Abstract
This study explores the psychological and social impacts of the forced use of self-service technologies (SSTs) in South Korea’s hospitality and tourism sectors, focusing on perceptions of service dehumanization among different age groups. Grounded in symbolic interactionism theory, the research aims to uncover how reduced interpersonal interaction affects perceived service quality and emotional response. A quantitative approach was employed using data collected from 300 Korean adults (150 older adults and 150 young adults). The study utilized the PROCESS Macro to test mediation effects of reduced human contact, empathy, and authenticity, as well as the moderating role of employee presence in shaping dehumanization perceptions. The results indicate that the mandatory use of SSTs significantly diminishes the perceived social value of service encounters, thereby increasing feelings of dehumanization. This effect is mediated by a reduction in human contact, empathy, and authenticity. Moreover, the presence of employees moderates this relationship, particularly intensifying dehumanization perceptions among older adult participants. Gender was not a significant factor in these perceptions. These findings suggest that while SSTs may improve operational efficiency, their forced implementation can negatively impact customer experience, especially for older adults. Hospitality and tourism providers should consider hybrid service models that maintain optional human interaction to mitigate adverse psychological effects. This study contributes to the limited research on SSTs and service dehumanization by integrating symbolic interactionism theory and highlighting the moderating role of employee presence. It offers novel insights into age-related differences in SST acceptance and the socio-emotional costs of automation in service contexts.
1. Introduction
Self-service technologies (SSTs) have become a core component of service delivery in the hospitality and tourism industries [1], especially in the post-COVID-19 era. These technologies—designed to enable service access without direct employee involvement—are widely implemented for their operational efficiency, cost savings, and profitability benefits [2,3,4]. In South Korea, SSTs are now ubiquitous across fast-food restaurants, hotels, and airports, with touch-screen kiosks playing a central role in daily operations [5]. Despite these advantages, growing concerns surround the psychological and social consequences of overreliance on SSTs—particularly the potential erosion of human connection that traditionally characterizes hospitality. Ting and Ahn [6], for example, caution against mandating SST use, especially when customers experience discomfort or difficulty.
In this context, service dehumanization refers to the diminishing of social value in service encounters, where customers feel objectified, treated as mere transactions rather than valued individuals [7,8]. This phenomenon is especially troubling in the hospitality sector, where emotional connection [9] and personal interaction [10] are essential to delivering high-quality service. The mechanization of customer experiences via SSTs threatens these emotional and symbolic elements, potentially undermining customer satisfaction and weakening affective ties with service providers [2]. Such effects are likely to be amplified among customers with a high need for interpersonal interaction [11], who may find SST-based services more alienating or impersonal.
While previous research has addressed dehumanization in organizational and service contexts, it has primarily focused on the employee perspective, exploring how monotonous, surveilled, or emotionally demanding jobs contribute to feelings of being treated as tools [12,13,14,15,16]. On the customer side, scholars have examined how automation affects satisfaction, trust, and perceived service quality (e.g., [1,17,18,19]). However, few studies have conceptualized technology-induced service dehumanization from the customer’s psychological perspective [2,8], particularly within hospitality contexts, where emotional and symbolic interactions are integral to value creation. Nevertheless, empirical research in this area remains scarce.
In addition, although research acknowledges that SSTs reduce human contact, much of this literature adopts a functional lens, emphasizing efficiency, convenience, or control [10,20,21,22]. In contrast, the emotional and existential consequences of machine-mediated service, including diminished empathy and perceived authenticity, remain underexplored [23,24]. These emotional mechanisms likely shape how customers internalize and respond to dehumanizing service encounters.
A particularly under-examined factor is the moderating role of employee presence, which may function as an emotional or symbolic buffer against the impersonal nature of SSTs. Limited empirical research has investigated how human presence mitigates dehumanization, especially when customers have no choice but to use SSTs [2], or how individual characteristics influence these dynamics [8,18,25].
Given these gaps, the present study aims to investigate how the forced use of SSTs in hospitality and tourism settings affects customer perceptions of service dehumanization. Specifically, it aims to: (1) examine the mediating roles of reduced human contact, empathy, and authenticity in the relationship between SST use and perceived dehumanization; (2) assess the moderating role of employee presence and potential conditional indirect effects; (3) compare perceived dehumanization between older and younger consumers; and (4) evaluate gender differences among Korean customers. By addressing these aims, this study extends symbolic interactionism into the realm of technology-mediated service experiences, offering theoretical and practical insights for balancing automation with human connection.
Moreover, symbolic interactionism [26], a sociological theory that emphasizes meaning-making through social interaction, offers a powerful yet underutilized lens for understanding how customers interpret and emotionally respond to human or machine-mediated encounters. According to this framework, individuals derive emotional meaning from the presence or absence of interpersonal exchanges [27]. Applying this theory to SST contexts can enrich our understanding of how customers experience automated, impersonal service encounters, especially when perceived as involuntary or isolating.
Finally, demographic variables such as age and gender—often treated as control variables—may play a more central role in shaping perceptions of dehumanization [6,28,29]. This may be particularly salient in South Korea [5], where social sensitivity and interpersonal harmony are culturally emphasized.
The following sections present a review of the relevant literature, outline the study’s methodology, report key findings, and discuss implications for research and practice.
2. Literature Review
2.1. Service Dehumanization
Dehumanization refers to the failure to recognize another as possessing a “uniquely human brain,” which manifests in both overt forms, such as racial prejudice, and subtle, everyday interactions [30]. This phenomenon can be categorized into two primary forms: animalistic dehumanization, which denies uniquely human attributes such as morality and intellect, and mechanistic dehumanization, which denies emotional depth, warmth, and individuality—typically observed in interpersonal settings [31].
In the service industry, dehumanization can occur when frontline employees—often female workers—are objectified and reduced to mere instruments of labor [32]. More recently, the growing adoption of SSTs has raised concerns about promoting rigid, emotionless interactions that erode the human touch in service encounters [33]. This concern is particularly salient in sectors such as tourism, hospitality, and leisure, where personal interaction is integral to relationship-building and perceived service quality [34]. Modern consumers increasingly value not only the tangible benefits of services but also intangible elements, placing high value on interactions that leave lasting impressions and evoke emotional responses.
Research has shown that hospitality services inherently involve social interactions that generate and exchange various emotions, not only to meet operational needs but also to satisfy the socio-emotional requirements of both customers and employees [35,36]. In this context, emotional intelligence becomes a critical competency and asset for service employees, enabling them to manage these interactions effectively and create meaningful, personalized experiences that leave lasting impressions.
However, the rise in SSTs risks replacing these human elements with impersonal, mechanistic processes, potentially leading to customer dissatisfaction due to feelings of disconnection [8,29]. Unlike traditional service settings that rely on non-verbal cues like body language and tone of voice to establish rapport, SSTs lack these essential interpersonal elements, which diminish the overall quality of service [37].
Denying the importance of emotionally and psychologically skilled employees in such service settings ignores the evidence presented in numerous studies. These studies highlight the essential role of employee-customer interactions in meeting socio-emotional needs and maintaining high-quality service delivery [35,36]. Neglecting these elements risks overlooking a key contributor to service quality.
2.2. Symbolic Interactionalism Theory &Service Dehumanization in the Context of SSTs
Symbolic interactionism, originally developed by George Herbert Mead and later formalized by Herbert Blumer [26,27], emphasizes that individuals assign meaning to the world through socially constructed symbols. In service contexts, these symbols include language, gestures, tone of voice, and body language—cues that help form a customer’s perception of self-worth and recognition. A key principle of symbolic interactionist theory is that people communicate with others (human or objects such as animals or machines) through language and meaningful symbols. Symbolic interactionists focus on the interpretation of subjective opinions and how people make sense of the world from their own perspective [27]. Two key terms in symbolic interactionism are emphasized: symbol and action. Here, the action is related to acting and responding, and the stimulus is a sign that has a learned and represented meaning in the situation. In other words, the associated meanings given to the interaction and unique reactions to those meanings are intimately connected [38].
SSTs have undoubtedly transformed service encounters, rendering them more mechanized and less reliant on direct human interaction [39]. This shift towards automation and efficiency has inadvertently led to the erosion of the social and emotional meaning inherent in traditional service interactions. In conventional encounters, the exchange extends beyond mere transactions, encompassing nuanced social cues, empathetic connections, and authentic expressions of care [2]. Yet, as SSTs proliferate, they often present standardized, pre-prepared, and artificial social cues, devoid of the warmth and spontaneity characteristic of human interactions. This mechanization of service interactions not only diminishes the richness of the customer experience but also deprives individuals of the social validation and recognition inherent in interpersonal exchanges [40]. Consequently, customers may begin to perceive themselves as mere cogs in a mechanized system, devoid of unique identity or value beyond their transactional utility [41]. This perception can profoundly impact individuals’ self-concept and, in turn, color their perception of the service encounter in a negative light.
The interpretation of customer-machine interactions and the meanings derived from these exchanges are deeply rooted in the framework of symbolic interactionism.
Symbolic interactionism was chosen as the study’s theoretical framework because it is consistent with the main ideas explained by Herbert Blumer and George Herbert Mead [26]. When clients use SSTs, they might see their interactions with the machines as lacking a true human connection [28], which could result in a perception of service dehumanization. Customers may come to view themselves as mechanized extensions of the service process, rather than unique individuals with emotional needs, a vision that results from the automatic meanings ascribed to the service interaction and the personnel involved.
This perception can be driven by a lack of genuine social signals, such as body language and tone of voice, which are essential in conventional service contacts but are frequently missing in self-service encounters [42]. Furthermore, the artificialemotion expressedby technology may exacerbate clients’ feelings of alienation and estrangement from the service experience [43]. In other words, Interactions with self-service devices may make empathy more difficult to achieve. Empathy requires the ability to understand and share the feelings and viewpoints of others. If there is a lack of sympathetic interaction, customers may feel disregarded or misunderstood.
2.3. Conceptual Background and Hypotheses Development
2.3.1. Forced Use of SSTs
Forced usage of SSTs refers to situations where consumers are obligated to use on-site SSTs to access services, often without alternative options [44]. In contrast, voluntary usage occurs when consumers choose to use, and they have the freedom to opt for different modes of service delivery if they prefer.
According to Cao et al. [10], customers who are obliged to utilize SSTs perceive that the service encounter has been devoid of its personal touch, resulting in a poor evaluation of the service [41]. In other words, going from full service to SSTs might create new issues forcustomers.
In the public transportation sector, for example, the introduction of self-service kiosks as the only form of service is frequently viewed as a forced adoption that harms customers’ impressions [45]. In addition, customers may feel coerced into using self-service systems, which can provoke frustration and a diminished sense of agency [2,46]. In such cases, concerns about being compelled by the service provider can threaten the consumer’s self-identity [28]. Therefore, we propose that when SST usage is perceived as mandatory, consumers are more likely to interpret the encounter as dehumanizing—characterized by a loss of personal recognition and human warmth.
H1.
Forced use of SST has a positive impact on perceived perception of service dehumanization.
2.3.2. Lack of Social Interaction in the Context of SSTs
Service environments, particularly in hospitality and tourism, are traditionally built around human interaction [47]. The social aspects of service delivery, such as communication with employees and engagement through social cues, play a significant role in shaping customers’ perceptions of the service experience [48]. However, the forced use of SSTs significantly reduces opportunities for such social interactions. When customers are unable to engage with service staff, they miss out on the interpersonal exchanges that help create a socially enriched service environment [49].
The absence of face-to-face interaction in SST encounters strips the service of its social dimensions. Customers lose the opportunity to pick up on verbal and non-verbal social cues that typically provide reassurance, enhance engagement, and foster a sense of connection with the service provider [50]. This lack of social engagement can make the interaction feel mechanical, as there is no opportunity to interact with a human who can respond dynamically in real-time [51]. SSTs, being devoid of social presence, fail to replicate the natural back-and-forth communication that exists in human-to-human encounters, thereby diminishing the sense of social involvement [47,48,49]. From a symbolic interactionist perspective, these reduced opportunities for social signaling undermine the shared meaning that is central to emotionally resonant service encounters.
Moreover, the forced use of SSTs in situations where customers expect or desire human interaction can lead to a sense of detachment [8]. For example, the inability to engage in small talk or receive direct feedback from a service employee undermines the social aspect of the service experience [39]. In service settings that are highly reliant on social interaction, such as hotels and restaurants, this lack of personal contact can negatively influence how customers perceive the service, as the expected social components of the encounter are missing [28].
Thus, the lack of social interaction in SST encounters reduces the overall value of the service experience, making it feel impersonal and disconnected from the social environment that customers often associate with quality service [49]. This lack of human-to-human interaction not only alters the nature of the service encounter but also creates a sense of detachment, leading to perceptions of service dehumanization [8,50].
Following this discussion, we propose the hypothesis:
H2.
Lack of human interaction has a mediating effect between forced use of SST and service dehumanization.
2.3.3. Lack of Empathy in the Context of SSTs
Empathy, as defined by Ruiz-Junco [52], involves understanding and appropriately responding to others’ emotional states. In service interactions, empathy enables service providers, as Weisz and Cikara [43] note, to understand and respond to a customer’s thoughts, feelings, and experiences. This allows frontline employees to offer tailored solutions that enhance the customer’s experience [53]. Empathy in service encounters includes both emotional aspects, such as feelings of concern, and cognitive aspects, which focus on understanding the customer’s emotions and thoughts [19,43]. Empathy facilitates recognition of the individual as a feeling subject, which symbolic interactionism identifies as essential for constructing meaningful interpersonal exchanges [24].
SSTs lack the capacity to engage emotionally with customers. These technologies rely on standardized, repetitive processes that can leave customers feeling disconnected and overlooked [54]. Human employees, on the other hand, offer a personalized touch, recognizing and responding to individual needs and emotions, which are crucial for maintaining a meaningful service interaction [55].
When customers are compelled to use SSTs without the option of human interaction, they are deprived of this emotional engagement [8]. The absence of empathetic care leaves a gap, reducing the richness of the service experience. What could otherwise be a dynamic, human-centered interaction becomes a mere transaction, lacking the emotional nuances that are vital in hospitality and tourism services [54,55]. Without the ability to recognize and respond to a customer’s emotional state, the SST experience shifts towards one that feels impersonal and disconnected, diminishing the sense of value that customers associate with service interactions [8,43].
This disconnect illustrates how the lack of emotional care in SST encounters shapes the overall service experience. Previous studies, while acknowledging the challenges SSTs pose for maintaining emotional engagement, have not fully explored how this loss of empathy fundamentally transforms the nature of service encounters [54]. In contexts where emotional connection is critical, such as hospitality and tourism, the absence of empathy can result in a perceived loss of human warmth and attentiveness, key elements of service dehumanization [52]. The enforced reliance on SSTs strips away these human elements, fundamentally altering how customers perceive their value and engagement in service interactions [8,56].
Therefore, and based on the above discussion, we have drawn the following hypothesis:
H3.
Lack of empathy has a mediating effect between forced use of SST and service dehumanization.
2.3.4. Lack of Authenticity in the Context of SSTs
Authenticity, as defined by Lin et al. [57], refers to the genuineness and truthfulness in service delivery, essential for fostering meaningful customer experiences [42]. It embodies sincerity and fosters genuine connections, which are critical in service environments where personal engagement is key to customer satisfaction and loyalty [58]. Traditionally, authenticity in service encounters is linked to human interactions that emphasize care, ethical values, and individualized service delivery, which help build trust and reinforce the relational aspect of service [59]. From a symbolic interactionist lens, authenticity emerges from shared social symbols—such as tone, gaze, or gestures—that are missing in SST-mediated exchanges, reducing customers’ sense of recognition and social meaning.
In interactions with SSTs, customers often find the experience lacking in authentic human expressions. SSTs are incapable of delivering the unscripted, personalized gestures—such as warm smiles, attentive listening, or empathetic responses—that characterize authentic human service. These mechanized encounters often feel sterile and transactional, lacking the warmth and sincerity that define authentic service [60]. Without these genuine expressions, customers may perceive the interaction as lacking sincerity and emotional connection, which are fundamental to creating a meaningful service experience [61].
In industries like hospitality and tourism, where trust and personal engagement are integral to the service process, authenticity is particularly valued [58,59]. When customers interact with automated systems, they may perceive the service as being more focused on operational efficiency than on genuine human connection, resulting in dissatisfaction [58]. The perception that SSTs cannot provide authentic, personalized responses may cause customers to feel that the service lacks depth, contributing to a diminished sense of value [8].
The enforced use of SSTs without alternatives for human interaction can further exacerbate this sense of inauthenticity. The lack of genuine engagement may leave customers feeling alienated and disconnected from the service experience [57].
In this context, customers may perceive the service as purely transactional, reducing them to mere participants in an automated process. This lack of authenticity in SST interactions plays a significant role in shaping perceptions of service dehumanization, where customers feel that the absence of human connection diminishes the relational and personal value of the service encounter [49,51].
Based on this discussion, we propose the following hypothesis:
H4.
Lack of authenticity has a mediating effect between forced use of SST and service dehumanization.
2.3.5. Need for Employee Presence
Employee presence restores the symbolic value of service interactions by reintroducing the human elements necessary for meaning-making and emotional validation. Research in communication and psychology underscores a fundamental aspect of human nature: the strong desire for interpersonal communication, which significantly shapes emotions and behaviors [62]. This intrinsic inclination toward human interaction is encapsulated within the concept of the need for human contact, which highlights the significance customers attribute to interpersonal communication during service encounters [20] (p. 188). Individuals with a pronounced preference for human interaction tend to prioritize personal contact over interactions with automated systems, seeking genuine connections and meaningful exchanges.
The phenomenon of diminishing personal touch resulting from the widespread adoption of SSTs has been identified as a significant concern within various service industries [63]. For some individuals, the absence of human contact in automated services is perceived as dehumanizing, stripping away the warmth and authenticity associated with human interactions [41]. Beyond mere transactional exchanges, many consumers view the purchasing process as an opportunity for social interaction and emotional connection, seeking genuine experiences and meaningful engagements with service providers [64]. Therefore, the reduction in human-to-human interaction facilitated by SSTs may be viewed unfavorably by those who value social engagement during their purchasing journeys [65]. Consequently, individuals with a strong need for staff interaction may perceive services as impersonal and transactional when SSTs replace human interaction [41], feeling that the interaction lacks the personalized touch and understanding of their specific needs and emotions.
However, the impact of mandating SST usage on consumers’ service experiences is contingent upon their demand for personnel contact. Several studies have elucidated a correlation between the desire for human interaction and resistance to technology-driven solutions [66]. Customers who prioritize interpersonal touch in retail settings are more inclined to avoid automated machines and prefer engaging with knowledgeable staff members [65]. Consequently, technology-driven service delivery options must be exceptionally user-friendly, reliable, and enjoyable for customers who prioritize staff interaction in order for them to perceive these solutions favorably [67].
In essence, the interplay between human contact and technological innovation in service encounters underscores the complex dynamics shaping consumer preferences and perceptions. While advancements in technology offer convenience and efficiency, they also risk diluting the authentic, personalized interactions that customers crave. The following hypotheses have been proposedas a result of the above arguments:
H5.
The need for employee presence will moderate the relationship between the forced use of SSTs and (a) lack of social interaction, (b) lack of empathy, (c) lack of authenticity.
H6.
The indirect effect of forced use of SSTs on service dehumanization—through (a) lack of social interaction, (b) lack of empathy, and (c) lack of authenticity—will be stronger among customers with high need for employee presence, compared to those with low need for employee presence.
2.3.6. Age Differences
The interaction between customers and service providers remains crucial in service provision, particularly for the older adults [28]. According to socio-emotional selectivity theory, as individuals age, they prioritize emotional goals and meaningful social interactions due to a perceived limitation in time [68]. For older adults, who may struggle with new technologies, self-service systems lacking human interaction can intensify feelings of isolation and disconnection [8,29].
This reliance on impersonal interfaces can lead to a sense of objectification and diminish the social value of service experiences across all customer segments. Older adults are especially vulnerable to feeling dehumanized when using self-service technology, preferring human interaction to meet their specific needs [51]. The forced use of SSTs can provoke frustration and anxiety, as it limits their ability to seek personalized assistance [54]. Therefore, the perceived dehumanization due to the forced SST situations is more pronounced among older adults compared to younger ones.
H7.
The indirect effect of the forced use of SSTs on perceived service dehumanization—via (a) lack of social interaction, (b) lack of empathy, (c) and lack of authenticity—will be stronger for older customers than for younger customers.
2.3.7. Gender Differences
Gender influences behavior across marketing, economics, management, and psychology [67,69]. According to relational interdependence theory [70], women are generally more attuned to relational cues and emotional warmth in interpersonal contexts. This may explain their heightened sensitivity to dehumanizing service experiences in prior studies. Women often prioritize leisure-oriented purchases for socializing, while men prefer efficient, cost-saving shopping [46]. Gender also impacts technology adoption; women show less comfort and confidence with SSTs compared to men [71]. According to Ting and Ahn [6], younger individuals and men tend to exhibit a more pronounced positive response in their attitudes when they choose to use SST voluntarily. Research indicates women prioritize personal touch and may perceive forced SST usage as more dehumanizing due to reduced human interaction, empathy, and authenticity [11]. These differences may stem from a greater sensitivity to relational cues and emotional warmth in service settings. However, as digital fluency increases across demographics, these distinctions may be narrowing. Therefore, we hypothesize the following:
H8.
The indirect effect of the forced use of SSTs on perceived service dehumanization—via (a) lack of social interaction, (b) lack of empathy, (c) and lack of authenticity—will be stronger for women than for men.
Figure 1 illustrates the proposed model.
Figure 1.
Shows how the research variables relate to one another.
3. Method
3.1. Sample Recruitment and Data Collection
We conducted a survey of Korean consumers to examine their experiences with the mandatory use of SSTs across hospitality and tourism settings, focusing on two age groups: above 60 years (N = 150) and below 60 years (N = 150). The World Health Organization (WHO) [72] defines 60 years as the threshold for old age in global policy frameworks, recognizing significant socio-emotional and physiological shifts that impact service expectations. Carstensen [68] highlights that older adults prioritize emotionally meaningful experiences, differentiating their service needs from younger populations. Additionally, in South Korea, government policies such as the Basic Old-Age Pension scheme classify individuals aged 60 and above as older adults, further reinforcing this threshold in the local context [73]. This provides a pertinent setting to explore the phenomena under investigation and draw globally relevant insights.
Data collection occurred in the first week of December 2023 through Embrain, a leading research firm widely used in previous studies for its reliability and extensive panel reach [74,75], using purposive sampling technique to ensure diverse demographic representation. The sample was balanced by gender (50.2% male, 49.8% female), with most participants being married (67.2%) and holding bachelor’s degrees (88.4%). Frequent SST use and other related information were reported (see Table 1). According to guidelines by Gorsuch [76], our survey, with 300 responses, meets the recommended range of responses per item.
Table 1.
Demographic information.
3.2. Measurement Items and Survey Design
The survey questionnaire comprised four sections. The first and second sections introduced the study’s objectives and included screening questions to identify respondents who had experienced mandated SST usage in the South Korean service industry. The third section consisted of measures derived from previous research, assessed using a seven-point Likert scale across 29 items. Measurement items from Shin and Dai [22] were used to operationalize forced SST use. Additionally, measures validated in prior studies were employed for lack of authenticity [77], lack of social interaction [78], lack of empathy [79], and the need for employee presence [41]. Items from Tussyadiah [80] were adapted to assess service dehumanization, tailored to fit this study’s context.
The original survey was written in English and then translated into Korean by a bilingual expert fluent in both languages. To ensure semantic equivalence, a back-translation procedure was conducted by an independent translator. Minor modifications were made based on feedback from academic experts and a pretest with native Korean speakers to enhance comprehension and cultural appropriateness.
4. Results
4.1. CFA Results
Before proceeding to CFA, data were screened for basic assumptions. One missing value was identified and replaced by the column mean—a simple and possibly successful technique given the missing value’s insignificance and the lack of significant data skewness [81]. Skewness ranged from −0.847 to 0.694, and kurtosis from −0.713 to 0.795. Hence, outliers were not found and there was no breach of data normality.
The CFA results indicated a satisfactory model fit (x2 = 637.804, df = 465, p < 0.01, x2/df = 3.702, RMSEA = 0.035, CFI = 0.985, IFI = 0.985, PCLOSE = 0.05, GFI = 0.896),While the GFI index is slightly below the ideal threshold, the RMSEA, CFI, and SRMR strongly indicate a good fit and should be collectively considered in evaluating the model fit [82]. A composite reliability (CR) scores for constructs varied from 0.782 to 0.921, over the threshold of 0.7, indicating that the internal consistency was achieved [83] (see Table 2).
Table 2.
Summary of the factor analysis results: Reliability.
The AVE value for each facet ranged from 0.626 to 0.834, which was above the required level of 0.5 [84], confirming convergent validity. Components were all closely associated with their indicators, supporting discriminant validity. Finally, given that a multiple regression analysis will be performed using the PROCESS software(version 4.3) for SPSS v26.0 software, the variance inflation factor (VIF) was evaluated, and all factors were less than, 10 suggesting that multicollinearity is not severe (See Table 3).
Table 3.
Summary of the confirmatory factor analysis results: Correlations, Validity, Model fit.
4.2. Hypotheses Testing Results
To test our hypotheses, we employed Hayes’ [85] PROCESS macro, which is well-suited for analyzing mediation, moderation, and conditional indirect effects among interval-level variables. Its flexibility and compatibility with SPSS V.26.0 make it ideal for modeling the complex relationships specified in this study.
4.2.1. Indirect Effect
Before examining the mediation effect, a regression analysis was conducted to determine if obligatory SST usage directly impacts perceived service dehumanization [86]. Results showed a positive correlation (β = 0.141, p < 0.001), supporting H1. Other model paths were then analyzed.
To test hypotheses 2, 3, and 4, the PROCESS Macro (Model 4) in SPSS was used to examine mediating effects with a 95% confidence interval. The study found that a lack of social interaction (β = 0.216, LLCI = 0.0123, ULCI = 0.309), lack of empathy (β = 0.541, LLCI = 0.435, ULCI = 0.647), and lack of authenticity (β = 0.249, LLCI = 0.157, ULCI = 0.342) mediated the relationship between forced SST usage and perceived service dehumanization, supporting H2, H3, and H4. However, no direct relationship was found when mediators were included (β = 0.024, p > 0.05, CI: −0.004, 0.050), indicating complete mediation (see Table 4).
Table 4.
Summary of mediation analysis.
4.2.2. Moderation Results
Before testing the moderated mediation model, moderation effects in either path a or path b should be examined [85]. As hypothesized from the literature, we expect a moderating effect in path a. Therefore, we tested hypotheses H5a, H5b, and H5c using SPSS’s PROCESS Macro (Model 1).
Results indicated that forced SST usage and the need for employee presence positively impacted the lack of social interaction (β = 0.078, SE = 0.014, t = 5.45, p < 0.01, LLCI = 0.050, ULCI = 0.107), supporting H5a. The interaction term was significant at high (WHigh: CI = 0.186, 0.296) and moderate (WModerate: CI = 0.103, 0.177) levels of the moderator, but not at low levels (WLow: CI = −0.009, 0.088).
The interaction term also positively affected lack of empathy (β = 0.120, SE = 0.016, t = 7.404, p < 0.01, LLCI = 0.088, ULCI = 0.151) and lack of authenticity (β = 0.102, SE = 0.017, t = 5.986, p < 0.01, LLCI = 0.068, ULCI = 0.135) across all levels of the moderator, confirming H5b and H5c (see Table 5). These findings allow for further testing of the moderated mediation effect.
Table 5.
Summary of moderation analysis.
4.2.3. Moderated Mediation Results
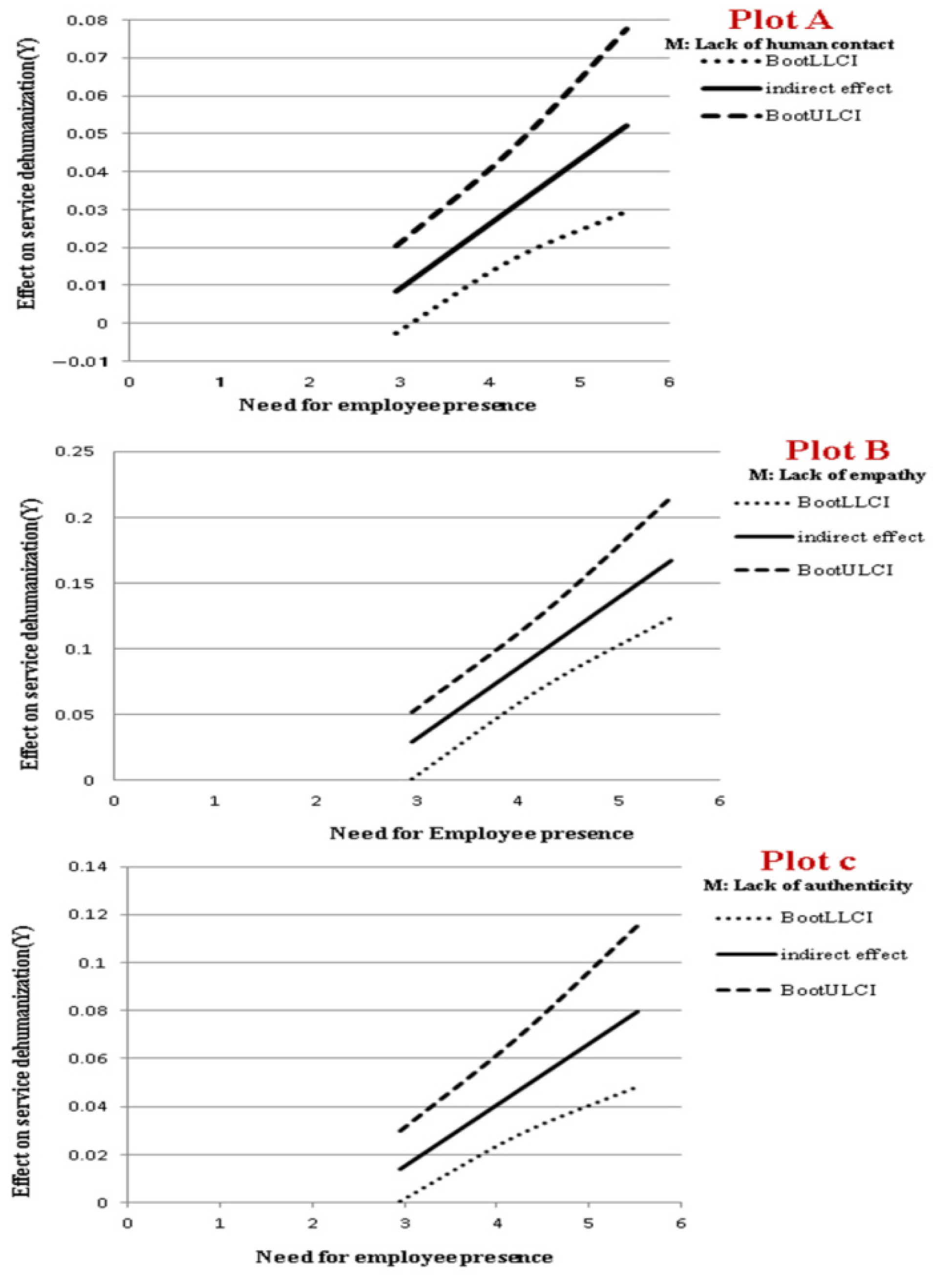
Model 7 of the PROCESS Macro [85] was used to evaluate Hypotheses 6a, 6b, and 6c using 5000 bias-corrected bootstrapped samples. Hypothesis 6a yielded a non-significant interaction effect at the low moderator level (WLow: CI = −0.002, 0.020), followed by an increase at the moderate (WModerate: CI = 0.016, 0.045) and high levels (WHigh: CI = 0.029, 0.077). The index of moderated mediation findings established the indirect impact’s significance (Index = 0.017, SE = 0.004, LLCI = 0.009, ULCI = 0.027), demonstrating a conditional indirect effect.
Similarly, Hypothesis 6b and 6c were evaluated and demonstrated an increase in the effect under all levels of moderator for 6b (WLow: CI = 0.011, 0.042, WModerate: CI = 0.058, 0.111, WHigh: CI = 0.123, 0.215) and 6c (WLow: CI = 0.0004, 0.029, WModerate: CI = 0.028, 0.069, WHigh: CI = 0.048, 0.115). The index of moderated mediation results confirmed that the indirect effect was significant for hypothesis 6b (Index = 0.065, SE = 0.011, LLCI = 0.044, ULCI = 0.088) and 6c (Index = 0.025, SE = 0.006, LLCI = 0.014, ULCI = 0.039), indicating the presence of a conditional indirect effect (see Table 6).
Table 6.
Summary of the moderated mediation analysis.
To support Hypotheses 6a, 6b, and 6c, basic slopes at ±1 SD of employee presence were analyzed. Figure 2 shows the moderator’s effect on indirect paths through a lack of social interaction (Plot A), empathy (Plot B), and authenticity (Plot C).
Figure 2.
Moderated mediation results.
4.2.4. Age Group Comparison Results
To test Hypothesis 7, the sample was divided into two groups: young (n = 150) and old (n = 150). Age was used as a covariate in the PROCESS Macro Model 7. Findings confirmed that, as shown in Figure 3, older individuals experienced higher service dehumanization due to the indirect effects of forced SST usage through all mediators at each level of the need for employee presence.
Figure 3.
Age differences in the perception of service dehumanization. Note. (*) Indicates a moderated mediation effect involving age.
4.2.5. Gender Comparison Results
To test Hypothesis 8, the sample was divided into 149 women and 151 men, with gender included as a covariate in PROCESS Macro Model 7. The analysis revealed no significant differences between genders (Index = 0.007, SE = 0.051, LLCI = −0.093, ULCI = 0.107), leading to the rejection of Hypothesis 8.
5. Discussion
This study explores the deep-rooted implications of forced SST use on customer perceptions of service, grounded in symbolic interactionism. In our study, “forced SST use” refers to situations where customers are required to use self-service technologies (e.g., kiosks and check-in machines) with no alternative access to human assistance. This involuntary exposure removes the element of consumer choice, heightening the risk of emotional and social disconnect in service interactions. While previous research has broadly recognized the impact of SSTs on reducing human connection in service encounters (e.g., [28,40,46], our findings offer a more nuanced understanding by examining the emotional and social mechanisms that drive perceptions of service dehumanization.
A key contribution of this study lies in conceptualizing service dehumanization as a distinct psychological phenomenon, not merely a byproduct of automation. While earlier work emphasized the impersonal nature of SSTs, few studies have delved into the specific emotional pathways—such as the loss of social interaction, empathy, and authenticity—that contribute to the perception of being dehumanized [8,61]. Our findings provide empirical support that these three psychosocial factors fully mediate the relationship between forced SST use and perceived dehumanization, offering a comprehensive model of how automated service delivery can degrade customer experience.
Among these mediators, empathy emerged as a particularly potent driver of perceived dehumanization. SSTs inherently lack the capacity to detect, interpret, or respond to customers’ emotional states—capabilities that are central to human service interactions [54,57]. This study positions empathy not as a peripheral concern but as a core component of the customer experience, reinforcing the idea that emotional understanding is fundamental to humane service delivery.
The study also underscores the importance of individual differences in service expectations, particularly the need for employee presence. Our moderated mediation analysis showed that the psychological impact of forced SST use is significantly more pronounced for customers with a higher preference for human interaction. These findings build upon socio-emotional selectivity theory [68] and further illuminate how personalized human contact serves as a buffer against feelings of alienation and objectification in service settings.
Consistent with prior literature, older customers were more negatively affected by the lack of social, emotional, and authentic elements in forced SST environments [8,29]. However, this study goes further by demonstrating that age moderates the entire dehumanization pathway, with older individuals experiencing stronger indirect effects via all three mediators. This quantifies what previous studies have largely discussed descriptively: that for older adults, SSTs not only represent usability challenges but also a symbolic loss of dignity, care, and human recognition.
Interestingly, our findings challenge commonly held assumptions regarding gender differences in SST adoption. Contrary to earlier studies that suggested women may resist SSTs more due to stronger preferences for social engagement [11,23], our results indicate that gender did not significantly moderate the dehumanization pathway. This suggests that service dehumanization may be a broadly shared concern, affecting customers across gender lines when human-centered elements are stripped away. A possible explanation lies in evolving gender norms in technology use, where younger generations—regardless of gender—have grown increasingly comfortable with digital interfaces [67]. Additionally, cultural factors in South Korea, which emphasize collective harmony and emotional regulation, may have minimized gender-based variance. Future research could explore whether these findings hold across different cultural and generational contexts.
Finally, this research departs from traditional models of technology adoption that focus primarily on usability, efficiency, and behavioral intention (e.g., TAM or UTAUT). Instead, by applying symbolic interactionism, it demonstrates that service encounters are not just functional exchanges but also symbolic and emotional experiences that shape how customers perceive their value, agency, and recognition in service contexts.
6. Implications
6.1. Practical Implications
This study holds significant practical implications for managers in the service industry, particularly in sectors like tourism, hospitality, and entertainment, where self-service technologies have seen considerable growth. Understanding the factors influencing consumers’ perceptions of self-service as their primary option for accessing services is crucial for developing customer-satisfying self-service environments. Service providers must prioritize striking a balance between implementing self-service and preserving the human element, as our findings highlight the importance of the social value of service and the human touch in mitigating perceptions of service dehumanization. This can be achieved through improved staff engagement tactics or direct contact channels with customer service professionals, catering to clients’ specific preferences.
Additionally, our research underscores the significance of empathy and authenticity in fostering compassionate service atmospheres. Incorporating elements into self-service technology designs that demonstrate empathy and authenticity can humanize the service encounter, enhancing customer experiences. Managers should prioritize training employees with strong social and emotional skills, particularly in sectors where emotional and social aspects are critical, to bridge the gap between machines and humans and improve client experiences across all marketing channels. Moreover, considering variations in consumer perceptions based on age and personal traits is essential in designing inclusive self-service environments. Tailoring service technology to meet the unique requirements of different consumer groups, such as offering voice or video communication options for the older adults, ensures appropriateness across all ages. Similarly, individuals with a strong preference for staff interaction should have priority access to personalized support services, addressing their specific needs.
Furthermore, service designers should consider adaptive interfaces that allow users to toggle between SST and human assistance depending on personal preference or need. For example, integrating live chat with kiosks or stationing personnel nearby can mitigate feelings of impersonality. Designing inclusive services for older adults and individuals with a high preference for human contact will help maintain engagement and reduce emotional disengagement [17]. These approaches support both operational efficiency and psychological well-being.
Finally, beyond individual service strategies, these findings also have implications at the policy and organizational level. Industry regulators and service organizations should develop guidelines and training frameworks that encourage the ethical implementation of SSTs while maintaining customer dignity and emotional well-being. Embedding universal design principles into service policies -such as inclusive signage, multilingual options, and clearly signposted human support- can help ensure that SST environments are not only accessible but also socially and emotionally considerate.
6.2. Theoretical Implications
This study significantly advances the theoretical understanding of service dehumanization by delving into the intricate effects of forced SSTs usage on customer perceptions. It offers a unique conceptual framework that highlights the pivotal mediating roles of human engagement, empathy, and authenticity, thereby refining existing theories of service quality and customer experience. By emphasizing these mediating factors, the research provides valuable insights into the underlying mechanisms through which service encounters can be perceived as dehumanizing in the context of SSTs.
Moreover, by incorporating symbolic interactionism, a theoretical framework that explores the symbolic meanings embedded in social interactions, the study enriches our understanding of the dynamics of technological service encounters, filling a significant gap in the previous literature primarily focused on the functional aspects of technology adoption.
Furthermore, the examination of age and gender differences in perceptions of service dehumanization adds depth to the study, shedding light on unique challenges encountered by different customer groups during self-service encounters. This underscores the necessity of considering diverse demographic factors in service design and delivery, ultimately enhancing inclusivity and personalized experiences for all consumers.
Additionally, the application of advanced statistical techniques in investigating complex relationships, such as the moderated mediation model employed in this study, represents a methodological advancement in service research, providing researchers and practitioners with a more comprehensive understanding of the intricate interplay between various factors influencing customer perceptions.
In addition, this study offers important contributions to the growing field of AI-driven service research. As many SSTs increasingly incorporate AI elements, such as “speech recognition”, “predictive personalization”, and “autonomous decision-making”, the emotional consequences of automation become even more salient [64]. Our findings suggest that AI systems lacking in social and emotional signaling may inadvertently increase perceptions of service dehumanization, especially when their use is non-optional. This highlights the need for theoretical frameworks, such as symbolic interactionism, that account for the emotional and symbolic dimensions of AI-human interaction. As such, this research bridges a gap between service management and AI ethics, contributing to emerging debates on the humanization of intelligent service technologies.
Overall, this study’s findings have profound implications for service design and management theories, particularly in terms of customer experience management and technological adoption. By highlighting the crucial role of human-centric approaches in moderating perceptions of service dehumanization, the research emphasizes the importance of prioritizing human engagement in the design and delivery of SSTs.
7. Limitations and Future Research
While this study offers valuable insights into the effects of forced SST usage on service dehumanization, several limitations should be acknowledged. First, the study’s cross-sectional design captures only a snapshot of the relationships between variables at a specific moment in time. This design limits causal inference and the ability to track changes in perceptions over time. Longitudinal studies would be instrumental in tracking changes in customer experiences with SSTs, offering a more dynamic understanding of how forced SST usage impacts service perceptions over extended periods. Second, this study did not differentiate between various self-service contexts, which may shape consumers’ experiences and perceptions differently. For example, the level of interpersonal interaction required in specific service settings—such as hotels or healthcare services—could affect the intensity of dehumanization feelings. Future research could explore how context-specific factors influence consumers’ perceptions of dehumanization and the role of human interaction in different service environments.
Additionally, future research should expand upon these limitations by considering the following avenues: (1) As noted, service settings that traditionally emphasize human interaction, like hospitality or healthcare, may reveal different dynamics in how customers perceive SSTs. Investigating these sectors could provide richer insights into when and why SSTs might be more likely to result in feelings of dehumanization. (2) The development of humanoid interfaces presents an intriguing opportunity to examine how anthropomorphic design features—such as robot-like appearances, voice tones, or emotional expressions—affect customer perceptions of SSTs. Controlled experiments could investigate how these human-like qualities influence feelings of empathy, authenticity, and overall service quality, potentially mitigating or exacerbating service dehumanization. (3) Given that this study focused on Korean consumers, there is potential for future research to explore cultural differences in how customers perceive SSTs. Exploring how individualistic vs. collectivist cultures respond to SSTs, particularly in relation to social interaction, could offer deeper insights into how technology adoption is shaped by cultural norms and values. (4) As SSTs continue to evolve with innovations like AI-driven customer service agents or augmented reality interfaces, future studies should assess how these emerging technologies influence service dehumanization perceptions. Investigating whether these advancements enhance or reduce the perceived warmth and empathy of SSTs would provide valuable guidance for future technology design.
Author Contributions
Conceptualization, E.A., K.M. and C.H.L.; methodology, E.A. and C.H.L.; validation, E.A.; formal analysis, E.A. and C.H.L.; data curation, E.A., K.M. and C.H.L.; writing—original draft preparation, E.A., K.M. and C.H.L.; writing—review and editing, E.A. and C.H.L. All authors have read and agreed to the published version of the manuscript.
Funding
This work was supported by the Ministry of Education of the Republic of Korea and the National Research Foundation of Korea (NRF-2022S1A5A2A03054930). Additionally, this work was supported by the Institute of Information & Communications Technology Planning & Evaluation (IITP), funded by the Korean government (MSIT), under the Metaverse Support Program to Nurture the Best Talents (IITP-2025-RS-2023-00254529).
Institutional Review Board Statement
This study utilized anonymous survey data collected by an independent research agency. According to Article 15(2) of the Korean Bioethics and Safety Act and Article 13 of its Enforcement Rule, adopted and followed by Sejong University, research involving anonymous data, posing minimal risk to participants, and not collecting personally identifiable information is exempt from IRB review. Therefore, ethical approval was not required for this study.
Informed Consent Statement
Informed consent was obtained from all subjects involved in the study.
Data Availability Statement
The original contributions presented in the study are included in the article, further inquiries can be directed to the corresponding author.
Conflicts of Interest
The authors declare no conflicts of interest.
References
- Lubbe, I.; Roberts-Lombard, M.; Langerman, J. Millennials’ experiences and satisfaction with chatbots: A study of self-service technology in emerging markets. Eur. Bus. Rev. 2025; ahead-of-print. [Google Scholar] [CrossRef]
- Feng, W.; Tu, R.; Lu, T.; Zhou, Z. Understanding forced adoption of self-service technology: The impacts of users’ psychological reactance. Behav. Inf. Technol. 2019, 38, 820–832. [Google Scholar] [CrossRef]
- Shiwen, L.; Kwon, J.; Ahn, J. Self-Service Technology in the Hospitality and Tourism Settings: A Critical Review of the Literature. J. Hosp. Tour. Res. 2021, 46, 1220–1236. [Google Scholar] [CrossRef]
- Yu, C.-E. Humanlike robots as employees in the hotel industry: Thematic Content Analysis of online reviews. J. Hosp. Mark. Manag. 2019, 29, 22–38. [Google Scholar] [CrossRef]
- Jeon, H.M.; Sung, H.J.; Kim, H.Y. Customers’ acceptance intention of self-service technology of restaurant industry: Expanding UTAUT with perceived risk and innovativeness. Serv. Bus. 2020, 14, 533–551. [Google Scholar] [CrossRef]
- Ting, L.; Ahn, J. Importance of voluntary usage among customers with difficulty using self-service technology (SST). Int. Rev. Retail. Distrib. Consum. Res. 2025, 35, 63–77. [Google Scholar] [CrossRef]
- Kim, D.; Lee, H.; Yoon, S. When does self-service technology help employee work engagement? The moderating role of service type. Int. J. Hosp. Manag. 2017, 61, 51–59. [Google Scholar] [CrossRef]
- Schweitzer, V.; Simon, F. Self-construal as the locus of paradoxical consumer empowerment in self-service retail technology environments. J. Bus. Res. 2021, 126, 291–306. [Google Scholar] [CrossRef]
- Lee, H.; Yi, Y. The impact of self-service versusinterpersonal contact on customer–brand relationship in the time of Frontline Technology Infusion. Psychol. Mark. 2021, 39, 906–920. [Google Scholar] [CrossRef]
- Cao, Z.; Xiao, Q.; Zhuang, W.; Wang, L. An empirical analysis of self-service technologies: Mediating role of customer powerlessness. J. Serv. Mark. 2021, 36, 129–142. [Google Scholar] [CrossRef]
- Rahman, M. Male and female consumer decision-making styles. Int. J. Manag. Econ. Fundam. 2023, 3, 1–4. [Google Scholar] [CrossRef]
- Brison, N.; Huyghebaert-Zouaghi, T.; Caesens, G. How supervisor and coworker ostracism influence employee outcomes: The role of organizational dehumanization and organizational embodiment. Balt. J. Manag. 2024, 19, 234–252. [Google Scholar] [CrossRef]
- Gip, H.; Guchait, P.; Paşamehmetoğlu, A.; Khoa, D.T. How organizational dehumanization Impacts Hospitality Employees Service Recovery Performance and Sabotage Behaviors: The role of psychological well-being and tenure. Int. J. Contemp. Hosp. Manag. 2023, 35, 64–91. [Google Scholar] [CrossRef]
- Muhammad, L.; Sarwar, A. When and why organizational dehumanization leads to deviant work behaviors in hospitality industry. Int. J. Hosp. Manag. 2021, 99, 103044. [Google Scholar] [CrossRef]
- Sun, Y.; Wang, X.; Hoegg, J.; Dahl, D.W. How consumers respond to embarrassing service encounters: A dehumanization perspective. J. Mark. Res. 2023, 60, 646–664. [Google Scholar] [CrossRef]
- Xu, T.; Zheng, Y.H.; Zhang, J.; Wang, Z. “They” threaten my work: How AI service robots negatively impact frontline hotel employees through organizational dehumanization. Int. J. Hosp. Manag. 2025, 128, 104162. [Google Scholar] [CrossRef]
- Gelibolu, M.; Mouloudj, K. Motivators and Demotivators of Consumers’ Smart Voice Assistant Usage for Online Shopping. J. Theor. Appl. Electron. Commer. Res. 2025, 20, 152. [Google Scholar] [CrossRef]
- Liu, J.; Zhou, L.; Li, Y. I can be myself: Robots reduce social discomfort in hospitality service encounters. Int. J. Contemp. Hosp. Manag. 2023, 36, 1798–1815. [Google Scholar] [CrossRef]
- Zaitouni, M.; Murphy, K.S. Self-Service Technologies (SST) in the US Restaurant industry: An evaluation of consumer perceived value, satisfaction, and continuance intentions. J. Foodserv. Bus. Res. 2025, 28, 245–276. [Google Scholar] [CrossRef]
- Dabholkar, P.A.; Bagozzi, R.P. An attitudinal model of technology-based self-service: Moderating effects of consumer traits and situational factors. J. Acad. Mark. Sci. 2002, 30, 184–201. [Google Scholar] [CrossRef]
- Lee, J.-M.; Sim, M.; Kang, M.; Kang, H.; Jang, J.; Kim, D. Effects of perceived risk and consumer characteristics on the continuous use intention of technology-based Self Service. J. Consum. Stud. 2019, 30, 69–92. [Google Scholar] [CrossRef]
- Shin, H.; Dai, B. The efficacy of customer’s voluntary use of self-service technology (SST): A Dual-Study Approach. J. Strateg. Mark. 2020, 30, 723–745. [Google Scholar] [CrossRef]
- Chaiwan, C.; Budd, L.; Ison, S. A systematic literature review of passenger non-adoption of airport self-service technologies: Issues and future recommendations. J. Air Transp. Res. Soc. 2025, 4, 100065. [Google Scholar] [CrossRef]
- Yoon, N.; Lee, H.-K. AI Recommendation Service Acceptance: Assessing the Effects of Perceived Empathy and Need for Cognition. J. Theor. Appl. Electron. Commer. Res. 2021, 16, 1912–1928. [Google Scholar] [CrossRef]
- Galičić, V.; Ivanović, S. Dehumanization of hospitality industry using information-communication technologies. Informatologia 2007, 40, 223–228. Available online: https://hrcak.srce.hr/21518 (accessed on 9 June 2025).
- Blumer, H. Mead and Blumer: The convergent methodological perspectives of social behaviorism and symbolic interactionism. Am. Sociol. Rev. 1980, 45, 409. [Google Scholar] [CrossRef]
- Blumer, H. Symbolic Interactionism: Perspective and Method; University of California Press: Oakland, CA, USA, 1986. [Google Scholar]
- Park, J.; Kim, D.; Hyun, H. Understanding self-service technology adoption by “older” consumers. J. Serv. Mark. 2021, 35, 78–97. [Google Scholar] [CrossRef]
- Ro, Y.; Kwon, B. Does user burden matter? Age differences in user behavior of self-service technology. Int. J. Hum.–Comput. Interact. 2025, 41, 6047–6066. [Google Scholar] [CrossRef]
- Montagu, A.; Matson, F.W. The Dehumanization of Man; McGraw-Hill: Columbus, OH, USA, 1983; Available online: http://ci.nii.ac.jp/ncid/BA07067706 (accessed on 2 May 2025).
- Haslam, N. Dehumanization: An integrative review. Personal. Soc. Psychol. Rev. 2006, 10, 252–264. [Google Scholar] [CrossRef]
- Henkel, A.P.; Boegershausen, J.; Hoegg, J.; Aquino, K.; Lemmink, J. Discounting humanity: When consumers are price conscious, employees appear less human. J. Consum. Psychol. 2018, 28, 272–292. [Google Scholar] [CrossRef]
- Smith, D.L. Defining Dehumanization. In On Inhumanity: Dehumanization and How to Resist It; Oxford University Press: New York, NY, USA, 2020; pp. 17–22. [Google Scholar] [CrossRef]
- Baker, J.; Parasuraman, A.; Grewal, D.; Voss, G.B. The influence of multiple store environment cues on perceived merchandise value and patronage intentions. J. Mark. 2002, 66, 120–141. [Google Scholar] [CrossRef]
- Bradley, G.L.; McColl-Kennedy, J.R.; Sparks, B.A.; Jimmieson, N.L.; Zapf, D. Service encounter needs theory: A dyadic, psychosocial approach to understanding service encounters. In Research on Emotion in Organizations; Ashkanasy, N.M., Humphrey, R.H., Troth, A.C., Eds.; Emerald Group Publishing Limited: Leeds, UK, 2010; pp. 221–258. [Google Scholar] [CrossRef]
- Woo, K.S.; Chan, B. “Service with a smile” and emotional contagion: A replication and extension study. Ann. Tour. Res. 2020, 80, 102850. [Google Scholar] [CrossRef]
- Meuter, M.L.; Ostrom, A.L.; Bitner, M.J.; Roundtree, R.I. The influence of technology anxiety on consumer use and experiences with self-service technologies. J. Bus. Res. 2003, 56, 899–906. [Google Scholar] [CrossRef]
- Mead, G.H. Mind, Self, and Society; University of Chicago Press: Chicago, IL, USA, 1934. [Google Scholar]
- Evans, A.-M. Ann Satterthwaite, going shopping: Consumer choices and community consequences (London: Yale University Press, 2001, $45.00). pp. 386. ISBN 0 300 08421 8. J. Am. Stud. 2004, 38, 167–168. [Google Scholar] [CrossRef]
- Kelly, P.; Lawlor, J.; Mulvey, M. Customer roles in self-service technology encounters in a tourism context. J. Travel Tour. Mark. 2016, 34, 222–238. [Google Scholar] [CrossRef]
- Reinders, M.J.; Dabholkar, P.A.; Frambach, R.T. Consequences of forcing consumers to use technology-based self-service. J. Serv. Res. 2008, 11, 107–123. [Google Scholar] [CrossRef]
- Bae, B.R. Effects of service authenticity, customer participation and customer-perceived service climate on customers’ service evaluation. Asia Pac. J. Mark. Logist. 2020, 33, 1239–1254. [Google Scholar] [CrossRef]
- Weisz, E.; Cikara, M. Strategic Regulation of Empathy. Trends Cogn. Sci. 2021, 25, 213–227. [Google Scholar] [CrossRef]
- Liu, S. The impact of forced use on customer adoption of self-service technologies. Comput. Hum. Behav. 2012, 28, 1194–1201. [Google Scholar] [CrossRef]
- Reinders, M.J.; Frambach, R.; Kleijnen, M. Mandatory use of technology-based self-service: Does expertise help or hurt? Eur. J. Mark. 2015, 49, 190–211. [Google Scholar] [CrossRef]
- Bulmer, S.; Elms, J.; Moore, S. Exploring the adoption of self-service checkouts and the associated social obligations of shopping practices. J. Retail. Consum. Serv. 2018, 42, 107–116. [Google Scholar] [CrossRef]
- Yang, F.; Ying, T.; Liu, X. Echoes of Innovation: Exploring the Use of Voice Assistants to Boost Hotel Reputation. J. Theor. Appl. Electron. Commer. Res. 2025, 20, 46. [Google Scholar] [CrossRef]
- Granulo, A.; Fuchs, C.; Puntoni, S. Preference for human (vs. robotic) labor is stronger in symbolic consumption contexts. J. Consum. Psychol. 2020, 31, 72–80. [Google Scholar] [CrossRef]
- Collier, J.E.; Sherrell, D.L. Examining the influence of control and convenience in a self-service setting. J. Acad. Mark. Sci. 2009, 38, 490–509. [Google Scholar] [CrossRef]
- Zhao, B.; Kim, J.E.; Moon, J.; Nam, E.W. Social engagement and subjective health among older adults in South Korea: Evidence from the Korean Longitudinal Study of Aging (2006–2018). SSM Popul. Health 2023, 21, 101341. [Google Scholar] [CrossRef]
- Jinyoung, N.; Seongcheol, K. Why do elderly people feel negative about the use of self-service technology and how do they cope with the negative emo-tions? In Proceedings of the 31st European Conference of the International Telecommunications Society (ITS): “Reining in Digital Platforms? Challenging Monopolies, Promoting Competition and Developing Regulatory Regimes”, Gothenburg, Sweden, 20–21 June 2022. [Google Scholar]
- Ruiz-Junco, N. Advancing the sociology of empathy: Aproposal. Symb. Interact. 2017, 40, 414–435. [Google Scholar] [CrossRef]
- Simon, F. The influence of empathy in complaint handling: Evidence of attitudinal and transactional routes to loyalty. J. Retail. Consum. Serv. 2013, 20, 599–608. [Google Scholar] [CrossRef]
- Sharkey, A.; Sharkey, N. Granny and the Robots: Ethical Issues in Robot Care for the elderly. Ethics Inf. Technol. 2010, 14, 27–40. [Google Scholar] [CrossRef]
- Pedersen, C.L. Empathy-based marketing. Psychol. Mark. 2021, 38, 470–480. [Google Scholar] [CrossRef]
- Terry, C.; Cain, J. The emerging issue of digital empathy. Am. J. Pharm. Educ. 2016, 80, 58. [Google Scholar] [CrossRef]
- Lin, P.M.; Ren, L.; Chen, C. Customers’ perception of the authenticity of a Cantonese restaurant. J. China Tour. Res. 2017, 13, 211–230. [Google Scholar] [CrossRef]
- Matthews, A.L.; Eilert, M. Signaling Authenticity for Frontline Service Employees. J. Serv. Mark. 2021, 36, 416–431. [Google Scholar] [CrossRef]
- Brown, S.; Kozinets, R.V.; Sherry, J.F. Teaching old brands new tricks: Retro branding and the revival of Brand meaning. J. Mark. 2003, 67, 19–33. [Google Scholar] [CrossRef]
- Zoller, D. Skilled Perception, Authenticity, and the Case Against Automation; Oxford Scholarship Online; Oxford Academic: Oxford, UK, 2017. [Google Scholar] [CrossRef]
- Wu, Y.-H.; Cristancho-Lacroix, V.; Fassert, C.; Faucounau, V.; de Rotrou, J.; Rigaud, A.-S. The attitudes and perceptions of older adults with mild cognitive impairment toward an assistive robot. J. Appl. Gerontol. 2014, 35, 3–17. [Google Scholar] [CrossRef]
- Baumeister, R.F.; Leary, M.R. The need to belong: Desire for interpersonal attachments as a fundamental human motivation. Psychol. Bull. 1995, 117, 497–529. [Google Scholar] [CrossRef] [PubMed]
- Collier, J.E.; Kimes, S.E. Only if it is convenient. J. Serv. Res. 2013, 16, 39–51. [Google Scholar] [CrossRef]
- Mo, L.; Zhang, L.; Sun, X.; Zhou, Z. Unlock Happy Interactions: Voice Assistants Enable Autonomy and Timeliness. J. Theor. Appl. Electron. Commer. Res. 2024, 19, 1013–1033. [Google Scholar] [CrossRef]
- Ejdys, J.; Gulc, A. Factors influencing the intention to use assistive technologies by older adults. Hum. Technol. 2022, 18, 6–28. [Google Scholar] [CrossRef]
- Demoulin, N.T.; Djelassi, S. An integrated model of self-service technology (SST) usage in a retail context. Int. J. Retail. Distrib. Manag. 2016, 44, 540–559. [Google Scholar] [CrossRef]
- Mouloudj, K.; Aprile, M.C.; Bouarar, A.C.; Njoku, A.; Evans, M.A.; Oanh, L.V.L.; Asanza, D.M.; Mouloudj, S. Investigating Antecedents of Intention to Use Green Agri-Food Delivery Apps: Merging TPB with Trust and Electronic Word of Mouth. Sustainability 2025, 17, 3717. [Google Scholar] [CrossRef]
- Carstensen, L. Evidence for a life-span theory of socioemotional selectivity. Curr. Dir. Psychol. Sci. 1995, 4, 151–156. [Google Scholar] [CrossRef]
- Wang, C.; Qu, H.; Hsu, M.K. Toward an integrated model of tourist expectation formation and gender difference. Tour. Manag. 2016, 54, 58–71. [Google Scholar] [CrossRef]
- Cross, S.E.; Madson, L. Models of the self: Self-construals and gender. Psychol. Bull. 1997, 122, 5–37. [Google Scholar] [CrossRef] [PubMed]
- Lee, H.J.; Fairhurst, A.; Cho, H.J. Gender differences in consumer evaluations of service quality: Self-service kiosks in retail. Serv. Ind. J. 2013, 33, 248–265. [Google Scholar] [CrossRef]
- World Health Organization (WHO). Mental Health and Psychosocial Considerations During the COVID-19 Outbreak; World Health Organization: Geneva, Switzerland, 2020; Available online: https://www.who.int/docs/default-source/coronaviruse/mental-health-considerations.pdf (accessed on 15 May 2025).
- Kang, J. High-Tech Convenience Stores Boom Amid High Labor Costs and Contactless Services; Yonhap News Agency: Seoul, Republic of Korea, 2022; Available online: https://en.yna.co.kr/view/AEN20220701004100320 (accessed on 15 May 2025).
- Almokdad, E.; Kiatkawsin, K.; Lee, C.H. Antecedents of booster vaccine intention for domestic and International Travel. Sustainability 2023, 15, 6399. [Google Scholar] [CrossRef]
- Chang, J.H.; Lee, C.H. The effect of real-time crowding information on tourists’ procrastination of planned travel schedule. J. Hosp. Tour. Manag. 2023, 56, 18–28. [Google Scholar] [CrossRef]
- Gorsuch, R.L. Factor Analysis: Classic Edition; Routledge: Abingdon, UK, 2015. [Google Scholar]
- Wallach, K.A.; Popovich, D. When big is less than small: Why dominant brands lack authenticity in their sustainability initiatives. J. Bus. Res. 2023, 158, 113694. [Google Scholar] [CrossRef]
- Deepa, V.; Baber, H.; Shukla, B.; Sujatha, R.; Khan, D. Does lack of social interaction act as a barrier to effectiveness in work from home? COVID-19 and gender. J. Organ. Eff. People Perform. 2023, 10, 94–111. [Google Scholar] [CrossRef]
- Plank, R.E.; Minton, A.P.; Reid, D.A. A short measure of perceived empathy. Psychol. Rep. 1996, 79 (Suppl. S3), 1219–1226. [Google Scholar] [CrossRef]
- Tussyadiah, I.P.; Zach, F.J.; Wang, J. Attitudes Toward Autonomous on Demand Mobility System: The Case of Self-Driving Taxi. In Information and Communication Technologies in Tourism; Schegg, R., Stangl, B., Eds.; Springer: Cham, Switzerland, 2017; pp. 755–766. [Google Scholar] [CrossRef]
- Sessa, J.; Syed, D. Techniques to deal with missing data. In Proceedings of the 2016 5th International Conference on Electronic Devices, Systems and Applications (ICEDSA), Ras Al Khaimah, United Arab Emirates, 6–8 December 2016. [Google Scholar] [CrossRef]
- Lai, K.; Green, S.B. The problem with having two watches: Assessment of fit when RMSEA and CFI disagree. Multivar. Behav. Res. 2016, 51, 220–239. [Google Scholar] [CrossRef]
- Fornell, C.; Larcker, D.F. Evaluating structural equation models with unobservable variables and measurement error. J. Mark. Res. 1981, 18, 39. [Google Scholar] [CrossRef]
- Hair, J.F.; Ringle, C.M.; Sarstedt, M. Partial least squares: The better approach to structural equation modeling? Long Range Plan. 2012, 45, 312–319. [Google Scholar] [CrossRef]
- Hayes, A.F.; Scharkow, M. The relative trustworthiness of inferential tests of the indirect effect in statistical mediation analysis. Psychol. Sci. 2013, 24, 1918–1927. [Google Scholar] [CrossRef] [PubMed]
- Baron, R.M.; Kenny, D.A. The moderator–mediator variable distinction in social psychological research: Conceptual, strategic, and statistical considerations. J. Personal. Soc. Psychol. 1986, 51, 1173–1182. [Google Scholar] [CrossRef] [PubMed]
Disclaimer/Publisher’s Note: The statements, opinions and data contained in all publications are solely those of the individual author(s) and contributor(s) and not of MDPI and/or the editor(s). MDPI and/or the editor(s) disclaim responsibility for any injury to people or property resulting from any ideas, methods, instructions or products referred to in the content. |
© 2025 by the authors. Licensee MDPI, Basel, Switzerland. This article is an open access article distributed under the terms and conditions of the Creative Commons Attribution (CC BY) license (https://creativecommons.org/licenses/by/4.0/).


