Active Fault Isolation for Multimode Fault Systems Based on a Set Separation Indicator
Abstract
1. Introduction
2. Problem Formulation
3. Main Results
3.1. Parametric Characterization of the Residual Limit Set
3.2. Existing AFI Method Based on Steady-State Separating Hyperplanes
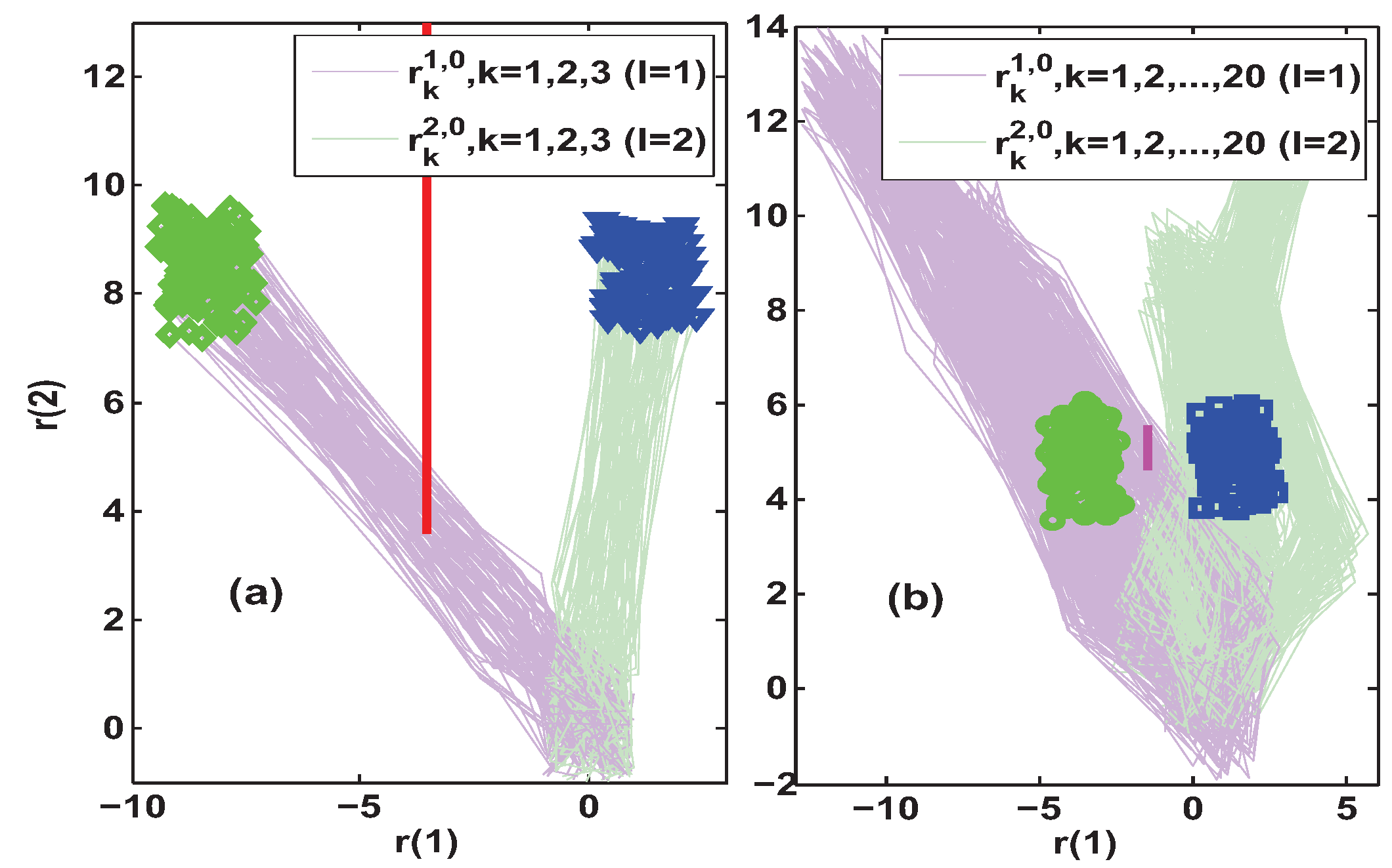
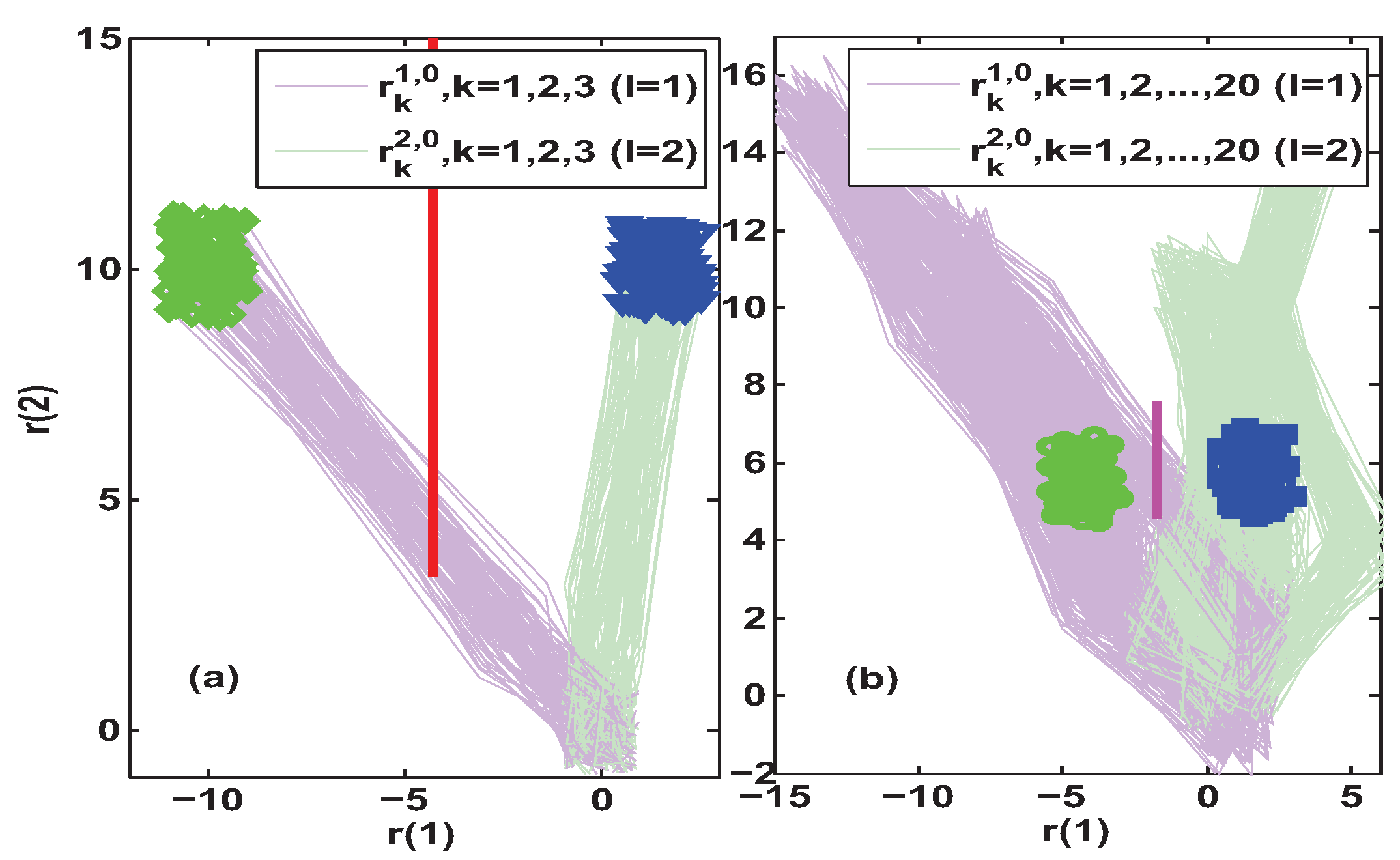
3.3. Proposed AFI Method Based on a Set Separation Indicator and Transient-State Separating Hyperplanes
- The direction vector is composed of the maximum distance points of the two sets, and the two points are determined by solving optimization problem (15);
- The direction vector is composed of two minimum distance points , where is the minimum distance point of the set to and is the minimum distance point of the set to . These two points are determined by solving the optimization problem (13) for given or , respectively.
| Algorithm 1 Active fault isolation method based on a constant auxiliary excitation and transient-state separating hyperplane |
|
| Algorithm 2 Active fault isolation method based on a constant auxiliary excitation and transient-state separating hyperplane |
|
4. Simulation Analysis and Discussion
4.1. System Description
4.2. Simulation Results and Comparisons
- Fault scenario: The oscillating system was previously in a healthy condition (); a fault occurred and was detected at , and the system mode/configuration changed from to or afterwards.
5. Experimental Test and Discussion
6. Conclusions
Author Contributions
Funding
Institutional Review Board Statement
Data Availability Statement
Acknowledgments
Conflicts of Interest
References
- Blanke, M.; Kinnaert, M.; Lunze, J.; Staroswiecki, M.; Schröder, J. Diagnosis and Fault-Tolerant Control; Springer Science & Business Media: Berlin/Heidelberg, Germany, 2006. [Google Scholar]
- Gao, Z.; Cecati, C.; Ding, S. A Survey of Fault diagnosis and fault tolerant techniques-Part I: Fault diagnosis with model-based and signal based approaches. IEEE Trans. Ind. Electron. 2015, 62, 3757–3767. [Google Scholar] [CrossRef]
- Ding, S. Model-Based Fault Diagnosis Techniques: Design Schemes, Algorithms, and Tools; Springer Science & Business Media: London, UK, 2008. [Google Scholar]
- Isermann, R. Fault-Diagnosis Systems: An Introduction From Fault Detection to Fault Tolerance; Springer Science & Business Media: Berlin/Heidelberg, Germany, 2005. [Google Scholar]
- Patton, R.J.; Frank, P.; Clark, R. Issues of Fault Diagnosis for Dynamic Systems; Springer Science & Business Media: London, UK, 2013. [Google Scholar]
- Badihi, H.; Zhang, Y.; Jiang, B.; Pillay, P.; Rakheja, S. A comprehensive review on signal-based and model-based condition monitoring of wind turbines: Fault diagnosis and lifetime prognosis. Proc. IEEE 2022, 110, 754–806. [Google Scholar] [CrossRef]
- Heirung, T.; Mesbah, A. Input design for active fault diagnosis. Annu. Rev. Control 2019, 47, 35–50. [Google Scholar] [CrossRef]
- Witczak, M. Fault Diagnosis and Fault-Tolerant Control Strategies for Non-Linear Systems; Springer International Publishing: Cham, Switzerland, 2014. [Google Scholar]
- Guo, Y.; He, X. Active diagnosis of incipient actuator faults for stochastic systems. IEEE Trans. Ind. Electron. 2023, 1–9. [Google Scholar] [CrossRef]
- Tan, J.; Xu, F.; Wang, Y.; Liang, B. Input design for integrated active fault diagnosis and output tracking control. Automatica 2022, 142, 110348. [Google Scholar] [CrossRef]
- Wei, Y.; Li, Y.; Xu, M.; Huang, W. A review of early fault diagnosis approaches and their applications in rotating machinery. Entropy 2019, 21, 409. [Google Scholar] [CrossRef]
- He, X.; Guo, Y.; Zhang, Z.; Jia, F.; Zhou, D. Active fault diagnosis for dynamic systems. Acta Autom. Sin. 2020, 46, 1557–1570. [Google Scholar]
- Niemann, H. A setup for active fault diagnosis. IEEE Trans. Autom. Control 2006, 51, 1572–1578. [Google Scholar] [CrossRef]
- Straka, O.; Puncochar, I. Distributed design for active fault diagnosis. Int. J. Syst. Sci. 2022, 53, 562–574. [Google Scholar] [CrossRef]
- Wang, Z.; Shen, Y. Model-Based Fault Diagnosis: Methods for State-Space Systems; Springer Nature: Singapore, 2022. [Google Scholar]
- Scott, J.K.; Findeisen, R.; Braatz, R.D.; Raimondo, D.M. Input design for guaranteed fault diagnosis using zonotopes. Automatica 2014, 50, 1580–1589. [Google Scholar] [CrossRef]
- Kim, K.; Raimondo, D.; Braatz, R. Optimum input design for fault detection and diagnosis: Model-based prediction and statistical distance measures. In Proceedings of the 2013 European Control Conference (ECC), Zurich, Switzerland, 17–19 July 2013; pp. 1940–1945. [Google Scholar]
- Scott, J.K.; Marseglia, G.R.; Magni, L.; Braatz, R.D.; Raimondo, D.M. A hybrid stochastic-deterministic input design method for active fault diagnosis. In Proceedings of the 52nd IEEE Conference on Decision and Control, Firenze, Italy, 10–13 December 2013; pp. 5656–5661. [Google Scholar]
- Ma, Y.; Wang, Z.; Meslem, N.; Raïssi, T.; Shen, Y. An improved zonotopic approach applied to fault detection for Takagi-Sugeno fuzzy systems. IEEE Trans. Fuzzy Syst. 2023, 1–13. [Google Scholar] [CrossRef]
- Wang, J.; Lv, X.; Meng, Z.; Puig, V. An integrated design method for active fault diagnosis and control. Int. J. Robust Nonlinear Control 2023. [Google Scholar] [CrossRef]
- Yan, Z.; Xu, F.; Tan, J.; Liu, H.; Liang, B. Reinforcement learning-based integrated active fault diagnosis and tracking control. ISA Trans. 2023, 132, 364–376. [Google Scholar] [CrossRef] [PubMed]
- Marseglia, G.; Raimondo, D. Active fault diagnosis: A multi-parametric approach. Automatica 2017, 223–230. [Google Scholar] [CrossRef]
- Wang, J.; Shi, Y.; Zhou, M.; Wang, Y.; Puig, V. Active fault detection based on set-membership approach for uncertain discrete-time systems. Int. J. Robust Nonlinear Control 2020, 30, 5322–5340. [Google Scholar] [CrossRef]
- Xu, F. Observer-based asymptotic active fault diagnosis: A two-layer optimization framework. Automatica 2021, 128, 109558. [Google Scholar] [CrossRef]
- Nikoukhah, R.; Campbell, S.; Delebecque, F. Detection signal design for failure detection: A robust approach. Int. J. Adapt. Control Signal Process. 2000, 14, 701–724. [Google Scholar] [CrossRef]
- Campbell, S.; Nikoukhah, R. Auxiliary Signal Design for Failure Detection; Princeton University Press: Princeton, NJ, USA, 2015. [Google Scholar]
- Xu, F.; Olaru, S.; Puig, V.; Ocampo-Martinez, C.; Niculescu, S.I. Sensor-fault tolerance using robust MPC with set-based state estimation and active fault isolation. Int. J. Robust Nonlinear Control 2017, 27, 1260–1283. [Google Scholar] [CrossRef]
- Tan, J.; Olaru, S.; Seron, M.M.; Xu, F. Set-based guaranteed active fault diagnosis for LPV systems with unknown bounded uncertainties. Automatica 2021, 128, 109602. [Google Scholar] [CrossRef]
- Blanchini, F.; Casagrande, D.; Giordano, G.; Miani, S.; Olaru, S.; Reppa, V. Active fault isolation: A duality-based approach via convex programming. SIAM J. Control Optim. 2017, 55, 1619–1640. [Google Scholar] [CrossRef]
- Blanchini, F.; Casagrande, D.; Giordano, G.; Miani, S.; Olaru, S.; Reppa, V. Fault isolation for large scale discrete-time systems based on implicit set representation. In Proceedings of the 2018 European Control Conference (ECC), Limassol, Cyprus, 12–15 June 2018; pp. 685–690. [Google Scholar]
- Han, K.; Chen, C.; Chen, M.; Wang, Z. Constrained active fault tolerant control based on active fault diagnosis and interpolation optimization. Entropy 2021, 23, 924. [Google Scholar] [CrossRef] [PubMed]
- Boem, F.; Gallo, A.J.; Raimondo, D.M.; Parisini, T. Distributed fault-tolerant control of large-scale systems: An active fault diagnosis approach. IEEE Trans. Control Netw. Syst. 2020, 7, 288–301. [Google Scholar] [CrossRef]
- Zhang, Z.; Guo, Y.; He, X. Active fault diagnosis for LPV systems: An index-based approach. IEEE Trans. Instrum. Meas. 2023, 72, 3503708. [Google Scholar] [CrossRef]
- Han, K.; Feng, J.; Zhao, Q.; Jiang, P.; Wang, X. Robust constrained predictive fault tolerant control with generalized input parameterization and event-triggered regulation: Design and experimental results. IEEE Trans. Ind. Electron. 2021, 68, 8615–8625. [Google Scholar] [CrossRef]
- Jin, H.; Zuo, Z.; Wang, Y.; Cui, L.; Li, L. An integrated model-based and data-driven gap metric method for fault detection and isolation. IEEE Trans. Cybern. 2022, 52, 12687–12697. [Google Scholar] [CrossRef]
- Tan, J.; Olaru, S.; Xu, F.; Wang, X. Towards a convex design framework for online active fault diagnosis of LPV systems. IEEE Trans. Autom. Control 2022, 67, 4154–4161. [Google Scholar] [CrossRef]
- Zhou, J.; Zhu, Y. Fault isolation based on transfer-function models using an MPC algorithm. Comput. Chem. Eng. 2022, 159, 107668. [Google Scholar] [CrossRef]
- Han, K.; Feng, J.; Li, Y.; Jiang, P.; Wang, X. Fault-tolerant tracking control optimization of constrained LPV systems based on embedded preview regulation and reference governance. IEEE Trans. Syst. Man Cybern. Syst. 2023, 53, 118–130. [Google Scholar] [CrossRef]
- Blanchini, F.; Miani, S. Set-Theoretic Methods in Control; Birkhauser: Basel, Switzerland, 2008. [Google Scholar]
- Shahzad, A.; Kerrigan, E.; Constantinides, G. A stable and efficient method for solving a convex quadratic program with application to optimal control. SIAM J. Control Optim. 2012, 22, 1369–1393. [Google Scholar] [CrossRef]








| Performance | Fault Detected (kth Sample) | Fault Isolated (kth Sample) | Isolation Latency (Samples) | Length of the Separation Line Segment | |
|---|---|---|---|---|---|
| Method | |||||
| Algorithm 2 | 512 | 515 | 3 | 9.816 | |
| [30] | 512 | 532 | 20 | 0.931 | |
Disclaimer/Publisher’s Note: The statements, opinions and data contained in all publications are solely those of the individual author(s) and contributor(s) and not of MDPI and/or the editor(s). MDPI and/or the editor(s) disclaim responsibility for any injury to people or property resulting from any ideas, methods, instructions or products referred to in the content. |
© 2023 by the authors. Licensee MDPI, Basel, Switzerland. This article is an open access article distributed under the terms and conditions of the Creative Commons Attribution (CC BY) license (https://creativecommons.org/licenses/by/4.0/).
Share and Cite
Han, K.; Lu, S.; Liu, Z.; Wang, Z. Active Fault Isolation for Multimode Fault Systems Based on a Set Separation Indicator. Entropy 2023, 25, 876. https://doi.org/10.3390/e25060876
Han K, Lu S, Liu Z, Wang Z. Active Fault Isolation for Multimode Fault Systems Based on a Set Separation Indicator. Entropy. 2023; 25(6):876. https://doi.org/10.3390/e25060876
Chicago/Turabian StyleHan, Kezhen, Shaohang Lu, Zhengce Liu, and Zipeng Wang. 2023. "Active Fault Isolation for Multimode Fault Systems Based on a Set Separation Indicator" Entropy 25, no. 6: 876. https://doi.org/10.3390/e25060876
APA StyleHan, K., Lu, S., Liu, Z., & Wang, Z. (2023). Active Fault Isolation for Multimode Fault Systems Based on a Set Separation Indicator. Entropy, 25(6), 876. https://doi.org/10.3390/e25060876

