Effect of Pure Dephasing Quantum Noise in the Quantum Search Algorithm Using Atos Quantum Assembly
Abstract
1. Introduction
2. Quantum Search Algorithm
2.1. Initialization
2.2. Oracle
2.3. Amplitude Amplification
2.4. Measurement
3. Quantum Noise Interference on Grover’s Algorithm
3.1. Quantum Hardware Model Simulation
3.2. Quantum Noise
4. Conclusions
Author Contributions
Funding
Data Availability Statement
Acknowledgments
Conflicts of Interest
Appendix A. Conversion of Items into State Vectors of the Computational Basis
| ITEM | DECIMAL | VECTOR |
|---|---|---|
| Orange | 0 | |
| Magenta | 1 | |
| Yellow | 2 | |
| Violet | 3 | |
| Beige | 4 | |
| Purple | 5 | |
| White | 6 | |
| Pink | 7 | |
| Brown | 8 | |
| Green | 9 | |
| Black | 10 | |
| Cyan | 11 | |
| Salmon | 12 | |
| Gray | 13 | |
| Red | 14 | |
| Blue | 15 |
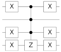
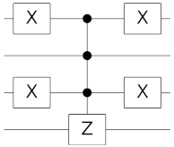
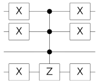
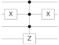
Appendix B. Oracle Subrotines
| STATE | ORACLE | STATE | ORACLE | STATE | ORACLE | STATE | ORACLE |
|---|---|---|---|---|---|---|---|
![]() | ![]() | ![]() | ![]() | ||||
![]() | ![]() | ![]() | ![]() | ||||
![]() | ![]() | ![]() | ![]() | ||||
![]() | ![]() | ![]() | ![]() |
References
- Deutsch, I.H. Harnessing the Power of the Second Quantum Revolution. PRX Quantum 2020, 1, 020101. [Google Scholar] [CrossRef]
- Atzori, M.; Sessoli, R. The second quantum revolution: Role and challenges of molecular chemistry. J. Am. Chem. Soc. 2019, 141, 11339–11352. [Google Scholar] [CrossRef] [PubMed]
- Terhal, B.M. Quantum supremacy, here we come. Nat. Phys. 2018, 14, 530–531. [Google Scholar] [CrossRef]
- Harrow, A.W.; Montanaro, A. Quantum computational supremacy. Nature 2017, 549, 203–209. [Google Scholar] [CrossRef] [PubMed]
- Gibney, E. The quantum gold rush. Nature 2019, 574, 22–24. [Google Scholar] [CrossRef] [PubMed]
- Peterssen, G. Quantum Technology Impact: The Necessary Workforce for Developing Quantum Software. In Proceedings of the QANSWER, Talavera de la Reina, Spain, 11–12 February 2020; pp. 6–22. [Google Scholar]
- Wang, X.; Du, Y.; Luo, Y.; Tao, D. Towards understanding the power of quantum kernels in the NISQ era. Quantum 2021, 5, 531. [Google Scholar] [CrossRef]
- Preskill, J. Quantum computing in the NISQ era and beyond. Quantum 2018, 2, 79. [Google Scholar] [CrossRef]
- Suzuki, Y.; Endo, S.; Fujii, K.; Tokunaga, Y. Quantum Error Mitigation as a Universal Error Reduction Technique: Applications from the NISQ to the Fault-Tolerant Quantum Computing Eras. PRX Quantum 2022, 3, 010345. [Google Scholar] [CrossRef]
- AbuGhanem, M.; Eleuch, H. NISQ Computers: A Path to Quantum Supremacy. arXiv 2023, arXiv:2310.01431. [Google Scholar] [CrossRef]
- Montanez-Barrera, J.A.; von Spakovsky, M.V.; Ascencio, C.E.D.; Cano-Andrade, S. Decoherence predictions in a superconducting quantum processor using the steepest-entropy-ascent quantum thermodynamics framework. Phys. Rev. A 2022, 106, 032426. [Google Scholar] [CrossRef]
- Dasgupta, S.; Humble, T. Reliability of Noisy Quantum Computing Devices. arXiv 2023, arXiv:2307.06833. [Google Scholar] [CrossRef]
- Available online: https://myqlm.github.io/02_user_guide/01_write/01_digital_circuit/05_aqasm.html (accessed on 9 April 2024).
- Available online: https://atos.net/en/2017/press-release/general-press-releases_2017_07_04/atos-launches-highest-performing-quantum-simulator-world (accessed on 7 April 2022).
- Available online: https://atos.net/en/lp/myqlm (accessed on 9 April 2024).
- Available online: https://atos.net/en/2019/press-release_2019_05_16/atos-launches-myqlm-to-democratize-quantum-programming-for-researchers-students-and-developers-worldwide (accessed on 7 April 2022).
- Available online: https://atos.net/en/solutions/quantum-learning-machine (accessed on 9 April 2024).
- Heim, B.; Soeken, M.; Marshall, S.; Granade, C.; Roetteler, M.; Geller, A.; Troyer, M.; Svore, K. Quantum programming languages. Nat. Rev. Phys. 2020, 2, 709–722. [Google Scholar] [CrossRef]
- Cirq. Available online: https://quantumai.google/cirq (accessed on 8 June 2024).
- Steiger, D.S.; Häner, T.; Troyer, M. ProjectQ: An open source software framework for quantum computing. Quantum 2018, 2, 49. [Google Scholar] [CrossRef]
- Smith, R.S.; Curtis, M.J.; Zeng, W.J. A practical quantum instruction set architecture. arXiv 2016, arXiv:1608.03355. [Google Scholar]
- Wang, Y.; Krstic, P.S. Prospect of using Grover’s search in the noisy-intermediate-scale quantum-computer era. Phys. Rev. A 2020, 102, 042609. [Google Scholar] [CrossRef]
- Mandviwalla, A.; Ohshiro, K.; Ji, B. Implementing Grover’s Algorithm on the IBM Quantum Computers. In Proceedings of the 2018 IEEE International Conference on Big Data (Big Data), Seattle, WA, USA, 10–13 December 2018. [Google Scholar] [CrossRef]
- Available online: https://github.com/maheloisaf/Supplementary-Information-Grover-Paper/tree/main (accessed on 7 April 2022).
- Jesus, G.F.d.; da Silva, M.H.F.; Dourado Netto, T.G.; Galvão, L.Q.; de Oliveira Souza, F.G.; Cruz, C. Quantum Computing: An undergraduate approach using Qiskit. Rev. Bras. Ensino Física 2021, 43, e20210033. [Google Scholar] [CrossRef]
- Available online: https://www.anaconda.com/download#downloads (accessed on 9 April 2024).
- Available online: https://docs.jupyter.org/en/latest/ (accessed on 9 April 2024).
- Available online: https://myqlm.github.io/01_getting_started/%3Amyqlm%3A01_install.html (accessed on 9 April 2024).
- Nielsen, M.A.; Chuang, I. Quantum Computation and Quantum Information; Cambridge University Press: Cambridge, UK, 2002. [Google Scholar]
- Figgatt, C.; Maslov, D.; Landsman, K.A.; Linke, N.M.; Debnath, S.; Monroe, C. Complete 3-Qubit Grover search on a programmable quantum computer. Nat. Commun. 2017, 8, 1918. [Google Scholar] [CrossRef]
- Castillo, J.E.; Sierra, Y.; Cubillos, N.L. Classical simulation of Grovers quantum algorithm. Rev. Bras. Ensino Física 2019, 42, e20190115. [Google Scholar] [CrossRef]
- Python Linalg. Available online: https://github.com/myQLM/myqlm-simulators (accessed on 8 June 2024).
- IBM Quantum Experience. Available online: https://quantum-computing.ibm.com (accessed on 11 November 2021).
- Terhal, B.M. Quantum error correction for quantum memories. Rev. Mod. Phys. 2015, 87, 307. [Google Scholar] [CrossRef]
- Clerk, A.A.; Devoret, M.H.; Girvin, S.M.; Marquardt, F.; Schoelkopf, R.J. Introduction to quantum noise, measurement, and amplification. Rev. Mod. Phys. 2010, 82, 1155. [Google Scholar] [CrossRef]
- Gu, X.; Fernández-Pendás, J.; Vikstål, P.; Abad, T.; Warren, C.; Bengtsson, A.; Tancredi, G.; Shumeiko, V.; Bylander, J.; Johansson, G.; et al. Fast Multiqubit Gates through Simultaneous Two-Qubit Gates. PRX Quantum 2021, 2, 040348. [Google Scholar] [CrossRef]
- Kumar, A.; Asthana, A.; Masteran, C.; Valeev, E.F.; Zhang, Y.; Cincio, L.; Tretiak, S.; Dub, P.A. Quantum Simulation of Molecular Electronic States with a Transcorrelated Hamiltonian: Higher Accuracy with Fewer Qubits. J. Chem. Theory Comput. 2022, 18, 5312–5324. [Google Scholar] [CrossRef] [PubMed]
- Ayral, T.; Le Regent, F.M.; Saleem, Z.; Alexeev, Y.; Suchara, M. Quantum Divide and Compute: Hardware Demonstrations and Noisy Simulations. In Proceedings of the 2020 IEEE Computer Society Annual Symposium on VLSI (ISVLSI), Limassol, Cyprus, 6–8 July 2020. [Google Scholar] [CrossRef]
- Canabarro, A.; Mendonça, T.M.; Nery, R.; Moreno, G.; Albino, A.S.; de Jesus, G.F.; Chaves, R. Quantum Finance: Um tutorial de computação quântica aplicada ao mercado financeiro. Rev. Bras. Ensino Física 2022, 44, e20220099. [Google Scholar] [CrossRef]
- Youssef, R. Measuring and Simulating T1 and T2 for Qubits; Technical Report; Fermi National Accelerator Lab. (FNAL): Batavia, IL, USA, 2020. [Google Scholar]
- Rost, B.; Jones, B.; Vyushkova, M.; Ali, A.; Cullip, C.; Vyushkov, A.; Nabrzyski, J. Simulation of thermal relaxation in spin chemistry systems on a quantum computer using inherent qubit decoherence. arXiv 2020, arXiv:2001.00794. [Google Scholar]
- Lü, C.; Cheng, J.; Wu, M.; da Cunha Lima, I. Spin relaxation time, spin dephasing time and ensemble spin dephasing time in n-type GaAs quantum wells. Phys. Lett. A 2007, 365, 501–504. [Google Scholar] [CrossRef]
- Skinner, J.; Hsu, D. Pure dephasing of a two-level system. J. Phys. Chem. 1986, 90, 4931–4938. [Google Scholar] [CrossRef]
- Ferraro, E.; Fanciulli, M.; De Michielis, M. Phonon-induced relaxation and decoherence times of the hybrid qubit in silicon quantum dots. Phys. Rev. B 2019, 100, 035310. [Google Scholar] [CrossRef]
- Dudley, A.; Nock, M.; Konrad, T.; Roux, F.S.; Forbes, A. Amplitude damping of Laguerre–Gaussian modes. Opt. Express 2010, 18, 22789–22795. [Google Scholar] [CrossRef]







Disclaimer/Publisher’s Note: The statements, opinions and data contained in all publications are solely those of the individual author(s) and contributor(s) and not of MDPI and/or the editor(s). MDPI and/or the editor(s) disclaim responsibility for any injury to people or property resulting from any ideas, methods, instructions or products referred to in the content. |
© 2024 by the authors. Licensee MDPI, Basel, Switzerland. This article is an open access article distributed under the terms and conditions of the Creative Commons Attribution (CC BY) license (https://creativecommons.org/licenses/by/4.0/).
Share and Cite
da Silva, M.H.F.; Jesus, G.F.d.; Cruz, C. Effect of Pure Dephasing Quantum Noise in the Quantum Search Algorithm Using Atos Quantum Assembly. Entropy 2024, 26, 668. https://doi.org/10.3390/e26080668
da Silva MHF, Jesus GFd, Cruz C. Effect of Pure Dephasing Quantum Noise in the Quantum Search Algorithm Using Atos Quantum Assembly. Entropy. 2024; 26(8):668. https://doi.org/10.3390/e26080668
Chicago/Turabian Styleda Silva, Maria Heloísa Fraga, Gleydson Fernandes de Jesus, and Clebson Cruz. 2024. "Effect of Pure Dephasing Quantum Noise in the Quantum Search Algorithm Using Atos Quantum Assembly" Entropy 26, no. 8: 668. https://doi.org/10.3390/e26080668
APA Styleda Silva, M. H. F., Jesus, G. F. d., & Cruz, C. (2024). Effect of Pure Dephasing Quantum Noise in the Quantum Search Algorithm Using Atos Quantum Assembly. Entropy, 26(8), 668. https://doi.org/10.3390/e26080668

















