Formation of an Unusual Pseudo-Square Planar-Induced Mercury(II) Dimeric Complex
Abstract
:1. Introduction
2. Experimental Details
2.1. General
2.2. Preparation of [Hg2(L)2I4] (1)
2.3. Preparation of [Hg2(HLox)I5]2[HgI2] (2)
2.4. X-ray Crystallographic Analysis
3. Results and Discussion
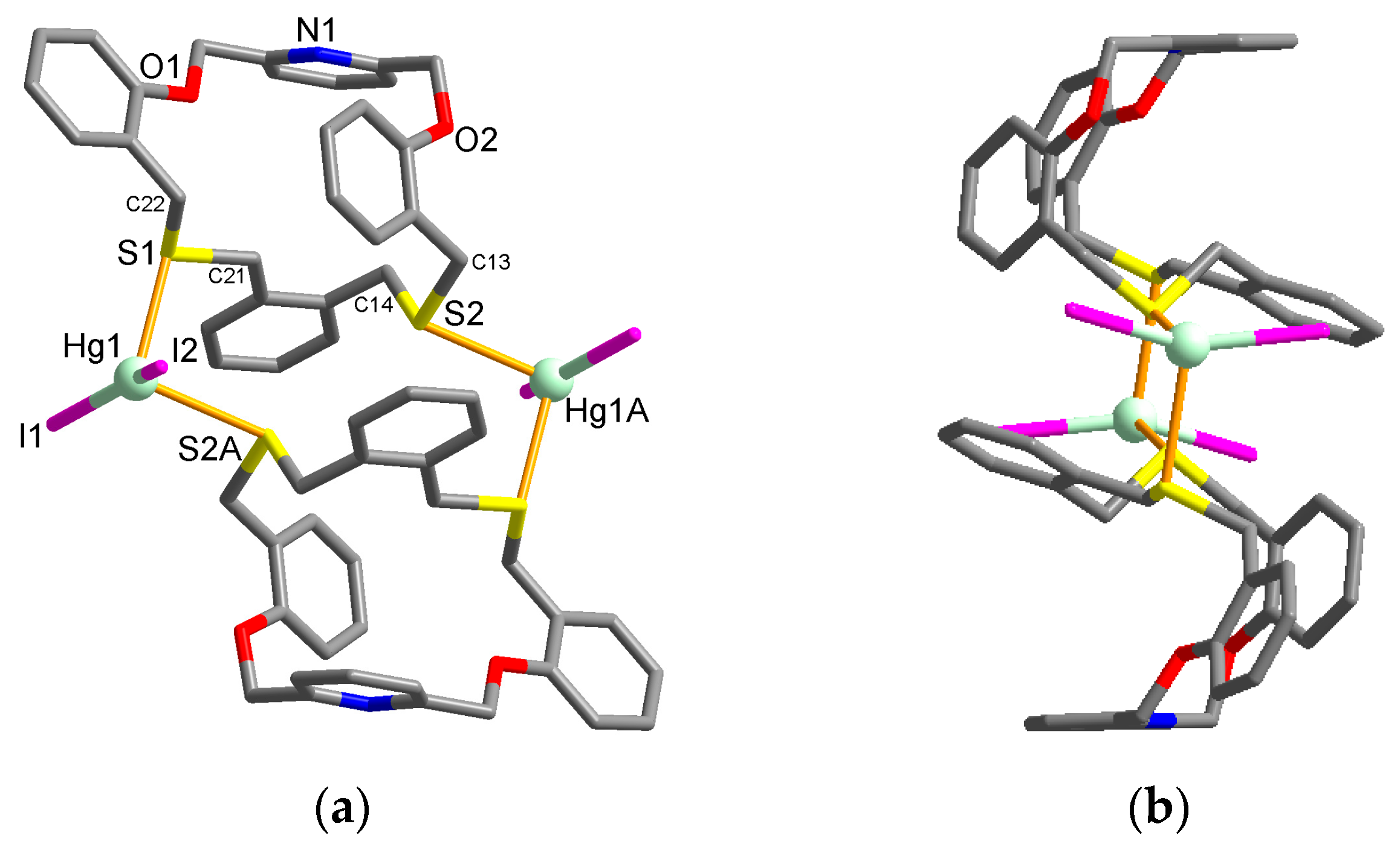
3.1. Structural Description of the Mercury(II) Complex 1
3.2. Structural Description of the Mercury(II) Complex 2
3.3. Thermal Stability of 1 and 2
3.4. Solution Study of the Complexation by NMR Titration
4. Conclusions
Supplementary Materials
Author Contributions
Funding
Institutional Review Board Statement
Informed Consent Statement
Data Availability Statement
Conflicts of Interest
References
- Pedersen, C.J. Cyclic Polyethers and Their Complexes with Metal Salts. J. Am. Chem. Soc. 1967, 89, 2495–2496. [Google Scholar] [CrossRef]
- Lindoy, L.F. The Chemistry of Macrocyclic Ligand Complexes; Cambridge University Press: Cambridge, UK, 1989. [Google Scholar]
- Lehn, J.-M. Supramolecular Chemistry, Concept and Perspectives; VCH: Weinheim, Germany, 1995. [Google Scholar]
- Lindoy, L.F.; Park, K.-M.; Lee, S.S. Metals, macrocycles and molecular assemblies—Macrocyclic complexes in metallo-supramolecular chemistry. Chem. Soc. Rev. 2013, 42, 1713–1727. [Google Scholar] [CrossRef] [PubMed]
- Christensen, J.J.; Eatough, D.J.; Izatt, R.M. The Synthesis and Ion Bindings of Synthetic Multidentate Macrocyclic Compounds. Chem. Rev. 1974, 74, 351–384. [Google Scholar] [CrossRef] [PubMed]
- Alexander, V. Design and Synthesis of Macrocyclic Ligands and Their Complexes of Lanthanides and Actinides. Chem. Rev. 1995, 95, 273–342. [Google Scholar] [CrossRef]
- Jia, S.; Zhu, X.; Yin, B.; Dong, Y.; Sun, A.; Li, D. Macrocyclic Hexagonal Bipyramidal Dy(III)-Based Single-Molecule Magnets with a D6h Symmetry. Cryst. Growth Des. 2023, 23, 6967–6973. [Google Scholar] [CrossRef]
- Li, Y.; Wang, N.; Lei, H.; Li, X.; Zheng, H.; Wang, H.; Zhang, W.; Cao, R. Bioinspired N4-metallomacrocycles for electrocatalytic oxygen reduction reaction. Coord. Chem. Rev. 2021, 442, 213996. [Google Scholar] [CrossRef]
- Yudin, A.K. Introduction: Macrocycles. Chem. Rev. 2019, 119, 9723. [Google Scholar] [CrossRef]
- Chen, J.-F.; Ding, J.-D.; Wei, T.-B. Pillararenes: Fascinating planar chiral macrocyclic arenes. Chem. Commun. 2021, 57, 9029–9039. [Google Scholar] [CrossRef]
- Fang, Y.; Deng, Y.; Dehaen, W. Tailoring pillararene-based receptors for specific metal ion binding: From recognition to supramolecular assembly. Coord. Chem. Rev. 2020, 415, 213313. [Google Scholar] [CrossRef]
- Matazova, E.V.; Egorova, B.V.; Zubenko, A.D.; Pashanova, A.V.; Mitrofanov, A.A.; Fedorova, O.A.; Ermolaev, S.V.; Vasiliev, A.N.; Kalmykov, S.N. Insights into Actinium Complexes with Tetraacetates—AcBATA versus AcDOTA: Thermodynamic, Structural, and Labeling Properties. Inorg. Chem. 2023, 62, 12223–12236. [Google Scholar] [CrossRef]
- Hastings, C.D.; Huffman, L.S.X.; Tiwari, C.K.; Betancourth, J.G.; Brennessel, W.W.; Barnett, B.R. Coordinatively Unsaturated Metallates of Cobalt(II), Nickel(II), and Zinc(II) Guarded by a Rigid and Narrow Void. Inorg. Chem. 2023, 62, 11920–11931. [Google Scholar] [CrossRef] [PubMed]
- Dopp, C.M.; Golwankar, R.R.; Kelsey, S.R.; Douglas, J.T.; Erickson, A.N.; Oliver, A.G.; Day, C.S.; Day, V.W.; Blakemore, J.D. Vanadyl as a Spectroscopic Probe of Tunable Ligand Donor Strength in Bimetallic Complexes. Inorg. Chem. 2023, 62, 9827–9843. [Google Scholar] [CrossRef] [PubMed]
- Xia, Z.-J.; Zhong, Y.-M.; Hu, S.-J.; Cai, L.-X.; Sun, Q.-F. Dynamic Interconversion and Induced-Fit Guest Binding with Two Macrocycle-Based Coordination Cages. Inorg. Chem. 2023, 62, 8293–8299. [Google Scholar] [CrossRef] [PubMed]
- Ghanbari, B.; Asadi Mofarrah, L.; Clegg, J.K. Selective Supramolecular Recognition of Nitroaromatics by a Fluorescent Metal–Organic Cage Based on a Pyridine-Decorated Dibenzodiaza-Crown Macrocyclic Co(II) Complex. Inorg. Chem. 2023, 62, 7434–7445. [Google Scholar] [CrossRef]
- Park, S.; Lee, S.Y.; Park, K.-M.; Lee, S.S. Supramolecular Networking of Macrocycles Based on Exo-Coordination: From Discrete to Continuous Frameworks. Acc. Chem. Res. 2012, 45, 391–403. [Google Scholar] [CrossRef]
- Wolf, R.E., Jr.; Hartman, J.R.; Storey, J.M.E.; Foxman, B.M.; Cooper, S.R. Crown thioether chemistry: Structural and conformational studies of tetrathia-12-crown-4, pentathia-15-crown-5, and hexathia-18-crown-6. Implications for ligand design. J. Am. Chem. Soc. 1987, 109, 4328–4335. [Google Scholar] [CrossRef]
- Thomsen, D.S.; Schiøtt, B.; Jørgensen, K.A. Regioselective monoepoxidation of 1,3-dienes catalysed by transition-metal complexes. J. Chem. Soc. Chem. Commun. 1992, 1072–1074. [Google Scholar] [CrossRef]
- RajanBabu, T.V.; Nugent, W.A.; Taber, D.F.; Fagan, P.J. Stereoselective cyclization of enynes mediated by metallocene reagents. J. Am. Chem. Soc. 1988, 110, 7128–7135. [Google Scholar] [CrossRef]
- Sato, M.; Anano, H. The transition-metal complexes of the thiamacrocycle containing two ferrocene nuclei in the main chain. Synthesis, properties, and molecular structure of Ag(I), Cu(I), Pd(II), and Pt(II) complexes of 1,5,16,21-tetrathia[5.5]ferrocenophane. J. Organomet. Chem. 1998, 555, 167–175. [Google Scholar] [CrossRef]
- Ashton, P.R.; Burns, A.L.; Claessens, C.G.; Shimizu, G.K.H.; Small, K.; Fraser Stoddart, J.; White, A.J.P.; Williams, D.J. Thiamacrocyclic chemistry: Synthesis of a novel oxadithiacrown and its copper iodide complex. J. Chem. Soc. Dalton Trans. 1997, 9, 1493–1496. [Google Scholar] [CrossRef]
- Lee, E.; Lee, S.G.; Park, I.-H.; Kim, S.; Ju, H.; Jung, J.H.; Ikeda, M.; Habata, Y.; Lee, S.S. Endo- and Exocyclic Coordination of a 20-Membered N2O2S2-Macrocycle and Cascade Complexation of a 40-Membered N4O4S4-Macrocycle. Inorg. Chem. 2018, 57, 6289–6299. [Google Scholar] [CrossRef] [PubMed]
- Lee, H.-H.; Lee, E.; Ju, H.; Kim, S.; Park, I.-H.; Lee, S.S. Influence of Anion and Mole Ratio on the Coordination Behavior of an NO2S3-Macrocycle: The Formation of a Dumbbell-Shaped Macrocyclic Cadmium(II) Iodide Complex. Inorg. Chem. 2016, 55, 2634–2640. [Google Scholar] [CrossRef] [PubMed]
- Shin, M.; Ju, H.; Habata, Y.; Lee, S.S. Coordination behaviors of a 23-membered NO4S2-macrocycle: Mononuclear silver(I) complex and conformational isomers of tetranuclear bis(macrocycle) mercury(II) complexes exhibiting exo- and endo/exocyclic coordination modes. Inorg. Chim. Acta 2018, 482, 749–755. [Google Scholar] [CrossRef]
- Kim, S.; Park, I.-H.; Choi, H.B.; Ju, H.; Lee, E.; Herng, T.S.; Ding, J.; Jung, J.H.; Lee, S.S. Formation of a four-bladed waterwheel-type chloro-bridged dicopper(ii) complex with dithiamacrocycle via double exo-coordination. Dalton Trans. 2020, 49, 1365–1369. [Google Scholar] [CrossRef]
- Seo, S.; Lee, E.; Ju, H.; Kim, S.; Park, I.-H.; Jung, J.H.; Lee, S.S. Influence of mole-ratio on the coordination behaviour of a ditopic N2O2S2-macrocycle: Endo/exocyclic silver(i) coordination polymer exhibiting desolvation-induced SCSC transformation. CrystEngComm 2017, 19, 7185–7190. [Google Scholar] [CrossRef]
- Kim, S.; Siewe, A.D.; Lee, E.; Ju, H.; Park, I.-H.; Park, K.M.; Ikeda, M.; Habata, Y.; Lee, S.S. Ligand-Induced Formation of Copper(I) Iodide Clusters: Exocyclic Coordination Polymers with Bis-dithiamacrocycle Isomers. Inorg. Chem. 2016, 55, 2018–2022. [Google Scholar] [CrossRef]
- Kang, Y.; Park, I.-H.; Ikeda, M.; Habata, Y.; Lee, S.S. A double decker type complex: Copper(i) iodide complexation with mixed donor macrocycles via [1:1] and [2:2] cyclisations. Dalton Trans. 2016, 45, 4528–4533. [Google Scholar] [CrossRef]
- Kang, Y.; Lee, H.-H.; Ju, H.; Lee, E.; Kim, S.; Lee, J.-H.; Park, I.-H.; Lee, S.S. Endocyclic and Endo–Exocyclic Silver(I) Complexes of Thiaoxaaza Macrocycles: Crystallographic and NMR Studies. Aust. J. Chem. 2017, 70, 456. [Google Scholar] [CrossRef]
- Park, I.-H.; Kang, Y.; Lee, E.; Ju, H.; Kim, S.; Seo, S.; Jung, J.H.; Lee, S.S. Snapshot and crystallographic observations of kinetic and thermodynamic products for NO2S2 macrocyclic complexes. IUCrJ 2018, 5, 45–53. [Google Scholar] [CrossRef]
- Bruker, A.I.; Madison, W. USA, SMART, SAINT and SADABS; Bruker AXS Inc.: Billerica, MA, USA, 2016. [Google Scholar]
- Sheldrick, G.M. SADABS; Version 2.03; University of Göttingen: Göttingen, Germany, 2002; pp. 1600–5368. [Google Scholar]
- Bruker, A.I.; Madison, W. SHELXTL; Version 6.10; Bruker AXS, Inc.: Billerica, MA, USA, 2000. [Google Scholar]
- Bondi, A. van der Waals Volumes and Radii. J. Phys. Chem. 1964, 68, 441–451. [Google Scholar] [CrossRef]
- Park, I.-H.; Lee, S.S. Networking of macrocycles: 1D and 2D coordination polymers of dithia-18-crown-6 with copper(ii) and copper(i). CrystEngComm 2011, 13, 6520. [Google Scholar] [CrossRef]





| 1 | 2 | |
|---|---|---|
| Formula | C58H54Hg2I4N2O4S4 | C58H56Hg5I12N2O8S4 |
| Formula weight | 1880.05 | 3563.03 |
| Temperature (K) | 173(2) | 173(2) |
| Crystal system | Triclinic | Triclinic |
| Space group | P-1 | P-1 |
| Z | 1 | 1 |
| a (Å) | 10.8122(2) | 9.8757(4) |
| b (Å) | 12.4339(3) | 12.2733(5) |
| c (Å) | 12.5499(3) | 17.2275(7) |
| α (°) | 107.122(1) | 98.794(2) |
| β (°) | 109.305(1) | 96.499(2) |
| γ (°) | 99.581(1) | 93.098(2) |
| V (Å3) | 1455.21(6) | 2044.87(14) |
| Dcalc (g/cm3) | 2.145 | 2.893 |
| 2θmax (°) | 52.00 | 52.00 |
| R1, wR2 [I > 2σ(I)] | 0.0317, 0.0648 | 0.0717, 0.2302 |
| R1, wR2 [all data] | 0.0357, 0.0669 | 0.0998, 0.2538 |
| Goodness-of-fit on F2 | 1.078 | 1.060 |
| Independent reflections | 5737 [Rint = 0.0329] | 7934 [Rint = 0.0337] |
| Reflections collected | 24044 | 30574 |
Disclaimer/Publisher’s Note: The statements, opinions and data contained in all publications are solely those of the individual author(s) and contributor(s) and not of MDPI and/or the editor(s). MDPI and/or the editor(s) disclaim responsibility for any injury to people or property resulting from any ideas, methods, instructions or products referred to in the content. |
© 2023 by the authors. Licensee MDPI, Basel, Switzerland. This article is an open access article distributed under the terms and conditions of the Creative Commons Attribution (CC BY) license (https://creativecommons.org/licenses/by/4.0/).
Share and Cite
Ju, H.; Lee, D.H.; Kim, S.; Kim, J.R.; Kang, Y.; Lee, E.; Park, I.-H. Formation of an Unusual Pseudo-Square Planar-Induced Mercury(II) Dimeric Complex. Crystals 2023, 13, 1475. https://doi.org/10.3390/cryst13101475
Ju H, Lee DH, Kim S, Kim JR, Kang Y, Lee E, Park I-H. Formation of an Unusual Pseudo-Square Planar-Induced Mercury(II) Dimeric Complex. Crystals. 2023; 13(10):1475. https://doi.org/10.3390/cryst13101475
Chicago/Turabian StyleJu, Huiyeong, Dong Hee Lee, Seulgi Kim, Joon Rae Kim, Yunji Kang, Eunji Lee, and In-Hyeok Park. 2023. "Formation of an Unusual Pseudo-Square Planar-Induced Mercury(II) Dimeric Complex" Crystals 13, no. 10: 1475. https://doi.org/10.3390/cryst13101475
APA StyleJu, H., Lee, D. H., Kim, S., Kim, J. R., Kang, Y., Lee, E., & Park, I.-H. (2023). Formation of an Unusual Pseudo-Square Planar-Induced Mercury(II) Dimeric Complex. Crystals, 13(10), 1475. https://doi.org/10.3390/cryst13101475

