Abstract
Three new cucurbitane triterpenoids 1–3 and one new steroidal glycoside 4, were isolated together with ten known compounds from Momordica charantia. The structures of new compounds were determined to be 19(R)-n-butanoxy-5β,19-epoxycucurbita-6,23-diene-3β,25-diol 3-O-β-glucopyranoside (1), 23-O-β-allopyranosyle-cucurbita-5,24-dien-7α,3β,22(R),23(S)-tetraol 3-O-β-allopyranoside. (2), 23(R),24(S),25-trihydroxycucurbit-5-ene 3-O-{[β-glucopyranosyl(1→6)]-O-β-glucopyranosyl}-25-O-β-glucopyranoside (3), and 24(R)-stigmastan-3β,5α,6β-triol-25-ene 3-O-β-glucopyranoside (4), respectively. Their structures were elucidated by the combination of mass spectrometry (MS), one and two-dimensional NMR experiments and chemical reactions.
1. Introduction
The plant Momordica charantia L (cucurbitaceae) is cultivated in Asian countries. Its fruit, called kugua in Chinese and bitter melon in English, is a popular vegetable in Asian countries and is becoming a popular food supplement to lower blood glucose worldwide [1]. So far, more than 100 compounds, mainly cucurbitane- and oleanene-type triterpenes, have been isolated from the fruits, seeds, leaves, canes and roots of this genus. Recently, studies have discovered that the triterpenes from this genus showed biological activities such as antidiabetic [2], anti-HIV [3], anticancer [4] properties. Based on our continued interest in the discovery of sugar-reducing and anticancer compounds from M. charantia, we have examined the methanolic extracts of M. charantia from Chengjiang County, Yunnan Province, China. Herein, we report the isolation and structural elucidation of four new compounds from this plant (Figure 1).
Figure 1.
Structures of the new compounds from M. charantia.
2. Results and Discussion
In this report, we have examined the methanolic extract of the fruits of M. charantia and have isolated three new triterpenes 1–3 and one new steroidal glycoside 4, together with ten known compounds: karaviloside II (5) [5], karaviloside III (6) [5], momordicoside K (7) [6], kuguaglycoside B (8) [7], momordicoside L (9) [8], momordicoside M (10) [9], momordicoside N (11) [9], momordicoside B (12) [10,11], momordicoside S (13) [2], and momordicoside A (14) [10,11], whose structures were determined by comparing their physical properties and the spectral data with those reported in the literature.
Compound 1 was obtained as a white powder. The negative-ion quasimolecular ion peak was observed at m/z 689 [M-H]−, and the molecular formula C40H66O9 was determined by negative-ion HRESIMS measurement (m/z 689.4630 [M-H]−; calc. 689.4628). The 1H-NMR spectrum of 1 (Table 1 and Table 2) showed signals for six tertiary methyl groups at δ 0.85, 0.86, 0.91, 1.48, 1.55, and 1.55 (each 3H, s), a secondary methyl at δ 0.97 (3H, d, J = 5.1 Hz), a third methyl at 0.80 (3H, t, J = 7.2 Hz), and four olefinic protons at δ 6.15 (1H, d, J = 9.6 Hz), 5.63 (1H, dd, J = 9.6, 3.5 Hz), 5.94 (1H, br. m), and 5.94 (1H, br. m), as well as one anomeric proton at δ 4.96 (1H, d, J = 7.7 Hz). Acid hydrolysis of 1 furnished glucose, which was identified by TLC comparison with an authentic sample. In the 13C-NMR of 1 (Table 1 and Table 2), 30 aglycone carbon signals, six sugar signals and four n-butyl signals were found, indicating that 1 was a triterpene saponin. The 13C-NMR data of compound 1 were very similar to those of goyaglycoside-a [12], except that an OMe group at C-19 in goyaglycoside-a was replaced by an O-n-butyl group in 1. In the ROESY experiment, the correlations between H-19 and H-3α, 3H-30α, 3H-28α were observed. As a result, H-19 was a α configuration. The above evidence and the analysis of HMBC, and ROESY data (Figure 2) confirmed that 1 was 19(R)-n-butanoxy-5β,19-epoxycucurbita-6,23-diene-3β,25-diol 3-O-β-glucopyranoside.
Table 1.
1H- and 13C-NMR data for the aglycone moieties of 1, 2, 3 (pyridine-d5, δ in ppm and J in Hz).
Table 2.
1H and 13C NMR data for substituents of 1, 2, 3 (in pyridine-d5, δ in ppm and J in Hz).
Figure 2.
The Key HMBC and ROESY Correlations of Compound 1.
Compound 2 was obtained as a white powder. HRESIMS afforded C42H69O14 as a possible molecular formula of 2 ([M+Cl]−, m/z 797.4690, calc. 797.4687). The 1H-NMR spectrum of 2 (Table 1 and Table 2) showed signals for five tertiary methyl groups at δ 0.74, 0.86, 1.07, 1.35, and 1.54 (each 3H, s), a secondary methyl at δ 1.14 (1H, d, J = 6.6 Hz), two allylic methyls at 1.60, 1.80 (3H, s), and two olefinic protons at δ 6.08 (1H, d, J = 4.9 Hz), 5.51 (1H, d, J = 9.2 Hz), as well as two anomeric protons at δ 5.32 (1H, d, J = 7.8 Hz) and 5.61 (1H, d, J = 7.9 Hz).
The 13C-NMR of 2 (Table 1 and Table 2) showed 30 aglycone carbon signals and 12 signals from two sugars, which indicated that 2 was a triterpene saponin. Acid hydrolysis of 2 liberated allose, which was identified by TLC comparison with an authentic sample. The 13C-NMR data of 2 bore a resemblance to those of karaviloside V [5], with the exception of the signal of the hydroxy group at C-7 in 2 instead of an OMe group in karaviloside V. This deduction was in accordance with the evidence that C-7 in 2 was upshifted by 10.2 ppm when compared with C-7 in karaviloside V. Further analysis of the HMBC spectra of 2 proved the above deduction (Figure 3). The stereostructure of the aglycone moiety was characterized by ROESY experiment (Figure 3), which were observed between H-7 and 3H-19β, H-8β; H-8 and 3H-18β; 3H-30α and H-16α. Thus, the structure of 2 was confirmed as 23-O-β-allopyranosyle-cucurbita-5,24-dien-7α,3β,22(R),23(S)-tetraol 3-O-β-allopyranoside.
Figure 3.
The Key HMBC and ROESY Correlations of Compound 2.
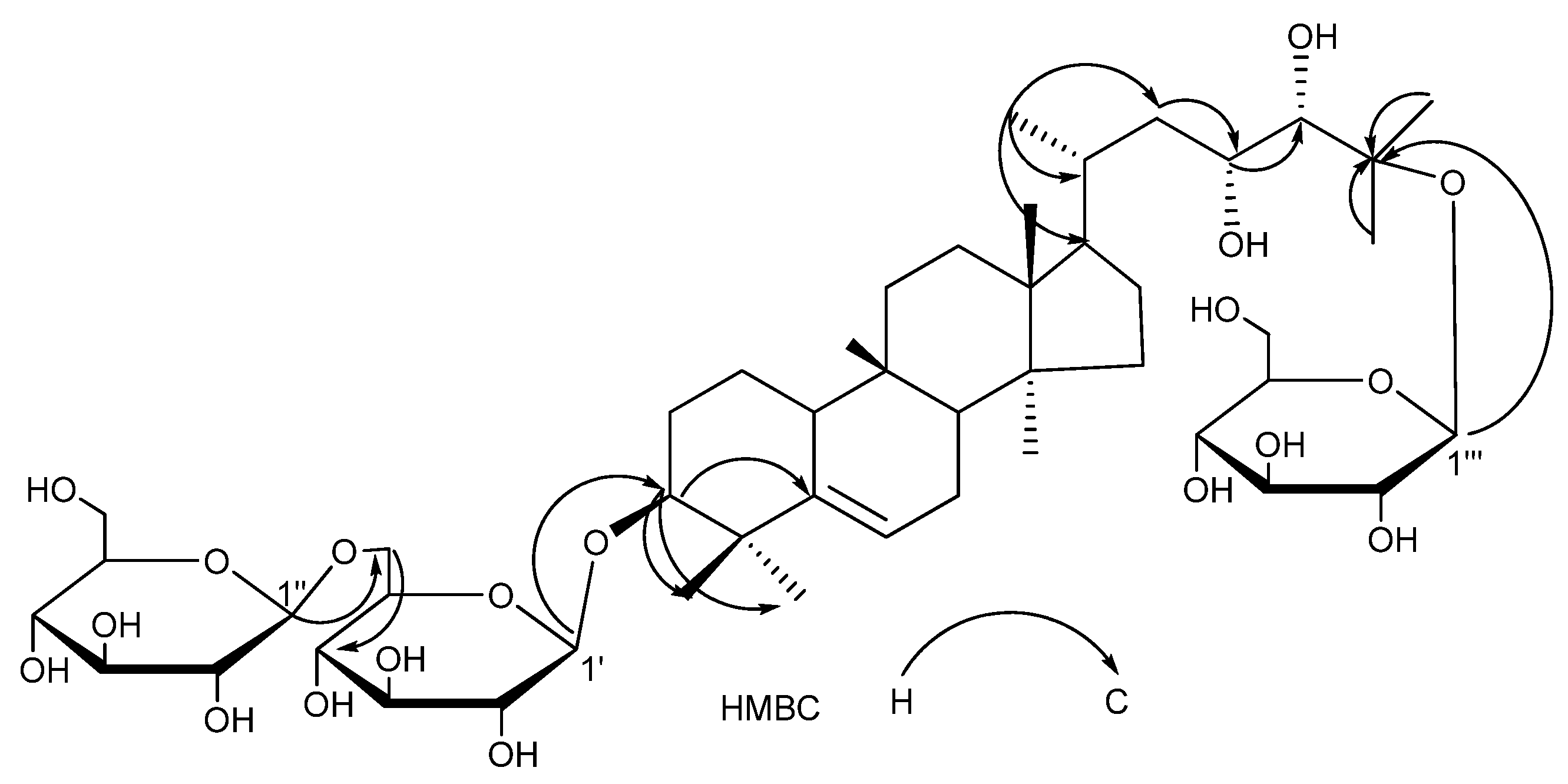
The molecular formula C48H82O19 of compound 3 was deduced by HRESIMS ([M-H]− m/z 961.5366, calc. 961.5372). 1D-NMR data (Table 1 and Table 2) showed the presence of seven tertiary methyls, one secondary methyl, a trisubstituted double bond, six quaternary carbons, seven aglycone methylenes, and two sugar methylenes, as well as three anomeric carbons, which indicated that a triterpenoid glycoside with two sugar moieties. Acid hydrolysis of 3 released glucose, which was identified by TLC comparison with an authentic sample. Carbon signals from 13C-NMR data were superimposable on those of momordicoside S [2], except for those around the C-22 position. The signal of C-22 was upshifted by 29 ppm, the C-20, C-23 were upshifted by 10.5 ppm, 4.8 ppm, and the C-21, C-24 signals were downshifted by 3.6 ppm, 4.4 ppm, respectively, which suggested that a hydroxyl group attached to C-22 of 3 was disappeared compared with momordicoside S. The 1H-NMR and 13C-NMR spectra of C-20, 21, 22, 23, 24, and 25 of 3 were in good agreement with those of momordicoside R [2].
In the HMBC spectrum (Figure 4), long-range correlations were observed between H-1′ (δ 4.81) and C-3′ (δ 87.6), H-1′′ (δ 5.21) and C-6′ (δ 70.3), H-1′′′ (δ 5.30) and C-25 (δ 81.5), indicating that two glucoses were attached to C-3 and C-25 as well as the remain glucose was attached to C-6′ of the glucose linked to C-3 of aglycone. Based on the above results, compound 3 was identified as 23(R),24(S),25-trihydroxycucurbit-5-ene 3-O-{[β-glucopyranosyl(1→6)]-O-β-glucopyranosyl}-25-O-β-glucopyranoside.
Figure 4.
The Key HMBC Correlations of Compound 3.
Compound 4 was obtained as a white powder. The molecular formula C35H60O8 was established by negative-ion HRESIMS measurement at m/z 643.3951 [M+Cl]− (calc. 643.3976). The 1H-NMR spectrum of 4 (Table 3) showed signals for two tertiary methyl groups at δ 0.72 and 1.52 (each 3H, s), a secondary methyl at δ 0.96 (3H, d, J = 6.4 Hz), one allylic methyl group at 1.59 (3H, s), one third methyl at δ 0.83 (3H, t, J = 7.4 Hz) and two anomeric olefinic protons at δ 4.85 (1H, s), 4.78 (1H, d, J = 2.1 Hz) as well as one anomeric proton at δ 4.95 (1H, d, J = 7.7 Hz). The 13C-NMR data indicated that the presence of a steroidal glycoside bearing five methyls and a sugar unit. Acid hydrolysis of 4 afforded a glucose which was confirmed by TLC comparison with an authentic sample. All above data suggested that it was almost same as 24(R)-stigmastan-3β,5α,6β-triol 3-O-β-glucopuranoside [13], exception of a double bond between C-25 and C-26 in 4 instead of a methine group at C-25 and a methyl group at C-26. In the corresponding HMBC spectrum (Figure 5), the correlations between H-26 and C-24, 27 as well as between H-29 to C-24, 28 were observed. Thus, compound 4 was identified as 24(R)-stigmastan-3β,5α,6β-triol- 25-ene 3-O-β-glucopyranoside.
Table 3.
1H and 13C NMR of compound 4 (in pyridine-d5, δ in ppm and J in Hz).
Figure 5.
The Key HMBC Correlations of Compound 4.
3. Experimental
3.1. General
Column chromatography (CC): silica gel (200–300 mesh; Qingdao Marine Chemical Products industry factory, China); Sephadex LH-20 (Pharmacia) and RP-18 silica gel (50–80 μm, Merck, Germany). TLC: silica gel G precoated plates (Qingdao Haiyan Chemical Co.) and Rp-18-F254S precoated plates (Merck, Germany); Spots were visualized by spraying with 10% aq. H2SO4 soln., followed by heating. Optical rotations: Horiba SEAP-3000 spectropolarimeter. IR spectra: Shimadzu IR-450 instrument, with KBr pellets; in cm−1. NMR Spectra: Bruker AC-400 (The 13C-NMR was measured in Bruker AC-400) or DRX-500 (The 1H-NMR was measured in DRX-500) instruments; chemical shifts δ in ppm rel. to SiMe4, coupling constants J in Hz. FAB-MS (negative-ion mode; glycerol matrix) and HR-ESI-MS: VG-Auto-Spec-3000 and Thermo-Finnigan LCQ-Advantage spectrometer; in m/z (rel. int. in % of the base peak).
3.2. Plant Material
The fresh fruits of M. charantia were purchased from in Chengjiang County, Yuxi City, Yunnan Province, P.R. China, in August 2008, and identified by Prof. Shukun Chen.
3.3. Extraction and Isolation
Dried and powdered fruits of M. charantia (35 kg) were extracted with MeOH at 70 °C (4 × 50 L). Removal of solvent under vacuum gave the MeOH extract (700 g), which was suspended in water and partitioned with petroleum ether, ethyl acetate, and n-BuOH. The n-BuOH layer was concentrated and the residue (300 g) was chromatographed on an D101 resin column, eluted with water, MeOH, (Me)2CO. The MeOH residue were fractionated by normal phase column chromatography, which was eluted with gradient CHCl3/MeOH (30:1, 10:1, 5:1, 3:1, 1:1, 0:1) and afforded six fractions (Fr.1–Fr.6). Fr.2 was separated on normal phase silica gel eluted with CHCl3/MeOH (20:1, 10:1) and CHCl3/(Me)2CO (3:1, 1.5:1,1:2) repeatedly, then on RP-18 silica gel eluted with MeOH/H2O (60%–80%), finally yielded compound 1 (8 mg), 5 (11 mg), 6 (24 mg); Fr.3 was purified by a chromatographic column on normal phase silica gel eluted with CHCl3/MeOH (8:1, 5:1) and on reversed phase silica gel eluted with MeOH/ H2O (50%–70%) to yield compound 4 (15 mg), 7 (156 mg), 8 (13 mg), 9 (13 mg), 10 (29 mg); Fr.4 was separated on a normal phase silica gel column eluted with CHCl3/MeOH (5:1, 3:1) and on RP-18 silica gel column eluted with 45% of MeOH/ H2O, then on Sephadex LH-20 column (MeOH) to afford compound 2 (10 mg), 11 (30 mg); Compound 3 (10 mg), 12 (30 mg), 13 (15 mg), 14 (250 mg) were isolated from Fr.5 by using the chromatographic column on normal phase silica gel column eluted with n-BuOH/AcOEt/ H2O (4:4:1 upper layer) and on reversed phase silica gel column eluted with MeOH/ H2O (45%) as well as on Sephadex LH-20 column (MeOH).
3.4. Acid Hydrolysis of Compounds 1–4
Compounds 1–4 (5 mg each) in 1 N HCl-CH3OH (1:1, 2 mL) were each heated at 90 °C for 4 h in a water bath. The reaction mixtures were neutralized with AgCO3, filtered, and then extracted with CHCl3 (2 mL × 3). After concentration, each H2O layer (monosaccharide portion) was examined by TLC with BuOH/acetic ether/H2O (4:1:5 upper layer) and compared with authentic samples (allopyranosyl and glucopyranosyl), Rfall = 0.33, Rfglc = 0.36.
3.5. Spectral Data
19(R)-n-Butanoxy-5β,19-epoxycucurbita-6,23-diene-3β,25-diol 3-O-β-glucopyranoside (1). C40H66O9, white powder; = −79.0° (c 0.11 MeOH); negative FABMS: m/z 689 [M−H]−; HRESIMS: [M-H]− m/z 689.4630 (cal. 689.4628); IR (KBr) νmax: 3413, 2930, 1633, 1453, 1375, 1073 cm−1; 1H-NMR (C5D5N, 500 MHz) and 13C-NMR (C5D5N, 125 MHz): see Table 1, Table 2.
23-O-β-Allopyranosyle-cucurbita-5,24-dien-7α,3β,22(R),23(S)-tetraol-3-O-β-allopyranoside (2). C42H69O14, white powder; = −1.4° (c 0.1 MeOH); negative FABMS: m/z 797 [M−H]−; HRESIMS: [M−H]− m/z 797.4690 (cal. 797.4687); IR (KBr) νmax: 3404, 2930, 1642, 1453, 1372, 1071, 970 cm−1; 1H-NMR (C5D5N, 500 MHz) and 13C-NMR (C5D5N, 125 MHz): see Table 1, Table 2.
23(R),24(S),25-Trihydroxycucurbita-5-ene-3-O-{[β-glucopyranosyl(1→6)]-O-β-glucopyranosyl}-25-O-β-glucopyranoside (3). C48H82O19, white powder; = +1.1° (c 0.09 MeOH); negative FABMS: m/z 961 [M−H]−; HRESIMS: [M-H]− m/z 961.5366 (cal. 961.5372); IR (KBr) νmax: 3400, 2926, 1648, 1455, 1377, 1072, 985 cm−1; 1H-NMR (C5D5N, 500 MHz) and 13C-NMR (C5D5N, 125 MHz): see Table 1, Table 2.
24(R)-Stigmastan-3β,5α,6β-triol-25-ene 3-O-β-glucopyranoside (4). C35H60O8, white powder; = −50.2° (c 0.1 MeOH); negative FABMS: m/z 607 [M−H]−; HRESIMS: [M+Cl]− m/z 643.3951 (cal. 643.3976); IR (KBr) νmax: 3400, 2920, 1640, 1450, 1370, 1070, 980 cm−1; 1H-NMR (C5D5N, 500 MHz) and 13C-NMR (C5D5N, 125 MHz): see Table 3.
4. Conclusion
We have isolated three new triterpenes and one new steroidal glycoside from the fruits of M. charantia, together with ten known compounds karaviloside II, karaviloside III, momordicoside K, kuguaglycoside B, momordicoside L, momordicoside M, momordicoside N, momordicoside B, momordicoside S, and momordicoside A. Although we researched on the same specie from different localities [3,7], the chemical constitutions of them were different. So, for better using the fruits of M. charantia as a food supplement or a plant extract to lower blood glucose, we had better pay attention to their chemical constitutions in different localities.
Acknowledgements
This project was supported by the Natural Science Fundation of Yunnan Province (2008CD158), the “Xi-Bu-Zhi-Guang” project from the Chinese Academy of Sciences and the Foundation of Key State Lab. of Phytochemistry and Plant Resources in West China (P2008ZZ05).
References and Notes
- Basch, E.; Gabardi, S.; Ulbricht, C. Bitter melon (Momordica charantia): a review of efficacy and safety. Am. J. Health-Syst. Pharm. 2003, 60, 356–359. [Google Scholar] [PubMed]
- Tan, M.J.; Ye, J.M.; Turner, N.; Cordula, H.B.; Ke, C.Q.; Tang, C.P.; Chen, T.; Weiss, H.C.; Gesing, E.R.; Rowland, A.; James, D.E.; Ye, Y. Antidiabetic activities of triterpenoids isolated from bitter melon associated with activation of the AMPK pathway. Chem. Biol. 2008, 15, 263–273. [Google Scholar] [CrossRef] [PubMed]
- Chen, J.C.; Tian, R.R.; Qiu, M.H.; Lu, L.; Zheng, Y.T.; Zhang, Z.Q. Trinorcucurbitane and cucurbitane triterpenoids from the roots of Momordica charantia. Phytochemistry 2008, 69, 1043–1048. [Google Scholar] [CrossRef] [PubMed]
- Akihisa, T.; Higo, N.; Tokuda, H.; Ukiya, M.; Akazawa, H.; Tochigi, Y.; Kimura, Y.; Suzuki, T.; Nishino, H. Cucurbitane-type triterpenoids from the fruits of Momordica charantia and their cancer chemopreventive effects. J. Nat. Prod. 2007, 70, 1233–1239. [Google Scholar] [CrossRef] [PubMed]
- Nakamuran, S.; Murakami, S.; Nakamura, J. Structures of new cucurbitane-type triterpenes and glycosides, karavilagenins and karavilosides, from the dried fruit of Momordica charantia L. in Sri Lanka. Chem. Pharm. Bull. 2006, 54, 1545–1550. [Google Scholar] [CrossRef]
- Yoshikawa, M.; Yamaguchi, S.; Kunimi, K.; Matsuda, K.; Okuno, Y.; Yamahara, J.; Murakami, N. Stomachic principles in ginger. III. An anti-ulcer principle, 6-gingesulfonic acid, and three monoacyldigalactosylglycerols, gingerglycolipids A, B, and C, from Zingiberis Rhizoma originating in Taiwan. Chem. Pharm. Bull. 1994, 42, 1226–1230. [Google Scholar] [CrossRef] [PubMed]
- Chen, J.C.; Lu, L.; Zhang, X.M.; Zhou, L.; Li, Z.R.; Qiu, M.H. Eight new cucurbitane glycosides, kuguaglycosides A-H, from the root of Momordica charantia L. Helv. Chim. Acta. 2008, 91, 920–929. [Google Scholar] [CrossRef]
- Okabe, H.; Miyahara, Y.; Yamauchi, T. Structures of momordicine I, II and III. The bitter principles in the leaves and vines of Momordica charantia L. Chem. Pharm. Bull. 1982, 30, 4334–4340. [Google Scholar] [CrossRef]
- Li, Q.Y.; Chen, H.B.; Liu, Z.M.; Wang, B.; Zhao, Y.Y. Cucurbitane triterpenoids from Momordica charantia. Magn. Reson. Chem. 2007, 45, 451–456. [Google Scholar] [CrossRef] [PubMed]
- Okabe, H.; Miyahara, Y.; Yamauchi, T.; Mirahara, K.; Kawasaki, T. Studies on the constituents of Momordica charantia L. I. Isolation and characterization of momordicosides A ang B, glycosides of a pentahydroxy-cucurbitane triterpene. Chem. Pharm. Bull. 1980, 28, 2753–2762. [Google Scholar] [CrossRef]
- Yumi, Y.; Hikaru, O.; Tatsuo, Y. Studies on the constituents of Momordica charantia L. II. Isolation and characterization of minor seed glycosides, momordicosides C, D and E. Chem. Pharm. Bull. 1981, 29, 1561–1566. [Google Scholar]
- Toshiyuki, M.; Akihito, E.; Hisashi, M.; Yoshikawa, M. Structures of new cucurbitane-type triterpene glycosides, goyaglycosides-a,-b,-c,-d,-e,-f,-g,and -h, and new oleanane-type triterpene saponins, goyasaponins I, II, III, from the fresh fruit of Japanese Momordica charantia L. Chem. Pharm. Bull. 2001, 49, 54–63. [Google Scholar]
- Zhang, L.H.; Fan, C.L.; Zhang, X.T.; Yan, Z.Q.; Ye, W.C. A new steroidal glycoside from lygodium japonicum. J. China Pharm. Univ. 2006, 37, 491–493. [Google Scholar]
Sample Availability: Samples of the compounds are available from the authors. |
© 2009 by the authors; licensee Molecular Diversity Preservation International, Basel, Switzerland. This article is an open-access article distributed under the terms and conditions of the Creative Commons Attribution license (http://creativecommons.org/licenses/by/3.0/).




