A Model Framework for Ion Channels with Selectivity Filters Based on Non-Equilibrium Thermodynamics
Abstract
1. Introduction
2. Methods
2.1. Domains
2.2. Species
2.3. Balance Equations
2.4. Chemical Potential Functions
2.4.1. Liquid Electrolyte
2.4.2. Polymeric Electrolyte
2.5. Reactions
2.6. Boundary Conditions
2.6.1. Exterior Boundaries
2.6.2. Interior Boundaries
2.7. Equilibrium and General Assumptions
2.7.1. Mechanical Equilibrium
2.7.2. Reactions in Equilibrium
2.7.3. Mobility Matrix
2.7.4. General Assumptions
2.8. Summary Equations
2.8.1. Balance Equations
2.8.2. Boundary Conditions
2.9. Numerical Method
Discretization
3. Numerical Results for a Calcium-Selective Ion Channel
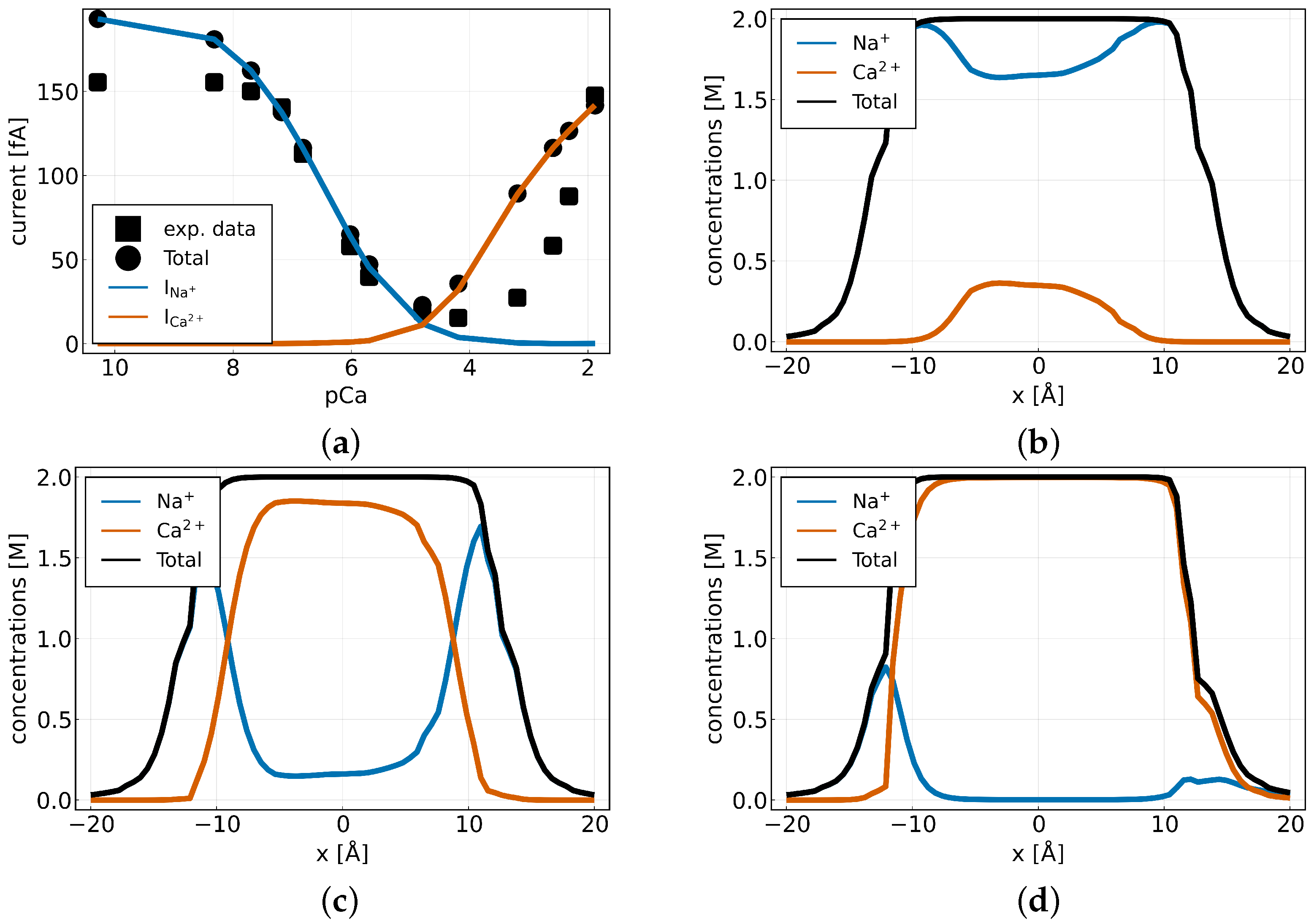
3.1. Comparison with Experimental Data
3.2. Sensitivity Analysis
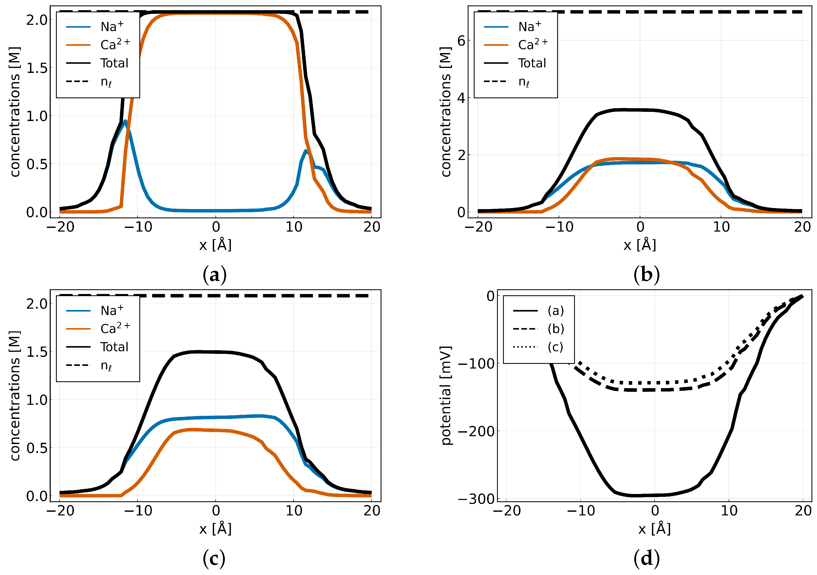
3.3. Parameter Study
4. Discussion and Conclusions
Supplementary Materials
Author Contributions
Funding
Informed Consent Statement
Data Availability Statement
Conflicts of Interest
Abbreviations
| PNP | Poisson–Nernst–Planck |
| PNPB | Poisson–Nernst-Planck–Bikerman |
| IV | current–voltage |
| AMFE | anomalous mole fraction effect |
| PDE | partial differential equation |
Appendix A. Derivation of Chemical Potential Functions
Appendix A.1. Liquid Electrolyte
Appendix A.2. Polymeric Electrolyte
- backbone is uncharged, whereby
- backbone is fully charged, wherebyand . Note that has then a constant backbone volume charge, similar like a solid electrolyte. This has to satisfy then (integrate poisson equation, initial state is that there are no present within )where is the surface charge of the channel protein within the selectivity filter.
- an intermediate state, wherebywith some scaling parameter .
Appendix B. Parameter Values
| Symbol | Meaning | Value | Unit |
|---|---|---|---|
| T | temperature | 298.15 | K |
| elementary charge | 1.602 | C | |
| Boltzmann constant | 1.380 | J | |
| Avogadro constant | 6.022 | ||
| Faraday constant | 9.648 | C | |
| Gas constant | 8.314 | J | |
| vacuum permittivity | 8.854 | F | |
| relative permittivity | 78.49 | - | |
| , , | diffusion coefficients | ||
| , in | diffusion coefficients | ||
| , , | charge numbers | 2, 1, −1 | - |
| molar weight water | 18.0 | g | |
| , , | molar weights | 40.1, 23.0, 35.5 | g |
| molar volume water | 55.4 | ||
| , , | molar volumes | [26.20, 23.78, 17.39] | |
| charge channel wall | |||
| [, [ | bulk concentrations | 0, varying | mM |
| [, [NaCl | bulk concentrations | 32, 32 | mM |
| , | bulk potential | −20, 0 | mV |
| , , | solvation numbers | 30, 60, 30 | - |
| r | channel radius | 4.5 | Å |
| l | length of | 14 | Å |
| length of | 8 | Å | |
| lattice sites | 2 | M | |
| oxygen ions in | 0 | M |
References
- Catterall, W.A. Voltage-Gated Calcium Channels. Cold Spring Harb. Perspect. Biol. 2011, 3, a003947. [Google Scholar] [CrossRef]
- Rosenbaum, T.; Benítez-Angeles, M.; Sánchez-Hernández, R.; Morales-Lázaro, S.L.; Hiriart, M.; Morales-Buenrostro, L.E.; Torres-Quiroz, F. TRPV4: A Physio and Pathophysiologically Significant Ion Channel. Int. J. Mol. Sci. 2020, 21, 3837. [Google Scholar] [CrossRef]
- Catterall, W.A. Excitation-contraction coupling in vertebrate skeletal muscle: A tale of two calcium channels. Cell 1991, 64, 871–874. [Google Scholar] [CrossRef]
- Flavell, S.W.; Greenberg, M.E. Signaling Mechanisms Linking Neuronal Activity to Gene Expression and Plasticity of the Nervous System. Annu. Rev. Neurosci. 2008, 31, 563–590. [Google Scholar] [CrossRef]
- Doyle, D.A.; Cabral, J.M.; Pfuetzner, R.A.; Kuo, A.; Gulbis, J.M.; Cohen, S.L.; Chait, B.T.; MacKinnon, R. The Structure of the Potassium Channel: Molecular Basis of K+ Conduction and Selectivity. Science 1998, 280, 69–77. [Google Scholar] [CrossRef] [PubMed]
- Zhou, Y.; Morais-Cabral, J.H.; Kaufman, A.; MacKinnon, R. Chemistry of ion coordination and hydration revealed by a K+ channel-Fab complex at 2.0 Å resolution. Nature 2001, 414, 43–48. [Google Scholar] [CrossRef] [PubMed]
- Flood, E.; Boiteux, C.; Lev, B.; Vorobyov, I.; Allen, T.W. Atomistic Simulations of Membrane Ion Channel Conduction, Gating, and Modulation. Chem. Rev. 2019, 119, 7737–7832. [Google Scholar] [CrossRef] [PubMed]
- Hollingsworth, S.A.; Dror, R.O. Molecular Dynamics Simulation for All. Neuron 2018, 99, 1129–1143. [Google Scholar] [CrossRef]
- Delemotte, L.; Treptow, W.; Klein, M.L.; Tarek, M. Effect of Sensor Domain Mutations on the Properties of Voltage-Gated Ion Channels: Molecular Dynamics Studies of the Potassium Channel Kv1.2. Biophys. J. 2010, 99, L72–L74. [Google Scholar] [CrossRef][Green Version]
- Roux, B.; Bernèche, S.; Egwolf, B.; Lev, B.; Noskov, S.Y.; Rowley, C.N.; Yu, H. Ion selectivity in channels and transporters. J. Gen. Physiol. 2011, 137, 415–426. [Google Scholar] [CrossRef]
- Roux, B. Ion channels and ion selectivity. Essays Biochem. 2017, 61, 201–209. [Google Scholar] [CrossRef]
- Hof, T.; Chaigne, S.; Récalde, A.; Sallé, L.; Brette, F.; Guinamard, R. Transient receptor potential channels in cardiac health and disease. Nat. Rev. Cardiol. 2019, 16, 344–360. [Google Scholar] [CrossRef] [PubMed]
- Stokłosa, P.; Borgström, A.; Kappel, S.; Peinelt, C. TRP Channels in Digestive Tract Cancers. Int. J. Mol. Sci. 2020, 21, 1877. [Google Scholar] [CrossRef] [PubMed]
- Almers, W.; McCleskey, E.W. Non-selective conductance in calcium channels of frog muscle: Calcium selectivity in a single-file pore. J. Physiol. 1984, 353, 585–608. [Google Scholar] [CrossRef] [PubMed]
- Almers, W.; McCleskey, E.W.; Palade, P.T. A non-selective cation conductance in frog muscle membrane blocked by micromolar external calcium ions. J. Physiol. 1984, 353, 565–583. [Google Scholar] [CrossRef]
- Gummel, H. A self-consistent iterative scheme for one-dimensional steady state transistor calculations. IEEE Trans. Electron Devices 1964, 11, 455–465. [Google Scholar] [CrossRef]
- Scharfetter, D.; Gummel, H. Large-signal analysis of a silicon Read diode oscillator. IEEE Trans. Electron Devices 1969, 16, 64–77. [Google Scholar] [CrossRef]
- Schuss, Z.; Nadler, B.; Eisenberg, R.S. Derivation of Poisson and Nernst-Planck equations in a bath and channel from a molecular model. Phys. Rev. E 2001, 64, 036116. [Google Scholar] [CrossRef]
- Liu, J.L.; Eisenberg, B. Molecular Mean-Field Theory of Ionic Solutions: A Poisson-Nernst-Planck-Bikerman Model. Entropy 2020, 22, 550. [Google Scholar] [CrossRef]
- Gillespie, D.; Nonner, W.; Eisenberg, R.S. Coupling Poisson Nernst Planck and density functional theory to calculate ion flux. J. Phys. Condens. Matter 2002, 14, 12129–12145. [Google Scholar] [CrossRef]
- Gillespie, D. Energetics of divalent selectivity in a calcium channel: The ryanodine receptor case study. Biophys. J. 2008, 94, 1169–1184. [Google Scholar] [CrossRef] [PubMed]
- Blum, L. Mean spherical model for asymmetric electrolytes: I. Method of solution. Mol. Phys. 1975, 30, 1529–1535. [Google Scholar] [CrossRef]
- Roth, R.; Gillespie, D. Shells of charge: A density functional theory for charged hard spheres. J. Phys. Condens. Matter 2016, 28, 244006. [Google Scholar] [CrossRef] [PubMed]
- Burger, M.; Schlake, B.; Wolfram, M.T. Nonlinear Poisson–Nernst–Planck equations for ion flux through confined geometries. Nonlinearity 2012, 25, 961–990. [Google Scholar] [CrossRef]
- Horng, T.L.; Chen, R.S.; Leonardi, M.V.; Franciolini, F.; Catacuzzeno, L. A Multi-Scale Approach to Model K+ Permeation Through the KcsA Channel. Front. Mol. Biosci. 2022, 9, 880660. [Google Scholar] [CrossRef]
- Xie, D.; Audi, S.H.; Dash, R.K. A size-modified poisson–boltzmann ion channel model in a solvent of multiple ionic species: Application to voltage-dependent anion channel. J. Comput. Chem. 2019, 41, 218–230. [Google Scholar] [CrossRef]
- De Groot, S.R.; Mazur, P. Non-Equilibrium Thermodynamics; Dover Books on Physics; Dover Publications: Mineola, NY, USA, 2013. [Google Scholar]
- Dreyer, W.; Guhlke, C.; Müller, R. Overcoming the shortcomings of the Nernst–Planck model. Phys. Chem. Chem. Phys. 2013, 15, 7075. [Google Scholar] [CrossRef]
- Landstorfer, M.; Guhlke, C.; Dreyer, W. Theory and structure of the metal-electrolyte interface incorporating adsorption and solvation effects. Electrochim. Acta 2016, 201, 187–219. [Google Scholar] [CrossRef]
- Landstorfer, M. On the dissociation degree of ionic solutions considering solvation effects. Electrochem. Commun. 2018, 92, 56–59. [Google Scholar] [CrossRef]
- Landstorfer, M.; Müller, R. Thermodynamic models for a concentration and electric field dependent susceptibility in liquid electrolytes. Electrochim. Acta 2022, 428, 140368. [Google Scholar] [CrossRef]
- Dreyer, W.; Guhlke, C.; Landstorfer, M. A mixture theory of electrolytes containing solvation effects. Electrochem. Commun. 2014, 43, 75–78. [Google Scholar] [CrossRef]
- Gillespie, D.; Boda, D. The Anomalous Mole Fraction Effect in Calcium Channels: A Measure of Preferential Selectivity. Biophys. J. 2008, 95, 2658–2672. [Google Scholar] [CrossRef][Green Version]
- Lipkind, G.M.; Fozzard, H.A. Modeling of the Outer Vestibule and Selectivity Filter of the L-Type Ca2+ Channel. Biochemistry 2001, 40, 6786–6794. [Google Scholar] [CrossRef]
- Horng, T.L.; Lin, T.C.; Liu, C.; Eisenberg, B. PNP Equations with Steric Effects: A Model of Ion Flow through Channels. J. Phys. Chem. B 2012, 116, 11422–11441. [Google Scholar] [CrossRef] [PubMed]
- Fuhrmann, J. Comparison and numerical treatment of generalised Nernst–Planck models. Comput. Phys. Commun. 2015, 196, 166–178. [Google Scholar] [CrossRef]
- Bothe, D.; Druet, P.E. On the structure of continuum thermodynamical diffusion fluxes—A novel closure scheme and its relation to the Maxwell–Stefan and the Fick–Onsager approach. Int. J. Eng. Sci. 2023, 184, 103818. [Google Scholar] [CrossRef]
- Fuhrmann, J.; Jaap, P.; Runge, D.; Abdel, D.; Weidner, J.; Seiler, A.; Farrell, P.; Liero, M. VoronoiFVM.jl: Finite Volume Solver for Coupled Nonlinear Partial Differential Equations; Zenodo: Geneva, Switzerland, 2022. [Google Scholar] [CrossRef]
- Shewchuk, J.R. Triangle, Version 1.6. 2007. Available online: https://www.cs.cmu.edu/~quake/triangle.html (accessed on 1 June 2025).
- Liu, J.L.; Eisenberg, B. Numerical methods for a Poisson-Nernst-Planck-Fermi model of biological ion channels. Phys. Rev. E 2015, 92, 012711. [Google Scholar] [CrossRef]
- Gaudeul, B.; Fuhrmann, J. Entropy and convergence analysis for two finite volume schemes for a Nernst–Planck–Poisson system with ion volume constraints. Numer. Math. 2022, 151, 99–149. [Google Scholar] [CrossRef]
- Boda, D.; Valiskó, M.; Henderson, D.; Eisenberg, B.; Gillespie, D.; Nonner, W. Ionic selectivity in L-type calcium channels by electrostatics and hard-core repulsion. J. Gen. Physiol. 2009, 133, 497–509. [Google Scholar] [CrossRef]
- Nonner, W.; Catacuzzeno, L.; Eisenberg, B. Binding and Selectivity in L-Type Calcium Channels:A Mean Spherical Approximation. Biophys. J. 2000, 79, 1976–1992. [Google Scholar] [CrossRef]
- Allen, T.W.; Kuyucak, S.; Chung, S.H. Molecular dynamics estimates of ion diffusion in model hydrophobic and KcsA potassium channels. Biophys. Chem. 2000, 86, 1–14. [Google Scholar] [CrossRef] [PubMed]
- Gillespie, D.; Xu, L.; Wang, Y.; Meissner, G. (De)constructing the Ryanodine Receptor: Modeling Ion Permeation and Selectivity of the Calcium Release Channel. J. Phys. Chem. B 2005, 109, 15598–15610. [Google Scholar] [CrossRef] [PubMed]
- Mamonov, A.B.; Coalson, R.D.; Nitzan, A.; Kurnikova, M.G. The Role of the Dielectric Barrier in Narrow Biological Channels: A Novel Composite Approach to Modeling Single-Channel Currents. Biophys. J. 2003, 84, 3646–3661. [Google Scholar] [CrossRef]
- Smith, G.; Sansom, M. Dynamic Properties of Na+ Ions in Models of Ion Channels: A Molecular Dynamics Study. Biophys. J. 1998, 75, 2767–2782. [Google Scholar] [CrossRef][Green Version]
- Gillespie, D.; Giri, J.; Fill, M. Reinterpreting the Anomalous Mole Fraction Effect: The Ryanodine Receptor Case Study. Biophys. J. 2009, 97, 2212–2221. [Google Scholar] [CrossRef]
- Homma, T.; Saltelli, A. Importance measures in global sensitivity analysis of nonlinear models. Reliab. Eng. Syst. Saf. 1996, 52, 1–17. [Google Scholar] [CrossRef]
- Saltelli, A.; Annoni, P.; Azzini, I.; Campolongo, F.; Ratto, M.; Tarantola, S. Variance based sensitivity analysis of model output. Design and estimator for the total sensitivity index. Comput. Phys. Commun. 2010, 181, 259–270. [Google Scholar] [CrossRef]
- Sobol, I.; Tarantola, S.; Gatelli, D.; Kucherenko, S.; Mauntz, W. Estimating the approximation error when fixing unessential factors in global sensitivity analysis. Reliab. Eng. Syst. Saf. 2007, 92, 957–960. [Google Scholar] [CrossRef]
- Dixit, V.K.; Rackauckas, C. GlobalSensitivity. jl: Performant and Parallel Global Sensitivity Analysis with Julia. J. Open Source Softw. 2022, 7, 4561. [Google Scholar] [CrossRef]
- Liu, J.L.; Eisenberg, B. Poisson-Nernst-Planck-Fermi theory for modeling biological ion channels. J. Chem. Phys. 2014, 141, 22D532. [Google Scholar] [CrossRef]
- Liu, J.L.; Eisenberg, B. Correlated Ions in a Calcium Channel Model: A Poisson–Fermi Theory. J. Phys. Chem. B 2013, 117, 12051–12058. [Google Scholar] [CrossRef]
- Boda, D.; Busath, D.D.; Henderson, D.; Sokołowski, S. Monte Carlo Simulations of the Mechanism for Channel Selectivity: The Competition between Volume Exclusion and Charge Neutrality. J. Phys. Chem. B 2000, 104, 8903–8910. [Google Scholar] [CrossRef]
- Wei, R.; Wang, X.; Zhang, Y.; Mukherjee, S.; Zhang, L.; Chen, Q.; Huang, X.; Jing, S.; Liu, C.; Li, S.; et al. Structural insights into Ca2+-activated long-range allosteric channel gating of RyR1. Cell Res. 2016, 26, 977–994. [Google Scholar] [CrossRef]
- Epsztein, R.; DuChanois, R.M.; Ritt, C.L.; Noy, A.; Elimelech, M. Towards single-species selectivity of membranes with subnanometre pores. Nat. Nanotechnol. 2020, 15, 426–436. [Google Scholar] [CrossRef] [PubMed]
- Zhu, L.; Wu, J.; Liu, L.; Liu, Y.; Yan, Y.; Cui, Q.; Chen, X. Gating mechanism of mechanosensitive channel of large conductance: A coupled continuum mechanical-continuum solvation approach. Biomech. Model. Mechanobiol. 2016, 15, 1557–1576. [Google Scholar] [CrossRef] [PubMed]
- Izu, L.T.; Kohl, P.; Boyden, P.A.; Miura, M.; Banyasz, T.; Chiamvimonvat, N.; Trayanova, N.; Bers, D.M.; Chen-Izu, Y. Mechano-electric and mechano-chemo-transduction in cardiomyocytes. J. Physiol. 2020, 598, 1285–1305. [Google Scholar] [CrossRef] [PubMed]









Disclaimer/Publisher’s Note: The statements, opinions and data contained in all publications are solely those of the individual author(s) and contributor(s) and not of MDPI and/or the editor(s). MDPI and/or the editor(s) disclaim responsibility for any injury to people or property resulting from any ideas, methods, instructions or products referred to in the content. |
© 2025 by the authors. Licensee MDPI, Basel, Switzerland. This article is an open access article distributed under the terms and conditions of the Creative Commons Attribution (CC BY) license (https://creativecommons.org/licenses/by/4.0/).
Share and Cite
Keller, C.; Landstorfer, M.; Fuhrmann, J.; Wagner, B. A Model Framework for Ion Channels with Selectivity Filters Based on Non-Equilibrium Thermodynamics. Entropy 2025, 27, 981. https://doi.org/10.3390/e27090981
Keller C, Landstorfer M, Fuhrmann J, Wagner B. A Model Framework for Ion Channels with Selectivity Filters Based on Non-Equilibrium Thermodynamics. Entropy. 2025; 27(9):981. https://doi.org/10.3390/e27090981
Chicago/Turabian StyleKeller, Christine, Manuel Landstorfer, Jürgen Fuhrmann, and Barbara Wagner. 2025. "A Model Framework for Ion Channels with Selectivity Filters Based on Non-Equilibrium Thermodynamics" Entropy 27, no. 9: 981. https://doi.org/10.3390/e27090981
APA StyleKeller, C., Landstorfer, M., Fuhrmann, J., & Wagner, B. (2025). A Model Framework for Ion Channels with Selectivity Filters Based on Non-Equilibrium Thermodynamics. Entropy, 27(9), 981. https://doi.org/10.3390/e27090981

