Applying Entropic Measures, Spectral Analysis, and EMD to Quantify Ion Channel Recordings: New Insights into Quercetin and Calcium Activation of BK Channels
Abstract
1. Introduction
2. Materials and Methods
2.1. Cell Culture and Electrophysiology
2.2. Open State Probability and Dwell-Time Characteristics
3. Theoretical Methods
3.1. Entropic Analysis
3.2. Spectral Analysis
- Concatenate all recordings at a given [Que] and [Ca] into the vector .
- Set .
- Copy the sub-vector into a W-element vector , multiplying by the Hamming window (to avoid frequency artifacts due to windowing at window edges)
- Find the power spectrum of , .
- If , , go to step 3.
3.3. Empirical Mode Decomposition
- Identify all local maxima and minima of the signal.
- Construct the upper and lower envelopes by interpolating between the extrema using cubic spline interpolation.
- Compute the mean envelope as the average of the upper and lower envelopes. Subtract this mean from the original signal to obtain a candidate function .
- Verify whether satisfies the two necessary conditions for an IMF:
- The number of zero crossings and extrema differ at most by one.
- The local mean, defined by the average of the upper and lower envelopes, is approximately zero at every point.
- If the conditions are not met, treat as a new input and repeat steps 1–4 (the so-called ‘sifting process’).
- Once an IMF is identified, subtract it from the original signal and apply the same procedure to the resulting residual. The decomposition terminates when the residual satisfies the following stopping criterion:
- The residual contains at most one extremum (either a maximum or minimum), or is a monotonic or constant function, which typically represents the trend of the signal.
4. Results
4.1. Standard Measures: Open State Probability and Dwell-Time Distributions
4.2. Results of the Entropic Analysis
4.2.1. Shannon Entropy of the Dwell Times
4.2.2. Sample Entropy in the Analysis of Dwell Times
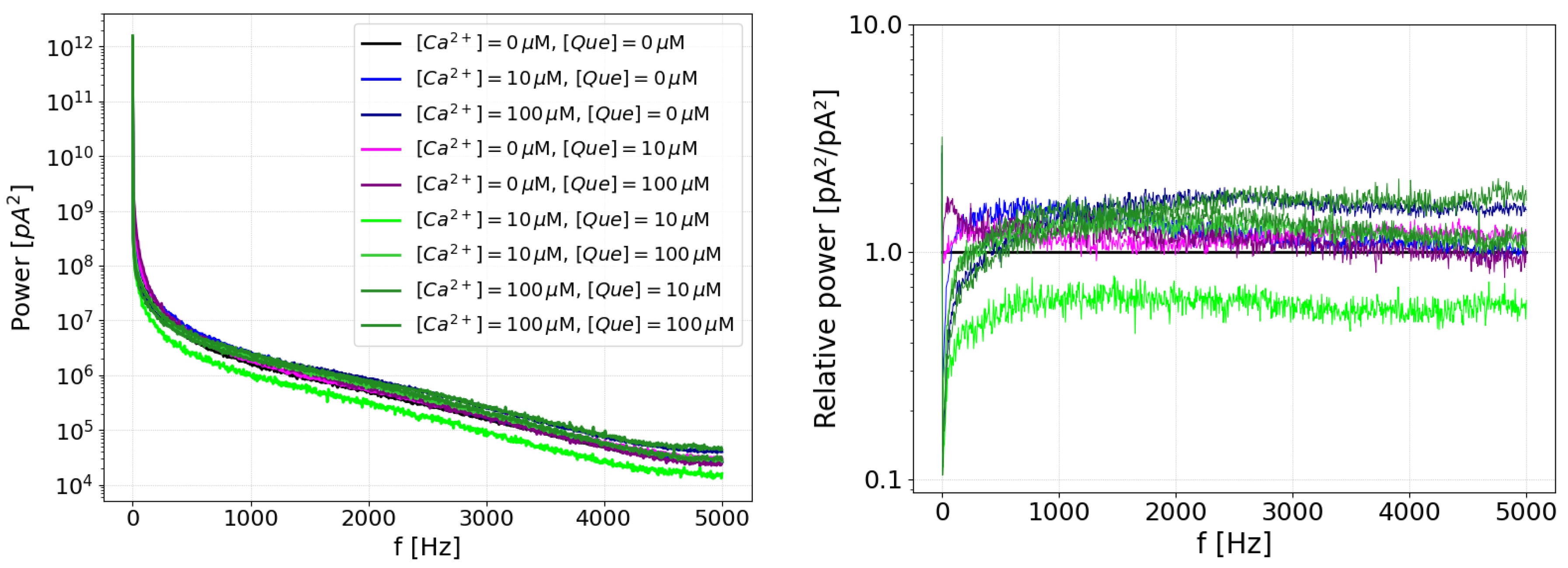
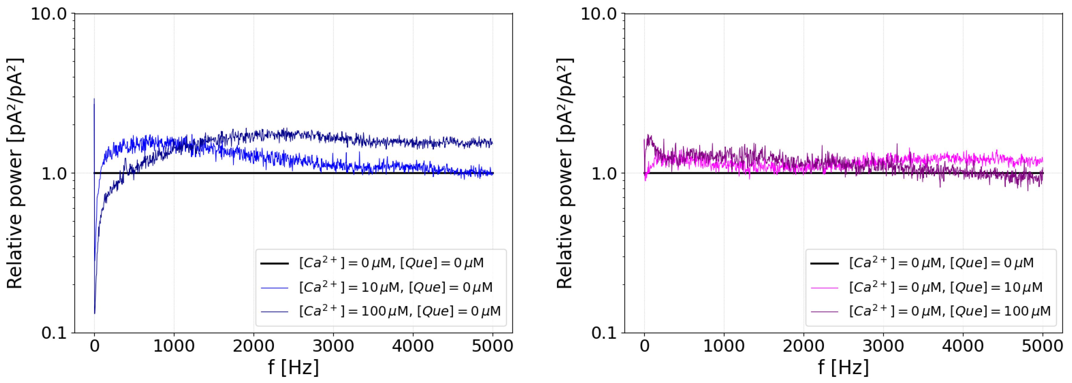
4.3. Results of the Spectral Analysis
4.3.1. The Power Spectrum and the Relative Power Spectrum
4.3.2. Entropy of the Power Spectrum Peaks
4.4. Results of the Empirical Mode Decomposition
5. Discussion
5.1. General Remarks on Calcium–Quercetin Interactions
5.2. The Interpretative Potential of the Entropy-Based Metrics
5.2.1. Effects of Ca2+
5.2.2. Effects of Quercetin
5.3. The Utility of the Entropy-Based, Spectral, and EMD-Related Methodology in the Channel-Oriented Research: Example Relations to Recent Experimental Research
5.3.1. The Ball and Chain Inactivation of the Ion Channels
5.3.2. Small-Molecule BK Channel Activators
6. Conclusions
Author Contributions
Funding
Institutional Review Board Statement
Informed Consent Statement
Data Availability Statement
Conflicts of Interest
Abbreviations
| BK | Large-conductance voltage- and Ca2+-activated K+ channels |
| ECG | Electrocardiography |
| EEG | Electroencephalography |
| EMD | Empirical Mode Decomposition |
| FFT | Fast Fourier Transform |
| GR | cytoplasmic ‘Gating-Ring’ of the BK channel |
| HBE | Human Bronchial Epithelium |
| IMF | Intrinsic mode function |
| MD | Molecular Dynamics |
| mitoBK | Mitochondrial large-conductance voltage- and Ca2+-activated K+ channels |
| PG | pore-gate domain |
| Open state probability | |
| PSD | Power Spectral Density |
| Que | Quercetin |
| SampEn | Sample entropy |
| VSD | Voltage Sensing Domain |
Appendix A. Shannon and Sample Entropy in the Analysis of Dwell-Time Series—An Extended Explanatory Description

- The number of pairs of sequences of length m that match within tolerance r
- The number of pairs of sequences of length that match within tolerance r, and finally compute
References
- Hille, B. Ion Channels of Excitable Membranes, 3rd ed.; Sinauer Associates: Sunderland, MA, USA, 2001. [Google Scholar]
- Männikkö, R.; Kullmann, D.M. Structure–function and pharmacologic aspects of ion channels relevant to neurologic channelopathies. Handb. Clin. Neurol. 2024, 203, 1–23. [Google Scholar]
- McGowan, B.R.; Schwaede, A.N.; De Simone, L.; Rao, V.K. Muscle channelopathies: A review. Ann. Child Neurol. Soc. 2023, 1, 273–288. [Google Scholar] [CrossRef]
- Schreiber, J.A.; Seebohm, G. Cardiac K+ channels and channelopathies. In Pharmacology of Potassium Channels; Springer: Cham, Switzerland, 2021; pp. 113–138. [Google Scholar]
- Prevarskaya, N.; Skryma, R.; Shuba, Y. Ion channels in cancer: Are cancer hallmarks oncochannelopathies? Physiol. Rev. 2018, 98, 559–621. [Google Scholar] [CrossRef]
- Wawrzkiewicz-Jałowiecka, A.; Lalik, A.; Lukasiak, A.; Richter-Laskowska, M.; Trybek, P.; Ejfler, M.; Opałka, M.; Wardejn, S.; Delfino, D.V. Potassium channels, glucose metabolism and glycosylation in cancer cells. Int. J. Mol. Sci. 2023, 24, 7942. [Google Scholar] [CrossRef]
- Echeverría, F.; Gonzalez-Sanabria, N.; Alvarado-Sanchez, R.; Fernández, M.; Castillo, K.; Latorre, R. Large conductance voltage-and calcium-activated K+ (BK) channel in health and disease. Front. Pharmacol. 2024, 15, 1373507. [Google Scholar] [CrossRef]
- Picci, G.; Marchesan, S.; Caltagirone, C. Ion channels and transporters as therapeutic agents: From biomolecules to supramolecular medicinal chemistry. Biomedicines 2022, 10, 885. [Google Scholar] [CrossRef]
- Sakmann, B. Single-Channel Recording; Springer: New York, NY, USA, 2013. [Google Scholar]
- Hill, C.L.; Stephens, G.J. An introduction to patch clamp recording. In Patch Clamp Electrophysiology: Methods and Protocols; Humana: New York, NY, USA, 2021; pp. 1–19. [Google Scholar]
- Colquhoun, D.; Sigworth, F. Fitting and statistical analysis of single-channel records. In Single-Channel Recording; Springer: New York, NY, USA, 1995; pp. 483–587. [Google Scholar]
- Qin, F.; Auerbach, A.; Sachs, F. A direct optimization approach to hidden Markov modeling for single channel kinetics. Biophys. J. 2000, 79, 1915–1927. [Google Scholar] [CrossRef]
- Colquhoun, D.; Hawkes, A. On the stochastic properties of single ion channels. Proc. R. Soc. Lond. Ser. B Biol. Sci. 1981, 211, 205–235. [Google Scholar]
- Labarca, P.; Rice, J.; Fredkin, D.; Montal, M. Kinetic analysis of channel gating. Application to the cholinergic receptor channel and the chloride channel from Torpedo californica. Biophys. J. 1985, 47, 469–478. [Google Scholar] [CrossRef] [PubMed]
- Colquhoun, D.; Hawkes, A. A note on correlations in single ion channel records. Proc. R. Soc. Lond. Ser. B Biol. Sci. 1987, 230, 15–52. [Google Scholar]
- Borys, P.; Trybek, P.; Dworakowska, B.; Bednarczyk, P.; Wawrzkiewicz-Jałowiecka, A. New diagnostic tool for ion channel activity hidden behind the dwell-time correlations. J. Phys. Chem. B 2022, 126, 4236–4245. [Google Scholar] [CrossRef] [PubMed]
- Mironenko, A.; Zachariae, U.; de Groot, B.L.; Kopec, W. The persistent question of potassium channel permeation mechanisms. J. Mol. Biol. 2021, 433, 167002. [Google Scholar] [CrossRef]
- Cosseddu, S.M.; Choe, E.J.; Khovanov, I.A. Unraveling of a Strongly Correlated Dynamical Network of Residues Controlling the Permeation of Potassium in KcsA Ion Channel. Entropy 2021, 23, 72. [Google Scholar] [CrossRef]
- Catacuzzeno, L.; Conti, F.; Franciolini, F. Fifty years of gating currents and channel gating. J. Gen. Physiol. 2023, 155, e202313380. [Google Scholar] [CrossRef] [PubMed]
- Gibby, W.; Barabash, M.; Guardiani, C.; Luchinsky, D.; McClintock, P. Physics of selective conduction and point mutation in biological ion channels. Phys. Rev. Lett. 2021, 126, 218102. [Google Scholar] [CrossRef] [PubMed]
- Zhu, Z.; Deng, Z.; Wang, Q.; Wang, Y.; Zhang, D.; Xu, R.; Guo, L.; Wen, H. Simulation and machine learning methods for ion-channel structure determination, mechanistic studies and drug design. Front. Pharmacol. 2022, 13, 939555. [Google Scholar] [CrossRef]
- Gupta, M.K.; Vadde, R. A computational structural biology study to understand the impact of mutation on structure–function relationship of inward-rectifier potassium ion channel Kir6.2 in human. J. Biomol. Struct. Dyn. 2021, 39, 1447–1460. [Google Scholar] [CrossRef]
- Sanganna Gari, R.R.; Montalvo-Acosta, J.J.; Heath, G.R.; Jiang, Y.; Gao, X.; Nimigean, C.M.; Chipot, C.; Scheuring, S. Correlation of membrane protein conformational and functional dynamics. Nat. Commun. 2021, 12, 4363. [Google Scholar] [CrossRef]
- Geng, Y.; Magleby, K.L. Single-channel kinetics of BK (Slo1) channels. Front. Physiol. 2015, 5, 532. [Google Scholar] [CrossRef]
- Tao, X.; MacKinnon, R. Molecular structures of the human Slo1 K+ channel in complex with β4. eLife 2019, 8, e51409. [Google Scholar] [CrossRef]
- Jin, R.; Corry, B.; Smith, B.J.; He, S. Intrinsically dynamic mechanism within selectivity filter controls ion current through K2P2.1 channel. Biophys. J. 2024, 123, 255a. [Google Scholar] [CrossRef]
- Wylie, B.J.; Borcik, C.G.; Amani, R.; van Aalst, E.J.; Yekefallah, M.; Eason, I.R.; Rasberry, C.; van Beekvelld, R.A.; Weingarth, M.; Rienstra, C.M.; et al. The KirBac1.1 inward-rectifier K+ channel is opened cooperatively by anionic lipids. Biophys. J. 2024, 123, 156a. [Google Scholar] [CrossRef]
- Gangwar, S.P.; Yelshanskaya, M.V.; Aktolun, M.; Yen, L.Y.; Newton, T.P.; Strømgaard, K.; Kurnikova, M.G.; Sobolevsky, A.I. Trapping of spermine, Kukoamine A, and polyamine toxin blockers in GluK2 kainate receptor channels. Nat. Commun. 2024, 15, 10257. [Google Scholar] [CrossRef]
- Rouen, K.C.; Ngo, K.; González, A.H.; Clancy, C.E.; Yarov-Yarovoy, V.; Ahn, S.H.; MacKerell, A.D.; Vorobyov, I.V. Molecular simulations of state-specific interactions with cardiac ion channels for in silico prediction of drug-induced arrhythmogenesis. Biophys. J. 2024, 123, 533a–534a. [Google Scholar] [CrossRef]
- Cecchini, M.; Corringer, P.J.; Changeux, J.P. The nicotinic acetylcholine receptor and its pentameric homologs: Toward an allosteric mechanism of signal transduction at the atomic level. Annu. Rev. Biochem. 2024, 93, 339–366. [Google Scholar] [CrossRef]
- Zhuang, Y.; Howard, R.J.; Lindahl, E.R. Symmetry-adapted Markov state models of closing, opening, and desensitizing in alpha-7 nicotinic acetylcholine receptors. Biophys. J. 2024, 123, 395a. [Google Scholar] [CrossRef]
- Hollingsworth, S.A.; Dror, R.O. Molecular dynamics simulation for all. Neuron 2018, 99, 1129–1143. [Google Scholar] [CrossRef]
- Anishkin, A.; Kamaraju, K.; Sukharev, S. Mechanosensitive channel MscS in the open state: Modeling of the transition, explicit simulations, and experimental measurements of conductance. J. Gen. Physiol. 2008, 132, 67–83. [Google Scholar] [CrossRef] [PubMed]
- Lee, U.S.; Cui, J. BK channel activation: Structural and functional insights. Trends Neurosci. 2010, 33, 415–423. [Google Scholar] [CrossRef] [PubMed]
- Sancho, M.; Kyle, B.D. The large-conductance, calcium-activated potassium channel: A big key regulator of cell physiology. Front. Physiol. 2021, 12, 750615. [Google Scholar] [CrossRef]
- Cui, J.; Yang, H.; Lee, U.S. Molecular mechanisms of BK channel activation. Cell. Mol. Life Sci. 2009, 66, 852–875. [Google Scholar]
- Richter-Laskowska, M.; Trybek, P.; Delfino, D.V.; Wawrzkiewicz-Jałowiecka, A. Flavonoids as modulators of potassium channels. Int. J. Mol. Sci. 2023, 24, 1311. [Google Scholar] [CrossRef] [PubMed]
- Kim, Y.; Kim, W.J.; Cha, E.J. Quercetin-induced growth inhibition in human bladder cancer cells is associated with an increase in Ca2+-activated K+ channels. Korean J. Physiol. Pharmacol. 2011, 15, 279–283. [Google Scholar] [PubMed]
- Melnyk, M.I.; Dryn, D.O.; Al Kury, L.T.; Zholos, A.V.; Soloviev, A.I. Liposomal quercetin potentiates maxi-K channel openings in smooth muscles and restores its activity after oxidative stress. J. Liposome Res. 2019, 29, 94–101. [Google Scholar]
- Kampa, R.P.; Sęk, A.; Szewczyk, A.; Bednarczyk, P. Cytoprotective effects of the flavonoid quercetin by activating mitochondrial BKCa channels in endothelial cells. Biomed. Pharmacother. 2021, 142, 112039. [Google Scholar] [CrossRef] [PubMed]
- Kampa, R.P.; Gliździńska, A.; Szewczyk, A.; Bednarczyk, P.; Filipek, S. Flavonoid quercetin abolish paxilline inhibition of the mitochondrial BKCa channel. Mitochondrion 2022, 65, 23–32. [Google Scholar] [CrossRef]
- Dabrowska, A.; Zajac, M.; Bednarczyk, P.; Lukasiak, A. Effect of quercetin on mitoBKCa channel and mitochondrial function in human bronchial epithelial cells exposed to particulate matter. Int. J. Mol. Sci. 2022, 24, 638. [Google Scholar] [CrossRef]
- Marty, A. Ca-dependent K channels with large unitary conductance in chromaffin cell membranes. Nature 1981, 291, 497–500. [Google Scholar] [CrossRef]
- Yang, H.; Zhang, G.; Cui, J. BK channels: Multiple sensors, one activation gate. Front. Physiol. 2015, 6, 29. [Google Scholar] [CrossRef]
- Latorre, R.; Castillo, K.; Carrasquel-Ursulaez, W.; Sepulveda, R.V.; Gonzalez-Nilo, F.; Gonzalez, C.; Alvarez, O. Molecular determinants of BK channel functional diversity and functioning. Physiol. Rev. 2017, 97, 39–87. [Google Scholar] [CrossRef]
- Contreras, G.F.; Shen, R.; Latorre, R.; Perozo, E. Structural basis of voltage-dependent gating in BK channels. Nat. Commun. 2025, 16, 5846. [Google Scholar] [CrossRef]
- Hite, R.K.; Tao, X.; MacKinnon, R. Structural basis for gating the high-conductance Ca2+-activated K+ channel. Nature 2017, 541, 52–57. [Google Scholar] [CrossRef]
- Tao, X.; Hite, R.K.; MacKinnon, R. Cryo-EM structure of the open high-conductance Ca2+-activated K+ channel. Nature 2017, 541, 46–51. [Google Scholar] [CrossRef] [PubMed]
- Ullah, A.; Munir, S.; Badshah, S.L.; Khan, N.; Ghani, L.; Poulson, B.G.; Emwas, A.H.; Jaremko, M. Important flavonoids and their role as a therapeutic agent. Molecules 2020, 25, 5243. [Google Scholar] [CrossRef]
- Leite, N.B.; Martins, D.B.; Alvares, D.S.; dos Santos Cabrera, M.P. Quercetin induces lipid domain-dependent permeability. Chem. Phys. Lipids 2022, 242, 105160. [Google Scholar] [CrossRef]
- van Dijk, C.; Driessen, A.J.; Recourt, K. The uncoupling efficiency and affinity of flavonoids for vesicles. Biochem. Pharmacol. 2000, 60, 1593–1600. [Google Scholar] [CrossRef]
- Ulrih, N.P.; Ota, A.; Šentjurc, M.; Kure, S.; Abram, V. Flavonoids and cell membrane fluidity. Food Chem. 2010, 121, 78–84. [Google Scholar] [CrossRef]
- Selvaraj, S.; Krishnaswamy, S.; Devashya, V.; Sethuraman, S.; Krishnan, U.M. Influence of membrane lipid composition on flavonoid–membrane interactions: Implications on their biological activity. Prog. Lipid Res. 2015, 58, 1–13. [Google Scholar] [CrossRef] [PubMed]
- Shannon, C.E. A mathematical theory of communication. Bell Syst. Tech. J. 1948, 27, 379–423. [Google Scholar] [CrossRef]
- Powell, G.; Percival, I. A spectral entropy method for distinguishing regular and irregular motion of Hamiltonian systems. J. Phys. A Math. Gen. 1979, 12, 2053. [Google Scholar] [CrossRef]
- Rényi, A. On measures of entropy and information. In Fourth Berkeley Symposium on Mathematical Statistics and Probability; Volume 1: Contributions to the Theory of Statistics; University of California Press: Oakland, CA, USA, 1961; Volume 4, pp. 547–562. [Google Scholar]
- Pincus, S.M. Approximate entropy as a measure of system complexity. Proc. Natl. Acad. Sci. USA 1991, 88, 2297–2301. [Google Scholar] [CrossRef]
- Richman, J.S.; Moorman, J.R. Physiological time-series analysis using approximate entropy and sample entropy. Am. J. -Physiol.-Heart Circ. Physiol. 2000, 278, H2039–H2049. [Google Scholar] [CrossRef] [PubMed]
- Costa, M.; Goldberger, A.L.; Peng, C.K. Multiscale entropy analysis of complex physiologic time series. Phys. Rev. Lett. 2002, 89, 068102. [Google Scholar] [CrossRef]
- Machura, L.; Wawrzkiewicz-Jałowiecka, A.; Bednarczyk, P.; Trybek, P. Linking the sampling frequency with multiscale entropy to classify mitoBK patch-clamp data. Biomed. Signal Process. Control 2022, 76, 103680. [Google Scholar] [CrossRef]
- Machura, L.; Wawrzkiewicz-Jałowiecka, A.; Richter-Laskowska, M.; Trybek, P. Non-Monotonic Complexity of Stochastic Model of the Channel Gating Dynamics. Entropy 2023, 25, 479. [Google Scholar] [CrossRef] [PubMed]
- Akilli, M.; Söğüt, F.; Çömelrkoğlu, Ü.; Tuncel, H. Investigation of biophysical properties of ion channels with nonlinear methods. Biochim. Biophys. Acta-Biomembr. 2025, 1867, 184437. [Google Scholar] [CrossRef]
- Huang, N.E.; Shen, Z.; Long, S.R.; Wu, M.C.; Shih, H.H.; Zheng, Q.; Yen, N.C.; Tung, C.C.; Liu, H.H. The empirical mode decomposition and the Hilbert spectrum for nonlinear and non-stationary time series analysis. Proc. R. Soc. Lond. Ser. A Math. Phys. Eng. Sci. 1998, 454, 903–995. [Google Scholar] [CrossRef]
- Liebovitch, L.S.; Fischbarg, J.; Koniarek, J.P.; Todorova, I.; Wang, M. Fractal model of ion-channel kinetics. Biochim. Biophys. Acta-Biomembr. 1987, 896, 173–180. [Google Scholar] [CrossRef]
- Liebovitch, L.S.; Fischbarg, J.; Koniarek, J.P. Ion channel kinetics: A model based on fractal scaling rather than multistate Markov processes. Math. Biosci. 1987, 84, 37–68. [Google Scholar] [CrossRef]
- Trybek, P.; Machura, Ł.; Bednarczyk, P.; Cojg, U.; Podleśny, P.; Szumała, K.; Wawrzkiewicz-Jałowiecka, A. Multifractal Characteristics of the Mitochondrial BK Channel Activity in the Presence of the Channel-Activating Flavonoids. Fractals 2024, 32, 2450101. [Google Scholar] [CrossRef]
- Schuster, H.G.; Just, W. Deterministic Chaos: An Introduction; Wiley-VCH: Weinheim, Germany, 2005. [Google Scholar]
- Bezrukov, S.M.; Winterhalter, M. Examining Noise Sources at the Single-Molecule Level: 1/f Noise of an Open Maltoporin Channel. Phys. Rev. Lett. 2000, 85, 202. [Google Scholar] [CrossRef]
- Cogolludo, A.; Frazziano, G.; Briones, A.M.; Cobeño, L.; Moreno, L.; Lodi, F.; Salaices, M.; Tamargo, J.; Perez-Vizcaino, F. The dietary flavonoid quercetin activates BKCa currents in coronary arteries via production of H2O2. Role in vasodilatation. Cardiovasc. Res. 2007, 73, 424–431. [Google Scholar] [CrossRef] [PubMed]
- Nordquist, E.B.; Jia, Z.; Chen, J. Small molecule NS11021 promotes BK channel activation by increasing inner pore hydration. J. Chem. Inf. Model. 2024, 64, 7616–7625. [Google Scholar] [CrossRef] [PubMed]
- Fan, C.; Flood, E.; Sukomon, N.; Agarwal, S.; Allen, T.W.; Nimigean, C.M. Calcium-gated potassium channel blockade via membrane-facing fenestrations. Nat. Chem. Biol. 2024, 20, 52–61. [Google Scholar] [CrossRef] [PubMed]
- Lee, A.G. How lipids affect the activities of integral membrane proteins. Biochim. Biophys. Acta-Biomembr. 2004, 1666, 62–87. [Google Scholar] [CrossRef]
- Hedger, G.; Sansom, M.S. Lipid interaction sites on channels, transporters and receptors: Recent insights from molecular dynamics simulations. Biochim. Biophys. Acta-Biomembr. 2016, 1858, 2390–2400. [Google Scholar] [CrossRef]
- Corradi, V.; Sejdiu, B.I.; Mesa-Galloso, H.; Abdizadeh, H.; Noskov, S.Y.; Marrink, S.J.; Tieleman, D.P. Emerging diversity in lipid–protein interactions. Chem. Rev. 2019, 119, 5775–5848. [Google Scholar] [CrossRef]
- Levental, I.; Lyman, E. Regulation of membrane protein structure and function by their lipid nano-environment. Nat. Rev. Mol. Cell Biol. 2023, 24, 107–122. [Google Scholar] [CrossRef]
- Jia, Z.; Yazdani, M.; Zhang, G.; Cui, J.; Chen, J. Hydrophobic gating in BK channels. Nat. Commun. 2018, 9, 3408. [Google Scholar] [CrossRef]
- Coronel, L.; Di Muccio, G.; Rothberg, B.S.; Giacomello, A.; Carnevale, V. Lipid-mediated hydrophobic gating in the BK potassium channel. Nat. Commun. 2025, 16, 7354. [Google Scholar] [CrossRef]
- Agarwal, S.; Kim, E.D.; Lee, S.; Simon, A.; Accardi, A.; Nimigean, C.M. Ball-and-chain inactivation of a human large conductance calcium-activated potassium channel. Nat. Commun. 2025, 16, 1769. [Google Scholar] [CrossRef]
- Beckstein, O.; Sansom, M.S. Liquid–vapor oscillations of water in hydrophobic nanopores. Proc. Natl. Acad. Sci. USA 2003, 100, 7063–7068. [Google Scholar] [CrossRef] [PubMed]
- Fabus, M.S.; Quinn, A.J.; Warnaby, C.E.; Woolrich, M.W. Automatic decomposition of electrophysiological data into distinct nonsinusoidal oscillatory modes. J. Neurophysiol. 2021, 126, 1670–1684. [Google Scholar] [CrossRef] [PubMed]
- Riaz, F.; Hassan, A.; Rehman, S.; Niazi, I.K.; Dremstrup, K. EMD-based temporal and spectral features for the classification of EEG signals using supervised learning. IEEE Trans. Neural Syst. Rehabil. Eng. 2015, 24, 28–35. [Google Scholar] [CrossRef] [PubMed]
- Trybek, P.; Sobotnicka, E.; Wawrzkiewicz-Jałowiecka, A.; Machura, Ł.; Feige, D.; Sobotnicki, A.; Richter-Laskowska, M. A New method of identifying characteristic points in the impedance cardiography signal based on empirical mode decomposition. Sensors 2023, 23, 675. [Google Scholar] [CrossRef]
- Weng, B.; Blanco-Velasco, M.; Barner, K.E. ECG denoising based on the empirical mode decomposition. In Proceedings of the 2006 International Conference of the IEEE Engineering in Medicine and Biology Society, New York, NY, USA, 30 August–3 September 2006; IEEE: New York, NY, USA, 2006; pp. 1–4. [Google Scholar]











| [Que] | ||||
|---|---|---|---|---|
| 0 | 10 μM | 100 μM | ||
| [Ca2+] | 0 | 0.23 ± 0.05 | 0.23 ± 0.05 | 0.38 ± 0.08 |
| 10 μM | 0.83 ± 0.03 | 0.89 ± 0.02 | 0.90 ± 0.02 | |
| 100 μM | 0.91 ± 0.01 | 0.85 ± 0.03 | 0.93 ± 0.01 | |
Disclaimer/Publisher’s Note: The statements, opinions and data contained in all publications are solely those of the individual author(s) and contributor(s) and not of MDPI and/or the editor(s). MDPI and/or the editor(s) disclaim responsibility for any injury to people or property resulting from any ideas, methods, instructions or products referred to in the content. |
© 2025 by the authors. Licensee MDPI, Basel, Switzerland. This article is an open access article distributed under the terms and conditions of the Creative Commons Attribution (CC BY) license (https://creativecommons.org/licenses/by/4.0/).
Share and Cite
Borys, P.; Trybek, P.; Dworakowska, B.; Sekrecka-Belniak, A.; Wojcik, M.; Wawrzkiewicz-Jałowiecka, A. Applying Entropic Measures, Spectral Analysis, and EMD to Quantify Ion Channel Recordings: New Insights into Quercetin and Calcium Activation of BK Channels. Entropy 2025, 27, 1047. https://doi.org/10.3390/e27101047
Borys P, Trybek P, Dworakowska B, Sekrecka-Belniak A, Wojcik M, Wawrzkiewicz-Jałowiecka A. Applying Entropic Measures, Spectral Analysis, and EMD to Quantify Ion Channel Recordings: New Insights into Quercetin and Calcium Activation of BK Channels. Entropy. 2025; 27(10):1047. https://doi.org/10.3390/e27101047
Chicago/Turabian StyleBorys, Przemysław, Paulina Trybek, Beata Dworakowska, Anna Sekrecka-Belniak, Michał Wojcik, and Agata Wawrzkiewicz-Jałowiecka. 2025. "Applying Entropic Measures, Spectral Analysis, and EMD to Quantify Ion Channel Recordings: New Insights into Quercetin and Calcium Activation of BK Channels" Entropy 27, no. 10: 1047. https://doi.org/10.3390/e27101047
APA StyleBorys, P., Trybek, P., Dworakowska, B., Sekrecka-Belniak, A., Wojcik, M., & Wawrzkiewicz-Jałowiecka, A. (2025). Applying Entropic Measures, Spectral Analysis, and EMD to Quantify Ion Channel Recordings: New Insights into Quercetin and Calcium Activation of BK Channels. Entropy, 27(10), 1047. https://doi.org/10.3390/e27101047

