Improved Approach for the Maximum Entropy Deconvolution Problem
Abstract
1. Introduction
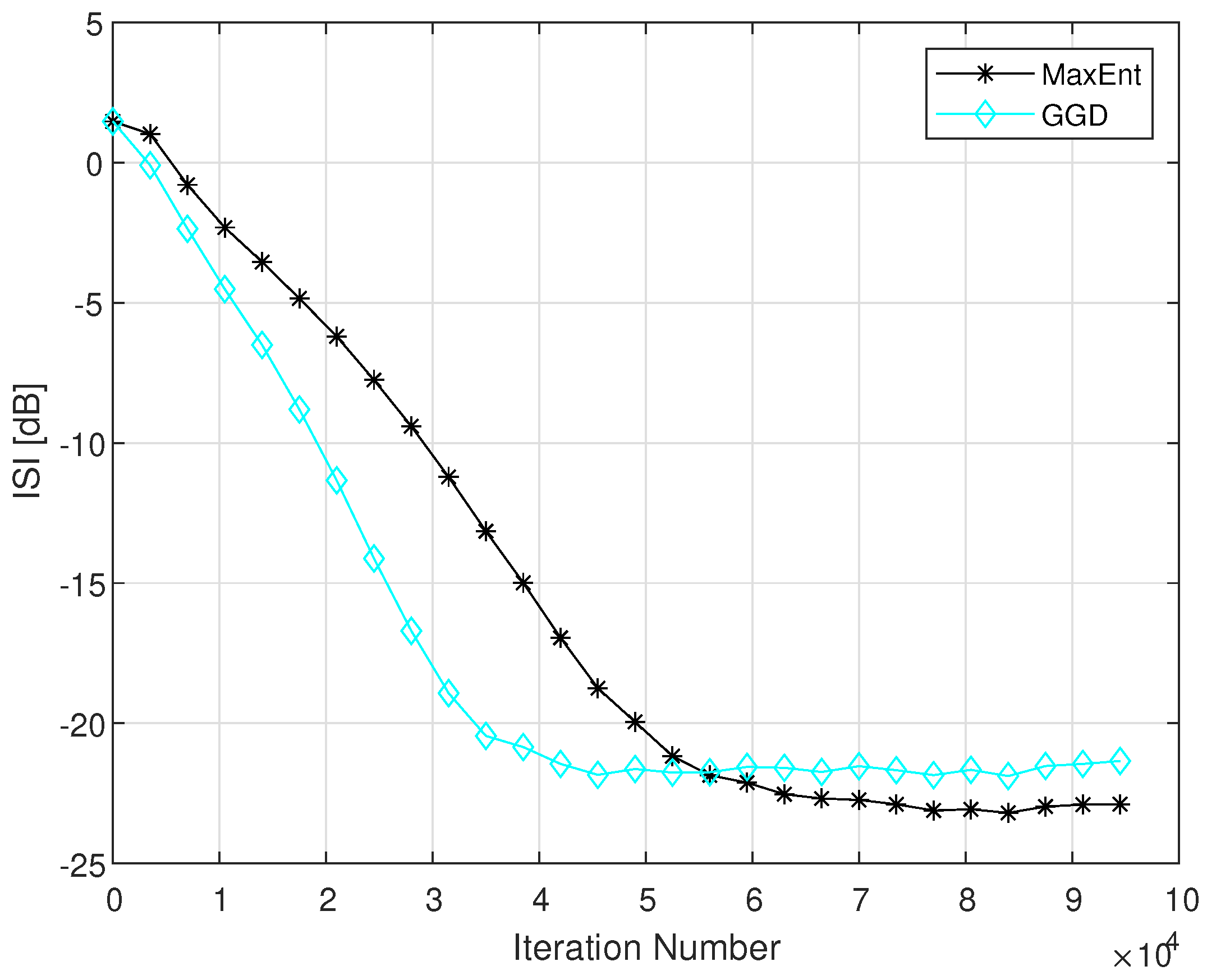
- Improved equalization performance from the convergence time point of view for the easy [6] as well as for the hard channel case, compared to the original Maximum Entropy algorithm [1]. The improvement in the convergence time for the hard channel case is approximately of 15,000 symbols while for the easy channel case the improvement in the convergence time is approximately of 250 symbols. In both cases we may say that the improvement in the convergence time is approximately third of the convergence time of the original Maximum Entropy algorithm [1].
- Based on [3], the blind adaptive equalization algorithm with the closed-form approximated expression for the conditional expectation based on approximating the convolutional noise pdf with the Maximum Entropy density approximation technique, achieved for the hard channel case, the same equalization performance from the residual ISI and convergence time point of view as was achieved with the original Maximum Entropy algorithm [1]. Thus, the improvement in the convergence time with our new proposed method compared with the algorithm in [3] is also approximately of 15,000 symbols for the hard channel case.
- The new proposed equalization method does not need additional predefined parameters (additional to the predefined step-size parameter involved in the equalizer’s coefficients update mechanism) in the algorithm in order to get improved convergence time compared to the original Maximum Entropy algorithm [1], as does the algorithm in [4] where the convolutional noise pdf was approximated with the Edgeworth Expansion series.
- For the easy channel case and SNR of 26 dB, the new proposed equalization method has improved equalization performance from the residual ISI and convergence time point of view compared to the recently proposed methods [2,5] which are versions of the original Maximum Entropy algorithm [1]. From the residual ISI point of view, the improvement is approximately 4 dB while the improvement in the convergence time is approximately third of the convergence time achieved by the equalization methods presented in [2,5].
2. System Description
- The input sequence is a 16QAM source (a modulation using ± {1,3} levels for in-phase and quadrature components) which can be written as where and are the real and imaginary parts of , respectively. and are independent and (where denotes the expectation operator on ).
- The unknown channel is a possibly non-minimum phase linear time-invariant filter in which the transfer function has no “deep zeros”; namely, the zeros lie sufficiently far from the unit circle.
- The filter is a tap-delay line.
- The channel noise is an additive Gaussian white noise.
- The function is a memoryless nonlinear function that satisfies the additivity condition:where , are the real and imaginary parts of the equalized output, respectively.
3. GGD Based Closed-Form Approximated Expression for the Conditional Expectation
4. Simulation
5. Conclusions
Author Contributions
Funding
Data Availability Statement
Acknowledgments
Conflicts of Interest
References
- Pinchas, M.; Bobrovsky, B.Z. A Maximum Entropy approach for blind deconvolution. Signal Process. (Eurasip) 2006, 86, 2913–2931. [Google Scholar] [CrossRef]
- Pinchas, M. A New Efficient Expression for the Conditional Expectation of the Blind Adaptive Deconvolution Problem Valid for the Entire Range of Signal-to-Noise Ratio. Entropy 2019, 21, 72. [Google Scholar] [CrossRef] [PubMed]
- Freiman, A.; Pinchas, M. A Maximum Entropy inspired model for the convolutional noise PDF. Digit. Signal Process. 2015, 39, 35–49. [Google Scholar] [CrossRef]
- Rivlin, Y.; Pinchas, M. Edgeworth Expansion Based Model for the Convolutional Noise pdf. Math. Problem. Eng. 2014. [Google Scholar] [CrossRef]
- Pinchas, M. New Lagrange Multipliers for the Blind Adaptive Deconvolution Problem Applicable for the Noisy Case. Entropy 2016, 18, 65. [Google Scholar] [CrossRef]
- Shalvi, O.; Weinstein, E. New criteria for blind deconvolution of nonminimum phase systems (channels). IEEE Trans. Inf. Theory 1990, 36, 312–321. [Google Scholar] [CrossRef]
- Pinchas, M.; Bobrovsky, B.Z. A Novel HOS Approach for Blind Channel Equalization. IEEE Wireless Commun. J. 2007, 6, 875–886. [Google Scholar] [CrossRef]
- Haykin, S. (Ed.) Adaptive Filter Theory. In Blind Deconvolution; Prentice-Hall: Englewood Cliffs, NJ, USA, 1991; Chapter 20. [Google Scholar]
- Bellini, S. Bussgang techniques for blind equalization. IEEE Global Telecommun. Conf. Record. 1986, 3, 1634–1640. [Google Scholar]
- Bellini, S. Blind Equalization. Alta Frequenza 1988, 57, 445–450. [Google Scholar]
- Fiori, S. A contribution to (neuromorphic) blind deconvolution by flexible approximated Bayesian estimation. Signal Process. (Eurasip) 2001, 81, 2131–2153. [Google Scholar] [CrossRef]
- Godfrey, R.; Rocca, F. Zero memory non-linear deconvolution. Geophys. Prospect. 1981, 29, 189–228. [Google Scholar] [CrossRef]
- Jumarie, G. Nonlinear filtering: A weighted mean squares approach and a Bayesian one via the Maximum Entropy principle. Signal Process. 1990, 21, 323–338. [Google Scholar] [CrossRef]
- Papulis, A. Probability, Random Variables, and Stochastic Processes, 2nd ed.; International Edition; McGraw-Hill: New York, NY, USA, 1984; Chapter 15; p. 536. [Google Scholar]
- Assaf, S.A.; Zirkle, L.D. Approximate analysis of nonlinear stochastic systems. Int. J. Control 1976, 23, 477–492. [Google Scholar] [CrossRef]
- Bover, D.C.C. Moment equation methods for nonlinear stochastic systems. J. Math. Anal. Appl. 1978, 65, 306–320. [Google Scholar] [CrossRef]
- Armando Domínguez-molina, J.; González-farías, G.; Rodríguez-dagnino, R.M. A Practical Procedure to Estimate the Shape Parameter in the Generalized Gaussian Distribution. Available online: http://citeseerx.ist.psu.edu/viewdoc/summary?doi=10.1.1.329.2835; https://www.cimat.mx/reportes/enlinea/I-01-18_eng.pdf (accessed on 28 March 2021).
- González-Farías, G.; Domínguez-Molina, J.A.; Rodríguez-Dagnino, R.M. Effi-ciency of the Approximated Shape Parameter Estimator in the Generalized Gaussian Distribution. IEEE Trans. Vehicular Technol. 2009, 8, 4214–4223. [Google Scholar] [CrossRef]
- Novey, M.; Adali, T.; Roy, A. A complex generalized Gaussian distribution-characterization, generation and estimation. IEEE Trans. Signal Process. 2010, 58, 1427–1433. [Google Scholar] [CrossRef]
- Golberg, H.; Pinchas, M. A Novel Technique for Achieving the Approximated ISI at the Receiver for a 16QAM Signal Sent via a FIR Channel Based Only on the Received Information and Statistical Techniques. Entropy 2020, 22, 708. [Google Scholar] [CrossRef] [PubMed]
- Orszag, S.A.; Bender, C.M. Advanced Mathematical Methods for Scientist Engineers International Series in Pure and Applied Mathematics; McDraw-Hill: New York, NY, USA, 1978; Chapter 6. [Google Scholar]
- Lazaro, M.; Santamaria, I.; Erdogmus, D.; Hild, K.E.; Pantaleon, C.; Principe, J.C. Stochastic blind equalization based on pdf fitting using parzen estimator. IEEE Trans. Signal Process. 2005, 53, 696–704. [Google Scholar] [CrossRef]




Publisher’s Note: MDPI stays neutral with regard to jurisdictional claims in published maps and institutional affiliations. |
© 2021 by the authors. Licensee MDPI, Basel, Switzerland. This article is an open access article distributed under the terms and conditions of the Creative Commons Attribution (CC BY) license (https://creativecommons.org/licenses/by/4.0/).
Share and Cite
Shlisel, S.; Pinchas, M. Improved Approach for the Maximum Entropy Deconvolution Problem. Entropy 2021, 23, 547. https://doi.org/10.3390/e23050547
Shlisel S, Pinchas M. Improved Approach for the Maximum Entropy Deconvolution Problem. Entropy. 2021; 23(5):547. https://doi.org/10.3390/e23050547
Chicago/Turabian StyleShlisel, Shay, and Monika Pinchas. 2021. "Improved Approach for the Maximum Entropy Deconvolution Problem" Entropy 23, no. 5: 547. https://doi.org/10.3390/e23050547
APA StyleShlisel, S., & Pinchas, M. (2021). Improved Approach for the Maximum Entropy Deconvolution Problem. Entropy, 23(5), 547. https://doi.org/10.3390/e23050547

