Modelling of Deep Street Canyon Air Pollution Chemistry and Transport: A Wintertime Naples Case Study
Abstract
:1. Introduction
2. Materials and Methods
2.1. Field Data
2.2. The Multi-Box Framework and Some New Developments
2.3. Model Configuration and Data Pre-Processing
2.4. Model Simulation and Data Post-Process
3. Results
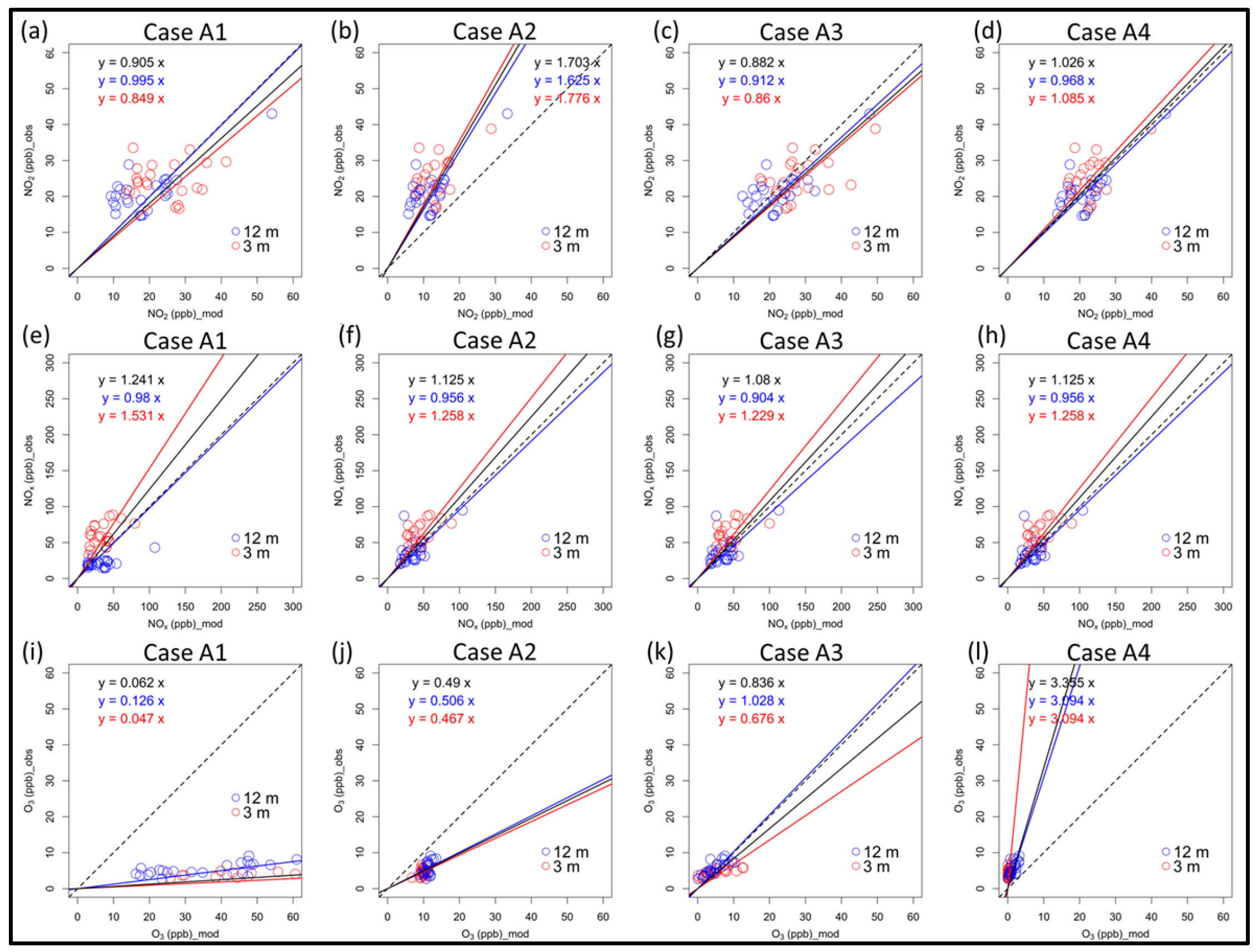
3.1. Comparing Box-Model Simulations with CFD
3.2. Concentration Field
3.3. MBM-FleX Results
3.4. Model Simulation Sensitivity to Emissions and Background
3.5. The Performance of MBM-FleX_r
4. Conclusions
Supplementary Materials
Author Contributions
Funding
Institutional Review Board Statement
Informed Consent Statement
Data Availability Statement
Acknowledgments
Conflicts of Interest
References
- Baik, J.-J.; Kang, Y.-S.; Kim, J.-J. Modeling reactive pollutant dispersion in an urban street canyon. Atmos. Environ. 2007, 41, 934–949. [Google Scholar] [CrossRef]
- Oke, T.R.; Mills, G.; Christen, A.; Voogt, J.A. Urban Climates; Cambridge University Press: Cambridge, UK, 2017. [Google Scholar]
- Vardoulakis, S.; Fisher, B.E.; Pericleous, K.; Gonzalez-Flesca, N. Modelling air quality in street canyons: A review. Atmos. Environ. 2003, 37, 155–182. [Google Scholar] [CrossRef]
- Zhong, J.; Cai, X.-M.; Bloss, W.J. Coupling dynamics and chemistry in the air pollution modelling of street canyons: A review. Environ. Pollut. 2016, 214, 690–704. [Google Scholar] [CrossRef] [PubMed]
- Demuzere, M.; Bechtel, B.; Middel, A.; Mills, G. Mapping Europe into local climate zones. PLoS ONE 2019, 14, e0214474. [Google Scholar] [CrossRef] [PubMed]
- Bright, V.B.; Bloss, W.J.; Cai, X. Urban street canyons: Coupling dynamics, chemistry and within-canyon chemical processing of emissions. Atmos. Environ. 2013, 68, 127–142. [Google Scholar] [CrossRef]
- Han, B.-S.; Baik, J.-J.; Kwak, K.-H.; Park, S.-B. Large-eddy simulation of reactive pollutant exchange at the top of a street canyon. Atmos. Environ. 2018, 187, 381–389. [Google Scholar] [CrossRef]
- Zhong, J.; Cai, X.-M.; Bloss, W.J. Modelling the dispersion and transport of reactive pollutants in a deep urban street canyon: Using large-eddy simulation. Environ. Pollut. 2015, 200, 42–52. [Google Scholar] [CrossRef]
- Turner, M.C.; Andersen, Z.J.; Baccarelli, A.; Diver, W.R.; Gapstur, S.M.; Pope, C.A., III; Prada, D.; Samet, J.; Thurston, G.; Cohen, A. Outdoor air pollution and cancer: An overview of the current evidence and public health recommendations. CA Cancer J. Clin. 2020, 70, 460–479. [Google Scholar] [CrossRef]
- Shah, A.S.; Lee, K.K.; McAllister, D.A.; Hunter, A.; Nair, H.; Whiteley, W.; Langrish, J.P.; Newby, D.E.; Mills, N.L. Short term exposure to air pollution and stroke: Systematic review and meta-analysis. BMJ 2015, 350, h1295. [Google Scholar] [CrossRef]
- Landrigan, P.J.; Fuller, R.; Acosta, N.J.; Adeyi, O.; Arnold, R.; Baldé, A.B.; Bertollini, R.; Bose-O’Reilly, S.; Boufford, J.I.; Breysse, P.N. The Lancet Commission on pollution and health. Lancet 2018, 391, 462–512. [Google Scholar] [CrossRef]
- Dai, Y.; Cai, X.; Zhong, J.; MacKenzie, A.R. Chemistry, street canyon geometry, and emissions effects on NO2 “hotspots” and regulatory “wiggle room”. npj Clim. Atmos. Sci. 2022, 5, 102. [Google Scholar] [CrossRef]
- Barlow, J.F.; Harman, I.N.; Belcher, S.E. Scalar fluxes from urban street canyons. Part I: Laboratory simulation. Bound. Layer Meteorol. 2004, 113, 369–385. [Google Scholar] [CrossRef]
- Cui, D.; Hu, G.; Ai, Z.; Du, Y.; Mak, C.M.; Kwok, K. Particle image velocimetry measurement and CFD simulation of pedestrian level wind environment around U-type street canyon. Build. Environ. 2019, 154, 239–251. [Google Scholar] [CrossRef]
- Gu, Z.-L.; Zhang, Y.-W.; Cheng, Y.; Lee, S.-C. Effect of uneven building layout on air flow and pollutant dispersion in non-uniform street canyons. Build. Environ. 2011, 46, 2657–2665. [Google Scholar] [CrossRef]
- Ng, W.-Y.; Chau, C.-K. A modeling investigation of the impact of street and building configurations on personal air pollutant exposure in isolated deep urban canyons. Sci. Total Environ. 2014, 468, 429–448. [Google Scholar] [CrossRef]
- Yuan, C.; Ng, E.; Norford, L.K. Improving air quality in high-density cities by understanding the relationship between air pollutant dispersion and urban morphologies. Build. Environ. 2014, 71, 245–258. [Google Scholar] [CrossRef] [PubMed]
- Rakowska, A.; Wong, K.C.; Townsend, T.; Chan, K.L.; Westerdahl, D.; Ng, S.; Močnik, G.; Drinovec, L.; Ning, Z. Impact of traffic volume and composition on the air quality and pedestrian exposure in urban street canyon. Atmos. Environ. 2014, 98, 260–270. [Google Scholar] [CrossRef]
- Hood, C.; Stocker, J.; Seaton, M.; Johnson, K.; O’Neill, J.; Thorne, L.; Carruthers, D. Comprehensive evaluation of an advanced street canyon air pollution model. J. Air Waste Manag. Assoc. 2021, 71, 247–267. [Google Scholar] [CrossRef]
- Murena, F.; Favale, G.; Vardoulakis, S.; Solazzo, E. Modelling dispersion of traffic pollution in a deep street canyon: Application of CFD and operational models. Atmos. Environ. 2009, 43, 2303–2311. [Google Scholar] [CrossRef]
- Fu, X.; Liu, J.; Ban-Weiss, G.A.; Zhang, J.; Huang, X.; Ouyang, B.; Popoola, O.; Tao, S. Effects of canyon geometry on the distribution of traffic-related air pollution in a large urban area: Implications of a multi-canyon air pollution dispersion model. Atmos. Environ. 2017, 165, 111–121. [Google Scholar] [CrossRef]
- He, L.; Hang, J.; Wang, X.; Lin, B.; Li, X.; Lan, G. Numerical investigations of flow and passive pollutant exposure in high-rise deep street canyons with various street aspect ratios and viaduct settings. Sci. Total Environ. 2017, 584, 189–206. [Google Scholar] [CrossRef] [PubMed]
- Sun, J.; Wu, F.; Hu, B.; Tang, G.; Zhang, J.; Wang, Y. VOC characteristics, emissions and contributions to SOA formation during hazy episodes. Atmos. Environ. 2016, 141, 560–570. [Google Scholar] [CrossRef]
- Li, Q.; Su, G.; Li, C.; Liu, P.; Zhao, X.; Zhang, C.; Sun, X.; Mu, Y.; Wu, M.; Wang, Q. An investigation into the role of VOCs in SOA and ozone production in Beijing, China. Sci. Total Environ. 2020, 720, 137536. [Google Scholar] [CrossRef] [PubMed]
- Zhang, K.; Chen, G.; Zhang, Y.; Liu, S.; Wang, X.; Wang, B.; Hang, J. Integrated impacts of turbulent mixing and NOX-O3 photochemistry on reactive pollutant dispersion and intake fraction in shallow and deep street canyons. Sci. Total Environ. 2020, 712, 135553. [Google Scholar] [CrossRef]
- Grawe, D.; Cai, X.-M.; Harrison, R.M. Large eddy simulation of shading effects on NO2 and O3 concentrations within an idealised street canyon. Atmos. Environ. 2007, 41, 7304–7314. [Google Scholar] [CrossRef]
- Huang, Y.; Lei, C.; Liu, C.-H.; Perez, P.; Forehead, H.; Kong, S.; Zhou, J.L. A review of strategies for mitigating roadside air pollution in urban street canyons. Environ. Pollut. 2021, 280, 116971. [Google Scholar] [CrossRef]
- Dai, Y.; Cai, X.; Zhong, J.; MacKenzie, A.R. Modelling chemistry and transport in urban street canyons: Comparing offline multi-box models with large-eddy simulation. Atmos. Environ. 2021, 264, 118709. [Google Scholar] [CrossRef]
- Murena, F.; Prati, M. The contribution of high emitters vehicles to FPS number concentration in the historical centre of Naples. In Proceedings of the Air Quality Science and Application, Online, 18–22 May 2020; p. 22. [Google Scholar]
- Murena, F.; Mele, B. Effect of balconies on air quality in deep street canyons. Atmos. Pollut. Res. 2016, 7, 1004–1012. [Google Scholar] [CrossRef]
- Carslaw, D.C.; Ropkins, K. Openair—An R package for air quality data analysis. Environ. Model. Softw. 2012, 27, 52–61. [Google Scholar] [CrossRef]
- Zhong, J.; Cai, X.-M.; Bloss, W.J. Large eddy simulation of reactive pollutants in a deep urban street canyon: Coupling dynamics with O3-NOx-VOC chemistry. Environ. Pollut. 2017, 224, 171–184. [Google Scholar] [CrossRef]
- Kim, Y.; Wu, Y.; Seigneur, C.; Roustan, Y. Multi-scale modeling of urban air pollution: Development and application of a Street-in-Grid model (v1. 0) by coupling MUNICH (v1. 0) and Polair3D (v1. 8.1). Geosci. Model Dev. 2018, 11, 611–629. [Google Scholar] [CrossRef]
- Yang, H.; Chen, T.; Lin, Y.; Buccolieri, R.; Mattsson, M.; Zhang, M.; Hang, J.; Wang, Q. Integrated impacts of tree planting and street aspect ratios on CO dispersion and personal exposure in full-scale street canyons. Build. Environ. 2020, 169, 106529. [Google Scholar] [CrossRef]
- Karkoulias, V.; Marazioti, P.; Georgiou, D.; Maraziotis, E. Computational Fluid Dynamics modeling of the trace elements dispersion and comparison with measurements in a street canyon with balconies in the city of Patras, Greece. Atmos. Environ. 2020, 223, 117210. [Google Scholar] [CrossRef]
- Chew, L.W.; Aliabadi, A.A.; Norford, L.K. Flows across high aspect ratio street canyons: Reynolds number independence revisited. Environ. Fluid Mech. 2018, 18, 1275–1291. [Google Scholar] [CrossRef]
- Murena, F.; Mele, B. Effect of short–time variations of wind velocity on mass transfer rate between street canyons and the atmospheric boundary layer. Atmos. Pollut. Res. 2014, 5, 484–490. [Google Scholar] [CrossRef]
- Cai, X. Effects of differential wall heating in street canyons on dispersion and ventilation characteristics of a passive scalar. Atmos. Environ. 2012, 51, 268–277. [Google Scholar] [CrossRef]
- Solazzo, E.; Cai, X.; Vardoulakis, S. Improved parameterisation for the numerical modelling of air pollution within an urban street canyon. Environ. Model. Softw. 2009, 24, 381–388. [Google Scholar] [CrossRef]
- Vachon, G.; Louka, P.; Rosant, J.; Mestayer, P.; Sini, J. Measurements of traffic-induced turbulence within a street canyon during the Nantes’ 99 experiment. Water Air Soil Pollut. Focus 2002, 2, 127–140. [Google Scholar] [CrossRef]
- Ntziachristos, L.; Samaras, Z.; Eggleston, S.; Gorissen, N.; Hassel, D.; Hickman, A. Copert iii. In Computer Programme to Calculate Emissions from Road Transport, Methodology and Emission Factors (Version 2.1); European Energy Agency (EEA): Copenhagen, Denmark, 2000. [Google Scholar]
- Madronich, S.; Flocke, S.; Zeng, J.; Petropavlovskikh, I.; Lee-Taylor, J. Tropospheric Ultraviolet and Visible (TUV) Radiation Model; National Center for Atmospheric Research (NCAR): Boulder, CO, USA, 2002; Available online: http://www2.acom.ucar.edu/modelling (accessed on 8 June 2023).
- Hersbach, H.; Bell, B.; Berrisford, P.; Hirahara, S.; Horányi, A.; Muñoz-Sabater, J.; Nicolas, J.; Peubey, C.; Radu, R.; Schepers, D. The ERA5 global reanalysis. Q. J. R. Meteorol. Soc. 2020, 146, 1999–2049. [Google Scholar] [CrossRef]
- Bourbia, F.; Awbi, H. Building cluster and shading in urban canyon for hot dry climate: Part 2: Shading simulations. Renew. Energy 2004, 29, 291–301. [Google Scholar] [CrossRef]
- Dai, Y.; Cai, X.; Zhong, J.; Mazzeo, A.; MacKenzie, A.R. Chemistry, transport, emission, and shading effects on NO2 and Ox distributions within urban canyons. Environ. Pollut. 2022, 315, 120347. [Google Scholar] [CrossRef]
- Paolini, R.; Mainini, A.G.; Poli, T.; Vercesi, L. Assessment of thermal stress in a street canyon in pedestrian area with or without canopy shading. Energy Procedia 2014, 48, 1570–1575. [Google Scholar] [CrossRef]
- Sin, C.H.; Jon, K.S.; Un, G.H.; Thae, Y.I.; Kim, H.; Tokgo, J.; Ri, H.M. Evaluation of the ventilation and pollutant exposure risk level inside 3D street canyon with void deck under different wind directions. Environ. Sci. Pollut. Res. 2023, 30, 61808–61828. [Google Scholar] [CrossRef] [PubMed]
- Kwak, K.-H.; Baik, J.-J.; Lee, S.-H.; Ryu, Y.-H. Computational fluid dynamics modelling of the diurnal variation of flow in a street canyon. Bound. Layer Meteorol. 2011, 141, 77–92. [Google Scholar] [CrossRef]
- Niachou, K.; Livada, I.; Santamouris, M. Experimental study of temperature and airflow distribution inside an urban street canyon during hot summer weather conditions. Part II: Airflow analysis. Build. Environ. 2008, 43, 1393–1403. [Google Scholar] [CrossRef]
- Willmott, C.J.; Robeson, S.M.; Matsuura, K. A refined index of model performance. Int. J. Climatol. 2012, 32, 2088–2094. [Google Scholar] [CrossRef]
- Chang, J.C.; Hanna, S.R. Air quality model performance evaluation. Meteorol. Atmos. Phys. 2004, 87, 167–196. [Google Scholar] [CrossRef]
- Cai, X.-M.; Steyn, D. Modelling study of sea breezes in a complex coastal environment. Atmos. Environ. 2000, 34, 2873–2885. [Google Scholar] [CrossRef]
- Willmott, C.J. On the validation of models. Phys. Geogr. 1981, 2, 184–194. [Google Scholar] [CrossRef]
- Willmott, C.J.; Ackleson, S.G.; Davis, R.E.; Feddema, J.J.; Klink, K.M.; Legates, D.R.; O’donnell, J.; Rowe, C.M. Statistics for the evaluation and comparison of models. J. Geophys. Res. Oceans 1985, 90, 8995–9005. [Google Scholar] [CrossRef]
- Murena, F. Monitoring and modelling carbon monoxide concentrations in a deep street canyon: Application of a two-box model. Atmos. Pollut. Res. 2012, 3, 311–316. [Google Scholar] [CrossRef]
- Wang, T.; Xue, L.; Brimblecombe, P.; Lam, Y.F.; Li, L.; Zhang, L. Ozone pollution in China: A review of concentrations, meteorological influences, chemical precursors, and effects. Sci. Total Environ. 2017, 575, 1582–1596. [Google Scholar] [CrossRef]
- Li, K.; Jacob, D.J.; Liao, H.; Zhu, J.; Shah, V.; Shen, L.; Bates, K.H.; Zhang, Q.; Zhai, S. A two-pollutant strategy for improving ozone and particulate air quality in China. Nat. Geosci. 2019, 12, 906–910. [Google Scholar] [CrossRef]
- Zhong, J.; Cai, X.-M.; Bloss, W.J. Modelling segregation effects of heterogeneous emissions on ozone levels in idealised urban street canyons: Using photochemical box models. Environ. Pollut. 2014, 188, 132–143. [Google Scholar] [CrossRef]
- Li, C.W.; Brasseur, G.P.; Schmidt, H.; Mellado, J.P. Error induced by neglecting subgrid chemical segregation due to inefficient turbulent mixing in regional chemical-transport models in urban environments. Atmos. Chem. Phys. 2021, 21, 483–503. [Google Scholar] [CrossRef]




| Case | Model | Chemical Scheme | Photolysis Rates | Scaling Factor for Background NO2 * | Emissions | 
|---|---|---|---|---|---|
| Case A1 | MBM-FleX | RCS | Constant rates | 1.5 | On-road emissions | 
| Case A2 | MBM-FleX | Simple chemistry | Constant rates | 1.5 | On-road emissions | 
| Case A3 | MBM-FleX | RCS | Diurnal profile | 1.5 | On-road emissions | 
| Case A4 | MBM-FleX | Simple chemistry | Diurnal profile | 1.5 | On-road emissions | 
| Case B1 | MBM-FleX | RCS | Diurnal profile | 1.5 | Reduced NOx emissions | 
| Case B2 | MBM-FleX | RCS | Diurnal profile | 1.5 | Reduced VOC emissions | 
| Case B3 | MBM-FleX | RCS | Diurnal profile | 0.5 | On-road emissions | 
| Case B4 | MBM-FleX | RCS | Diurnal profile | 1.0 | On-road emissions | 
| Case B5 | MBM-FleX | RCS | Diurnal profile | 3.0 | On-road emissions | 
| Case C1 | MBM-FleX_r | RCS | Constant rates | 1.5 | On-road emissions | 
| Case C2 | MBM-FleX_r | Simple chemistry | Constant rates | 1.5 | On-road emissions | 
| Case C3 | MBM-FleX_r | RCS | Diurnal profile | 1.5 | On-road emissions | 
| Case C4 | MBM-FleX_r | Simple chemistry | Diurnal profile | 1.5 | On-road emissions | 
| Case | Species | n | FAC2 | r | RMSEs (ppb) | RMSEu (ppb) | RMSE (ppb) | IOA | 
|---|---|---|---|---|---|---|---|---|
| Case A1 | NO2 | 48 | 0.92 | 0.62 | 1.3 | 8.6 | 8.7 | 0.18 | 
| NOx | 0.73 | 0.48 | 18.73 | 15.48 | 24.3 | 0.45 | ||
| O3 | 0 | 0.26 | 55.39 | 38.38 | 67.39 | −0.95 | ||
| Case A2 | NO2 | 48 | 0.5 | 0.62 | 11.06 | 3.98 | 11.76 | −0.18 | 
| NOx | 0.92 | 0.59 | 13.19 | 13.68 | 19 | 0.59 | ||
| O3 | 0.42 | 0.56 | 5.48 | 0.93 | 5.56 | −0.53 | ||
| Case A3 | NO2 | 48 | 0.99 | 0.65 | 2.12 | 6.03 | 6.39 | 0.42 | 
| NOx | 0.92 | 0.54 | 12.79 | 15.43 | 20.04 | 0.55 | ||
| O3 | 0.75 | 0.67 | 0.57 | 2.34 | 2.41 | 0.28 | ||
| Case A4 | NO2 | 48 | 1 | 0.61 | 2.75 | 4.34 | 5.14 | 0.51 | 
| NOx | 0.92 | 0.59 | 13.19 | 13.68 | 19 | 0.59 | ||
| O3 | 0.02 | 0.67 | 4.33 | 0.68 | 4.38 | −0.4 | 
| Disclaimer/Publisher’s Note: The statements, opinions and data contained in all publications are solely those of the individual author(s) and contributor(s) and not of MDPI and/or the editor(s). MDPI and/or the editor(s) disclaim responsibility for any injury to people or property resulting from any ideas, methods, instructions or products referred to in the content. | 
© 2023 by the authors. Licensee MDPI, Basel, Switzerland. This article is an open access article distributed under the terms and conditions of the Creative Commons Attribution (CC BY) license (https://creativecommons.org/licenses/by/4.0/).
Share and Cite
Dai, Y.; Mazzeo, A.; Zhong, J.; Cai, X.; Mele, B.; Toscano, D.; Murena, F.; MacKenzie, A.R. Modelling of Deep Street Canyon Air Pollution Chemistry and Transport: A Wintertime Naples Case Study. Atmosphere 2023, 14, 1385. https://doi.org/10.3390/atmos14091385
Dai Y, Mazzeo A, Zhong J, Cai X, Mele B, Toscano D, Murena F, MacKenzie AR. Modelling of Deep Street Canyon Air Pollution Chemistry and Transport: A Wintertime Naples Case Study. Atmosphere. 2023; 14(9):1385. https://doi.org/10.3390/atmos14091385
Chicago/Turabian StyleDai, Yuqing, Andrea Mazzeo, Jian Zhong, Xiaoming Cai, Benedetto Mele, Domenico Toscano, Fabio Murena, and A. Rob MacKenzie. 2023. "Modelling of Deep Street Canyon Air Pollution Chemistry and Transport: A Wintertime Naples Case Study" Atmosphere 14, no. 9: 1385. https://doi.org/10.3390/atmos14091385
APA StyleDai, Y., Mazzeo, A., Zhong, J., Cai, X., Mele, B., Toscano, D., Murena, F., & MacKenzie, A. R. (2023). Modelling of Deep Street Canyon Air Pollution Chemistry and Transport: A Wintertime Naples Case Study. Atmosphere, 14(9), 1385. https://doi.org/10.3390/atmos14091385
 
        





 
       