Two-Generation Toxicity Study of the Antioxidant Compound Propyl-Propane Thiosulfonate (PTSO)
Abstract
1. Introduction
2. Materials and Methods
2.1. Animals, Housing, Feeding, and Environmental Conditions
2.2. Study Design
2.3. In-Life Data Collection
2.4. Serum Sex Hormone Levels
2.5. Sperm Anlaysis
2.5.1. Sperm Collection
2.5.2. Computer-Assisted Sperm Motility Analysis (CASA)
2.6. Necropsy and Pathology
2.7. Statistical Analysis
3. Results and Discussion
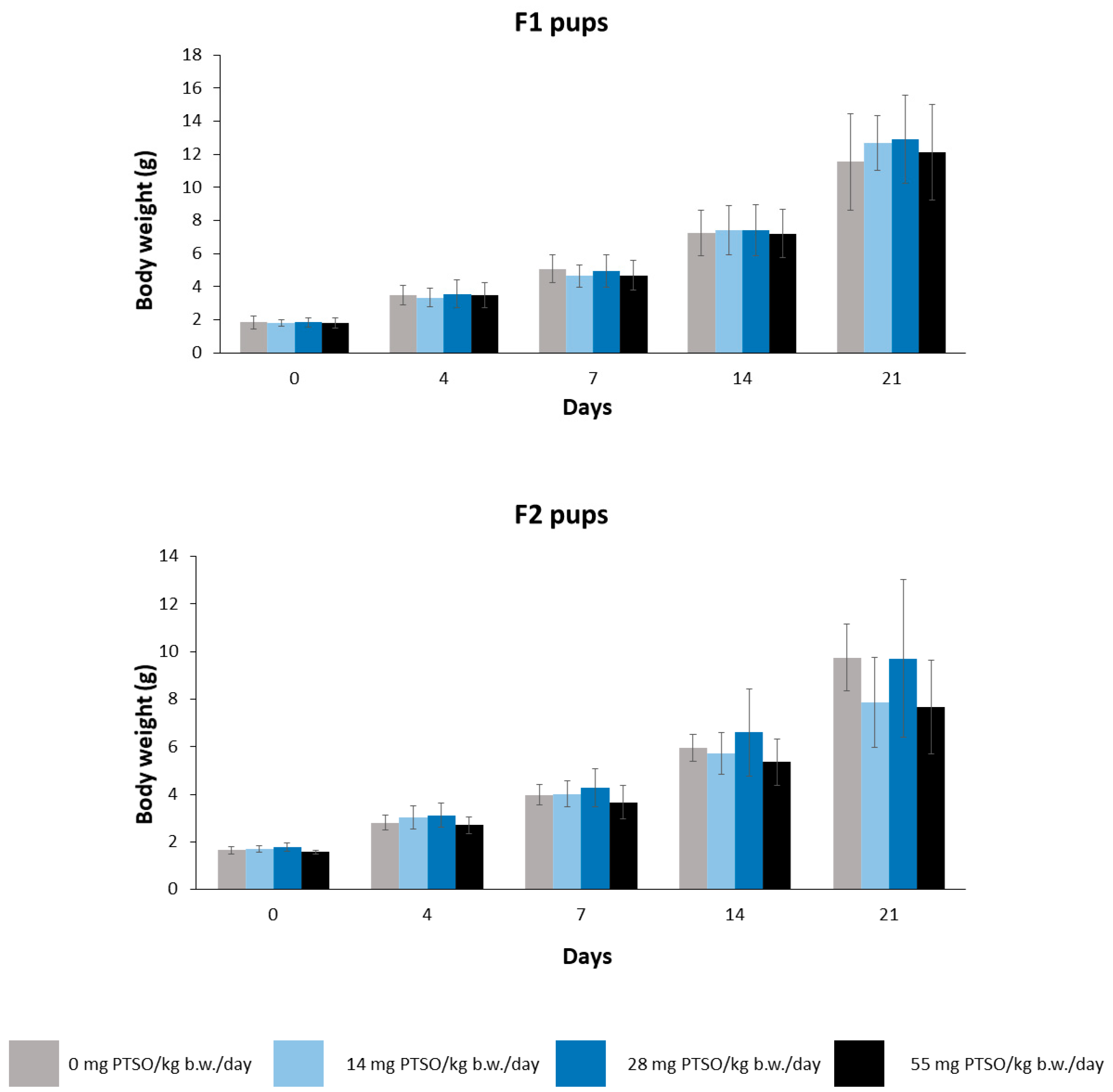
3.1. In-Life Data Report
3.2. Hormone Serum Levels
3.3. Sperm Motility and Morphology
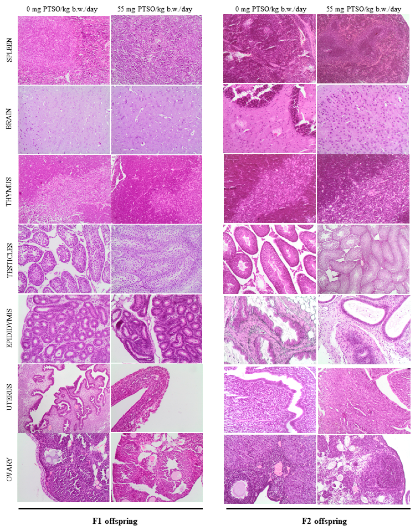
3.4. Necropsy, Organ Weights, and Histopathology
3.5. Final Remarks
4. Conclusions
Supplementary Materials
Author Contributions
Funding
Institutional Review Board Statement
Informed Consent Statement
Data Availability Statement
Acknowledgments
Conflicts of Interest
Correction Statement
References
- Putnik, P.; Gabric, D.; Roohinejad, S.; Barba, F.J.; Granato, D.; Mallikarjunan, K.; Lorenzo, J.M.; Bursac Kovacevic, D. An overview of organosulfur compounds from Allium spp.: From processing and preservation to evaluation of their bioavailability, antimicrobial, and anti-inflammatory properties. Food Chem. 2019, 276, 680–6912. [Google Scholar] [CrossRef] [PubMed]
- Gatran, R.; Ben Arfa, A.; Chargui, I.; Hammadi, M.; Sedik, M.; Tlig, A.; Hedi Hamdoui, M.; Neffati, M.; Najjaa, H. Beneficial effects of edible species, Allium roseum on metabolic parameters in diabetic rats, with potential regeneration of liver and kidney damages. Food Biosci. 2024, 57, 103415. [Google Scholar] [CrossRef]
- Mukthamba, P.; Srinivasan, K. Hypolipidemic and antioxidant effects of dietary fenugreek (Trigonella foenum-graecum) seeds and garlic (Allium sativum) in high-fat fed rats. Food Biosci. 2016, 14, 1–9. [Google Scholar] [CrossRef]
- Kim, S.-H.; Yoon, J.B.; Han, J.; Seo, Y.A.; Kang, B.-H.; Lee, J.; Ochar, K. Green Onion (Allium fistulosum): An Aromatic Vegetable Crop Esteemed for Food, Nutritional and Therapeutic Significance. Foods 2023, 12, 4503. [Google Scholar] [CrossRef] [PubMed]
- Kaur, J.; Singh, J.; Gupta, P.; Kaur, S.; Sharma, N.; Sowdhanya, D. Natural additives as active components in edible films and coatings. Food Biosci. 2023, 53, 102689. [Google Scholar] [CrossRef]
- Kim, J.-S.; Lee, E.-B.; Choi, J.-H.; Jung, J.; Jeong, U.-Y.; Bae, U.-J.; Jang, H.-H.; Park, S.-Y.; Cha, Y.-S.; Lee, S.-H. Antioxidant and Immune Stimulating Effects of Allium cepa Skin in the RAW 264.7 Cells and in the C57BL/6 Mouse Immunosuppressed by Cyclophosphamide. Antioxidants 2023, 12, 892. [Google Scholar] [CrossRef] [PubMed]
- Capasso, A. Antioxidant Action and Therapeutic Efficacy of Allium sativum L. Molecules 2013, 18, 690–700. [Google Scholar] [CrossRef] [PubMed]
- Kurnia, D.; Ajiati, D.; Heliawati, L.; Sumiarsa, D. Antioxidant Properties and Structure-Antioxidant Activity Relationship of Allium Species Leaves. Molecules 2021, 26, 7175. [Google Scholar] [CrossRef]
- Prakash, D.; Singh, B.N.; Upadhyay, G. Antioxidant and free radical scavenging activities of phenols from onion (Allium cepa). Food Chem. 2007, 102, 1389–1393. [Google Scholar] [CrossRef]
- Patiño-Morales, C.C.; Jaime-Cruz, R.; Sánchez-Gómez, C.; Corona, J.C.; Hernández-Cruz, E.Y.; Kalinova-Jelezova, I.; Pedraza-Chaverri, J.; Maldonado, P.D.; Silva-Islas, C.A.; Salazar-García, M. Antitumor Effects of Natural Compounds Derived from Allium sativum on Neuroblastoma: An Overview. Antioxidants 2022, 11, 48. [Google Scholar] [CrossRef]
- Horn, T.; Bettray, W.; Noll, U.; Krauskopf, F.; Huang, M.-R.; Bolm, C.; Slusarenko, A.J.; Gruhlke, M.C.H. The Sulfilimine Analogue of Allicin, S-Allyl-S-(S-allyl)-N-Cyanosulfilimine, Is Antimicrobial and Reacts with Glutathione. Antioxidants 2020, 9, 1086. [Google Scholar] [CrossRef] [PubMed]
- Nataliia, L.; Ruslana, I.; Nataliya, S.; Natalija, M.; Viktoriia, H.; Vira, L. Antioxidant Activity of Thiosulfonate Compounds in Experiments in Vitro and in Vivo. Biointerface Res. Appl. Chem. 2022, 12, 3106–3116. [Google Scholar]
- Bhatwalkar, S.B.; Mondal, R.; Krishna, S.B.N.; Adam, J.K.; Govender, P.; Anupam, R. Antibacterial Properties of Organosulfur Compounds of Garlic (Allium sativum). Front. Microbiol. 2021, 12, 613077. [Google Scholar] [CrossRef]
- Blume, L.; Long, T.E.; Turos, E. Applications and Opportunities in Using Disulfides, Thiosulfinates, and Thiosulfonates as Antibacterials. Int. J. Mol. Sci. 2023, 24, 8659. [Google Scholar] [CrossRef]
- Tarun, V.; Ankur, A.; Priya, D.; Kumar, C.A.; Summya, R.; Kow-Tong, C.; Rohit, S. Medicinal and therapeutic properties of garlic, garlic essential oil, and garlic-based snack food: An updated review. Front. Nutr. 2023, 10, 1120377. [Google Scholar]
- Sahidur, M.R.; Islam, S.; Jahurul, M.H.A. Garlic (Allium sativum) as a natural antidote or a protective agent against diseases and toxicities: A critical review. Food Chem. Adv. 2023, 3, 100353. [Google Scholar] [CrossRef]
- Yin, M.; Hwang, S.; Chan, K. Nonenzymatic Antioxidant Activity of Four Organosulfur Compounds Derived from Garlic. J. Agric. Food Chem. 2002, 50, 6143–6147. [Google Scholar] [CrossRef]
- Xiao, H.; Parkin, K.L. Antioxidant Functions of Selected Allium Thiosulfinates and S-Alk(en)yl-L-Cysteine Sulfoxides. J. Agric. Food Chem. 2002, 50, 2488–2493. [Google Scholar] [CrossRef]
- Poojary, M.M.; Putnik, P.; Bursac Kovacevic, D.; Barba, F.J.; Lorenzo, J.M.; Dias, D.A.; Shpigelman, A. Stability and extraction of bioactive sulfur compounds from Allium genus processed by traditional and innovative technologies. J. Food Compos. Anal. 2017, 61, 28–39. [Google Scholar] [CrossRef]
- Tsai, C.; Ou, B.; Liang, Y.; Yeh, J. Growth inhibition and antioxidative status induced by selenium-enriched broccoli extract and selenocompounds in DNA mismatch repair-deficient human colon cancer cells. Food Chem. 2013, 139, 267–273. [Google Scholar] [CrossRef]
- Llana-Ruiz-Cabello, M.; Gutiérrez-Praena, D.; Puerto, M.; Pichardo, S.; Moreno, F.J.; Baños, A.; Nuñez, C.; Guillamón, E.; Cameán, A.M. Acute toxicological studies of the main organosulfur compound derived from Allium sp. intended to be used in active food packaging. Food Chem. Toxicol. 2015, 82, 1–11. [Google Scholar] [CrossRef]
- Guillamón, E.; Andreo-Martínez, P.; Mut-Salud, N.; Fonollá, J.; Baños, A. Beneficial Effects of Organosulfur Compounds from Allium cepa on Gut Health: A Systematic Review. Foods 2021, 10, 1680. [Google Scholar] [CrossRef] [PubMed]
- Bravo, D.; Lillehoj, H. Use of At Least One Dialkyl Thosulfonate or Thosulfinate for Reducing the Number of Apcomplexan an Animal. U.S. Patent 2013/0079402 A1, 28 March 2013. Available online: https://patentimages.storage.googleapis.com/5b/df/ca/82319693e99358/US20130079402A1.pdf (accessed on 16 January 2024).
- Baños-Arjona, A.; Sanz, A.; Brotman, K.A. Use of Propyl Propanethosulfinate and Propyl Propanethosulfonate for the Prevention and Reduction of Parasites in Aquatic Animals. U.S. Patent US9271947B2, 30 September 2016. [Google Scholar]
- Mellado-García, P.; Puerto, M.; Prieto, A.I.; Pichardo, S.; Martín-Cameán, A.; Moyano, R.; Blanco, A.; Cameán, A.M. Genotoxicity of a thiosulfonate compound derived from Allium sp. Intended to be used in active food packaging: In vivo comet assay and micronucleus test. Mutat. Res. Genet. Toxicol. Environ. Mutagen. 2016, 800–801, 1–11. [Google Scholar] [CrossRef]
- Cascajosa Lira, A.; Prieto, A.I.; Baños, A.; Guillamón, E.; Moyano, R.; Jos, Á.; Cameán, A.M. Safety assessment of Propil-propanethiosulfonate (PTSO): 90-days oral subchronic toxicity study in rats. Food Chem. Toxicol. 2020, 144, 111612. [Google Scholar] [CrossRef] [PubMed]
- Cascajosa Lira, A.; Guzmán-Guillén, R.; Baños-Arjona, A.; Aguinaga-Casañas, M.A.; Ayala-Soldado, N.; Moyano-salvago, R.; Molina, A.; Jos, Á.; Cameán, A.M.; Pichardo, S. Risk assessment and environmental consequences of the use of the Allium-derived compound propyl-propane thiosulfonate (PTSO) in agrifood applications. Environ. Res. 2023, 236, 116682. [Google Scholar] [CrossRef] [PubMed]
- Hammami, I.; May, M.V. Impact of garlic feeding (Allium sativum) on male fertility. Andrologia 2012, 45, 217–224. [Google Scholar] [CrossRef] [PubMed]
- Sotler, R.; Poljšak, B.; Dahmane, R.; Jukić, T.; Pavan Jukić, D.; Rotim, C.; Trebše, P.; Starc, A. Prooxidant Activities of Antioxidants and Their Impact on Health. Acta Clin. Croat. 2019, 58, 726–736. [Google Scholar] [CrossRef] [PubMed]
- Dutta, S.; Sengupta, P.; Das, S.; Slama, P.; Roychoudhury, S. Reactive Nitrogen Species and Male Reproduction: Physiological and Pathological Aspects. Int. J. Mol. Sci. 2022, 23, 10574. [Google Scholar] [CrossRef]
- Alfaro Gómez, M.; Fernández-Santos, M.D.R.; Jurado-Campos, A.; Soria-Meneses, P.J.; Montoro Angulo, V.; Soler, A.J.; Garde, J.J.; Rodríguez-Robledo, V. On Males, Antioxidants and Infertility (MOXI): Certitudes, Uncertainties and Trends. Antioxidants 2023, 12, 1626. [Google Scholar] [CrossRef]
- OECD. Test No. 416: Two-Generation Reproduction Toxicity, OECD Guidelines for the Testing of Chemicals, Section 4; OECD Publishing: Paris, France, 2001. [Google Scholar]
- Felicio, L.S.; Nelson, J.F.; Finch, C.E. Longitudinal studies of estrous cyclicity inaging C57BL/6J mice: II. Cessation of cyclicity and the duration of persistent vaginal cornification. Biol. Reprod. 1984, 31, 446–453. [Google Scholar] [CrossRef]
- Tyl, R.W.; Myers, C.B.; Marr, M.C.; Solan, C.S.; Castillo, N.P.; Veselica, M.M.; Seely, J.C.; Dimond, S.S.; Van Miller, J.P.; Shiotsuka, R.S.; et al. Two-Generation Reproductive Toxicity Study of Dietary Bisphenol A in CD-1 (Swiss) Mice. Toxicol. Sci. 2008, 104, 362–384. [Google Scholar] [CrossRef]
- Casas-Rodriguez, A.; Moyano, R.; Molina-Hernández, V.; Cameán, A.M.; Jos, Á. Potential oestrogenic effects (following the OECD test guideline 440) and thyroid dysfunction induced by pure cyanotoxins (microcystin-LR, cylindrospermopsin) in rats. Environ. Res. 2023, 226, 115671. [Google Scholar] [CrossRef] [PubMed]
- Cascajosa-Lira, A.; Pichardo, S.; Baños, A.; Guillamón, G.; Moyano, R.; Molina-Hernández, V.; Jos, A.; Cameán, A.M. Acute and subchronic 90-days toxicity assessment of propyl-propane-thiosulfinate (PTS) in rats. Food Chem. Toxicol. 2022, 161, 112827. [Google Scholar] [CrossRef]
- Vezza, T.; Garrido-Mesa, J.; Diez-Echave, P.; Hidalgo-García, L.; Ruiz-Malagón, A.J.; García, F.; Sánchez, M.; Toral, M.; Romero, M.; Duarte, J.; et al. Allium-Derived Compound Propyl Propane Thiosulfonate (PTSO) Attenuates Metabolic Alterations in Mice Fed a High-Fat Diet through Its Anti-Inflammatory and Prebiotic Properties. Nutrients 2021, 13, 2595. [Google Scholar] [CrossRef] [PubMed]
- Rivera, L.; Morón, R.; Sánchez, M.; Zarzuelo, A.; Galisteo, M. Quercetin ameliorates metabolic syndrome and improves the inflammatory status in obese Zucker rats. Obesity 2008, 16, 2081–2087. [Google Scholar] [CrossRef] [PubMed]
- Johnson, M.S.; Thomson, S.C.; Speakman, J.R. Limits to sustained energy intake. III. Effects of concurrent pregnancy and lactation in Mus musculus. J. Exp. Biol. 2001, 204 Pt 11, 1947–1956. [Google Scholar] [CrossRef] [PubMed]
- Mellado-Garcia, P.; Puerto, M.; Pichardo, S.; Llana-Ruiz-Cabello, M.; Moyano, R.; Blanco, A.; Jos, A.; Camean, A.M. Toxicological evaluation of an Allium-based commercial product in a 90-day feeding study in Sprague-Dawley rats. Food Chem. Toxicol. 2016, 90, 18–29. [Google Scholar] [CrossRef]
- Dahir, N.S.; Calder, A.N.; McKinley, B.J.; Liu, Y.; Gilbertson, T.A. Sex differences in fat taste responsiveness are modulated by estradiol. Am. J. Physiol. Endocrinol. Metab. 2021, 320, E566–E580. [Google Scholar] [CrossRef]
- Frye, C.A.; Lembo, V.F.; Walf, A.A. Progesterone’s Effects on Cognitive Performance of Male Mice Are Independent of Progestin Receptors but Relate to Increases in GABAA Activity in the Hippocampus and Cortex. Front. Endocrinol. 2021, 11, 552805. [Google Scholar] [CrossRef]
- Zhao, Y.; Yin, X.; Yu, Y.; Huang, S.; Feng, H.; Wang, S.; Cai, Y.; Zhao, R.; Gao, S.; Liu, Y.; et al. Social rank-dependent effects of testosterone on huddling strategies in mice. iScience 2023, 26, 106516. [Google Scholar] [CrossRef]
- Moreira, R.; Martins, A.D.; Alves, M.G.; de Lourdes Pereira, M.; Oliveira, P.F. A Comprehensive Review of the Impact of Chromium Picolinate on Testicular Steroidogenesis and Antioxidant Balance. Antioxidants 2023, 12, 1572. [Google Scholar] [CrossRef] [PubMed]
- Barkley, M.S.; Geschwind, I.I.; Bradford, G.E. The gestational pattern of estradiol, testosterone and progesterone secretion in selected strains of mice. Biol. Reprod. 1979, 20, 733–738. [Google Scholar] [CrossRef] [PubMed]
- Rao, K.N.; Eagon, P.K.; Okamura, K.; Van Thiel, D.H.; Gavaler, J.S.; Kelly, R.H.; Lombardi, B. Acute hemorrhagic pancreatic necrosis in mice introduction in male mice treated with estradiol. Am. J. Pathol. 1982, 109, 9–14. [Google Scholar]
- Soleimanzadeh, A.; Mohammadnejad, L.; Ahmadi, A. Ameliorative effect of Allium sativum extract on busulfan-induced oxidative stress in mice sperm. Vet. Res. Forum 2018, 9, 265–271. [Google Scholar] [PubMed]
- El-Ratel, I.T.; Wafa, W.M.; El-Nagar, H.A.; Aboelmagd, A.M.; El-Kholy, K.H. Amelioration of sperm fertilizability, thyroid activity, oxidative stress, and inflammatory cytokines in rabbit bucks treated with phytogenic extracts. Anim. Sci. J. 2021, 92, e13560. [Google Scholar] [CrossRef]
- Ige, S.F.; Olaleye, S.B.; Akhigbe, R.E.; Akanbi, T.A.; Oyekunle, O.A.; Udoh, U.A. Testicular toxicity and sperm quality following cadmium exposure in rats: Ameliorative potentials of Allium cepa. J. Hum. Reprod. Sci. 2012, 5, 37–42. [Google Scholar] [CrossRef] [PubMed]
- Perreault, S.D.; Cancel, A.M. Significance of incorporating measures of sperm production and function into rat toxicology studies. Reproduction 2001, 121, 207–216. [Google Scholar] [CrossRef][Green Version]
- Janer, G.; Hakkert, B.C.; Slob, W.; Vermeire, T.; Piersma, A.H. A retrospective analysis of the two-generation study: What is the added value of the second generation? Reprod. Toxicol. 2007, 24, 97–102. [Google Scholar] [CrossRef]
- Ten, J.F.; Vendrell, A.; Tarín, C.J. Dietary antioxidant supplementation did not affect declining sperm function with age in the mouse but did increase head abnormalities and reduced sperm production. Reprod. Nutr. Dev. 1997, 37, 481–492. [Google Scholar] [CrossRef][Green Version]
- Ozkosem, B.S.I.; Feinstein, A.B.; O’Flaherty, F.C. Advancing age increases sperm chromatin damage and impairs fertility in peroxiredoxin 6 null mice. Redox Biol. 2015, 5, 15–23. [Google Scholar] [CrossRef]
- Kotarska, K.A.; Doniec, M.; Bednarska, Z.; Styrna, P.J. Aging deteriorates quality of sperm produced by male mice with partial Yq deletion. Syst. Biol. Reprod. Med. 2017, 63, 360–363. [Google Scholar] [CrossRef] [PubMed]
- Lehti, M.S.; Sironen, A. Formation and function of sperm tail structures in association with sperm motility defects. Biol. Reprod. 2017, 97, 522–536. [Google Scholar] [CrossRef] [PubMed]
- Han, F.; Dong, M.Z.; Lei, W.L.; Xu, Z.L.; Gao, F.; Schatten, H.; Wang, Z.B.; Sun, X.F.; Sun, Q.Y. Oligoasthenoteratospermia and sperm tail bending in PPP4C-deficient mice. Mol. Hum. Reprod. 2020, 27, gaaa083. [Google Scholar] [CrossRef] [PubMed]
- Yokota, S.; Sekine, N.; Wakayama, T.; Oshio, S. Impact of chronic vitamin A excess on sperm morphogenesis in mice. Andrology 2021, 9, 1579–1592. [Google Scholar] [CrossRef] [PubMed]
- Azhar, M.; Altaf, S.; Uddin, I.; Cheng, J.; Wu, L.; Tong, X.; Qin, W.; Bao, J. Towards Post-Meiotic Sperm Production: Genetic Insight into Human Infertility from Mouse Models. Int. J. Biol. Sci. 2021, 17, 2487–2503. [Google Scholar] [CrossRef] [PubMed]
- Ávila, C.; Vinay, J.I.; Arese, M.; Saso, L.; Rodrigo, R. Antioxidant Intervention against Male Infertility: Time to Design Novel Strategies. Biomedicines 2022, 10, 3058. [Google Scholar] [CrossRef] [PubMed]
- Rychen, G.; Aquilina, G.; Azimonti, G.; Bampidis, V.; de Lourdes Bastos, M.; Bories, G.; Chesson, A.; Cocconcelli, P.S.; Flachowsky, G.; Gropp, J.; et al. Guidance on the Assessment of the Safety of Feed Additives for the Consumer. EFSA J. 2017, 15, e05022. [Google Scholar]










| Doses (mg PTSO/kg b.w./day) | |||||
|---|---|---|---|---|---|
| 0 | 14 | 28 | 55 | ||
| F0 male | |||||
| Premating period | Total food intake (g) | 448.93 ± 28.31 | 459.37 ± 41.45 | 433.40 ± 32.05 | 429.52 ± 40.07 |
| Feed conversion ratio (FCR) | 53.03 ± 9.56 | 32.95 ± 11.78 | 39.91 ± 13.43 | 48.29 ± 19.62 | |
| Feed efficiency (FE) | 1.95 ± 0.41 | 3.38 ± 1.11 *** | 2.80 ± 0.99 * | 2.43 ± 1.01 | |
| F0 female | |||||
| Premating period | Total food intake (g) | 407.16 ± 37.66 | 367.22 ± 23.58 * | 367.49 ± 21.69 * | 365.11 ± 11 * |
| Feed conversion ratio | 58.87 ± 13.99 | 56.00 ±18.78 | 52.62 ± 16.40 | 66.02 ± 21.03 | |
| Feed efficiency (FE) | 1.79 ± 0.45 | 1.90 ± 0.60 | 2.08 ± 0.71 | 1.70 ± 0.53 | |
| Gestation period | Total food intake (g) | 152.61 ± 14.17 | 128.42 ± 5.18 * | 125.71 ± 20.26 ** | 126.50 ± 9.97 ** |
| Feed conversion ratio (FCR) | 4.45 ± 0.60 | 3.73 ± 0.67 | 3.64 ± 0.95 | 3.62 ± 0.39 | |
| Feed efficiency (FE) | 22.83 ± 3.04 | 27.48 ± 4.53 | 28.82 ± 6.24 | 27.94 ± 3.28 | |
| Lactation period | Total food intake (g) | 267.33 ± 17.53 | 251.40 ± 13.77 | 263.90 ± 9.39 | 263.64 ± 12.54 |
| Feed conversion ratio (FCR) | −49.44 ± 19.34 | −45.18 ± 24.34 | −51.11 ± 20.55 | −40.91 ± 15.88 | |
| Feed efficiency (FE) | −2.39 ± 1.25 | −2.73 ± 1.20 | −2.25 ± 0.87 | −2.78 ± 1.11 | |
| F1 male | |||||
| Premating period | Total food intake (g) | 366.68 ± 32.19 | 335.57 ± 82.30 | 395.77 ± 68.38 | 345.37 ± 56.39 |
| Feed conversion ratio (FCR) | 25.24 ± 6.28 | 20.08 ± 7.05 | 22.09 ± 6.89 | 20.11 ± 5.80 | |
| Feed efficiency (FE) | 4.24 ± 1.21 | 5.55 ± 1.87 | 4.92 ± 1.37 | 5.38 ± 1.53 | |
| F1 female | |||||
| Premating period | Total food intake (g) | 329.19 ± 31.38 | 303.66 ± 34.86 | 307.60 ± 26.92 | 367.13 ± 107.49 |
| Feed conversion ratio (FCR) | 44.42 ± 10.78 | 39.29 ± 12.94 | 36.76 ± 12.93 | 40.70 ± 10.97 | |
| Feed efficiency (FE) | 2.35 ± 0.45 | 2.76 ± 0.73 | 3.02 ± 0.95 | 2.64 ± 0.74 | |
| Gestation period | Total food intake (g) | 149.95 ± 20.42 | 147.38 ± 19.02 | 153.15 ± 19.67 | 149.80 ± 42.42 |
| Feed conversion ratio (FCR) | 4.14 ± 0.83 | 4.17 ± 0.85 | 4.34 ± 0.87 | 4.12 ± 1.06 | |
| Feed efficiency (FE) | 25.42 ± 7.08 | 24.77 ± 4.19 | 24.44 ± 7.79 | 25.49 ± 5.34 | |
| Lactation period | Total food intake (g) | 232.00 ± 51.67 | 198.25 ± 21.01 | 199.25 ± 45.99 | 214.71 ± 29.16 |
| Feed conversion ratio (FCR) | −43.15 ± 18.67 | −44.35 ± 35.10 | −48.31 ± 15.74 | −63.54 ± 30.25 | |
| Feed efficiency (FE) | −2.78 ± 1.29 | −3.61 ± 2.25 | −2.29 ± 0.77 | −1.98 ± 1.04 | |
| Dose (mg PTSO/kg b.w./day) | ||||||||||||
|---|---|---|---|---|---|---|---|---|---|---|---|---|
| F0 | F1 | F2 | ||||||||||
| 0 | 14 | 28 | 55 | 0 | 14 | 28 | 55 | 0 | 14 | 28 | 55 | |
| Non-gravid (%) | 0.00 | 0.00 | 5.00 | 10.00 | 5.00 | 5.00 | 5.00 | 0.00 | ||||
| Gravid (%) | 100.00 | 100.00 | 95.00 | 90.00 | 95.00 | 95.00 | 95.00 | 100.00 | ||||
| Mating index (%) | 100.00 | 100.00 | 100.00 | 90.00 | 100.00 | 95.00 | 95.00 | 100.00 | ||||
| Fertility index (%) | 100.00 | 100.00 | 95.00 | 100.00 | 95.00 | 100.00 | 100.00 | 100.00 | ||||
| Conception index (%) | 100.00 | 100.00 | 100.00 | 100.00 | 100.00 | 100.00 | 100.00 | 100.00 | ||||
| Estrous cycle length (mean days ± SD) | 4.69 ± 0.60 | 5.00 ± 00 | 4.90 ± 0.32 | 4.82 ± 0.40 | 4.79 ± 0.558 | 4.94 ± 0.24 | 4.53 ± 0.62 | 4.61 ± 0.78 | ||||
| Nº of implantation sites (mean ± SD) | 14.33 ± 1.85 | 14.56 ± 3.33 | 15.28 ± 1.96 | 15.11 ± 2.72 | 15.00 ± 1.97 | 14.47 ± 2.61 | 13.80 ± 4.61 | 14.55 ± 5.43 | ||||
| % PIL (mean ± SD) | 12.45 ± 9.80 | 11.08 ± 5.90 | 11.24 ± 8.05 | 12.69 ± 9.46 | 6.45 ± 5.92 | 8.37 ± 7.72 | 8.94 ± 6.85 | 7.61 ± 5.22 | ||||
| LLS (mean ± SD) | 12.00 ± 3.35 | 13.16 ± 2.81 | 12.63 ± 3.17 | 13.80 ± 3.81 | 14.16 ± 1.92 | 13.58 ± 2.50 | 12.84 ± 4.09 | 14.53 ± 2.58 | ||||
| % LBI (mean ± SD) | 0.00 ± 0.00 | 0.00 ± 0.00 | 0.00 ± 0.00 | 0.00 ± 0.00 | 0.00 ± 0.00 | 0.00 ± 0.00 | 0.00 ± 0.00 | 1.56 ± 6.99 | ||||
| % SBI (mean ± SD) | 100.00 ± 0.00 | 100.00 ± 0.00 | 100.00 ± 0.00 | 100.00 ± 0.00 | 100.00 ± 0.00 | 100.00 ± 0.00 | 100.00 ± 0.00 | 98.44 ± 6.99 | ||||
| Recovered Sperm (106 Sperm/mL) | Total Motility (%) | Progressive Motility (%) | |
|---|---|---|---|
| F0–Control | 13.61 ± 0.96 | 74.82 ± 3.27 | 43.34 ± 4.14 |
| F0—14 mg/kg b.w./day | 14.02 ± 1.36 | 61.36 ± 3.36 | 32.51 ± 3.41 |
| F0—28 mg/kg b.w./day | 13.84 ± 1.08 | 59.24 ± 3.24 * | 27.05 ± 1.28 * |
| F0—55 mg/kg b.w./day | 13.41 ± 0.85 | 66.88 ± 3.10 * | 30.07 ± 1.80 * |
| p value | p = 0.980 | p = 0.008 | p = 0.002 |
| F1–Control | 9.81 ± 0.66 | 58.55 ± 4.38 | 33.39 ± 3.87 |
| F1–55 mg/kg b.w./day | 10.46 ± 0.84 | 55.70 ± 2.89 | 32.40 ± 3.20 |
| p-value | p = 0.552 | p = 0.593 | p = 0.846 |
| VCL (µm/s) | VAP (µm/s) | VSL (µm/s) | STR (%) | LIN (%) | ALH (µm) | BCF (Hz) | |
|---|---|---|---|---|---|---|---|
| F0–Control | 150.83 ± 12.57 | 67.45 ± 6.01 | 50.11 ± 4.90 | 60.94 ± 1.32 | 27.10 ± 0.90 | 4.96 ± 0.35 | 15.98 ± 0.33 |
| F0—14 mg/kg b.w./day | 137.09 ± 9.44 | 61.28 ± 4.53 | 43.66 ± 3.83 | 58.56 ± 1.50 | 26.00 ± 0.93 | 4.65 ± 0.26 | 14.92 ± 0.43 |
| F0—28 mg/kg b.w./day | 111.62 ± 6.24 * | 48.93 ± 3.37 * | 35.21 ± 3.17 * | 57.28 ± 2.22 | 25.30 ± 1.72 | 3.93 ± 0.19 * | 15.38 ± 0.23 |
| F0—55 mg/kg b.w./day | 118.43 ± 6.05 | 50.67 ±2.75 * | 35.53 ± 2.17 * | 56.15 ± 1.06 | 23.35 ± 0.64 | 4.12 ± 0.18 | 15.00 ± 0.28 |
| p–value | p = 0.016 | p = 0.013 | p = 0.018 | p = 0.186 | p = 0.135 | p = 0.023 | p = 0.109 |
| F1–Control | 143.83 ± 8.46 | 67.11 ± 4.02 | 46.74 ± 3.74 | 58.83 ± 1.53 | 26.17 ± 0.91 | 4.76 ± 0.22 | 15.74 ± 0.42 |
| F1–55 mg/kg b.w./day | 151.96 ± 12.51 | 70.03 ± 5.62 | 50.93 ± 4.41 | 60.34 ± 1.87 | 28.38 ± 1.13 | 5.08 ± 0.36 | 15.88 ± 0.40 |
| p-value | p = 0.597 | p = 0.402 | p = 0.477 | p = 0.526 | p = 0.144 | p = 0.457 | p = 0.811 |
| Normal Forms | Ab. Head | Ab. Midpiece | Ab. Tail | |
|---|---|---|---|---|
| F0—Control | 66.99 ± 1.49 | 1.75 ± 0.36 | 16.04 ± 1.93 | 15.22 ± 1.75 |
| F0—14 mg/kg b.w./day | 66.08 ± 0.89 | 1.51 ± 0.21 | 16.44 ± 1.14 | 15.97 ± 1.02 |
| F0—28 mg/kg b.w./day | 60.19 ± 1.39 *# | 2.15 ± 0.50 | 19.03 ± 1.38 | 19.64 ± 1.57 |
| F0—55 mg/kg b.w./day | 58.62 ± 1.77 *# | 2.34 ±0.43 | 15.26 ± 1.32 | 23.78 ± 1.18 *# |
| p-value | p < 0.001 | p = 0.483 | p = 0.315 | p < 0.001 |
| F1–Control | 64.51 ± 1.67 | 3.13 ± 0.39 | 18.50 ± 1.78 | 13.86 ± 2.12 |
| F1–55 mg/kg b.w./day | 64.74 ± 1.67 | 3.05 ± 0.81 | 21.65 ± 2.03 | 10.56 ± 1.47 |
| p-value | p = 0.924 | p = 0.933 | p = 0.258 | p = 0.218 |
| Absolute Organ Weight Data Summary of Parental F0 Mice | |||||||||||
|---|---|---|---|---|---|---|---|---|---|---|---|
| Parameters | Male | Parameters | Female | ||||||||
| 0 | 14 | 28 | 55 | 0 | 14 | 28 | 55 | ||||
| N = 20 | N = 20 | N = 20 | N = 20 | N = 20 | N = 20 | N = 20 | N = 20 | ||||
| B | MEAN | 0.494 | 0.495 | 0.501 | 0.493 | B | MEAN | 0.485 | 0.505 | 0.496 | 0.501 |
| SD | 0.027 | 0.043 | 0.033 | 0.024 | SD | 0.078 | 0.025 | 0.023 | 0.028 | ||
| L | MEAN | 2.439 | 2.582 | 2.279 | 2.293 | L | MEAN | 2.288 | 2.230 | 2.383 | 2.277 |
| SD | 0.264 | 1.016 | 0.716 | 0.546 | SD | 0.362 | 0.391 | 0.593 | 0.341 | ||
| LK | MEAN | 0.385 | 0.346 | 0.353 | 0.399 | LK | MEAN | 0.232 | 0.245 | 0.246 | 0.247 |
| SD | 0.050 | 0.024 | 0.070 | 0.057 | SD | 0.024 | 0.063 | 0.043 | 0.027 | ||
| RK | MEAN | 0.393 | 0.419 | 0.446 | 0.402 | RK | MEAN | 0.239 | 0.231 | 0.249 | 0.247 |
| SD | 0.065 | 0.054 | 0.070 | 0.052 | SD | 0.024 | 0.020 | 0.030 | 0.027 | ||
| S | MEAN | 0.115 | 0.111 | 0.105 | 0.118 | S | MEAN | 0.151 | 0.168 | 0.153 | 0.143 |
| SD | 0.025 | 0.030 | 0.029 | 0.012 | SD | 0.031 | 0.038 | 0.051 | 0.023 | ||
| LA | MEAN | 0.007 | 0.006 | 0.006 | 0.006 | LA | MEAN | 0.008 | 0.007 | 0.008 | 0.008 |
| SD | 0.002 | 0.002 | 0.002 | 0.002 | SD | 0.002 | 0.002 | 0.002 | 0.004 | ||
| RA | MEAN | 0.005 | 0.005 | 0.005 | 0.006 | RA | MEAN | 0.007 | 0.008 | 0.007 | 0.008 |
| SD | 0.001 | 0.001 | 0.002 | 0.002 | SD | 0.002 | 0.002 | 0.003 | 0.003 | ||
| P | MEAN | 0.030 | 0.035 | 0.033 | 0.035 | ||||||
| SD | 0.009 | 0.010 | 0.010 | 0.013 | |||||||
| SV | MEAN | 0.575 | 0.604 | 0.595 | 0.582 | ||||||
| SD | 0.162 | 0.122 | 0.130 | 0.118 | |||||||
| Absolute Organ Weight Data Summary of Parental F1 Mice | |||||||||||
|---|---|---|---|---|---|---|---|---|---|---|---|
| Parameters | Male | Parameters | Female | ||||||||
| 0 | 14 | 28 | 55 | 0 | 14 | 28 | 55 | ||||
| N = 20 | N = 20 | N = 20 | N = 20 | N = 20 | N = 20 | N = 20 | N = 20 | ||||
| B | MEAN | 0.491 | 0.476 | 0.489 | 0.500 | B | MEAN | 0.505 | 0.484 | 0.498 | 0.489 |
| SD | 0.026 | 0.030 | 0.026 | 0.029 | SD | 0.028 | 0.030 | 0.028 | 0.026 | ||
| L | MEAN | 2.431 | 2.600 | 2.592 | 2.469 | L | MEAN | 2.271 | 2.106 | 2.243 | 2.366 |
| SD | 0.340 | 0.531 | 0.456 | 0.478 | SD | 0.489 | 0.288 | 0.349 | 0.453 | ||
| LK | MEAN | 0.413 | 0.355 | 0.383 | 0.351 | LK | MEAN | 0.255 | 0.229 | 0.254 | 0.253 |
| SD | 0.099 | 0.051 | 0.051 | 0.059 | SD | 0.062 | 0.023 | 0.035 | 0.035 | ||
| RK | MEAN | 0.386 | 0.359 | 0.397 | 0.357 | RK | MEAN | 0.238 | 0.228 | 0.251 | 0.253 |
| SD | 0.061 | 0.062 | 0.065 | 0.044 | SD | 0.034 | 0.022 | 0.034 | 0.040 | ||
| S | MEAN | 0.116 | 0.125 | 0.119 | 0.131 | S | MEAN | 0.150 | 0.147 | 0.154 | 0.150 |
| SD | 0.025 | 0.034 | 0.040 | 0.030 | SD | 0.041 | 0.050 | 0.054 | 0.042 | ||
| LA | MEAN | 0.008 | 0.006 | 0.008 | 0.009 | LA | MEAN | 0.008 | 0.007 | 0.009 | 0.008 |
| SD | 0.005 | 0.003 | 0.004 | 0.005 | SD | 0.004 | 0.003 | 0.003 | 0.004 | ||
| RA | MEAN | 0.008 | 0.006 | 0.007 | 0.007 | RA | MEAN | 0.007 | 0.009 | 0.009 | 0.009 |
| SD | 0.004 | 0.002 | 0.003 | 0.004 | SD | 0.002 | 0.006 | 0.003 | 0.004 | ||
| LT | MEAN | 0.134 | 0.136 | 0.142 | 0.141 | U | MEAN | 0.233 | 0.197 | 0.194 | 0.208 |
| SD | 0.020 | 0.035 | 0.028 | 0.017 | SD | 0.096 | 0.067 | 0.054 | 0.069 | ||
| RT | MEAN | 0.132 | 0.139 | 0.147 | 0.140 | LO | MEAN | 0.024 | 0.032 | 0.023 | 0.025 |
| SD | 0.024 | 0.031 | 0.022 | 0.017 | SD | 0.007 | 0.016 | 0.005 | 0.009 | ||
| LE | MEAN | 0.063 | 0.060 | 0.074 | 0.077 | RO | MEAN | 0.022 | 0.026 | 0.028 | 0.028 |
| SD | 0.016 | 0.019 | 0.032 | 0.029 | SD | 0.007 | 0.013 | 0.015 | 0.010 | ||
| RE | MEAN | 0.061 | 0.062 | 0.074 | 0.067 | ||||||
| SD | 0.014 | 0.019 | 0.030 | 0.024 | |||||||
| P | MEAN | 0.050 | 0.053 | 0.052 | 0.051 | ||||||
| SD | 0.023 | 0.021 | 0.020 | 0.023 | |||||||
| SV | MEAN | 0.473 | 0.516 | 0.527 | 0.476 | ||||||
| SD | 0.074 | 0.100 | 0.095 | 0.099 | |||||||
| Absolute Organ Weight Data Summary of Offspring F1 Mice | |||||||||||
|---|---|---|---|---|---|---|---|---|---|---|---|
| Parameters | Male | Parameters | Female | ||||||||
| 0 | 14 | 28 | 55 | 0 | 14 | 28 | 55 | ||||
| N = 22 | N = 20 | N = 22 | N = 22 | N = 22 | N = 21 | N = 21 | N = 22 | ||||
| BW | MEAN | 19.020 | 18.422 | 18.849 | 18.215 | BW | MEAN | 15.880 | 16.141 | 15.136 | 15.127 |
| SD | 4.663 | 4.314 | 3.364 | 3.524 | SD | 4.099 | 3.953 | 3.360 | 3.032 | ||
| B | MEAN | 0.434 | 0.435 | 0.437 | 0.426 | B | MEAN | 0.423 | 0.416 | 0.417 | 0.418 |
| SD | 0.026 | 0.027 | 0.032 | 0.036 | SD | 0.044 | 0.042 | 0.040 | 0.032 | ||
| S | MEAN | 0.118 | 0.117 | 0.119 | 0.123 | S | MEAN | 0.101 | 0.105 | 0.104 | 0.104 |
| SD | 0.044 | 0.033 | 0.030 | 0.026 | SD | 0.039 | 0.032 | 0.030 | 0.032 | ||
| T | MEAN | 0.100 | 0.093 | 0.087 | 0.086 | T | MEAN | 0.092 | 0.090 | 0.089 | 0.079 |
| SD | 0.032 | 0.025 | 0.023 | 0.030 | SD | 0.029 | 0.028 | 0.021 | 0.029 | ||
| Absolute Organ Weight Data Summary of Offspring F2 Mice | |||||||||||
| Parameters | Male | Parameters | Female | ||||||||
| 0 | 14 | 28 | 55 | 0 | 14 | 28 | 55 | ||||
| N = 20 | N = 20 | N = 22 | N = 21 | N = 21 | N = 20 | N = 22 | N = 21 | ||||
| BW | MEAN | 30.289 | 30.547 | 28.221 | 27.178 | BW | MEAN | 25.771 | 25.779 | 24.113 | 24.206 |
| SD | 3.084 | 2.338 | 5.081 | 2.397 | SD | 2.494 | 3.11 | 2.154 | 2.483 | ||
| B | MEAN | 0.435 | 0.442 | 0.440 | 0.430 | B | MEAN | 0.435 | 0.411 | 0.442 | 0.416 |
| SD | 0.037 | 0.020 | 0.035 | 0.020 | SD | 0.033 | 0.051 | 0.030 | 0.016 | ||
| S | MEAN | 0.110 | 0.114 | 0.113 | 0.110 | S | MEAN | 0.139 | 0.140 | 0.133 | 0.119 |
| SD | 0.009 | 0.023 | 0.016 | 0.011 | SD | 0.031 | 0.041 | 0.030 | 0.020 | ||
| T | MEAN | 0.084 | 0.069 | 0.089 | 0.068 | T | MEAN | 0.091 | 0.080 | 0.094 | 0.084 |
| SD | 0.081 | 0.015 | 0.025 | 0.018 | SD | 0.013 | 0.019 | 0.029 | 0.021 | ||
Disclaimer/Publisher’s Note: The statements, opinions and data contained in all publications are solely those of the individual author(s) and contributor(s) and not of MDPI and/or the editor(s). MDPI and/or the editor(s) disclaim responsibility for any injury to people or property resulting from any ideas, methods, instructions or products referred to in the content. |
© 2024 by the authors. Licensee MDPI, Basel, Switzerland. This article is an open access article distributed under the terms and conditions of the Creative Commons Attribution (CC BY) license (https://creativecommons.org/licenses/by/4.0/).
Share and Cite
Cascajosa-Lira, A.; Guzmán-Guillén, R.; Pichardo, S.; Baños, A.; de la Torre, J.M.; Ayala-Soldado, N.; Moyano-Salvago, M.R.; Ortiz-Jaraba, I.; Cameán, A.M.; Jos, A. Two-Generation Toxicity Study of the Antioxidant Compound Propyl-Propane Thiosulfonate (PTSO). Antioxidants 2024, 13, 350. https://doi.org/10.3390/antiox13030350
Cascajosa-Lira A, Guzmán-Guillén R, Pichardo S, Baños A, de la Torre JM, Ayala-Soldado N, Moyano-Salvago MR, Ortiz-Jaraba I, Cameán AM, Jos A. Two-Generation Toxicity Study of the Antioxidant Compound Propyl-Propane Thiosulfonate (PTSO). Antioxidants. 2024; 13(3):350. https://doi.org/10.3390/antiox13030350
Chicago/Turabian StyleCascajosa-Lira, Antonio, Remedios Guzmán-Guillén, Silvia Pichardo, Alberto Baños, Jose M. de la Torre, Nahum Ayala-Soldado, M. Rosario Moyano-Salvago, Isabel Ortiz-Jaraba, Ana M. Cameán, and Angeles Jos. 2024. "Two-Generation Toxicity Study of the Antioxidant Compound Propyl-Propane Thiosulfonate (PTSO)" Antioxidants 13, no. 3: 350. https://doi.org/10.3390/antiox13030350
APA StyleCascajosa-Lira, A., Guzmán-Guillén, R., Pichardo, S., Baños, A., de la Torre, J. M., Ayala-Soldado, N., Moyano-Salvago, M. R., Ortiz-Jaraba, I., Cameán, A. M., & Jos, A. (2024). Two-Generation Toxicity Study of the Antioxidant Compound Propyl-Propane Thiosulfonate (PTSO). Antioxidants, 13(3), 350. https://doi.org/10.3390/antiox13030350

