Abstract
In addition to providing general constraints on probability distributions, fluctuation theorems allow us to infer essential information on the role played by temperature in heat exchange phenomena. In this numerical study, we measure the temperature of an out-of-equilibrium active bath using a fluctuation theorem that relates the fluctuations in the heat exchanged between two baths to their temperatures. Our setup consists of a single particle moving between two wells of a quartic potential accommodating two different baths. The heat exchanged between the two baths is monitored according to two definitions: as the kinetic energy carried by the particle whenever it jumps from one well to the other and as the work performed by the particle on one of the two baths when immersed in it. First, we consider two equilibrium baths at two different temperatures and verify that a fluctuation theorem featuring the baths temperatures holds for both heat definitions. Then, we introduce an additional Gaussian coloured noise in one of the baths, so as to make it effectively an active (out-of-equilibrium) bath. We find that a fluctuation theorem is still satisfied with both heat definitions. Interestingly, in this case the temperature obtained through the fluctuation theorem for the active bath corresponds to the kinetic temperature when considering the first heat definition, while it is larger with the second one. We interpret these results by looking at the particle jump phenomenology.
    1. Introduction
A fundamental open issue in statistical physics is the extension of the equilibrium framework to out-of-equilibrium settings. Amongst the many questions still waiting for an answer, the definition of a proper temperature that consistently regulates heat fluctuations and exchanges between out of equilibrium thermal baths posits a central problem. For glassy systems, whose non-equilibrium character is due to very long relaxational times [,], an effective thermal picture has already emerged. There, an effective temperature can in fact be defined using the non-equilibrium deviations of the fluctuation–dissipation theorem [,]. One then naturally wonders if a similar scenario also applies to other classes of out-of-equilibrium systems.
One class of out-of-equilibrium systems that, in the past few years, has attracted great interest is active matter [,,,,,,,,,,,,]. The distinctive feature of all systems from this class is a continuous conversion and injection of energy from internal reservoirs or the surrounding environment into the system itself to produce self-propulsion of its minimal constituents. Interestingly, the mere introduction of a self-propulsion mechanism results in a wealth of new phenomena and features, for example, collective motion [,,,,], motility-induced phase separation [,,] a rich phase diagram [,,,] and dynamical phase transitions [,,], most of which have no equivalent in passive counterparts. According to stochastic thermodynamics [,,], the injection of energy is an irreversible process which makes active systems inherently out of equilibrium [,]. As a consequence, the Stokes–Einstein relation between injection and dissipation of energy is naturally violated at microscopic scales [,,], therefore making active matter systems a perfect stage for introducing and testing different definitions of out-of-equilibrium temperatures. In this respect, we mention that there have been several attempts to describe this inherent non-equilibrium character at macroscopic scales through the introduction of an effective temperature [,,,,,,]. However, up to our knowledge, a general effective thermal picture has not yet emerged.
An approach that can be exploited to test at the mesoscopic level different definitions of out-of-equilibrium temperatures is offered by the so called fluctuation theorems, i.e., universal constraints on the probability distribution of integrated observables like work, heat and entropy production evaluated along the trajectories of individual physical entities of the system of interest [,,,,,,]. An important result showing that temperatures naturally enter heat fluctuation theorems is provided by [], in which it is shown that the heat exchanged between two equilibrium thermal baths satisfies the following fluctuation theorem
      
      
        
      
      
      
      
    
      where q is the heat exchanged per unit time,  is its associated rate function from Large Deviation Theory [,,], and , coincide with the bath temperatures. The above result was later studied in the context of Brownian particles [,], finding that its validity was in general restricted to finite intervals of q. The fluctuation theorem from Equation (1) represents a natural starting point for an investigation on the values  and  could take in (possibly still valid) fluctuation theorems in out-of-equilibrium contexts, where fluctuations are central. The temperatures defined from a fit of Equation (1) and denoted as  can in fact be compared with other significant definitions of temperature, such as the effective temperature, denoted as  and defined from the deviation of the fluctuation–dissipation theorem [,,,,,,,], or the kinetic temperature, instead denoted as  and defined from the equipartition theorem [,,,] (see Appendix A for more details).
Here, we numerically investigate the definition of  by considering an idealized setup which consists of a single one-dimensional particle moving in a quartic double-well potential (see Figure 1 for a schematic depiction). In each well, the particle is put in contact with a different overall thermal bath, thus experiencing a different temperature. In the right well, we place an equilibrium thermal bath which is formalized through a Gaussian zero-mean delta-correlated white noise plus a viscous friction force and satisfies a usual fluctuation–dissipation theorem with an effective temperature trivially coinciding with both the bath and the kinetic ones. For the left well bath, we instead consider two different cases: first, we fix a further equilibrium thermal bath with the same characteristics as the one in the right well except for a different temperature; then, we make it an active bath by fixing an equilibrium thermal bath analogous to the one from the right well, now with the same temperature, and introducing an Ornstein–Uhlenbeck process playing the role of an additional Gaussian coloured noise with exponential self-correlation. In this way, when in the left well, the particle effectively turns into an active particle, more specifically an active Ornstein–Uhlenbeck particle [,,,]. Moreover, we remark that in that case, neither the usual fluctuation–dissipation theorem is satisfied [] nor kinetic and effective temperatures coincide []. The heat exchanged is measured according to two different definitions: as the work performed by one of the two baths on the particle and as the sum of the kinetic energies carried by the particle every time it jumps from one well to the other. The first definition is nothing but the usual heat as defined in the framework of stochastic thermodynamics [,]. The second one is instead newly introduced as suggested by our specific setup.
 
      
    
    Figure 1.
      Schematic depiction of our idealized setup. The black line denotes the quartic double-well potential Equation (2) with minima and local maxima at  and , respectively, and depth . The red and blue areas and labels below and above  denote instead the action of baths with different features in the two wells.
  
We find that in all cases considered the fluctuation theorem Equation (1) is still valid. In more detail, in the case in which two equilibrium thermal baths with different temperatures are fixed, both definitions of heat exchanged lead to the validity of Equation (1) with a slope in accordance with the bath temperatures. This first result provides an essential correspondence between  and both  and , which, as mentioned above, in this case both trivially coincide with the bath ones. In the active bath case, we find instead that different values of  associated with the active bath emerge based on the definition of heat under study. When the heat as a sum of kinetic energies is considered, the extracted  turns out to correspond to the kinetic temperature of the active bath. When instead considering the heat as the work performed by the thermal environment, this temperature assumes intermediate values between the kinetic temperature and the effective one. These results and discrepancies can be interpreted by looking at the particle jump phenomenology.
The remainder of the paper is structured as follows. In Section 2, we present the model and methods we adopted. In particular, in Section 2.1, we describe our setup and detail the two cases under scrutiny; in Section 2.2, we introduce the two definitions of heat exchanged we consider along with the energy balance of the system; in Section 2.3, we describe the numerical methods we adopted, and in Section 2.4, we comment on the stationary position distribution of the system. Next, in Section 3, we present and comment the results of our investigation for the two bath configurations considered. Finally, in Section 4, we report our closing remarks.
2. Model and Methods
2.1. Model
The general framework of our setup is that of a unidimensional unit-mass mesoscopic particle of position  and diameter  moving under the action of the external quartic double-well potential
        
      
        
      
      
      
      
    
        where , and  is the centre of the potential which we set to zero and which serves as a separating point between the regions  (right well) and  (left well), where thermal baths with different features act. The local maximum of the potential is located at , the global minima are at  distanced by , and the potential depth  represents the height of the barrier the particle has to overcome to hop from one well to the other. In order to highlight the spatial separation of the two baths induced by the potential Equation (2), we recast the usual Langevin equation describing the particle dynamics with initial conditions  and  into the following form
        
      
        
      
      
      
      
    
        where  and  collect the forces exerted by the overall baths in the two wells. The presence of the Heaviside functions  ensures in fact that  and  only act when the particle is in the right or left well, respectively. For the sake of simplicity, here, we assume the convention  [] instead of the half-maximum one  [], so that the function is left-continuous at , and  and  can be properly considered as the indicator functions of the intervals  and , respectively. We underline that this choice does not affect our results as the value of a function at a single point does not affect the overall values of the heat integrals from Section 2.2. Concerning instead the action of the baths, whenever the particle hops into each of the two wells, their corresponding noise processes are made to restart acting with an initial condition extracted from their stationary distributions. Figure 1 graphically summarizes our setup, highlighting with different colours the left and right well regions.
We now specify the actual composition of the forces contributing to each bath. In the right well,  is always associated with a usual equilibrium thermal bath, hereafter referred to as passive bath, thus
        
      
        
      
      
      
      
    
        where  is the viscous friction coefficient,  is the bath temperature, and  is a usual Gaussian white noise with  and . Note that for the sake of simplicity, here and in the following, we set the Boltzmann constant  to unity. The distribution for the restart of  is then a normal Gaussian . As aforementioned, for the bath in the left well, we instead distinguish two different cases:
- (a)
- another passive bath with friction coefficient and temperature , i.e.,where is a Gaussian white noise independent from with , , and in general different from . As for , the distribution for the restart of is . Note that in this specific case, the temperature for the entire domain can be written as the x-dependent function , so that the overall Langevin equation Equation (3) can be recast aswhere is a single Gaussian white noise with and acting everywhere in the system which is made multiplicative by the presence of in its multiplicative factor;
- (b)
- a passive bath with friction coefficient and temperature and an additional Ornstein–Uhlenbeck noise reminiscent of the active force from the active Ornstein–Uhlenbeck particle model [,,,] and hereafter referred to as active bath, i.e.,where is a Gaussian white noise analogous to the one from case (a) and is an Ornstein–Uhlenbeck process implemented as the solution of the additional stochastic differential equationwith initial condition , where is a further Gaussian white noise independent from both and with and , and and are the persistence time associated with the active process and a positive constant ruling its magnitude, respectively. From the average and self-correlation ofone in fact immediately realizes that controls the exponential decay of both average and self-correlations at large times and , so that indeed plays the role of an average magnitude for the active process [,,]. Equation (9) also suggests that the distributions for the restart of and are and , respectively. In order to better discern the action of , here, we fix and for the sake of simplicity, we also set [,,]. Moreover, as typically done [,,,,,], we control the relative magnitude activity and thermal noise by varying the adimensional Péclet numberwhere we recall is the particle diameter. We remark that in general, the active bath configuration can be realized in actual experiments by using Janus particles [,,,] or optical tweezers [,], or by introducing a passive tracer particle in a suspension of active particles whose collisions with the tracer itself can be described by [,].
Finally, in order to allow the particle to correctly thermalize in each well before every jump, we need to correctly assess the relevant timescales of the system. Concerning case a), there are only two relevant timescales. The first one is the inertial time , which is the typical time needed to attain thermal equilibrium with the bath. The second one is the average time the particle remains in one well before hopping starting the barrier ascension from , or average residence time, . In the overdamped limit for a single white-noise bath acting everywhere and a parameter choice such that ,  is estimated as []
        
      
        
      
      
      
      
    
        where  is the second derivative of the potential Equation (2). In order to allow the particle to thermalize after each jump we require  in each well. In the following, we use the symbols  and  to denote the average residence times in the left and right well, respectively. Concerning case (b), yet another timescale needs to be considered: the persistence time  controlling the exponential decay of the coloured noise correlations. A further condition that is required to let the particle thermalise in the presence of the additional Ornstein–Uhlenbeck force is then . We remark that in presence of an active process like  a Kramers-like formula similar to Equation (11) for  is still in place in some limiting conditions []. However, we checked in our settings that such a formula did not hold, thus forcing us to resort to numerical estimations.
2.2. Definitions of Heat Exchanged and Energy Balance
Our primary interest focuses on the heat exchanged between the two wells as the particle hops between them, which here we sample according to two different definitions capturing each different physical aspects of the system.
The first definition we consider relies on the intuitive idea that exchanges of energy and heat between the two baths must somehow be related to the jumps of the particle from one well to the other. More in detail, each of the  jumps occurring during a time interval of duration  can be considered as an event of instantaneous transfer of kinetic energy from one bath to the other, with the particle playing the role of carrier. Therefore, an intuitive way in which we define the energy exchange between the two is
        
      
        
      
      
      
      
    
		We would like to stress that the above formula is simply configured as the sum of the kinetic energies carried during each jump by the particle, i.e., a simple quantitative version of the intuitive idea delineated above. Here, the subscript E denotes the energetic origin of this definition, while  is the succession of times during the sampling interval of duration  in which all jumps events occur, i.e., at which . Note that the absolute value in Equation (12) ensures the increments of  are given a proper sign depending on the direction of each jump event. For the right well, they are in fact positive (negative) when the particle jumps from left (right) to right (left), in agreement with the physical intuition that the right well bath receives (loses) energy when the particle enters in (goes away from) it. In order to remain faithful to the prescription that a bath acquires (loses) energy when the particle jumps in (away from) it, when focusing on the left well, we need to invert our point of view. In particular, now, the increments of  must be considered negative (positive) when the particle jumps from left (right) to right (left). In terms of the total energy exchange , this translates into an overall minus sign with respect to , i.e., . Trivially, .
The second definition we consider takes up the usual one provided by stochastic thermodynamics in which heat is defined as the work performed on the particle by the passive bath, i.e., a viscous friction force plus white noise [,]. In our specific setting, the definition for the heat exchanged between particle and passive bath during a time interval of duration  in the right well transforms into
        
      
        
      
      
      
      
    
        where the symbol ○ denotes the adopted Stratonovich prescription [], the minus sign denotes that it is the particle that performs work on the bath and ensures the same sign convention as for  is fulfilled, the subscript W highlights the thermodynamical origin of this definition,  denotes the number of times the particle resides in the right well and  denote the beginning and ending times of the jth residency in the well, respectively, with  its duration.
In order to provide some physical intuition about the difference between the heat definitions from Equations (12) and (13), in Figure 2a we show a typical particle trajectory in case (a), while in Figure 2b we show the corresponding realisations of  and  during the same time interval (numerical data are obtained using the numerical techniques described in Section 2.3). Note that  is piecewise continuous and presents discontinuous variations only when jump events occur, while  continuously evolves when the particle is in the right well, remaining constant when the particle jumps in the left well, and showing significant variations only when jump events occur. Note also that during the first permanence of the particle in the left well,  averages to zero, in agreement with the fact that during that time interval, the particle is thermalized with the right-well bath and the latter has not yet received any energy injection from the left-well bath.
 
      
    
    Figure 2.
      (a): Typical trajectory of a Brownian particle from case (a) at sampling time . The black dashed lines denote the location of the left and right potential minima at . (b): Time evolution of  and  corresponding to the trajectory in panel (a). Parameters are , , ,  and .
  
Following standard procedures, from Equation (13) the trajectory-wise energy balance of the system can be obtained [,]. By simply using the Langevin equation Equation (3) to replace  in Equation (13) for generality in case (b) and adopting the Stratonovich prescription to calculate integrals [], one in fact finds
        
      
        
      
      
      
      
    
        where  and , respectively, denote the variation in kinetic and potential energy from the initial configuration at  and final one at ,  denotes the work performed by the particle on the right passive bath defined in Equation (13),
        
      
        
      
      
      
      
    
        denotes the work performed by the particle on the passive component of the left bath only, i.e., the friction force plus white noise, with  the number of times the particle resides in the left well, and  the beginning and ending times of each of the jth residencies, and finally
        
      
        
      
      
      
      
    
        denotes the active work, i.e., the work performed by the additional noise in the left well providing a measure of the energy cost to sustain the particle self-propulsion [,,,,]. In both Equations (15) and (16), ○ again underlies the Stratonovich prescription. We point out that  and  are energy contributions extensive in time, while the variation in both kinetic and potential energies  and  are not, i.e.,
        
      
        
      
      
      
      
    
        or, by assuming ergodicity,
        
      
        
      
      
      
      
    
        where the derivative is zero due to  assuming a constant value independent of t. As a consequence, when passing to the energy balance per unit time, at times much larger than all relevant timescales of the system, one has
        
      
        
      
      
      
      
    
        where  for all sub- and superscripts, and . Note that, coherent with the fact that the system under consideration is globally isolated, Equation (19) shows the overall energies exchanged by the two baths,  for the right and  for the left one, to be of opposite signs and to sum to zero.
Finally, a few comments and remarks. We underline that case (a) does not include the additional noise , so that , and Equation (14) reduces to the usual equivalence between the energy variation of the system and the heat exchanged. We would also like to stress that in case (b),  does not capture the heat exchanges related to the left bath in its entirety. As , the latter in fact also includes the active work contribution. Nevertheless, as shown in Section 3.2,  is indirectly influenced by the action of the active noise as the latter clearly affects the particle velocity in the left well. In this respect, we remark that as the active noise  pushes the particle, it is very likely for  and  to have the same sign so that  from Equation (16) is very unlikely to be negative. Finally, referring to the trajectory of  relative to case (a) from Figure 2b, we conclude by pointing out that during each permanence of the particle in the right well,  is bounded from above by a different value. In order to prove this point, let us consider a particle which has jumped into the right well the last time at  and up to time , remained in it. Then, one has
        
      
        
      
      
      
      
    
        where in the first row we used the definition Equation (13) and  records the value accumulated by  up to time , in the second row we instead used the Langevin equation Equation (3) and performed an integration similarly to the case of Equation (14), and finally, in the third row we used the lower bounds  and . Interestingly, the bound of  from Equation (20) comes to depend on , which englobes the integration of  up to time , on the potential energy  at the minimum and also on the kinetic and potential energies evaluated exactly at , i.e., when the particle last entered into the right well.
2.3. Numerical Methods and Parameters
The numerical integration of Equations (3) and (8) was performed via the velocity Verlet [] and the Euler–Maruyama [] integrators, respectively, with integration timestep  in both cases. We chose for the quartic potential Equation (2)  and , then setting a distance between minima and a barrier height of  and , respectively. Along with the unitary particle mass and diameter , the barrier height  set the reduced units of our simulations. In all cases, we fixed  and , while in case (b), we fixed  with  and varied  by acting on . The inertial, persistence, and right residence times therefore resulted ,  and . The specific choices for  in case (a) and  in case (b) and consequent left-well residence times are instead specified case by case. We evolved the system for time intervals of duration , in the following referred to as sampling time, up to , the latter in all cases considered much larger than all of the characteristic times of the system.
We sampled the heat per unit time  for different sampling times  according to the two definitions Equations (12) and (13) (as in the definitions from Section 2.2, in the following, the subscripts  and superscripts  will specify on a case-by-case basis which heat in which well is being considered). The heat distributions  were obtained by considering  independent trajectories previously evolved for a time  much larger than all of the characteristic time so as to always start from the stationary configuration. Taking into account that whenever q satisfies a large-deviation principle its distributions takes the asymptotic form , with ≍ the asymptotic equivalence symbol underlying sub-exponential contributions  and  rate function [,,], these distributions were then used to check the validity of the fluctuation theorem Equation (1) by evaluating the ratio
        
      
        
      
      
      
      
    
        where  is the rate function difference appearing in Equation (1), and  and  denote the temperatures associated with the right and left well, respectively. Note that the symbol ≍ underlies at finite times the appearance of the ratio , which becomes increasingly negligible as time flows. Operatively, the estimates for  and , in the following denoted as , were obtained by first evaluating the ratio in the left-hand side of Equation (21) with our numerical distributions  at different ’s and then performing at each of these times a linear fit of the resulting curves. Without loss of generality, in the following, we consider settings in which the slope in Equation (21) is positive, corresponding to . While for case (a) one intuitively expects  () to coincide with  () (a circumstance which is indeed verified in Section 3.1), for case (b), we have no a priori indications for the values they could take in the presence of the active bath, especially for . In order to extract a  estimate for the left well, motivated by the results for case (a), we assumed , extracted  from a fit of Equation (21) and compared it with the effective and kinetic temperatures  and , in turn numerically sampled according to their definitions from Appendix A.
To conclude, we remark that sampling both positive and negative values of heat becomes increasingly more difficult as the difference between the relevant temperatures of the two baths is made larger. Therefore, in the following, we implemented parameter choices for which such a sampling is numerically feasible.
2.4. Stationary Position Distribution
Before presenting our results, let us comment about the stationary position distribution in the two cases under consideration. These distributions, which we recall can be obtained as the solution of the Fokker–Planck equation with time derivative set to zero [], provide in fact useful insights on average residence times, in turn useful for our later discussion.
Concerning case (a), in the overdamped limit and under the Itô prescription, the drift and diffusion coefficients of the Fokker–Planck equation are  and  [,], respectively, with  the x-dependent temperature defined in Section 2.1. The resulting stationary Fokker–Planck equation has the following solution
        
      
        
      
      
      
      
    
        with  a normalisation factor and  the quartic potential Equation (2), which is clearly reminiscent of the equilibrium Boltzmann distribution. This solution is obtained by first replacing  with a continuous parameter-dependent function  such that , then following the standard procedure for the solution of the stationary Fokker–Planck equation with , and finally taking the limit . Note that  shows a jump discontinuity at  when , which disappears when , i.e., in the usual case of a Brownian particle under the effect of just one equilibrium thermal bath. The associated discontinuity height is  and becomes more and more marked as the difference  is increased. Note also that the two temperatures  and  determine the shape and height of the distribution in each well, but they play no role in the maxima locations, which in turn come to coincide with the potential minima at . For the sake of completeness, we mention that under the Stratonovich prescription, the diffusion coefficient of the Fokker–Planck equation remains unaltered, while its drift coefficient becomes , so that the stationary solution is now
        
      
        
      
      
      
      
    
        with  a normalisation factor, which, contrary to Equation (22), is always continuous at  also when . We would like to stress that the difference between Equations (22) and (23) can be ultimately traced back to the presence of two regions with different temperatures. In fact, as mentioned in Section 2.1, in case (a), the Langevin equation Equation (3) can be recast as Equation (6), which is characterised by a multiplicative noise due to the presence of the x-dependent temperature . Therefore, as well known from the literature [,], applying different integration schemes leads to different results, hence the different drift coefficients for the stationary Fokker–Planck equation in the Itô and Stratonovich prescriptions and the resulting different stationary distributions Equations (22) and (23). In Figure 3a, we provide a comparison between these two stationary solutions and the numerical position distributions at  obtained by integrating the equations of motions as described in Section 2.3 and setting  and , so that . The figure at the same time shows that the numerical algorithms we used perform the integration under the Itô prescription and confirms the presence of the jump discontinuity in Equation (22).
 
      
    
    Figure 3.
      (a): Stationary position distributions for case (a), with  and  at sampling time . The black solid and green dashed lines are the stationary solutions Equation (22) and Equation (23), respectively, while the blue histogram is the position distribution numerically sampled, as denoted by the legend. (b): Stationary position distributions for cases (a) and (b) and Equation (22), as denoted by the legend. For case (a), we fix , while for case (b), . In all panels, we fixed  and , .
  
In Figure 3b, we report instead a comparison between the numerical stationary position distributions for cases (a) and (b). For case (a) we choose , , while for case (b), we fix  and  () so that, as is shown in Section 3.2, the kinetic temperature in the left well is ∼ (the reason for considering the kinetic temperature will appear clear in Section 3.2). Note that in the left well for case (b), the location  of the peak of the distribution is shifted towards the left with respect to the location of the potential minimum  due to the persistent pushing of the active noise. Even though, up to our knowledge, the stationary Fokker–Planck equation in case (b) has no exact analytical solution, our numerical results are coherent with the ones from [], in which a single active Ornstein–Uhlenbeck particle in a quartic double-well potential like Equation (2) is studied. In particular, in [] the location of the peaks of the distribution are identified as the points in which the confining force due to the quartic potential Equation (2) and the active force approximated by its average magnitude  are balanced, i.e., as the solutions of the equation , where the ± signs apply to the right and left wells, respectively. In our case, the solution of the above equation relative to the left well gives , which is in good agreement with the location of the left peak from Figure 3b.
To conclude, we point out that the distributions we just commented on provide qualitative insights on the average residence time  and  of the particle in each well, which are essential information especially for case (b) in which an analytic estimate for  is not available. It is in fact intuitive to see that in general, apart from the specific distribution features, lower temperatures associated with higher peaks in the distributions imply larger residence times, and vice versa for higher temperatures. According to Figure 3b, we then intuitively expect that the average residence times in the cases under consideration rank as follows:  is the largest,  in case (a) is intermediate and finally,  in case (b) is the shortest.
3. Results
3.1. Heat Exchanges between Two Passive Baths
We start in this section with the investigation of case (a) envisaging a passive bath in each of the two wells. We first fixed  and considered three  values, ,  and . According to Equation (11), the corresponding average residence times  are much larger than the inertial time , ranging from  for  to  for . In Figure 4a, we show the distribution  for these three choices of temperatures at sampling time  (the distributions  are just symmetrical). Note that all distributions are characterised by a positive average value, ∼ for , ∼ for  and ∼ for , confirming that, as intuitively expected, on average, the colder bath in the right well receives more energy from the hotter bath in the left well than the one it outputs towards it through the jumping particle. Note also that the distributions are characterised by an increasing skewness as the temperature difference  is increased. In the remainder of the present section, we focus on the case , which at the same time guarantees an appreciable skewness of  as well as an efficient sampling of both positive and negative heat values. Up to what our simulations afforded us to sample, we checked that the following results for this case also applied to the other values of .
 
      
    
    Figure 4.
      (a): Distribution  for case (a) at sampling time  for  and , as denoted by the legend. (b): Curves  for  at different sampling times, as denoted by the legend.  denotes the maximum of the distribution at each sampling time. The inset shows instead the trend of the same curves at the largest sampling times considered. (c): Ratio  evaluated at different sampling times  using data from panel (b) along with the right hand-side of Equation (21) plotted with  and , as denoted by the legend. (d): Ratio between the average number of jumps in the right→left direction and left→right directions denoted by  and , respectively, as functions of sampling time. The dashed lines denote the left and right average residence times  and , respectively. (e): Shift  of the curves from panel (c) as a function of time. For comparison, here, the black solid line reports the trend of . In all panels, we fixed ,  and .
  
In order to study the validity of Equation (1), we first focused on the trend of , which in the large time limit converges to the rate function  whenever  satisfies a large-deviation principle [,,]. More specifically, in Figure 4b, we report  extracted at different sampling times ’s, as reported by the legend. At each sampling time,  denotes the maximum of the distribution and in the ratio, it makes the resulting curves shift vertically so as to have a minimum value of zero. As highlighted by the inset of Figure 4b, for , we observe that the curves do overlap, thus implying that  satisfies a large-deviation principle. We therefore proceeded to check the validity of Equation (1) as prescribed by Equation (21). We used data from Figure 4b and report the resulting curves at the same ’s in Figure 4c, as denoted by the legend. We found that at all ’s, these curves were linear and, within numerical error, with a slope in agreement with , so that we could identify  with  and  with . We would like to underline that while previous results proved a fluctuation theorem like Equation (1) to stand in the case of two different thermal baths separately at equilibrium but acting simultaneously everywhere in the system [,,], our results extend this scenario to the case of spatially separated baths.
Interestingly, Figure 4c also shows that at short times, the numerical lines in Figure 4c do not cross the origin, but rather present a time-decreasing positive shift  which we can explain by looking at the system phenomenology at short times. During the evolution of our system, three timescales come into play, i.e., the left and right well residence times, , and the sampling time  at which the distribution  is considered. When taking into account a large number  independent realizations of the system, one then intuitively expects that, as long as , more jumps from left to right occur than in the opposite direction, while when , the number of right→left jumps starts increasing until essentially matching the number of left→right ones at . Figure 4d confirms this intuition by showing the trend of the numerical ratio between the average number of jumps in the right→left and in the left→right directions, respectively denoted as  and , as functions of sampling time . The curve in fact starts from a value lower than one for , which then it reaches asymptotically from below when . This jump phenomenology clearly bears consequences on the distribution , and then on the resulting fluctuation theorem. In fact, as apparent from Figure 4b, at short times , its left and right branches weigh differently positive and negative heat values, the left branch being further away from its large-time stationary form than the right one and mirroring the jump imbalance biased towards left→right positive heat jumps. As mentioned in Section 2.3, when commenting about Equation (21), these effects are encoded in the distribution as a sub-exponential contribution , which is a function of  scaling as  with  and in our case, which is directly related with the observed shift . As shown in Figure 4e, we in fact find  decreasing as  corresponding to , the latter value signalling that the difference  is of order .
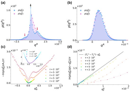
We now discuss the validity of the fluctuation theorem from Equation (1) for  by studying  in comparison with . In Figure 5a,b, we compare the distributions  and  for the same parameter choice as in Figure 4b at sampling times  and , respectively. Let us focus on Figure 5a first. What immediately catches the eye is that, contrary to  and as highlighted by the vertical arrows,  is characterised by three peaks. This peculiar structure can be readily explained by recalling the jump phenomenology discussed above. The left and right external peaks highlighted by the red arrows are due to particles leaving and entering the right well, which are then responsible for negative and positive energy exchanges, respectively. Since here, , more particles have jumped from left to right than in the opposite direction, hence the higher right peak. However, in our large sample of  independent realizations, at that time, a large number of particles have not yet jumped at all from the right well, but rather have been exchanging an average zero heat with the equilibrium thermal bath in that well, hence the central peak located at  highlighted by the black arrow. At large times,  instead loses its three-peak structure and comes to coincide with  from Figure 4b. In particular, the central peak disappears because at large times, it is extremely probable that all particles have already jumped almost once, while the other two become closer and closer until eventually merging. This overall scenario is graphically confirmed and clarified by Figure 5c, which reports the curves  extracted at different sampling times ’s, as denoted by the legend. The figure, in fact, at the same time shows the two external peaks clearly getting closer until eventually merging and also the curves converging towards a convex rate function . Combining further this last information with the content of Figure 4b and Figure 5b, we can therefore affirm that at large times, . The curves from Figure 5c allow us to finally check the validity of a fluctuation theorem for  as prescribed by Equation (21). Figure 5d reports the ratio  evaluated at different sampling times using data from Figure 5c and, as highlighted by the black line reporting Equation (21) plotted with  and , shows that at large sampling time ,  indeed satisfies the same fluctuation theorem shown in Figure 4c and satisfied by  with the same slope. Note that at short times, the fluctuation theorem is not satisfied because of the sub-exponential contribution , which encodes the three-peak structure of  and makes the curve actually curvilinear rather than rigidly vertically shifted. To conclude, we report that for the left well, we checked that  and consequently, that the same results discussed until this point for  symmetrically still applied, so that the energy balance Equation (19)’s results were satisfied.
 
      
    
    Figure 5.
      (a,b): Comparison between the distributions  and  at sampling times  and , respectively, with the same parameters as in Figure 4. In panel (a), the three arrows highlight the three peaks of . (c): Curves  for  at different sampling times, as denoted by the legend. As in Figure 4,  denotes the maximum of the distribution at each sampling time. The inset shows instead the trend of the same curves at the largest sampling times considered. (d): Ratio  evaluated at different sampling times using data from panel (c) along with the right hand-side of Equation (21) plotted with  and , as denoted by the legend. In all panels, we fixed ,  and .
  
3.2. Heat Exchanges between a Passive and an Active Bath
In this section, we investigate case (b) envisaging a left bath which is given an active character through the introduction of an additional Ornstein–Uhlenbeck noise. In Figure 6a, we preliminarily show the distribution  for  and three different  at sampling time  (the distributions  are just symmetrical). The figure is clearly reminiscent of Figure 4a, with  effectively playing the role of a temperature like : as  is increased, the distributions shift towards the right, with a consequent increase in their skewness as well as of the average value of .
 
      
    
    Figure 6.
      (a): Distribution  for case (b) at sampling time  for  and 75, as denoted by the legend. (b): Curves  for  at different sampling times, as denoted by the legend. As in Figure 4,  still denotes the maximum of the distribution at each sampling time. The inset shows instead the trend of the same curves at the largest sampling times considered. (c): Ratio  evaluated at different sampling times  up to  in the main figure and between  and  in the inset, as denoted by the legend. The main plot and inset were obtained using data from the main plot and inset of panel (b), respectively, and both report the trend of  as a black solid line, with  extracted from a fit of the curves in the inset performed as described in the main text. (d): Overview of the temperatures  and  (yellow and green circles) extracted from  and  at sampling time  as prescribed by Equation (21) as a function of  compared to  and  obtained in the harmonic (light blue and red lines) and double-well (dark blue and red lines) configurations, respectively.  and  are plotted as solid lines to highlight their analytical origin from Equations (A12) and (A13), while all other data are plotted as dot and lines, the dots reporting the values obtained numerically, the lines being a guide to the eye, including the lower black solid line reporting a sample linear trend . In all panels we fixed  and , while in the harmonic and double-well configurations, we set  and , respectively.
  
Let us consider in detail the case . As in Section 3.1, for the right well, the residence time is  as prescribed by Equation (11). For the left well we instead numerically estimate it as , so that the conditions  are satisfied. Figure 6b shows the trend of  for an increasing sampling time , as denoted by the legend. As remarked by the inset and similarly to Section 3.1, also in this case, we find the curves to converge at large times towards a convex rate function , thus proving  satisfies a large-deviation principle even when one of the baths is made active. Figure 6c shows instead the ratio  evaluated at different times using data from Figure 6b. Interestingly, also in this case, the resulting curves show a linear trend at all times. Here, the effect of the sub-exponential contribution  makes the slope of the curves reduce until reaching a constant value, as remarked by the inset. Following the same line of action as in Section 3.1, one can fit these lines as prescribed by Equation (21), so as to extract a temperature estimate for the right well based on fluctuation theorems. When doing so, identifying a priori  with , one finds for the left well  (whence the choice of parameters in Figure 3b for which  from case (a) and  from case (b) essentially coincide). The resulting line  is reported in Figure 6c for completeness. The possibility  can thus be trivially discarded since, as in the case  from Figure 6a in which the effect of the active noise is essentially negligible, it would lead to , and therefore to a vanishing slope.
At this point, one could naturally ask how  is influenced by the strength of the activity, i.e. by , and also whether this temperature coincides with other out-of-equilibrium temperatures like the kinetic and effective ones mentioned in Section 1 and detailed in Appendix A. Concerning the first question, Figure 6d shows the trend of  (yellow dots) obtained by varying  while keeping fixed all other system parameters, while Table 1 reports the exact values emerging from the analytical expressions from Appendix A and from our fit procedure performed while keeping  fixed. The data suggest that  increases roughly linearly as a function of . Note that at all  considered, the estimated left residence times  satisfy the condition , as reported in Table 1.
 
       
    
    Table 1.
    Estimates of the average residence time in the left well  and of the temperatures , , , , ,  for various choices of increasing . The values of ,  were obtained analytically from Equations (A12) and (A13), while all other time and temperature estimates were obtained numerically. In all cases, the system was evolved until , and we fixed  and , , while in the harmonic and double-well configurations, we set  and , respectively.
  
In order to answer the second question, we instead compared  with the kinetic and effective temperatures obtained for a particle subjected everywhere to the active bath and under the separate action of two different external potentials. The first potential we considered was a harmonic one  introduced in such a way as to approximate the quartic double-well potential Equation (2) around one if its minima, i.e. setting  with  the second derivative of Equation (2) at its minima locations . In such a case, we referred to the overall configuration as the harmonic configuration, the two temperatures were denoted as  and , and, as detailed in Appendix A, an analytical derivation was feasible with resulting expressions provided by Equations (A12) and (A13). The second potential we considered was instead the usual quartic double-well potential Equation (2), and the relative configuration was referred to as the double-well configuration. Here, the two temperatures were denoted as  and  and their estimates were obtained by numerical means. The rationale underlying these configurations followed our desire to understand if the value of  was determined mostly by the permanence of the particle around the potential minimum (hence the harmonic configuration), or, similarly to what was observed for the variation in entropy production for an active particle under the action of a quartic double-well potential [,], by the non-convex region of Equation (2) (hence, the double-well configuration).
Figure 6d reports the trend of the temperature values we obtained in the two configurations under consideration, while Table 1 offers an overview of their values. From a comparison with the trends and values of  it is immediate to realise that there is no correspondence between any of the two effective temperatures. The kinetic temperatures are instead much closer to , with  essentially coinciding exactly. We therefore conclude that it is not enough to limit our attention to the evolution of the particle around the potential minima, but rather considering its dynamics around its local maximum at  is essential. Moreover, the affinity of  to the kinetic temperature seems to mirror the inherent character of : instantaneous energy exchanges are best described in terms of an instantaneous out-of-equilibrium temperature.
We now turn to comment on the behaviour of the heat  and active work  per unit time. Figure 7a reports the curves  for an increasing sampling time  for the same parameter choice as in Figure 6b. Along with its inset, the figure shows that also in this case, these curves converge at large times towards a convex rate function , thus proving that  also satisfies a large-deviation principle when the left bath is active. Concerning the validity of a fluctuation theorem, Figure 7b shows the ratio  evaluated at different times using data from Figure 7a. As in Figure 5d, at small times, the sub-exponential contribution  makes the resulting curves actually curvilinear, while at large times, they assume a linear trend with a constant slope. Following the usual fitting procedure, in this case, we found , and the resulting curve  is reported in Figure 7b and its inset for completeness. In order to give context to this finding, Figure 7c reports a comparison between  and  at sampling time . Interestingly, contrary to Figure 5b from case (a), here, at large times, the two distributions do not coincide, but  is rather slightly shifted towards the right with respect to . As Figure 6b and Figure 7a show that at this , the curves  and  have both already converged towards their respective rate functions, the origin of this discrepancy is not a matter of not a long enough sampling time, but its explanation must rather be searched once again in the very dynamics of the system. To this end, we reconsidered the position stationary distribution from Figure 3b. As commented in Section 2.4, this is characterised by a left peak shifted towards the left with respect to the location of the left minimum  of the double-well potential Equation (2). This effect is in turn ascribable to the action of the active noise  which pushes the particle towards the left when assuming persistently negative values. When instead  persistently assumes positive values, it pushes the particle towards the right until making it jump in the right well. In doing so, the particle essentially takes a run-up, so that, contrary to case (a), when jumping towards the right, its velocity is enhanced. As a consequence, the particle is not able to dissipate all accumulated excess energy essentially instantaneously at  as in case (a), but it rather completes its thermalization with the right-well bath during the descent towards the right minimum located at , hence the released surplus energy, the shift of  and the resulting fit temperature  higher than both .
 
      
    
    Figure 7.
      (a): Curves  for  at different sampling times, as denoted by the legend.  denotes the maximum of the distribution at each sampling time. The inset shows instead the trend of the same curves at the largest sampling times considered. (b): Ratio  evaluated at different sampling times using data from panel (a) along with the right hand-side of Equation (21) with  fixed and  extracted from a fit of the curves in the inset performed as described in the main text, as denoted by the legend. (c,d): Comparison between the distributions  and  at sampling time , respectively, with the same parameters as in Figure 6a. In panel (d), the inset shows instead a comparison between  and . In all panels, we fixed ,  and .
  
We remark that this finding is coherent with the phenomenology described above: the release of energy associated with  does not occur instantaneously, so the kinetic temperature is obviously not fit to describe this phenomenon. At the same time, this energy release does not persist long enough to make the effective temperature  intervene, so that . Interestingly, Figure 6d and Table 1 show that the temperature discrepancies we uncovered at  are not peculiar of this specific case but are instead common for all other  we considered, with  in all cases.
To conclude, we briefly comment on the heat exchanges’ distributions for the left bath, captured at sampling time  and . Figure 7d reports  and  and shows that values spanned by these distributions are much larger than the ones spanned by  and  from Figure 7c. This effect is due to the enhanced velocity of the particle pushed by the active force. Note also that the signs of  and  agree and their distributions almost overlap. That they do not completely overlap is in turn shown by the inset reporting  compared to . The inset in fact shows that  records non-zero values of three orders of magnitude lower than those associated with the distributions from the main figure and of the same order of magnitude as the ones associated with . Moreover, similarly to what happens for  and  from Figure 7c,  is slightly shifted with respect to . Finally, we conclude by remarking that the distributions  and  are coherent with the energy balance Equation (19).
4. Conclusions
In this paper we numerically studied the heat exchanges occurring between two heat baths of different nature with the purpose to investigate the role temperature plays in these phenomena. The baths were spatially confined in the two wells of a quartic double-well potential, while the heat exchanges were mediated by a Brownian particle jumping between the two. Heat was sampled according to two different definitions: as the total kinetic energy carried by the particle when jump events occur and as the work performed by the particle on one of the two baths when immersed in it. These heat distributions were used to check the validity of a fluctuation theorem whence possibly extracting a temperature estimate for the baths through a proper linear fit. This procedure allowed us to introduce the definition of an out-of-equilibrium temperature whose resulting values we compared not only with the bath temperatures, but also with other out-of-equilibrium temperatures as the kinetic and effective ones. Operatively, we fixed an equilibrium bath in the right well and considered two different configurations for the one in the left well.
In the first case, we fixed another equilibrium thermal bath with a different temperature and found both heat definitions to satisfy the same fluctuation theorem with fit temperatures coinciding with the ones of both baths. These results extend the analysis of [,,] to the cases of spatially separated equilibrium thermal baths.
In the second case, we instead considered an active bath by introducing an additional Ornstein–Uhlenbeck noise, making the bath effectively out of equilibrium. Also in that case, we found a fluctuation theorem to be satisfied. However, there, the temperature relative to the left bath turned out to coincide with its out-of-equilibrium kinetic temperature for the heat defined as the sum of kinetic energies and with a higher one yet still lower than the effective temperature for the other definition of heat. These results and discrepancies were interpreted by looking at the system phenomenology, finding them to mirror the instantaneous or longer release of energy captured by both heat definitions.
The present study could represent the first step towards a deeper and wider investigation on the role played by temperature in heat exchanges. If and where possible, analytical approaches could in fact provide further validation and insights into the overall scenario emerging from our investigation. Moreover, more complex geometries and bath features could be explored so as to clarify even better the role of kinetic temperature in heat exchanges or reveal cases where instead the effective temperature plays a prominent role. Experiments adopting setups and technologies already in place like Janus particles [,,,] and optical tweezers [,] could provide further validation and connections with real systems.
Author Contributions
Conceptualization, methodology, validation, investigation and data curation: M.S. and A.S.; software and visualization: M.S.; writing—original draft preparation, writing—review and editing, M.S., A.S. and G.N.; supervision, A.S. and G.N. All authors have read and agreed to the published version of the manuscript.
Funding
This work was made possible thanks to the access to Bari ReCaS e-Infrastructure funded by MIUR through PON Research and Competitiveness 2007-2013 Call 254 Action and has been supported by the Italian Ministry of University and Research via the projects PRIN 2020/PFCXPE, PRIN 2022/HNW5YL and Quantum Sensing and Modeling for One-Health (QuaSiModO).
Institutional Review Board Statement
Not applicable.
Data Availability Statement
Data can be made available upon reasonable request.
Acknowledgments
We would like to thank Giuseppe Gonnella for suggesting the research topic and providing valuable insights about it.
Conflicts of Interest
The authors declare no conflicts of interest.
Appendix A. Effective and Kinetic Temperatures
Effective and kinetic temperatures are two out-of-equilibrium temperature definitions able to capture instantaneous and time-delayed properties of the system [,,,,,,,,,], respectively. Their definitions rely in fact on two fundamental results of statistical mechanics more effective in these two time regimes: the equipartition theorem [] and the fluctuation–dissipation theorem [].
Concerning the effective temperature, we first recall the definition of mean square displacement and integrated linear response function. The former is defined as
        
      
        
      
      
      
      
    
        and measures how far on average a particle travels over time with respect to a fixed initial location, while the latter is defined as
        
      
        
      
      
      
      
    
        with
        
      
        
      
      
      
      
    
        the linear response of the system, d the dimension of the system,  dimensional indices and  an external perturbation depending on the parameter  and measures how a system responds to a small external perturbation. The above two functions are both involved in the position fluctuation–dissipation theorem
        
      
        
      
      
      
      
    
		Based on the above relation, the time-dependent effective temperature for an out-of-equilibrium system is then defined as [,,]
        
      
        
      
      
      
      
    
		Concerning the kinetic temperature, we recall the equipartition theorem stating that for each degree of freedom i of an equilibrium system, the temperature T and the velocity fluctuations are related as
        
      
        
      
      
      
      
    
		It is then natural for each degree of freedom of an out-of-equilibrium system to define the time-dependent kinetic temperature as [,,]
        
      
        
      
      
      
      
    
In equilibrium systems, as for example a single Brownian particle in contact with a white-noise bath with temperature T, the two definitions boil down to the same expression, T. In more complex configurations, they can instead be very different. For example, for a free active Ornstein–Uhlenbeck particle [,,,], i.e., a particular instance of an active particle, the integrated linear response function reads
        
      
        
      
      
      
      
    
        while the mean square displacement and velocity expressions are provided by []. Combining these functions as prescribed by Equations (A5) and (A7), and fixing , one finds that in the long time limit 
      
        
      
      
      
      
    
        and
        
      
        
      
      
      
      
    
        where we dropped the time dependence as both temperatures reach a constant value. Analytical estimates can also be provided for an active Ornstein–Uhlenbeck particle under the action of an external harmonic potential like . In this case the integrated linear response function is
        
      
        
      
      
      
      
    
        while the mean and velocity square displacement expressions are again provided by []. Combining these functions as above, and fixing , one finds that in the long time limit 
      
        
      
      
      
      
    
        and
        
      
        
      
      
      
      
    
        which in the limit  reduce to Equations (A9) and (A10), respectively.
To our knowledge, in even more complex systems analytical results are not available. However, one can always resort to numerical methods and evaluate the kinetic and effective temperatures as prescribed by their definitions Equations (A5) and (A7). In particular, the effective temperature estimation requires the knowledge of the integrated linear response function to be evaluated using an external perturbation low enough for the system to remain in the linear regime and at the same time large enough to overcome large fluctuation effects.
References
- Cugliandolo, L.F.; Kurchan, J.; Peliti, L. Energy flow, partial equilibration, and effective temperatures in systems with slow dynamics. Phys. Rev. E 1997, 55, 3898–3914. [Google Scholar] [CrossRef]
- Cugliandolo, L.F.; Kurchan, J. A scenario for the dynamics in the small entropy production limit. J. Phys. Soc. Jpn.-Suppl. A 2000, 69, 247–256. [Google Scholar]
- Cugliandolo, L.F. The effective temperature. J. Phys. A Math. Theor. 2011, 44, 483001. [Google Scholar] [CrossRef]
- Ilg, P.; Barrat, J.L. Effective temperatures in a simple model of non-equilibrium, non-Markovian dynamics. J. Phys. Conf. Ser. 2006, 40, 76–85. [Google Scholar] [CrossRef]
- Ramaswamy, S. The Mechanics and Statistics of Active Matter. Annu. Rev. Condens. Matter Phys. 2010, 1, 323–345. [Google Scholar] [CrossRef]
- Romanczuk, P.; Bär, M.; Ebeling, W.; Lindner, B.; Schimansky-Geier, L. Active Brownian particles: From individual to collective stochastic dynamics. Eur. Phys. J. Spec. Top. 2012, 202, 1–162. [Google Scholar] [CrossRef]
- Marchetti, M.C.; Joanny, J.F.; Ramaswamy, S.; Liverpool, T.B.; Prost, J.; Rao, M.; Simha, R.A. Hydrodynamics of soft active matter. Rev. Mod. Phys. 2013, 85, 1143–1189. [Google Scholar] [CrossRef]
- Elgeti, J.; Winkler, R.G.; Gompper, G. Physics of microswimmers—single particle motion and collective behavior: A review. Rep. Prog. Phys. 2015, 78, 056601. [Google Scholar] [CrossRef]
- Bechinger, C.; Di Leonardo, R.; Löwen, H.; Reichhardt, C.; Volpe, G.; Volpe, G. Active particles in complex and crowded environments. Rev. Mod. Phys. 2016, 88, 045006. [Google Scholar] [CrossRef]
- Fodor, E.; Marchetti, M.C. The statistical physics of active matter: From self-catalytic colloids to living cells. Phys. A Stat. Mech. Its Appl. 2018, 504, 106–120. [Google Scholar] [CrossRef]
- Carenza, L.N.; Gonnella, G.; Lamura, A.; Negro, G. Dynamically asymmetric and bicontinuous morphologies in active emulsions. Int. J. Mod. Phys. C 2019, 30, 1941002. [Google Scholar] [CrossRef]
- Negro, G.; Lamura, A.; Gonnella, G.; Marenduzzo, D. Hydrodynamics of contraction-based motility in a compressible active fluid. Europhys. Lett. 2019, 127, 58001. [Google Scholar] [CrossRef]
- Gompper, G.; Winkler, R.G.; Speck, T.; Solon, A.; Nardini, C.; Peruani, F.; Löwen, H.; Golestanian, R.; Kaupp, U.B.; Alvarez, L.; et al. The 2020 motile active matter roadmap. J. Phys. Condens. Matter 2020, 32, 193001. [Google Scholar] [CrossRef] [PubMed]
- Carenza, L.; Gonnella, G.; Lamura, A.; Marenduzzo, D.; Negro, G.; Tiribocchi, A. Soft channel formation and symmetry breaking in exotic active emulsions. Sci. Rep. 2020, 10, 15936. [Google Scholar] [CrossRef] [PubMed]
- Favuzzi, I.; Carenza, L.; Corberi, F.; Gonnella, G.; Lamura, A.; Negro, G. Rheology of active emulsions with negative effective viscosity. Soft Mater. 2021, 19, 334–345. [Google Scholar] [CrossRef]
- Giordano, M.G.; Bonelli, F.; Carenza, L.N.; Gonnella, G.; Negro, G. Activity-induced isotropic-polar transition in active liquid crystals. Europhys. Lett. 2021, 133, 58004. [Google Scholar] [CrossRef]
- Head, L.C.; Doré, C.; Keogh, R.R.; Bonn, L.; Negro, G.; Marenduzzo, D.; Doostmohammadi, A.; Thijssen, K.; López-León, T.; Shendruk, T.N. Spontaneous self-constraint in active nematic flows. Nat. Phys. 2024, 20, 492–500. [Google Scholar] [CrossRef]
- Vicsek, T.; Zafeiris, A. Collective motion. Phys. Rep. 2012, 517, 71–140. [Google Scholar] [CrossRef]
- GrandPre, T.; Limmer, D.T. Current fluctuations of interacting active Brownian particles. Phys. Rev. E 2018, 98, 060601. [Google Scholar] [CrossRef]
- Negro, G.; Caporusso, C.B.; Digregorio, P.; Gonnella, G.; Lamura, A.; Suma, A. Hydrodynamic effects on the liquid-hexatic transition of active colloids. Eur. Phys. J. E 2022, 45, 75. [Google Scholar] [CrossRef]
- Caporusso, C.B.; Negro, G.; Suma, A.; Digregorio, P.; Carenza, L.N.; Gonnella, G.; Cugliandolo, L.F. Phase behaviour and dynamics of three-dimensional active dumbbell systems. Soft Matter 2024, 20, 923–939. [Google Scholar] [CrossRef] [PubMed]
- Tailleur, J.; Cates, M.E. Statistical Mechanics of Interacting Run-and-Tumble Bacteria. Phys. Rev. Lett. 2008, 100, 218103. [Google Scholar] [CrossRef] [PubMed]
- Cates, M.E.; Tailleur, J. Motility-induced phase separation. Annu. Rev. Condens. Matter Phys. 2015, 6, 219–244. [Google Scholar] [CrossRef]
- Caporusso, C.B.; Digregorio, P.; Levis, D.; Cugliandolo, L.F.; Gonnella, G. Motility-Induced Microphase and Macrophase Separation in a Two-Dimensional Active Brownian Particle System. Phys. Rev. Lett. 2020, 125, 178004. [Google Scholar] [CrossRef] [PubMed]
- Fily, Y.; Henkes, S.; Marchetti, M.C. Freezing and phase separation of self-propelled disks. Soft Matter 2014, 10, 2132–2140. [Google Scholar] [CrossRef] [PubMed]
- Cugliandolo, L.F.; Digregorio, P.; Gonnella, G.; Suma, A. Phase Coexistence in Two-Dimensional Passive and Active Dumbbell Systems. Phys. Rev. Lett. 2017, 119, 268002. [Google Scholar] [CrossRef] [PubMed]
- Digregorio, P.; Levis, D.; Suma, A.; Cugliandolo, L.F.; Gonnella, G.; Pagonabarraga, I. Full Phase Diagram of Active Brownian Disks: From Melting to Motility-Induced Phase Separation. Phys. Rev. Lett. 2018, 121, 098003. [Google Scholar] [CrossRef]
- Petrelli, I.; Digregorio, P.; Cugliandolo, L.F.; Gonnella, G.; Suma, A. Active dumbbells: Dynamics and morphology in the coexisting region. Eur. Phys. J. E 2018, 41, 128. [Google Scholar] [CrossRef] [PubMed]
- Cagnetta, F.; Corberi, F.; Gonnella, G.; Suma, A. Large fluctuations and dynamic phase transition in a system of self-propelled particles. Phys. Rev. Lett. 2017, 119, 158002. [Google Scholar] [CrossRef]
- Gradenigo, G.; Majumdar, S.N. A first-order dynamical transition in the displacement distribution of a driven run-and-tumble particle. J. Stat. Mech. Theory Exp. 2019, 2019, 053206. [Google Scholar] [CrossRef]
- Semeraro, M.; Gonnella, G.; Suma, A.; Zamparo, M. Work Fluctuations for a Harmonically Confined Active Ornstein-Uhlenbeck Particle. Phys. Rev. Lett. 2023, 131, 158302. [Google Scholar] [CrossRef]
- Seifert, U. Stochastic thermodynamics, fluctuation theorems and molecular machines. Rep. Prog. Phys. 2012, 75, 126001. [Google Scholar] [CrossRef]
- Peliti, L.; Pigolotti, S. Stochastic Thermodynamics: An Introduction; Princeton University Press: Princeton, NJ, USA, 2021. [Google Scholar]
- Shiraishi, N. An Introduction to Stochastic Thermodynamics: From Basic to Advanced; Springer Nature: Berlin/Heidelberg, Germany, 2023; Volume 212. [Google Scholar]
- Fodor, E.; Jack, R.L.; Cates, M.E. Irreversibility and biased ensembles in active matter: Insights from stochastic thermodynamics. arXiv 2021, arXiv:2104.06634. [Google Scholar] [CrossRef]
- O’Byrne, J.; Kafri, Y.; Tailleur, J.; van Wijland, F. Time irreversibility in active matter, from micro to macro. Nat. Rev. Phys. 2022, 4, 167183. [Google Scholar] [CrossRef]
- Burkholder, E.W.; Brady, J.F. Fluctuation-dissipation in active matter. J. Chem. Phys. 2019, 150, 184901. [Google Scholar] [CrossRef]
- Caprini, L.; Puglisi, A.; Sarracino, A. Fluctuation–dissipation relations in active matter systems. Symmetry 2021, 13, 81. [Google Scholar] [CrossRef]
- Cengio, S.D.; Levis, D.; Pagonabarraga, I. Fluctuation–dissipation relations in the absence of detailed balance: Formalism and applications to active matter. J. Stat. Mech. Theory Exp. 2021, 2021, 043201. [Google Scholar] [CrossRef]
- Loi, D.; Mossa, S.; Cugliandolo, L.F. Effective temperature of active matter. Phys. Rev. E 2008, 77, 051111. [Google Scholar] [CrossRef]
- Nandi, S.K.; Gov, N. Effective temperature of active fluids and sheared soft glassy materials. Eur. Phys. J. E 2018, 41, 117. [Google Scholar] [CrossRef]
- Palacci, J.; Cottin-Bizonne, C.; Ybert, C.; Bocquet, L. Sedimentation and effective temperature of active colloidal suspensions. Phys. Rev. Lett. 2010, 105, 088304. [Google Scholar] [CrossRef]
- Suma, A.; Gonnella, G.; Laghezza, G.; Lamura, A.; Mossa, A.; Cugliandolo, L.F. Dynamics of a homogeneous active dumbbell system. Phys. Rev. E 2014, 90, 052130. [Google Scholar] [CrossRef] [PubMed]
- Szamel, G. Self-propelled particle in an external potential: Existence of an effective temperature. Phys. Rev. E 2014, 90, 012111. [Google Scholar] [CrossRef] [PubMed]
- Levis, D.; Berthier, L. From single-particle to collective effective temperatures in an active fluid of self-propelled particles. Europhys. Lett. 2015, 111, 60006. [Google Scholar] [CrossRef]
- Petrelli, I.; Cugliandolo, L.F.; Gonnella, G.; Suma, A. Effective temperatures in inhomogeneous passive and active bidimensional Brownian particle systems. Phys. Rev. E 2020, 102, 012609. [Google Scholar] [CrossRef] [PubMed]
- Gallavotti, G.; Cohen, E.G.D. Dynamical ensembles in stationary states. J. Stat. Phys. 1995, 80, 333–365. [Google Scholar] [CrossRef]
- Lebowitz, J.L.; Spohn, H. A Gallavotti–Cohen-Type Symmetry in the Large Deviation Functional for Stochastic Dynamics. J. Stat. Phys. 1999, 95, 333–365. [Google Scholar] [CrossRef]
- Crooks, G.E. Entropy production fluctuation theorem and the nonequilibrium work relation for free energy differences. Phys. Rev. E 1999, 60, 2721–2726. [Google Scholar] [CrossRef]
- Harris, R.J.; Schütz, G.M. Fluctuation theorems for stochastic dynamics. J. Stat. Mech. Theory Exp. 2007, 2007, P07020. [Google Scholar] [CrossRef]
- Sevick, E.; Prabhakar, R.; Williams, S.R.; Searles, D.J. Fluctuation Theorems. Annu. Rev. Phys. Chem. 2008, 59, 603–633. [Google Scholar] [CrossRef] [PubMed]
- Dabelow, L.; Bo, S.; Eichhorn, R. Irreversibility in Active Matter Systems: Fluctuation Theorem and Mutual Information. Phys. Rev. X 2019, 9, 021009. [Google Scholar] [CrossRef]
- Bodineau, T.; Derrida, B. Cumulants and large deviations of the current through non-equilibrium steady states. Comptes Rendus Phys. 2007, 8, 540–555. [Google Scholar] [CrossRef]
- Dembo, A.; Zeitouni, O. Large Deviations Techniques and Applications, 2nd ed.; Springer: New York, NY, USA, 1988. [Google Scholar]
- den Hollander, F. Large Deviations; AMS: Hong Kong, China, 2000. [Google Scholar]
- Touchette, H. The large deviation approach to statistical mechanics. Phys. Rep. 2009, 478, 1–69. [Google Scholar] [CrossRef]
- Visco, P. Work fluctuations for a Brownian particle between two thermostats. J. Stat. Mech. Theory Exp. 2006, 2006, P06006. [Google Scholar] [CrossRef]
- Fogedby, H.C.; Imparato, A. A bound particle coupled to two thermostats. J. Stat. Mech. Theory Exp. 2011, 2011, P05015. [Google Scholar] [CrossRef]
- Ben-Isaac, E.; Park, Y.; Popescu, G.; Brown, F.L.H.; Gov, N.S.; Shokef, Y. Effective Temperature of Red-Blood-Cell Membrane Fluctuations. Phys. Rev. Lett. 2011, 106, 238103. [Google Scholar] [CrossRef]
- Dieterich, E.; Camunas-Soler, J.; Ribezzi-Crivellari, M.; Seifert, U.; Ritort, F. Single-molecule measurement of the effective temperature in non-equilibrium steady states. Nat. Phys. 2015, 11, 971–977. [Google Scholar] [CrossRef]
- Cugliandolo, L.F.; Gonnella, G.; Petrelli, I. Effective temperature in active Brownian particles. Fluct. Noise Lett. 2019, 18, 1940008. [Google Scholar] [CrossRef]
- Mandal, S.; Liebchen, B.; Löwen, H. Motility-Induced Temperature Difference in Coexisting Phases. Phys. Rev. Lett. 2019, 123, 228001. [Google Scholar] [CrossRef]
- Bonilla, L.L. Active Ornstein-Uhlenbeck particles. Phys. Rev. E 2019, 100, 022601. [Google Scholar] [CrossRef]
- Caprini, L.; Marconi, U.M.B. Inertial self-propelled particles. J. Chem. Phys. 2021, 154, 024902. [Google Scholar] [CrossRef]
- Martin, D.; O’Byrne, J.; Cates, M.E.; Fodor, E.; Nardini, C.; Tailleur, J.; van Wijland, F. Statistical mechanics of active Ornstein-Uhlenbeck particles. Phys. Rev. E 2021, 103, 032607. [Google Scholar] [CrossRef]
- Semeraro, M.; Suma, A.; Petrelli, I.; Cagnetta, F.; Gonnella, G. Work fluctuations in the active Ornstein–Uhlenbeck particle model. J. Stat. Mech. Theory Exp. 2021, 2021, 123202. [Google Scholar] [CrossRef]
- Sekimoto, K. Stochastic Energetics; Springer: Berlin/Heidelberg, Germany, 2010. [Google Scholar]
- Kanwal, R.P. Generalized Functions Theory and Technique: Theory and Technique; Springer Science & Business Media: Berlin/Heidelberg, Germany, 2012. [Google Scholar]
- Abramowitz, M.; Stegun, I.A. Handbook of Mathematical Functions with Formulas, Graphs, and Mathematical Tables; National Bureau of Standards Applied Mathematics Series 55, Tenth Printing; ERIC: Washington, DC, USA, 1972. [Google Scholar]
- Caprini, L.; Marini Bettolo Marconi, U.; Puglisi, A.; Vulpiani, A. Active escape dynamics: The effect of persistence on barrier crossing. J. Chem. Phys. 2019, 150, 024902. [Google Scholar] [CrossRef] [PubMed]
- Das, S.; Gompper, G.; Winkler, R.G. Confined active Brownian particles: Theoretical description of propulsion-induced accumulation. New J. Phys. 2018, 20, 015001. [Google Scholar] [CrossRef]
- Jiang, H.R.; Yoshinaga, N.; Sano, M. Active Motion of a Janus Particle by Self-Thermophoresis in a Defocused Laser Beam. Phys. Rev. Lett. 2010, 105, 268302. [Google Scholar] [CrossRef] [PubMed]
- Theurkauff, I.; Cottin-Bizonne, C.; Palacci, J.; Ybert, C.; Bocquet, L. Dynamic Clustering in Active Colloidal Suspensions with Chemical Signaling. Phys. Rev. Lett. 2012, 108, 268303. [Google Scholar] [CrossRef]
- Buttinoni, I.; Bialké, J.; Kümmel, F.; Löwen, H.; Bechinger, C.; Speck, T. Dynamical Clustering and Phase Separation in Suspensions of Self-Propelled Colloidal Particles. Phys. Rev. Lett. 2013, 110, 238301. [Google Scholar] [CrossRef] [PubMed]
- Walther, A.; Müller, A.H. Janus particles. Soft Matter 2008, 4, 663–668. [Google Scholar] [CrossRef]
- Wang, G.; Sevick, E.M.; Mittag, E.; Searles, D.J.; Evans, D.J. Experimental demonstration of violations of the second law of thermodynamics for small systems and short time scales. Phys. Rev. Lett. 2002, 89, 050601. [Google Scholar] [CrossRef]
- Blickle, V.; Speck, T.; Helden, L.; Seifert, U.; Bechinger, C. Thermodynamics of a Colloidal Particle in a Time-Dependent Nonharmonic Potential. Phys. Rev. Lett. 2006, 96, 070603. [Google Scholar] [CrossRef]
- Ben-Isaac, E.; Fodor, E.; Visco, P.; van Wijland, F.; Gov, N.S. Modeling the dynamics of a tracer particle in an elastic active gel. Phys. Rev. E 2015, 92, 012716. [Google Scholar] [CrossRef] [PubMed]
- Hänggi, P.; Talkner, P.; Borkovec, M. Reaction-rate theory: Fifty years after Kramers. Rev. Mod. Phys. 1990, 62, 251–341. [Google Scholar] [CrossRef]
- Caprini, L.; Cecconi, F.; Marini Bettolo Marconi, U. Correlated escape of active particles across a potential barrier. J. Chem. Phys. 2021, 155, 234902. [Google Scholar] [CrossRef] [PubMed]
- Stratonovich, R.L. Topics in the Theory of Random Noise; CRC Press: Boca Raton, FL, USA, 1967; Volume 2. [Google Scholar]
- Pietzonka, P.; Fodor, E.; Lohrmann, C.; Cates, M.E.; Seifert, U. Autonomous Engines Driven by Active Matter: Energetics and Design Principles. Phys. Rev. X 2019, 9, 041032. [Google Scholar] [CrossRef]
- Keta, Y.E.; Fodor, É.; van Wijland, F.; Cates, M.E.; Jack, R.L. Collective motion in large deviations of active particles. Phys. Rev. E 2021, 103, 022603. [Google Scholar] [CrossRef] [PubMed]
- Tuckerman, M. Statistical Mechanics: Theory and Molecular Simulation; Oxford University Press: Oxford, UK, 2023. [Google Scholar]
- Kloeden, P.E.; Platen, E. Numerical Solution of Stochastic Differential Equations; Springer: Berlin/Heidelberg, Germany, 1992. [Google Scholar]
- Risken, H. The Fokker-Planck Equation–Methods of Solution and Applications, 2nd ed.; Springer: Berlin/Heidelberg, Germany, 2021. [Google Scholar]
- Van Kampen, N.G. Itô versus Stratonovich. J. Stat. Phys. 1981, 24, 175–187. [Google Scholar] [CrossRef]
- Arnold, P. Langevin equations with multiplicative noise: Resolution of time discretization ambiguities for equilibrium systems. Phys. Rev. E 2000, 61, 6091–6098. [Google Scholar] [CrossRef] [PubMed]
- Dabelow, L.; Bo, S.; Eichhorn, R. How irreversible are steady-state trajectories of a trapped active particle? J. Stat. Mech. Theory Exp. 2021, 2021, 033216. [Google Scholar] [CrossRef]
- Alonso, M.; Finn, E.J. Fundamental University Physics; Wesley Reading: Addison, MA, USA, 1967; Volume 2. [Google Scholar]
- Kubo, R. The fluctuation-dissipation theorem. Rep. Prog. Phys. 1966, 29, 255–284. [Google Scholar] [CrossRef]
| Disclaimer/Publisher’s Note: The statements, opinions and data contained in all publications are solely those of the individual author(s) and contributor(s) and not of MDPI and/or the editor(s). MDPI and/or the editor(s) disclaim responsibility for any injury to people or property resulting from any ideas, methods, instructions or products referred to in the content. | 
© 2024 by the authors. Licensee MDPI, Basel, Switzerland. This article is an open access article distributed under the terms and conditions of the Creative Commons Attribution (CC BY) license (https://creativecommons.org/licenses/by/4.0/).
