Neutrino Oscillations and Lorentz Invariance Violation
Abstract
1. Introduction
2. LIV Models
2.1. Very Special Relativity
- for scalars,
 - or for left or right Weyl spinors,
 - for four-vectors,
 - for traceless symmetric tensors,
 - a direct sum of and for antisymmetric tensors.
 
2.2. Standard Model Extension
2.3. Doubly Special Relativity
2.4. HMSR—Homogeneously Modified Special Relativity
3. LIV and Neutrino Oscillations
3.1. Hamiltonian Approach
3.2. LIV and Neutrino Masses
3.3. HMSR and Neutrino Oscillations
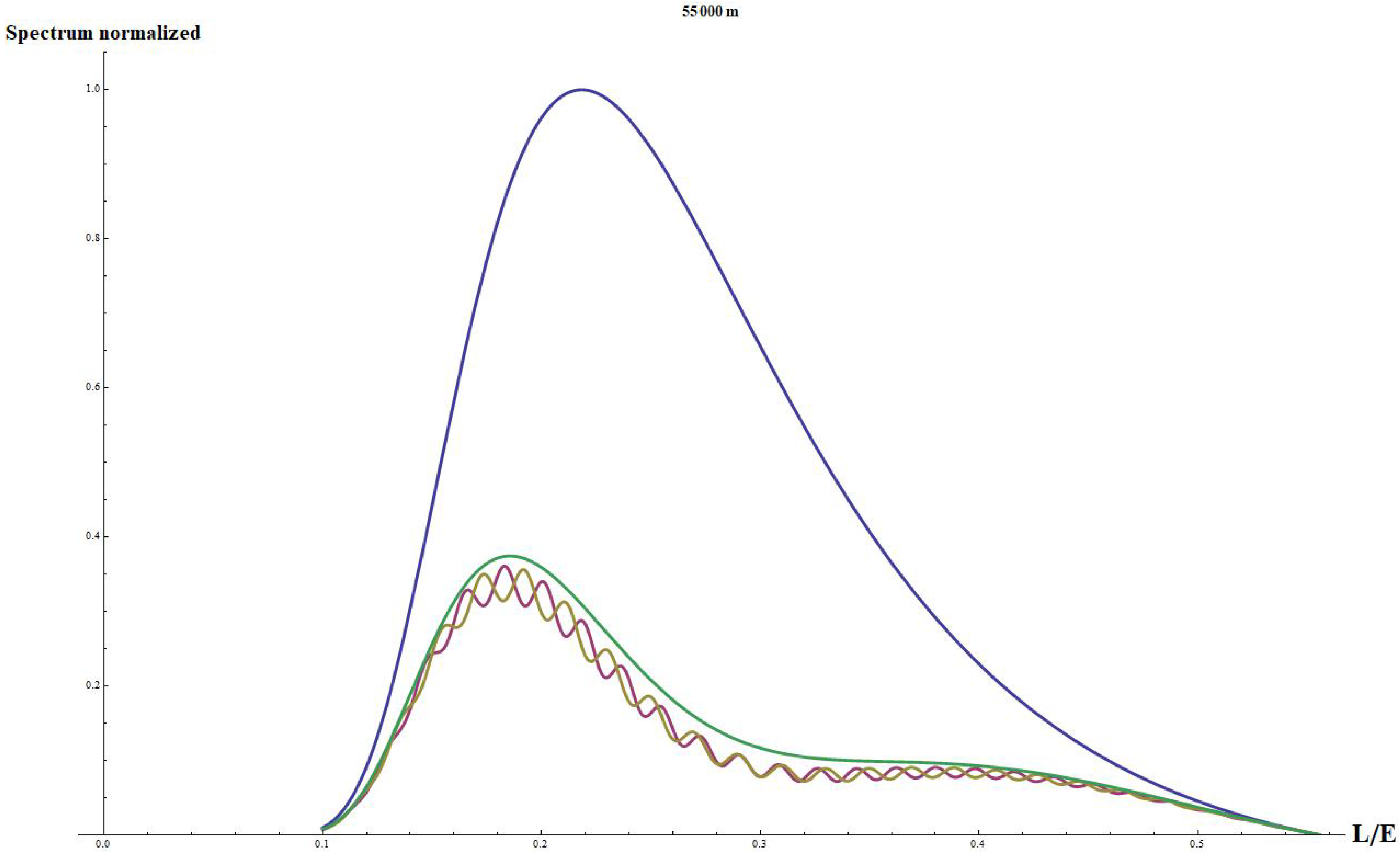
3.4. HMSR and Neutrino Oscillations Phenomenology
4. LIV and Mass Hierarchy
5. Conclusions
Funding
Acknowledgments
Conflicts of Interest
References
- McDonald, A.B. Nobel Lecture: The Sudbury Neutrino Observatory: Observation of flavor change for solar neutrinos. Rev. Mod. Phys. 2016, 88, 030502. [Google Scholar] [CrossRef]
 - Davis, R. Nobel Lecture: A half-century with solar neutrinos. Rev. Mod. Phys. 2003, 75, 985. [Google Scholar] [CrossRef]
 - Bellini, G.; et al.; [Borexino Collaboration] Final results of Borexino Phase-I on low energy solar neutrino spectroscopy. Phys. Rev. D 2014, 89, 112007. [Google Scholar] [CrossRef]
 - Bellini, G.; et al.; [BOREXINO Collaboration] Neutrinos from the primary proton?proton fusion process in the Sun. Nature 2014, 512, 383. [Google Scholar]
 - Antonelli, V.; Miramonti, L.; Pena Garay, C.; Serenelli, A. Solar Neutrinos. Adv. High Energy Phys. 2013, 2013, 351926. [Google Scholar] [CrossRef]
 - Bergstrom, J.; Gonzalez-Garcia, M.C.; Maltoni, M.; Pena-Garay, C.; Serenelli, A.M.; Song, N. Updated determination of the solar neutrino fluxes from solar neutrino data. J. High Energy Phys. 2016, 1603, 132. [Google Scholar] [CrossRef]
 - Vissani, F. Joint analysis of Borexino and SNO solar neutrino data and reconstruction of the survival probability. arXiv preprint 2017, arXiv:1709.05813. [Google Scholar] [CrossRef]
 - Kajita, T. Nobel Lecture: Discovery of atmospheric neutrino oscillations. Rev. Mod. Phys. 2016, 88, 030501. [Google Scholar] [CrossRef]
 - An, F.P.; et al.; [Daya Bay Collaboration] Observation of electron-antineutrino disappearance at Daya Bay. Phys. Rev. Lett. 2012, 108, 171803. [Google Scholar] [CrossRef]
 - An, F.P.; et al.; [Daya Bay Collaboration] New Measurement of Antineutrino Oscillation with the Full Detector Configuration at Daya Bay. Phys. Rev. Lett. 2015, 115, 111802. [Google Scholar] [CrossRef]
 - Ahn, J.K.; et al.; [RENO Collaboration] Observation of Reactor Electron Antineutrino Disappearance in the RENO Experiment. Phys. Rev. Lett. 2012, 108, 191802. [Google Scholar] [CrossRef] [PubMed]
 - Pac, M.Y.; [RENO Collaboration]. Recent Results from RENO. arXiv 2018, arXiv:1801.04049. [Google Scholar]
 - Abe, Y.; et al.; [Double Chooz Collaboration] Indication of Reactor Disappearance in the Double Chooz Experiment. Phys. Rev. Lett. 2012, 108, 131801. [Google Scholar] [CrossRef] [PubMed]
 - Schoppmann, S.; [Double Chooz Collaboration]. Latest results of Double Chooz. Available online: http://inspirehep.net/record/1510997/ (accessed on 25 February 2020).
 - Eguchi, K.; et al.; [KamLAND Collaboration] First results from KamLAND: Evidence for reactor anti-neutrino disappearance. Phys. Rev. Lett. 2003, 90, 021802. [Google Scholar] [CrossRef] [PubMed]
 - Decowski, M.P.; [KamLAND Collaboration]. KamLAND’s precision neutrino oscillation measurements. Nucl. Phys. B 2016, 908, 52. [Google Scholar] [CrossRef]
 - Kudenko, Y.G. A study of neutrino oscillations in long baseline accelerator experiments. Usp. Fiz. Nauk 2011, 181, 569. [Google Scholar] [CrossRef]
 - Ahn, M.H.; et al.; [K2K Collaboration] Measurement of Neutrino Oscillation by the K2K Experiment. Phys. Rev. D 2006, 74, 072003. [Google Scholar] [CrossRef]
 - Adamson, P.; et al.; [MINOS Collaboration] Improved search for muon-neutrino to electron-neutrino oscillations in MINOS. Phys. Rev. Lett. 2011, 107, 181802. [Google Scholar] [CrossRef]
 - Agafonova, N.; et al.; [OPERA Collaboration] Search for νμ→νe oscillations with the OPERA experiment in the CNGS beam. J. High Energy Phys. 2013, 1307, 004. [Google Scholar] [CrossRef]
 - Abe, K.; et al.; [T2K Collaboration] Measurements of neutrino oscillation in appearance and disappearance channels by the T2K experiment with 6.6 × 1020 protons on target. Phys. Rev. D 2015, 91, 072010. [Google Scholar] [CrossRef]
 - Adamson, P.; et al.; [NOvA Collaboration] First measurement of electron neutrino appearance in NOvA. Phys. Rev. Lett. 2016, 116, 151806. [Google Scholar] [CrossRef] [PubMed]
 - Athanassopoulos, C.; et al.; [LSND Collaboration] Evidence for anti-muon-neutrino —> anti-electron-neutrino oscillations from the LSND experiment at LAMPF. Phys. Rev. Lett. 1996, 77, 3082. [Google Scholar] [CrossRef]
 - Athanassopoulos, C.; et al.; [LSND Collaboration] Evidence for nu(mu) —> nu(e) neutrino oscillations from LSND. Phys. Rev. Lett. 1998, 81, 1774. [Google Scholar] [CrossRef]
 - Aguilar-Arevalo, A.A.; et al.; [MiniBooNE Collaboration] A Combined νμ→νe and Oscillation Analysis of the MiniBooNE Excesses. arXiv 2012, arXiv:1207.4809. [Google Scholar]
 - Aguilar-Arevalo, A.A.; et al.; [MiniBooNE Collaboration] Improved Search for Oscillations in the MiniBooNE Experiment. Phys. Rev. Lett. 2013, 110, 161801. [Google Scholar] [CrossRef] [PubMed]
 - Coleman, S.R.; Glashow, S.L. High-energy tests of Lorentz invariance. Phys. Rev. D 1999, 59, 116008. [Google Scholar] [CrossRef]
 - Cohen, A.G.; Glashow, S.L. A Lorentz-Violating Origin of Neutrino Mass? arXiv 2006, arXiv:hep-ph/0605036. [Google Scholar]
 - Colladay, D.; Kostelecký, V.A. Lorentz violating extension of the standard model. Phys. Rev. D 1998, 58, 116002. [Google Scholar] [CrossRef]
 - Kostelecký, V.A. Gravity, Lorentz violation, and the standard model. Phys. Rev. D 2004, 69, 105009. [Google Scholar] [CrossRef]
 - Kostelecký, V.A. CPT and Lorentz symmetry. In Proceedings of the Eighth Meeting on CPT and Lorentz Symmetry, Bloomington, IN, USA, 8–11 August 2007. [Google Scholar]
 - Kostelecký, V.A. Proceedings, 6th Meeting on CPT and Lorentz Symmetry (CPT 13): Bloomington, Indiana, USA, 17–21 June 2013. Available online: http://inspirehep.net/record/1377649 (accessed on 6 February 2020).
 - Kostelecký, V.A. Proceedings, 7th Meeting on CPT and Lorentz Symmetry (CPT 16): Bloomington, Indiana, USA, 20–24 June 2016. Available online: http://inspirehep.net/record/1589369 (accessed on 6 February 2020).
 - Myers, R.C.; Pospelov, M. Experimental Challenges for Quantum Gravity. Available online: https://arxiv.org/abs/gr-qc/0402028 (accessed on 25 February 2020).
 - Mattingly, D. Modern tests of Lorentz invariance. Living Rev. Rel. 2005, 8, 5. [Google Scholar] [CrossRef]
 - Kostelecký, V.A.; Mewes, M. Fermions with Lorentz-violating operators of arbitrary dimension. Phys. Rev. D 2013, 88, 096006. [Google Scholar] [CrossRef]
 - Kostelecký, V.A.; Mewes, M. Signals for Lorentz violation in electrodynamics. Phys. Rev. D 2002, 66, 056005. [Google Scholar] [CrossRef]
 - Kostelecký, V.A.; Mewes, M. Neutrinos with Lorentz-violating operators of arbitrary dimension. Phys. Rev. D 2012, 85, 096005. [Google Scholar] [CrossRef]
 - Amelino-Camelia, G. Doubly special relativity. Nature 2002, 418, 34. [Google Scholar] [CrossRef]
 - Amelino-Camelia, G. Doubly special relativity: First results and key open problems. Int. J. Mod. Phys. D 2002, 11, 1643. [Google Scholar] [CrossRef]
 - Amelino-Camelia, G. Relativity in space-times with short distance structure governed by an observer independent (Planckian) length scale. Int. J. Mod. Phys. D 2002, 11, 35. [Google Scholar] [CrossRef]
 - Amelino-Camelia, G. Testable scenario for relativity with minimum length. Phys. Lett. B 2001, 510, 255. [Google Scholar] [CrossRef]
 - Magueijo, J.; Smolin, L. Gravity’s rainbow. Class. Quantum Gravity 2004, 21, 1725. [Google Scholar] [CrossRef]
 - Magueijo, J.; Smolin, L. Lorentz invariance with an invariant energy scale. Phys. Rev. Lett. 2002, 88, 190403. [Google Scholar] [CrossRef]
 - Amelino-Camelia, G.; Freidel, L.; Kowalski-Glikman, J.; Smolin, L. The principle of relative locality. Phys. Rev. D 2011, 84, 084010. [Google Scholar] [CrossRef]
 - Gutierrez-Sagredo, I.; Ballesteros, A.; Gubitosi, G.; Herranz, F.L. Quantum groups, non-commutative Lorentzian spacetimes and curved momentum spaces. arXiv 2019, arXiv:1907.07979. [Google Scholar]
 - Pfeifer, C.; Barcaroli, L.; Brunkhorst, L.K.; Gubitosi, G.; Loret, N. Hamilton geometry: Phase space geometry from modified dispersion relations. In Proceedings of the 4th Marcel Grossmann Meeting on Recent Developments in Theoretical and Experimental General Relativity, Astrophysics, and Relativistic Field Theories (MG14) (In 4 Volumes), Rome, Italy, 12–18 July 2015; pp. 3929–3934. [Google Scholar]
 - Ballesteros, A.; Gubitosi, G.; Gutiérrez-Sagredo, I.; Herranz, F.J. Curved momentum spaces from quantum (anti–)de Sitter groups in (3+1) dimensions. Phys. Rev. D 2018, 97, 106024. [Google Scholar] [CrossRef]
 - Torri, M.D.C.; Antonelli, V.; Miramonti, L. Homogeneously Modified Special relativity (HMSR): A new possible way to introduce an isotropic Lorentz invariance violation in particle standard model. Eur. Phys. J. C 2019, 79, 808. [Google Scholar] [CrossRef]
 - Torri, S.; Bertini, M.D.C.; Giammarchi, M.; Miramonti, L. Lorentz Invariance Violation effects on UHECR propagation: A geometrized approach. J. High Energy Astrophys. 2018, 18, 5. [Google Scholar] [CrossRef]
 - Greenberg, O.W. CPT violation implies violation of Lorentz invariance. Phys. Rev. Lett. 2002, 89, 231602. [Google Scholar] [CrossRef]
 - Chaichian, M.; Dolgov, A.D.; Novikov, V.A.; Tureanu, A. CPT Violation Does Not Lead to Violation of Lorentz Invariance and Vice Versa. Phys. Lett. B 2011, 699, 177. [Google Scholar] [CrossRef]
 - Tureanu, A. CPT and Lorentz Invariance: Their Relation and Violation. J. Phys. Conf. Ser. 2013, 474, 012031. [Google Scholar] [CrossRef]
 - Chaichian, M.; Fujikawa, K.; Tureanu, A. Electromagnetic interaction in theory with Lorentz invariant CPT violation. Phys. Lett. B 2013, 718, 1500. [Google Scholar] [CrossRef]
 - Duetsch, M.; Gracia-Bondia, J.M. On the assertion that PCT violation implies Lorentz non-invariance. Phys. Lett. B 2012, 711, 428. [Google Scholar] [CrossRef]
 - Greenberg, O.W.A. Remarks on a Challenge to the Relation between CPT and Lorentz Violation. arXiv 2011, arXiv:1105.0927. [Google Scholar]
 - Kostelecký, V.A. Riemann-Finsler geometry and Lorentz-violating kinematics. Phys. Lett. B 2011, 701, 137. [Google Scholar] [CrossRef]
 - Girelli, F.; Liberati, S.; Sindoni, L. Planck-scale modified dispersion relations and Finsler geometry. Phys. Rev. D 2007, 75, 064015. [Google Scholar] [CrossRef]
 - Edwards, B.R.; Kostelecký, V.A. Riemann–Finsler geometry and Lorentz-violating scalar fields. Phys. Lett. B 2018, 786, 319. [Google Scholar] [CrossRef]
 - Lämmerzahl, C.; Perlick, V. Finsler geometry as a model for relativistic gravity. Int. J. Geom. Meth. Mod. Phys. 2018, 15, 1850166. [Google Scholar]
 - Bubuianu, L.; Vacaru, S.I. Axiomatic formulations of modied gravity theories with nonlinear dispersion relations and Finsler Lagrange Hamilton geometry. Eur. Phys. J. C 2018, 78, 969. [Google Scholar] [CrossRef]
 - Schreck, M. Classical Lagrangians and Finsler structures for the nonminimal fermion sector of the Standard-Model Extension. Phys. Rev. D 2016, 93, 105017. [Google Scholar] [CrossRef]
 - Kowalski-Glikman, J. Living in Curved Momentum Space. Int. J. Mod. Phys. A 2013, 28, 1330014. [Google Scholar] [CrossRef]
 - Diaz, J.S.; Kostelecký, V.A.; Mewes, M. Testing Relativity with High-Energy Astrophysical Neutrinos. Phys. Rev. D 2014, 89, 043005. [Google Scholar] [CrossRef]
 - Diaz, J.S.; Kostelecký, V.A. Lorentz- and CPT-violating models for neutrino oscillations. Phys. Rev. D 2012, 85, 016013. [Google Scholar] [CrossRef]
 - Diaz, J.S.; Kostelecký, V.A.; Mewes, M. Perturbative Lorentz and CPT violation for neutrino and antineutrino oscillations. Phys. Rev. D 2009, 80, 076007. [Google Scholar] [CrossRef]
 - Diaz, J.S. Correspondence between nonstandard interactions and CPT violation in neutrino oscillations. arXiv 2015, arXiv:1506.01936. [Google Scholar]
 - Abe, K.; et al.; [Super-Kamiokande Collaboration] Test of Lorentz invariance with atmospheric neutrinos. Phys. Rev. D 2015, 91, 052003. [Google Scholar] [CrossRef]
 - Argüelles, C.A.; Katori, T.; Salvado, J. New Physics in Astrophysical Neutrino Flavor. Phys. Rev. Lett. 2015, 115, 161303. [Google Scholar] [CrossRef] [PubMed]
 - Lai, K.H.; Lai, W.H.; Lin, G.L. Constraining the mass scale of a Lorentz-violating Hamiltonian with the measurement of astrophysical neutrino-flavor composition. Phys. Rev. Lett. 2017, 96, 115026. [Google Scholar] [CrossRef]
 - Arias, P.; Gamboa, J.; Lopez-Sarrion, J.; Mendez, F.; Das, A.K. CPT/Lorentz invariance violation and neutrino oscillation. Phys. Lett. B 2007, 650, 401. [Google Scholar] [CrossRef]
 - Diaz, J.S.; Kostelecký, V.A. Three-parameter Lorentz-violating texture for neutrino mixing. Phys. Lett. B 2011, 700, 25. [Google Scholar] [CrossRef]
 - Antonelli, V.; Miramonti, L.; Torri, M.D.C. Neutrino oscillations and Lorentz Invariance Violation in a Finslerian Geometrical model. Eur. Phys. J. C 2018, 78, 667. [Google Scholar] [CrossRef]
 - Maccione, L.; Liberati, S.; Mattingly, D. Violations of Lorentz invariance in the neutrino sector: An improved analysis of anomalous threshold constrains. J. Cosmol. Astropart. Phys. 2013, 03, 039. [Google Scholar] [CrossRef]
 - Capozzi, F.; Di Valentino, E.; Lisi, E.; Marrone, A.; Melchiorri, A.; Palazzo, A. Global constraints on absolute neutrino masses and their ordering. Phys. Rev. D 2017, 95, 096014. [Google Scholar] [CrossRef]
 - De Salas, P.F.; Forero, D.V.; Ternes, C.A.; Tortola, M.; Valle, J.W.F. Status of neutrino oscillations 2017. arXiv 2017, arXiv:1708.01186. [Google Scholar]
 - Ageron, M.; et al.; [ANTARES Collaboration] ANTARES: The first undersea neutrino telescope. Nucl. Instrum. Meth. A 2011, 656, 11. [Google Scholar] [CrossRef]
 - Adrian-Martinez, S.; et al.; [KM3Net Collaboration] Letter of intent for KM3NeT 2.0. J. Phys. G 2016, 43, 084001. [Google Scholar] [CrossRef]
 - Aartsen, M.G.; et al.; [IceCube Collaboration] Observation of High-Energy Astrophysical Neutrinos in Three Years of IceCube Data. Phys. Rev. Lett. 2014, 113, 101101. [Google Scholar] [CrossRef] [PubMed]
 - Aab, A.; et al.; [Pierre Auger Collaboration] Improved limit to the diffuse flux of ultrahigh energy neutrinos from the Pierre Auger Observatory. Phys. Rev. D 2015, 91, 092008. [Google Scholar] [CrossRef]
 - Zas, E.; [Pierre Auger Collaboration]. Searches for Neutrino Fluxes in the EeV Regime with the Pierre Auger Observatory: UHE Neutrinos at Auger. Available online: http://inspirehep.net/record/1618420/ (accessed on 25 February 2020).
 - Kostelecký, V.A.; Russell, N. Data Tables for Lorentz and CPT Violation. Rev. Mod. Phys. 2011, 83, 11. [Google Scholar] [CrossRef]
 - Wendell, R.; [Super-Kamiokande Collaboration]. Atmospheric Results from Super-Kamiokande. AIP Conf. Proc. 2015, 1666, 100001. [Google Scholar]
 - Aartsen, M.G.; et al.; [IceCube Collaboration] Neutrino Interferometry for High-Precision Tests of Lorentz Symmetry with IceCube. Nat. Phys. 2018, 14, 961. [Google Scholar]
 - Abbasi, R.; et al.; [IceCube Collaboration] Search for a Lorentz-violating sidereal signal with atmospheric neutrinos in IceCube. Phys. Rev. D 2010, 82, 112003. [Google Scholar] [CrossRef]
 - Adey, D.; et al.; [Daya Bay Collaboration] Search for a time-varying electron antineutrino signal at Daya Bay. Phys. Rev. D 2018, 98, 092013. [Google Scholar] [CrossRef]
 - Adamson, P.; et al.; [MINOS Collaboration] Search for Lorentz invariance and CPT violation with muon antineutrinos in the MINOS Near Detector. Phys. Rev. D 2012, 85, 031101. [Google Scholar] [CrossRef]
 - Adamson, P.; et al.; [MINOS Collaboration] A Search for Lorentz Invariance and CPT Violation with the MINOS Far Detector. Phys. Rev. Lett. 2010, 105, 151601. [Google Scholar] [CrossRef] [PubMed]
 - Adamson, P.; et al.; [MINOS Collaboration] Testing Lorentz Invariance and CPT Conservation with NuMI Neutrinos in the MINOS Near Detector. Phys. Rev. Lett. 2008, 101, 151601. [Google Scholar] [CrossRef] [PubMed]
 - Aharmim, B.; et al.; [SNO Collaboration] Tests of Lorentz invariance at the Sudbury Neutrino Observatory. Phys. Rev. D 2018, 98, 112013. [Google Scholar] [CrossRef]
 - Katori, T.; Spitz, J. Testing Lorentz Symmetry with the Double Chooz Experiment. Available online: https://arxiv.org/abs/1307.5805 (accessed on 6 February 2020).
 - Proceedings of the Magellan Workshop Connecting Neutrino Physics and Astronomy, Deutsches Elektronen-Synchrotron, DESY. 2016. Available online: http://inspirehep.net/record/1500425/files/ (accessed on 6 February 2020).
 - Katori, T.; [MiniBooNE Collaboration]. Test for Lorentz and CPT Violation with the MiniBooNE Low-Energy Excess. Available online: https://arxiv.org/abs/1008.0906 (accessed on 25 February 2020).
 - Katori, T.; [MiniBooNE Collaboration]. Tests of Lorentz and CPT violation with MiniBooNE neutrino oscillation excesses. Mod. Phys. Lett. A 2012, 27, 1230024. [Google Scholar] [CrossRef]
 - Jurkovich, H.; Ferreira, C.P.; Pasquini, P. Shadowing Neutrino Mass Hierarchy with Lorentz Invariance Violation. arXiv 2018, arXiv:1806.08752. [Google Scholar]
 - An, F.; et al.; [JUNO Collaboration] Neutrino Physics with JUNO. J. Phys. G 2016, 43, 030401. [Google Scholar] [CrossRef]
 - Stecker, F.W.; Scully, S.T.; Liberati, S.; Mattingly, D. Searching for Traces of Planck-Scale Physics with High Energy Neutrinos. Phys. Rev. D 2015, 91, 045009. [Google Scholar] [CrossRef]
 - Carmona, J.M.; Cortés, J.L.; Relancio, J.J.; Reyes, M.A. Lorentz Violation Footprints in the Spectrum of High-Energy Cosmic Neutrinos—Deformation of the Spectrum of Superluminal Neutrinos from Electron-Positron Pair Production in Vacuum. Symmetry 2019, 11, 1419. [Google Scholar] [CrossRef]
 - Buoninfante, L.; Luciano, G.G.; Petruzziello, L.; Smaldone, L. Neutrino oscillations in extended theories of gravity. Phys. Rev. D 2020, 101, 024016. [Google Scholar] [CrossRef]
 - Döring, D.; Päs, H. Sterile Neutrino Shortcuts in Asymmetrically Warped Extra Dimensions. Eur. Phys. J. C 2019, 79, 604. [Google Scholar] [CrossRef]
 
| 1 | The idea of a modified vierbein was introduced for example in [30], however, in HMSR a modified vierbein exists even in momentum space and a correspondence between the co-metric in momentum space and the metric in coordinate space is introduced.  | 
| 2 |  are indicated as modified Dirac matrices for brevity, but it is more correct to refer to them as the part of the modified Dirac operator that is contracted with a single four-derivative.  | 








| Experiment | Order of Magnitude of Constrain Posed by the Experiment | Reference | 
|---|---|---|
| SuperKamiokande | [68,83] | |
| IceCube | [84,85] | |
| Daya Bay | [86] | |
| Minos | [87] | |
| Minos FD | [88] | |
| Minos ND | [89] | |
| SNO | [90] | |
| Double Chooz | [91] | |
| T2K | [92] | |
| LSND | [93] | |
| MiniBoone | [94] | 
© 2020 by the author. Licensee MDPI, Basel, Switzerland. This article is an open access article distributed under the terms and conditions of the Creative Commons Attribution (CC BY) license (http://creativecommons.org/licenses/by/4.0/).
Share and Cite
Torri, M.D.C. Neutrino Oscillations and Lorentz Invariance Violation. Universe 2020, 6, 37. https://doi.org/10.3390/universe6030037
Torri MDC. Neutrino Oscillations and Lorentz Invariance Violation. Universe. 2020; 6(3):37. https://doi.org/10.3390/universe6030037
Chicago/Turabian StyleTorri, Marco Danilo Claudio. 2020. "Neutrino Oscillations and Lorentz Invariance Violation" Universe 6, no. 3: 37. https://doi.org/10.3390/universe6030037
APA StyleTorri, M. D. C. (2020). Neutrino Oscillations and Lorentz Invariance Violation. Universe, 6(3), 37. https://doi.org/10.3390/universe6030037
        