Abstract
Neurite loss is one of the cardinal features of neuronal injury. Apart from neuroprotection, reorganization of the lost neuronal network in the injured brain is necessary for the restoration of normal physiological functions. Neuritogenic activity of endogenous molecules in the brain such as nerve growth factor is well documented and supported by scientific studies which show innumerable compounds having neurite outgrowth activity from natural sources. Since the damaged brain lacks the reconstructive capacity, more efforts in research are focused on the identification of compounds that promote the reformation of neuronal networks. An abundancy of natural resources along with the corresponding activity profiles have shown promising results in the field of neuroscience. Recently, importance has also been placed on understanding neurite formation by natural products in relation to neuronal injury. Arrays of natural herbal products having plentiful active constituents have been found to enhance neurite outgrowth. They act synergistically with neurotrophic factors to promote neuritogenesis in the diseased brain. Therefore use of natural products for neuroregeneration provides new insights in drug development for treating neuronal injury. In this study, various compounds from natural sources with potential neurite outgrowth activity are reviewed in experimental models.
Abbreviations
| Ntrk1: neurotrophic tyrosine kinase receptor type 1 | NGF: Nerve growth Factor, |
| B-Raf: Serine/threonine-protein kinase | GTPP: Green tea polyphenol |
| MEKK: mitogen-activated protein kinase kinase kinase | CREB: cAMP response element-binding |
| MEK: mitogen-activated protein kinase kinase | Rap1: Ras-Proximate-1 |
| ERK1/2: extracellular signal-regulated kinase | Ras: GTPasep21ras |
| p38-MAPK: p38 mitogen-activated protein kinase | ROS: Reactive oxygen species |
1. Introduction
Neuroregeneration is a concept which encompasses endogenous neuroprotection leading to neuroplasticity and neurite outgrowth [1]. The principal morphological characteristics of neuritogenesis are branching of neurites followed by elongation of axons and dendritic arborization [2]. Neurite genesis and retraction are basically associated with the development and pathogenesis of the nervous system [3]. It has been suggested that reconstruction of the neuronal and synaptic networks in the injured brain is necessary for the recovery of brain functions [4]. It was once believed that nerve regeneration in the mammalian central nervous system (CNS) was irreversible, but recently it has become apparent that damaged neurons do regenerate in an active process under the presence of stimulatory substances such as nerve growth factor (NGF) and brain derived neurotrophic factor (BDNF) [5,6,7,8,9].
Neuritogenic substances hold the promise of therapeutic efficacy in the treatment of neuronal injuries by the virtue of their ability to stimulate outgrowth of neurites from neuronal cells. Because of neurite outgrowth, there is a readjustment in the normal neuronal functions and local circuits in the damaged CNS [10]. Therefore, use of the neurotrophic factors seems to be an important step in the process of neuronal regeneration. Despite of their undeniable positive effects, administration of neurotrophic factors also has some disadvantages like, negligible entry through the blood brain barrier and destabilization by peripheral peptidases [11]. To overcome this hurdle, use of natural products eliciting neuritogenic activity or in combination with neurotrophic substances is currently been focusedas an alternative approach [12].
Recent literature suggests that different compounds from natural sources in combination with NGF act synergistically to induce the growth of neurites. Hence natural products may harmonize very well for the treatment of neuronal injury [4,13,14,15,16,17]. Lately, many compounds from natural sources have been demonstrated to possess neurotrophic and neuroprotective abilities (Table 1). Current research also affirms the role of natural products to enhance the neurite outgrowth activity of NGF in various experimental models [10]. In addition to this, other evidences also shows that compounds capable of enhancing the action of neurotrophic factors to stimulate neurite outgrowth may be useful in the treatment of neurological disorders such as Parkinson’s disease (PD) and Alzheimer’s disease (AD) [18,19,20]. Hence, compounds obtained from natural sources can be used for neuroregeneration in various forms of neuronal injury. In the present review, we have focused on the neurite outgrowth activity of several natural compounds or their crude extracts in various forms of neuronal injury.
Table 1.
Summary of selected compounds from natural sources exhibiting in vitro and in vivo neurite outgrowth activity.
| Main Biological Source | Compounds | Effective dose | Activity | Ref. |
|---|---|---|---|---|
| Panax ginseng | Ginsenoside Rb1 | 40 mg | Neuritogenesis in rats | [21] |
| Panax ginseng | Ginsenoside Rg1 | 10 mM | Survival of dopaminergic neurons | [22] |
| Curcuma longa | Curcumin | 10 & 20 μM/ 0.2 mg | Neurite outgrowth in PC12 cells/Neurogenesis in mouse | [23,24] |
| Withania somnifera | Withanoside IV & VI | 1 μM | Axon & dendritic extension in rat cortical neurons | [4] |
| Camellia sinensis | EGCG | 0.1–1 μM | Neurite outgrowth in PC12 cells | [25] |
| Picrorhiza scrophulariiflora | Picroside I & II | 60 μM | Potentiating NGF induced neurite outgrowth in PC12D cells | [26] |
| Propolis | Artepillin C | 10, 20 & 50 μM | Potentiating NGF induced neurite outgrowth | [16] |
| Rehmannia glutinosa | Catalpol | 5, 15 & 50 mg | Increase in the number of mouse tyrosine hydroxylase positive cells | [27] |
| Citrus depressa | Nobiletin | 100 μM | Neurite outgrowth in PC12 cells | [28] |
| Sargassum macrocarpum | Sargaquinoic acid | 1.25–100 ng | Potentiating NGF induced neurite outgrowth in PC12D cells | [29] |
| Tripterygium wilfordii | Tripchlorolide | 10−10 M | Neurite outgrowth & survival of dopaminergic neurons. | [30] |
| Scutellaria baicalensis | Baicalein | 5 μg/ 50 & 200 mg | Neurite outgrowth in PC12cells/Increase & survival of rat TH-positive cells | [31] |
2. Natural Herbs and their Active Constituents with Neuritogenic Activity
2.1. Ginsenosides from ginseng
Panax ginseng (C. A. Meyer) and Panax japonicas (C. A. Meyer) are slow-growing perennial plants with fleshy roots belonging to the Araliaceae family. For many years, P. ginseng has been used as a medicinal plant in traditional oriental medicine [32]. P. ginseng is scientifically reported to have antiulcer [33], DNA damage inhibitory [34], antiapoptotic [35], antiobesity, antiinflammatory, antioxidant [36], antitumor and immunomodulatory [37], antidiabetic [38], hepatoprotective [39], antihypertensive [40], antiamnestic [41] and neuroprotective effects [42]. These bioactivities of ginseng are attributed to the presence of vivid active constituents such as triterpenes, saponins, essential oils (polyacetylenes and sesquiterpenes), polysaccharides, peptidoglycans, nitrogen-containing compounds and various ubiquitous compounds such as fatty acids, carbohydrates, and phenolic compounds [32]. Ginseng has been studied in a number of randomized clinical trials mainly investigating its effects on physical and psychomotor performance, cognitive function, immunomodulation, diabetes mellitus and herpes simplex type II infections [43].
Among 30 major ginsenosides, Rb1 (Figure 1A) and Rg1 (Figure 1B) were found to be the main active ingredients of Panax species [44]. Currently, ginseng is well studied for its neurite outgrowth activity in various in vitro and in vivo models. Recently, Rb1 is reported to induce the expression of BDNF and neurogenesis in rats with cerebral ischemia [21]. Methanolic extracts of ginseng (dried root of P. ginseng), red ginseng (steamed and dried root of P. ginseng), notoginseng (dried root of P. notoginseng) and Ye-Sanchi (dried rhizome and root of P. vietnamensis var. fuscidiscus) at a dose of 50 μg/mL increased neurite outgrowth in SK-N-SH cells, with the effects of red ginseng and Ye-Sanchi being particularly significant [4].
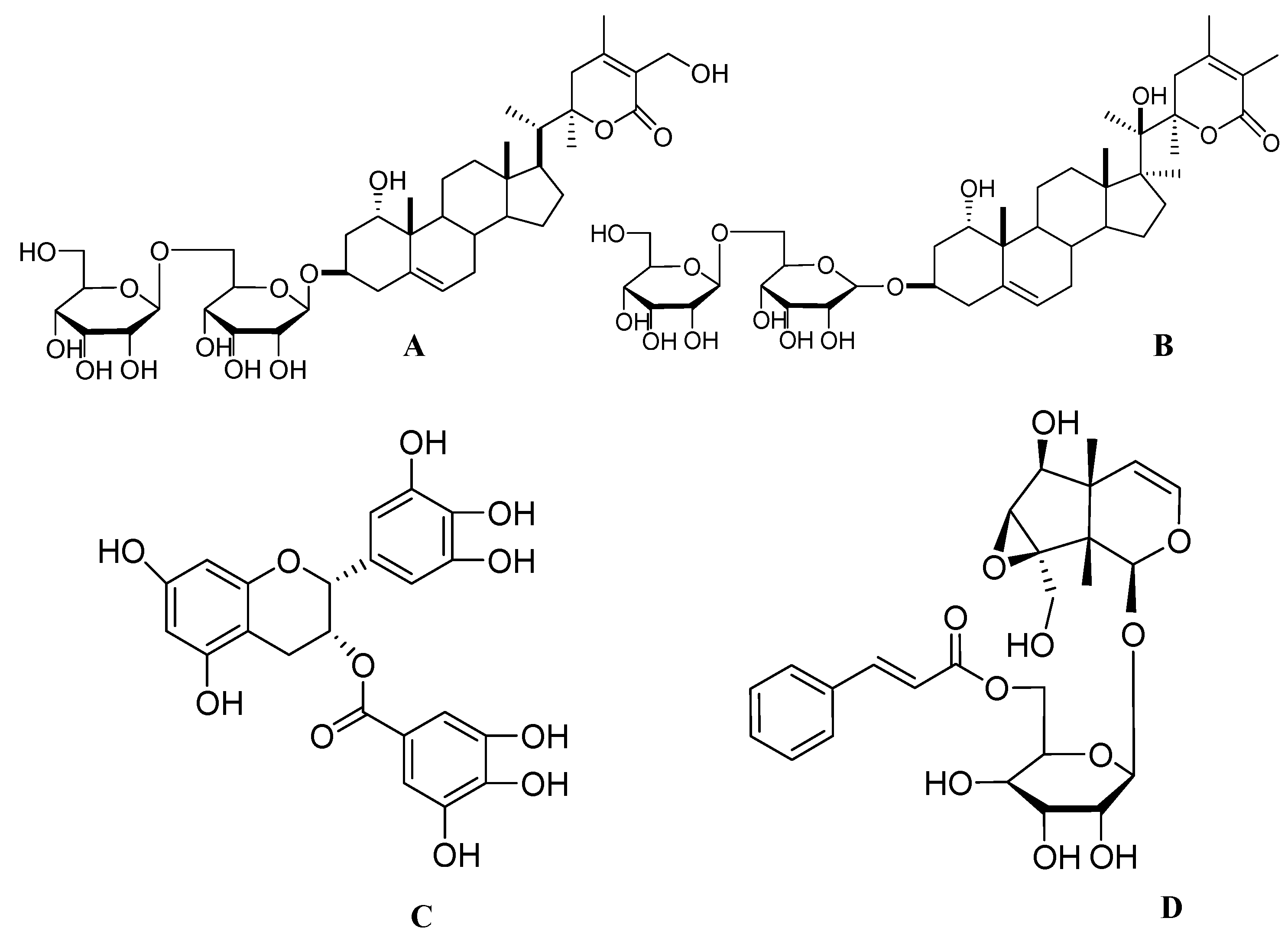
Figure 1.
The molecular structures of ginsenoside Rb1 (A), ginsenoside Rg1 (B), curcumin (C) and withanolide A (D).
Figure 1.
The molecular structures of ginsenoside Rb1 (A), ginsenoside Rg1 (B), curcumin (C) and withanolide A (D).

Methanolic extract of Ye-sanchi significantly increased neurite outgrowth in human neuroblastoma SK-N-SH cells. Further studies in the isolation yielded 15 neuroactive compounds from this extract. Out of 15 compounds, only four compounds, namely ginsenoside Rb1, ginsenoside Rb3, notoginsenoside Fa and notoginsenoside R4, each at a concentration of 100 μM, were found to produce a significant increase in the percentage of neurite outgrowth in SK-N-SH cells. Moreover, ginsenoside Rb1, ginsenoside Rb3 and notoginsenoside R4 significantly increased the total length of neurites, number of varicosities and sites of synaptic connection. These results suggest that these molecules are certainly useful for promotion of neuritogenesis [45]. Reports also indicated that Rb1 and Rg1 induce neurite outgrowth in cultured rat cerebral cortical neurons [46]. Ginsenoside Rb1 has also been found to potentiate nerve NGF mediated neurite outgrowth of chick dorsal root ganglia [47,48].
Ginsenosides Rb1 and Rg1 at a concentration of 10 mM have not only been found to enhance the survival of dopaminergic neurons by 19% and 14%, but also ameliorated the degenerative changes such as cell swelling and loss of neurites. Both these ginsenosides counteracted the degeneration by 1-methyl-4-phenylpyridine (MPP+) and significantly protected lengths and numbers of neurites of tyrosine hydroxylase (TH) positive cells. The stimulatory effects of both ginsenosides on survival of dopaminergic cells may be mediated through improving the energy metabolism and preserving the structural integrity of neurons. Cumulatively, ginsenosides Rb1 and Rg1 are promising molecules for promoting neurite outgrowth activity [22].
2.2. Curcumin from Curcuma longa
Curcumin from Curcuma longa L. of the Zingiberaceae family is a commonly used spice with well documented medicinal properties in Indian and Chinese medicine [49]. Curcumin (Figure 1C) has been reported to possess several beneficial bioactivities such as antiinflammatory [50], antioxidant [51], antimutagenic [52], antidiabetic [53], anticancer [54], antiangiogenic [55], antibacterial, antiviral [56], immunomodulatory [57], wound healing [58] and neuroprotective properties [59]. Curcumin is also under investigation for its clinical benefit in AD and colon cancer [60].
Recent reports have shown that extract of crude turmeric protects PC12 cells from an insult of 20 μg/mL of β-amyloid (1–42). Studies on curcuminoids also have reported neurite outgrowth activity at a dose of 10 and 20 μM in PC12 cells. Curcumin could possibly exhibit neurite outgrowth activity by extracellular signal-regulated kinase (ERK) and protein kinase C (PKC) dependent pathways [23]. Furthermore, curcumin at doses of 10 and 20 mg/kg, p.o. have also been shown to increase hippocampal neurogenesis in chronically stressed rats. Curcumin is also reported to significantly prevent stress-induced decrease in BDNF protein levels in the hippocampus [61]. Treatment of curcumin at a dose less than 0.2 mg/kg significantly increases the proliferation of neural stem cells and increases neurogenesis in the hippocampus of C57BL6 mice. Therefore use of curcumin would certainly be beneficial with regard to aging [62] and AD [24] wherein neurogenesis is compromised.
2.3. Withanosides from Withania somnifera
Withania somnifera (W. somnifera), popularly known as ashwagandha in ayurvedic medicine, belongs to the Solanaceae family. This herb has been used traditionally as a tonic and nootropic agent. Beside its traditional uses, ashwagandha also has immunomodulatory [63], antiamnestic [64], antioxidant, antimicrobial [65] and herbicidal activities [66]. W. somnifera has been tested in a double-blind placebo-controlled study for rheumatoid arthritis [67]. Majority of the active ingredients are found in the roots of this herb. Recent literature has shown that the methanolic extract of ashwagandha at 5 μg/mL induced neurite extension in human neuroblastoma SK-N-SH cells. Further isolation studies revealed some major active constituents such as withanolide A (Figure 1D), withanoside IV (Figure 2A) and withanoside VI (Figure 2B). One μM doses of each compound produced significant neurite outgrowth in dopaminergic SH-SY5Y cells [68]. Treatment of withanoside IV or withanoside VI induced a predominant dendritic outgrowth in cortical neurons, whereas predominant axonal outgrowth was observed after treatment with withanolide A in normal cortical neurons [69]. Withanolide A, withanoside IV and withanoside VI at a concentration of 1 μM prevented both dendritic and axonal atrophy in rat cortical neurons induced by β-amyloid (25–35). Furthermore, treatment with withanosides IV and VI tended to induce the growth of longer dendrites than treatment with withanolide A [4]. Thus ashwagandha provides a new option for promoting neuroregeneration.
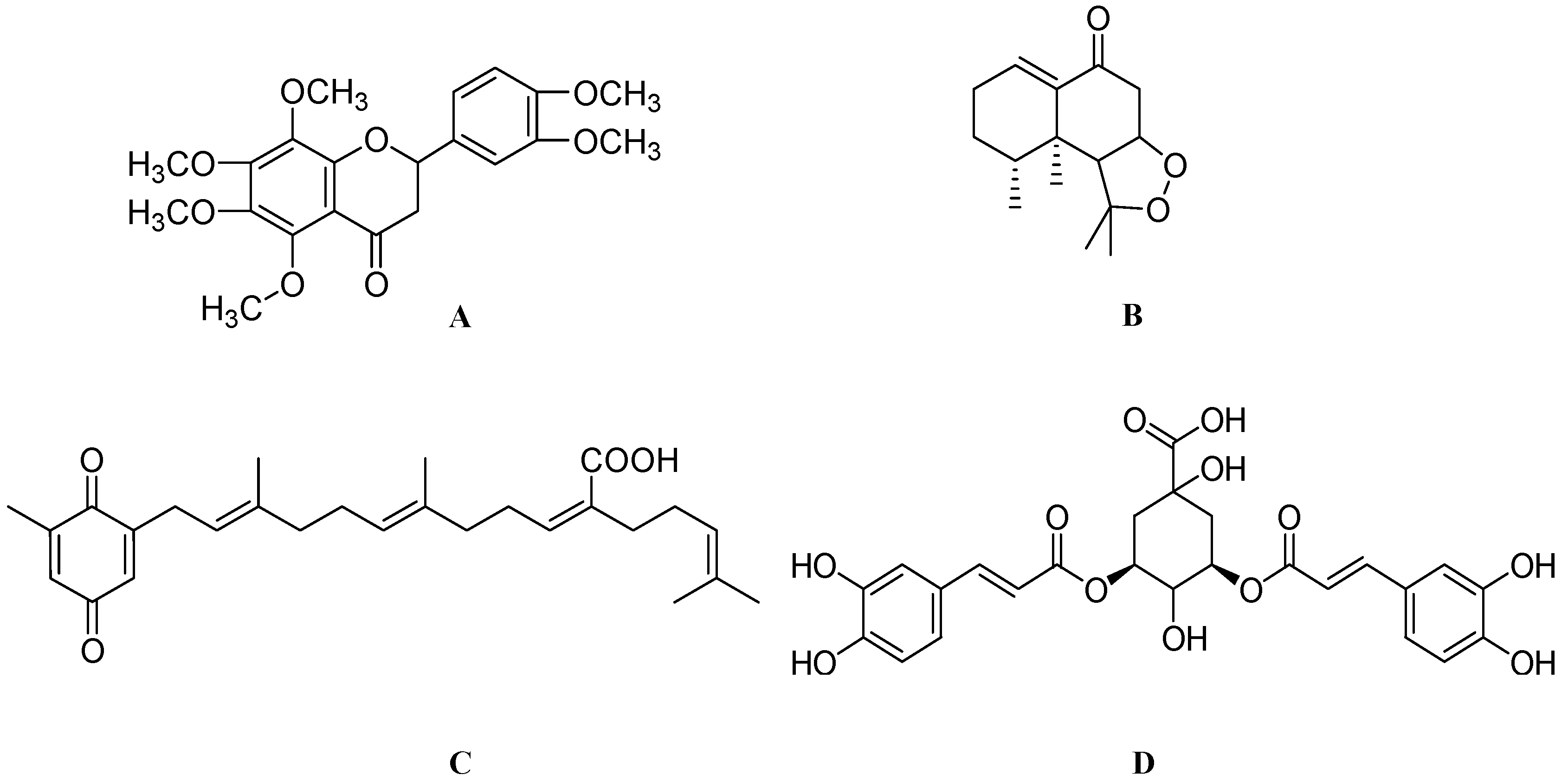
Figure 2.
The molecular structures of withanoside IV (A), withanoside VI (B), epigallocatechin-3-gallate (C) and picroside I (D).
Figure 2.
The molecular structures of withanoside IV (A), withanoside VI (B), epigallocatechin-3-gallate (C) and picroside I (D).

2.4. Green Tea Polyphenols from Camellia sinensis
Green tea obtained from Camellia sinensis is one of the oldest beverages, having several beneficial effects against cardiovascular disorders and obesity [70]. Green tea polyphenols (GTPP) are well known for their antioxidant effects. Polyphenols are natural substances present in beverages obtained from plants, fruits and vegetables. Flavonoids form the largest group of polyphenols, which include the flavone, isoflavone, flavanol, flavan, and flavonol subclasses [71]. Among the polyphenols present in GTPP, epigallocatechin-3-gallate (EGCG) (Figure 2C) has been found to possess an array of biological activities such as antioxidant, antibacterial [72], antiinflammatory [73], anticancer [74], antidiabetic [75], antihypertensive [76], and neuroprotective effects [77]. A world leading research group is also planning to start the first clinical trial with EGCG in patients with amyloid light-chain amyloidosis [78].
In a recent report, EGCG alone potentiated NGF induced neurite outgrowth in PC12 cells while other polyphenols present in GTPP, particularly epigallocatechin and epicatechin, did not show neurite outgrowth activity. When epigallocatechin and epicatechin were combined with EGCG, they synergistically promoted neurite outgrowth activity in PC12 cells. On the other hand, GTPP alone did not induce neurite outgrowth to an appreciable extent even at high concentrations of 1–5 µg/mL. However, GTPP in combination with a low concentration of NGF induced neurite outgrowth to an extent equivalent to that achieved with the high concentration of NGF alone. A combination of GTPP and NGF, besides increasing the number of neurites, also increased the branching and length of the neurites. In this case, the neurites grew to a length nearly two to four times longer than the cell body diameter. Another report supporting the above result also showed that EGCG at 0.1–1 μM induced neurite outgrowth in PC12 cells [25]. Cumulatively, these results indicate that GTPP potentiates NGF-induced neuritogenesis and may serve as an optional therapy for neurodegenerative disease [79].
2.5. Picrosides from Picrorhiza scrophulariiflora
Picrorhiza scrophulariiflora is a perennial traditional herb belonging to the family Scrophulariaceae. This herb grows in the high-altitude regions of Tibet, Yunnan and China. The roots of this plant are rich in terpenoids, iridoid glycosides, phenolic glycosides and phenylethanoid glycosides [80]. The dried rhizomes of Picrorhiza have long been used in Southeast Asia to treat inflammatory diseases such as arthritis and asthma [81]. Picrorhiza is scientifically reported to have immunomodulatory [82], hepatoprotective [83], antioxidant, antineoplastic [84], choleretic activity [85], hypolipidemic [86], antineuropathic [87] and neuroprotective activities [88]. Crude powder of Picrorhiza has also shown significant effect in a randomized, double-blind placebo controlled trial in patients diagnosed to have acute viral hepatitis [83]. Recently, picrosides I (Figure 2D) and II (Figure 3A) were shown to possess neuritogenic activity. Treatment of PC12D cells with picroside I and II at 60 μM did not show any neurite elongation. But combination of picrosides at 60 μM combined with NGF at 2 ng/mL produced a significant neurite outgrowth in PC12D cells [26]. Other studies have also reported that, picrosides I and II showed a concentration-dependent (more than 0.1 μM) enhancement of basic fibroblast growth factor (bFGF) at 2 ng/mL, staurosporine at 10 nM and dibutyryl cyclic AMP (dbcAMP) at 0.3 mM—induced neurite outgrowth from PC12D cells. Further mechanistic studies found that this effect was due to amplification of the intracellular Mitogen-activated protein kinase (MAPK)-dependent signaling pathway [10].
3. Other Miscellaneous Compounds and Extracts from Natural Sources that Show Neuritogenic Activity
Propolis is a resinous natural product obtained from various botanical sources [89]. Propolis has been shown to have a wide range of biological activities like antioxidant and anti-ischemic activity [90,91,92], principally due to the presence of flavonoids and caffeic acid phenethyl ester (CAPE) [93]. Recently a phase II clinical trial has shown effectiveness of a mouthwash containing propolis for the control of plaque and gingivitis [94]. The active ingredient in propolis is a low-molecular-weight polyphenolic compound named artepillin C (Figure 3B) (3,5-diprenyl-4-hydroxycinnamic acid). Different studies have also reported artepillin C to possess antibacterial activity and antitumor activity in vitro [95,96].
Neurite outgrowth activity of artepillin C was evaluated in PC12 mutant cell line (PC12m3) in which NGF-induced neurite outgrowth is impaired. The degree of neurite outgrowth shown by NGF alone in PC12m3 cells is insignificant. But artepillin C in combination with NGF significantly enhanced the neurite outgrowth in PC12m3 cells. The degree of neurite outgrowth induced by artepillin C at concentrations of 10, 20 and 50 µM were approximately 5.4, 7.4 and 6.0 times greater than that induced by NGF alone. Further studies revealed that artepillin C induced neurite outgrowth in PC12m3 cells was mediated by the p38-MAPK signaling pathway [16].
Astragaloside IV (AS-IV) (Figure 3C) is the active ingredient extracted from the dried root of Astragalus membranaceus (A. membranaceus) of the Fabaceae family. A. membranaceus is well-known in Traditional Chinese Medicine (TCM) and is used as a key herbal remedy for its antiinflammatory, antioxidative, cardio protective and immune system stimulating activities [97]. A very recent double-blind, placebo-controlled, randomized study has reported A. membranaceus to enhance recovery from hemorrhagic stroke [98]. The active ingredient AS-IV, extracted from the dried root of A. membranaceus was reported to inhibit free radicals, decrease lipid peroxidation and increase anti-oxidant enzymes [99]. Treatment of primary nigral cells (PNCs) with 6-hydroxyl dopamine (6-OHDA) along with AS-IV at a concentration of 50 and 100 µM showed most of the dopaminergic neurons were intact and sprouting. AS-IV also rescued primary dopamine neurons from 6-OHDA induced neurotoxicity and degeneration. Treatment of AS-IV alone at a dose of 100 and 200 µM also induced extensive neurite outgrowth from TH neurons. AS-IV also enhanced axonal regeneration and reconstruction of neuronal synapses and prevented β-amyloid (25–35) induced neuronal death [100]. Further mechanistic study found that regenerative and neuroprotective effect of AS-IV was due to its antioxidant activity [101].
Figure 3.
The molecular structures of picroside II (A), artepillin C (B), astragaloside IV (C) and pedicularioside A (D).
Figure 3.
The molecular structures of picroside II (A), artepillin C (B), astragaloside IV (C) and pedicularioside A (D).

Buddleia lindleyana (B. lindleyana) is a well-known Chinese medicinal herb belonging to the Scrophulariaceae family. B. lindleyana is widely used as an antiinflammatory medicine for the treatment of swelling, lung pain and wounds in Southwest China [102]. Pedicularioside A is the main active ingredient in B. lindleyana. Chemically, pedicularioside A (Figure 3D) is a phenylethanoid glycoside. Treatment of pedicularioside A offered a significant protective effect to cultured mesencephalic neurons exposed to MPP+. Pedicularioside A at a concentration of 16 μM produced increased number of viable cells as compared to control which suggests that pedicularioside A might have a neuroprotective effect. Pretreatment of pedicularioside A before MPP+ resulted in cells that displayed quite elongated and arborized processes, with the number of TH positive neurons decidedly higher than those seen in MPP+ control cultures. Moreover, the TH positive neurons in the cultures pre-treated with pedicularioside A were seen to have longer and more developed processes. These results indicate that pedicularioside A via its neuritogenic effect, inhibits MPP+ induced death and loss of dopaminergic neurons [103].
Catalpol (Figure 4A) is basically an iridoid extracted and purified from the Rehmannia glutinosa belonging to the Scrophulariaceae family. Some preliminary data in animal models suggests its antiamnestic effect [104] and amelioration of β-amyloid induced degeneration of cholinergic neurons by elevating BDNF levels [105]. In a chronic 1-methyl-4-phenyl-1,2,3,6-tetrahydropyridine (MPTP) mouse model it was found that, catalpol at doses of 5, 15 and 50 mg/kg/day significantly raised the average number of TH positive neurons in substantia nigra pars compacta (SNpc) and striatal dopamine transporter (DAT) density. Catalpol significantly increased glial derived neurotrophic factor (GDNF) protein and GDNF mRNA levels as compared to control. Since GDNF was mainly synthesized in astrocytes, the role played by astrocytes in the neuroregenerative effect of catalpol is important. Taken together, it is evident that catalpol mitigates the neurodegenerative decline of nigral TH neurons and promotes neurite outgrowth via elevating GDNF levels [27].
Scutellaria baicalensis is a well known Chinese medicinal herb belonging to the Lamiaceae family. Baicalein (Figure 4B) is the major active ingredient found in the roots of this herb. Baicalein is reported to be a potent antiinflammatory and antioxidant and has also been regarded as a 12/15-lipoxygenase and xanthine oxidase inhibitor [106,107]. Pretreatment of 6-OHDA lesioned PC12 cells with baicalein at concentrations of 0.5 and 5 μg/mL helps to form polygonal shapes in PC12 cells. This effect is very similar to the effect that is shown with NGF alone. Moreover, treatment of baicalein (50 and 200 mg) in an animal model of PD significantly increases TH positive neurons in SNpc. These results suggested that baicalein rescues dopaminergic neurons in 6-OHDA lesioned animals due to its neurite outgrowth activity [31].
Figure 4.
The molecular structures of catalpol (A), baicalein (B), berberine (C) and palmatine (D).
Figure 4.
The molecular structures of catalpol (A), baicalein (B), berberine (C) and palmatine (D).

Coptidis rhizoma is a Chinese perennial herb belonging to the Ranunculaceae family. This herb has an array of antimicrobial, antifungicidal and antimalarial activities [108,109]. The active ingredients are alkaloidic in nature and are mainly present in the rhizome of this herb. Recently a randomized controlled trial has reported the safety and effectiveness of JinQi-Jiangtang tablets containing alkaloids from Coptidis rhizome for pre-diabetes [110]. Treatment with a methanolic extract (50 and 100 μg/mL) of Coptidis Rhizoma effectively enhanced neurite outgrowth in PC12 cells. This extract yielded 3 active compounds after isolation namely, berberine (Figure 4C), palmatine (Figure 4D) and coptisine (Figure 5A). It is found that treatment to PC12 cells with berberine at 5 and 25 μg/mL enhanced the NGF-induced neural differentiation in PC12 cells. Palmatine and coptisine at 5 and 25 μg/mL had a weaker NGF-enhancing effect on PC12 cells. The mechanism of differentiation still remains to be elucidated but certainly these alkaloids may become promising agents in neuroregeneration [111].
Figure 5.
The molecular structures of coptisine (A), garciniaxanthone-E (B), 1,3,5,6-tetrahydroxy-4,7,8-tri(3-methyl-2-butenyl) xanthone (C) and liquiritin (D).
Figure 5.
The molecular structures of coptisine (A), garciniaxanthone-E (B), 1,3,5,6-tetrahydroxy-4,7,8-tri(3-methyl-2-butenyl) xanthone (C) and liquiritin (D).

Garcinia xanthochymus (G. xanthochymus) is a medicinal plant belonging to the family Guttiferae. G. xanthochymus is found to be rich in prenylated xanthones. The Garcinia species are rich in prenylated xanthones. One of the notable lead molecules among those is gambogic acid, which has been studied in phase II clinical trials in China as a prominent anticancer drug candidate [112]. Xanthone constituents have been reported to possess several biological activities such as antibacterial [113], antimalarial [114] and inhibition of cyclooxygenase and prostaglandin E2 [115]. Methanolic extract of G. xanthochymus contains two neuroactive compounds, garciniaxanthone-E (Figure 5B) and 1,3,5,6-tetrahydroxy-4,7,8-tri(3-methyl-2-butenyl)xanthone (Figure 5C). Treatment of the latter compound at 1–3 μM and garciniaxanthone-E at 1–10 μM did not promote neurite outgrowth from PC12D cells in the absence of NGF, but treatment of PC12D cells with 1,3,5,6-tetrahydroxy-4,7,8-tri(3-methyl-2-butenyl)xanthone at 3 μM and garciniaxanthone-E at 10 μM significantly increased the NGF-induced (2 ng/mL) proportion of neurite-bearing cells by 8.3% and 24.9% respectively. These results show the neuritogenic potential of garciniaxanthone-E and 1,3,5,6-tetrahydroxy-4,7,8-tri(3-methyl-2-butenyl) xanthone in combination with NGF [116].
Glycyrrhizae radix (G. radix), belonging to the family Leguminosae is a frequently used herb for detoxification purposes and to treat injury or swelling in traditional oriental medicine. Liquiritin (Figure 5D) was found to be main active ingredient in G. radix, having a range of pharmacological effects including neuroprotection [117,118]. Liquiritin used as a cream is reported to be effective in one of the clinical trials for melasma [119]. Scientific reports have shown that per se treatment of liquiritin did not trigger any differentiation of PC12 cells. Liquiritin (5–100 mg/mL) in the presence of a low dose NGF (2 ng/mL) produced a dose-dependent increase in neurite outgrowth in PC12 cells [117].
Nobiletin (Figure 6A) is a low-molecular-weight flavonoid from Citrus depressa and belongs to the family Rutaceae. Nobiletin has been shown to possess antiatherogenic effect [120]. Treatment of nobiletin (100 μM) induced neurite outgrowth in PC12D cells. Neurite outgrowth shown by nobiletin is due to its persistent increase in phosphorylation of mitogen-activated protein kinase kinase (MEK) leading to a sustained rise in phosphorylation of ERK1/2. Furthermore, phosphorylation of ERK1/2 was accompanied by a transient augmentation of cAMP response element-binding (CREB) phosphorylation and CRE dependent transcription. Nobiletin also caused a preferential inhibition of Ca2+/Calmodulin (CaM)-dependent phophodiesterase-1 (PDE1) activity. Inhibition of PDE1 thereby increases intracellular 3'-5'-cyclic adenosine monophosphate (cAMP) concentration to activate Protein Kinase A (PKA). These results certainly provide us with a new molecule having potential neuritogenic activity [28].
Figure 6.
The molecular structures of nobiletin (A), nardosinone (B), sargaquinoic acid (C) and (−)-3,5-dicaffeoyl-muco-quinic acid (D).
Figure 6.
The molecular structures of nobiletin (A), nardosinone (B), sargaquinoic acid (C) and (−)-3,5-dicaffeoyl-muco-quinic acid (D).

The roots and rhizomes of Nardostachys chinensis (N. chinensis), belonging to the family Valerianaceae, have long been used for stomach complaints and sedative purposes in oriental medicine [121]. Nardosinone (Figure 6B) is the main active ingredient obtained from the dried roots of N. chinensis. Individual treatment of nardosinone at high concentrations of 100 μM did not induce neurite outgrowth from PC12D cells while, per se treatment of NGF at 2 ng/mL induced little neurite outgrowth from PC12D cells. Combination of nardosinone with NGF at 2 ng/mL induced neurite outgrowth in PC12D cells in a concentration dependent manner. PC12D cells exposed to nardosinone at 100 μM with NGF at 2 ng/mL formed long neurites which extended to the neighboring cells over distances of 50 μm. Therefore nardosinone may serve as a useful compound for its neuritogenic potential [122].
Sargaquinoic acid (MC14) (Figure 6C) is a low molecular weight plastoquinone isolated from the marine brown alga Sargassum macrocarpum [29,123]. Treatment of PC12D cells with MC14 at 3 μg/mL in the presence of NGF at 1.25–100 ng/mL showed a dose-dependent enhancement in the proportion of neurite-bearing cells. Even the number of neurite branching and average neurite length in the MC14 treated PC12D cells was comparable to those induced by a higher dose of NGF (50 ng/mL). Further studies revealed PKC and MAPK-mediated signaling pathways are involved in the NGF dependent neurite outgrowth promoting activity of MC14 in PC12D cells [29]. These findings clearly demonstrate that MC14 can biochemically and morphologically promote the NGF-induced differentiation of PC12D cells [124].
Aster scaber T (A. scaber) belonging to the family of Asteraceae, has long been used in traditional Korean and Chinese medicine to treat bruises, snakebites, headache and dizziness [125,126]. The main active ingredient isolatedfrom A. scaber, which induces neurite outgrowth in PC12 cells is (−)-3,5-dicaffeoyl-muco-quinic acid (DQ, Figure 6D). Treatment with DQ at 1, 5 and 10 μM/mL to PC12 cells demonstrated neurite outgrowth and neuronal differentiation in a dose-dependent manner. The potency of DQ at 10 μM was similar to that of NGF at 50 ng/mL. Further studies found that DQ causes the activation of ERK1/2 and phosphatidylinositol 3-kinase (PI3K) in the neurotrophic tyrosine kinase receptor type 1 (Ntrk1) dependent pathway which further leads to the differentiation of PC12 cells [11].
Trigonelline (Figure 7A) is an alkaloid found in beans of Coffea arabica and belongs to the family of Rubiaceae. Coffee is generally consumed as a stimulant drink which not only acts on the CNS but also has an effect on cardiovascular function [4]. Recently in a randomized crossover trial in healthy men, ingestion of trigonelline led to decrease in glucose and insulin concentrations after an oral glucose load [127].
Figure 7.
The molecular structures of trigonelline (A), genipin (B), tripchlorolide (C) and R=α-L-rhap (1→4)-α-L-rhap (1→4) [α-L-rhap (1→2)]-β-D-glcp (D).
Figure 7.
The molecular structures of trigonelline (A), genipin (B), tripchlorolide (C) and R=α-L-rhap (1→4)-α-L-rhap (1→4) [α-L-rhap (1→2)]-β-D-glcp (D).

Treatment with methanolic extract of coffee beans significantly increases the formation of neurites in human neuroblastoma SK-N-SH cells. Trigonelline was identified as the active ingredient of the extract and per se treatment of trigonelline at 30 μM increases the percentage of cells with neurites in SK-N-SH cells. In addition to this, trigonelline also showed a dose-dependent (30 and 100 μM) decrease in dendritic and axonal atrophy induced by β-amyloid in rat cortical neurons [4,128].
Genipin (Figure 7B) is the main active ingredient obtained from an extract of Gardenia fructus. Genipin is basically an iridoid and chemically an aglycone of geniposide. Iridoid compounds have been reported to possess various biological activities such as antimicrobial [129], anticancer [130], hemodynamic [131], choleretic [132] and hepatoprotective activity [133]. Treatment of genipin at 5 μg/mL on Neuro2a cells significantly induces neurite outgrowth through a nitric oxide (NO)-cyclic guanosine monophosphate (cGMP)-protein kinase G (PKG) signaling pathway which is then followed by ERK1/2 activation in Neuro2a cells. These findings suggest that genipin is a novel compound having a promising neuritogenic effect [134].
Tripterygium wilfordii Hook F (T. wilfordii) is a Chinese traditional herb belonging to the family Celastraceae. In addition of being used in the treatment of rheumatoid arthritis, this herb is also known for its antiinflammatory and immunosuppressive properties [135]. In a 20-week placebo-controlled study of ethanolic extract of Tripterygium wilfordi hook F (TWHF), a dose-dependent effect was seen in patients with rheumatoid arthritis [136]. One of the active ingredients of T. wilfordiiis is tripchlorolide (TW397) (Figure 7C). Chemically TW397 is a diterpene triepoxide and structurally analogous to the major active ingredient triptolide. Treatment of mesencephalic neurons with TW397 at 10−10 M promoted neurite elongation by 43% as compared to a vehicle treated group and also increased expression of BDNF mRNA. TW397 at nanomolar concentrations exhibited potent neurotrophic effects and also protected dopaminergic neurons from degeneration induced by both MPP+ and 6-OHDA model [30].
Smilax bockii Warb belonging to the family of Liliaceae is used to treat rheumatoid arthritis and some women-related ailments in TCM [137]. Scientific studies of this plant also showed its antiinflammatory activity [138]. The active ingredient in this herb is chemically a steroid saponin with an R group as α-L-rhap (1→4)-α-L-rhap (1→4) [α-L-rhap (1→2)]-β-D-glcp (Figure 7D). Although treatment with this compound alone at 6, 20 and 60 μg/mL did not show any effect on neurite outgrowth in PC12D cells, combination of 60 μg/mL with NGF (2 ng/mL) showed a significant increase in the proportion of neurite-bearing cells in PC12D cells [138].
Verbena littoralis, popularly known as seashore vervain or Brazilian vervain, belongs to the Verbenaceae family. Currently Verbena littoralis is used in traditional Central and South American folk medicine against fever, gastrointestinal disorders and some sexually transmitted diseases [139]. The active ingredient in Verbena litoralis was found to be littorachalcone (Figure 8A). Littorachalcone is chemically a dimeric dihydrochalcone. It was observed that per se treatment of littorachalcone (1–30 μM) to PC12D cells did not affect their morphology, but reasonably enhanced the NGF (2 ng/mL) induced increase in the proportion of neurite bearing cells [140].
Figure 8.
The molecular structures of littorachalcone (A) and gentiside C (B).
Figure 8.
The molecular structures of littorachalcone (A) and gentiside C (B).

Gentiana rigescens Franch (G. rigescens) belonging to the family Gentianaceae, is a well known Chinese medicinal herb. Gentisides found in G. rigescens were found to induce neurite outgrowth in PC12 cells. Out of 11 different gentisides, only gentiside A, gentiside B and gentiside C (Figure 8B) exhibited neurite elongation in PC12 cells. Gentiside C (0.03–1 M) showed a dose dependent increase in neurite elongation. Treatment with gentiside C at a concentration of 1 M to PC12 cells also produced long multipolar and bipolar neuritic outgrowths which were similar to those produced following treatment with NGF at 40 ng/mL [141,142].
Silybum marianum (milk thistle) is a member of the aster family (Asteraceae or Compositae) which includes daisies and thistles such as the common thistle and artichoke. Milk thistle is an herbal supplement that is claimed to have anticancer activity [143] and also beneficial in treating liver [144] and immune disorders [145]. Derivatives of milk thistle have been used over 2,000 years for their beneficial effects. Milk thistle contains many different chemicals, among which silymarin has been found to abate oxidative stress and apoptosis [146]. Silymarin is also been reported to show good results in a double-blind controlled study for its effect on alcoholic liver disease [147]. Milk thistle extract at 100 μg/mL significantly increased the rate of neurite outgrowth in PC12 cells. This neurotrophic effect suggests a potential for the use of milk thistle extract as a neuroprotective or neurotrophic agent in the treatment of neurological disorders [148].
Ganoderma lucidum also known as ganoderma or lingzhi belongs to the family Ganodermataceae. Ganoderma is a medicinal Chinese mushroom which possesses tumoricidal [149,150] and immunomodulatory activities [151,152]. Treatment of PC12 cells with ganoderma extract at 50 and 100 mg/mL produced neuronal phenotypes including compaction of cell bodies and the extension of neurites. More importantly, ganoderma extract also protected neurons from apoptosis induced by NGF (50 ng/mL) withdrawal. This activity was found to be due to activated MAPK and CREB pathways that are important in regulating the growth and differentiation of PC12 cells [153].
Melia toosendan is a well-known TCM effective for the treatment of malaria and stomach aches caused by roundworm [154]. Treatment of PC12 cells with the crude fruit extract of M. toosendan at 30 μg/mL resulted in more than 90% of the PC12 cells bearing numerous and elongated neurite extensions. This effect of M. toosendan is mediated by the activation of PKC and ERK1/2 signaling pathway. Taken together, these findings show the presence of neuroactive compounds in M. toosendan that promote neuronal differentiation [155].
Extract of Cuscuta chinensis (C. chinensis) is one of the important TCM used as a liver tonic. The herb has various biological effects like antiaging and cognition enhancement [156]. Treatment of PC12 cells with C. chinensis glycoside (200 mg/L) increased the proportion of neurite-bearing cells and also transformed them to neuronal cells. Further mechanistic studies revealed that MAPK-mediated signaling pathways are involved in neuronal differentiation [157].
In summary, most of the compounds evaluated for their neuritogenic activities are derived from plant sources. Among all the majority of in vitro models mentioned, neurite outgrowth was basically induced by compounds from natural sources alone or in combination with neurotrophic factors such as NGF. It is also evident from the reports that these compounds show a synergistic effect in their neuritogenic action when combined with NGF.
Based on several reports, compounds from natural sources basically act intracellularly by causing amplification in some specific downstream MAPK signaling pathways like ERK1/2 and p38-MAPK, leading to phosphorylation of CREB and resulting in neurite formation (Figure 9). Another mechanism involved in the induction of neuritogenesis by compounds from natural sources is by generating sublethal levels of reactive oxygen species (ROS) inside the cell. ROS inactivates phosphatase and increases the phosphorylation of Ntrk1 and subsequent activation of ERK1/2 to increase the expression of neuronal marker genes and potentiates NGF-induced neuritogenesis (Figure 9) [79].
Natural compounds have also been found to increase levels of neurotrophic factors like GDNF and BDNF [27,30,61]. Increase in GDNF and BDNF levels further adds to neurite outgrowth activity of natural compounds. Despite of the significant increase in our knowledge of the signaling events activated by various compounds from natural sources, many other mechanisms can still be addressed for a comprehensive understanding of neurite outgrowth activity.
Figure 9.
Schematic represents the main molecular mechanisms involved in neurite outgrowth shown by molecules from natural origin.
Figure 9.
Schematic represents the main molecular mechanisms involved in neurite outgrowth shown by molecules from natural origin.

4. Conclusions
Herbal therapies are one of the most commonly used forms of complementary and alternative medical (CAM) therapies [158]. Discovery of neurogenesis in the adult brain has given attractive therapeutic perspectives for a variety of brain injuries. Recently, a large number of natural products and their isolated compounds possessing neuritogenic activity have been discovered. However, the total acceptance of plant-derived drugs and phytotherapy in medicine can only occur if these products fulfill the same criteria of efficacy, safety and quality control as synthetic products [159]. As compared to synthetic molecules, natural products are structurally diverse and complex with more stereogenic centers and fewer halogen or nitrogen atoms. Naturally active substances usually are good lead molecules, but unlikely to meet the demands for druggability. Therefore, it is necessary to modify and optimize these structural phenotypes. The strategy of structural modification will help us to increase potency, selectivity, improve physico-chemical, biochemical and pharmacokinetic properties and eliminate or reduce side effects [160].
In spite of all the difficulties and limitations, the reviewed current experimental data certainly provides some hope in the identification and understanding of natural products and their active compounds that might be able to induce neurite outgrowth in humans. A move over from in vitro cell line studies to in vivo animal experiments and eventually human trials is essential. Contribution by the compounds from natural sources to presently available drug is really significant. Some of drugs obtained from natural origin are morphine, codeine, digoxin, quinine, vincristrine and atropine [161,162].
Though the available information is discrete, we believe that developments in the near future will allow a better understanding of the molecular mechanisms underlying the complex interplay between neuritogenic compounds from natural sources and various factors regulating neurite outgrowth, thereby making it possible to develop drugs promoting neuronal regeneration. Each piece of knowledge gained from these investigations will help in understanding neuritogenesis, a central process in the human brain, which presents itself as one of the most fascinating and complex subjects in neuroregeneration.
Acknowledgments
This research was supported by the High Value-added Food Technology Development Program; and the Ministry for Food, Agriculture, Forestry, and Fisheries, and also supported by the Regional Innovation Center (RIC) Program of the Ministry of Knowledge Economy through the Bio-Food & Drug Research Center at Konkuk University, Korea.
References
- Enciu, A.M.; Nicolescu, M.I.; Manole, C.G.; Muresanu, D.F.; Popescu, L.M.; Popescu, B.O. Neuroregeneration in neurodegenerative disorders. BMC Neurol. 2011, 11, 75. [Google Scholar] [CrossRef]
- Kiryushko, D.; Berezin, V.; Bock, E. Regulators of neurite outgrowth: Role of cell adhesion molecules. Ann. NY Acad. Sci. 2004, 1014, 140–154. [Google Scholar] [CrossRef]
- Hagg, T. From neurotransmitters to neurotrophic factors to neurogenesis. Neuroscientist 2009, 15, 20–27. [Google Scholar] [CrossRef]
- Tohda, C.; Kuboyama, T.; Komatsu, K. Search for natural products related to regeneration of the neuronal network. Neurosignals 2005, 14, 34–45. [Google Scholar] [CrossRef]
- Filbin, M.T. Axon regeneration: Vaccinating against spinal cord injury. Curr. Biol. 2000, 10, R100–R103. [Google Scholar] [CrossRef]
- Fournier, A.E.; Strittmatter, S.M. Repulsive factors and axon regeneration in the CNS. Curr. Opin. Neurobiol. 2001, 11, 89–94. [Google Scholar] [CrossRef]
- McKerracher, L. Spinal cord repair: Strategies to promote axon regeneration. Neurobiol. Dis. 2001, 8, 11–18. [Google Scholar] [CrossRef]
- Pesavento, E.; Capsoni, S.; Domenici, L.; Cattaneo, A. Acute cholinergic rescue of synaptic plasticity in the neurodegenerating cortex of anti-nerve-growth-factor mice. Eur. J. Neurosci. 2002, 15, 1030–1036. [Google Scholar] [CrossRef]
- Brinton, R.D.; Yamazaki, R.; Gonzalez, C.M.; O’Neill, K.; Schreiber, S.S. Vasopressin-induction of the immediate early gene, NGFI-A, in cultured hippocampal glial cells. Brain Res. Mol. Brain Res. 1998, 57, 73–85. [Google Scholar]
- Li, P.; Matsunaga, K.; Yamakuni, T.; Ohizumi, Y. Picrosides I and II, selective enhancers of the mitogen-activated protein kinase-dependent signaling pathway in the action of neuritogenic substances on PC12D cells. Life Sci. 2002, 71, 1821–1835. [Google Scholar] [CrossRef]
- Hur, J.Y.; Lee, P.; Kim, H.; Kang, I.; Lee, K.R.; Kim, S.Y. (−)-3,5-Dicaffeoyl-muco-quinic acid isolated from Aster scaber contributes to the differentiation of PC12 cells: Through tyrosine kinase cascade signaling. Biochem. Biophys. Res. Commun. 2004, 313, 948–953. [Google Scholar] [CrossRef]
- Nagao, H.; Matsuoka, I.; Kurihara, K. Effects of phorbol ester on expression of CNTF-mRNA in cultured astrocytes from rat olfactory bulb. Brain Res. 1996, 719, 23–28. [Google Scholar] [CrossRef]
- Li, P.; Matsunaga, K.; Yamakuni, T.; Ohizumi, Y. Nardosinone, the first enhancer of neurite outgrowth-promoting activity of staurosporine and dibutyryl cyclic AMP in PC12D cells. Brain Res. Dev. Brain Res. 2003, 145, 177–183. [Google Scholar]
- Sagara, Y.; Vanhnasy, J.; Maher, P. Induction of PC12 cell differentiation by flavonoids is dependent upon extracellular signal-regulated kinase activation. J. Neurochem. 2004, 90, 1144–1155. [Google Scholar] [CrossRef]
- Guo, Y.; Xu, J.; Li, Y.; Watanabe, R.; Oshima, Y.; Yamakuni, T.; Ohizumi, Y. Iridoids and sesquiterpenoids with NGF-potentiating activity from the rhizomes and roots of Valeriana fauriei. Chem. Pharm. Bull. (Tokyo) 2006, 54, 123–125. [Google Scholar] [CrossRef]
- Kano, Y.; Horie, N.; Doi, S.; Aramaki, F.; Maeda, H.; Hiragami, F.; Kawamura, K.; Motoda, H.; Koike, Y.; Akiyama, J.; et al. Artepillin C derived from propolis induces neurite outgrowth in PC12m3 cells via ERK and p38 MAPK pathways. Neurochem. Res. 2008, 33, 1795–1803. [Google Scholar] [CrossRef]
- Shibata, T.; Nakahara, H.; Kita, N.; Matsubara, Y.; Han, C.; Morimitsu, Y.; Iwamoto, N.; Kumagai, Y.; Nishida, M.; Kurose, H.; et al. A food-derived synergist of NGF signaling: Identification of protein tyrosine phosphatase 1B as a key regulator of NGF receptor-initiated signal transduction. J. Neurochem. 2008, 107, 1248–1260. [Google Scholar] [CrossRef]
- Connor, B.; Dragunow, M. The role of neuronal growth factors in neurodegenerative disorders of the human brain. Brain Res. Brain Res. Rev. 1998, 27, 1–39. [Google Scholar] [CrossRef]
- Siegel, G.J.; Chauhan, N.B. Neurotrophic factors in Alzheimer’s and Parkinson’s disease brain. Brain Res. Brain Res. Rev. 2000, 33, 199–227. [Google Scholar]
- Kaneko, N.; Sawamoto, K. Adult neurogenesis and its alteration under pathological conditions. Neurosci. Res. 2009, 63, 155–164. [Google Scholar] [CrossRef]
- Gao, X.Q.; Yang, C.X.; Chen, G.J.; Wang, G.Y.; Chen, B.; Tan, S.K.; Liu, J.; Yuan, Q.L. Ginsenoside Rb1 regulates the expressions of brain-derived neurotrophic factor and caspase-3 and induces neurogenesis in rats with experimental cerebral ischemia. J. Ethnopharmacol. 2010, 132, 393–399. [Google Scholar] [CrossRef]
- Radad, K.; Gille, G.; Moldzio, R.; Saito, H.; Ishige, K.; Rausch, W.D. Ginsenosides Rb1 and Rg1 effects on survival and neurite growth of MPP+-affected mesencephalic dopaminergic cells. J. Neural Transm. 2004, 111, 37–45. [Google Scholar] [CrossRef]
- Liao, K.K.; Wu, M.J.; Chen, P.Y.; Huang, S.W.; Chiu, S.J.; Ho, C.T.; Yen, J.H. Curcuminoids Promote Neurite Outgrowth in PC12 Cells through MAPK/ERK- and PKC-Dependent Pathways. J. Agric. Food Chem. 2012, 60, 433–443. [Google Scholar] [CrossRef]
- Haughey, N.J.; Nath, A.; Chan, S.L.; Borchard, A.C.; Rao, M.S.; Mattson, M.P. Disruption of neurogenesis by amyloid beta-peptide, and perturbed neural progenitor cell homeostasis, in models of Alzheimer’s disease. J. Neurochem. 2002, 83, 1509–1524. [Google Scholar] [CrossRef]
- Reznichenko, L.; Amit, T.; Youdim, M.B.; Mandel, S. Green tea polyphenol (−)-epigallocatechin-3-gallate induces neurorescue of long-term serum-deprived PC12 cells and promotes neurite outgrowth. J. Neurochem. 2005, 93, 1157–1167. [Google Scholar] [CrossRef]
- Li, P.; Matsunaga, K.; Yamakuni, T.; Ohizumi, Y. Potentiation of nerve growth factor-action by picrosides I and II, natural iridoids, in PC12D cells. Eur. J. Pharmacol. 2000, 406, 203–208. [Google Scholar] [CrossRef]
- Xu, G.; Xiong, Z.; Yong, Y.; Wang, Z.; Ke, Z.; Xia, Z.; Hu, Y. Catalpol attenuates MPTP induced neuronal degeneration of nigral-striatal dopaminergic pathway in mice through elevating glial cell derived neurotrophic factor in striatum. Neuroscience 2010, 167, 174–184. [Google Scholar] [CrossRef]
- Nagase, H.; Yamakuni, T.; Matsuzaki, K.; Maruyama, Y.; Kasahara, J.; Hinohara, Y.; Kondo, S.; Mimaki, Y.; Sashida, Y.; Tank, A.W.; et al. Mechanism of neurotrophic action of nobiletin in PC12D cells. Biochemistry 2005, 44, 13683–13691. [Google Scholar]
- Tsang, C.K.; Kamei, Y. Sargaquinoic acid supports the survival of neuronal PC12D cells in a nerve growth factor-independent manner. Eur. J. Pharmacol. 2004, 488, 11–18. [Google Scholar] [CrossRef]
- Li, F.Q.; Cheng, X.X.; Liang, X.B.; Wang, X.H.; Xue, B.; He, Q.H.; Wang, X.M.; Han, J.S. Neurotrophic and neuroprotective effects of tripchlorolide, an extract of Chinese herb Tripterygium wilfordii Hook F, on dopaminergic neurons. Exp. Neurol. 2003, 179, 28–37. [Google Scholar] [CrossRef]
- Mu, X.; He, G.; Cheng, Y.; Li, X.; Xu, B.; Du, G. Baicalein exerts neuroprotective effects in 6-hydroxydopamine-induced experimental parkinsonism in vivo and in vitro. Pharmacol. Biochem. Behav. 2009, 92, 642–648. [Google Scholar] [CrossRef]
- Lee, S.Y.; Kim, Y.K.; Il Park, N.; Kim, C.S.; Lee, C.Y.; Park, S.U. Chemical constituents and biological activities of the berry of Panax ginseng. J. Med. Plants Res. 2010, 4, 349–353. [Google Scholar]
- Yamahara, J.; Kubomura, Y.; Miki, K.; Fujimura, H. Anti-ulcer action of Panax japonicus rhizome. J. Ethnopharmacol. 1987, 19, 95–101. [Google Scholar] [CrossRef]
- Park, S.; Yeo, M.; Jin, J.H.; Lee, K.M.; Jung, J.Y.; Choue, R.; Cho, S.W.; Hahm, K.B. Rescue of Helicobacter pylori-induced cytotoxicity by red ginseng. Dig. Dis. Sci. 2005, 50, 1218–1227. [Google Scholar] [CrossRef]
- Sathishkumar, N.; Sathiyamoorthy, S.; Ramya, M.; Yang, D.U.; Lee, H.N.; Yang, D.C. Molecular docking studies of anti-apoptotic BCL-2, BCL-XL, and MCL-1 proteins with ginsenosides from Panax ginseng. J. Enzyme Inhib. Med. Chem. [CrossRef]
- Hong, C.E.; Lyu, S.Y. Anti-inflammatory and Anti-oxidative Effects of Korean Red Ginseng Extract in Human Keratinocytes. Immune Netw. 2011, 11, 42–49. [Google Scholar] [CrossRef]
- Ni, W.; Zhang, X.; Wang, B.; Chen, Y.; Han, H.; Fan, Y.; Zhou, Y.; Tai, G. Antitumor activities and immunomodulatory effects of ginseng neutral polysaccharides in combination with 5-fluorouracil. J. Med. Food 2010, 13, 270–277. [Google Scholar] [CrossRef]
- Lee, K.T.; Jung, T.W.; Lee, H.J.; Kim, S.G.; Shin, Y.S.; Whang, W.K. The antidiabetic effect of ginsenoside Rb2 via activation of AMPK. Arch. Pharm. Res. 2011, 34, 1201–1208. [Google Scholar] [CrossRef]
- Lo, Y.T.; Tsai, Y.H.; Wu, S.J.; Chen, J.R.; Chao, J.C. Ginsenoside Rb1 inhibits cell activation and liver fibrosis in rat hepatic stellate cells. J. Med. Food 2011, 14, 1135–1143. [Google Scholar] [CrossRef]
- Karmazyn, M.; Moey, M.; Gan, X.T. Therapeutic potential of ginseng in the management of cardiovascular disorders. Drugs 2011, 71, 1989–2008. [Google Scholar] [CrossRef]
- Yang, J.H.; Han, S.J.; Ryu, J.H.; Jang, I.S.; Kim, D.H. Ginsenoside Rh2 ameliorates scopolamine-induced learning deficit in mice. Biol. Pharm. Bull. 2009, 32, 1710–1715. [Google Scholar] [CrossRef]
- Zhu, J.; Jiang, Y.; Wu, L.; Lu, T.; Xu, G.; Liu, X. Suppression of local inflammation contributes to the neuroprotective effect of ginsenoside Rb1 in rats with cerebral ischemia. Neuroscience 2011, 202, 342–351. [Google Scholar]
- Xiang, Y.Z.; Shang, H.C.; Gao, X.M.; Zhang, B.L. A comparison of the ancient use of ginseng in traditional Chinese medicine with modern pharmacological experiments and clinical trials. Phytother. Res. 2008, 22, 851–858. [Google Scholar] [CrossRef]
- Lee, J.H.; Kim, S.R.; Bae, C.S.; Kim, D.; Hong, H.; Nah, S. Protective effect of ginsenosides, active ingredients of Panax ginseng, on kainic acid-induced neurotoxicity in rat hippocampus. Neurosci. Lett. 2002, 325, 129–133. [Google Scholar] [CrossRef]
- Zou, K.; Zhu, S.; Meselhy, M.R.; Tohda, C.; Cai, S.; Komatsu, K. Dammarane-type Saponins from Panax japonicus and their neurite outgrowth activity in SK-N-SH cells. J. Nat. Prod. 2002, 65, 1288–1292. [Google Scholar] [CrossRef]
- Sugaya, A.; Yuzurihara, M.; Tsuda, T.; Yasuda, K.; Kajiwara, K.; Sugaya, E. Proliferative effect of ginseng saponin on neurite extension of primary cultured neurons of the rat cerebral cortex. J. Ethnopharmacol. 1988, 22, 173–181. [Google Scholar] [CrossRef]
- Saito, H.; Suda, K.; Schwab, M.; Thoenen, H. Potentiation of the NGF-mediated nerve fiber outgrowth by ginsenoside Rb1 in organ cultures of chicken dorsal root ganglia. Jpn. J. Pharmacol. 1977, 27, 445–451. [Google Scholar] [CrossRef]
- Nishiyama, N.; Cho, S.I.; Kitagawa, I.; Saito, H. Malonylginsenoside Rb1 potentiates nerve growth factor (NGF)-induced neurite outgrowth of cultured chick embryonic dorsal root ganglia. Biol. Pharm. Bull. 1994, 17, 509–513. [Google Scholar] [CrossRef]
- Maheshwari, R.K.; Singh, A.K.; Gaddipati, J.; Srimal, R.C. Multiple biological activities of curcumin: A short review. Life Sci. 2006, 78, 2081–2087. [Google Scholar] [CrossRef]
- Olivera, A.; Moore, T.W.; Hu, F.; Brown, A.P.; Sun, A.; Liotta, D.C.; Snyder, J.P.; Yoon, Y.; Shim, H.; Marcus, A.I.; et al. Inhibition of the NF-kappaB signaling pathway by the curcumin analog, 3,5-Bis(2-pyridinylmethylidene)-4-piperidone (EF31): Anti-inflammatory and anti-cancer properties. Int. Immunopharmacol. 2011, 12, 368–377. [Google Scholar]
- Nakmareong, S.; Kukongviriyapan, U.; Pakdeechote, P.; Donpunha, W.; Kukongviriyapan, V.; Kongyingyoes, B.; Sompamit, K.; Phisalaphong, C. Antioxidant and vascular protective effects of curcumin and tetrahydrocurcumin in rats with L-NAME-induced hypertension. Naunyn Schmiedebergs Arch. Pharmacol. 2011, 383, 519–529. [Google Scholar] [CrossRef]
- Park, S.H.; Jang, J.H.; Chen, C.Y.; Na, H.K.; Surh, Y.J. A formulated red ginseng extract rescues PC12 cells from PCB-induced oxidative cell death through Nrf2-mediated upregulation of heme oxygenase-1 and glutamate cysteine ligase. Toxicology 2010, 278, 131–139. [Google Scholar] [CrossRef]
- Jackson-Guilford, J.; Leander, J.D.; Nisenbaum, L.K. The effect of streptozotocin-induced diabetes on cell proliferation in the rat dentate gyrus. Neurosci. Lett. 2000, 293, 91–94. [Google Scholar] [CrossRef]
- Wilken, R.; Veena, M.S.; Wang, M.B.; Srivatsan, E.S. Curcumin: A review of anti-cancer properties and therapeutic activity in head and neck squamous cell carcinoma. Mol. Cancer 2011, 10, 12. [Google Scholar] [CrossRef]
- El-Azab, M.; Hishe, H.; Moustafa, Y.; El-Awady, S. Anti-angiogenic effect of resveratrol or curcumin in Ehrlich ascites carcinoma-bearing mice. Eur. J. Pharmacol. 2011, 652, 7–14. [Google Scholar] [CrossRef]
- Singh, R.K.; Rai, D.; Yadav, D.; Bhargava, A.; Balzarini, J.; De Clercq, E. Synthesis, antibacterial and antiviral properties of curcumin bioconjugates bearing dipeptide, fatty acids and folic acid. Eur. J. Med. Chem. 2010, 45, 1078–1086. [Google Scholar] [CrossRef]
- Srivastava, R.M.; Singh, S.; Dubey, S.K.; Misra, K.; Khar, A. Immunomodulatory and therapeutic activity of curcumin. Int. Immunopharmacol. 2011, 11, 331–341. [Google Scholar] [CrossRef]
- Madhyastha, R.; Madhyastha, H.; Nakajima, Y.; Omura, S.; Maruyama, M. Curcumin facilitates fibrinolysis and cellular migration during wound healing by modulating urokinase plasminogen activator expression. Pathophysiol. Haemost. Thromb. 2010, 37, 59–66. [Google Scholar]
- Kuo, C.P.; Lu, C.H.; Wen, L.L.; Cherng, C.H.; Wong, C.S.; Borel, C.O.; Ju, D.T.; Chen, C.M.; Wu, C.T. Neuroprotective effect of curcumin in an experimental rat model of subarachnoid hemorrhage. Anesthesiology 2011, 115, 1229–1238. [Google Scholar]
- Hatcher, H.; Planalp, R.; Cho, J.; Torti, F.M.; Torti, S.V. Curcumin: From ancient medicine to current clinical trials. Cell Mol. Life Sci. 2008, 65, 1631–1652. [Google Scholar] [CrossRef]
- Xu, Y.; Ku, B.; Cui, L.; Li, X.; Barish, P.A.; Foster, T.C.; Ogle, W.O. Curcumin reverses impaired hippocampal neurogenesis and increases serotonin receptor 1A mRNA and brain-derived neurotrophic factor expression in chronically stressed rats. Brain Res. 2007, 1162, 9–18. [Google Scholar] [CrossRef]
- Cameron, H.A.; McKay, R.D. Restoring production of hippocampal neurons in old age. Nat. Neurosci. 1999, 2, 894–897. [Google Scholar] [CrossRef]
- Harikrishnan, R.; Balasundaram, C.; Jawahar, S.; Heo, M.S. Immunomodulatory effect of Withania somnifera supplementation diet in the giant freshwater prawn Macrobrachium rosenbergii (de Man) against Aeromonas hydrophila. Fish Shellfish Immunol. 2012, 32, 94–100. [Google Scholar] [CrossRef]
- Konar, A.; Shah, N.; Singh, R.; Saxena, N.; Kaul, S.C.; Wadhwa, R.; Thakur, M.K. Protective role of Ashwagandha leaf extract and its component withanone on scopolamine-induced changes in the brain and brain-derived cells. PLoS One 2011, 6, e27265. [Google Scholar]
- El Bouzidi, L.; Larhsini, M.; Markouk, M.; Abbad, A.; Hassani, L.; Bekkouche, K. Antioxidant and antimicrobial activities of Withania frutescens. Nat. Prod. Commun. 2011, 6, 1447–1450. [Google Scholar]
- Javaid, A.; Shafique, S. Herbicidal activity of Withania somnifera against Phalaris minor. Nat. Prod. Res. 2010, 24, 1457–1468. [Google Scholar] [CrossRef]
- Khanna, D.; Sethi, G.; Ahn, K.S.; Pandey, M.K.; Kunnumakkara, A.B.; Sung, B.; Aggarwal, A.; Aggarwal, B.B. Natural products as a gold mine for arthritis treatment. Curr. Opin. Pharmacol. 2007, 7, 344–351. [Google Scholar] [CrossRef]
- Zhao, J.; Nakamura, N.; Hattori, M.; Kuboyama, T.; Tohda, C.; Komatsu, K. Withanolide derivatives from the roots of Withania somnifera and their neurite outgrowth activities. Chem. Pharm. Bull. (Tokyo) 2002, 50, 760–765. [Google Scholar] [CrossRef]
- Kuboyama, T.; Tohda, C.; Zhao, J.; Nakamura, N.; Hattori, M.; Komatsu, K. Axon- or dendrite-predominant outgrowth induced by constituents from Ashwagandha. Neuroreport 2002, 13, 1715–1720. [Google Scholar] [CrossRef]
- Choi, D.K.; Koppula, S.; Suk, K. Inhibitors of microglial neurotoxicity: Focus on natural products. Molecules 2011, 16, 1021–1043. [Google Scholar] [CrossRef]
- Butterfield, D.; Castegna, A.; Pocernich, C.; Drake, J.; Scapagnini, G.; Calabrese, V. Nutritional approaches to combat oxidative stress in Alzheimer’s disease. J. Nutr. Biochem. 2002, 13, 444. [Google Scholar] [CrossRef]
- Chan, E.W.; Soh, E.Y.; Tie, P.P.; Law, Y.P. Antioxidant and antibacterial properties of green, black, and herbal teas of Camellia sinensis. Pharmacognosy Res. 2011, 3, 266–272. [Google Scholar] [CrossRef]
- Park, H.J.; Lee, J.Y.; Chung, M.Y.; Park, Y.K.; Bower, A.M.; Koo, S.I.; Giardina, C.; Bruno, R.S. Green Tea Extract Suppresses NFkappaB Activation and Inflammatory Responses in Diet-Induced Obese Rats with Nonalcoholic Steatohepatitis. J. Nutr. 2012, 142, 57–63. [Google Scholar] [CrossRef]
- Wang, H.; Bian, S.; Yang, C.S. Green tea polyphenol EGCG suppresses lung cancer cell growth through upregulating miR-210 expression caused by stabilizing HIF-1alpha. Carcinogenesis 2011, 32, 1881–1889. [Google Scholar] [CrossRef]
- Fu, Z.; Zhen, W.; Yuskavage, J.; Liu, D. Epigallocatechin gallate delays the onset of type 1 diabetes in spontaneous non-obese diabetic mice. Br. J. Nutr. 2011, 105, 1218–1225. [Google Scholar]
- Potenza, M.A.; Marasciulo, F.L.; Tarquinio, M.; Tiravanti, E.; Colantuono, G.; Federici, A.; Kim, J.A.; Quon, M.J.; Montagnani, M. EGCG, a green tea polyphenol, improves endothelial function and insulin sensitivity, reduces blood pressure, and protects against myocardial I/R injury in SHR. Am. J. Physiol. Endocrinol. Metab. 2007, 292, E1378–E1387. [Google Scholar] [CrossRef]
- Mandel, S.A.; Weinreb, O.; Amit, T.; Youdim, M.B. The importance of the multiple target action of green tea polyphenols for neuroprotection. Front. Biosci. (Schol. Ed.) 2012, 4, 581–598. [Google Scholar]
- Mereles, D.; Hunstein, W. Epigallocatechin-3-gallate (EGCG) for Clinical Trials: More Pitfalls than Promises? Int. J. Mol. Sci. 2011, 12, 5592–5603. [Google Scholar] [CrossRef]
- Gundimeda, U.; McNeill, T.H.; Schiffman, J.E.; Hinton, D.R.; Gopalakrishna, R. Green tea polyphenols potentiate the action of nerve growth factor to induce neuritogenesis: Possible role of reactive oxygen species. J. Neurosci. Res. 2010, 88, 3644–3655. [Google Scholar] [CrossRef]
- Zou, L.C.; Zhu, T.F.; Xiang, H.; Yu, L.; Yan, Z.H.; Gan, S.C.; Wang, D.C.; Zeng, S.; Deng, X.M. New secoiridoid glycosides from the roots of Picrorhiza scrophulariiflora. Molecules 2008, 13, 2049–2057. [Google Scholar] [CrossRef]
- He, L.J.; Liang, M.; Hou, F.F.; Guo, Z.J.; Xie, D.; Zhang, X. Ethanol extraction of Picrorhiza scrophulariiflora prevents renal injury in experimental diabetes via anti-inflammation action. J. Endocrinol. 2009, 200, 347–355. [Google Scholar]
- Zeng, S.; Wang, D.; Cao, Y.; An, N.; Zeng, F.; Han, C.; Song, Y.; Deng, X. Immunopotentiation of Caffeoyl Glycoside from Picrorhiza scrophulariiflora on activation and cytokines secretion of immunocyte in vitro. Int. Immunopharmacol. 2008, 8, 1707–1712. [Google Scholar] [CrossRef]
- Vaidya, A.B.; Antarkar, D.S.; Doshi, J.C.; Bhatt, A.D.; Ramesh, V.; Vora, P.V.; Perissond, D.; Baxi, A.J.; Kale, P.M. Picrorhiza kurroa (Kutaki) Royle ex Benth as a hepatoprotective agent—Experimental & clinical studies. J. Postgrad. Med. 1996, 42, 105–108. [Google Scholar]
- Rajkumar, V.; Guha, G.; Kumar, R.A. Antioxidant and anti-neoplastic activities of Picrorhiza kurroa extracts. Food Chem. Toxicol. 2011, 49, 363–369. [Google Scholar] [CrossRef]
- Shukla, B.; Visen, P.K.; Patnaik, G.K.; Dhawan, B.N. Choleretic effect of picroliv, the hepatoprotective principle of Picrorhiza kurroa. Planta Med. 1991, 57, 29–33. [Google Scholar] [CrossRef]
- Vivekanandan, P.; Gobianand, K.; Priya, S.; Vijayalakshmi, P.; Karthikeyan, S. Protective effect of picroliv against hydrazine-induced hyperlipidemia and hepatic steatosis in rats. Drug Chem. Toxicol. 2007, 30, 241–252. [Google Scholar] [CrossRef]
- Lee, H.S.; Ku, S.K. Effect of Picrorrhiza rhizoma extracts on early diabetic nephropathy in streptozotocin-induced diabetic rats. J. Med. Food 2008, 11, 294–301. [Google Scholar] [CrossRef]
- da Rocha, M.D.; Viegas, F.P.; Campos, H.C.; Nicastro, P.C.; Fossaluzza, P.C.; Fraga, C.A.; Barreiro, E.J.; Viegas, C., Jr. The role of natural products in the discovery of new drug candidates for the treatment of neurodegenerative disorders II: Alzheimer’s disease. CNS Neurol. Disord. Drug Targets 2011, 10, 251–270. [Google Scholar]
- Shimazawa, M.; Chikamatsu, S.; Morimoto, N.; Mishima, S.; Nagai, H.; Hara, H. Neuroprotection by Brazilian Green Propolis against In vitro and In vivo Ischemic Neuronal Damage. Evid. Based Complement. Alternat. Med. 2005, 2, 201–207. [Google Scholar] [CrossRef]
- Amodio, R.; De Ruvo, C.; Sacchetti, A.; Di Santo, A.; Martelli, N.; Di Matteo, V.; Lorenzet, R.; Poggi, A.; Rotilio, D.; Cacchio, M.; et al. Caffeic acid phenethyl ester blocks apoptosis induced by low potassium in cerebellar granule cells. Int. J. Dev. Neurosci. 2003, 21, 379–389. [Google Scholar] [CrossRef]
- Wei, X.; Zhao, L.; Ma, Z.; Holtzman, D.M.; Yan, C.; Dodel, R.C.; Hampel, H.; Oertel, W.; Farlow, M.R.; Du, Y. Caffeic acid phenethyl ester prevents neonatal hypoxic-ischaemic brain injury. Brain 2004, 127, 2629–2635. [Google Scholar] [CrossRef]
- Ilhan, A.; Iraz, M.; Gurel, A.; Armutcu, F.; Akyol, O. Caffeic acid phenethyl ester exerts a neuroprotective effect on CNS against pentylenetetrazol-induced seizures in mice. Neurochem. Res. 2004, 29, 2287–2292. [Google Scholar] [CrossRef]
- Isla, M.I.; Nieva Moreno, M.I.; Sampietro, A.R.; Vattuone, M.A. Antioxidant activity of Argentine propolis extracts. J. Ethnopharmacol. 2001, 76, 165–170. [Google Scholar] [CrossRef]
- Pereira, E.M.; da Silva, J.L.; Silva, F.F.; De Luca, M.P.; Ferreira, E.F.; Lorentz, T.C.; Santos, V.R. Clinical Evidence of the Efficacy of a Mouthwash Containing Propolis for the Control of Plaque and Gingivitis: A Phase II Study. Evid. Based Complement. Alternat. Med. 2011, 2011, 750249. [Google Scholar]
- Kimoto, T.; Koya-Miyata, S.; Hino, K.; Micallef, M.J.; Hanaya, T.; Arai, S.; Ikeda, M.; Kurimoto, M. Pulmonary carcinogenesis induced by ferric nitrilotriacetate in mice and protection from it by Brazilian propolis and artepillin C. Virchows Arch. 2001, 438, 259–270. [Google Scholar] [CrossRef]
- Matsuno, T.; Jung, S.K.; Matsumoto, Y.; Saito, M.; Morikawa, J. Preferential cytotoxicity to tumor cells of 3,5-diprenyl-4-hydroxycinnamic acid (artepillin C) isolated from propolis. Anticancer Res. 1997, 17, 3565–3568. [Google Scholar]
- Rios, J.L.; Waterman, P.G. A review of the pharmacology and toxicology of Astragalus. Phytother. Res. 1997, 11, 411–418. [Google Scholar] [CrossRef]
- Chen, C.C.; Lee, H.C.; Chang, J.H.; Chen, S.S.; Li, T.C.; Tsai, C.H.; Cho, D.Y.; Hsieh, C.L. Chinese Herb Astragalus membranaceus Enhances Recovery of Hemorrhagic Stroke: Double-Blind, Placebo-Controlled, Randomized Study. Evid. Based Complement. Alternat. Med. 2012, 2012, 708452. [Google Scholar]
- Ko, J.K.; Lam, F.Y.; Cheung, A.P. Amelioration of experimental colitis by Astragalus membranaceus through anti-oxidation and inhibition of adhesion molecule synthesis. World J. Gastroenterol. 2005, 11, 5787–5794. [Google Scholar]
- Tohda, C.; Tamura, T.; Matsuyama, S.; Komatsu, K. Promotion of axonal maturation and prevention of memory loss in mice by extracts of Astragalus mongholicus. Br. J. Pharmacol. 2006, 149, 532–541. [Google Scholar] [CrossRef]
- Chan, W.S.; Durairajan, S.S.; Lu, J.H.; Wang, Y.; Xie, L.X.; Kum, W.F.; Koo, I.; Yung, K.K.; Li, M. Neuroprotective effects of Astragaloside IV in 6-hydroxydopamine-treated primary nigral cell culture. Neurochem. Int. 2009, 55, 414–422. [Google Scholar] [CrossRef]
- Lu, J.; Pu, X.; Li, Y.; Zhao, Y.; Tu, G. Z. Nat. Forsch. 2005, 60b, 211–214.
- Li, Y.Y.; Lu, J.H.; Li, Q.; Zhao, Y.Y.; Pu, X.P. Pedicularioside A from Buddleia lindleyana inhibits cell death induced by 1-methyl-4-phenylpyridinium ions (MPP+) in primary cultures of rat mesencephalic neurons. Eur. J. Pharmacol. 2008, 579, 134–140. [Google Scholar] [CrossRef]
- Cai, Q.Y.; Chen, X.S.; Zhan, X.L.; Yao, Z.X. Protective effects of catalpol on oligodendrocyte death and myelin breakdown in a rat model of chronic cerebral hypoperfusion. Neurosci. Lett. 2011, 497, 22–26. [Google Scholar] [CrossRef]
- Wang, Z.; Liu, Q.; Zhang, R.; Liu, S.; Xia, Z.; Hu, Y. Catalpol ameliorates beta amyloid-induced degeneration of cholinergic neurons by elevating brain-derived neurotrophic factors. Neuroscience 2009, 163, 1363–1372. [Google Scholar] [CrossRef]
- van Leyen, K.; Kim, H.Y.; Lee, S.R.; Jin, G.; Arai, K.; Lo, E.H. Baicalein and 12/15-lipoxygenase in the ischemic brain. Stroke 2006, 37, 3014–3018. [Google Scholar] [CrossRef]
- Hsieh, C.J.; Hall, K.; Ha, T.; Li, C.; Krishnaswamy, G.; Chi, D.S. Baicalein inhibits IL-1beta- and TNF-alpha-induced inflammatory cytokine production from human mast cells via regulation of the NF-kappaB pathway. Clin. Mol. Allergy 2007, 5, 5. [Google Scholar] [CrossRef]
- Schmeller, T.; Latz-Bruning, B.; Wink, M. Biochemical activities of berberine, palmatine and sanguinarine mediating chemical defence against microorganisms and herbivores. Phytochemistry 1997, 44, 257–266. [Google Scholar]
- Iwasa, K.; Kamigauchi, M.; Ueki, M.; Taniguchi, M. Antibacterial activity and structure-activity relationships of berberine analogs. Eur. J. Med. Chem. 1996, 31, 469–478. [Google Scholar] [CrossRef]
- Cao, H.; Ren, M.; Guo, L.; Shang, H.; Zhang, J.; Song, Y.; Wang, H.; Wang, B.; Li, X.; Hu, J.; et al. JinQi-Jiangtang tablet, a Chinese patent medicine, for pre-diabetes: A randomized controlled trial. Trials 2010, 11, 27. [Google Scholar] [CrossRef]
- Shigeta, K.; Ootaki, K.; Tatemoto, H.; Nakanishi, T.; Inada, A.; Muto, N. Potentiation of nerve growth factor-induced neurite outgrowth in PC12 cells by a Coptidis Rhizoma extract and protoberberine alkaloids. Biosci. Biotechnol. Biochem. 2002, 66, 2491–2494. [Google Scholar] [CrossRef]
- Niu, S.L.; Li, Z.L.; Ji, F.; Liu, G.Y.; Zhao, N.; Liu, X.Q.; Jing, Y.K.; Hua, H.M. Xanthones from the stem bark of Garcinia bracteata with growth inhibitory effects against HL-60 cells. Phytochemistry 2012, 77, 280–286. [Google Scholar] [CrossRef]
- Rukachaisirikul, V.; Phainuphong, P.; Sukpondma, Y.; Phongpaichit, S.; Taylor, W.C. Antibacterial caged-tetraprenylated xanthones from the stem bark of Garcinia scortechinii. Planta Med. 2005, 71, 165–170. [Google Scholar] [CrossRef]
- Likhitwitayawuid, K.; Chanmahasathien, W.; Ruangrungsi, N.; Krungkrai, J. Xanthones with antimalarial activity from Garcinia dulcis. Planta Med. 1998, 64, 281–282. [Google Scholar] [CrossRef]
- Nakatani, K.; Nakahata, N.; Arakawa, T.; Yasuda, H.; Ohizumi, Y. Inhibition of cyclooxygenase and prostaglandin E2 synthesis by gamma-mangostin, a xanthone derivative in mangosteen, in C6 rat glioma cells. Biochem. Pharmacol. 2002, 63, 73–79. [Google Scholar]
- Chanmahasathien, W.; Li, Y.; Satake, M.; Oshima, Y.; Ishibashi, M.; Ruangrungsi, N.; Ohizumi, Y. Prenylated xanthones from Garcinia xanthochymus. Chem. Pharm. Bull. (Tokyo) 2003, 51, 1332–1334. [Google Scholar] [CrossRef]
- Chen, Z.A.; Wang, J.L.; Liu, R.T.; Ren, J.P.; Wen, L.Q.; Chen, X.J.; Bian, G.X. Liquiritin potentiate neurite outgrowth induced by nerve growth factor in PC12 cells. Cytotechnology 2009, 60, 125–132. [Google Scholar]
- Hibasami, H.; Iwase, H.; Yoshioka, K.; Takahashi, H. Glycyrrhizin induces apoptosis in human stomach cancer KATO III and human promyelotic leukemia HL-60 cells. Int. J. Mol. Med. 2005, 16, 233–236. [Google Scholar]
- Amer, M.; Metwalli, M. Topical liquiritin improves melasma. Int. J. Dermatol. 2000, 39, 299–301. [Google Scholar] [CrossRef]
- Whitman, S.C.; Kurowska, E.M.; Manthey, J.A.; Daugherty, A. Nobiletin, a citrus flavonoid isolated from tangerines, selectively inhibits class A scavenger receptor-mediated metabolism of acetylated LDL by mouse macrophages. Atherosclerosis 2005, 178, 25–32. [Google Scholar] [CrossRef]
- Bagchi, A.; Oshima, Y.; Hikino, H. Planta Med. 1988, 54, 87–88.
- Li, P.; Matsunaga, K.; Yamamoto, K.; Yoshikawa, R.; Kawashima, K.; Ohizumi, Y. Nardosinone, a novel enhancer of nerve growth factor in neurite outgrowth from PC12D cells. Neurosci. Lett. 1999, 273, 53–56. [Google Scholar] [CrossRef]
- Hur, S.; Lee, H.; Kim, Y.; Lee, B.H.; Shin, J.; Kim, T.Y. Sargaquinoic acid and sargachromenol, extracts of Sargassum sagamianum, induce apoptosis in HaCaT cells and mice skin: Its potentiation of UVB-induced apoptosis. Eur. J. Pharmacol. 2008, 582, 1–11. [Google Scholar] [CrossRef]
- Kamei, Y.; Tsang, C.K. Sargaquinoic acid promotes neurite outgrowth via protein kinase A and MAP kinases-mediated signaling pathways in PC12D cells. Int. J. Dev. Neurosci. 2003, 21, 255–262. [Google Scholar] [CrossRef]
- Nagao, T.; Okabe, H. Studies on the constituents of Aster scaber Thunb. III. Structures of scaberosides B7, B8 and B9, minor oleanolic acid glycosides isolated from the root. Chem. Pharm. Bull. (Tokyo) 1992, 40, 886–888. [Google Scholar] [CrossRef]
- Nagao, T.; Tanaka, R.; Iwase, Y.; Okabe, H. Studies on the constituents of Aster scaber Thunb. IV. Structures of four new echinocystic acid glycosides isolated from the herb. Chem. Pharm. Bull. (Tokyo) 1993, 41, 659–665. [Google Scholar]
- van Dijk, A.E.; Olthof, M.R.; Meeuse, J.C.; Seebus, E.; Heine, R.J.; van Dam, R.M. Acute effects of decaffeinated coffee and the major coffee components chlorogenic acid and trigonelline on glucose tolerance. Diabetes Care 2009, 32, 1023–1025. [Google Scholar] [CrossRef]
- Tohda, C.; Nakamura, N.; Komatsu, K.; Hattori, M. Trigonelline-induced neurite outgrowth in human neuroblastoma SK-N-SH cells. Biol. Pharm. Bull. 1999, 22, 679–682. [Google Scholar] [CrossRef]
- Ishiguro, K.; Yamaki, M.; Takagi, S. Studies on iridoid-related compounds, II. The structure and antimicrobial activity of aglucones of galioside and gardenoside. J. Nat. Prod. 1983, 46, 532–526. [Google Scholar] [CrossRef]
- Hsu, H.Y.; Yang, J.J.; Lin, S.Y.; Lin, C.C. Comparisons of geniposidic acid and geniposide on antitumor and radioprotection after sublethal irradiation. Cancer Lett. 1997, 113, 31–37. [Google Scholar] [CrossRef]
- Circosta, C.; Occhiuto, F.; Ragusa, S.; Trovato, A.; Tumino, G.; Briguglio, F.; de Pasquale, A. A drug used in traditional medicine: Harpagophytum procumbens DC. II. Cardiovascular activity. J. Ethnopharmacol. 1984, 11, 259–274. [Google Scholar] [CrossRef]
- Miyagoshi, M.; Amagaya, S.; Ogihara, Y. Choleretic actions of iridoid compounds. J. Pharmacobiodyn. 1988, 11, 186–190. [Google Scholar] [CrossRef]
- Chang, I.M. Liver-protective activities of aucubin derived from traditional oriental medicine. Res. Commun. Mol. Pathol. Pharmacol. 1998, 102, 189–204. [Google Scholar]
- Yamazaki, M.; Chiba, K. Genipin exhibits neurotrophic effects through a common signaling pathway in nitric oxide synthase-expressing cells. Eur. J. Pharmacol. 2008, 581, 255–261. [Google Scholar] [CrossRef]
- Tao, X.L. Mechanism of treating rheumatoid arthritis with Tripterygium wilfordii hook. II. Effect on PGE2 secretion. Zhongguo Yi Xue Ke Xue Yuan Xue Bao 1989, 11, 36–40. [Google Scholar]
- Tao, X.; Younger, J.; Fan, F.Z.; Wang, B.; Lipsky, P.E. Benefit of an extract of Tripterygium Wilfordii Hook F in patients with rheumatoid arthritis: A double-blind, placebo-controlled study. Arthritis Rheum. 2002, 46, 1735–1743. [Google Scholar] [CrossRef]
- Xu, J.; Li, X.; Zhao, C.C.; Wang, Y. Pregnane glycosides and steroid saponins from Smilax bockii Warb. and their NGF-potentiating activity. Nat. Prod. Res. 2008, 22, 884–889. [Google Scholar] [CrossRef]
- Xu, J.; Li, X.; Zhang, P.; Li, Z.L.; Wang, Y. Antiinflammatory constituents from the roots of Smilax bockii warb. Arch. Pharm. Res. 2005, 28, 395–399. [Google Scholar] [CrossRef]
- Castro-Gamboa, I.; Castro, O. Iridoids from the aerial parts of Verbena littoralis (Verbenaceae). Phytochemistry 2004, 65, 2369–2372. [Google Scholar] [CrossRef]
- Li, Y.; Ishibashi, M.; Chen, X.; Ohizumi, Y. Littorachalcone, a new enhancer of NGF-mediated neurite outgrowth, from Verbena littoralis. Chem. Pharm. Bull. (Tokyo) 2003, 51, 872–874. [Google Scholar] [CrossRef]
- Gao, L.; Xiang, L.; Luo, Y.; Wang, G.; Li, J.; Qi, J. Gentisides C-K: Nine new neuritogenic compounds from the traditional Chinese medicine Gentiana rigescens Franch. Bioorg. Med. Chem. 2010, 18, 6995–7000. [Google Scholar]
- Gao, L.; Li, J.; Qi, J. Gentisides A and B, two new neuritogenic compounds from the traditional Chinese medicine Gentiana rigescens Franch. Bioorg. Med. Chem. 2010, 18, 2131–2134. [Google Scholar] [CrossRef]
- Katiyar, S.K.; Korman, N.J.; Mukhtar, H.; Agarwal, R. Protective effects of silymarin against photocarcinogenesis in a mouse skin model. J. Natl. Cancer Inst. 1997, 89, 556–566. [Google Scholar] [CrossRef]
- Ferenci, P.; Dragosics, B.; Dittrich, H.; Frank, H.; Benda, L.; Lochs, H.; Meryn, S.; Base, W.; Schneider, B. Randomized controlled trial of silymarin treatment in patients with cirrhosis of the liver. J. Hepatol. 1989, 9, 105–113. [Google Scholar]
- Tager, M.; Dietzmann, J.; Thiel, U.; Hinrich Neumann, K.; Ansorge, S. Restoration of the cellular thiol status of peritoneal macrophages from CAPD patients by the flavonoids silibinin and silymarin. Free Radic. Res. 2001, 34, 137–151. [Google Scholar] [CrossRef]
- Manna, S.K.; Mukhopadhyay, A.; Van, N.T.; Aggarwal, B.B. Silymarin suppresses TNF-induced activation of NF-kappa B, c-Jun N-terminal kinase, and apoptosis. J. Immunol. 1999, 163, 6800–6809. [Google Scholar]
- Pradhan, S.C.; Girish, C. Hepatoprotective herbal drug, silymarin from experimental pharmacology to clinical medicine. Indian J. Med. Res. 2006, 124, 491–504. [Google Scholar]
- Kittur, S.; Wilasrusmee, S.; Pedersen, W.A.; Mattson, M.P.; Straube-West, K.; Wilasrusmee, C.; Lubelt, B.; Kittur, D.S. Neurotrophic and neuroprotective effects of milk thistle (Silybum marianum) on neurons in culture. J. Mol. Neurosci. 2002, 18, 265–269. [Google Scholar] [CrossRef]
- Lieu, C.W.; Lee, S.S.; Wang, S.Y. Anticancer Res. 1992, 12, 1211–1215.
- Wang, G.; Zhang, J.; Mizuno, T.; Zhuang, C.; Ito, H.; Mayuzumi, H.; Okamoto, H.; Li, J. Antitumor active polysaccharides from the Chinese mushroom Songshan lingzhi, the fruiting body of Ganoderma tsugae. Biosci. Biotechnol. Biochem. 1993, 57, 894–900. [Google Scholar] [CrossRef]
- Kim, R.S.; Kim, H.W.; Kim, B.K. Mol. Cells 1997, 7, 52–57.
- van der Hem, L.G.; van der Vliet, J.A.; Bocken, C.F.; Kino, K.; Hoitsma, A.J.; Tax, W.J. Ling Zhi-8: Studies of a new immunomodulating agent. Transplantation 1995, 60, 438–443. [Google Scholar] [CrossRef]
- Cheung, W.M.; Hui, W.S.; Chu, P.W.; Chiu, S.W.; Ip, N.Y. Ganoderma extract activates MAP kinases and induces the neuronal differentiation of rat pheochromocytoma PC12 cells. FEBS Lett. 2000, 486, 291–296. [Google Scholar] [CrossRef]
- Shi, Y.L.; Chen, W.Y. Effect of Toosendanin on acetylcholine level of rat brain, a microdialysis study. Brain Res. 1999, 850, 173–178. [Google Scholar] [CrossRef]
- Yu, J.C.; Min, Z.D.; Ip, N.Y. Melia toosendan regulates PC12 Cell differentiation via the activation of protein kinase A and extracellular signal-regulated kinases. Neurosignals 2004, 13, 248–257. [Google Scholar] [CrossRef]
- Cheon, E.W.; Saito, T. Choline acetyltransferase and acetylcholinesterase in the normal, developing and regenerating newt retinas. Brain Res. Dev. Brain Res. 1999, 116, 97–109. [Google Scholar] [CrossRef]
- Liu, J.-H.; Bo, J.; Bao, Y.-M.; An, L.-J. Int. J. Dev. Neurosci. 2003, 21, 277–281. [CrossRef]
- Schachter, S.C. Botanicals and herbs: A traditional approach to treating epilepsy. Neurotherapeutics 2009, 6, 415–420. [Google Scholar] [CrossRef]
- Rates, S.M. Plants as source of drugs. Toxicon 2001, 39, 603–613. [Google Scholar] [CrossRef]
- Guo, Z.R. Modification of natural products for drug discovery. Yao Xue Xue Bao 2012, 47, 144–157. [Google Scholar]
- Rishton, G.M. Natural products as a robust source of new drugs and drug leads: Past successes and present day issues. Am. J. Cardiol. 2008, 101, 43–49. [Google Scholar] [CrossRef]
- Hamburger, M.; Hostettmann, K. Bioactivity in plants: The link between phytochemistry and medicine. Phytochemistry 1991, 30, 3864–3874. [Google Scholar] [CrossRef]
© 2012 by the authors; licensee MDPI, Basel, Switzerland. This article is an open-access article distributed under the terms and conditions of the Creative Commons Attribution license (http://creativecommons.org/licenses/by/3.0/).