Abstract
A series of novel mono-1,2,3-triazole and bis-1,2,3-triazole acyclonucleoside analogues of 9-(4-hydroxybutyl)guanine was prepared via copper(I)-catalyzed 1,3-dipolar cycloaddition of N-9 propargylpurine, N-1-propargylpyrimidines/as-triazine with the azido-pseudo-sugar 4-azidobutylacetate under solvent-free microwave conditions, followed by treatment with K2CO3/MeOH, or NH3/MeOH. All compounds studied in this work were screened for their antiviral activities [against human rhinovirus (HRV) and hepatitis C virus (HCV)] and antibacterial activities against a series of Gram positive and negative bacteria.
1. Introduction
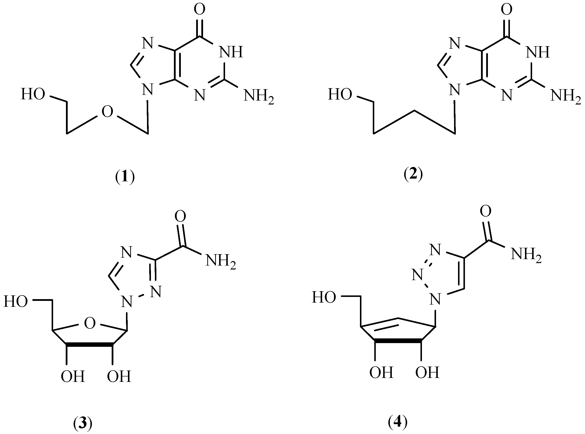
For several years, there has been an intensive search for drugs effective in chemotherapy of viral diseases like AIDS, herpes simplex, Hepatitis C and cytomegaloviruses [1,2,3,4,5]. Most of these drugs are analogues of naturally occurring nucleosides [6]. A series of nucleoside analogues were synthesised in which the cyclic carbohydrate moiety was replaced by an acyclic side chain [7,8,9,10,11,12]. The biological activities of acyclonucleosides, after the discovery of acyclovir [9-((2-hydroxyethoxy) methyl)guanine ACV (Zovirax)] (1, Figure 1), have led to the synthesis of a diversity of structures. Many variations were tested in order to enhance biological activity and selectivity, or to lower toxicity [13,14,15,16,17,18]. Among them HBG [9-(4-hydroxybutyl)guanine] (2, Figure 1) presented good activity against HSV-1 and HSV-2.
Figure 1.
Examples of drugs effective in chemotherapy.
Figure 1.
Examples of drugs effective in chemotherapy.

On the other hand, for antiviral agents, triazolonucleosides and acyclonucleosides have attracted much attention. Ribavirin (3, Figure 1), whose nucleobase consists of an unnatural triazole moiety, was the first synthetic nucleoside to show a broad spectrum of antiviral activities against many RNA and DNA viruses [19]. Furthermore, nucleosides with unnatural triazole nucleobases are generally resistant to nucleos(t)ide metabolizing enzymes, and this may lead to better in vivo stability and efficiency. Because of their broad application as pharmaceuticals like antibacterial or antiviral agents, a great number of 1,2,3-triazole derivatives have been reported as potent antiviral, antimicrobial or antiproliferative agents [20]. Also the synthesis and biological evaluation of carbonucleosides (substances in which the anomeric oxygen of the furanose ring is replaced by a methylene group), having a 1,2,3-triazole ring as a nucleobase (e.g., 4, Figure 1) have been reported. Until now, very few efforts were made on appending aromatic systems to triazole nucleosides. We expect that these extended aromatic systems may offer advantageous binding properties to the corresponding biological targets via larger aromatic systems.
2. Results and Discussion
Different synthetic methods have been developed for the construction of triazole frameworks. These compounds are typically prepared by thermal cycloaddition of azides and alkynes [21,22]. Two problems are, however, encountered in this transformation: (1) reactivity of the substrates, either alkynes or azides require activation by an electron withdrawing group, otherwise, the reaction must be carried out at higher temperatures; (2) the regioselectivity of the products, as for unsymmetrical alkynes, a mixture of regioisomers is obtained in most cases. Since Sharpless reported copper(I) catalysis for regioselective cycloaddition of terminal alkynes and azides to yield exclusively 1,4-disubstituted-1,2,3-triazoles, many groups have reported their results employing different kinds of Cu(I) salts as catalyst [23,24,25,26,27,28,29,30,31,32,33,34,35]. In addition, microwave irradiation has become a powerful synthetic tool for rapid synthesis of a variety of biologically active compounds. Its use to is to enhance the rates of classical organic reactions.
In the light of these findings and in continuation of our previous investigation [34], we considered the synthesis of new 1,2,3-triazole and bis-1,2,3-triazole acyclonucleosides. They carry either a purine, pyrimidine or as-triazine moiety as nucleobase appended to 1,2,3-triazole. They can be regarded as analogues of 9-(4-hydroxybutyl)guanine (HBG). We went further to combine nucleobase and triazole rings with an acyclic side-chain developed bistriazolyl acyclonucleosides, and determined their in vitro antiviral and antibacterial activities.
2.1. Chemistry
The starting material 4-azidobutylacetate (7) was prepared according to the literature [34,36] from 4-bromobutylacetate (6) and sodium azide at 90–95 °C for 4 h (Scheme 1).
Scheme 1.
Synthesis of the azidobutylacetate 7 from bromobutylacetate 6.
Scheme 1.
Synthesis of the azidobutylacetate 7 from bromobutylacetate 6.

The second step of the synthesis was the preparation of monopropargylated nucleobases. For this, uracil, thymine, 6-azauracil and adenine were used as starting materials that were treated with propargylbromide in the presence of K2CO3. All reactions were carried out in DMF, as it is an excellent solvent for dissolving nucleobases [34] (Scheme 2). The pyrimidine and as-triazine derivatives were exclusively alkylated at the N-1 position, (9a–c), and the purine in N-9 position, (9d) as confirmed by 1H-NMR and 13C-NMR spectra.
Scheme 2.
Preparation of mono-triazolo-carboacyclonucleosides 10a–d.
Scheme 2.
Preparation of mono-triazolo-carboacyclonucleosides 10a–d.

The terminal triple bonds of propargylated nucleobases were ligated to the azide residue of the pseudosugar using copper(I)-catalyzed 1,3-dipolar cycloaddition and Et3N under microwave-assisted reaction without solvent [34] (Scheme 2) leading to the 1,4-disubstituted regioisomer in a quantitative yield unlike before [22] and a reaction time of one minute (Table 1). We intimately mixed the azide, acetylenic derivative and copper(I)-iodide prior to microwave irradiation. This fast and efficient method was in all tested cases superior in yield and handling to running the reaction in solution [34].
Table 1.
Structures of the starting azides, alkynes and corresponding products.
| Entry | Azide | Alkyne | Reaction time | Product a | Yields(% b) |
|---|---|---|---|---|---|
| 10a | ![]() | ![]() | 1 min | | 91 |
| 10b | ![]() | ![]() | 1 min | ![]() | 92 |
| 10c | ![]() | ![]() | 1 min | | 90 |
| 10d | ![]() | ![]() | 1 min | ![]() | 89 |
| 12a | ![]() | ![]() | 1 min | ![]() | 90 |
| 12b | ![]() | ![]() | 1 min | ![]() | 92 |
| 12c | ![]() | ![]() | 1 min | ![]() | 91 |
a All products were characterized by 1H-NMR, 13C-NMR, and mass spectrometry; b Yields of isolated products after deacetylation.
A common feature of many acyclic nucleoside analogues showing biological activity, including HBG, is the presence of a primary alcoholic group. This function and the nucleic acid base are essential for their biological activity. For this purpose the deprotected products were obtained in good yields by treatment with NH3/methanol or K2CO3/methanol.
To extend the general applicability of the microwave assisted click reaction for the synthesis of triazole acyclonucleosides we included other alkinyl derivatives, as outlined in Scheme 2. Analogously to the preparation of N-1-propargylated pyrimidines/as-triazine, the N-1, N-3-bis-propargylated pyrimidines/as-triazines were prepared from N-1-propargylated uracil, thymine and 6-azauracil (Scheme 3), (Yields 80–85%). The bis-propargylated pyrimidines/as-triazines were converted into the bis-triazole acyclonucleosides using the same reaction conditions in an almost quantitative yield (Table 1).
Scheme 3.
Preparation of bis-triazolo-carboacyclonucleosides 12a–c.
Scheme 3.
Preparation of bis-triazolo-carboacyclonucleosides 12a–c.

The structure of all compounds was confirmed on the basis of 1H-, 13C-NMR spectra and mass spectra. Formation of 1,4-disubstituted triazoles was unequivocally established by the characteristic chemical shift values of the triazolyl proton (5-CH) at δ = 7.91–8.10 ppm. The triazole ring formation can also be identified from the 13C-spectra with the new signals of the olefinic C-atoms of the 1,2,3-triazole moiety at (δ (C5) = 122.94–123.39 ppm) and (δ(C4) =141.48–145.44 ppm).
2.2. Biological Results
2.2.1. Antibacterial Activity
The antibacterial activity of all the synthesized compounds 10a–d and 12a–c were examined against different Gram-positive Staphylococcus aureus (ATCC 13709 in vivo, ATCC 25923, oxford and MRSA in vivo), Enterococcus faecalis (ATCC 29212 VanS), Enterococcus faecium (VanA), Streptococcus pneumoniae (VanA, ATCC49619, PenR and Blood effect), and Gram-negative Haemophilus influenzae (ATCC 31517 MMSA), Escherichia coli (ATCC 25922) Pseudomonas aeruginosa (ATCC 27853). We measured the minimum inhibitory concentration (MIC) values, which are defined as the lowest concentration of an antimicrobial that visibly inhibits the growth of the bacteria after an overnight incubation [37]. Ciprofloxacin and linezolid were used as standard drugs for comparison (Table 2). As shown in Table 2, no antibacterial activities against Gram-positive and Gram-negative bacteria were noted. All compounds showed antibacterial activity with a range of the MICs higher than 64 µg/mL.
Table 2.
Minimum inhibitory concentration (MIC) in μg/mL of medium.
| Strains | Phenotype | Cipro | Lin | 10a | 10b | 10c | 10d | 12a | 12b | 12c | ||
|---|---|---|---|---|---|---|---|---|---|---|---|---|
| 1 | S. aureus | Sa1 | ATCC13709 in vivo | 0.12 | 1 | >64 | >64 | >64 | >64 | >64 | >64 | >64 |
| 2 | Sa26 | ATCC25923 | 0.25 | 1 | >64 | >64 | >64 | >64 | >64 | >64 | >64 | |
| 3 | Sa26 + 10% Human serum | Serum effect | 0.25 | 1 | >64 | >64 | >64 | >64 | >64 | >64 | >64 | |
| 4 | Sa26 + 50% Human serum | Serum effect | 0.5 | 2 | >64 | >64 | >64 | >64 | >64 | >64 | >64 | |
| 5 | Sa4 | Oxford | 0.12 | 1 | >64 | >64 | >64 | >64 | >64 | >64 | >64 | |
| 6 | Sa2 | MRSA, in vivo | 8 | 1 | >64 | >64 | >64 | >64 | >64 | >64 | >64 | |
| 7 | E. faecalis | Ecalis1 | ATCC29212 VanS | 0,5 | 2 | >64 | >64 | >64 | >64 | >64 | >64 | >64 |
| 8 | E. faecium | Ecium1 | VanA | 16 | 0.5 | >64 | >64 | >64 | >64 | >64 | >64 | >64 |
| 9 | S. pneumoniae | Pn1 | ATCC49619 | 1 | 1 | >64 | >64 | >64 | >64 | >64 | >64 | >64 |
| 10 | Pn9 | PenR | 0.5 | 0.5 | >64 | >64 | >64 | >64 | >64 | >64 | >64 | |
| 11 | Pn9+2.5% blood | Blood effect | 0.5 | 0.25 | >64 | >64 | >64 | >64 | >64 | >64 | >64 | |
| 12 | H. influenzae | Hi3 | ATCC 31517 MMSA | ≤0.03 | 16 | >64 | >64 | >64 | >64 | >64 | >64 | >64 |
| 14 | E. coli | Ec1 | ATCC25922 | ≤0.03 | >32 | >64 | >64 | >64 | >64 | >64 | >64 | >64 |
| 16 | P. aeruginosa | Pa1 | ATCC 27853 | 0,25 | >32 | >64 | >64 | >64 | >64 | >64 | >64 | >64 |
Cipro: Ciprofloxacin; Lin: Linezolid.
3. Experimental
3.1. General
NMR spectra were recorded at 250 MHz and 300 MHz (1H, 13C) Bruker in (DMSO-d6, CDCl3)using TMS as an internal reference. All chemical shifts (δ) are expressed in parts per million (s, singlet; d, doublet; t, triplet; and m, multiplet) and coupling constants (J) are given in Hertz; T (1,2,3-triazole) and B (heterocyclic base). Mass spectra were obtained by using MALDI-TOF and (FAB+). Reactions were performed in a domestic microwave oven Model AVM510/WP/WH. DMF was distilled prior to use and stored over molecular sieves 4A. Precoated Merck Silica Gel 60F-254 plates were used for thin layer chromatography (TLC) and the spots were detected under UV light (254 nm). Column chromatography (CLC) was performed using silica gel (0.063–0.2 mm) Fluka. All reagents used were purchased from Aldrich. MICs were determined based on CLSI methodology [37] by a 2-fold broth dilution technique in Mueller Hinton (MH, pH 7.4 Biorad). For S.pneumoniae the medium was Brain Heart Infusion broth + 4% red blood cell extract. For H. influenzae the medium was HTM (Haemophilus Test Medium consisting of MH + 5 g/L yeast extract + hemin 15 mg/L + NAD 20 mg/L). Overnight cultures were diluted to obtain the final inoculum of 105 cfu/well. Incubation was 37 °C overnight in ambient air. 4-Bromobutylacetate (6) and 4-azidobutylacetate (7) were prepared as described below.
4-Bromobutylacetate (6). To distilled acetyl bromide (100 mmol, 12.3 g) was added tetrahydrofuran (100 mmol, 7.2 g) dropwise while agitating and cooling with an ice bath. The reaction is fast and exothermic. After addition, the reaction is agitated further during 30 min at room temperature and afterwards the reaction mixture was distilled under reduced pressure. Boiling Point: 92–93 °C (12 mmHg) (96%), 1H-NMR (CDCl3, δ): 1.6 (m, 4H, CH2CH2); 2.0 (s, 3H, CH3COO); 3.48 (t, 2H, CH2Br); 4.03 (t, 2H, OCH2).
4-Azidobutylacetate (7). To a solution of 4-bromobutylacetate (6, 10 mmol, 2 g) in anhydrous DMF (60 mL) was added sodium azide (NaN3, 15 mmol, 0.9 g). The mixture was brought up to a temperature of 90–95 °C during 4 h. After cooling, the solution was extracted with ether (2 × 50 mL) then washed with brine, and dried (MgSO4). After removal of the solvents under reduced pressure, the residual oil was purified on a silica gel column with hexane (91%). 1H-NMR (CDCl3, δ): 1.64 (m, 4H, CH2CH2); 2.0 (s, 3H, CH3COO); 3.3 (t, 2H, OCH2); 4.1 (t, 2H, CH2N3).
3.2. General Procedure for the Synthesis of Monopropargyl Heterocyclic Bases
The mixture of heterocyclic base (thymine, uracil, 6-azauracil and adenine, 1 mmol), K2CO3 (0.5 mmol) and propargyl bromide (1 mmol) in anhydrous DMF (20 mL) was stirred at room temperature during 24 h. After removal of the solvent under reduced pressure the residue obtained was purified on a silica gel column eluted with CH2Cl2 and MeOH (99/1).
N-1-propargyl-6-azauracil (9c). Yield: 55%. 1H-NMR (DMSO-d6, δ): 3.91 (t, 1H, CH); 4.45 (d, 2H, CH2N); 7.46 (s, 1H, H-5); 11.44 (s, 1H, NH). 13C-NMR (DMSO-d6, δ): 28.37; 73.11; 77.53; 134.61; 148.36; 155.41. FAB-MS, m/z calcd for C6H5N3O2 (M+H)+ 152.04 found,152.
3.3. General Procedure for the Synthesis of the N-1, N-3-Bis-propargylpyrimidines/as-Triazines
The mixture of the heterocyclic base (N-1-propargyluracil, N-1-propargylthymine, and N-1-propargyl-6-azauracil, 1 mmol), K2CO3 (0.5 mmol) and propargylbromide (1.1 mmol) in anhydrous DMF (20 mL) was stirred at room temperature during 15 h. After removal of the solvent under reduced pressure and purification on silica gel column chromatography, we obtained the desired pure product.
N-1,N-3-dipropargyl-6-azauracil (11c). Yield: 85%. 1H-NMR (DMSO-d6, δ): 2.98 (t, 1H, CH); 3.44 (t, 1H, CH); 4.48 (d, 2H, CH2N); 4.67 (d, 2H, CH2N); 7.58 (s, 1H, H-5). 13C-NMR (DMSO-d6, δ): 29.38; 39.40; 73.50; 75.43; 77.36; 77.64; 134.81; 147.11; 154.90. FAB-MS, m/z calcd for C8H8N2O2 (M+H)+ 190.05 found, 190.
3.4. General Procedure for the Synthesis of the Triazole acyclonucleoside Derivatives
The mixture of alkylazide (5 mmol), Et3N (1 mmol), N-propargylbase (1 mmol) and CuI (0.1 mmol) was irradiated in the microwave oven at power level (300 W) for 1 min without solvent. K2CO3 (2 mmol) in methanol (10 mL) was added directly to reaction mixture. The mixture was stirred for additional 3 h at room temperature (or in 30 mL of methanol saturated with ammonia at 0 °C during 24 h). When TLC analysis showed no starting material, solvent was removed under reduced pressure, and the residue was purified on silica gel eluting with dichloromethane and methanol.
1-[[1-[(4-Hydroxybutyl)methyl]-1,2,3-triazol-4-yl]methyl]uracil (10a). Yield: 91%. 1H-NMR (DMSO-d6, δ): 1.44–1.29 (m, 2H, CH2); 1.90–1.75 (m, 2H, CH2); 3.45–3.37 (m, 2H, OCH2); 4.35 (t, 2H, CH2-T, J = 7.13); 4.47 (t, 1H, OH, J = 4.62); 4.94 (s, 2H, T-CH2-B); 5.60 (d, 1H, H-5, J = 7.85 Hz); 7.75 (d, 1H, H-6, J = 7.87 Hz); 8.08 [s, 1H, H-5(triazole)]; 11.31 (s, 1H, NH). 13C-NMR (DMSO-d6, δ): 26.56; 29.24; 42.39; 49.34; 59.98; 101.23; 123.36; 142.23; 145.44; 150.72; 163.65. (MALDI-TOF-MS) m/z calcd for C11H15N5O3 265.12, found, 266.87.
1-[[1-[(4-Hydroxybutyl)methyl]-1,2,3-triazol-4-yl]methyl]thymine (10b). Yield: 92%. 1H-NMR (DMSO-d6, δ): 1.44–1.30 (m, 2H, CH2); 1.76 (s, 3H, CH3); 1.85 (m, 2H, CH2); 3.44–3.36 (m, 2H, OCH2); 4.34 (t, 2H, CH2-T, J = 7.15 Hz); 4.47 (t, 1H, OH, J = 5.10 Hz); 4.90 (s, 2H, T-CH2-B); 7.62 (s, 1H, H-6), 8.07 [s, 1H, H-5(triazole)]; 11.30 (s, 1H, NH). 13C-NMR (DMSO-d6, δ): 11.91; 26.56; 29.25; 42.23; 49.33; 59.98; 108.83; 123.32; 141.11; 142.40; 150.69; 164.24. (MALDI-TOF-MS) m/z calcd for C12H17N5O3 279.13, found, 279.07.
1-[[1-[(4-Hydroxybutyl)methyl]-1,2,3-triazol-4-yl]methyl]-6-azauracil (10c). Yield: 90%. 1H-NMR (DMSO-d6, δ): 1.37 (m, 2H, CH2); 1.90–1.73 (m, 2H, CH2); 3.43–3.37 (m, 2H, OCH2); 4.32 (t, 2H, CH2-T, J = 7.16); 4.47 (s, 1H, OH); 4.98 (s, 2H, T-CH2-B); 7.56 (s, 1H, H-5); 8.02 [s, 1H, H-5(triazole)]; 12.64 (s, 1H, NH). 13C-NMR (DMSO-d6, δ): 26.55; 29.25; 34.52; 49.27; 59.99; 123.32; 134.75; 141.48; 148.86; 155.89. (MALDI-TOF-MS) m/z calcd for C10H14N6O3 266.11, found, 266.64.
1-[[1-[(4-Hydroxybutyl)methyl]-1,2,3-triazol-4-yl]methyl]adenine (10d). Yield: 89%. 1H-NMR (DMSO-d6, δ): 1.35 (m, 2H, CH2); 1.79 (m, 2H, CH2); 3.39 (m, 2H, OCH2); 3,47 (s, 1H, OH); 4.33 (t, 2H, T, J = 7.13 Hz); 5.44 (s, 2H, T-CH2-B); 7.24 (s, 2H, NH2); 8.10 [s, 1H, H-5(triazole)]; 8.15 and 8.20 (s, 2H, H-2 and H-8). 13C-NMR (DMSO-d6, δ): 26.55; 29.21; 38.02; 49.33; 59.95; 118.57; 123.39; 140.61; 142.42; 149.29; 155.96; 152.55. (MALDI-TOF-MS) m/z calcd for C12H16N8O 288.14, found, 288.11.
1,3-bis-[[1-[(4-Hydroxybutyl)methyl]-1,2,3-triazol-4-yl]methyl]uracil (12a). Yield: 90%. 1H-NMR (DMSO-d6, δ): 1.44–1.29 [m, 4H, 2 × (CH2)]; 1.90–1.73 [m, 4H, 2 × (CH2)]; 3.40 [m, 4H, 2 × (OCH2)]; 4.32 [m, 4H, 2 × (CH2)]; 4.47 [s, 2H, 2 × (OH)]; 5.02 [s, 4H, 2 × (T-CH2-B)]; 5.78 (d, 1H, H-5, J = 7.89 Hz); 7.84 (d, 1H, H-6, J = 7.91 Hz); 7.92 [s, 1H, H-5(triazole)]; 8.10 [s, 1H, H-5(triazole)]. 13C-NMR (DMSO-d6, δ): 2 × (C) 26.56; 2 × (C) 29.24; 35.84; 43.59; 49.22; 49.36; 2 × (C) 59.99; 100.50; 123.15; 123.52; 141.98; 142.48; 144.21; 150.74; 161.99. (MALDI-TOF-MS) m/z calcd for C18H26N8O4 418.21, found, 418.46
1,3-bis-[[1-[(4-Hydroxybutyl)methyl]-1,2,3-triazol-4-yl]methyl]thymine (12b). Yield: 92%. 1H-NMR (DMSO-d6, δ): 1.45–1.30 [m, 4H, 2 × (CH2)]; 1.90–1.75 [m, 7H, 2 × (CH2) and CH3]; 3.40 [m, 4H, 2 × (OCH2)]; 4.32 [m, 4H, 2 × (CH2-T)]; 4.49 [s, 2H, 2 × (OH)]; 4.98 (s, 2H, T-CH2-B); 5.05 (s, 2H, T-CH2-B); 5.74 (s, 1H, H-6); 7.91 [s, 1H, H-5(triazole)]; 8.09 [s, 1H, H-5(triazole)]. 13C-NMR (DMSO-d6, δ): 12.56; 2 × (C) 26.57; 2 × (C) 29.26; 36.10; 43.43; 49.21; 49.35; 2 × (C) 59.98; 108.09; 123.16; 123.47; 140.05; 142.15; 142.56; 150.58; 162.73. (MALDI-TOF-MS) m/z calcd for C19H28N8O4 432.22, found, 432.64.
1,3-bis-[[1-[(4-Hydroxybutyl)methyl]-1,2,3-triazol-4-yl]methyl]-6-azauracil (12c). Yield: 91%. 1H-NMR (DMSO-d6, δ): 1.36 [m, 4H, 2 × (CH2)]; 1.81 [m, 4H, 2 × (CH2)]; 3.37 [m, 4H, 2 × (OCH2)], 4.32 [m, 4H, 2 × (CH2-T)]; 4.43 (s, 2H, 2 × (OH); 4.80 (s, 2H, T-CH2-B); 5.06 (s, 2H, T-CH2-B); 7.14 (s, 1H, H-5); 7.91 [s, 1H, H-5(triazole)]; 7.98 [s, 1H, H-5(triazole)]. 13C-NMR (DMSO-d6, δ): 2 × (C) 26.5; 2 × (C) 29.27; 35.71; 36.65; 2 × (C) 49.23; 2 × (C) 59.95; 122.71; 2 × (C) 122.94; 2 × (C) 141.89; 145.40; 155.46. (MALDI-TOF-MS) m/z calcd for C17H25N9O4 419.20, found, 419.17.
4. Conclusions
A series of triazole carboacyclonucleosides with various nucleobase moieties appended on the triazole were synthesized efficiently using a convenient one-step click azide-alkyne cycloaddition reaction under solvent-free microwave irradiation. All compounds synthesized were evaluated for their antibacterial and antiviral activities but none exhibited specific activity so far. Further applications of the click azide-alkyne cycloaddition process are currently under investigation and will be reported in due course.
Acknowledgements
We gratefully acknowledge the experimental help in testing the compounds by Phil Dudfield VP, Alliances and Informatics Galapagos NV 102, avenue Gaston Roussel 93230 Romainville.
References and Notes
- Schinazi, R.F.; Mead, J.R.; Feorino, P.M. Insights into HIV chemotherapy. AIDS Res. Hum. Retrovirus. 1992, 8, 963–990. [Google Scholar] [CrossRef]
- Clercq, E.D. HIV inhibitors targeted at the reverse transcriptase. AIDS Res. Hum. Retrovirus. 1992, 8, 119–134. [Google Scholar] [CrossRef]
- EASL International Consensus Conference on Hepatitis C. Consensus Statement. J. Hepatol. 1999, 31, 3–8. [CrossRef]
- Wengel, J.; Schinazi, R.F.; Caruthers, M.H. Stereoselective synthesis, chemistry and antiviral evaluation of 1-(2,3-dideoxy-3-C-hydroxymethyl-beta-D-threo-pentofuranosyl)thymine derivatives. Bioorg. Med. Chem. 1995, 3, 1223–1229. [Google Scholar] [CrossRef]
- Sekiyama, T.; Hatsuya, S.; Tanaka, Y.; Uduyama, M.; Ono, N.; Iwayama, S.; Oikawa, M.; Suzuki, K.; Okunishi, M.; Tsuji, T. Synthesis and antiviral activity of novel acyclic nucleosides: Discovery of a cyclopropyl nucleoside with potent inhibitory activity against herpesviruses. J. Med. Chem. 1998, 41, 1248–1298. [Google Scholar]
- Nasr, M.; Litterst, C.; McGowan, J. Computer-assisted structure-activity correlations of dideoxynucleoside analogs as potential anti-HIV drugs. Antiviral Res. 1990, 14, 125–148. [Google Scholar] [CrossRef]
- Prasad, A.K.; Trikha, S.; Parmar, V.S. Nucleoside synthesis mediated by glycosyl transferring enzymes. Bioorg. Chem. 1999, 27, 135–154. [Google Scholar] [CrossRef]
- Chu, C.K.; Cutler, S.J.; Chu, C.K.; Cutler, S.J. Chemistry and antiviral activities of acyclonucleosides. J. Heterocycl. Chem. 1986, 23, 289–319. [Google Scholar]
- Parkanyi, C.; Yuan, H.L. Synthesis of acyclic nucleoside analogs of 6-substituted 2-aminopurines and 2-amino-8-azapurines. J. Heterocycl. Chem. 1990, 27, 1409–1413. [Google Scholar] [CrossRef]
- Pan, B.-C.; Chem, Z.-H.; Piras, G.; Dutschman, G.E.; Rowe, E.C.; Cheng, Y.-C.; Chu, S.-H. Synthesis and anti-HIV-1 activities of 6-arylthio and 6-arylselenoacyclonucleosides. J. Heterocycl. Chem. 1994, 31, 177–185. [Google Scholar] [CrossRef]
- Chen, W.; Flavin, M.T.; Filler, R.; Xu, Z.-Q. Synthesis and antiviral activities of fluorinated acyclic nucleoside phosphonates. J. Chem. Soc. Perkin Trans. 1 1998, 3979–3988. [Google Scholar]
- Hirota, K.; Monguchi, Y.; Sajiki, H.; Sako, M.; Kitada, Y. Novel synthesis of purine acyclonucleosides possessing a chiral 9-hydroxyalkyl group by sugar modification of 9-D-ribitylpurines. J.Chem. Soc. Perkin Trans. 1 1998, 941–946. [Google Scholar]
- Chu, C.K.; Baker, D.C. Nucleosides and Nucleotides as Antitumor and Antiviral Agents; Plenum Press: New York, NY, USA, 1993; pp. 101–113. [Google Scholar]
- El Ashry, E.S.H.; El Kilany, Y. Acyclonucleosides: Part 3. tri-, tetra-, and pentaseco-nucleosides. Adv. Heterocycl. Chem. 1998, 69, 129–215. [Google Scholar]
- El Ashry, E.S.H.; El Kilany, Y. Acyclonucleosides: Part 2. Diseco-nucleosides. Adv. Heterocycl. Chem. 1997, 68, 1–88. [Google Scholar] [CrossRef]
- El Ashry, E.S.H.; El Kilany, Y. Acyclonucleosides: Part 1. Seco-nucleosides. Adv. Heterocycl. Chem. 1996, 67, 391–438. [Google Scholar] [CrossRef]
- Rashed, N.; Abdel Hamid, H.; Ramadan, E.S.; El Ashry, E.S.H. Acyclo C-nucleoside analogues. Regioselective anellation of a triazole ring to 5-methyl-1,2,4-triazino[5,6-b]indole and formation of certain 3-poly hydroxyalkyl derivatives. Nucleos. Nucleot. 1998, 17, 1373–1384. [Google Scholar] [CrossRef]
- El Ashry, E.S.H.; El Kholy, I.E.; El Kilany, Y. Dehydrative ring-closure of 3-substituted 2-quinoxalinones to give fused and nonfused pyrazoloquinoxalines. Carbohydr. Res 1978, 60, 303–314. [Google Scholar] [CrossRef]
- Sidwell, R.W.; Huffman, J.H.; Khare, G.P.; Allen, L.B.; Witkowski, J.T.; Robins, R.K. Broad-spectrum antiviral activity of Virazole: 1-beta-D-Ribofuranosyl-1,2,4-triazole-3-carboxamide. Science 1972, 177, 705–706. [Google Scholar]
- Manfredini, S.; Vicentini, C.B.; Manfrini, M.; Bianchi, N.; Rutigliano, A.; Mistiachi, C.; Gambari, R. Pyrazolo-triazoles as light activable dna cleaving agents. Bioorg. Med. Chem. 2000, 8, 2343–2346. [Google Scholar] [CrossRef]
- Gothelf, K.V.; Jørgensen, K.A. Asymmetric 1,3-dipolar cycloaddition reactions. Chem. Rev. 1998, 98, 863–910. [Google Scholar]
- Lazrek, H.B.; Taourirte, M.; Oulih, T.; Barascut, J.L.; Imbach, J.L.; Pannecouque, C.; Witrouw, M.; De Clercq, E. Synthesis and anti-Hiv activity of new modified 1,2,3-triazole acyclonucleosides. Nucleos. Nucleot. 2001, 20, 1949–1960. [Google Scholar] [CrossRef]
- Rostovtsev Green, V.V.L.G.; Fokin, V.V.; Sharpless, K.B. Stepwise huisgen cycloaddition process: Copper(I)-catalyzed regioselective ligation of azides and terminal alkynes. Angew. Chem. Int. Ed. 2002, 41, 2596–2599. [Google Scholar] [CrossRef]
- Tornfe, C.W.; Christensen, C.; Meldal, M. Peptidotriazoles on solid phase: [1,2,3]-Triazoles by regiospecific copper(I)-talyzed 1,3-dipolar cycloadditions of terminal alkynes to azides. J. Org. Chem. 2002, 67, 3057–3064. [Google Scholar] [CrossRef]
- Wang, Q.; Chan, T.R.; Hilgraf, R.; Fokin, V.V.; Sharpless, K.B.; Finn, M.G. Bioconjugation by copper(I)-catalyzed azide-alkyne [3+2] cycloaddition. J. Am. Chem. Soc. 2003, 125, 3192–3193. [Google Scholar]
- Lober, S.; Rodriguez-Loaiza, P.; Gmeiner, P. Click linker: Efficient and high-yielding synthesis of a new family of SPOS resins by 1,3-dipolar cycloaddition. Org. Lett. 2003, 5, 1753–1755. [Google Scholar] [CrossRef]
- Pérez-Balderas, F.; Ortega-Munoz, M.; Morales-Sanfrutos, J.; Hernández-Mateo, F.; CalvoFlores, F.G.; Calvo-Asín, J.A.; Isac-García, J.; Santoyo González, F. Multivalent neoglycoconjugates by regiospecific cycloaddition of alkynes and azides using organic-soluble copper catalysts. Org. Lett. 2003, 5, 1951–1954. [Google Scholar]
- Krasinski, A.; Fokin, V.V.; Sharpless, K.B. Direct synthesis of 1,5-disubstituted-4-magnesio-1,2,3-triazoles, revisited. Org. Lett. 2004, 6, 1237–1240. [Google Scholar] [CrossRef]
- Kamijo, S.; Jin, T.; Huo, Z.; Yamamoto, Y. Synthesis of triazoles from nonactivated terminal alkynes via the three-component coupling reaction using a Pd(0)-Cu(I) bimetallic catalyst. J. Am. Chem. Soc. 2003, 125, 7786–7787. [Google Scholar]
- Kamijo, S.; Jin, T.; Huo, Z.; Yamamoto, Y. A one-pot procedure for the regiocontrolled synthesis of allyltriazoles via the Pd-Cu bimetallic catalyzed three-component coupling reaction of nonactivated terminal alkynes, allyl carbonate, and trimethylsilyl azide. J. Org. Chem. 2004, 69, 2386–2393. [Google Scholar]
- Yan, Z.Y.; Zhao, Y.B.; Fan, M.J.; Liu, W.M.; M.Liang, Y. General synthesis of (1-substituted-1H-1,2,3-triazol-4-ylmethyl)-dialkylamines via a copper(I)-catalyzed three-component reaction in water. Tetrahedron 2005, 61, 9331–9337. [Google Scholar]
- Chittepu, P.; Sirivolu, V.R.; Seela, F. Nucleosides and oligonucleotides containing 1,2,3-triazole residues with nucleobase tethers: Synthesis via the azide-alkyne ‘click’ reaction. Bioorg. Med. Chem. 2008, 16, 8427–8439. [Google Scholar]
- El Akri, K.; Bougrin, K.; Balzarini, B.J.; Faraj, A.; Benhida, R. Efficient synthesis and in vitro cytostatic activity of 4-substituted triazolyl-nucleosides. Bioorg. Med. Chem. Lett. 2007, 17, 6656–6659. [Google Scholar] [CrossRef]
- Krim, J.; Sillahi, B.; Taourirte, M.; Rakib, E.M.; Engels, J.W. Microwave-assisted click chemistry: Synthesis of mono and bis-1,2,3-triazole acyclonucleoside analogues of ACV via copper(I)-catalyzed cycloaddition. ARKIVOC 2009, xiii, 142–152. [Google Scholar]
- Lucas, R.; Neto, V.; Bouazza, A.H.; Zerrouki, R.; Granet, R.; Krausz, P.; Yves Champavier, Y. Microwave-assisted synthesis of a triazole-linked 3′-5′ dithymidine using click chemistry. Tetrahedron Lett. 2008, 49, 1004–1007. [Google Scholar] [CrossRef]
- Keller, P.M.; FyfeJ, A.; Beauchamp, L.; Lubbers, C.M.; Furman, P.A.; Schaeffer, H.J.; Elion, G.B. Enzymatic phosphorylation of acyclic nucleoside analogs and correlations with antiherpetic activities. Biochem. Pharmacol. 1981, 30, 3071–3077. [Google Scholar] [CrossRef]
- CLSI-Clinical and Laboratory Standards Institute, Methods for Dilution Antimicrobial Susceptibility Tests for Bacteria that grow Aerobically, Approved Standard M7-A7, 7th ed; CLSI: Wayne, PA, USA, 2006.
- Sample Availability: Not available.
© 2012 by the authors; licensee MDPI, Basel, Switzerland. This article is an open-access article distributed under the terms and conditions of the Creative Commons Attribution license (http://creativecommons.org/licenses/by/3.0/).














