Abstract
The first enantioselective syntheses of sulfur flavan-3-ol analogues 1–8 have been accomplished, whereby the oxygen atom of the pyran ring has been replaced by a sulfur atom. The key steps were: (a) Pd(0) catalyzed introduction of –S t-butyl group, (b) Sharpless enantioselective dihydroxylation of the alkene, (c) acid catalyzed ring closure to produce the thiopyran ring, and (d) removal of benzyl groups using N,N-dimethylaniline and AlCl3. The compounds were isolated in high chemical and optical purity.
1. Introduction
Oligomeric and polymeric proanthocyanidins are some of the most ubiquitous groups of all the plant phenolics [1] and their health benefits are well known. A large number of in vitro studies have characterized flavanols as powerful antioxidants capable of efficient scavenging of both reactive oxygen and reactive nitrogen species [2,3,4,5,6,7,8]. The mechanism of their action as radical scavengers involves the donation of a hydrogen atom and/or electron to stabilize the radical species [9]. Until recently, the ability of flavanols, and indeed other flavonoids, to act as classical H-donating antioxidants was believed to underlie many of their reported health benefits [10,11,12,13,14,15,16]. However, it is now clear that their ultimate antioxidant potential, and indeed their resulting potential in vivo bioactivity is dependent on the absorption, metabolism, distribution, reducing properties of the resulting metabolites, and excretion of these compounds within the body after ingestion. An understanding of the processes involved in the absorption and distribution of flavonoids is essential to determine their potential bioactivities in vivo and their overall significance in disease prevention [17]. The building blocks for most of these oligomeric and polymeric proanthocyanidins are the flavan-3-ols (+)-catechin and (-)-epicatechin, whose stereochemistry allows for a large array of structural possibilities [1]. In nature, (+)-catechin is widely distributed, whereas (-)-epicatechin, (-)-catechin, and (+)-epicatechin are much less abundant (Figure 1).
Figure 1.
Structures of catechin and epicatechin enantiomers.
Figure 1.
Structures of catechin and epicatechin enantiomers.

This structural diversity of polyphenols is a subject of interest because of their varied biological activities [18,19,20,21,22,23]. Included are an interesting group of sulfur conjugated flavan-3-ols that are derived from cysteine and cysteamine [24,25,26,27,28,29,30,31]. Replacement of oxygen with sulfur is particularly appealing because of the isovalent and isosteric relationship between sulfur and oxygen with minimal structural disruption and possibly impacting the activity and the metabolism of the molecule. Sulfur exists in a variety of oxidation states including -2, +4, and +6. The sulfur can undergo single oxidation to the sulfoxide or it may be further oxidized to sulfone. The replacement of oxygen in the pyran ring with sulfur might offer profound changes in the pharmacological action of the molecules. We are unaware of any reports which describe the occurrence of thiocatechins or its analogues, whereby the oxygen in the pyran ring is replaced with sulfur, although the synthesis of thioflavones and their methoxy derivatives have been described [31,32]. Wang et al. [33] also reported two novel sulfur containing flavanols isolated from the leaves of Glycosmis montana. Additionally, Lonano et al. [34] has reported that 4β-(S-cysteinyl)epicatechin-3-O-gallate has a free radical scavenging capacity as strong as that of (-)-epigallocatechin gallate and causes significant S-phase cell cycle arrest in certain cell lines at doses higher than 100 μM. The other cysteinyl compounds do not affect normal cell cycle distribution. The gallate derivatives also induce apoptosis in melanoma cells more strongly than the other derivatives and (-)-epicatechin. The gallate compound seems to trigger nuclear condensation and fragmentation, which was confirmed by DNA laddering. However, they do not induce apoptosis in keratinocytes (HaCaT).
In this report, we wish to describe the first syntheses of sulfur analogues for all four isomers and A-ring dideoxy analogues of naturally occurring catechin. These are 5,7-dideoxy-(+)-thiocatechin (1), 5,7-dideoxy-(-)-thioepicatechin (2), 5,7-dideoxy-(-)-thiocatechin (3), 5,7-dideoxy-(+)-thioepicatechin (4) and fully substituted analogues namely (+)-thiocatechin (5), (-)-thioepicatechin (6), (-)-thiocatechin (7), and (+)-thioepicatechin (8), as depicted in Figure 2.
Figure 2.
Structures of analogues of catechin and epicatechin enantiomers.
Figure 2.
Structures of analogues of catechin and epicatechin enantiomers.

2. Results and Discussion
Our aim was to initially develop a methodology for the synthesis of 1 to 4 and then apply the same methodology for the analogues 5 to 8. The retro-synthetic approach for the construction of 1 is depicted in Figure 3, which we envisioned as a direct approach. We contemplated the use of C as a starting material where enantio-selective α-hydroxylation of the 4-position ketone could be achieved via Davis methodology [35,36] or by converting the ketone in situ to a silyl enol ether followed by Sharpless asymmetric dihydroxylation [37]. Initially, we explored the methodology on a commercially available model compound, namely phenylthiochroman-3-one (R1=H). Thus, attempts to introduce the 3-position hydroxyl group to phenylthiochroman-3-one using Mn(OAc)3•2H2O either in benzene or toluene at reflux or in a mixture of benzene/glacial AcOH or CH2Cl2 with or without glacial AcOH resulted in a complex and inseparable mixture [38].
Figure 3.
Initial retrosynthetic approach.
Figure 3.
Initial retrosynthetic approach.

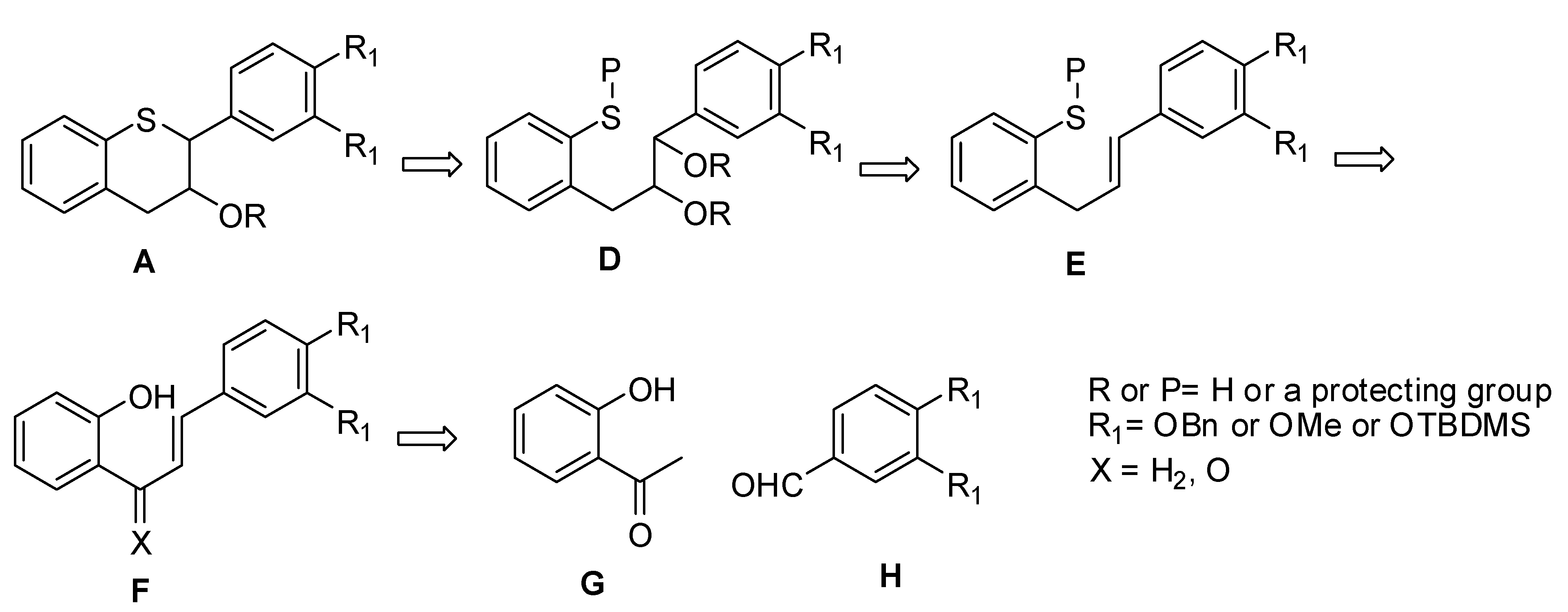
Alternatively, attempts to react phenylthiochroman-3-one with TMSCl or TBDMSCl in the presence of Et3N/DMAP in MTBE or Et3N/DMAP in CH2Cl2 at ambient temperature in situ followed by reaction under Sharpless asymmetric dihdyroxylation did not produce the desired compound. In all the attempts, the starting material was recovered. Having been unsuccessful in the direct approach for the construction of the desired compounds via the introduction of hydroxyl group α to the ketone, we modified our approach as depicted in Figure 4.
Figure 4.
Modified retrosynthetic approach.
Figure 4.
Modified retrosynthetic approach.

In Figure 4, the challenge resides in converting the phenolic group to a suitably protected thiol group, which could then be deprotected to form the desired intermediate A. An additional challenge would be to retain the stereochemistry at the benzylic 2-position under the deprotection conditions. The use of the benzyl group was chosen to protect the phenolic groups because of the ease of removal under mild conditions.
2.1. Synthesis of 16 and 17
In Scheme 1, the base catalyzed condensation between 2-hydroxyacetophenone 9 and 3,4-bis-(benzyloxy)benzaldehyde 10 furnished the chalcone 11 in quantitative yield via a Claisen-Schmidt reaction. Selective reduction of the keto group of 11 with NaBH4 and CeCl3•7H2O in a mixture of THF and water resulted in the desired compound 12 in low yield after chromatography [39]. Alternatively, when 11 was subjected to treatment with ethyl chloroformate in the presence of Et3N in THF at 0 °C, the corresponding ethyl carbamate intermediate was formed and reacted with NaBH4 in aqueous media after removal of the salts. After workup and purification, 12 was furnished in 66% yield [40].
Scheme 1.
Synthesis of 16 and 17.
Scheme 1.
Synthesis of 16 and 17.

The reaction of 12 with Tf2O in pyridine at ambient temperature yielded 13 in 76% yield after chromatography. The use of other bases such as Et3N, DMAP or DIPEA in THF or CH2Cl2 did not result in complete reaction. We envisioned the introduction of an –STIPS group [41] where the TIPS could be removed under mild acidic conditions or by nBu4NF to generate the thiol. Our attempts to effect Pd catalyzed coupling of TIPSSH with triflate 13 using Pd(PPh3) 4, Pd(OAc) 2, (R)-Tol-BINAP and TIPSH in the presence of a base (NaH or NaN(TMS)2) in toluene did not produce the desired compound and the starting material was recovered. Alternatively, the introduction of an –S t-butyl group was accomplished using the methodology reported by McWilliams et al. [42]. Under the conditions, triflate 13 was treated with NaSt-Bu or KSt-Bu (generated in situ by reacting HSt-Bu with NaHDMS or KHDMS at ambient temperature in the presence of Pd(OAc) 2, (R)-Tol-BINAP in toluene at 100 °C for 18h to produce 14 in 98% yield after chromatography. Attempts to replace Pd(OAc)2, (R)-Tol-BINAP with Pd(PPh3)4 under similar conditions did not produce the desired compound. Sharpless asymmetric dihydroxylation of 14 with AD-mix-α and CH3SO2NH2 in the presence of tBuOH, H2O and CH2Cl2 at 0 °C resulted in 15 in 86% yield [43]. Attempts to replace CH2Cl2 with acetone or toluene did produce 15 but in low yield and ee. Literature precedence and conversion of 15 to 16 established the stereochemical assignment of 15. The ee of 15 was 100% as determined by chiral HPLC. The dihydroxylation of 14 also furnished ~5% of a sulfoxide by product, which was easily removed by chromatography. Having the key intermediate 15, we focused our attention at the removal of the tert-butyl group followed by cyclization under acidic conditions. The treatment of 15 with excess TFA in CH2Cl2 at ambient temperature for 24 h resulted in a complex mixture. However, LCMS indicated the presence of only a trace of the desired compound. These results revealed product formation, but additional by products were also formed. LCMS showed that t-butylation of the oxygenated phenyl group was a side reaction which prompted the examination of cationic scavengers. Reacting 15 with TFA in CH2Cl2 in the presence of iPr3SiH or anisole as scavengers at 0 °C resulted in the formation of two non-polar major products as determined by HPLC. However, when the workup was performed at ambient temperature, multiple products were obtained probably the result of product decomposition. A modification was made in the reaction work up conditions where 15 was treated with TFA in CH2Cl2 at 0 °C for 24h. Under these modified conditions, the reaction was quenched with an equimolar amount of Et3N at 0 °C followed by the addition of cold water (<5 °C) before bringing the reaction mixture to ambient temperature for thin layer separation. The crude product was purified by chromatography producing 16 and 17 in 93:7 ratio, respectively. The enantiomeric excess of 16 and 17 were determined to be 96% and 100% respectively by chiral HPLC analysis. Compound 16 having trans-2,3-orientation was isolated as the major component along with the cis-isomer 17 as a minor product. The formation of 17 under these conditions suggested that the activated benzylic 2-position in the sequence could not maintain its stereochemical integrity, thus producing 17 as a minor diastereomer.
2.2. Proposed mechanism for the formation of 16 and 17
The proposed mechanism for the formation of 16 and 17 is outlined in Scheme 2. The benzylic carbocations generated in situ might form the epoxide which is followed by ring closure (Approach 1) in the presence of an acid. Alternatively, the attack of the sulfur atom to close the ring (Approach 2) followed by loss of the tert-butyl group as isobutene would lead to product formation. Thus, the carbocation generated at benzylic 2-position would lose its stereochemical integrity and thus form the minor isomer 17. Formation of both catechin and epicatehin derivatives is explicable in terms of the generation of an incipient benzylic 2-position carbocation via protonation of the benzylic alcohol functionality, and subsequent SN1 cyclization that leads to the predominant formation of the thermodynamically more stable trans-isomer along with the cis isomer. If the formation of the diastereomer occurs via carbocation scrambling, then the diastereomeric ratio would be 1:1. Note that other mechanisms are possible for the formation of the diastereomers. No kinetic studies were performed at this time to determine the stability of the benzylic 2-position carbocation. However, from the ratio of the major and minor isomer it was concluded that temperature might play an important role [44,45,46].
The use of other acids such as 6N HCl or CH3SO3H in either CH2Cl2 or THF in place of TFA at 0 °C were investigated and resulted in only < 50% conversion after 48 h.
Scheme 2.
Proposed mechanism of the cyclization of 15.
Scheme 2.
Proposed mechanism of the cyclization of 15.

2.3. Synthesis of 19 and 20
For the synthesis of 19 and 20 (Scheme 3), alkene 14 was reacted with AD-mix-b under Sharpless asymmetric dihydroxylation conditions giving 18 in 83% yield, and 100% ee.
Scheme 3.
Synthesis of 19 and 20.
Scheme 3.
Synthesis of 19 and 20.

Compound 18 has a similar NMR spectrum to 15 but opposite optical rotation. The presence of ~5% sulfoxide, which was efficiently removed by chromatography, was observed during the formation of 18. The treatment of 18 with TFA in CH2Cl2 at 0 °C resulted in the major 19 and a minor diasteromer 20 after chromatographic purification. The enantiomeric excess of 19 and 20 were found to be 99% and 99.5%, respectively.
2.4. Synthesis of 1, 2, 3, and 4
Once the synthesis of the penultimate intermediates 16, 17, 19, and 20 were accomplished, our attention was turned to optimizing the debenzylation conditions. The catalytic hydrogenation of 16 with 20% Pd/C or 10% Pd(OH)2/C in CH3OH, EtOAc or CH3OH/EtOAc (1/4, v/v) resulted in an incomplete reaction. Increasing catalyst loading, extending the reaction time (up to 72 h) or increasing the hydrogen pressure (up to 50 psi) did not change the course of the reaction. Use of Pd black along with 1,4-cyclohexadiene with or without the presence of a scavenger (N,N-dimethylaniline) or 5%Pd/Al2O3 at 15 psi H2 pressure in EtOAc/CH3OH (3/2, v/v) did result in an incomplete reaction. The reaction mixture consisted of debenzylated product, partially benzylated intermediates, and the starting material. The incomplete reaction was thought to be due to the poisoning of the catalyst in the presence of the sulfur atom in the molecule. A non-catalytic deprotection method using BCl3 with nBu4NI was not successful. Finally, compound 16 was treated with AlCl3 at 0 °C in the presence of N,N-dimethylaniline in CH2Cl2 to produce 1 in 54% yield after purification by preparative HPLC [47] (Scheme 4).
Scheme 4.
Debenzylation of 16.
Scheme 4.
Debenzylation of 16.

Under similar conditions, 17, 19, and 20 produced 2, 3, and 4 respectively in 50 to 64% yield. The ee of 1 to 4 were further determined by preparing their peracetylated derivatives. It was found that no loss in optical purity could be observed (≥98% ee) for these compounds during the deprotection and isolation stages of preparation. These isomers were found to have similar optical rotation when compared to natural catechin and epicatechin enantiomers.
2.5. Synthesis of 27 and 28
Encouraged by the successful synthesis of 1 to 4, we then pursued the synthesis of the sulfur catechin analogues and their epimers, 5 to 8. Our synthetic approach for these compounds is depicted in Scheme 5.
The base catalyzed condensation between 21 and 10 produced chalcone 22 via Claisen-Schmidt reaction in 92% yield, and >98% AUC purity. Attempts to reduce the conjugated ketone of 22 by ethyl chloroformate and NaBH4 either at 0 °C or at ambient temperature did not produce 23 and the starting material was recovered. Luche reduction of 22 at 0 to 5 °C resulted in 23 in 83% yield after chromatography. It was essential to perform the reaction at low temperature [39] to avoid the formation of the cyclic byproduct 29. Reaction of 23 with Tf2O in pyridine at ambient temperature produced triflate 24 in good yield after chromatography. The triflate 24 was subjected to Pd(OAc)2 and (R)-Tol-BINAP in the presence of t-BuSH and NaN(TMS)2 in toluene at 100 °C to give 25. The asymmetric dihydroxylation of 25 under Sharpless conditions using AD-mix-α along with methane sulfonamide in a mixture of tert-butanol, water and CH2Cl2 produced 26 in 86% yield. It was again observed that ~5% of corresponding sulfoxide was obtained, which was removed during purification by chromatography. When 26 was subjected to TFA in CH2Cl2 at 0–5 °C for 24 h, 27 and 28 were obtained as the major and minor diastereomers, respectively after chromatography in 96% ee.
Scheme 5.
Synthesis of 27 and 28 intermediates.
Scheme 5.
Synthesis of 27 and 28 intermediates.

2.6. Synthesis of 31 and 32
Having established the syntheses of 27 and 28 for 5 and 8, respectively alkene 25 was subjected to AD-mix-β along with methane sulfonamide in a mixture of tert-butanol, water and CH2Cl2 producing 30 in 83% yield (Scheme 6). The diol 30 has the same spectroscopic properties as 26 but opposite optical rotation.
Scheme 6.
Synthesis of intermediates 31 and 32.
Scheme 6.
Synthesis of intermediates 31 and 32.

The reaction of 30 with TFA in CH2Cl2 at 0–5 °C for 24 h resulted in the major and minor diastereomer 31 and 32 respectively after chromatography, and in >96% ee.
2.7. Synthesis of 5, 6, 7, and 8
The treatment of a cold solution of 27, 32, 31 and 28 in CH2Cl2 with an excess of AlCl3 in the presence of N,N-dimethylaniline as a scavenger resulted in 5, 6, 7, and 8, respectively after HPLC purification in 50 to 65% yield. A comparison of optical rotations of newly synthesized thiocatechin and thioepicatechin enantiomers (1 to 8) against naturally occurring catechin and epicatechin enantiomers are summarized in Table 1.
Table 1.
Optical rotations of the sulfur analogues of flavan-3-ols.
| Compounds | Optical rotations* |
|---|---|
| (+)-Catechin | + 56.6 |
| 5,7-Dideoxy-(+)-thiocatechin (1) | + 22.2 |
| (+)-Thiocatechin (5) | + 32.2 |
| (-)-Epicatechin | - 33.9 |
| 5,7-Dideoxy-(-)-thioepicatechin (2) | - 28.6 |
| (-)-Thioepicatechin (6) | - 28.9 |
| (-)-Catechin | - 34.8 |
| 5,7-Dideoxy-(-)-thiocatechin (3) | - 21.3 |
| (-)-Thiocatechin (7) | - 28.6 |
| (+)-Epicatechin | + 37.7 |
| 5,7-Dideoxy-(+)-thioepicatechin (4) | + 28.4 |
| (+)-Thioepicatechin (8) | + 29.7 |
* (c 1, acetone).
3. Experimental
3.1. General
All the solvents were purchased from Aldrich Chemical Company in Sure/Seal™ bottles and were used as received. 1H-NMR spectra were recorded on a 300 MHz Bruker whereas 13C-NMR spectra were recorded on a 75 MHz Bruker NMR and TMS was used as an internal standard. Specific rotations were determined for solutions by irradiating with the sodium D line (λ= 589 nm) using a Perkin Elmer 341 polarimeter: specific rotation, [α]D values are given in units 10-1deg•cm2g-1 where the concentration c is given in g/100 mL. The chemical purity (Method A) was determined by standard HPLC (containing a PDA detector) using a Phenomenex Synergi 4 μ Fusion-RP 80 Å (150 mm × 4.6 mm) column at wavelength of 280 nm, using a gradient of 5 to 90% of acetonitrile (containing 0.01% TFA) with water (containing 0.01% TFA) up to 20 min, the column temperature was 25 °C, and the flow rate was 1 mL/min. The enantiomeric purity (Method B) was determined by chiral HPLC equipped with a PDA detector using a Chiralpak AD-RH 5μ (150 mm × 4.6 mm) column. The solvent for isocratic programs was acetonitrile/water (65/35, v/v) containing 0.01% TFA, run time 40 min, detection wavelength was 210 nm, column temperature was 60 °C, and the flow rate was 1 mL/min.
(E)-3-(3’,4’-Bis(benzyloxy)phenyl)-1-(2-hydroxyphenyl)prop-2-en-1-one (11). To a suspension of NaH (60% dispersion in oil, 3.82 g, 95.48 mmol, 1.3 eq.) in dry DMF (100 mL) was slowly added 9 (10 g, 73.45 mmol, 1 eq.) keeping the internal temperature ≤ 2 °C throughout the addition. The resulting mixture was stirred at this temperature for 10 minutes. A solution of 10 (23.38 g, 73.45 mmol, 1 eq.) in DMF (100 mL) was added over a period of 20 minutes to the reaction mixture via an addition funnel keeping the internal temperature ≤ 2 °C. The resulting red brown solution was stirred at this temperature for an additional 30 minutes before stirring at RT for 4 hours. The reaction mixture was quenched with H2O (50 mL) and diluted with EtOAc (500 mL). The organic layer was separated, washed with H2O (50 mL), sat. NaHCO3 (2 × 50 mL), brine (100 mL), dried (Na2SO4), filtered and the solvent removed in vacuo to afford a yellow solid. The solid was triturated with heptane (100 mL) at RT for 1h and filtered. The solids were dried under high vacuum at RT for 18 h to produce 11 (33.3 g, 100%) as a yellow solid with 100% AUC purity. 1H-NMR (CDCl3) δ = 5.32 (s, 4H), 6.2 (dd, 2H, J = 2.2 and 19Hz), 6.9–7.1 (m, 4H, Ar), 7.2–7.6 (m, 9H, Ar), 7.8–8.0 (m, 4H, Ar); 13C-NMR (CDCl3) δ = 31.1, 37.2, 47.3, 51.5, 117.4, 118.2, 118.4, 126.3, 127.3, 127.4, 127.5, 127.8, 128.4, 128.7, 129.1, 129.3, 130.2, 131.7, 132.1, 137.4, 138.9, 139.9, 148.6, 149.9, 150.3, 181.6; MS (m/z): 437 (M++1); HRMS calcd for C29H24O4 [M+H] 437.1753, Found: 437.1748.
(E)-2-(3-(3’,4’-Bis(benzyloxy)phenyl)allylphenol (12). To a solution of 11 (12 g, 27.6 mmol, 1 eq.) in THF (100 mL) was added Et3N (5 mL, 35.8 mmol, 1.3 eq.) and the mixture cooled to 0 °C. Ethyl chloroformate (3.2 mL, 33 mmol, 1.2 eq.) was slowly added keeping the internal temperature at 0 °C. The resulting mixture was allowed to stir at 0 °C for 1.5 h and the progress of the reaction was monitored by TLC. The reaction mixture was suction filtered to remove the salts and the salts washed with THF (2 × 50 mL). The combined filtrate was added slowly to a cold solution of NaBH4 in water at 0 °C over 45 minutes. The resulting mixture was slowly warmed to room temperature and allowed to stir for 18h. The reaction mixture was acidified with 1N HCl (pH ~2 with a pH paper) and extracted with EtOAc (2 × 300 mL). The combined organic layers were dried (MgSO4), filtered and the solvent was removed in vacuo to afford an oil. The crude product was purified by silica gel chromatography (5–10% ethyl acetate in heptane) to afford 12 (7.7 g, 66%) as a colorless oil with 100% AUC purity. 1H-NMR (CDCl3) δ = 3.58 (d, 2H, J = 6.0 Hz), 5.2 (s, 4H), 6.1–6.25 (m, 1H), 6.33 (d, 1H, J = 8.4 Hz), 6.8–7.0 (m, 4H), 7.2–7.6 (m, 13H); 13C-NMR (CDCl3) δ = 34.0, 71.5, 71.9, 71.7, 77.5, 112.9, 115.3, 115.8, 115.9, 119.9, 120.8, 120.9, 125.8, 126.3, 127.3, 127.4, 127.8, 127.8, 127.8, 128.2, 128.5, 130.4, 131.4, 131.1, 131.4, 137.2, 148.6, 148.2, 154.1; MS (m/z) = 423.1 (M++1); HRMS calcd for C29H26O3 [M+H] 423.1962, Found: 423.1959
(E)-2-(3-(3’,4’-Bis(benzyloxy)phenyl)allyl)phenyl trifluoromethane sulfonate (13). To an ice cold solution (<5 °C) of 12 (4 g, 9.46 mmol, 1 eq.) in dry pyridine (40 mL) was slowly added Tf2O (3.22 g, 11.4 mmol, 1.2 eq.). The resulting mixture was allowed to warm to RT and allowed to stir for 18h. The reaction mixture was diluted with EtOAc (200 mL), washed with 1N HCl (4 × 100 mL), brine (100 mL), dried (Na2SO4), filtered and the solvent was removed in vacuo to give an oil. The oil was purified by silica gel chromatography (5-10% ethyl acetate in heptane) to give 13 (4 g, 76%) as a colorless oil with 100% AUC purity. 1H-NMR (CDCl3) δ = 3.6 (d, 2H, J = 6.3 Hz), 5.2 (s, 4H), 6.0–6.15 (m, 1H), 6.33 (d, 1H, J = 8.4 Hz), 6.8 (s, 2H), 7.0 (s, 1H), 7.2–7.6 (m, 14H); HRMS calcd for C30H25F3O5S [M+H] 555.1455, Found: 555.1451
(E)-2-(3-(3’,4’-Bis(benzyloxy)phenyl)allyl)phenyl-(tert-butyl)sulfane (14). To a degassed solution of 13 (8 g, 14.43 mmol, 1 eq.) in dry toluene (80 mL) was added Pd(OAc)2 (0.194 g, 0.866 mmol, 0.06 eq.) and (R)-Tol-BINAP (0.685 g, 1.01 mmol, 0.07 eq.) at RT. The resulting reaction mixture was degassed again for an additional 15 minutes at RT. In a separate flask, a solution of NaN(TMS)2 (0.6M solution in toluene, 33.7 mL, 202.2 mmol, 1.4 eq.) was added slowly to t-BuSH (2.3 mL, 2.2 mmol, 1.4 eq.) in dry toluene (10 mL) at RT and the mixture stirred at RT under N2 for 15 minutes. This solution was transferred under N2 to the above solution. The red colored solution was heated at 100 °C under N2 for 18h. The reaction mixture was diluted with H2O (100 mL) and EtOAc (100 mL). The organic layer was separated, washed with brine (50 mL), dried (Na2SO4), filtered and the solvent was removed in vacuo to give a red viscous oil. The oil was purified by silica gel chromatography (5% EtOAc in heptane) to afford 14 (6.98g, 98%) as a yellow viscous oil with 99.8% AUC purity. 1H-NMR (CDCl3) δ = 1.22 (s, 9H), 3.88 (d, 2H, J = 6.7 Hz), 5.12 (s, 4H), 6–6.2 (m, 1H), 6.3 (d, 1H, J = 6.7 Hz), 6.77 (s, 2H), 7.0 (s, 1H), 7.1–7.6 (m, 14H); 13C-NMR (CDCl3) δ = 31.2, 37.9, 47.2, 71.5, 112.1, 115.4, 119.9, 126.2, 127.3, 127.4, 127.7, 127.8, 127.9, 128.5, 128.6, 129.2, 129.9, 130.6, 131.7, 132.1, 137.4, 138.9, 143.8, 145.1, 146.4; MS (m/z) = 495 (M++1), 439.3 (M+-t-Bu); HRMS calcd for C33H34O2S [M+H] 495.2358, Found: 495.2353
(1S,2S)-1-(3’,4’-Bis(benzyloxy)phenyl)-3-(2-(tert-butylthio)phenyl)propane-1,2-diol (15). A suspension of AD-mix-α (18g) in tBuOH/H2O (60 mL, 1/1, v/v) was stirred at RT for 15 minutes until a clear yellow solution was obtained followed by the addition of a solution of 14 (3.6 g, 7.29 mol, 1 eq.) in CH2Cl2 (15 mL). The resulting reaction mixture was cooled to 0 ºC with stirring. Then, MeSO2NH2 (0.833 g, 8.76 mmol, 1.2 eq.) was added and the mixture stirred at this temperature for 24h. The reaction was quenched by the addition of 10% Na2S2O3 (50 mL) and then extracted with CH2Cl2 (2 × 100 mL). The combined organic layers were washed with H2O (2 × 50 mL), brine (1 × 75 mL), dried (Na2SO4), filtered, and the solvent removed in vacuo to afford the crude product. The crude product was purified by silica gel chromatography using 20% to 30% EtOAc/heptane to produce 15 (3.3g, 86%) as an oil with 100% AUC purity. [α]20 D = +34. 9 (c 1, acetone); 1H-NMR (CDCl3) δ = 1.15 (s, 9H), 2.21 (d, 1H, J = 4.45 Hz), 2.82 (dd, 1H, J = 9, 9.5 Hz), 2.88 (d, 1H, J = 4.5 Hz), 3.07 (dd, 1H, J = 4 Hz), 3.81-3.9 (m, 1H), 4.4 (dd, 1H, J = 3.4 Hz), 5.13 (s, 2H), 5.18 (s, 2H), 6.8 (s, 2H), 7.03 (s, 1H), 7.1–7.52 (m, 14H); 13C-NMR (CDCl3) δ = 30.9, 38.5, 47.6, 71.3, 71.5, 113.9, 115.1, 120.4, 126.6, 127.3, 127.5, 127.7, 127.9, 128.5, 129.1, 130.9, 132.4, 134.8, 137.3, 137.4, 139.1, 143.8, 148.8, 149.2; Optical purity = 100% ee. HRMS calcd for C33H36O4S [M+H] 529.2412, Found: 529.2338.
3’,4’-Bis(benzyloxy)-5,7-dideoxy-(+)-thiocatechin (16) and 3’,4’-Bis(benzyloxy)-5,7-dideoxy-(+)-thioepicatechin (17). To a cold solution of 15 (1.42 g, 2.7 mmol, 1 eq.) in CH2Cl2 (50 mL) was slowly added TFA (494 μL, 2.4 eq.). The resulting mixture was kept at 0 °C. The reaction was quenched by addition of Et3N (890 μL, 2.4 eq.) followed by cold H2O (15 mL). The organic layer was separated and washed with brine solution (15 mL), dried (Na2SO4), filtered, and the solvent removed in vacuo. The crude product was then purified by silica gel chromatography (10–30% EtOAc in heptane) to produce the desired major diastereomer 16 (830 mg, 68%) and the minor diastereomer 17 (60 mg, 4.9%).
3’,4’-Bis(benzyloxy)-5,7-dideoxy-(+)-thiocatechin (16). [α]20 D = +108.9 (c 1, acetone); 1H-NMR (CDCl3) δ = 1.98 (d, 2H, J = 4.8 Hz), 2.52 (dd, 1H, H4a, J = 8.4, 7.3 Hz), 3.08 (dd, 1H, H4b, J = 4, 3.9 Hz), 4.16–4.3 (m, 1H), 5.1 (s, 2H), 5.16 (s, 2H), 6.85–7.2 (m, 6H), 7.22–7.5 (m, 11H); 13C-NMR (CDCl3) δ = 36.6, 51.7, 56.4, 70.1, 71.3, 77.5, 115.2, 121.8, 124.6, 124.8, 127.3, 127.5, 127.9, 127.9, 128.5, 128.5, 130.5, 130.9, 131.2, 131.9, 132.7, 136.9, 137.5, 148.4, 149.2; Optical purity = 96% ee; Chemical purity = 100% (AUC); MS (m/z) = 455.1 (M++1), 437.2 (M+-OH), 345.3 (M+-OH-Bn); HRMS calcd for C29H26O3S [M+H] 455.1681, Found: 455.1677.
3’,4’-Bis(benzyloxy)-5,7-dideoxy-(+)-thioepicatechin (17). [α]20 D = +38.6 (c 1, Acetone); 1H NMR (300 MHz, CDCl3) δ = 2.2 (d, 1H, J = 9.4 Hz), 2.96 (dd, 1H, H4a, J = 5, 17 Hz), 3.1 (dd, 1H, H4b, J = 3.5, 17 Hz), 4.3–4.42 (m, 1H), 4.45 (d, 1H, J = 1.6 Hz), 5.12 (s, 2H), 5.14 (s, 2H), 6.85–7.2 (m, 6H), 7.28–7.5 (m, 11H); 13C NMR (75 MHz, CDCl3) δ = 37.9, 50.1, 66.4, 71.3, 76.6, 114.9, 115.6, 121.7, 124.8, 125.9, 126.8, 127.3, 127.5, 127.8, 128.5, 128.5, 130.1, 131.2, 131.4, 132.4, 137.1, 137.3, 148.9, 148.9; Optical purity = 100% ee; HPLC purity = 100% (AUC); MS (m/z) = 455.1 (M++1), 437.2 (M+-OH), 345.3 (M+-OH-Bn); HRMS calcd for C29H26O3S [M+H] 455.1681, Found: 455.1679.
(1R,2R)-1-(3’,4’-Bis(benzyloxy)phenyl)-3-(2-(tert-butylthio)phenyl)propane-1,2-diol (18). A suspension of AD-mix-β (18 g) in tBuOH/H2O (60 mL, 1/1, v/v) was stirred at RT for 15 minutes until a clear yellow solution was obtained. This was followed by the addition of a solution of 14 (3.6g, 7.29 mol, 1 eq.) in CH2Cl2 (15 mL). The resulting reaction mixture cooled to 0 °C with stirring. Then, MeSO2NH2 (0.833 g, 8.76 mmol, 1.2 eq.) was added and the mixture stirred at this temperature for 24 h. The reaction was quenched by the addition of 10% Na2S2O3 (50 mL) and then extracted with CH2Cl2 (2 × 100 mL). The combined organic layers were washed with H2O (2 × 50 mL), brine (1 × 75 mL), dried (Na2SO4), filtered, and the solvent removed in vacuo to afford the crude product. The crude product was purified by silica gel chromatography using 20% to 30% EtOAc/heptane to produce 18 (3.2g, 83%) as an oil with 99.8% AUC purity. [α]20 D = -34.3 (c 1, acetone); 1H-NMR (CDCl3) δ = 1.15 (s, 9H), 2.21 (d, 1H, J = 4.5 Hz), 2.82 (dd, 1H, J = 9, 9.5 Hz), 2.88 (d, 1H, J = 4.5 Hz), 3.07 (dd, 1H, J = 3.4, 4 Hz), 3.81-3.9 (m, 1H), 4.4 (dd, 1H, J = 3.4, 4 Hz), 5.13 (s, 2H), 5.18 (s, 2H), 6.8 (s, 2H), 7.03 (s, 1H), 7.1–7.52 (m, 14H); 13C-NMR (CDCl3) δ = 30.9, 38.6, 47.6, 71.4, 71.5, 113.9, 115.1, 120.3, 126.7, 127.3, 127.5, 127.8, 127.8, 128.5, 129.2, 130.9, 132.4, 134.8, 137.3, 137.4, 139.1, 143.8, 148.8, 149.2; Optical purity = 100% ee; HRMS calcd for C33H36O4S [M+H] 529.2412, Found: 529.2337.
3’,4’-Bis(benzyloxy)-5,7-dideoxy-(-)-thiocatechin (19) and 3’,4’-bis(benzyloxy)-5,7-dideoxy-(-)-thio-epicatechin (20). To a cold solution of 18 (1.6 g, 3.04 mmol, 1 eq.) in CH2Cl2 (60 mL) was slowly added TFA (617 μL, 3.0 eq.). The resulting mixture was kept at 0 °C. The reaction was quenched by addition of Et3N (1.1 mL, 2.4 eq.) followed by cold H2O (25 mL). The organic layer was separated and washed with brine solution (25 mL), dried (Na2SO4), filtered, and the solvent removed in vacuo. The crude product was then purified by silica gel chromatography (10–30% EtOAc in heptane) to produce the desired major diastereomer 19 (925 mg, 68%), and minor diastereomer 20 (72 mg, 4.8%).
3’,4’-Bis(benzyloxy)-5,7-dideoxy-(-)-thiocatechin (19). [α]20 D = -110.4 (c 1, acetone); 1H-NMR (CDCl3) δ = 1.98 (d, 1H, J = 4.3 Hz), 2.9 (dd, 1H, H4a, J = 8.3, 14.2, 17 Hz), 3.08 (dd, 1H, H4b, J = 4, 16.5 Hz), 4.15–4.32 (m, 2H), 5.12 (s, 2H), 5.16 (s, 2H), 6.8–7.15 (m, 6H), 7.2–7.5 (m, 11H); 13C-NMR (CDCl3) δ = 31.8, 51.6, 70.1, 71.3, 71.4, 77.2, 115.1, 115.3, 121.8, 124.5, 125.3, 126.8, 127.3, 127.5, 127.9, 127.9, 128.1, 128.5, 128.5, 130.5, 130.9, 131.9, 132.7, 136.9, 137.1, 148.1, 148.1; Optical purity = 99% ee; Chemical purity = 100% (AUC); MS (m/z) = 455.1 (M++1), 345.3 (M+-OH-Bn); HRMS calcd for C29H26O3S [M+H] 455.1681, Found: 455.1678.
3’,4’-Bis(benzyloxy)-5,7-dideoxy-(-)-thioepicatechin (20). [α]20 D = -74.2 (c 1, acetone); 1H-NMR (CDCl3) δ = 2.2 (d, 1H, J = 9.4Hz), 2.95 (dd, 1H, H4a, J = 5, 17 Hz), 3.1 (dd, 1H, H4b, J = 3.5, 17 Hz), 4.3-4.41 (m, 1H), 4.42 (d, 1H, J = 1.4 Hz), 5.1 (s, 2H), 5.12 (s, 2H), 6.8–7.2 (m, 6H), 7.28–7.5 (m, 11H); 13C-NMR (CDCl3) δ = 37.9, 50.1, 66.4, 71.3, 76.6, 114.9, 115.6, 121.7, 124.8, 125.9, 126.7, 127.2, 127.9, 127.8, 128.0, 128.5, 128.5, 130.1, 131.2, 131.4, 132.4, 137.1, 137.3, 148.9, 148.9; Optical purity = 99.5% ee; Chemical purity = 100% (AUC); MS (m/z) = 455.1 (M++1), 345.3 (M+-OH-Bn); HRMS calcd for C29H26O3S [M+H] 455.1681, Found: 455.1679.
5,7-Dideoxy-(+)-thiocatechin (1). To an ice cold solution of compound 16 (614 mg, 1.35 mmol, 1 eq.) in dry CH2Cl2 (50 mL) was added N,N-dimethylaniline (1.37 mL, 10.82 mol, 8 eq.) under N2. The solution was stirred at this temperature for ~10 minutes before AlCl3 (1.8 g, 13.52 mmol, 10 eq.) was added in one portion. The flask was covered with aluminum foil to protect it from light and stirred at ice bath temperature for 3h. EtOAc (100 mL) and silica gel (8.5 g) were added to the reaction mixture and stirred for 15 minutes. The reaction mixture was filtered through a pad of silica gel. The silica gel pad was washed with EtOAc (5 × 50 mL). The filtrates were combined and the solvent was removed in vacuo to ~5 mL of volume keeping the bath temperature < 25 °C. The crude mixture was diluted with purified water (50 mL), frozen and lyophilized to give the crude product. The crude product was further purified by preparative HPLC to give the desired compound 1 (180mg, 54%, 100% AUC) as an off-white solid. [α]20 D = + 22.2 (c 1, acetone); 1H-NMR (acetone-d6) δ = 2.9 (dd, 1H, J = 9, 16.1 Hz), 3.1 (dd, 1H, J = 4, 16.2 Hz), 4.1 – 4.35 (m, 2H), 6.7 (s, 2H, Ar), 6.9 (s, 1H, Ar), 6.92–7.2 (m, Ar, 4H), 7.4–8.3 (br s, 2H); 13C-NMR (acetone-d6) δ = 39.2, 52.7, 70.9, 116.0, 116.5, 121.3, 124.9, 125.7, 127.3, 130.9, 131.7, 134.3, 134.8, 145.6, 145.9; MS= 255.2 [M+-H2O-H, 100%]; HRMS calcd for C15H14O3S [M+H] 275.0742, Found: 275.0737.
5,7-Dideoxy-(-)-thioepicatechin (2). To an ice cold solution of compound 17 (790 mg, 1.74 mmol, 1 eq.) in dry CH2Cl2 (80 mL) was added N,N-dimethylaniline (1.76 mL, 13.92 mol, 8 eq.) under N2. The solution was stirred at this temperature for ~10 minutes before AlCl3 (2.32 g, 17.4 mmol, 10 eq.) was added in one portion. The flask was covered with aluminum foil to protect it from light and stirred at the ice bath temperature for 3h. EtOAc (50 mL) and silica gel (10 g) were added to the reaction mixture and stirred for 15 minutes. The reaction mixture was filtered through a pad of silica gel. The silica gel pad was washed with EtOAc (4 × 50 mL). The filtrates were combined and the solvent removed in vacuo to ~20 mL of volume keeping the bath temperature < 25 °C. The crude mixture was diluted with purified water (100 mL), cooled and lyophilized to give the crude product. The crude product was further purified by preparative HPLC to give the desired compound 2 (270 mg, 64%, 98.5% AUC) as an off-white solid. [α]20 D = -28.6 (c 1, acetone); 1H-NMR (acetone-d6) δ = 2.88 (dd, 1H, J = 5.9 and 16.7 Hz), 3.04 (d, 1H, J = 14.5 Hz), 4.25–4.4 (m, 2H), 6.5–7.2 (m, 7H, Ar), 7.4–8.3 (br s, 2H); 13C-NMR (acetone-d6) δ = 37.9, 49.3, 66.4, 114.5, 116.1, 120.5, 123.8, 124.9, 126.1, 130.7, 130.9, 131.1, 133.3, 144.3, 144.4; MS= 255.2 [M+-H2O-H, 100%]; HRMS calcd for C15H14O3S [M+H] 275.0742, Found: 275.0739.
5,7-Dideoxy-(-)-thiocatechin (3). To an ice cold solution of compound 19 (506 mg, 1.11 mmol, 1 eq.) in dry CH2Cl2 (40 mL) was added N, N-dimethylaniline (1.13 mL, 8.92 mol, 8 eq.) under N2. The solution was stirred at this temperature for ~10 minutes before AlCl3 (1.5 g, 11.14 mmol, 10 eq.) was added in one portion. The flask was covered with aluminum foil to protect it from light and stirred at the ice bath temperature for 2.5h. EtOAc (100 mL) and silica gel (8 g) were added to the reaction mixture and stirred for 15 minutes. The reaction mixture was filtered through a pad of silica gel. The silica gel pad was washed with EtOAc (3 × 50 mL). The filtrates were combined and the solvent was removed in vacuo to ~20 mL of volume keeping the bath temperature < 25 °C. The crude mixture was diluted with purified water (50 mL), cooled and lyophilized to give the crude product. The crude product was further purified by preparative HPLC to give the desired compound 3 (180 mg, 59%, 99% AUC) as an off-white solid. [α]20 D = -21.3 (c 1, acetone); 1H-NMR (acetone-d6) δ = 2.9 (dd, 1H, J = 9, 16.1 Hz), 3.1 (dd, 1H, J = 4, 16.2 Hz), 4.1–4.35 (m, 2H), 6.7 (s, 2H, Ar), 6.9 (s, 1H, Ar), 6.92-7.2 (m, Ar, 4H), 7.4–8.3 (br s, 2H); 13C-NMR (acetone-d6) δ = 39.2, 52.7, 70.9, 116.0, 116.5, 121.3, 124.9, 125.7, 127.3, 130.9, 131.7, 134.3, 134.8, 145.6, 145.9; MS = 255.2 [M+-H2O-H, 100%]; HRMS calcd for C15H14O3S [M+H] 275.0742, Found: 275.0735.
5,7-Dideoxy-(+)-thioepicatechin (4). To an ice cold solution of compound 20 (790 mg, 1.74 mmol, 1 eq.) in dry CH2Cl2 (80 mL) was added N, N-dimethylaniline (1.76 mL, 13.92 mol, 8 eq.) under N2. The solution was stirred at this temperature for ~10 minutes before AlCl3 (2.32 g, 17.4 mmol, 10 eq.) was added in one portion. The flask was covered with aluminum foil to protect it from light and stirred at the ice bath temperature for 3 h. EtOAc (50 mL) and silica gel (10 g) were added to the reaction mixture and stirred for 15 minutes. The reaction mixture was filtered through a pad of silica gel. The silica gel pad was washed with EtOAc (4 × 50 mL). The filtrates were combined and the solvent was removed in vacuo to ~20 mL of volume keeping the bath temperature < 25 °C. The crude mixture was diluted with purified water (100 mL), cooled and lyophilized to give the crude product. The crude product was further purified by preparative HPLC to give the desired compound 4 (270mg, 64%, 98.5% AUC) as an off-white solid. [α]20 D = +28.4 (c 1, acetone); 1H-NMR (acetone-d6) δ = 2.88 (dd, 1H, J = 5.9 and 16.7 Hz), 3.04 (d, 1H, J = 14.5 Hz), 4.25–4.4 (m, 2H), 6.5–7.2 (m, 7H, Ar), 7.4–8.3 (br s, 2H); 13C-NMR (acetone-d6) δ = 37.9, 49.3, 66.4, 114.5, 116.1, 120.5, 123.7, 124.9, 126.1, 130.7, 130.9, 131.1, 133.3, 144.3, 144.4; MS = 255.2 [M+-H2O-H, 100%]; HRMS calcd for C15H14O3S [M+H] 275.0742, Found: 275.0736.
(E)-1-(2,4-Bis(benzyloxy)-6-hydroxyphenyl)-3-(3’,4’-bis(benzyloxy)phenyl)prop-2-en-1-one (22). To a cold solution (<5 °C) of NaH (60% dispersion in oil, 0.69 g, 17.23 mmol, 1.2 eq.) in DMF (50 mL) was added 21 (5 g, 14.36 mmol, 1 eq.) keeping the internal temperature < 5 °C throughout the addition. The resulting mixture was allowed to stir at this temperature for 20 minutes before addition of a solution of 10 (4.57g, 14.36 mmol, 1 eq.) in DMF (75 mL) over 15 minutes. The resulting mixture was allowed to warm to RT and stirred for 16 h. A gel was obtained. Water (75 mL) and EtOAc (75 mL) were added with stirring whereupon a solid started to appear. Heptane (200 mL) was then added, the solids were suction filtered and washed with heptane (2 × 50 mL). The solids were dried under high vacuum at 40–45 °C for 24 h to produce 22 (8.6g, 92%) as a yellow solid with 100% AUC purity. 1H- NMR (CDCl3) δ = 4.93 (s, 2H), 5.06 (s, 2H), 5.09 (s, 2H), 5.2 (s, 2H), 6.2 (dd, 2H, J = 1.6 and 4.6 Hz), 6.6–6.8 (m, 2H), 6.9 (s, 1H), 7.2–7.42 (m, 25H), 7.71 (q, 2H, J = 15.5 Hz); 13C-NMR (CDCl3) δ = 70.3, 70.8, 70.9, 71.4, 96.2, 97.8, 105.8, 114.1, 114.9, 123.1, 125.3, 126.9 (2C), 127.3 (2C), 127.2 (2C), 127.6 (2C), 127.8, 127.9, 128.0, 128.3 (2C), 128.4, 128.5 (4C), 128.6 (2C), 136.2, 136.3, 136.8, 136.9, 142.8, 149.5, 149.6, 161.1, 164.7, 166.3, 191.5. Anal. calcd for C43H36O6, C 79.61, H 5.59 Found C 79.58, H 5.36.
(E)-3,5-Bis(benzyloxy)-2-(3’,4’-bis(benzyloxy)phenyl)allyl)phenol (23). To a solution of ethanol (236 mL) and THF (800 ml) was added CeCl3.7H2O (74 g, 198.0 mmol, 2.5 eq.) at room temperature and the mixture was stirred at this temperature until a clear solution was obtained. To this was added chalcone 22 (51.4 g, 79.23 mmol, 1 eq.) followed by THF (500 mL). The solution was stirred at room temperature for ~10 minutes and then cooled to −1.5 to −0.2 °C (internal temperature) with agitation. Solid NaBH4 (7.5 g, 197.37 mmol, 2.5 eq.) was added in portions over 0.5 h keeping the internal temperature ≤ 0.3 °C throughout the addition. The mixture was stirred at this temperature (−0.8 to −0.3 °C) for ~2.5 h. The reaction mixture was quenched with 5% aqueous citric acid (167 mL) followed by EtOAc (1.5 L). The mixture was stirred as the internal temperature rose to ~12 °C. The organic layer was separated and washed with H2O (2 × 1L, 1 × 800 mL), brine (1 × 500 mL), dried (Na2SO4), filtered and the solvent was removed in vacuo to give a semi solid. HPLC analysis of the crude product indicated 86% product and 14% by-product (AUC). The crude product was purified by silica gel chromatography using heptane/CH2Cl2/EtOAc (25/25/0.5, v/v/v) to give 23 (38g, 76%) as an-off white solid with 99.5% AUC purity. 1H-NMR (CDCl3) δ = 3.55 (d, J = 5.4 Hz, 2H), 4.94–5.08 (m, 5H), 5.12 (d, J = 4.4 Hz, 4H), 6.04–6.2 (m, 2H), 6.22–6.4 (m, 2H), 6.82 (s, 2H), 6.97 (d, J = 1.2 Hz, 1H), 7.18–7.5 (m, 20H); 13C-NMR (CDCl3) δ = 26.4, 70.2, 70.4, 71.5, 93.6, 95.3, 107.0, 112.9, 115.3, 119.9, 126.7, 127.3, 127.3, 127.4, 127.5, 127.8, 127.8, 127.9, 128.0, 128.5, 128.6, 128.5, 128.6, 130.9, 136.5, 137.3, 137.4, 146.6, 148.2, 155.8, 157.9, 158.8. Anal. calcd for C43H38O5, C 81.36, H 6.03, Found C 81.22, H 5.86.
(E)-3,5-Bis(benzyloxy)-2-(3’,4’-bis(benzyloxy)phenyl)allylphenyl trifluoromethane sulfonate (24). To an ice cold solution of 23 (6 g, 9.45 mmol, 1 eq.) in pyridine (35 mL) was slowly added Tf2O (1.75 mL, 10.4 mmol, 1.1 eq). The resulting mixture was allowed to warm to RT and stirred for 18h. The reaction mixture was concentrated in vacuo and the residue was dissolved in EtOAc (250 mL) and washed with 1N HCl (2 × 100 mL). The aqueous layer was back washed with EtOAc (100 mL). The organic layers were combined and washed with brine (2 × 75 mL), dried (Na2SO4), filtered and the solvent removed in vacuo to produce the crude product. The crude product was purified by silica gel chromatography (10–15% EtOAc in heptane) to produce the 24 (4.1 g, 82%) as an off-white solid with 100% AUC purity. 1H-NMR (CDCl3) δ = 3.55 (d, 2H, J = 6.4 Hz), 5.0 (s, 2H), 5.05 (s, 2H), 5.08 (s, 2H), 5.1 (s, 2H), 5.95–6.1 (m, 1H), 6.28 (d, 1H, J = 16 Hz), 6.5 (d, 1H, J = 2.3 Hz), 6.6 (d, 1H, J = 2.3 Hz), 6.7–6.86 (m, 2H), 6.9 (d, 1H, J = 1.8 Hz), 7.3–7.5 (m, 20H); 13C-NMR (CDCl3) δ = 70.7, 71.5, 77.4, 100.4, 115.3, 125.1, 127.3, 127.4, 127.5, 127.6, 128.19, 128.5, 125.7, 128.8. Anal. calcd for C44H37F3O7S, C 68.92, H 4.86, F 7.43 Found C 68.89, H 4.77, F 7.22.
(E)-(3,5-Bis(benzyloxy)-2-(3-(3’,4’-bis(benzyloxy)phenyl)allyl)phenyl) (tert-butyl)sulfane (25). To a degassed solution of triflate 24 (1.86 g, 2.4 mmol, 1 eq.) in toluene (50 mL) was added Pd(OAc)2 (33 mg, 0.14 mmol, 0.06 eq.) and (R)-Tol-BINAP (115 mg, 0.17 mmol, 0.07 eq.) at room temperature. The mixture was again degassed for an additional 15 minutes at room temperature. In a separate flask, KN(TMS)2 (0.5M solution in toluene, 7 mL, 3.4 mmol, 1.4 eq.) was added to t-BuSH (0.39 mL) followed by stirring the mixture at RT for 15 minutes before adding this solution to the mixture of triflate containing catalyst. The resulting reaction mixture was kept at 100–105 ºC (bath temperature) for 36 h. The reaction was quenched by adding H2O (50 mL) and extracted with EtOAc (2 × 100 mL). The combined organic layers were washed with H2O (50 mL), brine (50 mL), dried, (Na2SO4), filtered and the solvent removed in vacuo to give the crude product. The crude product was then purified by silica gel chromatography (20–40% CH2Cl2 in heptane) to afford 25 (1.25 g, 73%) as an off-white solid with 98.3% AUC purity; 1H-NMR (CDCl3) δ = 1.28 (s, 9H), 3.85 (d, 2H, J = 5.9 Hz), 4.98 (s, 2H), 5.01 (s, 2H), 5.06 (s, 2H), 5.12 (s, 2H), 6.05–6.25 (m, 2H), 6.6 (d, 1H, J = 2.4 Hz), 6.7–6.85 (m, 3H), 6.9 (d, 1H, J = 1.8 Hz), 7.2–7.5 (m, 20H); 13C-NMR (CDCl3) δ = 31.3, 31.6, 47.4, 70.3, 70.3, 71.5, 71.6, 77.5, 101.8, 112.7, 113.4, 115.5, 119.7, 127.1, 127.4, 127.5, 127.5, 127.7, 127.7, 127.9, 128.1, 128.4, 128.4, 128.5, 128.6, 129.6, 132.3, 133.8, 136.9, 137.5, 139.5, 148.1, 149.2, 156.1, 157.1; MS (m/z) = 707.1 (M++1), 651.2 (M+-tBu). Anal. calcd for C47H46O4S, C 79.85, H 6.56, Found C 79.64, H 6.49.
(1S,2S)-(3-(2,4-Bis(benzyloxy)-6-(tert-butylthio)phenyl)-1-(3’,4’-bis(benzyloxy)phenyl)propane-1,2-diol (26). To a solution of tBuOH/H2O (1/1, v/v, 100 mL) was added AD-mix-α (16.5 g) and the suspension was stirred at RT until a clear solution was obtained. The solution was then cooled to 0-5 ºC and a solution of 25 (3.3 g, 4.67 mmol) in CH2Cl2 (100 mL) was added in one portion followed by CH3SO2NH2 (0.533 g, 5.6 mol, 1.2 eq.). The resulting reaction mixture was stirred at this temperature for 24 h. After 24h and 30h, additional amounts of AD-mix-α (16.5 g) and CH3SO2NH2 (0.533 g, 5.6 mol, 1.2 eq.) were added respectively and the stirring was continued for an additional 24h at this temperature. HPLC analysis indicated the completion of the reaction. To the reaction mixture was added H2O (100 ml) and EtOAc (150 mL). The organic layer was separated and washed with 10% aqueous sodium metabisulfite (2 x 100 mL), H2O (100 mL), brine (50 mL), dried (Na2SO4), filtered and the solvent removed in vacuo to afford the crude product as an off-white solid. The solid was triturated with heptane (50 mL) at room temperature and filtered to give 26 (3.48 g, 100%) as an off-white solid with 97% AUC purity; [α]20 D = -17.4 (c 1, acetone); Optical purity = 95% ee; 1H-NMR (CDCl3) δ = 0.2 (s, 6H), 1.2 (s, 9H), 2.4 (d, 2H, J = 6 Hz), 3.1 (d, 2H, J = 6.05 Hz), 3.15 (s, 1H), 3.8–3.95 (m, 1H), 4.35 (d, 1H, J = 4.5 Hz), 4.96 (s, 2H), 5.0 (s, 2H), 5.05 (s, 2H), 6.65 (d, 1H, J = 2.4 Hz), 6.75–6.9 (m, 2H), 7.05 (d, 1H, J = 1.4 Hz), 7.25–7.5 (m, 20H); 13C-NMR (CDCl3) δ = 31.1, 41.9, 70.3, 70.8, 71.4, 71.6, 77.5, 102.1, 115.2, 116.1, 120.2, 125.2, 127.3, 127.4, 127.5, 127.5 127.7, 128.1, 128.2, 129.4, 128.4, 128.7, 128.8, 134.5, 135.3, 137.4, 149.1; MS (m/z) = 723.1 (M+-OH). Anal. calcd for C47H48O6S, C 76.19, H 6.53, Found C 75.98, H 6.44.
(1R,2R)-(3-(2,4-Bis(benzyloxy)-6-(tert-butylthio)phenyl)-1-(3’,4’-bis(benzyloxy)phenyl)propane-1,2-diol (30). To a solution of tBuOH/H2O (1/1, v/v, 90 mL) was added AD-mix-β (6.1 g) and the suspension was stirred at RT until a clear solution was obtained. The solution was then cooled to 0–5 ºC and a solution of 25 (1.22 g, 1.73 mmol) in CH2Cl2 (60 mL) was added in one portion followed by CH3SO2NH2 (0.197 g, 2.07 mol, 1.2 eq.). The resulting reaction mixture was stirred at this temperature for 24 h and the progress of the reaction monitored by HPLC. After 24 h and 30 h, additional amounts of AD-mix-α (6.1 g) and CH3SO2NH2 (0.197 g, 2.07 mol, 1.2 eq.) were added respectively and stirring continued for an additional 24h at this temperature. To the reaction mixture was added H2O (50 mL) and EtOAc (100 mL). The organic layer was separated and washed with 10% aqueous sodium metabisulfite (2 × 100 mL), H2O (50 mL), brine (50 mL), dried (Na2SO4), filtered and the solvent removed in vacuo to afford the crude product as an off-white solid. The solid was purified by silica gel chromatography (30% EtOAc in heptane) to give 30 (1.2 g, 98%) as an off-white solid with 99.4% AUC purity. [α]20 D = +16.4 (c 1, acetone); Optical purity =95% ee; 1H-NMR (CDCl3) δ = 0.2 (s, 6H), 1.2 (s, 9H), 2.4 (d, 1H, J = 6.2 Hz), 3.05 (d, 2H, J = 6.2 Hz), 3.15 (d, 1H, J = 3.1 Hz), 3.75–3.82 (m, 1H), 4.3–4.4 (m, 1H), 4.95 (s, 2H), 5.0 (s, 2H), 5.1 (s, 4H), 6.6 (d, 1H, J = 2.4 Hz), 6.7–6.85 (m, 2H), 7.0 (s, 1H), 7.15–7.5 (m, 20H); 13C-NMR (CDCl3) δ = 31.1, 41.9, 70.3, 70.8, 71.4, 71.6, 77.5, 102.1, 115.2, 116.1, 120.2, 125.2, 127.3, 127.4, 127.5, 127.5, 127.7, 128.1, 128.2, 129.4, 128.4, 128.7, 128.8, 134.5, 135.3, 137.4, 149.1; MS (m/z) = 723.1 (M+-OH). Anal. calcd for C47H48O6S, C 76.19, H 6.53, Found C 76.11, H 6.39.
5,7,3’,4’-Tetra-O-benzyl-(+)-thiocatechin (27) and 5,7,3’,4’-Tetra-O-benzyl-(+)-thioepicatechin (28). To a cold solution (0–5 °C) of 26 (3.46 g, 4.68 mmol, 1 eq.) in CH2Cl2 (150 mL) was added TFA (1.28 g, 11.22 mmol, 2.4 eq.). The mixture was kept at 0-5 °C for 24 hours. Upon consumption of the starting material, the reaction was quenched by addition of Et3N (1.5 mL) and cold H2O (50 mL). The organic layer was separated and washed with brine (50 mL), dried (Na2SO4), filtered and the solvent removed in vacuo. The crude product was then purified by silica gel chromatography (heptane/CH2Cl2/EtOAc, 25/25/1, v/v/v) to afford 27 (1.75 g, 57%), and 28 (440 mg, 14%).
5,7,3’,4’-Tetra-O-benzyl-(+)-thiocatechin (27). [α]20 D = +55.2 (c 1, CH2Cl2); Chemical purity = 97% (AUC); Optical purity = 96% ee; 1H-NMR (CDCl3) δ = 2.0 (d, 1H, J = 5.5 Hz), 2.7 (dd, 1H, J = 8.4, 17.2 Hz), 3.1 (dd, 1H, J = 4.5, 17.2 Hz), 4.1 (d, 1H, J = 8.5 Hz), 4.15-4.3 (m, 1H), 4.95 (s, 4H), 5.1 (s, 2H), 5.12 (s, 2H), 6.4 (s, 2H), 6.85–6.95 (m, 2H), 7.01 (d, 1H, J = 1.5 Hz), 7.2–7.5 (m, 20H); 13C-NMR (CDCl3) δ = 29.8, 31.9, 51.3, 70.0, 70.2, 70.3, 71.3, 71.4, 77.5, 97.4, 103.3, 113.8, 115.2, 115.4, 121.9, 127.3, 127.5, 127.6, 127,9, 127.9, 127.9, 128.1, 128.5, 128.5, 128.6, 128.6, 130.62, 133.9, 136.8, 136.8, 137.0, 137.2, 148.1, 149.2, 157.1, 158.1; MS (m/z) = 667.5 (M++1). Anal. calcd for C43H38O5S, C 77.45, H 5.74, S 4.81 Found C 77.36, H 5.59, S 4.62.
5,7,3’,4’-Tetra-O-benzyl-(+)-thioepicatechin (28). [α]20 D = +61.3 (c 1, CH2Cl2); Optical purity = 96.6% ee; Chemical purity = 100% (AUC); 1H-NMR (CDCl3) δ = 2.2 (d, 1H, J = 9.6 Hz), 2.9 (q, ABq, JA = 3.9, 4.1, 17.4 Hz, JB = 4.9, 5.3 Hz), 4.3–4.42 (m, 2H), 4.95 (s, 2H), 5.12 (s, 2H), 5.14 (s, 2H), 6.3 (s, 2H), 6.82 (d, 1H, J = 8.3 Hz), 6.98 (dd, 1H, J = 2, 8.3 Hz), 7.12 (d, 1H, J = 2 Hz), 7.2–7.5 (m, 20H); 13C-NMR (CDCl3) δ = 31.4, 31.9, 49.8, 66.4, 70.0, 70.3, 71.3, 71.4, 77.5, 97.7, 102.3, 112.3, 114.9, 115.65, 121.7, 127.2,. 127.3, 127.5, 127.6, 127.8, 127.9, 128.1, 128.5, 128.5, 128.6, 128.6, 131.4, 133.7, 136.8, 136.8, 137.2, 137.3, 148.4, 148.9, 158.1, 158.5; MS (m/z) = 667.5 (M++1). Anal. calcd for C43H38O5S, C 77.45, H 5.74, S 4.81 Found C 77.28, H 5.63, S 4.66.
5,7,3’,4’-Tetra-O-benzyl-(-)-thiocatechin (31) and 5,7,3’,4’-tetra-O-benzyl-(-)-thioepicatechin (32). To a cold solution (0–5 °C) of 30 (1.26 g, 1.62 mmol, 1 eq.) in CH2Cl2 (60 mL) was added TFA (300 μL, 3.89 mmol, 2.4 eq.). The mixture was kept at 0–5 °C. Upon consumption of the starting material, the reaction was quenched by addition of Et3N (515 μL) and cold H2O (25 mL). The organic layer was separated and washed with brine (25 mL), dried (Na2SO4), filtered and the solvent removed in vacuo. The crude product was then purified by silica gel chromatography (heptane/CH2Cl2/EtOAc, 1/1/0 to 25/25/1, v/v/v) to afford the desired compounds 31 (0.82 g, 76%), and 32 (170 mg, 16%).
5,7,3’,4’-Tetra-O-benzyl-(-)-thiocatechin (31). [α]20 D= -62.5 (c 1, CH2Cl2); Chemical purity = 98.6% (AUC); Optical purity = 96% ee; 1H-NMR (CDCl3) δ = 1.95 (d, 1H, J = 4.4 Hz), 2.7 (dd, 1H, J = 8.4, 17.2 Hz), 3.12 (dd, 1H, J = 4.5, 17.2 Hz), 4.15 (d, 1H, J = 8.5 Hz), 4.18–4.32 (m, 1H), 4.98 (s, 4H), 5.1 (s, 2H), 5.12 (s, 2H), 6.3 (s, 2H), 6.8–6.92 (m, 2H), 7.02 (d, 1H, J = 1.5 Hz), 7.2–7.5 (m, 20H); 13C-NMR (CDCl3) δ = 29.8, 51.3, 70.0, 70.2, 70.3, 71.3, 71.4, 77.5, 97.4, 102.3, 113.8, 115.4, 121.9, 127.3, 127.5, 127.6, 127.9, 127.9, 127.9, 128.1, 128.2, 128.5, 128.5, 128.6, 128.6, 129.1, 130.6, 133.9, 136.8, 136.9, 137., 137.2, 149.2, 149.2, 157.8, 159.0; MS (m/z) = 667.5 (M++1). Anal. calcd for C43H38O5S, C 77.45, H 5.74, S 4.81 Found C 77.41, H 5.66, S 4.78.
5,7,3’,4’-Tetra-O-benzyl-(-)-thioepicatechin (32). [α]20 D= -58.4 (c 1, CH2Cl2); Chemical purity = 100% (AUC); Optical purity = 97% ee; 1H-NMR (CDCl3) δ = 2.2 (d, 1H, J = 10.5 Hz), 2.9 (ABq, JA = 4, 17.7 Hz, JB = 5, 17.9 Hz), 4.3–4.42 (m, 2H), 4.92 (s, 4H), 5.06 (s, 2H), 5.09 (s, 2H), 6.36 (s, 2H), 6.86 (d, 1H, J = 8.3 Hz), 6.95 (dd, 1H, J = 2.1, 8.3 Hz), 7.12 (d, 1H, J = 2 Hz), 7.2–7.5 (m, 20H); 13C-NMR (CDCl3) δ= 29.8, 51.3, 70.0, 70.2, 70.3, 71.3, 71.4, 76.6, 97.4, 102.3, 113.8, 115.2, 115.4, 121.9, 127.3, 127.5, 127.6, 127.9, 127.9, 127.9, 128.1, 128.2, 128.5, 128.5, 128.6, 128.6, 129.1, 130.6, 133.9, 136.8, 136.8, 137.0, 137.2, 140.2, 140.2, 157.3, 158.0; MS (m/z) = 667.5 (M++1). Anal. Calcd for C43H38O5S, C 77.45, H 5.74, S 4.81 Found C 77.37, H 5.65, S 4.58.
(+)-Thiocatechin (5). To an ice cold solution of 27 (1.43 g, 2.15 mmol, 1 eq.) in dry CH2Cl2 (60 mL) was added N,N-dimethylaniline (1.63 mL, 12.88 mol, 8 eq.) under N2. The solution was stirred at this temperature for ~10 minutes before AlCl3 (2.29 g, 17.18 mmol, 10 eq.) was added in one portion. The flask was covered with aluminum foil to protect it from light and stirred at ice bath temperature for 2 h. EtOAc (50 mL) and silica gel (5 g) were added to the reaction mixture and stirred for 5 minutes. The reaction mixture was filtered through a pad of silica gel. The silica gel pad was washed with EtOAc (5 × 50 mL). The filtrates were combined and the solvent was removed in vacuo to ~10 mL of volume, keeping the bath temperature < 25 °C. The crude mixture was diluted with purified water (50 mL), cooled and lyophilized to give the crude product. The crude product was further purified by preparative HPLC to give 5 (380 mg, 57%) as an off-white solid in 99% AUC purity. [α]20 D = +32.2 (c 1, Acetone); 1H-NMR (acetone-d6) δ = 2.58 (dd, 1H, J = 8.3, 15.5 Hz), 3.18 (d, 1H, J = 16.3 Hz), 4.17 (d, 1H, J = 8.3 Hz), 4.32 (s, 1H), 6.08 (s, 1H), 6.2 (s, 1H), 6.8 (s, 2H), 6.92 (s, 1H); 13C-NMR (acetone-d6) δ = 32.3, 52.3, 71.1, 99.9, 103.6, 112.3, 116.0, 116.5, 121.4, 131.3, 135.7, 145.6, 145.8, 157.0; MS = 307.1 [M++H]; HRMS Calcd for C15H15O5S [M+H] 307.0642 Found 307.0644.
(-)-Thioepicatechin (6). To an ice cold solution of 32 (0.67 g, 1.01 mmol, 1 eq.) in dry CH2Cl2 (35 mL) was added N,N-dimethylaniline (1.02 mL, 8.05 mol, 8 eq.) under N2. The solution was stirred at this temperature for ~10 minutes before AlCl3 (1.37 g, 10.1 mmol, 10 eq.) was added in one portion. The flask was covered with aluminum foil to protect it from light and stirred at the ice bath temperature for 2 h. EtOAc (50 mL) and silica gel (5 g) were added to the reaction mixture and stirred for 5 minutes. The reaction mixture was filtered through a pad of silica gel. The silica gel pad was washed with EtOAc (3 × 50 mL). The filtrates were combined and the solvent was removed in vacuo to ~10 mL of volume keeping the bath temperature < 25 °C. The crude mixture was diluted with purified water (50 mL), cooled and lyophilized to give the crude product. The crude product was further purified by preparative HPLC to give 6 (100 mg, 57%) as an off-white solid in 99.8% AUC purity. [α]20 D= -28.9 (c 1, acetone); 1H-NMR (acetone-d6) δ = 2.7 (dd, 1H, J = 6.7, 17 Hz), 2.82 (dd, 1H, J = 4.1, 17 Hz), 4.32 (d, 1H, J = 2.3 Hz), 4.33–4.5 (br s, 1H), 6.16 (dd, 2H, J = 2.3, 11.8 Hz), 6.72 (d, 1H, J = 8 Hz), 6.82 (dd, 1H, J = 2.3, 11.8 Hz), 7.08 (d, 1H, J = 2 Hz), 7.7–8.3 (br s, 4H); 13C-NMR (acetone-d6) δ = 50.0, 68.0, 99.9, 104.1, 110.6, 115.5, 117.1, 121.7, 133.0, 135.2, 145.3, 145.4, 156.9, 157.5; MS = 307.1 [M++H]; HRMS Calcd for C15H15O5S [M+H] 307.0642 Found 307.0634.
(-)-Thiocatechin (7). To an ice cold solution of 31 (0.92 g, 1.38 mmol, 1 eq.) in dry CH2Cl2 (40 mL) was added N, N-dimethylaniline (1.08 mL, 8.5 mol, 6.2 eq.) under N2. The solution was stirred at this temperature for ~10 minutes before AlCl3 (1.51 g, 11 mmol, 8.2 eq.) was added in one portion. The flask was covered with aluminum foil to protect it from light and stirred at the ice bath temperature for 2 h. EtOAc (50 mL) and silica gel (5 g) were added to the reaction mixture and stirred for 5 minutes. The reaction mixture was filtered through a pad of silica gel. The silica gel pad was washed with EtOAc (3 × 50 mL). The filtrates were combined and the solvent was removed in vacuo to ~10 mL of volume keeping the bath temperature < 25 °C. The crude mixture was diluted with purified water (50 mL), cooled and lyophilized to give the crude product. The crude product was further purified by preparative HPLC to give 7 (205 mg, 56%) as an off-white solid in 99% AUC purity. [α]20 D= -28.6 (c 1, acetone); 1H-NMR (acetone-d6) δ = 2.58 (dd, 1H, J = 5.9, 16.7 Hz), 3.18 (dd, 1H, J = 4.7, 16.7 Hz), 3.8–3.96 (br s, 1H), 4.1 (d, 1H, J = 9 Hz), 4.16–4.3 (m, 1H), 6.12 (d, 1H, J = 2.2 Hz), 6.2 (d, 1H, J = 2.2 Hz), 6.72 (s, 2H, J = 0.8 Hz), 6.9 (s, 1H), 7.6–8.3 (br s, 4H); 13C-NMR (acetone-d6) δ = 32.4, 52.3, 71.1, 98.5, 103.5, 112.0, 115.9, 116.5, 121.4, 131.3, 135.8, 145.5, 145.8, 157.0; MS = 307.1 [M++H]; HRMS Calcd for C15H15O5S [M+H] 307.0642 Found 307.0633.
(+)-Thioepicatechin (8). To an ice cold solution of 28 (0.4 g, 0.6 mmol, 1 eq.) in dry CH2Cl2 (20 mL) was added N,N-dimethylaniline (0.6 mL, 4.81 mol, 8 eq.) under N2. The solution was stirred at this temperature for ~10 minutes before AlCl3 (0.8 g, 6.01 mmol, 10 eq.) was added in one portion. The flask was covered with aluminum foil to protect it from light and stirred at the ice bath temperature for 2 h. EtOAc (50 mL) and silica gel (5 g) were added to the reaction mixture and stirred for 5 minutes. The reaction mixture was filtered through a pad of silica gel. The silica gel pad was washed with EtOAc (3 × 50 mL). The filtrates were combined and the solvent was removed in vacuo to ~10 mL of volume keeping the bath temperature < 25 °C. The crude mixture was diluted with purified water (50 mL), cooled and lyophilized to give the crude product. The crude product was further purified by preparative HPLC to give 8 (124 mg, 52%) as an off-white solid in 100% AUC purity. [α]20 D= +29.7 (c 1, acetone); 1H-NMR (acetone-d6) δ = 2.7 (dd, 1H, J = 6.7, 17 Hz), 2.82 (dd, 1H, J = 4.1, 17 Hz), 4.32 (d, 1H, J = 2.3 Hz), 4.33-4.5 (br s, 1H), 6.16 (dd, 2H, J = 2.3, 11.8 Hz), 6.72 (d, 1H, J = 8 Hz), 6.82 (dd, 2H, J = 2.3, 11.8 Hz), 7.08 (d, 1H, J = 2 Hz), 7.7–8.3 (br s, 4H); 13C-NMR (acetone-d6) δ = 50.0, 68.0, 99.9, 104.1, 110.6, 115.5, 117.1, 121.7, 133.0, 135.2, 145.3, 145.4, 156.9, 157.5; MS = 307.1 [M++H]; HRMS Calcd for C15H15O5S [M+H] 307.0642 Found 307.0631.
4. Conclusions
In conclusion, the first enantioselective syntheses of sulfur analogues of naturally occurring flavan-3-ols were accomplished wherein the oxygen atom of the pyran ring has been replaced with a sulfur atom in a stereoselective fashion. The key steps involved were:the introduction of a –St-Bu group via Pd(0) chemistry, stereoselective dihydroxylation under Sharpless conditions, ring closure under acidic conditions via the formation of benzylic carbocation, and the removal of benzyl group using AlCl3 and N,N-dimethylaniline as a scavenger. The enantiomeric excess of the intermediates and the title compounds were determined by a chiral HPLC method. The methodologies developed here are quite modular and should permit the preparation of other analogues of flavan-3-ols and various combinations of A-type and B-type proanthocyanidins [48,49].
Acknowledgements
The authors thank Daniel J. Coughlin, Heather Taft of JMPM and Harold H. Schmitz of MARS Incorporated for their constant encouragement during the course of this work. We are grateful to the analytical department of Johnson Matthey for analytical method development and the analyses.
- Sample Availability: Contact the corresponding author.
References and Notes
- Ferreira, D.; Slade, D. Oligomeric proanthocyanidins: Naturally occuring O-hetrocycles. Nat. Prod. Rep. 2002, 19, 517–541. [Google Scholar] [CrossRef]
- Rice-Evans, C.A.; Miller, N.J.; Paganga, G. Structure-antioxidant activity relationships of flavonoids and phenolic acids. Free Radic. Boil. Med. 1996, 20, 933–956. [Google Scholar] [CrossRef]
- Rice-Evans, C.A. Plant polyphenols: Free radical scavengers or chain breaking antioxidants? Biochem. Soc. Symp. 1995, 61, 103–116. [Google Scholar]
- Rice-Evans, C.A.; Miller, N.J. Antioxidant activities of flavonoids as bioactive compounds of food. Biochem. Soc. Trans. 1996, 24, 790–795. [Google Scholar]
- Sekher, P.A.; Chan, T.S.; O’Brien, P.J.; Rice-Evans, C.A. Flavonoids B-ring chemistry and antioxidant activity: Fast reaction kinetics. Biochem. Biophys. Res. Commun. 2001, 282, 1161–1168. [Google Scholar] [CrossRef]
- Oldreive, C.; Zhao, K.; Paganga, G.; Halliwell, B.; Rice-Evans, C. Inhibition of nitrous acid-dependent tyrosine nitration and DNA base deamination by flavonoids and other phenolic compounds. Chem. Res. Toxicol. 1998, 11, 1574–1579. [Google Scholar] [CrossRef]
- Packer, L.; Rimbach, G.; Virgili, F. Antioxidant activity and biologic properties of procyanidin-rich extract from pine (Pinus maritime) bark, pycnogenol. Free Radic. Biol. Med. 1999, 27, 704–724. [Google Scholar]
- Rice-Evans, C. Plant Polyphenols: Free radical scavengers or chain breaking antioxidants? Biochem. Soc. Trans. 1996, 24, 103–116. [Google Scholar]
- Marles, M.A.S.; Ray, H.; Gruber, M.Y. New perspectives on proanthocyanidins biochemistry and molecular recognition. Phytochemistry 2003, 64, 367–383. [Google Scholar] [CrossRef]
- Hollman, P.C.; Hertog, M.G.; Katan, M.B. Role of dietary flavonoids in protection against cancer and coronary heart disease. Biochem. Soc. Trans. 1996, 24, 785–789. [Google Scholar]
- Hollman, P.C.; Katan, M.B. Absorption, metabolism, and health effects of dietary flavonoids in man. Biomed. Pharmacother. 1997, 51, 305–310. [Google Scholar] [CrossRef]
- Hollman, P.C.; Feskens, E.J.; Katan, M.B. Tea flavonols in cardiovascular disease and cancer epidemiology. Proc. Soc. Exp. Biol. Med. 1999, 220, 198–202. [Google Scholar]
- Arts, I.C.; Hollman, P.C.; Bueno de Mesquita, H.; Feskens, E.J.; Kromhout, D. Dietry catechins and epithelial cancer incidence: the Zutphen elderly study. Int. J. Cancer 2001, 92, 298–302. [Google Scholar] [CrossRef]
- Arts, I.C.; Hollman, P.C.; Feskens, E.J.; Bueno de Mesquita, H.; Kromhout, D. Catechin intake might explain the inverse relation between tea consumption and ischemic heart disease: The Zutphen Elderly Study. Am. J. Clin. Nutr. 2001, 74, 227–232. [Google Scholar]
- Hertog, M.G.; Feskens, E.J.; Hollman, P.C.; Katan, M.B.; Kromhout, D. Dietry antioxidant flavonoids and risk of coronary heart disease: The Zuptan Eldely Study. Lancet 1993, 342, 1007–1011. [Google Scholar] [CrossRef]
- Hertog, M.G.; Hollman, P.C. Potential health effects of the dietary flavonol quercertin. Eur. J. Clin. Nutr. 1996, 50, 63–71. [Google Scholar]
- Schroeter, H.; Heiss, C.; Blazer, J.; Kleinbongard, P.; Keen, C.L.; Hollenberg, N. (-)-Epicatechin mediates beneficial effects of flavanol-rich cocoa on vascular function in humans. Proc. Natl. Acad. Sci.USA 2006, 103, 1024–1029. [Google Scholar]
- Shahat, A.A.; Ismail, S.I.; Hammouda, F.M.; Azzam, S.A.; Lemiere, G.; De Bruyne, T.; De Swaet, S; Piteters, L.; Vlietinck, A. Anti-HIV activity of flavonoids and proanthocyanidins from Crataegus sinaica. Phytomedicine 1998, 5, 133–136. [Google Scholar] [CrossRef]
- Aviram, M.; Fuhrman, B. Polyphenolic flavonoids inhibit macrophage-mediated oxidation of LDL and attenuate atherogenesis. Artherosclerosis 1998, 137, S45–S50. [Google Scholar] [CrossRef]
- Yamakoshi, J.; Kataoka, S.; Koga, T.; Ariga, T. Proanthocyanidin-rich extract from grape seeds attenuates the development of aortic atherosclerosis in cholesterol-fed rabbits. Artherosclerosis 1999, 142, 139–149. [Google Scholar] [CrossRef]
- Saito, M.; Hosoyama, H.; Ariga, T.; Kataoka, S.; Yamaji, N. Antiulcer activity of grape seed extract and proanthocyanidins. J. Agric. Food. Chem. 1998, 46, 1460–1464. [Google Scholar] [CrossRef]
- Liviero, L.; Puglisis, P.P.; Morazzoni, P.; Bombardelli, E. Antimutagenic activity of procyanidins from Vitis vinifera. Fitoterapia 1994, 65, 203–209. [Google Scholar]
- Constable, A.; Varga, N.; Richoz, J.; Stadler, H. Antimutagenicity and catechin content of soluble instant teas. Mutagenesis 1996, 11, 189–194. [Google Scholar] [CrossRef]
- Torres, J.L.; Bobet, R. New flavanol derivatives from grape (Vitis vinifera) byproducts. antioxidant aminoethylthio−flavan-3-ol conjugates from a polymeric waste fraction used as a source of flavanols. J. Agric. Food Chem. 2001, 91, 4627–4634. [Google Scholar]
- Torres, J.L.; Lozano, C.; Julia, L.; Sanchez-Baeza, F.J.; Anglada, J.M.; Centeller, J.J.; Cascante, M. Cysteinyl-flavan-3-ol conjugates from grape procyanidins. Antioxidant and antiproliferative properties. Biol. Med. Chem. 2002, 10, 2497–2509. [Google Scholar] [CrossRef]
- Selga, A.; Sort, X.; Bobert, R.; Torres, J. Efficient one pot extraction and depolymerization of grape (Vitis vinifera) pomace procyanidins for the preparation of antioxidant thio-conjugates. J. Agric. Food Chem. 2004, 52, 467–473. [Google Scholar]
- Selga, A.; Torres, J.L. Efficient preparation of catechin thio conjugates by one step extraction/depolymerization of pine (Pinus pinaster) bark procyanidins. J. Agric. Food Chem. 2005, 53, 7760–7765. [Google Scholar] [CrossRef]
- Torres, J.L.; Lozano, C.; Maher, P. Conjugation of catechins with cysteine generates antioxidant compounds with enhanced neuroprotective activity. Phytochemistry (Tannins and Related Polyphenols Part I) 2005, 66, 2032–2037. [Google Scholar]
- Torres, J.L.; Lozano, C.; Maher, P. Paper 94 . In 5thTannin Conference at the 232nd ACS Meeting, San Francisco, CA, USA, 10-14 September 2006.
- Fuji, H.; Nakagawa, T.; Nishioka, H.; Sato, E.; Hirose, A.; Ueno, Y.; Sun, B.; Yokozawa, T.; Nonaka, G.-I. Preparation, characterization, and antioxidative effects of oligomeric proanthocyanidin−l-cysteine complexes. J. Agric. Food Chem. 2007, 55, 1525–1531. [Google Scholar]
- Konieczny, M.T.; Horowska, B.; Kunikowski, A.; Konopa, J.; Wierzba, K.; Yamada, Y. Asao, Synthesis and reactivity of 5,8-dihydroxythioflavanone derivatives. J. Org. Chem. 1999, 64, 359. [Google Scholar]
- Taylor, A.W.; Dean, D.K. A new synthesis of thioflavones. Tetrahedron Lett. 1988, 29, 1845–1848. [Google Scholar] [CrossRef]
- Wang, J.; He, H.; Shen, Y.; Hao, X. Sulfur –containing and dimeric flavanols from Glycosmis montana. Tetrahedron Lett. 2005, 46, 169–172. [Google Scholar] [CrossRef]
- Lonano, C.; Torres, J.L.; Julia, L.; Jimenez, A.; Centelles, J.J.; Cascante, M. Effect of new antioxidant cysteinyl-flavanol conjugates on skin cancer cell. FEBS Lett. 2005, 579, 4219–4225. [Google Scholar] [CrossRef]
- Davis, F.A.; Chen, B.-C. Asymmetric hydroxylation of enolates with N-sulfonyloxaziridines. Chem. Rev. 1992, 92, 919–934. [Google Scholar] [CrossRef]
- Coppola, G.M.; Schuster, H.F. a-Hydroxy Acids in Enantioselective Synthesis; Wiley-ACH: Weinheim, Germany, 1997. [Google Scholar]
- Hashiyama, T.; Morikawa, K.; Sharpless, K.B. Hydroxy ketones in high enantiomeric purity from asymmetric dihydroxylation of enol ethers. J. Org. Chem. 1992, 57, 5067–5068. [Google Scholar] [CrossRef]
- Demir, A.S.; Aksoy-Cam, H.; Camkerten, N.; Hanamci, H.; Doganel, F. Doganel, F. An efficient synthesis of (1S, 2R)-1-amino-2-indanol, a key intermediate of HIV protease inhibitor, Indinavir . Turk. J. Chem. 2000, 24, 141–146. [Google Scholar]
- Andre, L.G.; Luche, J.L. Lanthanoids in organic synthesis. 6. Reduction of.a-enones by sodium borohydride in the presence of lanthanoid chlorides: Synthetic and mechanistic aspects. J. Am. Chem. Soc. 1981, 103, 5454–5459. [Google Scholar] [CrossRef]
- Minami, N.; Kijima, S. Reduction of o-acylphenols through ethyl o-acylphenylcarbonates to o-alkylphenols with sodium borohydride. Chem. Pharm. Bull. 1979, 27, 1490–1494. [Google Scholar] [CrossRef]
- Hsung, R.P.; Jason R. Babcock J.R.; Chidsey, C.E.D; Sita, L.R. Thiophenol protecting groups for the palladium-catalyzed heck reaction: Efficient syntheses of conjugated arylthoils. Tetrahedron Lett. 1995, 36, 4525–4528. [Google Scholar] [CrossRef]
- McWillimams, J.C.; Fleitz, F.J.; Zheng, N.; Armstrong, J.D. Preparation of n-butyl-4-chlorophenyl sulfide. Org. Synth. 2002, 79, 43–51. [Google Scholar]
- Walsh, P.J.; Ho, P.T.; King, S.B.; Sharpless, K.B. Asymmetric dihydroxylation of olefins containing sulfur: Chemoselective oxidation of C-C double bonds in the presence of sulfides, 1,3-dithianes, and disulfides. Tetrahedron Lett. 1994, 35, 5129–5132. [Google Scholar] [CrossRef]
- Kiatgrajai, P.; Wellons, J.D.; Gollob, L.; White, J.D. Kinetics of epimerization of (+)-catechin and its rearrangement to catechinic acid. J. Org. Chem. 1982, 47, 2910–2912. [Google Scholar]
- Kiatgrajai, P.; Wellons, J.D.; Gollob, L.; White, J.D. Kinetics of polymerization of (+)-catechin with formaldehyde. J. Org. Chem. 1982, 47, 2913–1917. [Google Scholar]
- van Rensburg, H.; van Heerden, P.S.; Bezuidenhoudt, B.C.B.; Ferreira, D. Enantioselective synthesis of four catechin diastereromer derivatives. Tetrahedron Lett. 1997, 38, 3089–3092. [Google Scholar]
- Akiyama, T.; Hirofugi, H.; Ozaki, S. AlCl3-N, N-dimethylaniline: A new benzyl and allyl ether cleavage reagent. Terahedron Lett. 1991, 32, 1321–1324. [Google Scholar] [CrossRef]
- Tuckmantel, W.; Kozikowski, A.P.; Romanczyk, L.J., Jr. Studies in polyphenol chemistry and bioactivity. 1. Preparation of building blocks from (+)-catechin. procyanidin formation. Synthesis of the cancer cell growth inhibitor, 3-O-galloyl-(2R,3R)-epicatechin-4β,8-[3-O-galloyl-(2R,3R)-epicatechin]. J. Am. Chem. Soc. 1999, 121, 12073–12081. [Google Scholar]
- Sharma, P.K.; Kolchinski, A.; Shea, H.A.; Nair, J.J.; Gou, Y.; Romanczyk, L.J., Jr.; Schmitz, H.H. Scale-up syntheses of two naturally occurring procyanidins: (−)-Epicatechin-(4β,8)-(+)-catechin and (−)-epicatechin-3-O-galloyl-(4β,8)-(−)-epicatechin-3-O-gallate. Org. Proc. Res. Dev. 2007, 11, 422–430. [Google Scholar] [CrossRef]
© 2010 by the authors; licensee MDPI, Basel, Switzerland. This article is an Open Access article distributed under the terms and conditions of the Creative Commons Attribution license (http://creativecommons.org/licenses/by/3.0/).