolybdenum(VI) complexes bearing different α-aminoacids ligands, in the presence of imidazolium-based ionic liquids [25]. All the referenced complexes proved to be stable and efficient for ECODS of simulated and real diesel with H2O2 as oxidant [16,17,18,19,20,21,26].
Herein, a binuclear complex based on cis-dioxomolybdenum moieties and on the chiral ligand (1S,2S)-N,N′-bis(2-pyridinecarboxamide)-1,2-cyclohexane (S,S-L), [(MoO2Cl2)2(L)] (1), characterized and investigated as a homogeneous catalyst for ODS. Bispyridylamides, with the general formula LH2, were firstly prepared by Ojima in 1967 and since then their coordination chemistry with a great variety of metal ions and their catalytic applications have been largely explored [27]. In particular, chiral bispyridylamides ligands are very efficient in Mo-catalyzed asymmetric alkylation reactions using [Mo(CO)3(EtCN)3] [28] and Mo(CO)6 precursors [29]. To the best of our knowledge, this type of ligand has not yet been explored for ODS.
In this work, the desulfurization of model fuel has been studied using dioxomolybdenum(VI) catalyst [(MoO2Cl2)2 (L)] (1) (with L as (1S,2S)-N,N′-bis(2-pyridinecarboxamide)-1,2-cyclohexane), in the presence of different extraction solvents and under a solvent-free system. Two different amounts of catalyst and oxidant H2O2 were used. After optimization of the catalytic system for the oxidative desulfurization of a multicomponent model fuel, the reusability of the catalyst was investigated.

2. Results and Discussion

2.1. Catalyst Characterization

The molybdenum(VI) complex [(MoO2Cl2)2(S,S-L)] (1) was obtained through the reaction of three equivalents of the adduct [MoO2Cl2(THF)2] with the chiral ligand (1S,2S)-N,N′-bis(2-pyridinecarboxamide)-1,2-cyclohexane (S,S-L) in dichloromethane. The product was isolated as a white solid with a high yield (82%) and was characterized by elemental analysis, ICP, FTIR-ATR, FT-Raman and 1H NMR spectroscopies and LDI-TOF-MS. The obtained values of elemental analysis and ICP suggested the coordination of two molybdenum centers to the chiral ligand as the Mo/N ratio is 2.0 and C/N ratio is 4.9 (calculated value is 4.5). The FTIR spectrum (Figure 1) shows the vibration corresponding to ν(N-H) at 3333 cm−1 suggesting the coordination of the metal without the deprotonation of the amide. The ν(C=O) vibration of the amide was shifted to a lower frequency (from 1651 cm−1 in the ligand to 1622 cm−1 in the complex) and the δ(N-H) and ν(C-N)) vibrations found were shifted to a higher frequency (from 1505 cm−1 in the ligand to 1518 cm−1 in (1)). These changes are indicative of the coordination of the metal through the oxygen of the amide group [30,31]. The aromatic ring and skeletal vibrations found at 1590 and 1570 cm−1 in the free ligand are shifted to higher frequencies, 1622 cm−1 and 1597 cm−1, in the complex (1) indicating the coordination to the pyridyl unities. The presence of cis-[MoO2]2+ moieties is confirmed by νasym(Mo=O) and νsym(Mo=O) at 912 and 948 cm−1, respectively [32,33]. FT-Raman spectrum (Figure 2) from the complex (1) contains the vibrational modes νasym(Mo=O) and νsym(Mo=O) at 917 and 950 cm−1, respectively, νasym(Mo-Cl)/νsym(Mo-Cl) at 307/243, 219 cm−1 and νsym(Mo-N)/νasym(Mo-N) at 219 or 193/144 cm−1, and the out-of-plane deformation mode γMoO2 at 382 cm−1 which are in agreement with binuclear dichlorodioxomolybdenum(VI) complexes [34]. The 1H NMR spectrum (Figure 3) of complex (1) contains the ligand peaks corresponding to the pyridyl rings shifted to the downfield region corroborating the coordination of the pyridyl nitrogen atom to the molybdenum center. The protons of the NH amide groups are still observed and shifted to the downfield region, which confirms that the deprotonation does not occur and the metal coordinates through the oxygen atom of the amide.
The molybdenum complex (1) proved to be labile under MS conditions. ESI was found to promote complex dissociation, and with the release of the metal ions, only the free ligand (S,S-L) could be observed from solutions of (1). Nevertheless, spectra demonstrating the coordination of Mo by S,S-L could be obtained by LDI-TOF-MS (Figure 4), despite similar observations of complex dissociation and ligand degradation under the harsh direct laser ionization. The binuclear complex (1) was also found to dissociate under LDI conditions and two m/z values were observed corresponding to the moiety [MoOCl(S,S-L)] whose ionization occurred either by loss of the chloride anion to yield [MoO(S,S-L)]+ (m/z = 436.12) or by protonation to yield [MoOCl(S,S-L)H]+ (m/z = 472.08).
These results suggest the formation of the binuclear complex represented in Figure 5.

2.2. Desulfurization Studies

The catalytic efficiency of [(MoO2Cl2)2(S,S-L)] (1) (with L as (1S,2S)-N,N′-bis(2-pyridinecarboxamide)-1,2-cyclohexane) as catalyst was investigated for the desulfurization of a multicomponent model fuel containing four refractory sulfur compounds usually present in real diesel: 1- benzothiophene (1-BT), dibenzothiophene (DBT), 4-methyldibenzothiophene (4-MDBT) and 4,6-dimethyldibenzothiophene (4,6-DMDBT), with an individual concentration of approximately 500 ppm of sulfur for each compound, in decane. The catalytic ODS process was conciliated with the ECODS, using a biphasic liquid–liquid system, containing equal volume amounts of model fuel and extraction solvent. The desulfurization process of the multicomponent model fuel was performed in two main steps: first an initial liquid–liquid extraction occurred in the presence of the catalyst by stirring the 1:1 model fuel/extraction solvent for the duration of 10 min at 70 °C (grey highlighted region in Figure 6; and after this initial equilibrium, the desulfurization only increases by the application of the catalytic oxidation stage. This last stage is initiated by adding the oxidant (promoting the oxidation of sulfur compounds to the corresponding sulfoxides and/or sulfones, mainly in the extraction solvent medium).
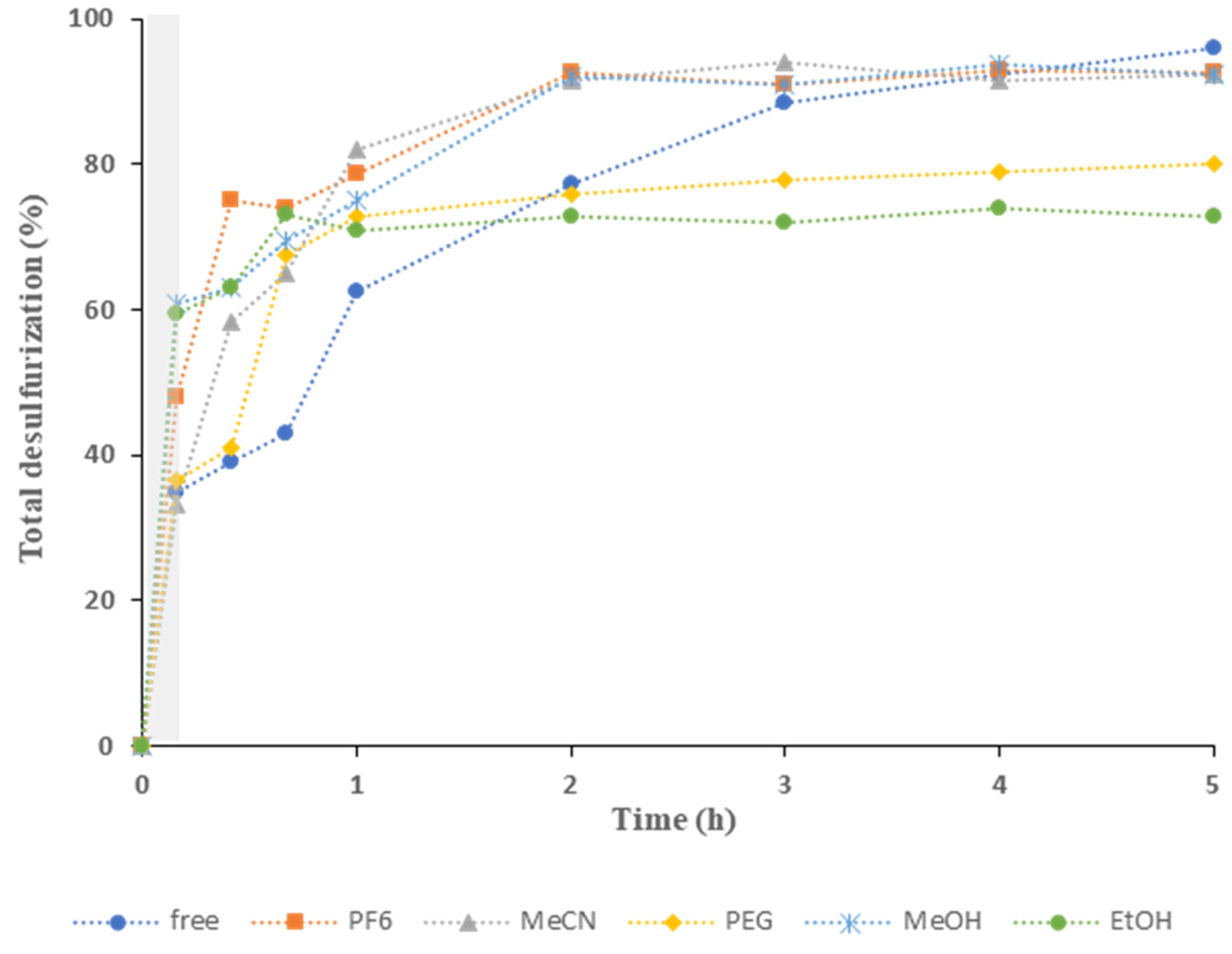
To maximize the desulfurization efficiency of the process and minimize reactants and costs, the optimization of various parameters was performed. Because of the large volume of solvents used in industry, finding safer and more sustainable alternatives is a great challenge for green chemistry research. Firstly, a comparison of different extraction solvents was studied, using several polar organic solvents: acetonitrile, methanol, ethanol, and PEG. Furthermore, an ionic liquid was used ([BMIM]PF6). The initial conditions adopted were 0.75 mL of model fuel, 0.75 mL of extraction solvent and 75 µL of 30% aq. H2O2 at 70 °C.
Figure 6 displays the desulfurization profiles using various extraction solvents and when no solvent is used. The desulfurization efficiency is similar for the different solvents, except for PEG and ethanol, that resulted in lower desulfurization (73% and 80% of desulfurization after 5 h, respectively). For all the ECODS systems, the desulfurization of the multicomponent fuel is finished after 2 h of reaction. On the other hand, using the solvent-free system, an increase in oxidative desulfurization efficiency was observed during the 5 h, achieving 96% of conversion at this time (77% after 2 h). After the 3 h of reaction, the desulfurization profile was similar to the most active ECODS systems, i.e., the ionic liquid [BMIM]PF6 (PF6), methanol (MeOH) and acetonitrile (MeCN). Using these last extraction solvents, the desulfurization efficiency obtained after 2 and 5 h was between 93% and 92%. The initial extraction results obtained with the ECODS systems, shows that EtOH and MeOH presented slightly higher extractive desulfurization, followed by the ionic liquid, and lower for MeCN and PEG. This is due to the affinity of the sulfur compound with the extraction solvent. MeOH and EtOH are less polar solvents than the ionic liquid and PEG, but more polar than the decane model fuel.
However, the higher extractive desulfurization did not result in a higher oxidative desulfurization, i.e., the best extractive solvent is not the most suitable to promote the highest catalytic oxidation, since the most efficient ECODS systems after 5 h were the ionic-liquid, MeCN, and MeOH. This must be related to the stability of the binuclear dioxomolybdenum(VI) catalyst in different solvent media. In all the extraction solvents, the catalyst was shown to dissolve easily, and the opposite was observed for the solvent-free system. In this case, a partial dissolution was observed. This resulted in a slower desulfurization profile, achieving a high efficiency only after 5 h. Contrarily, the ECODS technology achieved their highest desulfurization after 2 h.
The influence of the amount of binuclear dioxomolybdenum catalyst was investigated. Two different amounts of catalyst (5 and 10 µmol) were employed, maintaining all the experimental conditions, and the results obtained are displayed in Figure 7. After 5 h of reaction, the desulfurization obtained using 5 and 10 µmol of catalyst was similar (between 92 and 96% of desulfurization) using MeOH and MeCN extraction solvents. An influence of the catalyst amount was found using the ionic liquid as an extraction solvent, and also under a solvent-free system. Using the ionic liquid [BMIM]PF6 as a solvent extraction, higher desulfurization was achieved when 5 µmol of catalyst was used. The difference in catalyst activity was even more pronounced under a solvent-free system. In these last cases, a higher amount of catalyst decreased the conversion of sulfur oxidation. This must be related to the higher amount of insoluble catalyst in the reaction medium that can make the oxidation of sulfur in the interface between the model fuel phase and the ionic liquid phase difficult, as well as causing an increase in ineffective H2O2 oxidant usage by the presence of solid particles.
The mechanism involved in the sulfoxidation reaction catalyzed by dioxomolybdenum (VI) catalyst, was deeply studied recently by Bullock et al. [35]. Initially, the activation of the H2O2 oxidant occurs by a proton transfer to the Mo=O moiety from complex (1), forming a five-coordinate molybdenum (VI) intermediary species. Then, it is suggested that the oxidation of sulfide occurs via a nucleophilic attack of this with the -Mo(OOH) hydroxoperoxyl group previously formed, and a consequent regeneration of the pre-catalyst dioxomolybdenum (VI) occurs (Figure 8). The second cycle proceeds for the oxidation of the sulfoxide to the sulfone.

2.3. Reusing Tests

The recyclability of the binuclear dioxomolybdenum complex was studied for the solvent-free system and using the ECODS system, using MeOH as an extraction solvent, since this is cheaper than ionic liquid, more sustainable than MeCN, and most easily recovered from a reaction via distillation than PEG. The reusability of the ECODS system was evaluated for consecutive cycles, by recovering the desulfurized model fuel phase after each cycle and starting a new cycle by adding fresh portions of model fuel and oxidant to the extraction solvent phase (in the case of ECODS studies), containing the entrapped catalyst.
The reusing capacity of the binuclear dioxomolybdenum catalyst was investigated for the solvent-free system. In this case, the model fuel was removed after each catalytic cycle and the solid was left to the reactor without any cleaning and activation process. The results are presented in Figure 9, and it is possible to observe a large deactivation of the catalyst after the 1st cycle. This must be due to the loss of the catalyst with the model fuel after the 1st cycle and/or a large adsorption of sulfones into the solid catalyst. The other possibility is the transformation of the catalyst into a less active complex with the interaction of the oxidant H2O2, for example, into peroxo-compounds [36,37,38].
To investigate the reusing capacity under an ECODS system, the catalysis was reused for consecutive cycles using MeOH as the extraction solvent. Figure 10 displays the results obtained for the seven consecutive cycles using the ECODS process with MeOH, where it is possible to observe a slight loss of activity during the reusing process (total of 10% of desulfurization from the 1st to the 7th cycle). The small increase noticed for the 5th cycle must be related to the experimental error. This was calculated to be 5%. During the seven ECODS cycles, the oxidized sulfur compounds (sulfones) precipitated as a white solid (image inserted in Figure 10). The amount of sulfones (white solid, see insert image in Figure 10) increased over the sequence of the seven reusing cycles. This has been observed previously for the comparable ECODS systems using multicomponent model diesels with high concentrations of S [6f,8]. Therefore, the decrease in desulfurization efficiency during the reusing process must be due to the saturation of the extraction solvent with the oxidized sulfur compounds, which decreases the capacity of MeOH to receive more sulfur compounds from the model fuel, retarding the effect of the total desulfurization capacity of the system.
Furthermore, the same system was investigated using an oxidant with less water content, i.e., using 50% aq. H2O2, instead of 30% aq. H2O2. Results obtained are displayed in Figure 11 and it is possible to observe that for ten consecutive cycles, practically no loss of activity was observed. The difference in total desulfurization observed between 98% and 95% are in the same order as the experimental error (5%). These are promising results that surpass the above-reported data using the same system with a higher amount of water present in the H2O2 oxidant. This demonstrates that the content of water present in the system has a strong influence on the catalyst’s performance. This must be associated with the low stability of the complex (1) in the presence of water.

3. Materials and Methods

3.1. Chemicals

(1S,2S)-N,N′-bis(2-pyridinecarboxamide)-1,2-cyclohexane (S,S-L) was kindly provided by ChiraTecnics. Molybdenum(VI) dichloride dioxide (Aldrich, Burlington, MA, USA) was used as received. Air-sensitive procedures for the synthesis of the complex were performed using standard Schlenk techniques under nitrogen atmosphere.
The reagents for ECODS studies: 1-benzenothiophene (Fluka, Athens, Greece), dibenzothiophene (Aldrich), 4-methyldibenzothiophene (Aldrich), 4,6-dimethyldibenzothiophene (Alfa Aesar, Ward Hill, MA, USA), decane (Carlo Erba, Milano, Italy), tetradecane (Aldrich), (1-butyl-3-methylimidazolium hexafluorophosphate (Sigma-Aldrich, St. Louis, MO, USA), acetonitrile (Fisher Chemical, Waltham, MA, USA), methanol (Fisher Chemical), ethanol (Fisher Chemical), polyethylene glycol (Sigma, Hong Kong), and 30 and 50 wt% hydrogen peroxide (Aldrich) were purchased from commercial sources and used without further purification.

3.2. Instrumentation

FT-IR spectra were recorded on a Perkin-Elmer FT-IR Spectrometer Spectrum Two equipped with an attenuated total reflection (ATR) cell in the range of 4000–400 cm−1.
Solution 1 H NMR spectra were obtained with a Bruker (Billerica, MA, USA) AMX400 at 400.13 MHz. Elemental analyses (EA) were carried out with a Thermofinnigan Flash (Manasquan, NJ, USA) EA 112 series.
FT-Raman spectra were collected using an RFS-100 Bruker FT-spectrometer equipped with a Nd:YAG laser with an ex- citation wavelength of 1064 nm.
Mass spectrometry (MS) was performed by laser desorption ionization time of flight (LDI-TOF-MS) in the absence of matrix compounds. Compound (1) was dissolved in acetonitrile to 1 mg/mL, and 1 µL of solution was directly applied to the MALDI target plate and left to air dry. Spectra were acquired in a Bruker ultrafleXtreme mass spectrometer operated in the positive-ion reflector mode, using delayed extraction in the range m/z 200–3500 with approximately 1500 laser shots. Full MS spectra were externally calibrated with a peptide mixture according to the manufacturer’s instructions.
Electrospray ionization (ESI) high resolution mass spectra of the same solutions were acquired on an LTQ-orbitrap XL mass spectrometer (Thermo Scientific, Waltham, WA, USA). ESI was shown to promote dissociation of the metal complex and only the free ligand could be observed.
Catalytic reactions were periodically monitored by GC-FID analysis carried out in a Varian CP-3380-GC-FID chromatograph (Darmstadt, Germany). Hydrogen was used as a carrier gas (55 cm·s−1) and fused silica Supelco capillary columns SPB-5 (30 m × 0.25 mm i. d.; 25 μm film thickness) were used.
Gas chromatography coupled to mass spectrometry (GC-MS) was performed in a Thermo Scientific Trace 1300 chromatograph coupled to a Thermo Scientific ISQ Single Quadruplo MS device. In both cases, TG-5MS columns (30 m; 0.25 mm (i.d.); 0.25 µm) were used.

3.3. Catalyst Synthesis

Synthesis of [(MoO2Cl2)2(S,S-L)] (1)
The solvent adduct MoO2Cl2(THF)2 was prepared from the evaporation to dryness of a solution of MoO2Cl2 (0.340 g, 1.7 mmol) in THF (5 mL). This adduct was then dissolved in CH2Cl2 (5 mL) and added to a solution of (1S,2S)-N,N′-bis(2-pyridinecarboxamide)-1,2-cyclohexane (S,S-L) (0.160 g, 0.5 mmol) in CH2Cl2 (5 mL). The formation of a white precipitated was observed immediately. The mixture was stirred for 2h at room temperature, filtered under nitrogen and washed with n-hexane. The resultant white solid was dried under vacuum. Yield: 82%. Anal. Found: C, 28.40; H, 2.67; N, 6.80; Mo, 22.8; C19H22Cl4Mo2N4O6.CH2Cl2 resquires C, 28.28; H, 2.75; N, 6.94; Mo, 23.78;
Selected FT-IR (ATR, cm−1): ν = 3334 (m), 3058 (w), 2934 (m), 2858 (m),1651 (w), 1622 (s), 1598 (s), 1558 (m), 1518 (m), 1475 (m) 1350 (w), 1292 (w), 1263 (w) 1142 (m), 1086 (m), 1044 (m), 1022 (m), 998 (m), 948 (s, νasym (Mo=O)), 912 (vs, νsym (Mo=O)), 883 (m), 809 (m), 748 (s), 733 (s), 700 (m), 688 (s), 777 (vs), 763 (vs), 732 (m), 644 (m), 607 (s), 598 (m), 409 (m), 645 (s), 619 (s), 597 (m), 481 (m), 451 (m), 408 (m). Selected FT-Raman (cm−1): 1602 (m), 1575 (w), 1559 (w), 1381 (w), 1353 (m), 1141 (w), 1021 (m), 950 (s), 917 (m), 877 (w), 877 (w), 382 (w), 307 (m), 243 (m), 219 (m), 193 (m), 144 (m). 1H NMR (400 MHz, RT, CD3CN): δ = 9.24 (d, 2H, J = 5.1 Hz), 9.09 (br, 2H), 8.35 (d, 2H, J = 8.0 Hz), 8.27 (t, 2H, J = 7.9 Hz), 7.89 (t, 2H, J = 6.4 Hz), 4.58 (br, 2H), 1.85 (m, 4H), 1.59 (m, 4H). MS (LDI-TOF-MS): [MoO(S,S-L)]+ (m/z = 436.12), [MoOCl(S,S-L)H]+.

3.4. Oxidative Desulfurization Studies (ODS)

The ODS studies were performed using a multicomponent model fuel containing four sulfur compounds: 1-benzothiophene (1-BT), dibenzothiophene (DBT), 4-methyldibenzothiophene (4-MDBT) and 4,6-dimethyldibenzothiophene (4,6-DMDBT), in decane (with a total sulfur concentration of 2000 ppm, with approximately 500 ppm of sulfur from each compound). The experiments were carried out under air in a closed borosilicate 5 mL vessel, equipped with a magnetic stirrer and immersed in a thermostatically controlled liquid paraffin bath at 70 °C. In a typical experiment, 5 or 10 µmol of catalyst was added to the model fuel (750 µL, containing approximately 47 μmol of S) and to the immiscible extraction solvent (750 µL). The resulting mixture was stirred for 10 min, after which, the catalytic step was initiated by adding 30% w/v of the oxidant, i.e., hydrogen peroxide (75 µL, 1.2 μmol). The sulfur content in the model fuel was periodically quantified by GC analysis using tetradecane as the external standard. The reusability of the catalyst was evaluated by removing the desulfurized model fuel at the end of each ODS cycle and adding a new portion of model fuel and oxidant maintaining all the experimental conditions.

4. Conclusions

The [(MoO2Cl2)2(S,S-L)] complex (with S,S-L as (1S,2S)-N,N′-bis(2-pyridinecarboxamide)-1,2-cyclohexane) was prepared, characterized and tested as a catalyst for the desulfurization of a multicomponent model fuel containing the highest amount of refractory sulfur compounds present in real diesel, using hydrogen peroxide as the oxidant. Two different desulfurization systems were investigated: a solvent-free system, that forces the catalytic oxidation of sulfur compounds to occur in the model diesel phase; and a biphasic liquid–liquid system, where a polar immiscible organic extraction solvent was used with equal volume to the multicomponent model fuel. Under these different systems, the maximum desulfurization efficiency was achieved faster using the biphasic system with MeOH, MeCN and ionic liquid [BMIM]PF6 as extraction solvents (92–93% of total desulfurization after 2 h). The advantage of this system is conciliation of the oxidative catalytic desulfurization and extractive desulfurization. On the other hand, by using the solvent-free system, it was possible to achieve slightly higher desulfurization after 5 h (98%). But this system was shown not be favorable for the reusing of the catalyst in consecutive reaction cycles, probably due to the catalyst deactivation in the presence of the aqueous oxidant. The low stability of the dioxomolybdenum catalyst in the presence of water was verified by its reutilization in the biphasic system. Using MeOH as the extraction solvent, the catalyst and the extraction phase could be reused for ten consecutive cycles, in the presence of 50% aq. H2O2. Some loss of desulfurization efficiency (10% during seven reaction cycles) was achieved using less concentrated 30% aq. H2O2.

Author Contributions

Conceptualization, F.M., A.S. and S.G.; methodology, S.S.B. and S.G.; validation, S.S.B. and S.G.; formal analysis, F.M. and A.S.; investigation, F.M., A.S., C.N.D. and S.S.B.; resources, S.S.B. and A.S.; data curation, S.G. and S.S.B.; writing—original draft preparation, F.M., A.S., C.N.D. and S.G.; writing—review and editing, S.S.B.; visualization, S.S.B. and S.G.; supervision, S.S.B. and S.G.; project administration, S.S.B.; funding acquisition, S.S.B. All authors have read and agreed to the published version of the manuscript.

Funding

This work received financial support from Fundação para a Cinência e a Tecnologia/Ministério da Ciência, Tecnologia e Ensino Superior (FCT/MCTES) by national funds, through LAQV/REQUIMTE (Ref. UIDP/50006/2020 DOI 10.54499/UIDP/50006/2020; LA/P/0008/2020 DOI 10.54499/LA/P/0008/2020; UIDB/50006/2020 DOI 10.54499/UIDB/50006/2020).

Institutional Review Board Statement

Not applicable.

Informed Consent Statement

Not applicable.

Data Availability Statement

The data presented in this study are available on request from the corresponding author.

Acknowledgments

S.S.B. thanks FCT/MCTES for supporting her contract position via the Individual Call to Scientific Employment Stimulus (Ref. CEECIND/03877/2018). The authors acknowledge ChiraTecnics (http://www.chiratecnics.com) for the supply of the chiral diamine ligand used to generate the Mo catalyst. Authors thank Anthony Burke (University of Coimbra) and Isabel S. Gonçalves (CICECO, University of Aveiro) for valuable discussions on catalyst formation and behaviour.

Conflicts of Interest

The authors declare no conflicts of interests.

References

  1. Zhang, Y.; Wang, R. Synthesis of silica@C-dots/phosphotungstates core-shell microsphere for effective oxidative-adsorptive desulfurization of dibenzothiophene with less oxidant. Appl. Catal. B Environ. 2018, 234, 247–259. [Google Scholar] [CrossRef]
  2. Gu, Y.; Xu, W.; Sun, Y. Enhancement of catalytic performance over MOF-808(Zr) by acid treatment for oxidative desulfurization of dibenzothiophene. Catal. Today 2021, 377, 213–220. [Google Scholar] [CrossRef]
  3. Albayrak, A.T.; Tavman, A. Sono-oxidative desulfurization of fuels using heterogeneous and homogeneous catalysts: A comprehensive review. Ultrason. Sonochem. 2022, 83, 105845. [Google Scholar] [CrossRef] [PubMed]
  4. Ho, T.C.; McConnachie, J.M. Ultra-deep hydrodesulfurization on MoS2 and Co0.1MoS2: Intrinsic vs. environmental factors. J. Catal. 2011, 277, 117–122. [Google Scholar]
  5. Rangarajan, S.; Mavrikakis, M. On the Preferred Active Sites of Promoted MoS2 for Hydrodesulfurization with Minimal Organonitrogen Inhibition. ACS Catal. 2017, 7, 501–509. [Google Scholar]
  6. Tu, Y.; Li, T.; Yu, G.; Wei, L.; Ta, L.; Zhou, Z.; Ren, Z. Study on Modification and Desulfurization Performance of a Molybdenum-Based Catalyst. Energy Fuels 2019, 33, 8503–8510. [Google Scholar] [CrossRef]
  7. El-Gendy, N.S.; Speight, J.G. Handbook of Refinery Desulfurization; CRC Press: Boca Raton, FL, USA, 2015; Volume 140. [Google Scholar]
  8. Boshagh, F.; Rahmani, M.; Zhu, W.S. Key Factors Affecting the Development of Oxidative Desulfurization of Liquid Fuels: A Critical Review. Energy Fuels 2022, 36, 98–132. [Google Scholar] [CrossRef]
  9. Haghighi, M.; Gooneh-Farahani, S. Insights to the oxidative desulfurization process of fossil fuels over organic and inorganic heterogeneous catalysts: Advantages and issues. Environ. Sci. Pollut. Res. 2020, 27, 39923–39945. [Google Scholar] [CrossRef] [PubMed]
  10. Li, J.R.; Yang, Z.; Li, S.W.; Jin, Q.P.; Zhao, J.S. Review on oxidative desulfurization of fuel by supported heteropolyacid catalysts. J. Ind. Eng. Chem. 2020, 82, 1–16. [Google Scholar] [CrossRef]
  11. Liu, F.; Yu, J.; Qazi, A.B.; Zhang, L.; Liu, X.K. Metal-Based Ionic Liquids in Oxidative Desulfurization: A Critical Review. Environ. Sci. Technol. 2021, 55, 1419–1435. [Google Scholar] [CrossRef]
  12. Mjalli, F.S.; Ahmed, O.U.; Al-Wahaibi, T.; Al-Wahaibi, Y.; AlNashef, I.M. Deep oxidative desulfurization of liquid fuels. Rev. Chem. Eng. 2014, 30, 337–378. [Google Scholar] [CrossRef]
  13. Sahraei, S. Assessment of Reaction Parameters in the Oxidative Desulfurization Reaction. Energy Fuels 2023, 37, 15373–15393. [Google Scholar] [CrossRef]
  14. Taghizadeh, M.; Mehrvarz, E.; Taghipour, A. Polyoxometalate as an effective catalyst for the oxidative desulfurization of liquid fuels: A critical review. Rev. Chem. Eng. 2020, 36, 831–858. [Google Scholar] [CrossRef]
  15. Zhao, H.; Baker, G.A. Oxidative Desulfurization of Fuels Using Ionic Liquids: A Review. Front. Chem. Sci. Eng. 2015, 9, 262–279. [Google Scholar] [CrossRef] [PubMed]
  16. Juliao, D.; Gomes, A.C.; Cunha-Silva, L.; Pillinger, M.; Gonçalves, I.S.; Balula, S.S. Dichloro and dimethyl dioxomolybdenum(VI)-bipyridine complexes as catalysts for oxidative desulfurization of dibenzothiophene derivatives under extractive conditions. J. Organomet. Chem. 2022, 967, 122336. [Google Scholar] [CrossRef]
  17. Juliao, D.; Gomes, A.C.; Cunha-Silva, L.; Pillinger, M.; Lopes, A.D.; Valença, R.; Ribeiro, J.C.; Gonçalves, I.S.; Balula, S.S. Dichlorodioxomolybdenum(VI) complexes bearing oxygen-donor ligands as catalysts for oxidative desulfurization of simulated and real diesel. Catal. Commun. 2019, 128, 105704. [Google Scholar] [CrossRef]
  18. Juliao, D.; Gomes, A.C.; Pillinger, M.; Gonçalves, I.S.; Balula, S.S. Desulfurization and Denitrogenation Processes to Treat Diesel Using Mo(VI)-Bipyridine Catalysts. Chem. Eng. Technol. 2020, 43, 1774–1783. [Google Scholar] [CrossRef]
  19. Juliao, D.; Gomes, A.C.; Pillinger, M.; Lopes, A.D.; Valença, R.; Ribeiro, J.C.; Gonçalves, I.S.; Balula, S.S. Desulfurization of diesel by extraction coupled with Mo-catalyzed sulfoxidation in polyethylene glycol-based deep eutectic solvents. J. Mol. Liq. 2020, 309, 113093. [Google Scholar] [CrossRef]
  20. Juliao, D.; Gomes, A.C.; Pillinger, M.; Valenca, R.; Ribeiro, J.C.; Goncalves, I.S.; Balula, S.S. Desulfurization of model and real fuels by extraction and oxidation processes using an indenylmolybdenum tricarbonyl pre-catalyst. Appl. Organomet. Chem. 2020, 34, e5490. [Google Scholar] [CrossRef]
  21. Juliao, D.; Gomes, A.C.; Pillinger, M.; Valença, R.; Ribeiro, J.C.; Gonçalves, I.S.; Balula, S.S. A recyclable ionic liquid-oxomolybdenum(VI) catalytic system for the oxidative desulfurization of model and real diesel fuel. Dalton Trans. 2016, 45, 15242–15248. [Google Scholar] [CrossRef]
  22. Faria, R.G.; Silva, D.; Mirante, F.; Gago, S.; Cunha-Silva, L.; Balula, S.S. Advanced Technologies Conciliating Desulfurization and Denitrogenation to Prepare Clean Fuels. Catalysts 2024, 14, 137. [Google Scholar] [CrossRef]
  23. Gao, Y.; Granadeiro, C.M.; Cunha-Silva, L.; Zhao, J.S.; Balula, S.S. Peroxomolybdate@MOFs as effective catalysts for oxidative desulfurization of fuels: Correlation between MOF structure and catalytic activity. Catal. Sci. Technol. 2023, 13, 4785–4801. [Google Scholar] [CrossRef]
  24. Silva, D.F.; Faria, R.G.; Santos-Vieira, I.; Cunha-Silva, L.; Granadeiro, C.M.; Balula, S.S. Simultaneous sulfur and nitrogen removal from fuel combining activated porous MIL-100(Fe) catalyst and sustainable solvents. Catal. Today 2023, 423, 114250. [Google Scholar] [CrossRef]
  25. Ferella, F.; Biancalana, L.; Marchetti, F.; Crucianelli, M. Oxidative desulfurization of benzothiophene derivatives with cis-dioxomolybdenum(VI) catalyst precursors, under extractive conditions. Catal. Today 2020, 357, 646–654. [Google Scholar] [CrossRef]
  26. Juliao, D.; Gomes, A.C.; Pillinger, M.; Valença, R.; Ribeiro, J.C.; Gonçalves, I.S.; Balula, S.S. Desulfurization of liquid fuels by extraction and sulfoxidation using H2O2 and [CpMo(CO)3R] as catalysts. Appl. Catal. B-Environ. 2018, 230, 177–183. [Google Scholar] [CrossRef]
  27. Belda, O.; Moberg, C. Bispyridylamides—Coordination chemistry and applications in catalytic reactions. Coord. Chem. Rev. 2005, 249, 727–740. [Google Scholar] [CrossRef]
  28. Palucki, M.; Um, J.; Yasuda, N.; Conlon, D.; Tsay, F.-R.; Hartner, F.; Hsiao, Y.; Marcune, B.; Karady, S.; Hughes, D.; et al. Development of a New and Practical Route to Chiral 3,4-Disubstituted Cyclopentanones: Asymmetric Alkylation and Intramolecular Cyclopropanation as Key C−C Bond-Forming Steps. Org. Chem. 2002, 67, 5508–5516. [Google Scholar] [CrossRef]
  29. Krska, S.W.; Hughes, D.L.; Reamer, R.A.; Mathre, D.J.; Sun, Y.; Trost, B.M. The Unusual Role of CO Transfer in Molybdenum-Catalyzed Asymmetric Alkylations. J. Am. Chem. Soc. 2002, 124, 12656–12657. [Google Scholar] [CrossRef]
  30. Chapman, R.L.; Vagg, R.S. Studies on the metal-amide bond. I. Metal complexes of the bis-amide tetradentate ligand N,N′-bis(2′-pyridinecarboxamide)-1,2-benzene. Inorg. Chim. Acta 1979, 33, 227–234. [Google Scholar] [CrossRef]
  31. Zafiropoulos, T.F.; Perlepes, S.P.; Ioannou, P.V.; Tsangaris, J.M.; Galinos, A.G. Non Deprotonated Metal Complexes of the Bis-amide Tetradentate Ligand N,N′-(Dipicolyl)-1,8-naphthylenediamine. Z. Für Naturforschung B 1981, 36, 87–93. [Google Scholar] [CrossRef][Green Version]
  32. Gago, S.; Rodríguez-Borges, J.E.; Teixeira, C.; Santos, A.M.; Zhao, J.; Pillinger, M.; Nunes, C.D.; Petrovski, Ž.; Santos, T.M.; Kühn, F.E.; et al. Synthesis, characterization and catalytic studies of bis(chloro)dioxomolybdenum(VI)-chiral diimine complexes. J. Mol. Catal. A Chem. 2005, 236, 1–6. [Google Scholar] [CrossRef]
  33. Kühn, F.E.; Santos, A.M.; Lopes, A.D.; Gonçalves, I.S.; Rodríguez-Borges, J.E.; Pillinger, M.; Romão, C.C. Chiral bis(oxazoline) and pyridyl alcoholate dioxo-molybdenum(VI) complexes: Synthesis, characterization and catalytic examinations. J. Organomet. Chem. 2001, 621, 207–217. [Google Scholar] [CrossRef]
  34. Coelho, A.C.; Nolasco, M.; Balula, S.S.; Antunes, M.M.; Pereira, C.C.L.; Paz, F.A.A.; Valente, A.A.; Pillinger, M.; Ribeiro-Claro, P.; Klinowski, J.; et al. Chemistry and Catalytic Activity of Molybdenum(VI)-Pyrazolylpyridine Complexes in Olefin Epoxidation. Crystal Structures of Monomeric Dioxo, Dioxo-μ-oxo, and Oxodiperoxo Derivatives. Inorg. Chem. 2011, 50, 525–538. [Google Scholar] [CrossRef] [PubMed]
  35. Bullock, C.X.; Jamieson, C.S.; Moënne-Loccoz, P.; Taylor, B.; Gonzalez, J.A.M.; Draves, E.A.; Kuo, L.Y. Sulfide Oxidation by 2,6-Bis[hydroxyl(methyl)amino]-4-morpholino-1,3,5-triazinatodioxomolybdenum(VI): Mechanistic Implications with DFT Calculations for a New Class of Molybdenum(VI) Complex. Inorg. Chem. 2021, 60, 7762–7772. [Google Scholar] [CrossRef] [PubMed]
  36. Wang, R.; Zhang, G.; Zhao, H. Polyoxometalate as effective catalyst for the deep desulfurization of diesel oil. Catal. Today 2010, 149, 117–121. [Google Scholar] [CrossRef]
  37. Chen, Y.; Tian, Q.; Tian, Y.; Cui, J.; Wang, G. Ultra-Deep Oxidative Desulfurization of Fuel with H2O2 Catalyzed by Mesoporous Silica-Supported Molybdenum Oxide Modified by Ce. Appl. Sci. 2021, 11, 2018. [Google Scholar] [CrossRef]
  38. Kozhevnikov, I. Catalysts for Fine Chemical Synthesis, Catalysis by Polyoxometalates; Wiley: Hoboken, NJ, USA, 2002; Volume 2. [Google Scholar]
Figure 1. FT-IR spectra in the region 400–2000 cm−1 of the free ligand and of complex 1.
Figure 1. FT-IR spectra in the region 400–2000 cm−1 of the free ligand and of complex 1.
Catalysts 14 00305 g001
Figure 2. Raman spectra in the region 150–2000 cm−1 of the free ligand and of complex 1.
Figure 2. Raman spectra in the region 150–2000 cm−1 of the free ligand and of complex 1.
Catalysts 14 00305 g002
Figure 3. Solution 1H NMR of the free ligand and of complex (1) in acetonitrile in the range 7–10 ppm.
Figure 3. Solution 1H NMR of the free ligand and of complex (1) in acetonitrile in the range 7–10 ppm.
Catalysts 14 00305 g003
Figure 4. Laser desorption ionization time of flight mass spectra (LDI-TOF-MS) of compound (1). The molybdenum complex may be observed at m/z values of 436.12 and 489.08, the two MS peaks corresponding to the [MoOCl(S,S-L)] complex which is ionized by two different mechanisms, loss of the chloride counter-ion [MoO(S,S-L)]+ or protonation [MoOCl(S,S-L)H]+, respectively. The isotopic patterns of these two peaks are characteristic of Mo complexes. Direct laser ionization of (1) was also found to promote complex dissociation and ligand degradation, with free ligand being observed at m/z = 325.22 and a degradation product found at m/z = 203.17.
Figure 4. Laser desorption ionization time of flight mass spectra (LDI-TOF-MS) of compound (1). The molybdenum complex may be observed at m/z values of 436.12 and 489.08, the two MS peaks corresponding to the [MoOCl(S,S-L)] complex which is ionized by two different mechanisms, loss of the chloride counter-ion [MoO(S,S-L)]+ or protonation [MoOCl(S,S-L)H]+, respectively. The isotopic patterns of these two peaks are characteristic of Mo complexes. Direct laser ionization of (1) was also found to promote complex dissociation and ligand degradation, with free ligand being observed at m/z = 325.22 and a degradation product found at m/z = 203.17.
Catalysts 14 00305 g004
Figure 5. Proposed structure for the obtained binuclear complex (1) and numbering assignment for 1H NMR spectrum.
Figure 5. Proposed structure for the obtained binuclear complex (1) and numbering assignment for 1H NMR spectrum.
Catalysts 14 00305 g005
Figure 6. Desulfurization of a multicomponent model fuel (2000 ppm S) catalyzed by complex (1) (5 µmol), using different extraction solvents ([BMIM]PF6, MeCN, PEG, MeOH and EtOH)), or under a solvent-free system, H2O2 (75 µL, 1.2 μmol 30% aq.) as the oxidant at 70 °C. Grey highlighted region corresponds to extractive desulfurization, before oxidant addition.
Figure 6. Desulfurization of a multicomponent model fuel (2000 ppm S) catalyzed by complex (1) (5 µmol), using different extraction solvents ([BMIM]PF6, MeCN, PEG, MeOH and EtOH)), or under a solvent-free system, H2O2 (75 µL, 1.2 μmol 30% aq.) as the oxidant at 70 °C. Grey highlighted region corresponds to extractive desulfurization, before oxidant addition.
Catalysts 14 00305 g006
Figure 7. Desulfurization of a multicomponent model fuel (2000 ppm S) catalyzed by complex (1), using two different amounts (5 and 10 µmol), 75 µL (1.2 μmol) 30% aq. H2O2, and different extraction solvent, at 70 °C.
Figure 7. Desulfurization of a multicomponent model fuel (2000 ppm S) catalyzed by complex (1), using two different amounts (5 and 10 µmol), 75 µL (1.2 μmol) 30% aq. H2O2, and different extraction solvent, at 70 °C.
Catalysts 14 00305 g007
Figure 8. Proposed mechanism for the oxidation of 1-benzothiophene to sulfoxide, catalyzed by complex dioxomolybdenum (1).
Figure 8. Proposed mechanism for the oxidation of 1-benzothiophene to sulfoxide, catalyzed by complex dioxomolybdenum (1).
Catalysts 14 00305 g008
Figure 9. Total desulfurization data of the model fuel catalyzed by complex (1) (using 5 μmol), for three ODS cycles under a solvent-free system, and 30% aq. H2O2 as the oxidant (1.2 μmol), at 70 °C.
Figure 9. Total desulfurization data of the model fuel catalyzed by complex (1) (using 5 μmol), for three ODS cycles under a solvent-free system, and 30% aq. H2O2 as the oxidant (1.2 μmol), at 70 °C.
Catalysts 14 00305 g009
Figure 10. Total desulfurization data of the model fuel catalyzed by complex (1) (using 5 μmol), for seven ECODS cycles using MeOH as the extraction solvent and 30% aq. H2O2 as the oxidant, (1.2 μmol) at 70 °C. Image of reactor after the 7th cycle of desulfurization, presenting solid sulfones.
Figure 10. Total desulfurization data of the model fuel catalyzed by complex (1) (using 5 μmol), for seven ECODS cycles using MeOH as the extraction solvent and 30% aq. H2O2 as the oxidant, (1.2 μmol) at 70 °C. Image of reactor after the 7th cycle of desulfurization, presenting solid sulfones.
Catalysts 14 00305 g010
Figure 11. Total desulfurization data of the model fuel catalyzed by complex (1) (using 5 μmol), for ten ECODS cycles using MeOH as the extraction solvent and 50% aq. H2O2 as the oxidant (1.2 μmol), at 70 °C.
Figure 11. Total desulfurization data of the model fuel catalyzed by complex (1) (using 5 μmol), for ten ECODS cycles using MeOH as the extraction solvent and 50% aq. H2O2 as the oxidant (1.2 μmol), at 70 °C.
Catalysts 14 00305 g011
Disclaimer/Publisher’s Note: The statements, opinions and data contained in all publications are solely those of the individual author(s) and contributor(s) and not of MDPI and/or the editor(s). MDPI and/or the editor(s) disclaim responsibility for any injury to people or property resulting from any ideas, methods, instructions or products referred to in the content.

Share and Cite

MDPI and ACS Style

Mirante, F.; Dias, C.N.; Silva, A.; Gago, S.; Balula, S.S. Binuclear Dioxomolybdenum(VI) Complex Based on Bis(2-pyridinecarboxamide) Ligand as Effective Catalyst for Fuel Desulfurization. Catalysts 2024, 14, 305. https://doi.org/10.3390/catal14050305

AMA Style

Mirante F, Dias CN, Silva A, Gago S, Balula SS. Binuclear Dioxomolybdenum(VI) Complex Based on Bis(2-pyridinecarboxamide) Ligand as Effective Catalyst for Fuel Desulfurization. Catalysts. 2024; 14(5):305. https://doi.org/10.3390/catal14050305

Chicago/Turabian Style

Mirante, Fátima, Catarina N. Dias, André Silva, Sandra Gago, and Salete S. Balula. 2024. "Binuclear Dioxomolybdenum(VI) Complex Based on Bis(2-pyridinecarboxamide) Ligand as Effective Catalyst for Fuel Desulfurization" Catalysts 14, no. 5: 305. https://doi.org/10.3390/catal14050305

APA Style

Mirante, F., Dias, C. N., Silva, A., Gago, S., & Balula, S. S. (2024). Binuclear Dioxomolybdenum(VI) Complex Based on Bis(2-pyridinecarboxamide) Ligand as Effective Catalyst for Fuel Desulfurization. Catalysts, 14(5), 305. https://doi.org/10.3390/catal14050305

Note that from the first issue of 2016, this journal uses article numbers instead of page numbers. See further details here.

Article Metrics

Back to TopTop