Effect of Longitudinal Fluctuations of 3D Weizsäcker–Williams Field on Pressure Isotropization of Glasma
Abstract
1. Introduction
2. Method
2.1. CGC Effective Theory for Single Relativistic Nucleus
2.2. 3D Glasma in Collision of Relativistic Nuclei
2.3. 3D Color Charge Density
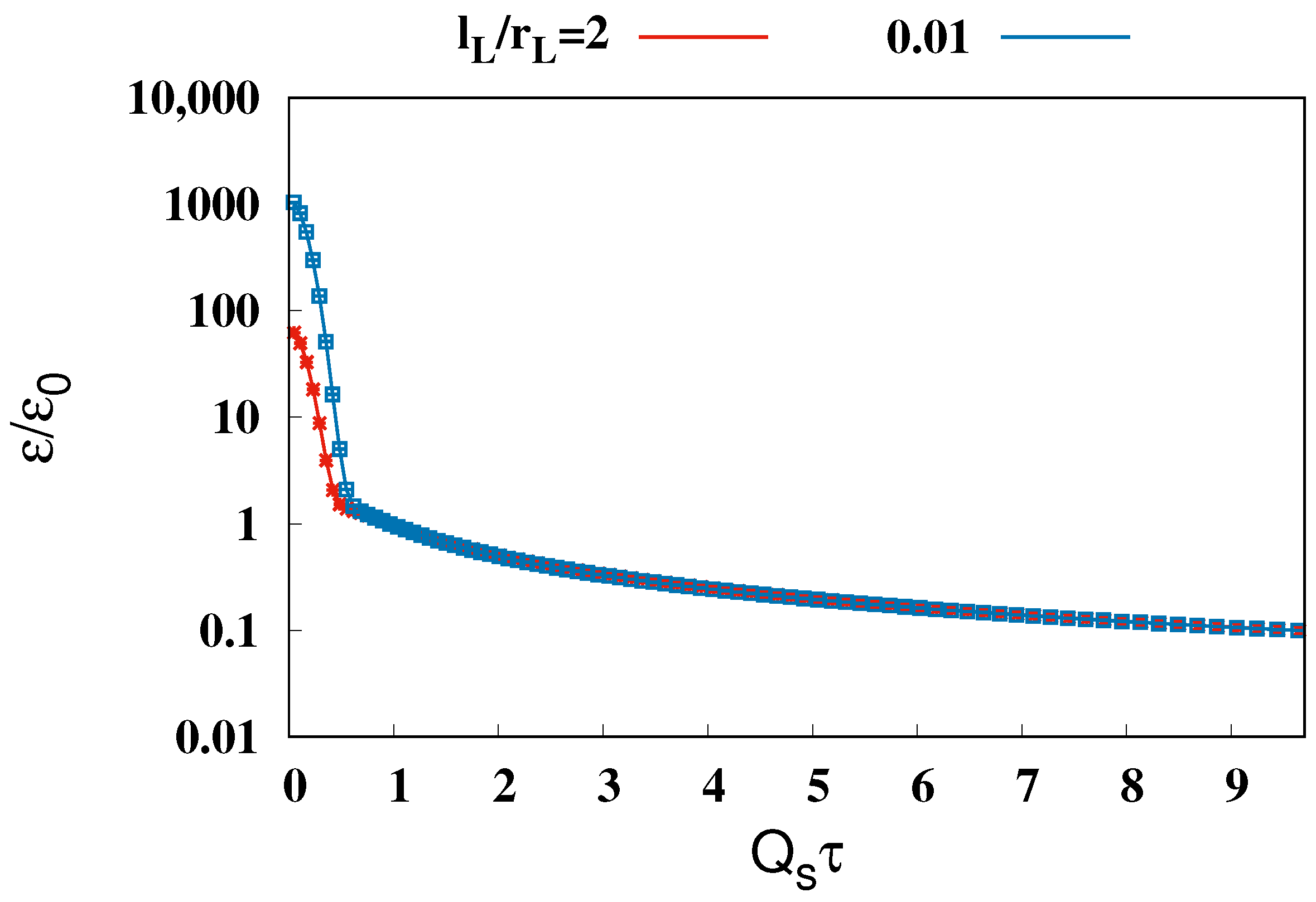
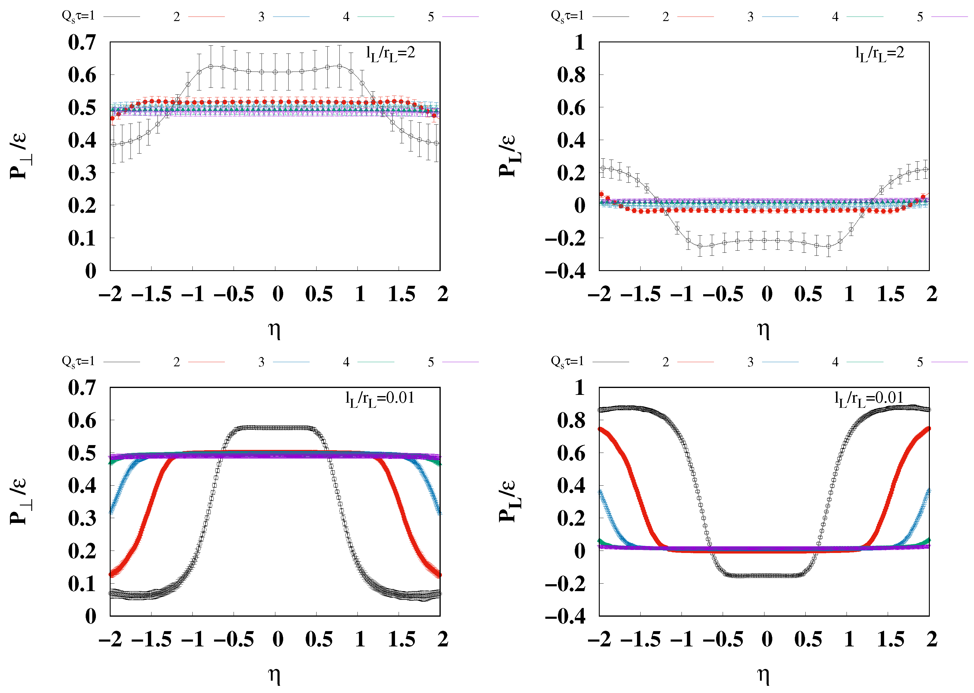
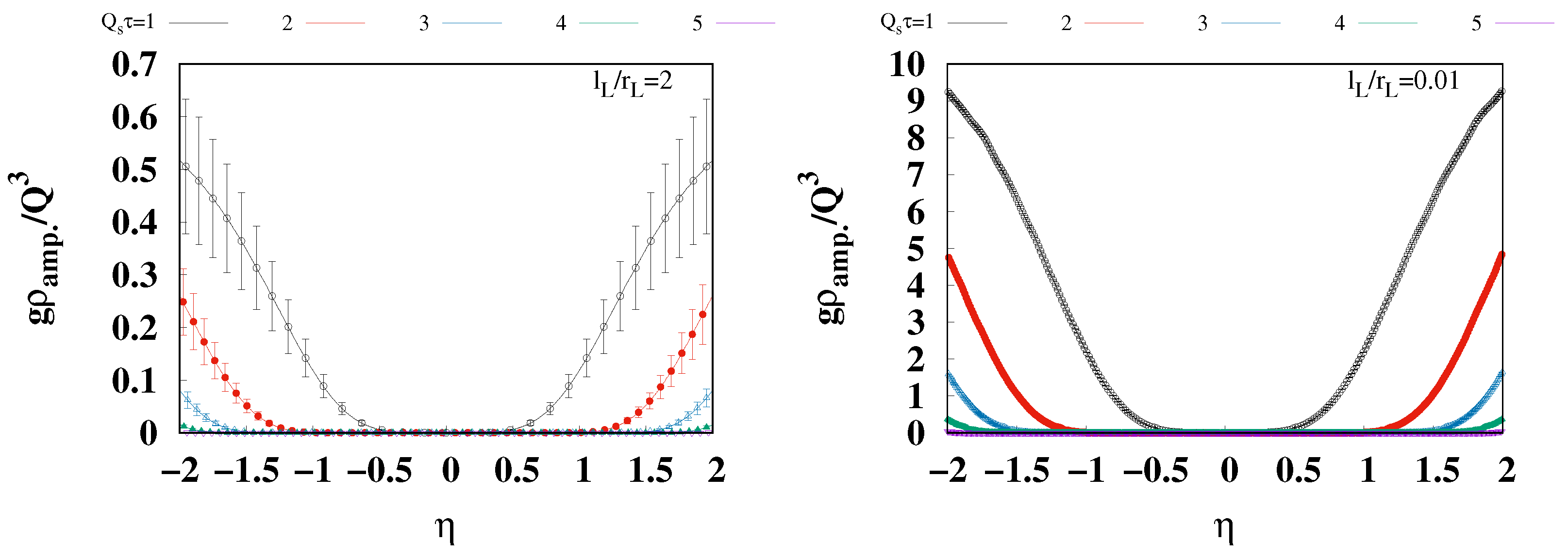
3. Numerical Results
3.1. Model Parameters
3.2. Midrapidity Region
3.3. Broader Rapidity Region
4. Summary
Author Contributions
Funding
Institutional Review Board Statement
Informed Consent Statement
Data Availability Statement
Acknowledgments
Conflicts of Interest
References
- Skokov, V.; Illarionov, A.Y.; Toneev, V. Estimate of the magnetic field strength in heavy-ion collisions. Int. J. Mod. Phys. A 2009, 24, 5925. [Google Scholar] [CrossRef]
- Bzdak, A.; Skokov, V. Event-by-event fluctuations of magnetic and electric fields in heavy ion collisions. Phys. Lett. B 2012, 710, 171. [Google Scholar] [CrossRef]
- Voronyuk, V.; Toneev, V.D.; Cassing, W.; Bratkovskaya, E.L.; Konchakovski, V.P.; Voloshin, S.A. Electromagnetic field evolution in relativistic heavy-ion collisions. Phys. Rev. C 2011, 83, 054911. [Google Scholar] [CrossRef]
- Deng, W.-T.; Huang, X.-G. Event-by-event generation of electromagnetic fields in heavy-ion collisions. Phys. Rev. C 2012, 85, 044907. [Google Scholar] [CrossRef]
- Bloczynski, J.; Huang, X.-G.; Zhang, X.; Liao, J.; Skokov, V.; Illarionov, A.Y.; Toneev, V. Azimuthally fluctuating magnetic field and its impacts on observables in heavy-ion collisions. Phys. Lett. B 2013, 718, 1529. [Google Scholar] [CrossRef]
- Kharzeev, D.E.; McLerran, L.D.; Warringa, H.J. The effects of topological charge change in heavy ion collisions: “Event by event P and CP violation”. Nucl. Phys. A 2008, 803, 227. [Google Scholar] [CrossRef]
- Fukushima, K.; Kharzeev, D.E.; Warringa, H.J. The Chiral Magnetic Effect. Phys. Rev. D 2008, 78, 074033. [Google Scholar] [CrossRef]
- Burnier, Y.; Kharzeev, D.E.; Liao, J.; Yee, H.-U. Chiral magnetic wave at finite baryon density and the electric quadrupole moment of quark-gluon plasma in heavy ion collisions. Phys. Rev. Lett. 2011, 107, 052303. [Google Scholar] [CrossRef]
- Tuchin, K. Synchrotron radiation by fast fermions in heavy-ion collisions. Phys. Rev. C 2010, 82, 034904, Erratum in Phys. Rev. C 2011, 83, 039903.. [Google Scholar] [CrossRef]
- Basar, G.; Kharzeev, D.; Kharzeev, D.; Skokov, V. Conformal anomaly as a source of soft photons in heavy ion collisions. Phys. Rev. Lett. 2012, 109, 202303. [Google Scholar] [CrossRef] [PubMed]
- Bali, G.S.; Bruckmann, F.; Endrodi, G.; Schafer, A. Paramagnetic squeezing of QCD matter. Phys. Rev. Lett. 2014, 112, 042301. [Google Scholar] [CrossRef] [PubMed]
- Tuchin, K. On the role of magnetic field in photon excess in heavy ion collisions. arXiv 2015, arXiv:1406.5097. [Google Scholar] [CrossRef]
- Cao, G.; Huang, X.-G. Electromagnetic triangle anomaly and neutral pion condensation in QCD vacuum. Phys. Lett. B 2016, 757, 1. [Google Scholar] [CrossRef]
- Fukushima, K.; Hattori, K.; Yee, H.-U.; Yin, Y. Heavy Quark Diffusion in Strong Magnetic Fields at Weak Coupling and Implications for Elliptic Flow. Phys. Rev. D 2016, 93, 074028. [Google Scholar] [CrossRef]
- Guo, X.; Shi, S.; Xu, N.; Xu, Z.; Zhuang, P. Magnetic Field Effect on Charmonium Production in High Energy Nuclear Collisions. Phys. Lett. B 2015, 751, 215. [Google Scholar] [CrossRef]
- Das, S.K.; Plumari, S.; Chatterjee, S.; Alam, J.; Scardina, F.; Greco, V. Directed Flow of Charm Quarks as a Witness of the Initial Strong Magnetic Field in Ultra-Relativistic Heavy Ion Collisions. Phys. Lett. B 2017, 768, 260. [Google Scholar] [CrossRef]
- Sadooghi, N.; Taghinavaz, F. Dilepton production rate in a hot and magnetized quark-gluon plasma. Annals Phys. 2017, 376, 218. [Google Scholar] [CrossRef]
- Fukushima, K.; Hidaka, Y. Magnetic shift of the chemical freezeout and electric charge fluctuations. Phys. Rev. Lett. 2016, 117, 102301. [Google Scholar] [CrossRef]
- Liang, Z.-T.; Wang, X.-N. Globally Polarized Quark-gluon Plasma in Non-central A+A Collisions. Phys. Rev. Lett. 2005, 94, 102301, Erratum in Phys. Rev. Lett. 2006, 96, 039901. [Google Scholar] [CrossRef]
- Becattini, F.; Karpenko, I.; Lisa, M.; Upsal, I.; Voloshin, S. Global hyperon polarization at local thermodynamic equilibrium with vorticity, magnetic field and feed-down. Phys. Rev. C 2017, 95, 054902. [Google Scholar] [CrossRef]
- Jiang, Y.; Lin, Z.-W.; Liao, J. Rotating quark-gluon plasma in relativistic heavy ion collisions. Phys. Rev. C 2016, 94, 044910, Erratum in Phys. Rev. C 2017, 95, 049904. [Google Scholar] [CrossRef]
- Deng, W.-T.; Huang, X.-G. Vorticity in Heavy-Ion Collisions. Phys. Rev. C 2016, 93, 064907. [Google Scholar] [CrossRef]
- Erdmenger, J.; Haack, M.; Kaminski, M.; Yarom, A. Fluid dynamics of R-charged black holes. J. High Energy Phys. 2009, 01, 055. [Google Scholar] [CrossRef]
- Banerjee, N.; Bhattacharya, J.; Bhattacharyya, S.; Dutta, S.; Loganayagam, R.; Surowka, P. Hydrodynamics from charged black branes. J. High Energy Phys. 2011, 01, 094. [Google Scholar] [CrossRef]
- Landsteiner, K.; Megias, E.; Pena-Benitez, F. Gravitational Anomaly and Transport. Phys. Rev. Lett. 2011, 107, 021601. [Google Scholar] [CrossRef] [PubMed]
- Huang, X.-G.; Sadofyev, A.V. Chiral Vortical Effect For An Arbitrary Spin. J. High Energy Phys. 2019, 03, 084. [Google Scholar] [CrossRef]
- Iancu, E.; Venugopalan, R. The Color glass condensate and high-energy scattering in QCD. arXiv 2003, arXiv:0303204. [Google Scholar]
- McLerran, L.D.; Venugopalan, R. Computing quark and gluon distribution functions for very large nuclei. Phys. Rev. D 1994, 49, 2233–2241. [Google Scholar] [CrossRef]
- McLerran, L.D.; Venugopalan, R. Gluon distribution functions for very large nuclei at small transverse momentum. Phys. Rev. D 1994, 49, 3352–3355. [Google Scholar] [CrossRef]
- McLerran, L.D.; Venugopalan, R. Green’s functions in the color field of a large nucleus. Phys. Rev. D 1994, 50, 2225–2233. [Google Scholar] [CrossRef]
- Kovner, A.; McLerran, L.D.; Weigert, H. Gluon production from nonAbelian Weizsacker-Williams fields in nucleus-nucleus collisions. Phys. Rev. D 1995, 52, 6231–6237. [Google Scholar] [CrossRef]
- Krasnitz, A.; Venugopalan, R. Nonperturbative computation of gluon minijet production in nuclear collisions at very high-energies. Nucl. Phys. B 1999, 557, 237. [Google Scholar] [CrossRef]
- Krasnitz, A.; Venugopalan, R. The Initial energy density of gluons produced in very high-energy nuclear collisions. Phys. Rev. Lett. 2000, 84, 4309–4312. [Google Scholar] [CrossRef]
- Krasnitz, A.; Nara, Y.; Venugopalan, R. Coherent gluon production in very high-energy heavy ion collisions. Phys. Rev. Lett. 2001, 87, 192302. [Google Scholar] [CrossRef]
- Krasnitz, A.; Nara, Y.; Venugopalan, R. Gluon production in the color glass condensate model of collisions of ultrarelativistic finite nuclei. Nucl. Phys. A 2003, 717, 268–290. [Google Scholar] [CrossRef][Green Version]
- Krasnitz, A.; Nara, Y.; Venugopalan, R. Classical gluodynamics of high-energy nuclear collisions: An Erratumn and an update. Nucl. Phys. A 2003, 727, 427–436. [Google Scholar] [CrossRef][Green Version]
- Lappi, T. Production of gluons in the classical field model for heavy ion collisions. Phys. Rev. C 2003, 67, 054903. [Google Scholar] [CrossRef]
- Lappi, T.; McLerran, L. Some features of the glasma. Nucl. Phys. A 2006, 772, 200–212. [Google Scholar] [CrossRef]
- Carrington, M.E.; Mrowczynski, S. The earliest phase of relativistic heavy-ion collisions. arXiv 2024, arXiv:2401.13705. [Google Scholar]
- Weibel, E.S. Spontaneously Growing Transverse Waves in a Plasma Due to an Anisotropic Veloc ity Distribution. Phys. Rev. Lett. 1959, 2, 83. [Google Scholar] [CrossRef]
- Mrówczyński, S. Stream Instabilities of the Quark-Gluon Plasma. Phys. Lett. B 1988, 214, 587, Erratum in Phys. Lett. B 2007, 656, 273. [Google Scholar] [CrossRef]
- Mrówczyńsk, S. Plasma instability at the initial stage of ultrarelativistic heavy ion collisions. Phys. Lett. B 1993, 314, 118. [Google Scholar] [CrossRef]
- Randrup, J.; Mrówczyńsk, S. Chromodynamic Weibel instabilities in relativistic nuclear collisions. Phys. Rev. C 2003, 68, 034909. [Google Scholar] [CrossRef]
- Romatschke, P.; Strickland, M. Collective modes of an anisotropic quark-gluon plasma. Phys. Rev. D 2003, 68, 036004. [Google Scholar] [CrossRef]
- Romatschke, P.; Strickland, M. Collective modes of an anisotropic quark-gluon plasma: II. Phys. Rev. D 2004, 70, 116006. [Google Scholar] [CrossRef]
- Arnold, P.B.; Lenaghan, J.; Moore, G.D. QCD plasma instabilities and bottom up thermalization. J. High Energy Phys. 2003, 08, 002. [Google Scholar] [CrossRef]
- Savvidy, G.K. Infrared Instability of the Vacuum State of Gauge Theories and Asymptotic Freedom. Phys. Lett. B 1977, 71, 133. [Google Scholar] [CrossRef]
- Matinyan, S.G.; Savvidy, G.K. Vacuum Polarization Induced by the Intense Gauge Field. Nucl. Phys. B 1979, 134, 539. [Google Scholar] [CrossRef]
- Nielsen, N.K.; Olesen, P. An Unstable Yang-Mills Field Mode. Nucl. Phys. B 1978, 144, 376. [Google Scholar] [CrossRef]
- Fujii, H.; Itakura, K. Expanding color flux tubes and instabilities. Nucl. Phys. A 2008, 809, 88. [Google Scholar] [CrossRef]
- Fujii, H.; Itakura, K.; Iwazaki, A. Instabilities in non-expanding glasma. Nucl. Phys. A 2009, 828, 178. [Google Scholar] [CrossRef][Green Version]
- Iwazaki, A. Decay of Color Gauge Fields in Heavy Ion Collisions and Nielsen-Olesen Instability. Prog. Theor. Phys. 2009, 121, 809. [Google Scholar] [CrossRef][Green Version]
- Romatschke, P.; Venugopalan, R. Collective non-Abelian instabilities ina melting color glass condensate. Phys. Rev. Lett. 2006, 96, 062302. [Google Scholar] [CrossRef]
- Romatschke, P.; Venugopalan, R. A Weibel instability in the meltingcolor glass condensate. Eur. Phys. J. A 2006, 29, 71. [Google Scholar] [CrossRef]
- Romatschke, P.; Venugopalan, R. The Unstable Glasma. Phys. Rev. D 2006, 74, 045011. [Google Scholar] [CrossRef]
- Berges, J.; Scheffler, S.; Sexty, D. Bottom-up isotropizationin classical-statistical lattice gauge theory. Phys. Rev. D 2008, 77, 034504. [Google Scholar] [CrossRef]
- Berges, J.; Gelfand, D.; Scheffler, S.; Sexty, D. Simulatingplasma instabilities in SU(3) gauge theory. Phys. Lett. B 2009, 677, 210. [Google Scholar] [CrossRef]
- Fukushima, K.; Gelis, F. The Evolving Glasma. Nucl. Phys. A 2012, 874, 108. [Google Scholar] [CrossRef]
- Berges, J.; Scheffler, S.; Schlichting, S.; Sexty, D. Out-of-equilibrium dynamics of coherent non-Abelian gauge fields. Phys. Rev. D 2012, 85, 034507. [Google Scholar] [CrossRef]
- Berges, J.; Schlichting, S. The nonlinear glasma. Phys. Rev. D 2013, 87, 014026. [Google Scholar] [CrossRef]
- Fukushima, K. Initial fields and instability in the classical model of the heavy-ion collision. Phys. Rev. C 2007, 76, 021902, Erratum in Phys. Rev. C 2007, 77, 029901. [Google Scholar] [CrossRef]
- Epelbaum, T.; Gelis, F. Pressure isotropization in high energy heavy ion collisions. Phys. Rev. Lett. 2013, 111, 232301. [Google Scholar] [CrossRef]
- Tsukiji, H.; Iida, H.; Kunihiro, T.; Ohnishi, A.; Takahashi, T.T. Entropy production from chaoticity in Yang-Mills field theory with use of the Husimi function. Phys. Rev. D 2016, 94, 091502. [Google Scholar] [CrossRef]
- Tsukiji, H.; Kunihiro, T.; Ohnishi, A.; Takahashi, T.T. Entropy production and isotropization in Yang-Mills theory using a quantum distribution function. Prog. Theor. Exp. Phys. 2018, 2018, 013D02. [Google Scholar] [CrossRef]
- Matsuda, H.; Kunihiro, T.; Ohnishi, A.; Takahashi, T.T. Entropy production in a longitudinally expanding Yang-Mills field with use of the Husimi function: Semiclassical approximation. Prog. Theor. Exp. Phys. 2022, 2022, 073D02. [Google Scholar] [CrossRef]
- Berges, J.; Boguslavski, K.; Schlichting, S.; Venugopalan, R. Turbulent thermalization process in heavy-ion collisions at ultrarelativistic energies. Phys. Rev. D 2014, 89, 074011. [Google Scholar] [CrossRef]
- Berges, J.; Boguslavski, K.; Schlichting, S.; Venugopalan, R. Universal attractor in a highly occupied non-Abelian plasma. Phys. Rev. D 2014, 89, 114007. [Google Scholar] [CrossRef]
- McDonald, S.; Jeon, S.; Gale, C. The 3+1D initialization and evolution of the Glasma. arXiv 2023, arXiv:2306.04896. [Google Scholar] [CrossRef]
- Ipp, A.; Muller, D.I. Broken boost invariance in the Glasma via finite nuclei thickness. Phys. Lett. B 2017, 771, 74–79. [Google Scholar] [CrossRef]
- Ipp, A.; Muller, D.I. Progress on 3+1D Glasma simulations. Eur. Phys. J. A 2020, 56, 243. [Google Scholar] [CrossRef]
- Gelfand, D.; Ipp, A.; Muller, D. Simulating collisions of thick nuclei in the color glass condensate framework. Phys. Rev. D 2016, 94, 014020. [Google Scholar] [CrossRef]
- Avramescu, D.; Baran, D.; Greco, V.; Ipp, A.; Muller, D.I.; Ruggieri, M. Simulating jets and heavy quarks in the glasma using the colored particle-in-cell method. Phys. Rev. D 2023, 107, 114021. [Google Scholar] [CrossRef]
- Schlichting, S.; Singh, P. 3-D structure of the Glasma initial state—Breaking boost-invariance by collisions of extended shock waves in classical Yang-Mills theory. Phys. Rev. D 2021, 103, 014003. [Google Scholar] [CrossRef]
- Matsuda, H.; Huang, X.-G. Simulation of a (3+1)D glasma in Milne coordinates: Development of the framework. Phys. Rev. D 2023, 108, 114008. [Google Scholar] [CrossRef]
- Kovchegov, Y.V. NonAbelian Weizsacker-Williams field and a two-dimensional effective color charge density for a very large nucleus. Phys. Rev. D 1996, 54, 5463–5469. [Google Scholar] [CrossRef]
- Jalilian-Marian, J.; Kovner, A.; Leonidov, A.; Weigert, H. The BFKL equation from the Wilson renormalization group. Nucl. Phys. B 1997, 504, 415–431. [Google Scholar] [CrossRef]
- Jalilian-Marian, J.; Kovner, A.; Leonidov, A.; Weigert, H. The Wilson renormalization group for low x physics: Towards the high density regime. Phys. Rev. D 1998, 59, 014014. [Google Scholar] [CrossRef]
- Jalilian-Marian, J.; Kovner, A.; Leonidov, A.; Weigert, H. Unitarization of gluon distribution in the doubly logarithmic regime at high density. Phys. Rev. D 1999, 59, 034007, Erratum in Phys. Rev. D 1999, 59, 09990.. [Google Scholar] [CrossRef]
- Jalilian-Marian, J.; Kovner, A.; Weigert, H. The Wilson renormalization group for low x physics: Gluon evolution at finite parton density. Phys. Rev. D 1999, 59, 014015. [Google Scholar] [CrossRef]
- Iancu, E.; Leonidov, A.; McLerran, L.D. Nonlinear gluon evolution in the color glass condensate. 1. Nucl. Phys. A 2001, 692, 583–645. [Google Scholar] [CrossRef]
- Ferreiro, E.; Iancu, E.; Leonidov, A.; McLerran, L.D. Nonlinear gluon evolution in the color glass condensate. 2. Nucl. Phys. A 2002, 703, 489–538. [Google Scholar] [CrossRef]
- Iancu, E.; Leonidov, A.; McLerran, L.D. The Renormalization group equation for the color glass condensate. Phys. Lett. B 2001, 510, 133–144. [Google Scholar] [CrossRef]
- Iancu, E.; McLerran, L.D. Saturation and universality in QCD at small x. Phys. Lett. B 2001, 510, 145–154. [Google Scholar] [CrossRef]
- Chen, G.; Fries, R.J.; Kapusta, J.I.; Li, Y. Early Time Dynamics of Gluon Fields in High Energy Nuclear Collisions. Phys. Rev. C 2015, 92, 064912. [Google Scholar] [CrossRef]
- Heinz, U.W.; Kolb, P.F. Early thermalization at RHIC. Nucl. Phys. A 2002, 702, 269. [Google Scholar] [CrossRef]
- Schenke, B.; Tribedy, P.; Venugopalan, R. Fluctuating Glasma Initial Conditions and Flow in Heavy Ion Collisions. Phys. Rev. Lett. 2012, 108, 252301. [Google Scholar] [CrossRef]
- Schenke, B.; Tribedy, P.; Venugopalan, R. Event-by-event gluon multiplicity, energy density, and eccentricities in ultrarelativistic heavy-ion collisions. Phys. Rev. C 2012, 86, 034908. [Google Scholar] [CrossRef]
- Bartels, J.; Golec-Biernat, K.; Kowalski, H. Modification of the saturation model: Dokshitzer-Gribov-Lipatov-Altarelli-Parisi evolution. Phys. Rev. D 2002, 66, 014001. [Google Scholar] [CrossRef]
- Kowalski, H.; Teaney, D. Impact parameter dipole saturation model. Phys. Rev. D 2003, 68, 114005. [Google Scholar] [CrossRef]
- Ipp, A.; Leuthner, M.; Muller, D.I.; Schlichting, S.; Schmidt, K.; Singh, P. Energy-momentum tensor of the dilute (3+1)D Glasma. arXiv 2024, arXiv:2401.10320. [Google Scholar]





Disclaimer/Publisher’s Note: The statements, opinions and data contained in all publications are solely those of the individual author(s) and contributor(s) and not of MDPI and/or the editor(s). MDPI and/or the editor(s) disclaim responsibility for any injury to people or property resulting from any ideas, methods, instructions or products referred to in the content. |
© 2024 by the authors. Licensee MDPI, Basel, Switzerland. This article is an open access article distributed under the terms and conditions of the Creative Commons Attribution (CC BY) license (https://creativecommons.org/licenses/by/4.0/).
Share and Cite
Matsuda, H.; Huang, X.-G. Effect of Longitudinal Fluctuations of 3D Weizsäcker–Williams Field on Pressure Isotropization of Glasma. Entropy 2024, 26, 167. https://doi.org/10.3390/e26020167
Matsuda H, Huang X-G. Effect of Longitudinal Fluctuations of 3D Weizsäcker–Williams Field on Pressure Isotropization of Glasma. Entropy. 2024; 26(2):167. https://doi.org/10.3390/e26020167
Chicago/Turabian StyleMatsuda, Hidefumi, and Xu-Guang Huang. 2024. "Effect of Longitudinal Fluctuations of 3D Weizsäcker–Williams Field on Pressure Isotropization of Glasma" Entropy 26, no. 2: 167. https://doi.org/10.3390/e26020167
APA StyleMatsuda, H., & Huang, X.-G. (2024). Effect of Longitudinal Fluctuations of 3D Weizsäcker–Williams Field on Pressure Isotropization of Glasma. Entropy, 26(2), 167. https://doi.org/10.3390/e26020167

