Entropy Generation and Mixed Convection Flow Inside a Wavy-Walled Enclosure Containing a Rotating Solid Cylinder and a Heat Source
Abstract
1. Introduction
2. Mathematical Formulation
3. Numerical Method and Validation
4. Results and Discussion
5. Conclusions
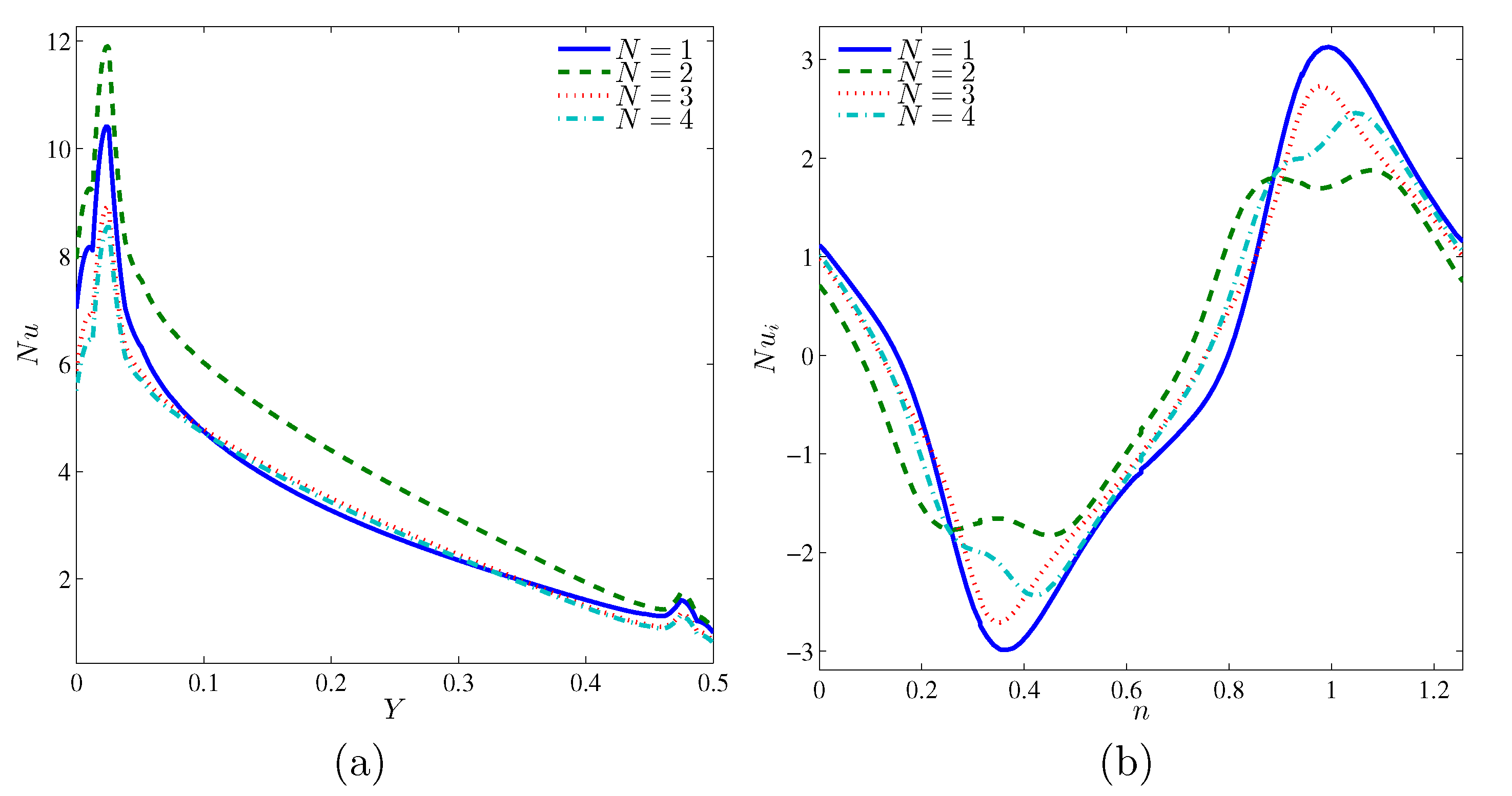
- The flow can be controlled by manipulating the angular speed of the cylinder.
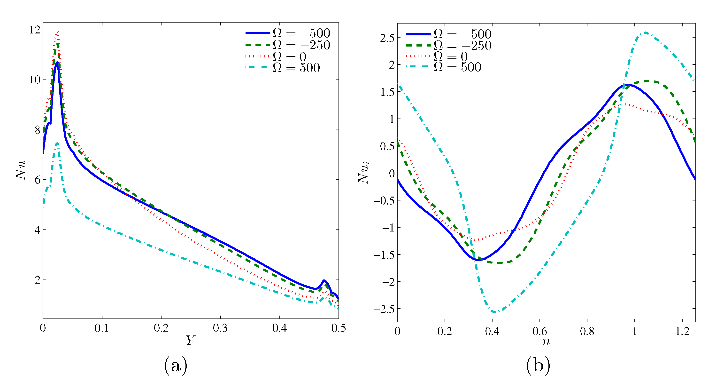
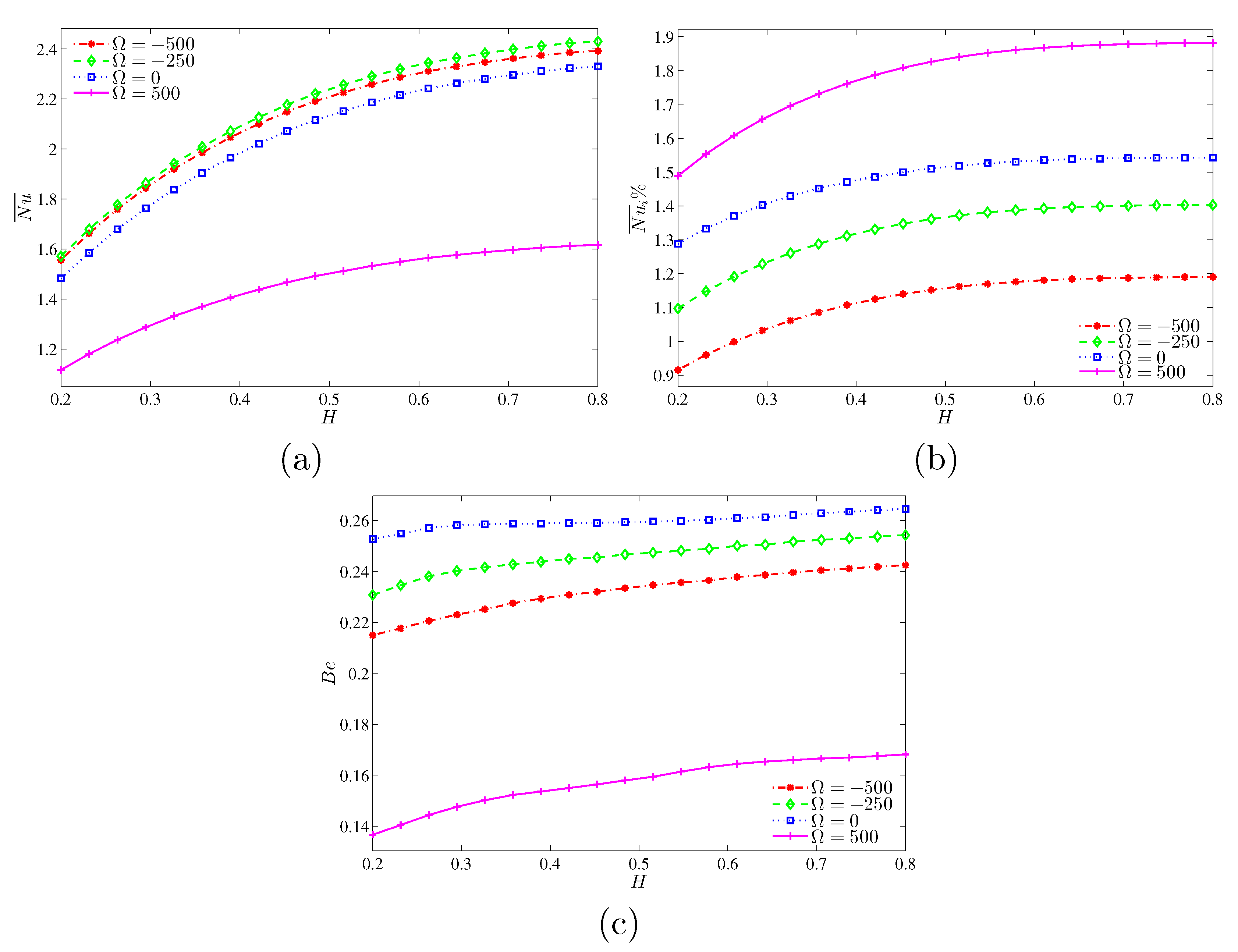
- At low Rayleigh number, the rotational direction of the the solid cylinder does not affect the heat transfer rate, and the entropy generation is mainly driven by heat transfer for .
- As the Rayleigh number increases, the clockwise rotation about the solid cylinder strengthens the convective flow cell inside the wavy container. The local Nusselt number peaks at the upper segment of the heated surface.
- When the heat conduction dominates, the entropy generation near the wavy container is mainly driven by heat transfer. On the other hand, for convective heat transfer, entropy production is mainly driven by fluid friction.
- The Bejan number is high for all cases involving nearly motionless cylinder for all considered oscillation numbers.
- Increasing the heater length can promote the heat transfer within the wavy container. As a result, the Bejan number increases slightly.
Author Contributions
Funding
Acknowledgments
Conflicts of Interest
Abbreviations
| Nomenclature | |
| A | amplitude |
| Bejan number | |
| specific heat capacity (J kg K) | |
| g | gravitational acceleration (m s) |
| GEG | dimensionless global entropy generation |
| h | heat source length (m) |
| H | dimensionless heat source length, |
| k | thermal conductivity (Wm K) |
| solid circular cylinder to fluid thermal conductivity ratio, | |
| L | width and height of cavity (m) |
| N | number of oscillations |
| average Nusselt number | |
| p | pressure (Pa) |
| P | dimensionless pressure |
| Pr | Prandtl number |
| r | radius of rotating cylinder (m) |
| R | dimensionless radius of rotating cylinder |
| Rayleigh number | |
| Reynolds number | |
| Richardson number | |
| dimensionless entropy generation fluid friction irreversibility | |
| dimensionless entropy generation due to heat transfer irreversibility | |
| Entropy generation rate (W K m) | |
| Dimensionless entropy generation rate | |
| T | temperature (K) |
| x, y | Cartesian coordinates (m) |
| u, v | velocity components in the x- and y-directions (ms) |
| X, Y | dimensionless coordinates |
| U, V | dimensionless velocity components in the X- and Y-directions |
| Greek symbols | |
| thermal diffusivity (m s) | |
| thermal expansion coefficient (K) | |
| kinematic viscosity (m s) | |
| irreversibility distribution ratio | |
| dimensionless length of the cylinder surface | |
| dimensionless temperature | |
| angular rotational velocity | |
| dimensionless angular rotational velocity | |
| density (kg m) | |
| dynamic viscosity (kg ms) | |
| Subscript | |
| c | cold (temperature) |
| f | fluid |
| h | hot (temperature) |
| s | interface surface of solid circular cylinder |
| 0 | reference value |
References
- Alsabery, A.I.; Sheremet, M.A.; Chamkha, A.; Hashim, I. Impact of nonhomogeneous nanofluid model on transient mixed convection in a double lid-driven wavy cavity involving solid circular cylinder. Int. J. Mech. Sci. 2019, 150, 637–655. [Google Scholar] [CrossRef]
- Kumar, B.R. A study of free convection induced by a vertical wavy surface with heat flux in a porous enclosure. Numer. Heat Tranf. A-Appl. 2000, 37, 493–510. [Google Scholar] [CrossRef]
- Adjlout, L.; Imine, O.; Azzi, A.; Belkadi, M. Laminar natural convection in an inclined cavity with a wavy wall. Int. J. Heat Mass Transf. 2002, 45, 2141–2152. [Google Scholar] [CrossRef]
- Das, P.K.; Mahmud, S. Numerical investigation of natural convection inside a wavy enclosure. Int. J. Therm. Sci. 2003, 42, 397–406. [Google Scholar]
- Al-Amiri, A.; Khanafer, K.; Bull, J.; Pop, I. Effect of sinusoidal wavy bottom surface on mixed convection heat transfer in a lid-driven cavity. Int. J. Heat Mass Transf. 2007, 50, 1771–1780. [Google Scholar] [CrossRef]
- Dalal, A.; Das, M.K. Natural convection in a cavity with a wavy wall heated from below and uniformly cooled from the top and both sides. Int. J. Heat Mass Transf. 2006, 128, 717–725. [Google Scholar]
- Rostami, J. Unsteady natural convection in an enclosure with vertical wavy walls. Heat Mass Transf. 2008, 44, 1079–1087. [Google Scholar] [CrossRef]
- Abu-Nada, E.; Chamkha, A.J. Mixed convection flow of a nanofluid in a lid-driven cavity with a wavy wall. Int. Commun. Heat Mass Transf. 2014, 57, 36–47. [Google Scholar]
- Sheikholeslami, M.; Chamkha, A.J. Flow and convective heat transfer of a ferro-nanofluid in a double-sided lid-driven cavity with a wavy wall in the presence of a variable magnetic field. Numer. Heat Tranf. A-Appl. 2016, 69, 1186–1200. [Google Scholar] [CrossRef]
- Hayase, T.; Humphrey, J.; Greif, R. Numerical calculation of convective heat transfer between rotating coaxial cylinders with periodically embedded cavities. J. Heat Transfer 1992, 114, 589–597. [Google Scholar] [CrossRef]
- Fu, W.S.; Cheng, C.S.; Shieh, W.J. Enhancement of natural convection heat transfer of an enclosure by a rotating circular cylinder. Int. J. Heat Mass Transf. 1994, 37, 1885–1897. [Google Scholar]
- Ghaddar, N. Natural convection over rotating cylindrical heat source in an enclosure. J. Thermophys. Heat Transf. 1996, 10, 303–311. [Google Scholar] [CrossRef]
- Kimura, T.; Takeuchi, M.; Nagai, N.; Kataoka, Y.; Yoshida, T. Heat transfer regulation in a rectangular enclosure using a rotating plate. Heat Transf. Res. 2003, 32, 342–353. [Google Scholar] [CrossRef]
- Oztop, H.F.; Zhao, Z.; Yu, B. Fluid flow due to combined convection in lid-driven enclosure having a circular body. Int. J. Heat Fluid Flow 2009, 30, 886–901. [Google Scholar] [CrossRef]
- Paramane, S.B.; Sharma, A. Numerical investigation of heat and fluid flow across a rotating circular cylinder maintained at constant temperature in 2-D laminar flow regime. Int. J. Heat Mass Transf. 2009, 52, 3205–3216. [Google Scholar] [CrossRef]
- Liao, C.C.; Lin, C.A. Mixed convection of a heated rotating cylinder in a square enclosure. Int. J. Heat Mass Transf. 2014, 72, 9–22. [Google Scholar] [CrossRef]
- Hussain, S.H.; Hussein, A.K. Mixed convection heat transfer in a differentially heated square enclosure with a conductive rotating circular cylinder at different vertical locations. Int. J. Heat Mass Transf. 2011, 38, 263–274. [Google Scholar] [CrossRef]
- Chatterjee, D.; Gupta, S.K.; Mondal, B. Mixed convective transport in a lid-driven cavity containing a nanofluid and a rotating circular cylinder at the center. Int. J. Heat Mass Transf. 2014, 56, 71–78. [Google Scholar]
- Costa, V.; Raimundo, A. Steady mixed convection in a differentially heated square enclosure with an active rotating circular cylinder. Int. J. Heat Mass Transf. 2010, 53, 1208–1219. [Google Scholar]
- Khanafer, K.; Aithal, S. Mixed convection heat transfer in a lid-driven cavity with a rotating circular cylinder. Int. J. Heat Mass Transf. 2017, 86, 131–142. [Google Scholar]
- Mahmud, S.; Islam, A.S. Laminar free convection and entropy generation inside an inclined wavy enclosure. Int. J. Therm. Sci. 2003, 42, 1003–1012. [Google Scholar] [CrossRef]
- Magherbi, M.; Abbassi, H.; Brahim, A.B. Entropy generation at the onset of natural convection. Int. J. Heat Mass Transf. 2003, 46, 3441–3450. [Google Scholar] [CrossRef]
- Zahmatkesh, I. On the importance of thermal boundary conditions in heat transfer and entropy generation for natural convection inside a porous enclosure. Int. J. Therm. Sci. 2008, 47, 339–346. [Google Scholar] [CrossRef]
- Varol, Y.; Oztop, H.F.; Koca, A. Entropy generation due to conjugate natural convection in enclosures bounded by vertical solid walls with different thicknesses. Int. Commun. Heat Mass Transf. 2008, 35, 648–656. [Google Scholar] [CrossRef]
- Ilis, G.G.; Mobedi, M.; Sunden, B. Effect of aspect ratio on entropy generation in a rectangular cavity with differentially heated vertical walls. Int. Commun. Heat Mass Transf. 2008, 35, 696–703. [Google Scholar] [CrossRef]
- Parvin, S.; Chamkha, A. An analysis on free convection flow, heat transfer and entropy generation in an odd-shaped cavity filled with nanofluid. Int. Commun. Heat Mass Transf. 2014, 54, 8–17. [Google Scholar] [CrossRef]
- Chamkha, A.; Ismael, M.; Kasaeipoor, A.; Armaghani, T. Entropy generation and natural convection of CuO-water nanofluid in C-shaped cavity under magnetic field. Entropy 2016, 18, 50. [Google Scholar] [CrossRef]
- Sheremet, M.A.; Oztop, H.F.; Pop, I.; Abu-Hamdeh, N. Analysis of entropy generation in natural convection of nanofluid inside a square cavity having hot solid block: Tiwari and Das’ model. Entropy 2016, 18, 9. [Google Scholar] [CrossRef]
- Mansour, M.; Mansour, M.; Ahmed, S.E.; Ahmed, S.E.; Chamkha, A.J.; Chamkha, A.J. Entropy generation optimization for MHD natural convection of a nanofluid in porous media-filled enclosure with active parts and viscous dissipation. Int. J. Numer. Methods Heat Fluid Flow 2017, 27, 379–399. [Google Scholar] [CrossRef]
- Chamkha, A.; Rashad, A.; Mansour, M.; Armaghani, T.; Ghalambaz, M. Effects of heat sink and source and entropy generation on MHD mixed convection of a Cu-water nanofluid in a lid-driven square porous enclosure with partial slip. Phys. Fluids 2017, 29, 052001. [Google Scholar] [CrossRef]
- Mehryan, S.A.M.; Izadi, M.; Chamkha, A.J.; Sheremet, M.A. Natural convection and entropy generation of a ferrofluid in a square enclosure under the effect of a horizontal periodic magnetic field. J. Mol. Liq. 2018, 263, 510–525. [Google Scholar] [CrossRef]
- Roslan, R.; Saleh, H.; Hashim, I. Effect of rotating cylinder on heat transfer in a square enclosure filled with nanofluids. Int. J. Heat Mass Transf. 2012, 55, 7247–7256. [Google Scholar] [CrossRef]
- Roslan, R.; Saleh, H.; Hashim, I.; Bataineh, A.S. Natural convection in an enclosure containing a sinusoidally heated cylindrical source. Int. J. Heat Mass Transf. 2014, 70, 119–127. [Google Scholar] [CrossRef]
- Mahdi, R.A.; Mohammed, H.A.; Munisamy, K.M.; Saeid, N.H. Review of convection heat transfer and fluid flow in porous media with nanofluid. Renew. Enew. Sust. Energ. Rev. 2015, 41, 715–734. [Google Scholar] [CrossRef]
- Pourmehran, O.; Rahimi-Gorji, M.; Hatami, M.; Sahebi, S.A.R.; Domairry, G. Numerical optimization of microchannel heat sink (MCHS) performance cooled by KKL based nanofluids in saturated porous medium. J. Taiwan Inst. Chem. Eng. 2015, 55, 49–68. [Google Scholar] [CrossRef]
- Zhang, H.; Ramakrishnan, T.S.; Nikolov, A.; Wasan, D. Enhanced oil displacement by nanofluid’s structural disjoining pressure in model fractured porous media. J. Colloid Interface Sci. 2018, 511, 48–56. [Google Scholar] [CrossRef]
- Alsabery, A.I.; Ishak, M.S.; Chamkha, A.J.; Hashim, I. Entropy generation analysis and natural convection in a nanofluid-filled square cavity with a concentric solid insert and different temperature distributions. Entropy 2018, 20, 336. [Google Scholar] [CrossRef]
- Alsabery, A.I.; Ismael, M.A.; Chamkha, A.J.; Hashim, I. Numerical investigation of mixed convection and entropy generation in a wavy-walled cavity filled with nanofluid and involving a rotating cylinder. Entropy 2018, 20, 664. [Google Scholar] [CrossRef]












| Grid Size | Number of Elements | |||
|---|---|---|---|---|
| G1 | 2971 | 1.4835 | 3.2209 | |
| G2 | 3403 | 1.4927 | 3.2547 | |
| G3 | 3909 | 1.4946 | 3.2587 | |
| G4 | 4810 | 1.4982 | 3.2832 | |
| G5 | 11794 | 1.5015 | 3.3818 | |
| G6 | 27151 | 1.509 | 3.3833 | |
| G7 | 32745 | 1.5088 | 3.3836 |
| Physical Properties | Fluid Phase (Water) | Solid Cylinder (Brickwork) |
|---|---|---|
| 0.628 | 0.76 | |
| 993 | 1700 | |
| 4178 | 800 |
© 2020 by the authors. Licensee MDPI, Basel, Switzerland. This article is an open access article distributed under the terms and conditions of the Creative Commons Attribution (CC BY) license (http://creativecommons.org/licenses/by/4.0/).
Share and Cite
Alsabery, A.I.; Tayebi, T.; Roslan, R.; Chamkha, A.J.; Hashim, I. Entropy Generation and Mixed Convection Flow Inside a Wavy-Walled Enclosure Containing a Rotating Solid Cylinder and a Heat Source. Entropy 2020, 22, 606. https://doi.org/10.3390/e22060606
Alsabery AI, Tayebi T, Roslan R, Chamkha AJ, Hashim I. Entropy Generation and Mixed Convection Flow Inside a Wavy-Walled Enclosure Containing a Rotating Solid Cylinder and a Heat Source. Entropy. 2020; 22(6):606. https://doi.org/10.3390/e22060606
Chicago/Turabian StyleAlsabery, Ammar I., Tahar Tayebi, Rozaini Roslan, Ali J. Chamkha, and Ishak Hashim. 2020. "Entropy Generation and Mixed Convection Flow Inside a Wavy-Walled Enclosure Containing a Rotating Solid Cylinder and a Heat Source" Entropy 22, no. 6: 606. https://doi.org/10.3390/e22060606
APA StyleAlsabery, A. I., Tayebi, T., Roslan, R., Chamkha, A. J., & Hashim, I. (2020). Entropy Generation and Mixed Convection Flow Inside a Wavy-Walled Enclosure Containing a Rotating Solid Cylinder and a Heat Source. Entropy, 22(6), 606. https://doi.org/10.3390/e22060606

