Abstract
Several new acyclic ammonium-TFSI ionic liquids with an allyl substituent(s) were synthesized and their physicochemical and electrochemical properties were characterized. [AAMM]Am-TFSI (3) with two allyl groups showed the widest electrochemical stability window (5.9 V) among the ammonium-based ILs reported to date because of the increment of both the anodic and cathodic limits. The charge-discharge performance of a LiCoO2-based half-cell containing [AAMM]Am-TFSI as an electrolyte was better in cycleability (the capacity retention ratio: 99% after 20 cycles) than that of the cell with the corresponding partially saturated analogue, [AMMP]Am-TFSI (2) (the capacity retention ratio: 92% after 20 cycles).
1. Introduction
Ionic liquids (ILs) are salts that exist as liquid at low temperature although they are composed of ionic species, cations and anions. Owing to the ionic nature in bonding, they have unique properties such as high ionic conductivity, non-volatility, and non-flammability as well as a wide liquid range and wide electrochemical stability window [1]. Furthermore, the designability of ILs makes themselves an attractive alternative to the conventional organic electrolytes and solvent systems [2,3,4,5].
Recently, we have reported the physicochemical and electrochemical properties of several imidazolium-based ILs with unsaturated substituents [6,7]. Most of them exhibit a lower viscosity, higher ionic conductivity, and wider voltage window than their saturated analogues. However, the imidazolium-based ILs do not seem appropriate as lithium battery electrolytes because they are electrochemically unstable particularly under cathodic polarization, which is mainly due to the acidic proton at the C-2 position of the imidazolium ring. One way to improve the cathodic stability of ILs would be to change the cation from imidazoliums to ammoniums that have no acidic protons [8].
As part of our ongoing study, acyclic ammonium ions have been selected as cations with allyl substituents and the results are reported here [9]. The allylic substituent was expected to increase both the physicochemical properties and anodic stability of the target ILs as reported in our work [6,7]. We have also prepared the allyl-substituted acyclic ammoniums with an heteroatom substituent such as an oxygen that is known to enhance the physicochemical properties of the acyclic ammonium ILs [4,10].
2. Results and Discussion
2.1. Synthesis and characterization of products
The desired quaternary ammonium ILs were synthesized effectively according to the reported procedure [8], i.e., a quaternization reaction of commercially available allyldimethylamine followed by an anion metathesis (Scheme 1). The structures of products were confirmed by their 1H- and 13C-NMR spectra, and elemental analyses.
Scheme 1.
Preparation of allyl-substituted ammonium-TFSI ILs.
2.2. Thermal and physical properties
Table 1 shows the thermal and physicochemical properties of the ILs prepared in this work; melting point (Tm), crystallization point (Tc), decomposition temperature (Td), viscosity (η), and ionic conductivity (σ) (see Scheme 1 for their structures and abbreviations). The DSC chart of [AAMM]Am-TFSI (3) is also shown in Figure 1. All of the allyl-substituted ammonium-TFSI ILs in the present study are liquid at room temperature. The ILs with heteroatom-containing substituents are thermally less stable than their alkyl derivatives (entries 1-5 vs. 6-8), probably owing to the reactive nature of an acetal functionality. In particular, IL 8 with a sulfur-substituted substituent is noticeably less stable (entry 8). We have also measured the thermal stability of some ILs (2, 3 and 6) with a slower heating rate (5 oC min-1); 2 (281 oC), 3 (286 oC), and 6 (234 oC). Their Td values at the slower heating rate are decreased by about 8-34 oC compared to those measured with the higher rate (10 oC min-1) (entries 2, 3 and 6). However, all of the ILs in the present study are still more stable than conventional organic electrolytes such as ethylene carbonate and propylene carbonate.
Table 1.
Physicochemical properties of the ILs prepared.
Figure 1.
The DSC chart of [AAMM]Am-TFSI (3).
Regarding viscosity, the ILs with an additional allylic substituent show lower values than those of the corresponding saturated analogues (entries 2 vs. 3 and 4 vs. 5), probably due to the more or less planar structure of the allyl group. The similar trend was observed in previous reports [6,7,8]. When the methylene (CH2) group is replaced with an oxygen atom, the decrease in viscosity is significant (entries 2 vs. 6 and 4 vs. 7) as reported in the literature [4,10]. Concerning conductivity, IL 6 with the lowest viscosity (47 cP, entry 6) shows the highest ionic conductivity (3.9 mS cm-1) among the ILs prepared. On the contrary, the substitution with a sulfur atom results in an increase of the viscosity and the lowest conductivity is observed (entry 8). Introduction of an allyl group seems to have a certain positive effect on the conductivity of IL 3 as well (entries 2 vs. 3), whereas the decreased conductivity of IL 5 with a homoallyl group is shown compared to its saturated analogue IL 4 (entries 4 vs. 5). However, these ammonium-TFSI ILs still have the inferior physicochemical properties to those reported in the literature for [EM]Im-TFSI (34 cP, 9.2 mS cm-1) [10]. The ionic conductivities of some ILs, 2 (0.77 mS cm-1), 3 (1.1 mS cm-1) and 6 (1.5 mS cm-1), with 1.0 M LiTFSI are lower than those without the LiTFSI salt (entries 2, 3 and 6).
2.3. Electrochemical properties
Electrochemical stability of the ILs was determined by linear sweep voltammetry and the results are shown in Table 2. As expected, the cathodic stability of all the ammonium-based ILs is much improved compared to that of the reported imidazolium-based ILs [6,7]. To our excitement, IL 3 shows the highest anodic stability (3.4 V, entry 3), resulting in the widest electrochemical stability window of 5.9 V. The similar enhancement in anodic stability by an allylic substituent was observed with the imidazolium-BF4 ILs [6,7].
Table 2.
Electrochemical windows of the ILs prepared a.
Because similar anodic stability is to be expected for the ILs having the same anion [11], the additional allylic group should be responsible for its higher anodic limit. The reason for this is not clear at the present, but a certain type of stabilization seems at work. In the literature, allyl ethyl carbonate was claimed to form a good quality SEI (solid electrolyte interphase) film on a graphite negative electrode [12]. Although this allyl effect was not clearly shown with the cyclic ammonium-TFSI ILs, it was evident with the imidazolium-TFSI ILs [8]. The anodic limit of [AA]Im-TFSI was close to +3.0 V, whereas that of [AM]Im-TFSI was about +2.0 V (vs. Ag/Ag+). It seems also supported by the improved stability of IL 5, albeit small, at its anodic limit (entry 5).
We have also tested the electrochemical stability of the ILs together with a lithium salt to demonstrate the feasibility of their use as an electrolyte for lithium ion batteries (Table 3). Thus, both ILs 3 (entry 5) and 6 (entry 6) were measured with 1.0 M LiTFSI and their electrochemical windows were compared with commercially available carbonates (entry 1), [EM]Im-TFSI (entry 2), and their fully (entry 3) or partially saturated analogues (entry 4). These data are also presented in Figure 2.
Table 3.
Electrochemical stability windows of the ILs with 1.0 M LiTFSIa.
Figure 2.
Electrochemical stability windows of the ILs with 1.0 M LiTFSI.
It is apparent that the ammonium-based ILs show enhanced cathodic stability compared to [EM]Im-TFSI because of the absence of an acidic proton in the ammonium cations (entries 2 vs. 3-6). It is also interesting to note that the ammonium ILs with at least one allyl group show wider cathodic windows than their fully saturated analogue (entries 3 vs. 4-6). Although IL 3 with two allyl groups shows lesser cathodic stability than IL 2 with one allyl group, the enhancement of the anodic stability with IL 3 is remarkable, resulting in the widest electrochemical window among the ammonium-based ILs reported to date in the literature [10,13]. The similar behavior with the pyrrolidinium-based ILs was noted previously [8]. Thus, the allyl group could be a good alternative to a saturated alkyl group of ammonium-based ILs to increase the width of their electrochemical windows.
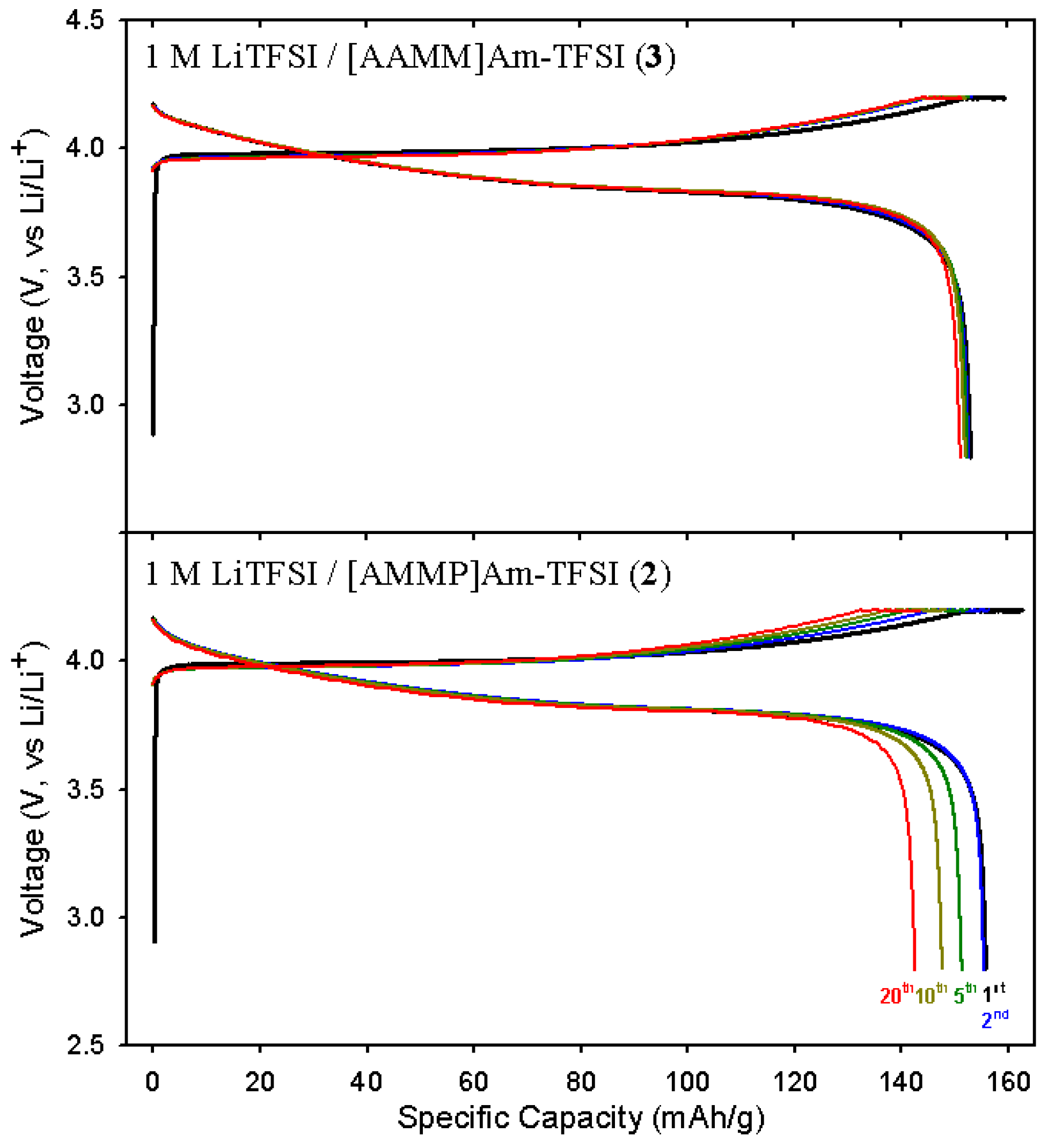
Among the ILs prepared in the present study, the cell performance of [AAMM]Am-TFSI with the improved electrochemical stability window was tested, and its charge/discharge voltage profile is compared to that of a partially saturated analogue, [AMMP]Am-TFSI, in Figure 3.
Figure 3.
The charge–discharge voltage profiles of Li/1.0 M LiTFSI in ILs/LiCoO2 cells.
The dependence of its discharge capacities upon the cycle number is shown in Figure 4, too. The data given in Figure 3 and Figure 4 indicate clearly that the two allyl groups have a positive effect enhancing the cycleability of the cell. [AAMM]Am-TFSI with two allyl groups showed a better cycleability after the 20th cycle than that of [AMMP]Am-TFSI containing one allyl group.
Figure 4.
Dependence of the discharge capacities of the cell with the ILs on the cycle number.
Compared to [AMMP]Am-TFSI (the discharge capacity: 143 mAh g-1, the capacity retention ratio: 92%), the discharge capacity of the half-cell using [AAMM]Am-TFSI as an electrolyte was highly maintained after 20 cycles (the discharge capacity: 151 mAh g-1, the capacity retention ratio: 99%). For the present, we suppose that a certain type of an SEI film on the electrodes formed by the allyl groups of [AAMM]Am-TFSI would contribute the positive effect on the cycling efficiency during the charge-discharge processes. An effort to obtain some definite proof for the formation of the SEI film on the electrodes is now under way.
3. Conclusions
Several new allyl-substituted ammonium-TFSI ILs were synthesized and characterized [14]. All of them were liquid at room temperature and stable up to 220 oC. Although the ether-containing ILs were thermally less stable, they showed much improved viscosity and conductivity. The sulfur-containing IL showed poor physical properties. The allyl-containing ammonium-based ILs 2, 3 and 6 prepared in the present study showed much enhanced cathodic stability compared to both the imidazolium-based ILs and the commercially used carbonates. It seemed that the presence of an allyl group(s) on the acyclic ammonium-based ILs had some positive effect on the electrochemical stability, as well as their physicochemical properties. Particularly, IL 3 with two allyl groups showed the widest electrochemical window (5.92 V) with 1.0 M LiTFSI among the ammonium-based ILs reported to date in the literature [10,13]. It also displayed an improved cycleability and the higher cycling efficiency, probably because of the increment in the anodic stability. Based on the above interesting results, we hope that the ILs with the enhanced cathodic and anodic stability would find many applications as an electrolyte in lithium secondary batteries and capacitors.
4. Experimental
4.1. General
1H- and 13C-NMR spectra were recorded with a JEOL JNM LA-300 spectrometer (300 MHz for 1H- NMR and 75 MHz for 13C-NMR) using DMSO as solvent. The 1H-NMR data are reported in ppm (δ) from the internal standard (TMS, 0.0 ppm) as follows: chemical shift (multiplicity, coupling constant in Hz, integration), and the 13C-NMR data in ppm (δ) from the internal standard (TMS, 0.0 ppm). Viscosity (η) was measured on a Brookfield DV-II+ cone/plate viscometer. Crystallization points (Tc) and melting points (Tm) were determined by using a TA Instruments Differential Scanning Calorimeter (DSC) Q1000 under a N2 atmosphere. Thermograms were acquired during heating from -50 oC to 100 oC scans at a heating rate of 10 oC min−1 after cooling to -50 oC scans at a cooling rate of 10 oC min−1. Thermal decomposition temperatures (Td) were determined by using SDT Q600 and Mettler TG 50 TA instruments. Heating rate and terminal temperature were set at 10 oC min−1 and 500 oC, respectively, unless stated otherwise. Thermal decomposition temperature was recorded at 1% weight loss temperature. Ionic conductivity (σ) was determined by the complex impedance measurements between symmetric platinum electrodes, using a CHI660A electrochemical workstation in the frequency range from 1 Hz to 100 kHz. The cell constant of the cell was 1.6 cm−1, determined with a 1.0 M KCl aqueous solution. Linear sweep voltammetry of neat state ILs was performed with a CHI660A electrochemical workstation for the electrochemical stability window measurement at a scan rate of 10 mV s−1 by using a glassy carbon electrode (7.07 × 10−2 cm2) as a working electrode. The working electrode was polished before every measurement. Platinum electrode was used as a counter electrode and silver wire as a quasi-reference electrode. The potential of silver wire reference was calibrated by a ferrocene redox couple. In this work, the cathodic and anodic limits were arbitrarily defined as the potentials at which the current density reached 1 mA cm−2 (without 1.0 M LiTFSI) or 0.1 mA cm−2 (with 1.0 M LiTFSI).
For the preparation of a LiCoO2-containing composite electrode, a slurry mixture of LiCoO2 powder, Super-P (as a carbon additive for conductivity enhancement) and poly(vinylidenefluoride) (PVdF, as a binder) (95:3:2 wt% ratio) was coated on a piece of an Al current collector, which was followed by drying at 120 oC. Coin-type half-cells were fabricated with the composite electrode, Li foil as a counter and reference electrode, and poly(propylene) as a separator. Galvanostatic discharge-charge cycling was made using a Toscat-3100 cycler and the charge-discharge tests on the cells were performed at 4.3-2.8 V of cut-off voltage. The current density is 0.1 C at 25 oC and the cells were fully charged and discharged by constant current/constant voltage (CCCV) and constant current (CC) modes, respectively.
4.2. General procedure for the preparation of acyclic ammonium halides
To a stirred solution of allyldimethylamine (100.0 mmol) in acetonitrile (80 mL) was added alkyl halide (120.0 mmol) dropwise at 0 oC. The reaction mixture was stirred for 24 h at 30 oC. Completion of the reaction was confirmed by 1H- and 13C-NMR spectra. Removal of the solvent under reduced pressure afforded crude tetraalkylammonium halide. The crude product was purified by salting out in a mixture of acetonitrile and ethyl acetate.
[AEMM]Am-Br: Quantitative yield; 1H-NMR δ 1.25 (t, J = 7.3, 3H), 2.98 (s, 6H), 3.33 (q, J = 7.3, 2H), 3.97 (d, J = 7.1, 2H), 5.62 (d, J = 9.0, 1H), 5.64 (d, J = 17.6, 1H), 5.98-6.12 (m, 1H); 13C-NMR δ 7.8, 49.0 (t, JC-N = 3.8), 58.5 (t, JC-N = 3.1), 64.5 (t, JC-N = 2.5), 126.0, 127.3.
[AMMP]Am-Br: Quantitative yield; 1H-NMR δ 0.89 (t, J = 7.3, 3H), 1.64-1.77 (m, 2H), 2.98 (s, 6H), 3.15-3.21 (m, 2H), 3.94 (d, J = 7.3, 2H), 5.62 (d, J = 14.5, 1H), 5.62 (d, J = 11.5, 1H), 5.98-6.12 (m, 1H); 13C-NMR δ 10.4, 15.2, 49.6 (t, JC-N = 3.7), 64.3, 65.1, 125.9, 127.3.
[AAMM]Am-Br: Quantitative yield; 1H-NMR δ 2.96 (s, 3H), 3.93 (d, J = 7.0, 2H), 5.63 (d, J = 15.2, 1H), 5.64 (d, J = 11.4, 1H), 6.00-6.14 (m, 1H); 13C-NMR δ 49.3 (br), 65.1, 125.9, 127.7.
[ABMM]Am-Br: Yield 80%; 1H-NMR δ 0.93 (t, J = 7.1, 3H), 1.30 (sext, J = 7.5, 2H), 1.62-1.72 (m, 2H), 2.99 (s, 6H), 3.20-3.26 (m, 2H), 3.96 (d, J = 7.1, 2H), 5.62 (d, J = 11.4, 1H), 5.63 (d, J = 15.6, 1H), 5.98-6.12 (m, 1H); 13C-NMR δ 13.4, 19.1, 23.5, 49.5 (t, JC-N = 3.8), 62.7 (t, JC-N = 2.5), 65.0 (t, JC-N = 2.5), 125.9, 127.3.
[A(Ha)MM]Am-Br: Yield 80%; 1H-NMR δ 2.47-2.55 (m, 2H), 3.02 (s, 6H), 3.29-3.35 (m, 2H), 3.98-4.01 (m, 2H), 5.15 (d, J = 10.2, 1H), 5.23 (d, J = 17.2, 1H), 5.63 (d, J = 10.2, 1H), 5.64 (d, J = 16.7, 1H), 5.68-5.82 (m, 1H), 6.00-6.14 (m, 1H); 13C-NMR δ 26.2, 49.6 (t, JC-N = 3.7), 61.6 (t, JC-N = 2.5), 65.2 (t, JC-N = 3.1), 118.2, 125.9, 127.4, 132.9.
[AMM(MOM)]Am-Cl: Quantitative yield; 1H-NMR δ 3.00 (s, 6H), 3.63 (s, 3H), 4.01 (d, J = 7.3, 2H), 4.71 (s, 2H), 5.61 (d, J = 9.2, 1H), 5.63 (dd, J = 17.8 and 1.1, 1H), 5.97-6.10 (m, 1H); 13C-NMR δ 46.3 (t, JC-N = 3.8), 60.7, 62.3, 91.1, 125.5, 127.5.
[A(EOM)MM]Am-Cl: Quantitative yield; 1H-NMR δ 1.21 (t, J = 7.1, 3H), 2.95 (s, 6H), 3.84 (q, J = 7.0, 2H), 3.94 (d, J = 7.3, 2H), 4.70 (s, 2H), 5.61 (d, J = 14.6, 1H), 5.62 (d, J = 11.7, 1H), 5.96-6.10 (m, 1H); 13C-NMR δ 15.0, 46.2, 62.2, 68.8, 89.7, 125.6, 127.5.
[AMM(MTM)]Am-Cl: Quantitative yield; 1H-NMR δ 2.49 (s, 3H), 3.15 (s, 6H), 4.17 (d, J = 7.1, 2H), 4.87 (s, 2H), 5.70 (d, J = 9.3, 1H), 5.72 (d, J = 18.3, 1H), 6.07-6.21 (m, 1H); 13C-NMR δ 18.0, 48.2, 64.3, 69.4, 125.9, 127.7.
4.3. General procedure for anion metathesis
To a solution of tetraalkylammonium halide (100.0 mmol) in distilled water (80 mL) was added lithium bis(trifluoromethanesulfonyl)imide (100.0 mmol). The reaction mixture was stirred for 24 h at 80 oC. After the reaction mixture was cooled to room temperature, distilled water (100 mL) was added to the mixture and the resulting mixture was extracted with dichloromethane (2 x 100 mL). The combined organic layers were washed with fresh distilled water (2 x 50 mL) and then dried over MgSO4. The crude organic solution was filtered through neutral aluminum oxide to remove any precipitated lithium salt and the yellowish color. The colorless solution was concentrated by removing the solvent under reduced pressure to afford the desired tetraalkylammonium bis(trifluoromethanesulfonyl)imide. The water content of the ILs prepared in the present study was less than 0.005 wt%, measured by Karl-Fischer titration.
Allyldimethylethylammonium bis(trifluoromethanesulfonyl)imide ([AEMM]Am-TFSI) (1): Yield 88%; 1H-NMR δ 1.25 (t, J = 7.3, 3H), 2.95 (s, 6H), 3.29 (q, J = 7.3, 2H), 3.91 (d, J = 7.1, 2H), 5.62 (d, J = 14.6, 1H), 5.62 (d, J = 11.9, 1H), 5.97-6.10 (m, 1H); 13C-NMR δ 7.6, 49.0 (t, JC-N = 4.3), 58.5 (t, JC-N = 2.5), 64.5 (t, JC-N = 2.5), 119.4 (q, JC-F = 319.5), 125.8, 127.3; Anal. calcd. for C9H16F6N2O4S2: C 27.4, H 4.1, N 7.1; found: C 27.5, H 4.2, N 7.1.
Allyldimethylpropylammonium bis(trifluoromethanesulfonyl)imide ([AMMP]Am-TFSI) (2): Yield 79%; 1H-NMR δ 0.89 (t, J = 7.3, 3H), 1.63-1.77 (m, 2H), 2.97 (s, 6H), 3.12-3.20 (m, 2H), 3.92 (d, J = 7.3, 2H), 5.61 (d, J = 16.1, 1H), 5.62 (d, J = 10.4, 1H), 5.97-6.11 (m, 1H); 13C-NMR δ 10.5, 15.3, 49.6 (t, JC-N = 3.7), 64.4 (t, JC-N = 2.5), 65.3 (t, JC-N = 2.5), 119.5 (q, JC-F = 319.5), 125.9, 127.4; Anal. calcd. for C10H18F6N2O4S2: C 29.4, H 4.4, N 6.9; found: C 29.3, H 4.5, N 6.8.
Diallyldimethylammonium bis(trifluoromethanesulfonyl)imide ([AAMM]Am-TFSI) (3): Yield 81%; 1H- NMR δ 2.95 (s, 3H), 3.91 (d, J = 7.3, 2H), 5.63 (d, J = 17.4, 1H), 5.64 (d, J = 10.1, 1H), 5.98-6.14 (m, 1H); 13C-NMR δ 49.2 (t, JC-N = 4.4), 65.1 (t, JC-N = 3.1), 119.4 (q, JC-F = 319.5), 125.7, 127.6; Anal. calcd. for C10H16F6N2O4S2: C 29.6, H 4.0, N 6.9; found: C 29.7, H 3.9, N 6.9.
Allylbutyldimethylammonium bis(trifluoromethanesulfonyl)imide ([ABMM]Am-TFSI) (4): Yield 55%; 1H-NMR δ 0.93 (t, J = 7.1, 3H), 1.30 (sext, J = 7.5, 2H), 1.61-1.72 (m, 2H), 2.97 (s, 6H), 3.18-3.23 (m, 2H), 3.92 (d, J = 7.3, 2H), 5.62 (d, J = 15.4, 1H), 5.62 (d, J = 11.6, 1H), 5.97-6.11 (m, 1H); 13C-NMR δ 13.5, 19.2, 23.6, 49.6 (t, JC-N = 4.3), 62.8 (t, JC-N = 2.5), 65.2 (t, JC-N = 3.1), 119.5 (q, JC-F = 319.6), 126.0, 127.4; Anal. calcd. for C11H20F6N2O4S2: C 31.3, H 4.8, N 6.6; found: C 31.3, H 4.6, N 6.6.
Allyldimethylhomoallylammonium bis(trifluoromethanesulfonyl)imide ([A(Ha)MM]Am-TFSI) (5): Yield 64%; 1H-NMR δ 2.47-2.54 (m, 2H), 3.00 (s, 6H), 3.26-3.30 (m, 2H), 3.96 (d, J = 7.1, 2H), 5.15 (dd, J = 10.2 and 1.5, 1H), 5.22 (dd, J = 17.2 and 1.4, 1H), 5.63 (d, J = 14.6, 1H), 5.63 (d, J = 11.6, 1H), 5.68-5.81 (m, 1H), 5.98-6.12 (m, 1H); 13C-NMR δ 26.2, 49.6 (t, JC-N = 3.8), 61.7 (t, JC-N = 3.1), 65.3 (t, JC-N = 2.5), 118.3, 119.4 (q, JC-F = 319.6), 125.8, 127.5, 132.8; Anal. calcd. for C11H18F6N2O4S2: C 31.4, H 4.3, N 6.7; found: C 31.6, H 4.6, N 6.9.
Allyldimethylmethoxymethylammonium bis(trifluoromethanesulfonyl)imide ([AMM(MOM)]Am-TFSI) (6): Yield 81%; 1H-NMR δ 2.92 (s, 6H), 3.61 (s, 3H), 3.89 (d, J = 7.3, 2H), 4.58 (s, 2H), 5.61 (d, J = 17.8, 1H), 5.63 (d, J = 9.2, 1H), 5.94-6.08 (m, 1H); 13C-NMR δ 46.3 (t, JC-N = 3.7), 60.7, 62.3, 91.1, 119.4 (q, JC-F = 319.5), 125.4, 127.6; Anal. calcd. for C9H16F6N2O5S2: C 26.3, H 3.9, N 6.8; found: C 26.5, H 3.9, N 6.9.
Allyldimethylethoxymethylammonium bis(trifluoromethanesulfonyl)imide ([A(EOM)MM]Am-TFSI) (7): Yield 72%; 1H-NMR δ 1.21 (t, J = 7.0, 3H), 2.91 (s, 6H), 3.83 (q, J = 7.1, 2H), 3.88 (d, J = 7.3, 2H), 4.62 (s, 2H), 5.61 (d, J = 17.6, 1H), 5.62 (d, J = 9.9, 1H), 5.95-6.08 (m, 1H); 13C-NMR δ 14.9, 46.2 (t, JC-N = 3.1), 62.3, 68.8, 89.7, 119.5 (q, JC-F = 319.6), 125.4, 127.5; Anal. calcd. for C10H18F6N2O5S2: C 28.3, H 4.3, N 6.6; found: C 27.9, H 4.4, N 6.9.
Allyldimethylmethylthiomethylammonium bis(trifluoromethanesulfonyl)imide ([AMM(MTM)]Am-TFSI) (8): Yield 74%; 1H-NMR δ 2.38 (s, 3H), 2.97 (s, 6H), 3.96 (d, J = 7.3, 2H), 4.63 (s, 2H), 5.61 (d, J = 16.8, 1H), 5.64 (d, J = 9.4, 1H), 5.97-6.10 (m, 1H); 13C-NMR δ 17.9, 48.3 (t, JC-N = 3.8), 64.5 (t, JC-N = 3.1), 69.6, 119.4 (q, JC-F = 319.5), 125.6, 127.7; Anal. calcd. for C9H16F6N2O4S3: C 25.4, H 3.8, N 6.6; found: C 25.2, H 4.0, N 6.7.
5. Acknowledgements
This work was supported by KOSEF through the Research Center for Energy Conversion and Storage, the BK 21 Program, Agency for Defense Development and Samsung Electronics Manufacturing Technology Team. The Korea Electronics Technology Institute (KETI) is also acknowledged for measurement of electrochemical properties of the ILs.
Abbreviations
[EM]Im: 1-ethyl-3-methylimidazolium; [AM]Im: 1-allyl-3-methyl-imidazolium; [AA]Im: 1,3-diallylimidazolium; [MMPP]Am: dimethyldipropylammonium
References and Notes
- Anthony, J.L.; Brennecke, J.F.; Holbrey, J.D.; Maginn, E.J.; Mantz, R.A.; Rogers, R.D.; Trulove, P.C.; Visser, A.E.; Welton, T. Ionic liquids in synthesis; Wasserscheid, P., Welton, T., Eds.; Wiley-VCH Verlag: Weinheim, Germany, 2003; Chapter 3; p. 11. [Google Scholar]
- Seki, S.; Ohno, Y.; Kobayashi, Y.; Miyashiro, H.; Usami, A.; Mita, Y.; Tokuda, H.; Watanabe, M.; Hayamizu, K.; Tsuzuki, S.; Hattori, M.; Terada, N. Imidazolium-based room temperature ionic liquid for lithium secondary batteries. J. Electrochem. Soc. 2007, 154, A173–A177. [Google Scholar] [CrossRef]
- Lee, J.S.; Quan, N.D.; Hwang, J.M.; Bae, J.Y.; Kim, H.; Cho, B.W.; Kim, H.S.; Lee, H. Ionic liquids containing an ester group as potential electrolytes. Electrochem. Commun. 2006, 8, 460–464. [Google Scholar] [CrossRef]
- Tsunashima, K.; Yonekawa, F.; Sugiya, M. A lithium battery electrolyte based on a room-temperature phosphonium ionic liquid. Chem. Lett. 2008, 37, 314–315. [Google Scholar] [CrossRef]
- Ishikawa, M.; Sugimoto, T.; Kikuta, M.; Ishiko, E.; Kono, M. Pure ionic liquid electrolytes compatible with a graphitized carbon negative electrode in rechargeable lithium-ion batteries. J. Power Sources 2006, 162, 658–662. [Google Scholar] [CrossRef]
- Min, G.H.; Yim, T.; Lee, H.Y.; Huh, D.H.; Lee, E.; Mun, J.; Oh, S.M.; Kim, Y.G. Synthesis and properties of ionic liquids: imidazolium tetrafluoroborates with unsaturated side chains. Bull. Korean Chem. Soc. 2006, 27, 847–852. [Google Scholar] [CrossRef]
- Min, G.H.; Yim, T.; Lee, H.Y.; Kim, H.J.; Mun, J.; Kim, S.; Oh, S.M.; Kim, Y.G. Synthesis and physicochemical properties of ionic liquids: 1-alkenyl-2,3-dimethylimidazolium tetrafluoroborates. Bull. Korean Chem. Soc. 2007, 28, 1562–1566. [Google Scholar]
- Yim, T.; Lee, H.Y.; Kim, H.J.; Mun, J.; Kim, S.; Oh, S.M.; Kim, Y.G. Synthesis and properties of pyrrolidinium and piperidinium bis(trifluoromethanesulfonyl)imide ionic liquids with allyl substituents. Bull. Korean Chem. Soc. 2007, 28, 1567–1572. [Google Scholar]
- Yim, T.; Choi, C.Y.; Mun, J.; Oh, S.M.; Kim, Y.G. Synthesis and properties of allyl-containing ammonium-type ionic liquids as secondary battery electrolytes. Presented in part at The 3rd Asian Conference on Electrochemical Power Sources, Seoul, Korea, November 10-14, 2008. Abst. No. IB-19. [Google Scholar]
- Matsumoto, H.; Yanagida, M.; Tanimoto, K.; Nomura, M.; Kitagawa, Y.; Miyazaki, Y. Highly conductive room temperature molten salts based on small trimethylalkylammonium cations and bis(trifluoromethylsulfonyl)imide. Chem. Lett. 2000, 29, 922–923. [Google Scholar] [CrossRef]
- Matsumoto, H. Electrochemical aspects of ionic liquids; Ohno, H., Ed.; Wiley-Interscience: Hoboken, NJ, USA, 2005; Chapter 4; p. 35. [Google Scholar]
- Lee, J.T.; Lin, Y.W.; Jan, Y.S. Allyl ethyl carbonate as an additive for lithium-ion battery electrolytes. J. Power Sources 2004, 132, 244–248. [Google Scholar] [CrossRef]
- Matsumoto, H.; Sakaebe, H.; Tatsumi, K. Preparation of room temperature ionic liquids based on aliphatic onium cations and asymmetric amide anions and their electrochemical properties as a lithium battery electrolyte. J. Power Sources 2005, 146, 45–50. [Google Scholar] [CrossRef]
- To the best of our knowledge, there are no literature precedents of the use of diallyldimethylammonium bis(trifluoromethanesulfonyl)imide ([AAMM]Am-TFSI, CAS No. 521942-10-9) as an electrolyte, although there have been several patents employing it as an additive for its antistatic or antimicrobial properties. There have been also some reports utilizing poly(diallyldimethylammonium bis(trifluoromethanesulfonyl)imide) as an electrolyte that consists of a cyclic N,N-dimethylpyrrolidinium structure instead of the acyclic diallyldimethylammonium ([AAMM]Am) structure. The N,N-dimethylpyrrolidinium structure is derived from polymerization of a bifunctional monomer of the diallyldimethylammonium cation. Diallyldimethylammonium chloride (CAS No. 7398-69-8) and poly(diallyldimethylammonium chloride) (CAS No. 26062-79-3) are commercially available. For example, see: Pappenfus, T.M.; Henderson, W.A.; Owens, B.B.; Mann, K.R.; Smyrl, W.H. Complexes of Lithium Imide Salts with Tetraglyme and Their Polyelectrolyte Composite Materials. J. Electrochem. Soc. 2004, 151, A209–A215. [Google Scholar]Pappenfus, T.M.; Mann, K.R.; Smyrl, W.H. Polyelectrolyte Composite Materials with LiPF6 and Tetraglyme. Electrochem. Solid-State Lett. 2004, 7, A254–A255. [Google Scholar] [CrossRef]
Sample Availability: All products reported in this paper are available from the authors. |
© 2009 by the authors; licensee Molecular Diversity Preservation International, Basel, Switzerland. This article is an open-access article distributed under the terms and conditions of the Creative Commons Attribution license (http://creativecommons.org/licenses/by/3.0/).




