Abstract
Two new aryltetralin-type lignans, dolomiaeasin A (1) and dolomiaeasin B (2), were isolated from the roots of Dolomiaea souliei. Their structures were elucidated by means of various spectroscopic analyses. The cytotoxicities of 1 and 2 were tested by the MTT method, and both compounds showed no significant cytotoxic activities against the A549 and A2780 human cancer cell lines. This is the first time that aryltetralin-type lignans were isolated from the genus Dolomiaea.
1. Introduction
Dolomiaea souliei (Franch.) Shih belongs to the Dolomiaea genus in the family Compositae, and is mainly distributed in western Sichuan and eastern Tibet [1]. D. souliei is a traditional Chinese medicine which is well known for its medicinal uses in relieving pain and different indigenous diseases [2]. Previous studies indicated that D. souliei is a rich source of sesquiterpenes, triterpenes and lignans, some of which have been reported to exhibit anti-tumor, anti-ulcer and anti-inflammatory activities [3,4]. In our search for biologically active compounds, we investigated the chemical constituents of this plant. In this study, two new aryltetralin-type lignans, dolomiaeasin A (1) and dolomiaeasin B (2), were isolated from the roots of D. souliei. Their structures were elucidated using UV, IR, 1D, 2D NMR and HR-ESI-MS experiments, while the configurations of both compounds were deduced by comparison of their CD data with those reported in the literature. This is the first report of aryltetralin-type lignans isolated from the genus Dolomiaea. Finally, the cytotoxicities of 1 and 2 were tested against the A549 and A2780 human cancer cell lines.
2. Results and Discussion
2.1. Structural Identification
Compound 1 was obtained as an amorphous powder, [α]
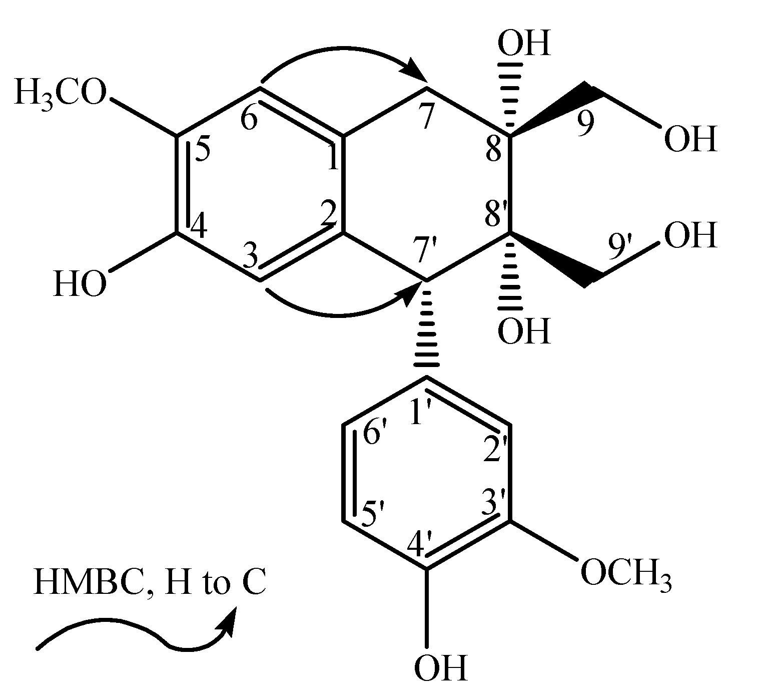
−4.0° (c 0.225, MeOH). The HR-ESI-MS spectrum (m/z 391.13869 [M−H]−, calcd. for 391.13929) indicated the molecular formula of 1 to be C20H24O8. The 1H and 13C-NMR (APT) data of 1 showed the presence of a 1,3,4-trisubstituted benzene moiety [δH: 6.86 (1H, s, H-2'), 6.76 (1H, m, H-5'), 6.78 (1H, m, H-6'); δC: 134.0 (C-1'), 117.0 (C-2'), 148.7 (C-3'), 146.6 (C-4'), 115.5 (C-5'), 126.2 (C-6')], a 1,2,4,5-tetrasubstituted benzene moiety [δH: 6.16 (1H, s, H-3), 6.66 (1H, s, H-6); δC: 126.7 (C-1), 132.7 (C-2), 118.0 (C-3), 145.4 (C-4), 147.7 (C-5), 113.2 (C-6)], two methoxyl groups [δH: 3.76 (3H, s, 3'-OCH3), 3.82 (3H, s, 5-OCH3); δC: 56.6 (3'-OCH3), 56.7 (5-OCH3)] and other aliphatic signals [δH: 4.38 (1H, s, H-7'), 3.49 (1H, d, J = 10.8 Hz, H-9'a), 3.59 (1H, d, J = 10.8 Hz, H-9'b), 2.56 (1H, d, J = 17.4 Hz, H-7a), 3.34 (1H, d, J = 17.4 Hz, H-7b), 3.85 (2H, m, H-9); δC: 48.6 (C-7'), 65.0 (C-9'), 37.0 (C-7), 76.2 (C-8), 68.3 (C-9)]. The NMR signals were assigned with the aid of HSQC and HMBC spectra, and cross-peaks observed in the HMBC (H-2'/C-1', C-3', C-7'; 3'-OCH3/C-3'; H-5°/C-3', C-4'; H-6'/C-4'; H-7'/C-2', C-6', C-3; H-9'/C-7', C-8', C-8; H-3/C-7', C-2, C-4; 5-OCH3/C-5; H-6/C-1, C-5, C-7; H-7/C-8', C-6, C-8; H-9/C-8', C-7, C-8) indicated that 1 resembled the structure of (+)-cycloolivil [5].
−4.0° (c 0.225, MeOH). The HR-ESI-MS spectrum (m/z 391.13869 [M−H]−, calcd. for 391.13929) indicated the molecular formula of 1 to be C20H24O8. The 1H and 13C-NMR (APT) data of 1 showed the presence of a 1,3,4-trisubstituted benzene moiety [δH: 6.86 (1H, s, H-2'), 6.76 (1H, m, H-5'), 6.78 (1H, m, H-6'); δC: 134.0 (C-1'), 117.0 (C-2'), 148.7 (C-3'), 146.6 (C-4'), 115.5 (C-5'), 126.2 (C-6')], a 1,2,4,5-tetrasubstituted benzene moiety [δH: 6.16 (1H, s, H-3), 6.66 (1H, s, H-6); δC: 126.7 (C-1), 132.7 (C-2), 118.0 (C-3), 145.4 (C-4), 147.7 (C-5), 113.2 (C-6)], two methoxyl groups [δH: 3.76 (3H, s, 3'-OCH3), 3.82 (3H, s, 5-OCH3); δC: 56.6 (3'-OCH3), 56.7 (5-OCH3)] and other aliphatic signals [δH: 4.38 (1H, s, H-7'), 3.49 (1H, d, J = 10.8 Hz, H-9'a), 3.59 (1H, d, J = 10.8 Hz, H-9'b), 2.56 (1H, d, J = 17.4 Hz, H-7a), 3.34 (1H, d, J = 17.4 Hz, H-7b), 3.85 (2H, m, H-9); δC: 48.6 (C-7'), 65.0 (C-9'), 37.0 (C-7), 76.2 (C-8), 68.3 (C-9)]. The NMR signals were assigned with the aid of HSQC and HMBC spectra, and cross-peaks observed in the HMBC (H-2'/C-1', C-3', C-7'; 3'-OCH3/C-3'; H-5°/C-3', C-4'; H-6'/C-4'; H-7'/C-2', C-6', C-3; H-9'/C-7', C-8', C-8; H-3/C-7', C-2, C-4; 5-OCH3/C-5; H-6/C-1, C-5, C-7; H-7/C-8', C-6, C-8; H-9/C-8', C-7, C-8) indicated that 1 resembled the structure of (+)-cycloolivil [5]. The disappearance of H-8', sharp downfield shift of C-8' (δ: 75.1) and obvious change of H-7' (a singlet) in 1 indicated that H-8' of (+)-cycloolivil was substituted by a group. When combined with HR-ESI-MS data, this group was inferred as a hydroxyl. A negative Cotton effect at 290 nm suggested that H-7' was α (S configuration at C-7') [6]. The remaining chiral centers at C-8' and C-8 were assigned as 8'R and 8R configurations, for the CD data of 1 [(290 (−1.8), 271 (+0.5), 237 (+0.7)] being very similar to that of (+)-cycloolivil 6-O-β-D-glucoside which has the same chiral centers [7]. The results were in good accordance with the energy minimized conformation, which was obtained from a molecular modeling program in Discovery Studio 3.1. On basis of the above evidence, compound 1 was inferred as a structure with 7'S, 8'R and 8R configurations, and named dolomiaeasin A (Figure 1).
Compound 2 was obtained as an amorphous powder, [α]
−16.3° (c 0.24, MeOH). The HR-ESI-MS spectrum (m/z 391.13897 [M−H]−, calcd. for 391.13929) indicated the molecular formula of 2 to be C20H24O8. The NMR signals of 2 were assigned with the aid of HSQC and HMBC spectra and by comparison with the signals of 1. The spectroscopic data of 2 suggested that it was another aryltetralin-type lignin, exhibiting an identical skeleton of 1.
−16.3° (c 0.24, MeOH). The HR-ESI-MS spectrum (m/z 391.13897 [M−H]−, calcd. for 391.13929) indicated the molecular formula of 2 to be C20H24O8. The NMR signals of 2 were assigned with the aid of HSQC and HMBC spectra and by comparison with the signals of 1. The spectroscopic data of 2 suggested that it was another aryltetralin-type lignin, exhibiting an identical skeleton of 1.
Figure 1.
The key correlations of compound 1.
Figure 1.
The key correlations of compound 1.

Differences in chemical shift values and CD signals suggested a different stereochemistry of 2. A positive Cotton effect at 291 nm revealed that H-7' was β (R configuration at C-7') [6]. An opposite configuration of 7'-phenyl and 8'-CH2OH was inferred for there was no NOE correlation observed between H-9' and H-2'/H-6', i.e., the configuration at C-8' was 8'S. Differences in rotation values, CD and NMR revealed that these two compounds were not enantiomers. Thus, the remaining chiral centre at C-8 was inferred as 8R. On basis of the above deductions, the elucidation of compound 2 was characterized as 7'R, 8'S and 8R, and named dolomiaeasin B (Figure 2).
Figure 2.
The key correlations of compound 2.
Figure 2.
The key correlations of compound 2.

2.2. Cytotoxic Activity
While studies have indicated that an aryltetralin lactone (e.g., podophyllotoxin) and its derivatives were potent anticancer agents [8], compounds 1 and 2 showed no significant cytotoxic activities, with IC50 values exceeding 20 μM, when assessed against the A549 and A2780 human cancer cell lines.
3. Experimental
3.1. General
Optical rotations were obtained on a Perkin-Elmer 341 digital polarimeter (Waltham, MA, USA). UV and IR spectra were recorded on Shimadzu UV2550 (Tokyo, Japan) and FTIR-8400S spectrometer (Tokyo, Japan), respectively. CD spectra were recorded on a JASCO J-815 spectropolarimeter (Tokyo, Japan). NMR spectra were obtained with a Bruker AV Ⅲ 600 NMR spectrometer (chemical shift values are presented as δ values with TMS as the internal standard; Munich, German). HR-ESI-MS spectra were performed on a LTQ-Obitrap XL spectrometer and HPLC on a Shimadzu system (Agilent Eclipse XDB-18, 5 μm, 9.4 × 250 mm; detection: UV at 210 nm; Santa Clara, CA, USA). ODS gel (50 µm, YMC, Kyoto, Japan), Sephadex LH-20 (Pharmacia, Stockholm, Sweden) and silica gel (100–200 and 300–400 mesh, Qingdao Marine Chemical Plant, Qingdao, China) were used for column chromatography. Precoated silica gel GF254 plates were used for TLC (Qingdao Marine Chemical Plant, Qingdao, China).
3.2. Plant Material
The roots of D. souliei were collected from Sichuan province, China, in September 2010. A voucher specimen (No. 20100810wh1) was deposited in the herbarium of Institute of Medicinal Plant Development, Chinese Academy of Medical Science & Peking Union Medical College, Beijing, China.
3.3. Extraction and Isolation
The air-dried roots of D. souliei (12.0 kg) were extracted with 70% ethanol (3 × 50 L, 3 h) at room temperature. After removing the solvent, the ethanol extract was suspended in distilled water and successively partitioned with petroleum ether, CHCl3, EtOAc and n-BuOH. The EtOAc fraction (63.0 g) was subjected to silica gel (100−200 mesh) column chromatography eluted with a solvent system of CHCl3-MeOH (100: 2–100: 33) to give 11 fractions. Fraction 4 was successively subjected to column chromatography over ODS gel (50 µm), silica gel (300−400 mesh), Sephadex LH-20 and HPLC (H2O: MeOH = 90: 10−40: 60) to afford compound 1 (9 mg) and 2 (6 mg).
3.4. Spectral Data
Dolomiaeasin A (1): HR-ESI-MS spectrum (m/z 391.13869 [M−H]−, calcd. for C20H23O8, 391.13929); [α]
: −4.0° (c 0.225, MeOH); UV λmax (log ε) nm (MeOH): 207 (4.46), 283 (3.60); CD nm (Δε) (c 1.28 × 10−3 mol/L, MeOH): 290 (−1.8), 271 (+0.5), 237 (+0.7); IR νmax cm−1 (KBr): 3392, 2928, 1647, 1516, 1445, 1383, 1261, 1126, 1100, 1033, 798, 762, 652, 601; 1H-NMR (CD3OD, 600 MHz) δ: 6.86 (1H, s, H-2'), 3.76 (3H, s, 3'-OCH3), 6.76 (1H, m, H-5'), 6.78 (1H, m, H-6'), 4.38 (1H, s, H-7'), 3.49 (1H, d, J = 10.8 Hz, H-9'a), 3.59 (1H, d, J = 10.8 Hz, H-9'b), 6.16 (1H, s, H-3), 3.82 (3H, s, 5-OCH3), 6.66 (1H, s, H-6), 2.56 (1H, d, J = 17.4 Hz, H-7a), 3.34 (1H, d, J = 17.4 Hz, H-7b), 3.85 (2H, m, H-9); 13C-NMR (CD3OD, 150 MHz) δ: 134.0 (C-1'), 117.0 (C-2'), 148.7 (C-3'), 56.6 (3'-OCH3), 146.6 (C-4'), 115.5 (C-5'), 126.2 (C-6'), 48.6 (C-7'), 75.1 (C-8'), 65.0 (C-9'), 126.7 (C-1), 132.7 (C-2), 118.0 (C-3), 145.4 (C-4), 147.7 (C-5), 56.7 (5-OCH3), 113.2 (C-6), 37.0 (C-7), 76.2 (C-8), 68.3 (C-9).
: −4.0° (c 0.225, MeOH); UV λmax (log ε) nm (MeOH): 207 (4.46), 283 (3.60); CD nm (Δε) (c 1.28 × 10−3 mol/L, MeOH): 290 (−1.8), 271 (+0.5), 237 (+0.7); IR νmax cm−1 (KBr): 3392, 2928, 1647, 1516, 1445, 1383, 1261, 1126, 1100, 1033, 798, 762, 652, 601; 1H-NMR (CD3OD, 600 MHz) δ: 6.86 (1H, s, H-2'), 3.76 (3H, s, 3'-OCH3), 6.76 (1H, m, H-5'), 6.78 (1H, m, H-6'), 4.38 (1H, s, H-7'), 3.49 (1H, d, J = 10.8 Hz, H-9'a), 3.59 (1H, d, J = 10.8 Hz, H-9'b), 6.16 (1H, s, H-3), 3.82 (3H, s, 5-OCH3), 6.66 (1H, s, H-6), 2.56 (1H, d, J = 17.4 Hz, H-7a), 3.34 (1H, d, J = 17.4 Hz, H-7b), 3.85 (2H, m, H-9); 13C-NMR (CD3OD, 150 MHz) δ: 134.0 (C-1'), 117.0 (C-2'), 148.7 (C-3'), 56.6 (3'-OCH3), 146.6 (C-4'), 115.5 (C-5'), 126.2 (C-6'), 48.6 (C-7'), 75.1 (C-8'), 65.0 (C-9'), 126.7 (C-1), 132.7 (C-2), 118.0 (C-3), 145.4 (C-4), 147.7 (C-5), 56.7 (5-OCH3), 113.2 (C-6), 37.0 (C-7), 76.2 (C-8), 68.3 (C-9).Dolomiaeasin B (2): HR-ESI-MS spectrum (m/z 391.13897 [M−H]−, calcd. for C20H23O8, 391.13929); [α]
: −16.3° (c 0.24, MeOH); UV λmax (log ε) nm (MeOH): 210 (4.8), 284 (3.99); CD nm (Δε) (c 2.55 × 10−3 mol/l, MeOH): 291 (+3.1), 273 (−1.2), 230 (+1.9); IR νmax cm−1 (KBr): 3419, 2954, 1652, 1520, 1456, 1373, 1260, 1127, 1097, 1033, 803, 773, 645, 597; 1H-NMR (CD3OD, 600 MHz) δ: 6.78 (1H, s, H-2'), 3.78 (3H, s, 3'-OCH3), 6.72 (1H, d, J = 8.4 Hz, H-5'), 6.63 (1H, m, H-6'), 4.06 (1H, s, H-7'), 3.55 (1H, d, J = 10.2 Hz, H-9'a), 3.96 (1H, d, J = 10.2 Hz, H-9'b), 6.30 (1H, s, H-3), 3.83 (3H, s, 5-OCH3), 6.67 (1H, s, H-6), 3.02 (2H, m, H-7), 3.34 (1H, d, J = 11.4 Hz, H-9a), 3.91 (1H, d, J = 11.4 Hz, H-9b); 13C-NMR (CD3OD, 150 MHz) δ: 133.3 (C-1'), 117.0 (C-2'), 148.4 (C-3'), 56.6 (3'-OCH3), 146.7 (C-4'), 115.5 (C-5'), 125.7 (C-6'), 56.3 (C-7'), 77.1 (C-8'), 67.0 (C-9'), 127.5 (C-1), 131.4 (C-2), 117.6 (C-3), 145.8 (C-4), 148.2 (C-5), 56.6 (5-OCH3), 112.9 (C-6), 39.2 (C-7), 77.6 (C-8), 67.7 (C-9).
: −16.3° (c 0.24, MeOH); UV λmax (log ε) nm (MeOH): 210 (4.8), 284 (3.99); CD nm (Δε) (c 2.55 × 10−3 mol/l, MeOH): 291 (+3.1), 273 (−1.2), 230 (+1.9); IR νmax cm−1 (KBr): 3419, 2954, 1652, 1520, 1456, 1373, 1260, 1127, 1097, 1033, 803, 773, 645, 597; 1H-NMR (CD3OD, 600 MHz) δ: 6.78 (1H, s, H-2'), 3.78 (3H, s, 3'-OCH3), 6.72 (1H, d, J = 8.4 Hz, H-5'), 6.63 (1H, m, H-6'), 4.06 (1H, s, H-7'), 3.55 (1H, d, J = 10.2 Hz, H-9'a), 3.96 (1H, d, J = 10.2 Hz, H-9'b), 6.30 (1H, s, H-3), 3.83 (3H, s, 5-OCH3), 6.67 (1H, s, H-6), 3.02 (2H, m, H-7), 3.34 (1H, d, J = 11.4 Hz, H-9a), 3.91 (1H, d, J = 11.4 Hz, H-9b); 13C-NMR (CD3OD, 150 MHz) δ: 133.3 (C-1'), 117.0 (C-2'), 148.4 (C-3'), 56.6 (3'-OCH3), 146.7 (C-4'), 115.5 (C-5'), 125.7 (C-6'), 56.3 (C-7'), 77.1 (C-8'), 67.0 (C-9'), 127.5 (C-1), 131.4 (C-2), 117.6 (C-3), 145.8 (C-4), 148.2 (C-5), 56.6 (5-OCH3), 112.9 (C-6), 39.2 (C-7), 77.6 (C-8), 67.7 (C-9).3.5. Bioassays
Compounds 1 and 2 were assessed by the MTT method using the A549 and A2780 human cancer cell lines. Cells were seeded in 96-well plates and incubated at 37 °C, 5% CO2 for 24 h. Then 150 μL of five different concentrations (0.2, 0.5, 1, 2, 5, 10 μM) for each compound (dissolved in DMSO) were added to each well and incubated for another 24 h. After removing the supernatant, 150 μL of MTT (0.5 mg/mL) were added to each well and incubated for 4 h. Finally, the liquid in the wells was removed, DMSO (150 μL) was added, and the absorbance at 570 nm was recorded on a microplate reader (Wellscan MK3, Labsystems Dragon, Helsinki, Finland).
4. Conclusions
Two new aryltetralin-type lignans, dolomiaeasin A (1) and dolomiaeasin B (2), were isolated from the roots of Dolomiaea souliei. Both compounds showed no significant cytotoxicities against the A549 and A2780 human cancer cell lines. To the best of the authors’ knowledge, this is the first report of aryltetralin-type lignans from the genus Dolomiaea.
Acknowledgements
The authors thank Junshan Yang for assistance with spectroscopic analyses and Guoxu MA for performing the NMR experiments. Financial support from the Key Project of National Natural Science Foundation of China (No. 30530860) is gratefully acknowledged.
References and Notes
- Editoria Committee of Flora of China. In Flora of China; Science Press: Beijing, China; Volume 78, p. 141, Chapter 2.
- Zhou, L.Z.; Jiang, J.H.; Li, Y.P.; Chen, Y.G. Chemical and bioactive studies on Tibetan medicines plants of Vladimiria genus. Yunnan Chem. Tech 2010, 37, 57–62. [Google Scholar]
- Pandey, M.M.; Rastogi, S.; Rawat, A.K.S. Saussurea costus: Botanical, chemical and pharmacological review of an ayurvedic medicinal plant. J. Ethnopharmacol. 2007, 110, 379–390. [Google Scholar] [CrossRef]
- Madhuri, K.; Elango, K.; Ponnusankar, S. Saussurea lappa (Kuth root): Review of its traditional uses, phytochemistry and pharmacology. Orient. Pharm. Exp. Med. 2012, 12, 1–9. [Google Scholar] [CrossRef]
- Ghogomu-Tih, R.; Bodo, B.; Nyasse, B.; Sondengam, B.L. Isolation and identification of (−)-olivil and (+)-cycloolivil from Stereospermum kunthianum. Planta Med. 1985, 51, 464. [Google Scholar] [CrossRef]
- Klyne, W.; Stevenson, R.; Swan, J. Optical rotatory dispersion. Part XXVIII. The absolute configuration of otobain and derivatives. J. Chem. Soc. C 1966, 893–896. [Google Scholar]
- Sugiyama, M.; Nagayama, E.; Kikuchi, M. Lignan and phenylpropanoid glycosides from Osmanthus asiaticus. Phytochemistry 1993, 33, 1215–1219. [Google Scholar] [CrossRef]
- Lv, M.; Xu, H. Recent advances in semisynthesis, biosynthesis, biological activities, mode of action, and structure-activity relationship of podophyllotoxins: An update (2008–2010). Mini-Rev. Med. Chem. 2011, 11, 901–909. [Google Scholar] [CrossRef]
- Sample Availability: Samples of dolomiaeasin A and dolomiaeasin B are available from the authors.
© 2012 by the authors; licensee MDPI, Basel, Switzerland. This article is an open-access article distributed under the terms and conditions of the Creative Commons Attribution license (http://creativecommons.org/licenses/by/3.0/).