Exploring the Diversity of Nuclear Density through Information Entropy
Abstract
1. Introduction
2. Information Entropy of Diverse Nuclear Structures
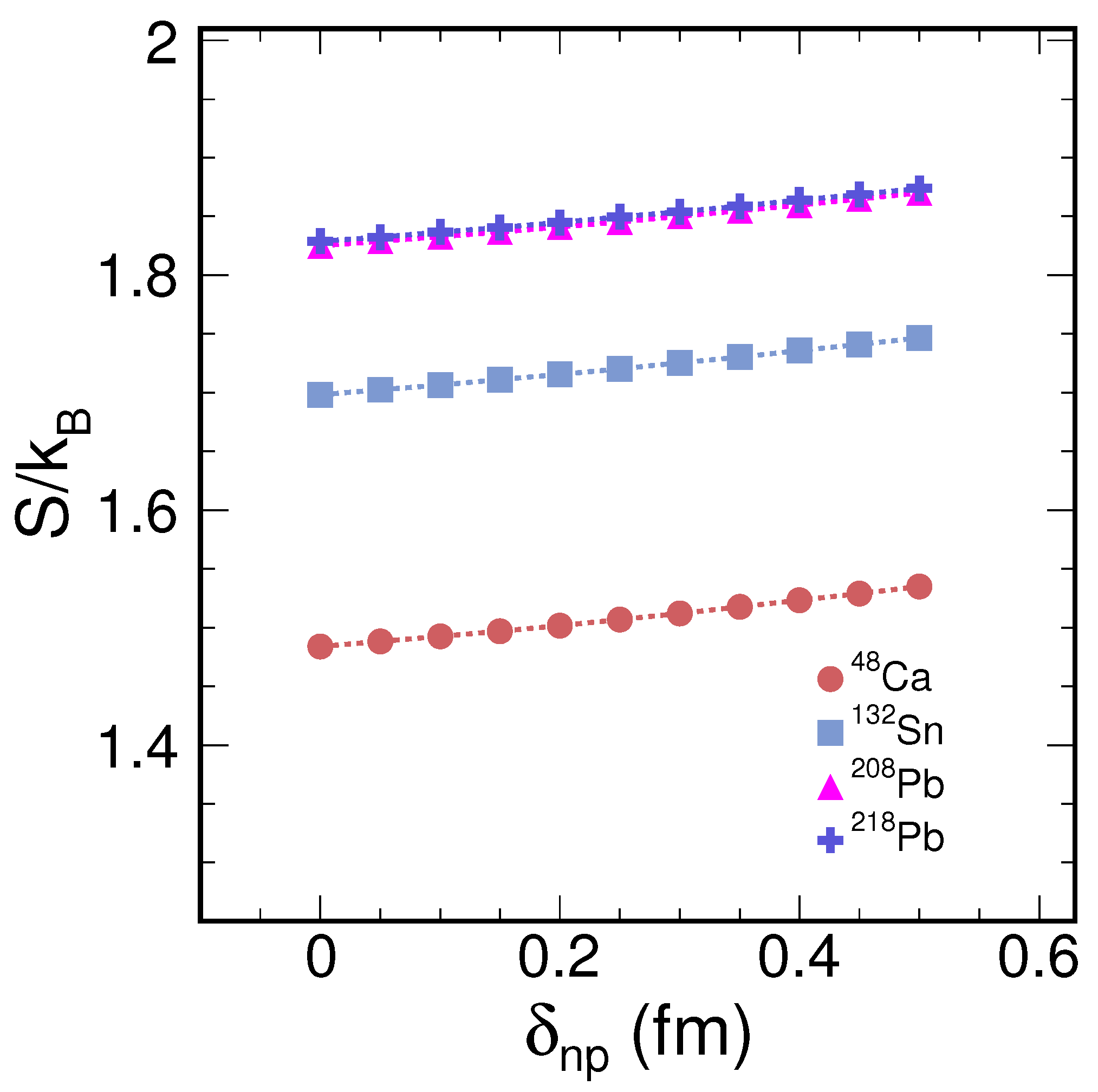
2.1. Information Entropy of the Density Distribution with Woods–Saxon Type
2.2. Information Entropy of the He/Li Isotope with Neutron-Rich Tail
2.3. Application of Information Entropy in Nuclear Cluster Formation
3. Summary
Author Contributions
Funding
Data Availability Statement
Conflicts of Interest
References
- Shannon, C.E. A mathematical theory of communication. Bell Syst. Tech. J. 1948, 27, 379–423. [Google Scholar] [CrossRef]
- Ma, Y.G. Application of information theory in nuclear liquid gas phase transition. Phys. Rev. Lett. 1999, 83, 3617. [Google Scholar] [CrossRef]
- Ma, Y.G.; Natowitz, J.B.; Wada, R.; Hagel, K.; Wang, J.; Keutgen, T.; Majka, Z.; Murray, M.; Qin, L.; Smith, P.; et al. Critical behavior in light nuclear systems: Experimental aspects. Phys. Rev. C 2005, 71, 054606. [Google Scholar] [CrossRef]
- Ma, Y.G.; Pang, L.G.; Wang, R.; Zhou, K. Phase transition study meets machine learning. Chin. Phys. Lett. 2023, 40, 122101. [Google Scholar] [CrossRef]
- Denbigh, K.G.; Denbigh, J.S. Entropy in Relation to Uncomplete Knowledge; Cambridge University: Cambridge, UK, 1995. [Google Scholar]
- Longair, M.S. Chapter 10: Kinetic theory and the origin of statistical mechanics. In Theoretical Concepts in Physics; Cambridge University Press: Oxford, UK, 1984; ISBN 0521821266. [Google Scholar]
- Moustakidis, C.C.; Massen, S.E.; Panos, C.P.; Grypeos, M.E.; Antonov, A.N. Evaluation of cluster expansions and correlated one-body properties of nuclei. Phys. Rev. C 2001, 64, 014314. [Google Scholar] [CrossRef]
- Massen, S.E. Application of information entropy to nuclei. Phys. Rev. C 2003, 67, 014314. [Google Scholar] [CrossRef]
- Csernai, L.; Kapusta, J.I. Entropy and cluster production in nuclear collisions. Phys. Rep. 1986, 131, 223. [Google Scholar] [CrossRef]
- Ma, C.W.; Ma, Y.G. Shannon information entropy in heavy-ion collisions. Prog. Part. Nucl. Phys. 2018, 99, 120. [Google Scholar] [CrossRef]
- Cao, Z.; Hwa, R.C. Chaotic behavior of particle production in branching processes. Phys. Rev. D 1996, 53, 6608. [Google Scholar] [CrossRef]
- Ma, C.W.; Wei, H.L.; Wang, S.S.; Ma, Y.G.; Wada, R.; Zhang, Y.L. Isobaric yield ratio difference and Shannon information entropy. Phys. Lett. B 2015, 742, 19. [Google Scholar] [CrossRef]
- Xu, J.; Ko, C.M. Chemical freeze-out in relativistic heavy-ion collisions. Phys. Lett. B 2017, 772, 290. [Google Scholar] [CrossRef]
- Csernai, L.; Spinnangr, S.; Velle, S. Quantitative assessment of increasing complexity. Phys. A Stat. Mech. Appl. 2017, 473, 363. [Google Scholar] [CrossRef]
- Lichtenberg, D.B.; Namgung, W.; Predazzi, E.; Wills, J.G. Baryon Masses in a Relativistic Quark-Diquark Model. Phys. Rev. Lett. 1982, 48, 1653. [Google Scholar] [CrossRef]
- Ma, C.W.; Liu, Y.P.; Wei, H.L.; Pu, J.; Cheng, K.X.; Wang, Y.T. Determination of neutron-skin thickness using configurational information entropy. Nucl. Sci. Tech. 2022, 33, 6. [Google Scholar] [CrossRef]
- Wei, H.L.; Zhu, X.; Yuan, C. Configurational information entropy analysis of fragment mass cross distributions to determine the neutron skin thickness of projectile nuclei. Nucl. Sci. Tech. 2022, 33, 111. [Google Scholar] [CrossRef]
- Biales, A.; Peshanshi, R. Moments of rapidity distributions as a measure of short-range fluctuations in high-energy collisions. Nucl. Phys. B 1986, 273, 703–718. [Google Scholar] [CrossRef]
- Li, F.; Chen, G. The evolution of information entropy components in relativistic heavy-ion collisions. Eur. Phys. J. A 2020, 56, 167. [Google Scholar] [CrossRef]
- Pu, J.; Yu, Y.B.; Cheng, K.X.; Wang, Y.T.; Guo, Y.F.; Ma, C.W. Exploring critical fluctuation phenomenon according to net-proton multiplicity information entropy in AMPT model. Phys. Lett. B 2023, 841, 137909. [Google Scholar] [CrossRef]
- Deng, X.G.; Ma, Y.G. Information entropy for central 197Au+197Au collisions in the UrQMD model. arXiv 2024, arXiv:2404.03424. [Google Scholar] [CrossRef]
- Tanihata, I.; Hamagaki, H.; Hashimoto, O.; Shida, Y.; Yoshikawa, N.; Sugimoto, K.; Yamakawa, O.; Kobayashi, T.; Takahashi, N. Measurements of Interaction Cross Sections and Nuclear Radii in the Light p-Shell Region. Phys. Rev. Lett. 1985, 55, 2676. [Google Scholar] [CrossRef]
- Xu, S.Z.; Zhang, S.S.; Jiang, X.Q.; Scott, S.M. The complex momentum representation approach and its application to low-lying resonances in 17O and 29,31F. Nucl. Sci. Tech. 2023, 34, 5. [Google Scholar] [CrossRef]
- Bagchi, S.; Kanungo, R.; Tanaka, Y.K.; Geissel, H.; Doornenbal, P.; Horiuchi, W.; Hagen, G.; Suzuki, T.; Tsunoda, N.; Ahn, D.S.; et al. Two-Neutron Halo is Unveiled in 29F. Phys. Rev. Lett. 2020, 124, 222504. [Google Scholar] [CrossRef] [PubMed]
- Fang, D.Q. Neutron skin thickness and its effects in nuclear reactions. Nucl. Tech. 2023, 46, 080016. [Google Scholar] [CrossRef]
- Zhang, S.; Zhang, Y.F.; Xu, F.R. First-principles Gamow shell model study of nuclei in the drip line region. Nucl. Tech. 2023, 46, 080012. [Google Scholar] [CrossRef]
- Ma, Y.G.; Zhang, S. Influence of Nuclear Structure in Relativistic Heavy-Ion Collisions. In Handbook of Nuclear Physics; Springer: Singapore, 2023. [Google Scholar] [CrossRef]
- Chen, J.; Dong, X.; Ma, Y.G.; Xu, Z. Measurements of the lightest hypernucleus (3KH): Progress and perspective. Sci. Bull. 2023, 68, 3252–3260. [Google Scholar] [CrossRef] [PubMed]
- Zhou, L.; Fang, D.Q.; Wang, S.M.; Hua, H. Structure and 2p decay mechanism of 18Mg. Nucl. Sci. Tech. 2024, 35, 107. [Google Scholar] [CrossRef]
- Su, Y.; Li, Z.Y.; Liu, L.L.; Dong, G.X.; Wang, X.B.; Chen, Y.J. Sensitivity impacts owing to the variations in the type of zero-range pairing forces on the fission properties using the density functional theory. Nucl. Sci. Tech. 2024, 35, 62. [Google Scholar] [CrossRef]
- Yan, T.Z.; Li, S. Isotopic dependence of the yield ratios of light fragments from different projectiles and their unified neutron skin thicknesses. Nucl. Sci. Tech. 2024, 35, 65. [Google Scholar] [CrossRef]
- Zheng, Z.Y.; Chen, S.W.; Liu, Q. The breaking of spin symmetry in the single-particle resonances in deformed nuclei. Nucl. Sci. Tech. 2024, 35, 66. [Google Scholar] [CrossRef]
- Geng, K.P.; Du, P.X.; Li, J.; Fang, D.L. Calculation of microscopic nuclear level densities based on covariant density functional theory. Nucl. Sci. Tech. 2023, 34, 141. [Google Scholar] [CrossRef]
- An, R.; Sun, S.; Cao, L.G.; Zhang, F.S. Constraining nuclear symmetry energy with the charge radii of mirror-pair nuclei. Nucl. Sci. Tech. 2023, 34, 119. [Google Scholar] [CrossRef]
- Huo, E.B.; Li, K.R.; Qu, X.Y.; Zhang, Y.; Sun, T.T. Continuum Skyrme Hartree-Fock-Bogoliubov theory with Green’s function method for neutron-rich Ca, Ni, Zr, and Sn isotopes. Nucl. Sci. Tech. 2023, 34, 105. [Google Scholar] [CrossRef]
- von Oertzen, W.; Freer, M.; Kanada-En’yo, Y. Nuclear clusters and nuclear molecules. Phys. Rep. 2006, 432, 43. [Google Scholar] [CrossRef]
- Ma, W.H.; Patel, D.; Yang, Y.Y.; Wang, J.S.; Kanada-En’yo, Y.; Chen, R.F.; Lubian, J.; Ye, Y.L.; Yang, Z.H.; Ren, Z.Z.; et al. Observation of 6He + t cluster states in 9Li. Phys. Rev. C 2021, 103, L061302. [Google Scholar] [CrossRef]
- Horiuchi, H. Outlook and future perspectives. J. Phys. Conf. Ser. 2008, 111, 012054. [Google Scholar] [CrossRef]
- He, W.B.; Ma, Y.G.; Cao, X.G.; Cai, X.Z.; Zhang, G.Q. Giant Dipole Resonance as a Fingerprint of α Clustering Configurations in 12C and 16O. Phys. Rev. Lett. 2014, 113, 032506. [Google Scholar] [CrossRef]
- Zhou, B.; Funaki, Y.; Horiuchi, H.; Ma, Y.G.; Röpke, G.; Schuck, P.; Tohsaki, A.; Yamada, T. The 5α condensate state in 20Ne. Nat. Commun. 2023, 14, 8206. [Google Scholar] [CrossRef]
- Wang, Y.Z.; Zhang, S.; Ma, Y.G. System dependence of away-side broadening and α-clustering light nuclei structure effect in dihadron azimuthal correlations. Phys. Lett. B 2022, 831, 137198. [Google Scholar] [CrossRef]
- Wang, S.S.; Ma, Y.G.; He, W.B.; Fang, D.Q.; Cao, X.G. Influences of α-clustering configurations on the giant dipole resonance in hot compound systems. Phys. Rev. C 2023, 108, 014609. [Google Scholar] [CrossRef]
- Cao, Y.T.; Deng, X.G.; Ma, Y.G. Effect of initial-state geometric configurations on the nuclear liquid-gas phase transition. Phys. Rev. C 2023, 108, 024610. [Google Scholar] [CrossRef]
- Cao, R.X.; Zhang, S.; Ma, Y.G. Effects of the α-cluster structure and the intrinsic momentum component of nuclei on the longitudinal asymmetry in relativistic heavy-ion collisions. Phys. Rev. C 2023, 108, 064906. [Google Scholar] [CrossRef]
- Ma, Y.G. Effects of α-clustering structure on nuclear reaction and relativistic heavy-ion collisions. Nucl. Tech. 2023, 46, 080001. [Google Scholar] [CrossRef]
- Zhang, Y.X.; Zhang, S.; Ma, Y.G. Signatures of an α + core structure in 44Ti + 44Ti collisions at TeV by a multiphase transport model. Eur. Phys. J. A 2024, 60, 73. [Google Scholar] [CrossRef]
- Ozawa, A. Matter Radii and Density Distributions. In Handbook of Nuclear Physics; Springer: Singapore, 2023. [Google Scholar] [CrossRef]
- Ding, M.Q.; Fang, D.Q.; Ma, Y.G. Effects of neutron-skin thickness on light-particle production. Phys. Rev. C 2024, 109, 024616. [Google Scholar] [CrossRef]
- Thomas, M.T.C.A.J.; Joy, A.T. Elements of Information Theory, 2nd ed.; John Wiley & Sons, Inc.: Hoboken, NJ, USA, 2006. [Google Scholar]
- Woods, R.D.; Saxon, D.S. Diffuse Surface Optical Model for Nucleon-Nuclei Scattering. Phys. Rev. 1954, 95, 577. [Google Scholar] [CrossRef]
- Vries, H.D.; Jager, C.W.D.; Vries, C.D. Nuclear charge-density-distribution parameters from elastic electron scattering. At. Data Nucl. Data Tables 1987, 36, 495–536. [Google Scholar] [CrossRef]
- Chamon, L.C.; Carlson, B.V.; Gasques, L.R.; Pereira, D.; De Conti, C.; Alvarez, M.A.G.; Hussein, M.S.; Ribeiro, M.C.; Rossi, E.S., Jr.; Silva, C.P. Toward a global description of the nucleus-nucleus interaction. Phys. Rev. C 2002, 66, 014610. [Google Scholar] [CrossRef]
- Shou, Q.Y.; Ma, Y.G.; Sorensen, P.; Tang, A.H.; Videbæk, F.; Wang, H. Parameterization of deformed nuclei for Glauber modeling inrelativistic heavy ion collisions. Phys. Lett. B 2015, 749, 215. [Google Scholar] [CrossRef]
- Tanihata, I. Neutron halo nuclei. J. Phys. G Nucl. Part. Phys. 1996, 22, 157. [Google Scholar] [CrossRef]
- Parker, M.C.; Jeynes, C.; Catford, W.N. Halo properties in helium nuclei from the perspective of geometrical thermodynamics. Ann. Phys. 2022, 534, 2100278. [Google Scholar] [CrossRef]
- Alkhazov, G.D.; Dobrovolsky, A.V.; Egelhof, P.; Geissel, H.; Irnich, H.; Khanzadeev, A.V.; Korolev, G.A.; Lobodenko, A.A.; Münzenberg, G.; Mutterer, M.; et al. Nuclear matter distributions in the 6He and 8He nuclei from differential cross sections for small-angle proton elastic scattering at intermediate energy. Nucl. Phys. A 2002, 712, 269–299. [Google Scholar] [CrossRef]
- Dobrovolsky, A.V.; Alkhazov, G.D.; Andronenko, M.N.; Bauchet, A.; Egelhof, P.; Fritz, S.; Geissel, H.; Gross, C.; Khanzadeev, A.V.; Korolev, G.A.; et al. Study of the nuclear matter distribution in neutron-rich Li isotopes. Nucl. Phys. A 2006, 766, 1–24. [Google Scholar] [CrossRef]
- Moriguchi, T.; Ozawa, A.; Ishimoto, S.; Abe, Y.; Fukuda, M.; Hachiuma, I.; Ishibashi, Y.; Ito, Y.; Kuboki, T.; Lantz, M.; et al. Density distributions of 11Li deduced from reaction cross-section measurements. Phys. Rev. C 2013, 88, 024610. [Google Scholar] [CrossRef]
- Dudek, J.; Gozdz, A.; Schunck, N.; Miskiewicz, M. Nuclear tetrahedral symmetry: Possibly present throughout the periodic table. Phys. Rev. Lett. 2002, 88, 252502. [Google Scholar] [CrossRef]
- Bijker, R.; Iachello, F. Evidence for Tetrahedral Symmetry in 16O. Phys. Rev. Lett. 2014, 112, 152501. [Google Scholar] [CrossRef] [PubMed]
- Ding, C.; Pang, L.G.; Zhang, S.; Ma, Y.G. Signals of α clusters in 16O+16O collisions at the LHC from relativistic hydrodynamic simulations. Chin. Phys. C 2023, 47, 024105. [Google Scholar] [CrossRef]
- Ma, Y.G.; Zhang, S. α-clustering effects in relativistic heavy-ion collisions. Sci. Sin. Phys. Mech. Astron. 2024, 54, 292004. (In Chinese) [Google Scholar] [CrossRef]
- Ebran, J.P.; Khan, E.; Nikšić, T.; Vretenar, D. How atomic nuclei cluster. Nature 2012, 487, 341–344. [Google Scholar] [CrossRef]
- Ebran, J.P.; Khan, E.; Nikšić, T.; Vretenar, D. Localization and clustering in atomic nuclei. J. Phys. G Nucl. Part. Phys. 2017, 44, 103001. [Google Scholar] [CrossRef]
- Bijker, R. The algebraic cluster model: Three-body clusters. Ann. Phys. 2002, 298, 334–360. [Google Scholar] [CrossRef]




Disclaimer/Publisher’s Note: The statements, opinions and data contained in all publications are solely those of the individual author(s) and contributor(s) and not of MDPI and/or the editor(s). MDPI and/or the editor(s) disclaim responsibility for any injury to people or property resulting from any ideas, methods, instructions or products referred to in the content. |
© 2024 by the authors. Licensee MDPI, Basel, Switzerland. This article is an open access article distributed under the terms and conditions of the Creative Commons Attribution (CC BY) license (https://creativecommons.org/licenses/by/4.0/).
Share and Cite
Ma, W.-H.; Ma, Y.-G. Exploring the Diversity of Nuclear Density through Information Entropy. Entropy 2024, 26, 763. https://doi.org/10.3390/e26090763
Ma W-H, Ma Y-G. Exploring the Diversity of Nuclear Density through Information Entropy. Entropy. 2024; 26(9):763. https://doi.org/10.3390/e26090763
Chicago/Turabian StyleMa, Wei-Hu, and Yu-Gang Ma. 2024. "Exploring the Diversity of Nuclear Density through Information Entropy" Entropy 26, no. 9: 763. https://doi.org/10.3390/e26090763
APA StyleMa, W.-H., & Ma, Y.-G. (2024). Exploring the Diversity of Nuclear Density through Information Entropy. Entropy, 26(9), 763. https://doi.org/10.3390/e26090763

