Fast Adiabatic Control of an Optomechanical Cavity
Abstract
1. Introduction
2. STA in Quantum Field Theory
2.1. Electromagnetic Cavity: Single-Mode Approximation
2.2. Quantum Fields in Curved Space-Times
3. The Optomechanical Cavity
4. STA for the Field
4.1. Adiabatic Evolution of the Field
4.2. Shortcut to Adiabaticity
4.3. Limit of Effective Trajectories
5. Numerical Analysis of the STA
5.1. Algorithm for Moore’s Equations
5.2. Reference Trajectories
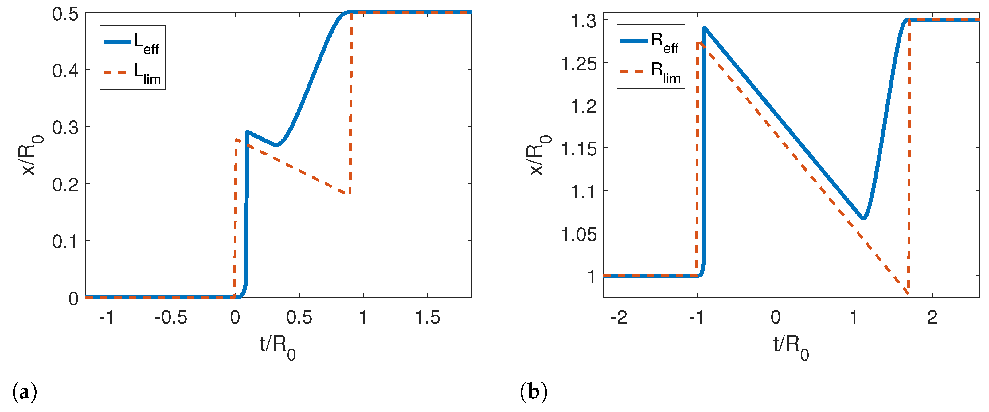
5.3. Contraction
5.4. Expansion
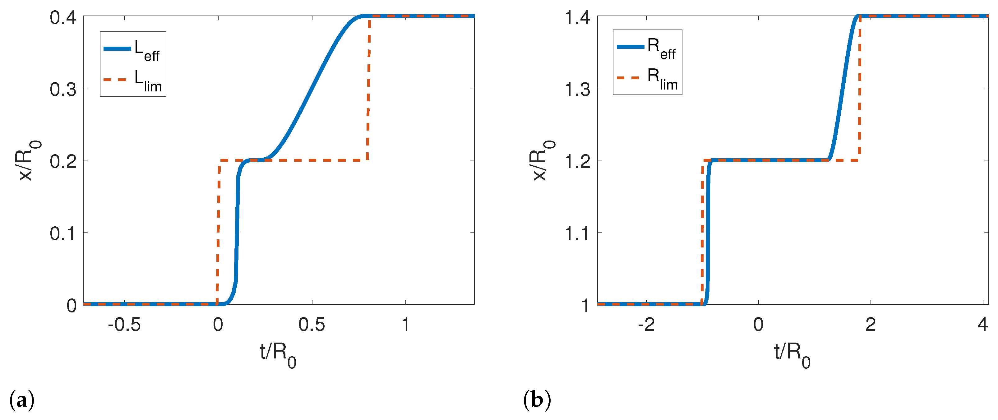
5.5. Rigid Motion
6. Discussion
Author Contributions
Funding
Institutional Review Board Statement
Informed Consent Statement
Data Availability Statement
Acknowledgments
Conflicts of Interest
References
- Romaszko, Z.D.; Hong, S.; Siegele, M.; Puddy, R.K.; Lebrun-Gallagher, F.R.; Weidt, S.; Hensinger, W.K. Engineering of microfabricated ion traps and integration of advanced on-chip features. Nat. Rev. Phys. 2020, 2, 285–299. [Google Scholar] [CrossRef]
- Blais, A.; Grimsmo, A.L.; Girvin, S.M.; Wallraff, A. Circuit quantum electrodynamics. Rev. Mod. Phys. 2021, 93, 025005. [Google Scholar] [CrossRef]
- Arash, B.; Jiang, J.; Rabczuk, T. A review on nanomechanical resonators and their applications in sensors and molecular transportation. Appl. Phys. Rev. 2015, 2, 021301. [Google Scholar] [CrossRef]
- Karimi, B.; Pekola, J.P. Otto refrigerator based on a superconducting qubit: Classical and quantum performance. Phys. Rev. B 2016, 94, 184503. [Google Scholar] [CrossRef]
- Kosloff, R.; Rezek, Y. The quantum harmonic Otto cycle. Entropy 2017, 19, 136. [Google Scholar] [CrossRef]
- Del Grosso, N.F.; Lombardo, F.C.; Mazzitelli, F.D.; Villar, P.I. Quantum Otto cycle in a superconducting cavity in the nonadiabatic regime. Phys. Rev. A 2022, 105, 022202. [Google Scholar] [CrossRef]
- Berry, M.V.J. Transitionless quantum driving. Phys. A 2009, 42, 365303. [Google Scholar] [CrossRef]
- Chen, X.; Ruschhaupt, A.; Schmidt, S.; del Campo, A.; Guéry-Odelin, D.; Muga, J.G. Fast optimal frictionless atom cooling in harmonic traps: Shortcut to adiabaticity. Phys. Rev. Lett. 2010, 104, 063002. [Google Scholar] [CrossRef]
- del Campo, A. Shortcuts to adiabaticity by counterdiabatic driving. Phys. Rev. Lett. 2013, 111, 100502. [Google Scholar] [CrossRef]
- Guéry-Odelin, D.; Ruschhaupt, A.; Kiely, A.; Torrontegui, E.; Martínez-Garaot, S.; Muga, J.G. Shortcuts to adiabaticity: Concepts, methods, and applications. Rev. Mod. Phys. 2019, 91, 045001. [Google Scholar] [CrossRef]
- Adesso, G.; Fuentes-Schuller, I.; Ericsson, M. Continuous-variable entanglement sharing in noninertial frames. Phys. Rev. A 2007, 76, 062112. [Google Scholar] [CrossRef]
- Friis, N.; Bruschi, D.E.; Louko, J.; Fuentes, I. Motion generates entanglement. Phys. Rev. D 2012, 85, 081701(R). [Google Scholar] [CrossRef]
- Bruschi, D.E.; Fuentes, I.; Louko, J. Voyage to Alpha Centauri: Entanglement degradation of cavity modes due to motion. Phys. Rev. D 2012, 85, 061701(R). [Google Scholar] [CrossRef]
- Downes, T.G.; Fuentes, I.; Ralph, T.C. Entangling moving cavities in noninertial frames. Phys. Rev. Lett. 2011, 106, 210502. [Google Scholar] [CrossRef] [PubMed]
- Alsing, P.M.; Fuentes-Schuller, I.; Mann, R.B.; Tessier, T.E. Entanglement of Dirac fields in noninertial frames. Phys. Rev. A 2006, 74, 032326. [Google Scholar] [CrossRef]
- Lin, S.Y.; Chou, C.H.; Hu, B.L. Disentanglement of two harmonic oscillators in relativistic motion. Phys. Rev. D 2008, 78, 125025. [Google Scholar] [CrossRef]
- Fuentes-Schuller, I.; Mann, R.B. Alice falls into a black hole: Entanglement in noninertial frames. Phys. Rev. Lett. 2005, 95, 120404. [Google Scholar] [CrossRef]
- Del Grosso, N.F.; Lombardo, F.C.; Villar, P.I. Entanglement degradation of cavity modes due to the dynamical Casimir effect. Phys. Rev. D 2020, 102, 125008. [Google Scholar] [CrossRef]
- Palmero, M.; Bowler, R.; Gaebler, J.P.; Leibfried, D.; Muga, J.G. Fast transport of mixed-species ion chains within a Paul trap. Phys. Rev. A 2014, 90, 053408. [Google Scholar] [CrossRef]
- Torrontegui, E.; Chen, X.; Modugno, M.; Ruschhaupt, A.; Guéry-Odelin, D.; Muga, J.G. Fast transitionless expansion of cold atoms in optical Gaussian-beam traps. Phys. Rev. A 2012, 85, 033605. [Google Scholar] [CrossRef]
- Dowdall, T.; Benseny, A.; Busch, T.; Ruschhaupt, A. Fast and robust quantum control based on Pauli blocking. Phys. Rev. A 2017, 96, 043601. [Google Scholar] [CrossRef]
- Amri, S.; Corgier, R.; Sugny, D.; Rasel, E.M.; Gaaloul, N.; Charron, E. Optimal control of the transport of Bose-Einstein condensates with atom chips. Sci. Rep. 2019, 9, 5346. [Google Scholar] [CrossRef]
- Del Grosso, N.F.; Lombardo, F.C.; Mazzitelli, F.D.; Villar, P.I. Shortcut to adiabaticity in a cavity with a moving mirror. Phys. Rev. A 2022, 105, 052217. [Google Scholar] [CrossRef]
- Calzetta, E. Not-quite-free shortcuts to adiabaticity. Phys. Rev. A 2018, 98, 032107. [Google Scholar] [CrossRef]
- Moore, G.T.J. Quantum theory of the electromagnetic field in a variable-length one-dimensional cavity. Math. Phys. 1970, 11, 2679. [Google Scholar] [CrossRef]
- Dodonov, V.V. Current status of the dynamical Casimir effect. Phys. Scr. 2010, 82, 038105. [Google Scholar] [CrossRef]
- Dalvit, D.A.R.; Neto, P.A.M.; Mazzitelli, F.D. Fluctuations, dissipation and the dynamical casimir effect. Lect. Notes Phys. 2011, 834, 419. [Google Scholar]
- Nation, P.D.; Johansson, J.R.; Blencowe, M.P.; Nori, F. Colloquium: Stimulating uncertainty: Amplifying the quantum vacuum with superconducting circuits. Rev. Mod. Phys. 2012, 84, 1. [Google Scholar] [CrossRef]
- Dodonov, V.V. Fifty years of the dynamical Casimir effect. Physics 2020, 2, 67. [Google Scholar] [CrossRef]
- Birrell, N.D.; Davies, P.C.W. Quantum Fields in Curved Space; Cambridge University Press: Cambridge, UK, 1984. [Google Scholar]
- Calzetta, E.A.; Hu, B.L.B. Nonequilibrium Quantum Field Theory; Cambridge University Press: Cambridge, UK, 2008. [Google Scholar]
- Vachaspati, T. Unexciting non-Abelian electric fields. Phys. Rev. D 2022, 105, 105011. [Google Scholar] [CrossRef]
- Frieman, J.A. Particle creation in inhomogeneous spacetimes. Phys. Rev. D 1989, 39, 389. [Google Scholar] [CrossRef] [PubMed]
- Dalvit, D.A.; Mazzitelli, F.D. Creation of photons in an oscillating cavity with two moving mirrors. Phys. Rev. A 1999, 59, 3049. [Google Scholar] [CrossRef]
- Davies, P.C.W.; Fulling, S.A. Radiation from a moving mirror in two dimensional space-time: Conformal anomaly. Proc. R. Soc. Lond. A 1976, 348, 393–414. [Google Scholar]
- Cole, C.K.; Schieve, W.C. Radiation modes of a cavity with a moving boundary. Phys. Rev. A 1995, 52, 4405. [Google Scholar] [CrossRef] [PubMed]









Disclaimer/Publisher’s Note: The statements, opinions and data contained in all publications are solely those of the individual author(s) and contributor(s) and not of MDPI and/or the editor(s). MDPI and/or the editor(s) disclaim responsibility for any injury to people or property resulting from any ideas, methods, instructions or products referred to in the content. |
© 2022 by the authors. Licensee MDPI, Basel, Switzerland. This article is an open access article distributed under the terms and conditions of the Creative Commons Attribution (CC BY) license (https://creativecommons.org/licenses/by/4.0/).
Share and Cite
Del Grosso, N.F.; Lombardo, F.C.; Mazzitelli, F.D.; Villar, P.I. Fast Adiabatic Control of an Optomechanical Cavity. Entropy 2023, 25, 18. https://doi.org/10.3390/e25010018
Del Grosso NF, Lombardo FC, Mazzitelli FD, Villar PI. Fast Adiabatic Control of an Optomechanical Cavity. Entropy. 2023; 25(1):18. https://doi.org/10.3390/e25010018
Chicago/Turabian StyleDel Grosso, Nicolás F., Fernando C. Lombardo, Francisco D. Mazzitelli, and Paula I. Villar. 2023. "Fast Adiabatic Control of an Optomechanical Cavity" Entropy 25, no. 1: 18. https://doi.org/10.3390/e25010018
APA StyleDel Grosso, N. F., Lombardo, F. C., Mazzitelli, F. D., & Villar, P. I. (2023). Fast Adiabatic Control of an Optomechanical Cavity. Entropy, 25(1), 18. https://doi.org/10.3390/e25010018

