Impact of Unsteady Wakes on the Secondary Flows of a High-Speed Low-Pressure Turbine Cascade †
Abstract
:1. Introduction
2. Experimental Apparatus
2.1. SPLEEN Test Case
2.2. The VKI S-1/C High-Speed Linear Cascade
2.3. Experimental Methodology
3. Results
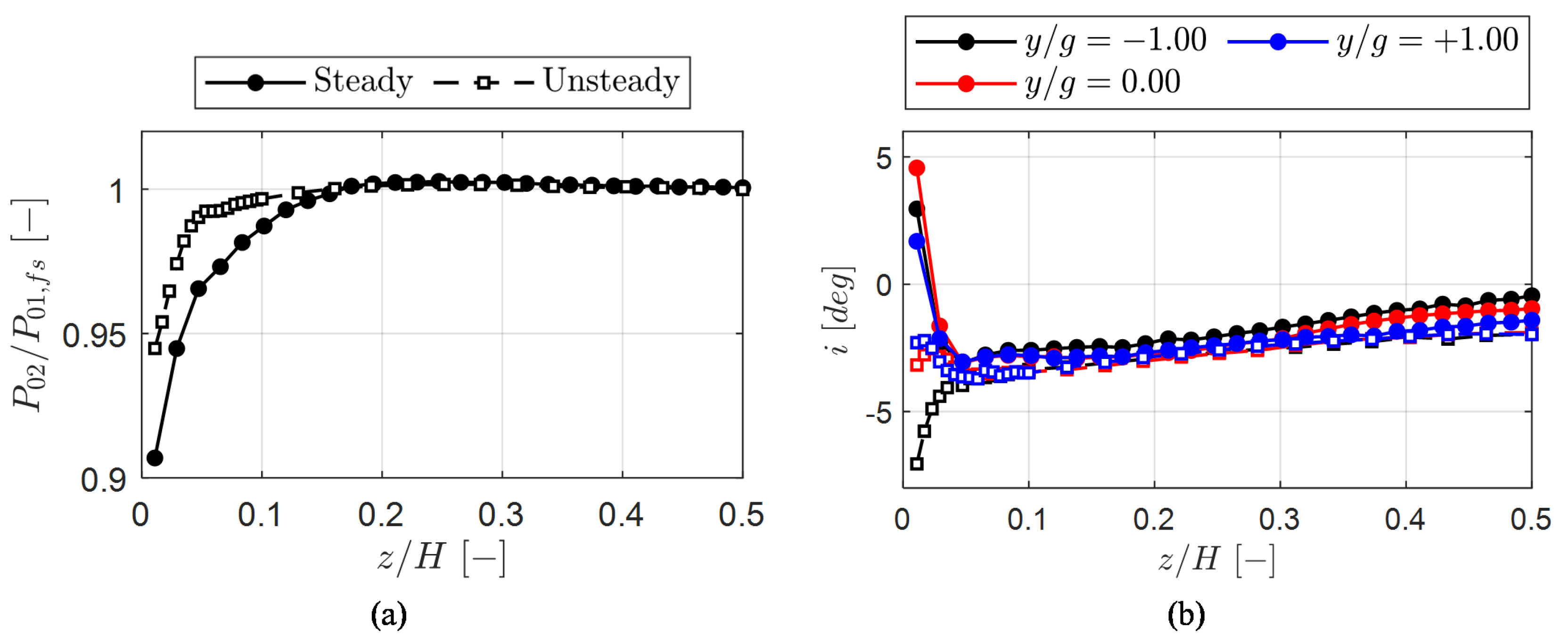
3.1. Inlet Flow Characterization
3.2. Blade Aerodynamics
3.3. Outlet Flow Field
3.4. Pitchwise Averaged Quantities
3.5. Loss Breakdown
4. Conclusions
Author Contributions
Funding
Institutional Review Board Statement
Informed Consent Statement
Data Availability Statement
Acknowledgments
Conflicts of Interest
List of Symbols
| Abbreviations | |
| BL | boundary layer |
| CV | suction side corner vortex |
| FSTI | freestream turbulence intensity |
| GTF | geared turbofan |
| HF | surface-mounted hot film |
| LE | leading edge |
| LPT | low-pressure turbine |
| PV | passage vortex |
| PS | pressure side |
| RANS | Reynolds-averaged Navier–Stokes |
| SFC | specific fuel consumption |
| SKE | secondary kinetic energy coefficient |
| SS | suction side |
| TE | trailing edge |
| TSV | trailing shed vortex |
| TG | turbulence grid |
| WIV | wall-induced vortex |
| WG | wake generator |
| Roman | |
| C | true chord |
| skin friction coefficient | |
| secondary kinetic energy coefficient, | |
| E | bridge voltage |
| f | frequency |
| bar reduced frequency, | |
| g | cascade pitch |
| H | cascade span |
| i | incidence, |
| M | Mach number |
| o | throat |
| P | pressure |
| heat flux | |
| R | reattachment line, resistance |
| Reynolds number, | |
| S | separation line, location along surface length |
| skewness | |
| surface length | |
| standard deviation | |
| T | trajectory |
| U | bar peripheral speed |
| V | absolute velocity |
| location along axial chord, pitchwise and spanwise direction | |
| Greek letters | |
| primary flow direction, | |
| ratio of specific heats | |
| dynamic viscosity | |
| kinetic energy loss coefficient, | |
| density | |
| quasi-wall shear stress | |
| flow coefficient, | |
| Subscripts | |
| a | ambient |
| ax | axial |
| bar | bar |
| F | flow |
| fs | freestream |
| End | endwall |
| in | inlet |
| is | isentropic |
| met | metallic |
| out | outlet |
| Prof | profile |
| q | quasi |
| s | sensor, substrate |
| sec | secondary |
| w | wall |
| 0 | flow-off, cold, total |
| 2 | at Plane 02 |
| 6 | at Plane 06 |
References
- Kurzke, J. Fundamental Differences Between Conventional and Geared Turbofans. In ASME Turbo Expo 2009: Power for Land, Sea, and Air; Paper No: GT2009-59745; ASME: New York, NY, USA, 2009; pp. 145–153. [Google Scholar] [CrossRef]
- Hodson, H.P.; Howell, R.J. The role of transition in high-lift low-pressure turbines for aeroengines. Prog. Aerosp. Sci. 2005, 41, 419–454. [Google Scholar] [CrossRef]
- Torre, D.; García-Valdecasas, G.; Puente, A.; Hernández, D.; Luque, S. Design and Testing of a Multi-Stage IP Turbine for Future Geared Turbofans. In ASME Turbo Expo 2021: Turbomachinery Technical Conference and Exposition; Paper No: GT2021-59219; ASME: New York, NY, USA, 2021; p. V02BT32A007. [Google Scholar] [CrossRef]
- Hourmouziadis, J. Aerodynamic design of low pressure turbines. In AGARD Lecture Series 167; Von Karman Institute: Rhode-St-Genèse, Belgium, 1989. [Google Scholar]
- Giovannini, M.; Rubechini, F.; Marconcini, M.; Arnone, A.; Bertini, F. Analysis of a LPT Rotor Blade for a Geared Engine: Part I—Aero-Mechanical Design and Validation. In ASME Turbo Expo 2016: Turbomachinery Technical Conference and Exposition; ASME: New York, NY, USA, 2016; p. V02BT38A053. [Google Scholar] [CrossRef]
- Malzacher, F.J.; Gier, J.; Lippl, F. Aerodesign and Testing of an Aeromechanically Highly Loaded LP Turbine. J. Turbomach. 2003, 128, 643–649. [Google Scholar] [CrossRef]
- Langston, L. Secondary Flows in Axial Turbines—A Review. Ann. N. Y. Acad. Sci. 2001, 934, 11–26. [Google Scholar] [CrossRef] [PubMed]
- Sharma, O.P.; Butler, T.L. Predictions of Endwall Losses and Secondary Flows in Axial Flow Turbine Cascades. J. Turbomach. 1987, 109, 229–236. [Google Scholar] [CrossRef]
- Sieverding, C.H.; Van den Bosche, P. The use of coloured smoke to visualize secondary flows in a turbine-blade cascade. J. Fluid Mech. 1983, 134, 85–89. [Google Scholar] [CrossRef]
- Wang, H.P.; Olson, S.J.; Goldstein, R.J.; Eckert, E.R.G. Flow Visualization in a Linear Turbine Cascade of High Performance Turbine Blades. J. Turbomach. 1997, 119, 1–8. [Google Scholar] [CrossRef]
- Denton, J.D. Loss Mechanisms in Turbomachines. In ASME 1993 International Gas Turbine and Aeroengine Congress and Exposition; ASME: New York, NY, USA, 1993; p. V002T14A001. [Google Scholar] [CrossRef]
- Satta, F.; Simoni, D.; Ubaldi, M.; Zunino, P.; Bertini, F. Profile and secondary flow losses in a high-lift LPT blade cascade at different reynolds numbers under steady and unsteady inflow conditions. J. Therm. Sci. 2012, 21, 483–491. [Google Scholar] [CrossRef]
- Brunner, S.; Fottner, L.; Schiffer, H.P. Comparison of Two Highly Loaded Low Pressure Turbine Cascades Under the Influence of Wake-Induced Transition. In ASME Turbo Expo 2000: Power for Land, Sea, and Air; ASME: New York, NY, USA, 2000; p. V003T01A073. [Google Scholar] [CrossRef]
- Duden, A.; Fottner, L. Influence of taper, Reynolds number and Mach number on the secondary flow field of a highly loaded turbine cascade. Proc. Inst. Mech. Eng. Part A J. Power Energy 1997, 211, 309–320. [Google Scholar] [CrossRef]
- Hodson, H.P.; Dominy, R.G. The Off-Design Performance of a Low-Pressure Turbine Cascade. J. Turbomach. 1987, 109, 201–209. [Google Scholar] [CrossRef]
- Hodson, H.P.; Dominy, R.G. Three-Dimensional Flow in a Low-Pressure Turbine Cascade at Its Design Condition. J. Turbomach. 1987, 109, 177–185. [Google Scholar] [CrossRef]
- Lopes, G.; Simonassi, L.; Torre, A.F.M.; Patinios, M.; Lavagnoli, S. An Experimental Test Case for Transonic Low-Pressure Turbines—Part 2: Cascade Aerodynamics at On- and Off-Design Reynolds and Mach Numbers. In ASME Turbo Expo 2022: Turbomachinery Technical Conference and Exposition; ASME: New York, NY, USA, 2022; p. V10BT30A027. [Google Scholar] [CrossRef]
- Abo El Ella, H.M.; Sjolander, S.A.; Praisner, T.J. Effects of an Upstream Cavity on the Secondary Flow in a Transonic Turbine Cascade. J. Turbomach. 2012, 134, 051009. [Google Scholar] [CrossRef]
- Perdichizzi, A. Mach Number Effects on Secondary Flow Development Downstream of a Turbine Cascade. J. Turbomach. 1990, 112, 643–651. [Google Scholar] [CrossRef]
- Taremi, F. Endwall Flows in Transonic Turbine Cascades. Ph.D. Thesis, Carleton University, Ottawa, ON, Canada, 2013. [Google Scholar]
- Behr, T. Control of Rotor Tip Leakage and Secondary Flow by Casing Air Injection in Unshrouded Axial Turbines. Ph.D. Thesis, ETH Zurich, Zurich, Switzerland, 2007. [Google Scholar] [CrossRef]
- Lengani, D.; Paradiso, B.; Marn, A.; Göttlich, E. Identification of Spinning Mode in the Unsteady Flow Field of a Low Pressure Turbine. J. Turbomach. 2012, 134, 051032. [Google Scholar] [CrossRef]
- Ong, J.; Miller, R.J.; Uchida, S. The Effect of Coolant Injection on the Endwall Flow of a High Pressure Turbine. J. Turbomach. 2012, 134, 051003. [Google Scholar] [CrossRef]
- Infantino, D.; Satta, F.; Simoni, D.; Ubaldi, M.; Zunino, P.; Bertini, F. Phase-Locked Investigation of Secondary Flows Perturbed by Passing Wakes in a High-Lift LPT Turbine Cascade. In ASME Turbo Expo 2015: Turbine Technical Conference and Exposition; ASME: New York, NY, USA, 2015; p. V02CT44A008. [Google Scholar] [CrossRef]
- Volino, R.J.; Galvin, C.D.; Ibrahim, M.B. Effects of Periodic Unsteadiness on Secondary Flows in High Pressure Turbine Passages. In ASME Turbo Expo 2013: Turbine Technical Conference and Exposition; ASME: New York, NY, USA, 2013; p. V06CT42A042. [Google Scholar] [CrossRef]
- Ciorciari, R.; Kirik, I.; Niehuis, R. Effects of Unsteady Wakes on the Secondary Flows in the Linear T106 Turbine Cascade. J. Turbomach. 2014, 136, 091010. [Google Scholar] [CrossRef]
- Lopes, G.; Simonassi, L.; Lavagnoli, S. Impact of Unsteady Wakes on the Secondary Flows of a High-Speed Low-Pressure Turbine Cascade. In Proceedings of the 15th European Conference on Turbomachinery Fluid Dynamics and Thermodynamics, Paper n. ETC2023-290, Budapest, Hungary, 24–28 April 2023; Available online: https://www.euroturbo.eu/publications/conference-proceedings-repository/ (accessed on 19 September 2023).
- Simonassi, L.; Lopes, G.; Gendebien, S.; Torre, A.F.M.; Patinios, M.; Lavagnoli, S.; Zeller, N.; Pintat, L. An Experimental Test Case for Transonic Low-Pressure Turbines—Part I: Rig Design, Instrumentation and Experimental Methodology. In ASME Turbo Expo 2022: Turbomachinery Technical Conference and Exposition; ASME: New York, NY, USA, 2022; p. V10BT30A012. [Google Scholar] [CrossRef]
- Pfeil, H.; Herbst, R.; Schröder, T. Investigation of the Laminar-Turbulent Transition of Boundary Layers Disturbed by Wakes. J. Eng. Power 1983, 105, 130–137. [Google Scholar] [CrossRef]
- Bellhouse, B.J.; Schultz, D.L. Determination of mean and dynamic skin friction, separation and transition in low-speed flow with a thin-film heated element. J. Fluid Mech. 1966, 24, 379–400. [Google Scholar] [CrossRef]
- Halstead, D.E.; Wisler, D.C.; Okiishi, T.H.; Walker, G.J.; Hodson, H.P.; Shin, H.W. Boundary Layer Development in Axial Compressors and Turbines: Part 1 of 4—Composite Picture. J. Turbomach. 1997, 119, 114–127. [Google Scholar] [CrossRef]
- Oldfield, M.L.G.; Kiock, R.; Holmes, A.T.; Graham, C.G. Boundary Layer Studies on Highly Loaded Cascades using Heated Thin Films and a Traversing Probe. J. Eng. Power 1981, 103, 237–246. [Google Scholar] [CrossRef]
- Pucher, P.; Goehl, R. Experimental Investigation of Boundary Layer Separation With Heated Thin-Film Sensors. J. Turbomach. 1987, 109, 303–309. [Google Scholar] [CrossRef]
- Hodson, H. The detection of boundary-layer transition and separation in high speed turbine cascades. In Measurement Techniques for Transonic and Supersonic Flow—Proc. 7th Symposium; University of Cambridge: Cambridge, UK, 1984. [Google Scholar]
- Hodson, H.P.; Huntsman, I.; Steele, A.B. An Investigation of Boundary Layer Development in a Multistage LP Turbine. J. Turbomach. 1994, 116, 375–383. [Google Scholar] [CrossRef]
- Hultmark, M.; Smits, A.J. Temperature corrections for constant temperature and constant current hot-wire anemometers. Meas. Sci. Technol. 2010, 21, 105404. [Google Scholar] [CrossRef]
- Simoni, D.; Berrino, M.; Ubaldi, M.; Zunino, P.; Bertini, F. Off-Design Performance of a Highly Loaded Low Pressure Turbine Cascade Under Steady and Unsteady Incoming Flow Conditions. J. Turbomach. 2015, 137, 071009. [Google Scholar] [CrossRef]
- Vera, M.; Hodson, H. Low Speed vs. High Speed Testing of LP Turbine Blade-Wake. In Proceedings of the 16th Symposium on Measuring Techniques in Transonic and Supersonic Flow in Cascades and Turbomachines, Cambridge, UK, 23–24 September 2002; pp. 1–10. [Google Scholar]
- Simonassi, L.; Lopes, G.; Lavagnoli, S. Effects of Periodic Incoming Wakes on the Aerodynamics of a High-Speed Low-Pressure Turbine Cascade. In Proceedings of the 15th European Conference on Turbomachinery Fluid Dynamics & Thermodynamics, Budapest, Hungary, 24–28 April 2023; Available online: https://www.euroturbo.eu/publications/conference-proceedings-repository/ (accessed on 23 June 2023).
- Coull, J.; Clark, C.; Vazquez, R. The sensitivity of turbine cascade endwall loss to inlet boundary layer thickness. J. Glob. Power Propuls. Soc. 2019, 3, 540–554. [Google Scholar] [CrossRef]
- Coull, J.D. Endwall Loss in Turbine Cascades. J. Turbomach. 2017, 139, 081004. [Google Scholar] [CrossRef]
- Coull, J.D.; Clark, C.J. The Effect of Inlet Conditions on Turbine Endwall Loss. J. Turbomach. 2022, 144, 101011. [Google Scholar] [CrossRef]
- Pullan, G.; Denton, J.; Dunkley, M. An Experimental and Computational Study of the Formation of a Streamwise Shed Vortex in a Turbine Stage. J. Turbomach. 2003, 125, 291–297. [Google Scholar] [CrossRef]
- Kacker, S.C.; Okapuu, U. A Mean Line Prediction Method for Axial Flow Turbine Efficiency. J. Eng. Power 1982, 104, 111–119. [Google Scholar] [CrossRef]








| Quantity | Steady | Unsteady |
|---|---|---|
| 52.91 | 51.72 | |
| 0.0313 | 0.0414 |
| Loss | Steady | Unsteady |
|---|---|---|
| 0.0102 | 0.0034 | |
| 0.0314 | 0.0412 | |
| 0.0147 | 0.0161 |
Disclaimer/Publisher’s Note: The statements, opinions and data contained in all publications are solely those of the individual author(s) and contributor(s) and not of MDPI and/or the editor(s). MDPI and/or the editor(s) disclaim responsibility for any injury to people or property resulting from any ideas, methods, instructions or products referred to in the content. |
© 2023 by the authors. Licensee MDPI, Basel, Switzerland. This article is an open access article distributed under the terms and conditions of the Creative Commons Attribution (CC BY-NC-ND) license (https://creativecommons.org/licenses/by-nc-nd/4.0/).
Share and Cite
Lopes, G.; Simonassi, L.; Lavagnoli, S. Impact of Unsteady Wakes on the Secondary Flows of a High-Speed Low-Pressure Turbine Cascade. Int. J. Turbomach. Propuls. Power 2023, 8, 36. https://doi.org/10.3390/ijtpp8040036
Lopes G, Simonassi L, Lavagnoli S. Impact of Unsteady Wakes on the Secondary Flows of a High-Speed Low-Pressure Turbine Cascade. International Journal of Turbomachinery, Propulsion and Power. 2023; 8(4):36. https://doi.org/10.3390/ijtpp8040036
Chicago/Turabian StyleLopes, Gustavo, Loris Simonassi, and Sergio Lavagnoli. 2023. "Impact of Unsteady Wakes on the Secondary Flows of a High-Speed Low-Pressure Turbine Cascade" International Journal of Turbomachinery, Propulsion and Power 8, no. 4: 36. https://doi.org/10.3390/ijtpp8040036
APA StyleLopes, G., Simonassi, L., & Lavagnoli, S. (2023). Impact of Unsteady Wakes on the Secondary Flows of a High-Speed Low-Pressure Turbine Cascade. International Journal of Turbomachinery, Propulsion and Power, 8(4), 36. https://doi.org/10.3390/ijtpp8040036

