Abstract
This review provides readers with an overview of the main synthetic methodologies for 1,3,4-oxadiazole derivatives, and of their broad spectrum of pharmacological activities as reported over the past twelve years.
1. Introduction
1,3,4-Oxadiazole (1, Figure 1) is a heterocyclic compound containing an oxygen atom and two nitrogen atoms in a five-membered ring. It is derived from furan by substitution of two methylene groups (=CH) with two pyridine type nitrogens (-N=) [1,2]. There are three known isomers: 1,2,4-oxadiazole (2), 1,2,3-oxadiazole (3) and 1,2,5-oxadiazole (4) (Figure 1). However, 1,3,4-oxadiazole and 1,2,4-oxadiazole are better known, and more widely studied by researchers because of their many important chemical and biological properties.
Figure 1.
Isomers of oxadiazole.
Figure 1.
Isomers of oxadiazole.

Among heterocyclic compounds, 1,3,4-oxadiazole has become an important construction motif for the development of new drugs. Compounds containing 1,3,4-oxadiazole cores have a broad biological activity spectrum including antibacterial, antifungal, analgesic, anti-inflammatory, antiviral, anticancer, antihypertensive, anticonvulsant, and anti-diabetic properties. They have also attracted interest in medicinal chemistry as surrogates (bioisosteres) for carboxylic acids, esters and carboxamides [2]. The ability of 1,3,4-oxadiazole heterocyclic compounds to undergo various chemical reactions has made them important for molecule planning because of their privileged structure, which has enormous biological potential. Two examples of compounds containing the 1,3,4-oxadiazole unit currently used in clinical medicine are: Raltegravir® (5), an antiretroviral drug [3] and Zibotentan® (6) an anticancer agent [4] (Figure 2).
Figure 2.
Structures of raltegravir and zibotentan, drugs that are in late stage clinical development.
Figure 2.
Structures of raltegravir and zibotentan, drugs that are in late stage clinical development.

The synthesis of novel 1,3,4-oxadiazole derivatives, and investigation of their chemical properties and biological behavior has accelerated in the last two decades. In recent years the number of scientific studies with these compounds has increased considerably. Considering the period from 2002 to 2012, the Scifinder Scholar database records 2,577 references to 1,3,4-oxadiazole, demonstrating its relevance for heterocyclic chemistry. Figure 3 shows the number of publications over the past twelve years involving 1,3,4-oxadiazole. The graph is of course not linear, there is a decrease from 2002 (169 articles) to 2003 (146 articles), and then a gradual increase from 2003 to 2006 (219 articles), again a small decline from 2006 to 2007 (214 articles), and an increase from 2007 to 2011 (319 articles) [5].
Taking into account the importance of these compounds to both heterocyclic and medicinal chemistry, we have decided to present the main synthesis approaches used for obtaining the heterocyclic nucleus, as well as the broad spectrum of pharmacological activities reported in the literature over the past twelve years.
Figure 3.
Number of publications in the last twelve years involving 1,3,4-oxadiazole.
Figure 3.
Number of publications in the last twelve years involving 1,3,4-oxadiazole.

2. Methods of Synthesis for 2,5-Disubstituted-1,3,4-oxadiazoles
2.1. Methods of Synthesis for 5-Substituted-2-amino-1,3,4-oxadiazoles
A few of the methods reported in the literature for the preparation of 5-substituted-2-amino-1,3,4-oxadiazoles 7 are outlined in Scheme 1. Methods a and b use the acylhydrazide intermediate 8, readily prepared from the corresponding ester and hydrazine hydrate, which can react with cyanogen bromide (14), or di(benzotriazol-1-yl)methanimine (23). Dehydration of acylsemicarbazide 9 has also been used extensively, although more stringent conditions are necessary (method c). Acylthiosemicarbazide intermediates 11 and 12 have been used in different routes to obtain the desired heterocycles through oxidative cyclization reactions with iodine at elevated temperatures, or by carbodiimide derivatives (methods e and f). Semicarbazones 10, being versatile intermediates, can easily be cyclized to the corresponding 1,3,4-oxadiazoles (method d).
Scheme 1.
Retrosynthetic analysis of 5-substituted-2-amino-1,3,4-oxadiazole.
Scheme 1.
Retrosynthetic analysis of 5-substituted-2-amino-1,3,4-oxadiazole.

Using approach (a) of Scheme 1, Patel and Patel [6] synthesized 5-aryl-2-amino-1,3,4-oxadiazole compounds 15 in yields of 62 to 70%. These compounds were used as intermediates for the synthesis of new quinazolinone derivatives (Entry a, Scheme 2). Kerimov and co-workers [7] synthesized a new series of 2-amino-1,3,4-oxadiazoles 17 carrying a benzimidazole moiety in 33%–60% yield from the reaction between 2-(2-(4-substituted-phenyl)-1H-benzo[d]imidazol-1-yl)acetohydrazide (16) and cyanogen bromide, (Entry b, Scheme 2).
Scheme 2.
5-Aryl-2-amino-1,3,4-oxadiazole obtained from acylhydrazides and cyanogen bromide.
Scheme 2.
5-Aryl-2-amino-1,3,4-oxadiazole obtained from acylhydrazides and cyanogen bromide.

Katritzky and co-workers [8] have prepared 5-aryl-2-amino-1,3,4-oxadiazole compounds 18 (Scheme 3) in excellent yields from the reaction between di(benzotriazol-1-yl)methanimine (13) and arylhydrazides 8 using approach (b) of Scheme 1.
Scheme 3.
5-Aryl-2-amino-1,3,4-oxadiazole obtained from acylhydrazides and di(benzotriazol-1-yl)methanimine.
Scheme 3.
5-Aryl-2-amino-1,3,4-oxadiazole obtained from acylhydrazides and di(benzotriazol-1-yl)methanimine.

The oxidative cyclization of semicarbazones 19 (Scheme 4) with bromine in acetic acid is one of the approaches frequently used for the preparation of 5-substituted-1,3,4-oxadiazol-2-amines 20 (Entry a, Scheme 4) [9,10]. Electro-cyclization of semicarbazones 21 to their corresponding 5-aryl-2-amino-1,3,4-oxadiazoles 22 has emerged as an alternative method (Entry b, Scheme 4) [11,12].
Scheme 4.
5-Substituted-1,3,4-oxadiazol-2-amines from of cyclization reaction of semicarbazones.
Scheme 4.
5-Substituted-1,3,4-oxadiazol-2-amines from of cyclization reaction of semicarbazones.

Another interesting approach to the synthesis of 5-substituted-2-amino-1,3,4-oxadiazoles is the cyclization reaction of acylthiosemicarbazides using iodine as the oxidizing agent. El-Sayed and co-workers [13] reported the synthesis of 5-((naphthalen-2-yloxy)methyl)-N-phenyl-1,3,4-oxadiazol-2-amine (24) in 62% yield, by heating compound 23 in ethanol in the presence of sodium hydroxide and iodine in potassium iodide (Scheme 5).
Scheme 5.
Synthesis of 1,3,4-oxadiazol-2-amines from of cyclization reaction of acylthiosemicarbazides with iodine.
Scheme 5.
Synthesis of 1,3,4-oxadiazol-2-amines from of cyclization reaction of acylthiosemicarbazides with iodine.

Rivera and co-workers [14] reported that 1,3-dibromo-5,5-dimethylhydantoin is an effective oxidizing agent for cyclization reactions of acylthiosemicarbazide. Compounds 25 were cyclized to 5-aryl-2-amino-1,3,4-oxadiazoles 26 in excellent yield (Scheme 6). The main advantage of this method is that the reagents used are commercially cheap and safe to work with. Further, it is applicable to large scale synthesis where other oxidizing agents cannot be used.
Scheme 6.
Synthesis of 5-aryl-2-amino-1,3,4-oxadiazole from acylthiosemicarbazide and 1,3-dibromo-5,5-dimethylhydantoin.
Scheme 6.
Synthesis of 5-aryl-2-amino-1,3,4-oxadiazole from acylthiosemicarbazide and 1,3-dibromo-5,5-dimethylhydantoin.

In general the 5-aryl(alkyl)-2-amino-1,3,4-oxadiazoles can be prepared by dehydration of derivatives of semicarbazides or thiosemicarbazides using POCl3 as dehydrating agent. Alternative reagents that activate the carbonyl group have also been used. Accordingly, Dolman and co-workers [15] reported a new method of synthesis for 5-aryl(alkyl)-2-amino-1,3,4-oxadiazoles 28 from acylsemicarbazides 27 (X=O) and acylthiosemicarbazides 27 (X=S) mediated by tosyl chloride. Yields of 97%–99% were obtained when using thiosemicarbazide derivatives which are more reactive than the corresponding semicarbazide derivatives (Scheme 7).
Scheme 7.
Synthesis of 5-aryl-2-amino-1,3,4-oxadiazole from acylthiosemicarbazide and tosyl chloride.
Scheme 7.
Synthesis of 5-aryl-2-amino-1,3,4-oxadiazole from acylthiosemicarbazide and tosyl chloride.

2.2. Methods of Synthesis for 5-Substituted-1,3,4-oxadiazole-2-thiols
The main synthesis route for 5-substituted-1,3,4-oxadiazole-2-thiol(thione)s 29 involves an initial reaction between an acylhydrazide 8 and carbon disulfide in an basic alcohol solution, followed by acidification of the reaction mixture (Scheme 8). A large number of 1,3,4-oxadiazole derivatives prepared by this route have been reported in recent years. The existence of thiol-thione tautomerism is known for the compounds 29, and one of the forms usually predominates [16].
Scheme 8.
Synthesis of 5-substituted-1,3,4-oxadiazole-2-thiols.
Scheme 8.
Synthesis of 5-substituted-1,3,4-oxadiazole-2-thiols.

The compounds (30) [17], (31) [18], (32) [19], (33) [20], (34) [21], (35) [22], (36) [23], (37) [24], (38) [16] and (39) [25] (Figure 4) are just some of many compounds of this class prepared using the synthetic route shown in Scheme 8.
Figure 4.
5-Aryl-1,3,4-oxadiazole-2-thiols obtained by reaction of acylhydrazide with carbon disulfide.
Figure 4.
5-Aryl-1,3,4-oxadiazole-2-thiols obtained by reaction of acylhydrazide with carbon disulfide.

2.3. Methods of Synthesis for 2,5-Diaryl(alkyl)-1,3,4-oxadiazole
Several methods of synthesis have been reported in the literature for the preparation of both symmetrical and asymmetrical 2,5-diaryl(alkyl)-1,3,4-oxadiazoles 40 (Scheme 9). One of the most popular methods involves the cyclodehydration of 1,2-diacylhydrazines 41 using phosphorous oxychloride (POCl3) as a dehydrating agent, path (c) of Scheme 9. Other dehydrating agents commonly used are sulfuric acid, phosphoric acid, trifluoroacetic acid, phosphorus pentachloride, phosphorus pentoxide, thionyl chloride, and milder reagents such as carbodiimide derivatives, TsCl/pyridine, trimethylsilyl chloride, Ph3O/Tf2O, PPh3/CX4 (X = Cl, Br, I), and Burgess reagent. Other important routes for obtaining either symmetrical (R = R1) or asymmetric (R ≠ R1), 2,5-diaryl(alkyl)-1,3,4-oxadiazoles 40 are reactions of acylhydrazides 8 with aromatic carboxylic acids 42 (a), oxidative cyclization of acylhydrazones 45 (b), and the reaction of tetrazoles 43 with acid chlorides 44 in the presence of pyridine, path (d) (Scheme 9).
Scheme 9.
Retrosynthetic analysis of 2,5-diaryl(alkyl)-1,3,4-oxadiazoles.
Scheme 9.
Retrosynthetic analysis of 2,5-diaryl(alkyl)-1,3,4-oxadiazoles.

The asymmetrical 5-(2,4-dichloro-5-flurophenyl)-2-(aryl)-1,3,4-oxadiazole compounds 47 were prepared in two steps (Scheme 10) by refluxing the corresponding diacylhydrazines 46 with phosphorus oxychloride as reported by Zheng and co-workers [26]. If not intending to isolate the intermediate diacylhydrazine, generally the one-pot reaction of a carboxylic acid with acylhydrazide and POCl3 as dehydrating agent is used (see approach a, Scheme 9). Similarly, Amir and Kumar [27] reported the synthesis of novel 2,5-disubstituted-1,3,4-oxadiazole derivatives 49 beginning with the anti-inflammatory drug ibuprofen as a starting material (Scheme 11). Phosphorus oxychloride (POCl3) was used as a dehydrating agent in the reaction of acylhydrazide 48 with substituted aromatic carboxylic acids.
Scheme 10.
Synthesis of asymmetrical 2-(2,4-dichloro-5-fluorophenyl)-5-aryl-1,3,4-oxadiazoles.
Scheme 10.
Synthesis of asymmetrical 2-(2,4-dichloro-5-fluorophenyl)-5-aryl-1,3,4-oxadiazoles.

Scheme 11.
Synthesis of 2,5-dissubstituted-1,3,4-oxadiazole derivatives of ibuprofen.
Scheme 11.
Synthesis of 2,5-dissubstituted-1,3,4-oxadiazole derivatives of ibuprofen.

Another dehydrating agent normally used for the dehydration of diacylhydrazines is thionyl chloride; Scheme 12 outlines some examples.
Scheme 12.
Cyclization of diacylhydrazine with thionyl chloride. 50 [28], 51 [29] and 52 [30].
Scheme 12.
Cyclization of diacylhydrazine with thionyl chloride. 50 [28], 51 [29] and 52 [30].

The use of POCl3 requires care because it is very toxic and corrosive. Less dangerous reagents (that are easier to work with) than POCl3 have arisen in recent years. For example, Bostrom and co-workers [2] synthesized 2,5-disubstituted-1,3,4-oxadiazole compounds 54 by cyclodehydration of diacylhydrazine 53 using triphenylphosphine oxide (3 equivalents), and triflic anhydride (1.5 equivalents), obtaining from 26 to 96% yields (Scheme 13).
Scheme 13.
Cyclodehydration of diacylhydrazine using triphenylphosphine oxide and triflic anhydride.
Scheme 13.
Cyclodehydration of diacylhydrazine using triphenylphosphine oxide and triflic anhydride.

Nagendra and co-workers [31] reported the synthesis of novel orthogonally protected 1,3,4-oxadiazole 56, tethered dipeptide mimetics, by cyclodehydration of diacylhydrazine 55 using 1-ethyl-3-(3-dimethylaminopropyl) carbodiimide (EDC) as a dehydration agent, obtaining a 70%–92% yields (Scheme 14).
Scheme 14.
Cyclodehydration reaction of diacylhydrazines using EDC.
Scheme 14.
Cyclodehydration reaction of diacylhydrazines using EDC.

Li and co-workers [32] reported that silica-supported dichlorophosphate is an efficient cyclodehydration agent for the synthesis of 2,5-disubstituted 1,3,4-oxadiazoles 58 from 1,2-diacylhydrazines in solvent-free medium under microwave irradiation. This protocol was suitable for the synthesis of alkyl, aryl, and heterocyclic substituted symmetrical and unsymmetrical 1,3,4-oxadiazoles, and has the specific advantages of no corrosion or environmental pollution, an accelerated rate, high yield and a simple work-up procedure (Scheme 15).
Scheme 15.
Synthesis of 2,5-disubstituted 1,3,4-oxadiazoles from 1,2-diacylhydrazines and silica-supported dichlorophosphate.
Scheme 15.
Synthesis of 2,5-disubstituted 1,3,4-oxadiazoles from 1,2-diacylhydrazines and silica-supported dichlorophosphate.

Sharma and co-workers [33] developed a simple generalized method for the synthesis of 1,3,4-oxadiazoles 59 from diacylhydrazines using inexpensive ZrCl4 as a catalyst. Advantages over the existing methods include higher yields, shorter reaction times, and a simple experimental procedure (Scheme 16).
Scheme 16.
Synthesis of 2,5-disubstituted 1,3,4-oxadiazoles from 1,2-diacylhydrazines and zirconium(IV) chloride.
Scheme 16.
Synthesis of 2,5-disubstituted 1,3,4-oxadiazoles from 1,2-diacylhydrazines and zirconium(IV) chloride.

Yang and Shi [34] reported the effect of halogens in a Robinson-Gabriel type reaction of cyclopropane-carboxylic acid N'-substituted-hydrazides with PPh3/CX4 (X = Cl, Br, I) as dehydration agents resulting in the formation of 1,3,4-oxadiazoles 60 (Scheme 17).
Scheme 17.
Effect of halogens in the formation of 1,3,4-oxadiazoles.
Scheme 17.
Effect of halogens in the formation of 1,3,4-oxadiazoles.

Pouliot and co-workers [35] reported the use of diethylaminodifluorosulfinium tetrafluoroborate ([Et2NSF2]BF4), XtalFluor-E, as a new cyclodehydration agent for the preparation of 1,3,4-oxadiazoles 61 from 1,2-diacylhydrazines (Scheme 18).
Scheme 18.
Preparation of 1,3,4-oxadiazoles from 1,2-diacylhydrazines using XtalFluor-E.
Scheme 18.
Preparation of 1,3,4-oxadiazoles from 1,2-diacylhydrazines using XtalFluor-E.

Li and Dickson [36] developed a convenient one-pot protocol for the synthesis of 1,3,4-oxadiazoles 62 from carboxylic acids and hydrazides using HATU as coupling agent and Burgess reagent as dehydrating agent (Scheme 19).
Scheme 19.
Synthesis of 1,3,4-oxadiazoles from carboxylic acids and hydrazides using HATU and Burgess reagent.
Scheme 19.
Synthesis of 1,3,4-oxadiazoles from carboxylic acids and hydrazides using HATU and Burgess reagent.

Another method for one pot synthesis of 2,5-disubstituted-1,3,4-oxadiazoles 63 from benzohydrazide and carboxylic acid was reported by Rajapakse [37] using the coupling agent 1,1'-carbonyldiimidazole (CDI) and triphenylphosphyne as dehydrating agent (Scheme 20).
Scheme 20.
Synthesis of 2,5-dissubstituted-1,3,4-oxadiazoles using CDI and triphenylphosphyne.
Scheme 20.
Synthesis of 2,5-dissubstituted-1,3,4-oxadiazoles using CDI and triphenylphosphyne.

In 2006, Kangani and co-workers [38] described a one-pot direct synthesis of 1,3,4-oxadiazoles 64 in excellent yields from carboxylic acids (1 equiv) and benzohydrazide (2.2 equiv) using Deoxo-Fluor reagent (Scheme 21).
Scheme 21.
Synthesis of 1,3,4-oxadiazoles using Deoxo-Fluor.
Scheme 21.
Synthesis of 1,3,4-oxadiazoles using Deoxo-Fluor.

A convenient, one pot procedure was also reported for the synthesis of a variety of 2,5-disubstituted-1,3,4-oxadiazoles 65 by condensing monoarylhydrazides with acid chlorides in HMPA solvent under microwave heating. The yields were good to excellent, the process was rapid, and needed no additional acid catalyst or dehydrating reagent (Scheme 22) [39].
Scheme 22.
Synthesis of 2,5-disubstituted-1,3,4-oxadiazoles using microwave heating.
Scheme 22.
Synthesis of 2,5-disubstituted-1,3,4-oxadiazoles using microwave heating.

In approach b (see Scheme 10), N-acylhydrazones generally suffer oxidative cyclization under the action of oxidizing agents such as Br2, HgO, KMnO4 and acetic anhydride. Other milder oxidizing agents have emerged in recent years such as ammonium cerium nitrate, Cu(OTf)2, chloramine-T, trichloroisocyanuric acid and the hypervalent iodines. For example, the reaction of N-acylhydrazones 66 treated with acetic anhydride under reflux conditions gives compounds 67 in good yields (Scheme 23) [40].
Scheme 23.
Synthesis of 1,3,4-oxadiazolines from N-acylhydrazones using acetic anhydride.
Scheme 23.
Synthesis of 1,3,4-oxadiazolines from N-acylhydrazones using acetic anhydride.

In 2006, Dabiri and co-workers [41] reported a new procedure for the synthesis of disubstituted oxadiazoles 68 through a one-pot reaction of benzohydrazide, and para substituted aromatic aldehydes in the presence of an cerium ammonium nitrate (CAN) and dichloromethane solvent (Scheme 24).
Scheme 24.
Synthesis of 2,5-diaryl-1,3,4-oxadiazoles from benzohydrazide and aromatic aldehydes.
Scheme 24.
Synthesis of 2,5-diaryl-1,3,4-oxadiazoles from benzohydrazide and aromatic aldehydes.

Guin and co-workers [42] reported a direct route to both symmetrical and unsymmetrical 2,5-disubstituted-1,3,4-oxadiazoles 70 by means of an imine C-H functionalization of N-arylidenearoylhydrazide 69 using Cu(OTf)2 as catalyst (Scheme 25).
Scheme 25.
Synthesis of 1,3,4-oxadiazoles from N-arylidenearoylhydrazides and Cu(OTf)2.
Scheme 25.
Synthesis of 1,3,4-oxadiazoles from N-arylidenearoylhydrazides and Cu(OTf)2.

Li and He [43] synthetized the compound 2-(anthracen-9-yl)-5-(p-tolyl)-1,3,4-oxadiazole (72) in 75.4% yield from oxidative cyclization of N-acylhydrazone 71 using chloramine-T, (Entry a, Scheme 26). Gaonkar and co-workers [44] also reported the synthesis of 1,3,4-disubstituted oxadiazoles 74 from the oxidative cyclization of N-acylhydrazones 73 with chloramine-T under microwave irradiation, (Entry b, Scheme 26).
Scheme 26.
Oxidative cyclization of N-acylhydrazones using chloramine-T.
Scheme 26.
Oxidative cyclization of N-acylhydrazones using chloramine-T.

Pore and co-workers [45] developed an efficient method for one-pot synthesis of unsymmetrical 2,5-disubstituted 1,3,4-oxadiazoles 75 using trichloroisocyanuric acid (TCCA) at ambient temperatures. The main advantages of this method are the mild nature of the synthesis, and the short reaction time (Scheme 27).
Scheme 27.
Synthesis of 1,3,4-oxadiazoles using trichloroisocyanuric acid (TCCA).
Scheme 27.
Synthesis of 1,3,4-oxadiazoles using trichloroisocyanuric acid (TCCA).

Pardeshi and co-workers [46], using a mixture of N-chlorosuccinimide and 1,8-diazabicyclo[5.4.0]undec-7-ene (DBU) oxidatively cyclized structurally diverse acylhydrazones 76, thereby providing an efficient and convenient method for the synthesis of various 2,5-disubstituted 1,3,4-oxadiazoles 77. The salient features of this method are the mild reaction conditions, short reaction time, excellent yields, and a simple workup procedure (Scheme 28).
Scheme 28.
Oxidative cyclization of acylhydrazones using N-chlorosuccinimide and 1,8-diazabicyclo-[5.4.0]undec-7-ene (DBU).
Scheme 28.
Oxidative cyclization of acylhydrazones using N-chlorosuccinimide and 1,8-diazabicyclo-[5.4.0]undec-7-ene (DBU).

Dobrotã and co-workers [47] reported the synthesis of 2,5-disubstituted-1,3,4-oxadiazoles 79, conveniently prepared by oxidative cyclization of N-acylhydrazones 78 through use of an excess of Dess-Martin periodinane under mild conditions (Scheme 29).
Scheme 29.
Oxidative cyclization of N-acylhydrazones using Dess-Martin periodinane.
Scheme 29.
Oxidative cyclization of N-acylhydrazones using Dess-Martin periodinane.

Polshettiwar and Varma [48] reported a novel one-pot solvent-free synthesis of 1,3,4-oxadiazoles 82 by condensation of benzohydrazide 80 and triethylorthoalkanates 81 under microwave irradiation, and efficiently catalyzed by Nafion®NR50 (solid supported), and phosphorus pentasulfide in alumina (P4S10/Al2O3) with excellent yields (Scheme 30).
Scheme 30.
Nafion catalized 1,3,4-oxadiazole synthesis.
Scheme 30.
Nafion catalized 1,3,4-oxadiazole synthesis.

Kudelko and Zieliǹski [49] developed an easy and efficient method to synthesize 5-substituted-2-styryl-1,3,4-oxadiazoles 85 from cinnamic acid hydrazide 83 and commercially available triethyl orthoesters 84. The method provides the desired products rapidly and in high yields making it a useful addition to the existing synthetic procedures (Scheme 31).
Scheme 31.
Reaction of cinnamic acid hydrazide with triethyl orthoesters.
Scheme 31.
Reaction of cinnamic acid hydrazide with triethyl orthoesters.

Cui and co-workers [50] reported the synthesis of various α-keto-1,3,4-oxadiazole derivatives through a sequential intermolecular (dehydrochlorination/intramolecular) aza-Wittig reaction of carboxylic acids and imidoyl chloride intermediates, which were generated through isocyanide-Nef reactions of acyl chlorides and (N-isocyanimine)triphenylphosphorane in CH2Cl2 at room temperature (Scheme 32).
Scheme 32.
Synthesis α-keto-1,3,4-oxadiazole.
Scheme 32.
Synthesis α-keto-1,3,4-oxadiazole.

Ramazani and Rezaei [51] developed a novel and efficient method for the synthesis of 2,5-disubstituted-1,3,4-oxadiazoles 88 in high yield by a one-pot condensation procedure in CH2Cl2 at room temperature involving four components: (N-isocyanimino)triphenylphosphorane (87), a secondary amine, a carboxylic acid, and an aromatic aldehyde (Scheme 33). For similar reactions with their respective mechanisms, see references [52,53,54,55,56,57].
Scheme 33.
Synthesis of dissubstituted 1,3,4-oxadiazoles from four components in a one-pot procedure.
Scheme 33.
Synthesis of dissubstituted 1,3,4-oxadiazoles from four components in a one-pot procedure.

Although less popular than the methods mentioned above, the Huisgen reaction (reaction of 5-aryl/acyltetrazoles with acid chlorides or acid anhydrides) is widely used for the synthesis of various 2,5-disubstituted-1,3,4-oxadiazoles. Some interesting examples are outlined below.
Tetrazole 89 with chloroacetyl chloride (90) give disubstituted oxadiazole 91(Entry a, Scheme 34) [58]. Reflux of 4-methoxyphenyltetrazole (92) with 4-tert-butylbenzoyl chloride for 2 h affords 2-(4-tert-butylphenyl)-5-(4-methoxyphenyl)-1,3,4-oxadiazole (93) in 96% yield (Entry b, Scheme 34) [59]. Similarly, compounds 95 (Entry c) [60] and 98 (Entry d) [61] are obtained in excellent yields when treating the intermediates 94 and 97 with acid chlorides (Scheme 34).
Scheme 34.
Synthesis of 1,3,4-oxadiazoles by the Huisgein reaction.
Scheme 34.
Synthesis of 1,3,4-oxadiazoles by the Huisgein reaction.

The Huisgein reaction also proceeds well with acid anhydrides in place of acid chlorides, which was demonstrated by Efimova and co-workers [62], by synthesizing 1,3,4-oxadiazole compounds 100, and 101 by acylation of a series of 5-aryl(hetaryl)tetrazoles 99 with acetic and benzoic anhydrides under microwave irradiation conditions (Scheme 35) (see also Reichart and Kappe [63]).
Scheme 35.
Acylation of tetrazoles with acetic and benzoic anhydrides.
Scheme 35.
Acylation of tetrazoles with acetic and benzoic anhydrides.

3. Pharmacological Activity of 1,3,4-Oxadiazoles
3.1. Antimicrobial Activity
The recent emergence of drug resistance when treating infectious diseases has underlined the need for new, safer, and more efficient antimicrobial agents. Many researchers have reported excellent antimicrobial activity for compounds containing the 1,3,4-oxadiazole core.
Recently, Oliveira and co-workers [64] reported synthesis and antistaphylococcal activity of 1,3,4-oxadiazolines 102 against strains of Staphylococcus aureus, resistant to methicillin and amino glycosides (MARSA), and that encode efflux proteins (multidrug drugs resistant—MDR). The compounds 102 showed efficient antistaphylococcal activity at 4 to 32 μg/mL, making all the compounds 2–8 times more active than the standard drug chloramphenicol (Figure 5).
A series of new derivatives of 5-(1-/2-naphthyloxymethyl)-1,3,4-oxadiazol-2(3H)-thione (R=SH), 5-(1-/2-naphthyloxymethyl)-1,3,4-oxadiazole-2-amino (R=NH2), and 5-(1-/2-naphthyloxymethyl)-1,3,4-oxadiazol-2(3H)-ones (R=OH) 103 [65] were synthesized and evaluated for their antimicrobial activity. All were active against S. aureus, E. coli, P. aeruginosa, C. albicans and C. parapsilosis at a minimum concentration of 64–256 mg/mL (Figure 5).
Patel and Patel [6] verified the antibacterial activity of a series of derivatives containing the 1,3,4-oxadiazole nucleus against Gram-positive (S. aureus MTCC 96 and S. pyogenes MTCC 442) and Gram-negative bacteria (E. coli MTCC 443 and P. aeruginosa MTCC 1688) using ampicillin as the drug standard. The compounds 4-[5-(2-chlorophenyl)-1,3,4-oxadiazol-2-yl]benzenamine (104), and 3-{[5-(2-chlorophenyl)-1,3,4-oxadiazol-2-yl]methyl}-2-{2-[2,6-dichlorophenyl)amino]benzyl}-6-iodoquinazolin-4(3H)-one (105) were respectively 2 and 5 times more potent than ampicillin (Figure 5).
2,5-Disubstituted oxadiazole compounds 106 (Figure 5) containing the acetyl group in position 3 of the oxadiazole ring were synthesized and evaluated against two strains of bacteria, S. aureus and P. aeruginosa, and against two species of fungi, C. albicans and A. flavus, by the disk diffusion method. Ampicillin and fluconazole were used as drug standards for the antibacterial and antifungal activity, respectively. In comparison, all of the compounds were equally potent to their ampicillin and fluconazole standards [66].
The antibacterial and antifungal activity of 2-(5-amino-1,3,4-oxadiazol-2-yl)-4-bromophenol (107), and 5-(3,5-dibromophenyl)-1,3,4-oxadiazol-2-amine (108) were investigated against two strains of Gram-positive bacteria; Streptococcus aureus, Bacillus subtilis, two strains of Gram-negative bacterial; Klebsiella pneumoniae and Escherichia coli, and two fungal species; Aspergillus Niger and C. Pannical. The tests showed activities which were approximately equal to the standard drugs of treatment streptomycin and griseofulvin, respectively, [67] (Figure 5).
Sangshetti and co-workers [68] investigated the antifungal activity of a number of disubstituted oxadiazoles 109 (Figure 5), each of which contained a triazole unit at position 5 of the oxadiazole ring. The species of fungi tested were Candida albicans, Fusarium oxysporum, Aspergillus flavus, Aspergillus Níger, and Cryptococcus neoformans. Miconazole and fluconazole were used as standards for the comparison. The compounds containing the methyl sulfone (R=SO2CH3) group attached to the nitrogen of the piperidine ring, and Cl or OH (R1) groups exhibited excellent pharmacological profiles (equal to miconazole) against some of the fungi.
Compounds 110 and 111 were respectively 2 and 4 fold more potent than furacin when evaluated against E. coli, and P. aeruginosa. Compounds 112 and 113 were twice as potent as fluconazole against C. albicans [69] (Figure 5). Other oxadiazole compounds with antibacterial activity are: 114 [70], 115 [71], 116 [72], 117 [13], 118 [73], 119 [24], 120 [74], 121 [75] and 122 [76] (Figure 5).
Figure 5.
Disubstituted-1,3,4-oxadiazoles with antibacterial and antifungal activity.
Figure 5.
Disubstituted-1,3,4-oxadiazoles with antibacterial and antifungal activity.

The compound 2-(2-naphthyloxymethyl)-5-phenoxymethyl-1,3,4-oxadiazole (123) exhibitsanti-mycobacterial activity at a minimum inhibitory concentration of 6.25 µg/mL (Figure 6) [77]. Anti-mycobacterial activity against Mycobacterium tuberculosis H37RV was also studied by Kumar and co-workers [40] for a series of di-substituted oxadiazoles 124 containing the thiazole unit. The derivative containing the Cl group exhibited excellent results at a minimum inhibitory concentration of 4 μg/mL (Figure 6).
Yoshida and co-workers [78] described the synthesis and optimization of anti-Helicobacter pylori activity for a new series of cephem derivatives. Compound 125 exhibited anti Helicobacter pylori (13001 and FP1757) activity at a minimum inhibitory concentration of 0.1 μg/mL. Bakal and Gattani [79] investigated anti-tubercular activity for a series of 2,5-disubstituted oxadiazoles against M. tuberculosis H337Rv. Compound 126 with a MIC50 = 0.04 ± 0.01 μM was comparable with Isoniazid. Compound 127 was 7.3-fold more active against Mycobacterium tuberculosis H37Rv, and 10.3-fold more active against INH resistant Mycobacterium tuberculosis than Isoniazid (Figure 6) [80].
Figure 6.
1,3,4-Oxadiazoles with anti-mycobacterial activity.
Figure 6.
1,3,4-Oxadiazoles with anti-mycobacterial activity.

3.2. Anticonvulsant Activity
New 3-[5-(4-substituted)-phenyl-1,3,4-oxadiazole-2-yl]-2-styrylquinazoline-4(3H)-one oxadiazoles 128 were synthesized and evaluated by Kashaw and co-workers [81] (Figure 7) for anticonvulsant activity. New 2-substituted-5-(2-benzylthiophenyl)-1,3,4-oxadiazole derivatives 129 were designed and synthesized as anticonvulsant agents. The authors found that introduction of an amino group at position 2 of the 1,3,4-oxadiazole ring, and a fluorine substitute at the para position of the benzylthio group improves anticonvulsant activity [82], (Figure 7).
Rajak and co-workers [83] synthesized and evaluated semicarbazones 130 containing the 1,3,4-oxadiazole units for anticonvulsant potential in a three model test (MES), (scPTZ) and (scSTY). Most of them showed activity in all three models, (Figure 7). We include other compounds with anticonvulsant activity: 131 [84], 132 [85], 133 [86], 134 [82], 135 [87], 136 [88], 137 [89] (Figure 7).
Figure 7.
1,3,4-Oxadiazoles with anticonvulsant activity.
Figure 7.
1,3,4-Oxadiazoles with anticonvulsant activity.

3.3. Anti-inflammatory Activity
A series of oxadiazole derivatives 138 of ibuprofen which contains the arylpiperazine unit at position 3 of the oxadiazole ring were investigated by Manjunatha and co-workers [20] for anti-inflammatory activity using paw edema induced by carrageenan as the method with sodium diclofenac as the reference. Compounds containing 4-Cl, 4-NO2, 4-F and 3-Cl groups were more active than sodium diclofenac, whereas compounds with 4-MeO and 2-EtO groups showed less activity (Figure 8).
Figure 8.
1,3,4-Oxadiazoles with anti-inflammatory activity.
Figure 8.
1,3,4-Oxadiazoles with anti-inflammatory activity.

Compounds 139 were synthesized from the anti-inflammatory drug fenbufen and evaluated for anti-inflammatory activity by carrageenan induced paw edema; sodium diclofenac and fenbufen were the standards. The compounds containing 4-Cl, 4-NO2, 4-F and 4-MeO groups were equipotent to fenbufen, and the compound with a 3,4-di-MeO group was more potent than the fenbufen, and equal to sodium diclofenac [90] (Figure 8).
2-(1-adamantyl)-5-substituted-1,3,4-oxadiazole compounds 140 displayed strong dose dependent inhibition of carrageenan-induced paw edema with >50% inhibition at a concentration of 60 mg/kg. The compound with the 3,4-di-MeO group was more potent than the indomethacin standard [91], (Figure 8). Burbuliene and co-workers [92] investigated anti-inflammatory activity for 5-[(2-di-substituted diamino-6-methyl-pyrimidin-4-yl)sulphanylmethyl]-3H-1,3,4-oxadiazol-2-thione derivatives 141 and found that some were more potent than ibuprofen, (Figure 8). Other compounds with anti-inflammatory activity are also included: 142 [93], 143 [94], 144 [95], 145 [96], 146 [97], 147 [98], 148 [99] and 149 [100], (Figure 8).
3.4. Analgesic Activity
5-(2-(2,6-Dichlorophenylamino)benzyl)-N-(4-fluorophenyl)-2-amino-1,3,4-oxadiazole (150) was more potent in an evaluation of its analgesic activity than sodium diclofenac with a maximal analgesic activity of (81,86%) [27] (Figure 9). The compound 151 containing the 2,4-dichlorophenyl group, present at the second position of the oxadiazole ring, showed a maximal activity of (70.37 ± 1.67%), almost equivalent to that of the ibuprofen standard (73.52 ± 1.00%) [101] (Figure 9). Compounds 138, 139, 144, 146, 147, 148 (Figure 8) also display analgesic activity. Compound 139 with the R=4-F group showed a maximal analgesic activity of (72.52%), better than both sodium diclofenac (70.32%) and fenbufen (54.1%) [90].
Figure 9.
1,3,4-Oxadiazoles with analgesic activity.
Figure 9.
1,3,4-Oxadiazoles with analgesic activity.

3.5. Antitumor Activity
Savariz and co-workers [102] synthesized and evaluated the in vitro antitumor activity of new Mannich bases. Among the compounds studied, compound 152 showed potent activity against melanoma (UACC-62), and lung (NCI-460) cell lines with GI50 values of 0.88 and 1.01 mmol/L, respectively, (Figure 10). Liu and co-workers [103] synthesized and reported the anti-proliferative and EGFR inhibition properties of a series of 2-(benzylthio)-5-aryloxadiazole derivatives. Compound 153 showed potent biological activity (IC50 = 1.09 μM for MCF-7, and IC50 = 1.51 μM for EGFR) (Figure 10).
Ouyang and co-workers [104], and Tuma and co-workers [105] synthesized and evaluated various 1,3,4-oxadiazole derivatives as to their ability to inhibit tubulin polymerization and block the mitotic division of tumor cells. Compounds 154 and 155 exhibited potent activity. In vitro studies of compound 154 indicated that at nano-concentrations it interrupted mitotic division in breast carcinoma and squamous cell tumors, which included multi-drug resistant cells. In vivo studies of compound 155 displayed a desirable pharmacokinetic profile (with appropriate plasma levels after oral administration), and was significantly more effective than the taxane paclitaxel (Figure 10).
The anti-proliferative effects of 24 new 2,5-diaryl-2,3-dihydro-1,3,4-oxadiazoline compounds (Type I) 157, and (Type II) 158, analogous to combretastatin-A4 (156) were evaluated in murine L1210 leukemia cells (Figure 10), and also in murine B16 melanoma cells. Combretastatin-A4 is the most potent of natural combretastatins. Early studies have shown that it inhibits tubulin polymerization, and proliferation of murine, and human cancer cells. Type I compounds with R1=R2=R4=R5=H, and R3=Br groups, displayed an IC50 of 0.6 ± 0.7 μM. Type II compounds with R1=R5=H, and R2=R3=R4=OCH3 displayed an IC50 of 0.5 ± 0.06 μM. However, these compounds were substantially less potent than the compound 156 which displayed an IC50 of 0.003 μM (all for L1210 cells) [106]. Other compounds with antitumor activity are included: 159 [107], 160 [108] and 161 [109].
Figure 10.
1,3,4-Oxadiazoles with antitumor activity.
Figure 10.
1,3,4-Oxadiazoles with antitumor activity.

3.7. Antihypertensive Activity
Hypertension and cardiovascular disease are major causes of morbidity and mortality worldwide. Bankar and co-workers [117] reported the vasorelaxant effect of compound 171, 4-(3-acetyl-5-(pyridin-3-yl)-2,3-dihydro-1,3,4-oxadiazol-2-yl)phenyl acetate (Figure 14), in rat aortic rings by blocking L-type calcium channels. Bankar and co-workers [118] also investigated whether the correction of endothelial dysfunction is dependent on high blood pressure normalization; in deoxycorticosterone acetate (DOCA-salt), and NG-nitro-L-arginine (L-NNA) in hypertensive rats. Compound 172 is a T type Ca2+ channel inhibitor with an IC50 of 810 nM [119] (Figure 13).
Figure 14.
Vasorelaxant activity of 1,3,4-oxadiazoles.
Figure 14.
Vasorelaxant activity of 1,3,4-oxadiazoles.

3.8. Enzyme Inhibitors
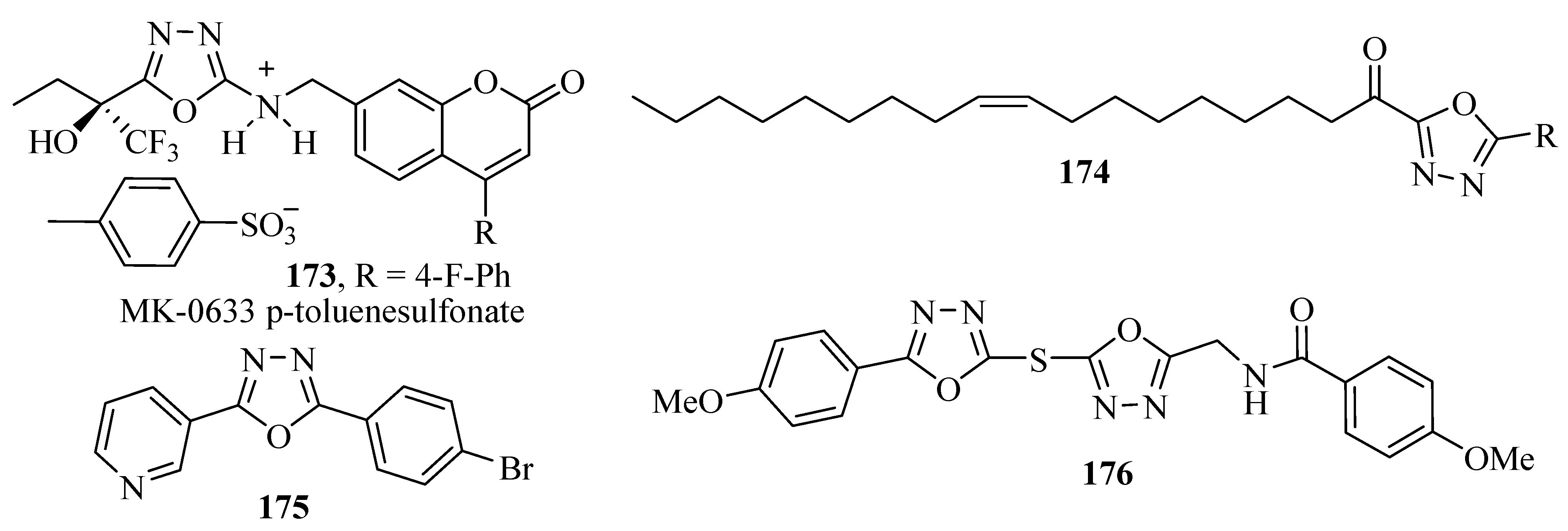
Leukotrienes (LTs) are potent inflammatory lipid mediators derived from arachidonic acid metabolism, and released from cells involved in inflammation. The synthesis of all LTs requires the action of the enzyme 5-lipoxygenase (5-LO). Inhibition of 5-LO reduces the production of both LTB4, and cysteinyl LTs (CysLTs); LTC4, LTD4 and LTE4. 5-LO inhibitors have therapeutic potential for the treatment of inflammatory processes. A new oxadiazole p-toluenesulfonate derivative 173 (Figure 15) containing an asymmetric carbon was identified as both a potent and selective inhibitor of 5-lipoxygenase (5-LO) by Ducharme and co-workers [120], and Gosselin and co-workers [121].
Leung and co-workers [122] reported the discovery of a new class of disubstituted oxadiazoles 174 (Figure 15) from oleic acid derivatives with potent and selective inhibition of fatty acid amide hydrolase. Khan and co-workers [123] performed studies on inhibition effects on tyrosinase with 19 2,5-disubstituted-1,3,4-oxadiazole compounds, the compound 3-(5-(4-bromophenyl)-1,3,4-oxadiazol-2-yl) pyridine (175) with an IC50 of 2.18 µM was more potent than the standard L-mimosine (IC50 = 3.68 µM) (Figure 15).
Tomi and co-workers [124] reported a study with the bis-1,3,4-oxadiazole compound 176 that contains a glycine unit on the transferase activity of enzymes such as: GOT, GPT and γ-GT in serum. Compound 176 showed activation for GOT and GPT and inhibitory effects on the activity of γ-GT, (Figure 15).
Figure 15.
1,3,4-Oxadiazole as enzyme inhibitors.
Figure 15.
1,3,4-Oxadiazole as enzyme inhibitors.

Maccioni and co-workers [125] synthesized a set of 3-acetyl-2,5-diaryl-2,3-dihydro-1,3,4-oxadiazoles and tested them as inhibitors of human monoamine oxidase (MAO) A and B isoforms. None of the tested compounds displayed significant inhibitory ability for MAO-A. However, several compounds were identified as selective MAO-B inhibitors. Some of the tested compounds exhibit interesting biological properties with an IC50 for the B isoform ranging from micromolar to nanomolar values. Compounds 177 were active at inhibiting MAO-B at nanomolar concentrations (Figure 16).
The optimization study of the central heterocycle of α-ketoheterocycle inhibitors of fatty acid amide hydrolase realized by Garfunkle and co-workers [126], led to identification of the most potent inhibitors 178. 5-aminopyrimidinone R-keto-1,3,4-oxadiazole (ONO-6818) is representative of orally active nonpeptidic reversible inhibitors of Human Neutrophil Elastase (HNE), with potent Ki values in the nanomolar range (Figure 16) [127,128]. Selective human Granzyme B inhibitors 179 inhibit CTL mediated apoptosis [129], and compound 180 (EC50 = 3.7 nM) demonstrated balanced potency and PK profiles. The molecule also exhibited potent oral in vivo efficacy potentiating the cytotoxic agent temozolomide in a B16F10 murine melanoma model [130], (Figure 16).
Figure 16.
1,3,4-Oxadiazoles showing inhibitors activity against enzymes.
Figure 16.
1,3,4-Oxadiazoles showing inhibitors activity against enzymes.

Various other 1,3,4-oxadiazole derivatives show inhibitory activity against enzymes such as: 181 [131], 182 [132], 183 [133], 184 [134], 185 [135], 186 [136], 187 [137], 188 [138], 189 [139], 190 [140], 191 [141] and 192 [142], (Figure 17).
A summary of other activities exhibited by compounds containing the 1,3,4-oxadiazole nucleus can be found in the Figure 18. For further biological and pharmacological properties of 1,3,4-oxadiazole, see references [143,144,145].
Figure 17.
Other 1,3,4-oxadiazole derivatives as enzymes inhibitors.
Figure 17.
Other 1,3,4-oxadiazole derivatives as enzymes inhibitors.

Figure 18.
Other biological and pharmacological activities of 1,3,4-oxadiazoles derivatives.
Figure 18.
Other biological and pharmacological activities of 1,3,4-oxadiazoles derivatives.

4. Conclusions
This review, has summarized the synthetic methods and biological activities for 1,3,4-oxadiazole derivatives reported in the literature during the past twelve years. The main synthetic methods include: (1) cyclodehydration reactions of diacylhydrazines; (2) cyclization oxidative reactions of N-acylhydrazones; (3) the one-step synthesis from readily available carboxylic acids and acid hydrazides; (4) the reactions of hydrazides with orthoesters; (5) hydrazide reactions with carbon disulfide in basic medium; (6) reaction of tetrazoles with acid chloride or acid anhydride. Most research groups are still using these synthetic routes making use only of new reaction conditions such as: new cyclization reagents, new catalysts, polymeric supports and microwave radiation. Few innovative methods have emerged in recent years, highlighting the methods described by Ramazani and Rezaei [51] and Cui and co-workers [50]. Furthermore, the various synthetic methods exemplified may serve as a support for the planning of new molecules containing the 1,3,4-oxadiazole unit. The broad pharmacological profile of this class of compounds is evidenced by the numerous examples cited here. In each biological activity topic, we have only provided selected examples of molecules with relevant activity being that these molecules may serve as prototypes for the development of more active derivatives.
Acknowledgments
This work was supported by the following Brazilian agencies: CNPq and CAPES. The English in this article was reviewed by David Peter Harding.
Conflict of Interest
The authors declare no conflict of interest.
References
- Nagaraj; Chaluvaraju, K.C.; Niranjan, M.S.; Kiran, S. 1,3,4-Oxadiazole: A potent drug candidate with various pharmacological activities. Int. J. Pharm. Pharm. Sci. 2011, 3, 9–16. [Google Scholar]
- Boström, J.; Hogner, A.; Llinàs, A.; Wellner, E.; Plowright, A.T. Oxadiazoles in medicinal chemistry. J. Med. Chem. 2012, 55, 1817–1830. [Google Scholar]
- Savarino, A. A historical sketch of the discovery and development of HIV-1 integrase inhibitors. Expert Opin. Investig. Drugs 2006, 15, 1507–1522. [Google Scholar] [CrossRef]
- James, N.D.; Growcott, J.W. Zibotentan. Drugs Future 2009, 34, 624–633. [Google Scholar]
- Scifinder Scholar. Criteria Used to Search: Research Topic: 1,3,4-Oxadiazole. Available online: http://www.cas.org/products/scifinder/ (accessed on 7 June 2012).
- Patel, N.B.; Patel, J.C. Synthesis and antimicrobial activity of 3-(1,3,4-oxadiazol-2-il)quinazolin-4(3H)-ones. Sci. Pharm. 2010, 78, 171–193. [Google Scholar] [CrossRef]
- Kerimov, I.; Ayhan-Kılcıgil, G.; Özdamar, E.D.; Can-Eke, B.; Çoban, T.; Özbey, S.; Kazak, C. Design and one-pot and microwave-assisted synthesis of 2-amino/5-aryl-1,3,4-oxadiazoles bearing a benzimidazole moiety as antioxidants. Arch. Pharm. Chem. Life Sci. 2012, 345, 349–356. [Google Scholar]
- Katritzky, A.R.; Vvedensky, V.; Cai, X.; Rogovoy, B.; Steel, P.J. Synthesis of 5-(2-arylazenyl)-1,2,4-triazoles and 2-amino-5-aryl-1,3,4-oxadiazoles. ARKIVOC 2002, 6, 82–90. [Google Scholar]
- Rajak, H.; Agarawal, A.; Parmar, P.; Thakur, B.S.; Veerasamy, R.; Sharma, P.C.; Kharya, M.D. 2,5-Disubstituted-1,3,4-oxadiazoles/thiadiazole as surface recognition moiety: Design and synthesis of novel hydroxamic acid based histone deacetylase inhibitors. Bioorg. Med. Chem. Lett. 2011, 21, 5735–5738. [Google Scholar]
- Gupta, V.; Kashaw, S.K.; Jatav, V.; Mishra, P. Synthesis and antimicrobial activity of some new 3-[5-(4-substituted) phenyl-1,3,4-oxadiazole-2yl]-2-styrylquinazoline-4(3H)-ones. Med. Chem. Res. 2008, 17, 205–211. [Google Scholar] [CrossRef]
- Sharma, L.K.; Kumar, S.; Singh, S.; Singh, R.K.P. Electrochemical synthesis of 5-substituted-2-amino-1,3,4-oxadiazoles at the llatinum electrode. Russ. J. Electrochem. 2010, 46, 34–40. [Google Scholar] [CrossRef]
- Lotfi, B.; Mustafa, B.; Leila, L.; Salima, M. Electrocyclization of semicarbazone; A novel route of green synthesis of 2,5-disubstituted-1,3,4-oxadiazoles. Int. J. Electrochem. Sci. 2011, 6, 1991–2000. [Google Scholar]
- El-Sayed, W.A.; Ali, O.M.; Hendy, H.A.; Abdel-Rahman, A.A.-H. Synthesis and antimicrobial activity of new 2,5-disubstituted 1,3,4-oxadiazoles and 1,2,4-triazoles and their sugar derivatives. Chin. J. Chem. 2012, 30, 77–83. [Google Scholar]
- Rivera, N.R.; Balsells, J.; Hansen, K.B. Synthesis of 2-amino-5-substituted-1,3,4-oxadiazoles using 1,3-dibromo-5,5-dimethylhydantoin as oxidant. Tetrahedron Lett. 2006, 47, 4889–4891. [Google Scholar] [CrossRef]
- Dolman, S.J.; Gosselin, F.; O’shea, P.D.; Davies, I.W. Superior reactivity of thiosemicarbazide in the synthesis of 2-amino-1,3,4-oxadizaoles. J. Org. Chem. 2006, 71, 9548–9551. [Google Scholar]
- Koparır, M.; Çetin, A.; Cansız, A. 5-Furan-2yl[1,3,4]oxadiazole-2-thiol, 5-furan-2yl-4H[1,2,4] triazole-3-thiol and their thiol-thione tautomerism. Molecules 2005, 10, 475–480. [Google Scholar] [CrossRef]
- Amir, M.; Shikha, K. Synthesis and anti-inflammatory, analgesic, ulcerogenic and lipid peroxidation activities of some new 2-[(2,6-dichloroanilino)phenyl]acetic acid derivatives. Eur. J. Med. Chem. 2004, 39, 535–545. [Google Scholar] [CrossRef]
- Vosooghi, M.; Akbarzadeh, T.; Fallah, A.; Fazeli, M.R.; Jamalifar, H.; Shafiee, A. Synthesis of substituted 1,3,4-oxadiazole, 1,3,4-thiadiazole and 1,2,4-triazole derivatives as potential antimicrobial agents. J. Sci. Islam. Repub. Iran 2005, 16, 145–151. [Google Scholar]
- Almasirad, A.; Vousooghi, N.; Tabatabai, S.A.; Kebriaeezadeh, A.; Shafiee, A. Synthesis, anticonvulsant and muscle relaxant activities of substituted 1,3,4-oxadiazole, 1,3,4-thiadiazole and 1,2,4-triazole. Acta Chim. Slov. 2007, 54, 317–324. [Google Scholar]
- Manjunatha, K.; Poojary, B.; Lobo, P.L.; Fernandes, J.; Kumari, N.S. Synthesis and biological evaluation of some 1,3,4-oxadiazole derivatives. Eur. J. Med. Chem. 2010, 45, 5225–5233. [Google Scholar] [CrossRef]
- Saitoh, M.; Kunitomo, J.; Kimura, E.; Hayase, Y.; Kobayashi, H.; Uchiyama, N.; Kawamoto, T.; Tanaka, T.; Mol, C.D.; Dougan, D.R.; et al. Design, synthesis and structure-activity relationships of 1,3,4-oxadiazole derivatives as novel inhibitors of glycogen synthase kinase-3β. Bioorg. Med. Chem. 2009, 17, 2017–2029. [Google Scholar]
- Almasirad, A.; Shafiee, A.; Abdollahi, M.; Noeparast, A.; Shahrokhinejad, N.; Vousooghi, N.; Tabatabai, S.A.; Khorasami, R. Synthesis and analgesic activity of new 1,3,4-oxadiazoles and 1,2,4-triazoles. Med. Chem. Res. 2011, 20, 435–442. [Google Scholar]
- Xu, W.; He, J.; He, M.; Han, F.; Chen, X.; Pan, Z.; Wang, J.; Tong, M. Synthesis and antifungal activity of novel sulfone derivatives containing 1,3,4-oxadiazole moieties. Molecules 2011, 16, 9129–9141. [Google Scholar]
- Kaplancikli, Z.A. Synthesis of some oxadiazole derivatives as new anticandidal agents. Molecules 2011, 16, 7662–7671. [Google Scholar] [CrossRef]
- Liu, Z.-M.; Chen, Q.; Chen, C.-N.; Tu, H.-Y.; Yang, G.-F. Syntheses of diheterocyclic compounds based on 2-thioacetohydrazide-5,7-dimethyl-1,2,4-triazolo[1,5-a]-pyrimidine. Molecules 2008, 13, 1353–1360. [Google Scholar]
- Zheng, X.; Li, Z.; Wang, Y.; Chen, W.; Huang, Q.; Liu, C.; Song, G. Synthesis and Insecticidal activities of novel 2,5-disubstituted 1,3,4-oxadiazoles. J. Fluorine Chem. 2003, 123, 163–169. [Google Scholar] [CrossRef]
- Amir, M.; Kumar, S. Synthesis and evaluation of anti-inflammatory, analgesic ulcerogenic and lipid peroxidation properties of ibuprofen derivatives. Acta Pharm. 2007, 57, 31–45. [Google Scholar] [CrossRef]
- Mickevičius, V.; Vaickelionienė, R.; Sapijanskaitė, B. Synthesis of substituted 1,3,4-oxadiazole derivatives. Chem. Heterocycl. Comp. 2009, 45, 215–218. [Google Scholar]
- Martin, P.J.; Bruce, D.B. Hydrogen-bonded oxadiazole mesogens. Liq. Crystals 2007, 34, 767–774. [Google Scholar] [CrossRef]
- Hernández-Ainsa, S.; Barberá, J.; Marcos, M.; Serrano, J.L. Liquid crystalline ionic dendrimers containing luminescent oxadiazole moieties. Macromolecules 2012, 45, 1006–1015. [Google Scholar]
- Nagendra, G.; Lamani, R.S.; Narendra, N.; Sureshbabu, V.V. A convenient synthesis of 1,3,4-thiadiazole and 1,3,4-oxadiazole based peptidomimetics employing diacylhydrazines derived from amino acids. Tetrahedron Lett. 2010, 51, 6338–6341. [Google Scholar]
- Li, Z.; Zhu, A.; Mao, X.; Sun, X.; Gong, X. Silica-supported dichlorophosphate: A recoverable cyclodehydrant for the eco-friendly synthesis of 2,5-disubstituted 1,3,4-oxadiazoles under solvent-free and microwave irradiation conditions. J. Braz. Chem. Soc. 2008, 19, 1622–1626. [Google Scholar] [CrossRef]
- Sharma, G.V.M.; Rakesh, B.A.; Krishna, P.R. Zirconium (IV) chloride mediated cyclodehydration of 1,2-diacylhydrazines: A convenient synthesis of 2,5-diaryl 1,3,4-oxadiazoles. Synth. Commun. 2004, 34, 2387–2391. [Google Scholar] [CrossRef]
- Yang, Y.-H.; Shi, M. Halogen effects in Robinson-Gabriel type reaction of cyclopropanecarboxylic acid N'-substituted-hydrazides with PPh3/CX4. Tetrahedron Lett. 2005, 46, 6285–6288. [Google Scholar] [CrossRef]
- Pouliot, M.-F.; Angers, L.; Hamel, J.D.; Paquin, J.F. Synthesis of 1,3,4-oxadiazoles from 1,2-diacylhydrazines using [Et2NSF2]BF4 as a practical cyclodehydration agent. Org. Biomol. Chem. 2012, 10, 988–993. [Google Scholar] [CrossRef]
- Li, C.; Dickson, H.D. A mild, one-pot preparation of 1,3,4-oxadiazoles. Tetrahedron Lett. 2009, 50, 6435–6439. [Google Scholar] [CrossRef]
- Rajapakse, H.A.; Zhu, H.; Young, M.B.; Mott, B.T. A mild and efficient one pot synthesis of 1,3,4-oxadiazoles from carboxylic acids and acyl hydrazides. Tetrahedron Lett. 2006, 47, 4827–4830. [Google Scholar] [CrossRef]
- Kangani, C.O.; Kelley, D.E.; Day, B.W. One pot direct synthesis of oxazolines, benzoxazoles and oxadiazoles from carboxylic acids using the deoxo-fluor reagent. Tetrahedron Lett. 2006, 47, 6497–6499. [Google Scholar]
- Mashraqui, S.H.; Ghadigaonkar, S.G.; Kenny, R.S. An expeditious and convenient one pot synthesis of 2,5-disubstituted-1,3,4-oxadiazoles. Synth. Commun. 2003, 33, 2541–2545. [Google Scholar]
- Kumar, G.V.S.; Rajendraprasad, Y.; Mallikarjuna, B.P.; Chandrashekar, S.M.; Kistayya, C. Synthesis of some novel 2-substituted-5-[isopropylthiazole] clubbed 1,2,4-triazole and 1,3,4-oxadiazoles as potential antimicrobial and antitubercular agents. Eur. J. Med. Chem. 2010, 45, 2063–2074. [Google Scholar] [CrossRef]
- Dabiri, M.; Salehi, P.; Baghbanzadeh, M.; Bahramnejad, M. A facile procedure for the one-pot synthesis of unsymmetrical 2,5-disubstituted 1,3,4-oxadiazoles. Tetrahedron Lett. 2006, 47, 6983–6986. [Google Scholar]
- Guin, S.; Ghosh, T.; Rout, S.K.; Banerjee, A.; Patel, B.K. Cu(II) Catalyzed imine C-H functionalization leading to synthesis of 2,5-substituted 1,3,4-oxadiazoles. Org. Lett. 2011, 13, 5976–5979. [Google Scholar]
- Li, X.; He, D. Synthesis and optical properties of novel anthracene-based stilbene derivatives containing an 1,3,4-oxadiazole unit. Dyes Pigm. 2012, 93, 1422–1427. [Google Scholar] [CrossRef]
- Gaonkar, S.L.; Nagashima, I.; Shimizu, H. Microwave-assisted solution phase synthesis of novel 2-{4-[2-(N-methyl-2-pyridylamino)ethoxy]phenyl}-5-substituted 1,3,4-oxadiazole library. Org. Chem. Int. 2011, 2011. [Google Scholar] [CrossRef]
- Pore, D.M.; Mahadik, S.M.; Desai, U.V. Trichloroisocyanuric acid-mediated one-pot synthesis of unsymmetrical 2,5-disubstituted 1,3,4-oxadiazoles at ambient temperature. Synth. Commun. 2008, 38, 3121–3128. [Google Scholar] [CrossRef]
- Pardeshi, S.P.; Patil, S.P.; Bobade, V.D. N-chlorosuccinimide/1,8-diazabicyclo[5.4.0]undec-7-ene (dbu)-mediated synthesis of 2,5-disubstituted 1,3,4-oxadiazoles. Synth. Commun. 2010, 40, 1601–1606. [Google Scholar]
- Dobrotã, C.; Paraschivescu, C.C.; Dumitru, I.; Matache, M.; Baciu, I.; Rutã, L.L. Convenient preparation of unsymmetrical 2,5-disubstituted 1,3,4-oxadiazoles promoted by Dess-Martin reagent. Tetrahedron Lett. 2009, 50, 1886–1888. [Google Scholar]
- Polshettiwar, V.; Varma, R.S. Greener and rapid access to bio-active heterocycles: One-pot solvent-free synthesis of 1,3,4-oxadiazoles and 1,3,4-thiadiazoles. Tetrahedron Lett. 2008, 49, 879–883. [Google Scholar]
- Kudelko, A.; Zieliǹski, W. Microwave-assisted synthesis of 2-styryl-1,3,4-oxadiazoles from cinnamic acid hydrazide and triethyl orthoesters. Tetrahedron Lett. 2012, 53, 76–77. [Google Scholar] [CrossRef]
- Cui, L.; Liu, Q.; Yu, J.; Ni, C.; Yu, H. A novel one-pot synthesis of a-keto-1,3,4-oxadiazole derivatives based on isocyanide-Nef reaction. Tetrahedron Lett. 2011, 52, 5530–5533. [Google Scholar]
- Ramazani, A.; Rezaei, A. Novel one-pot, four-component condensation reaction: An efficient approach for the synthesis of 2,5-disubstituted 1,3,4-oxadiazole derivatives by a Ugi-4CR/aza-wittig sequence. Org. Lett. 2010, 12, 2852–2855. [Google Scholar] [CrossRef]
- Ramazani, A.; Ahmadi, Y.; Mahyari, A. One-pot efficient synthesis of fully substituted 1,3,4-oxadiazole derivatives from (N-isocyanimino)triphenylphosphorane, carboxylic acids, and aromatic bis-aldehydes. Synth. Commun. 2011, 41, 2273–2282. [Google Scholar] [CrossRef]
- Ahankar, H.; Ramazani, A.; Amini, I.; Ahmadi, Y.; Souldozi, A. The reaction of (N-isocyanimino)triphenylphosphorane with (E)-3-aryl-2-propenoic acid derivatives: One-pot synthesis of 2-[(E)-2-aryl-1-ethenyl]-1,3,4-oxadiazoles via intramolecular aza-Wittig reaction. Heteroatom Chem. 2011, 22, 612–616. [Google Scholar] [CrossRef]
- Ramazani, A.; Shajari, N.; Mahyari, A.; Ahmadi, Y. A novel four-component reaction for the synthesis of disubstituted 1,3,4-oxadiazole derivatives. Mol. Divers. 2011, 15, 521–527. [Google Scholar] [CrossRef]
- Ramazani, A.; Ahmadi, Y.; Rouhani, M.; Shajari, N.; Souldozi, A. The reaction of (N-isocyanimino)triphenylphosphorane with an electron-poor α-haloketone in the presence of aromatic carboxylic acids: A novel three-component reaction for the synthesis of disubstituted 1,3,4-oxadiazole derivatives. Heteroatom Chem. 2010, 21, 368–372. [Google Scholar] [CrossRef]
- Ramazani, A.; Nasrabadia, F.Z.; Ahmadib, Y. One-pot, four-component synthesis of fully substituted 1,3,4-oxadiazole derivatives from (isocyanoimino)triphenylphosphorane, a primary amine, an aromatic carboxylic acid, and chloroacetone. Helv. Chim. Acta 2011, 94, 282–288. [Google Scholar] [CrossRef]
- Souldozi, A.; Ramazani, A. The reaction of (N-isocyanimino)triphenylphosphorane with benzoic acid derivatives: A novel synthesis of 2-aryl-1,3,4-oxadiazole derivatives. Tetrahedron Lett. 2007, 48, 1549–1551. [Google Scholar] [CrossRef]
- Baranov, A.B.; Tsypin, V.G.; Malin, A.S.; Laskin, B.M. Synthesis of 2-chloromethyl-5-(5-methyl-2-furyl)-, and 2-chloromethyl-5-(1,5-dimethyl-2-pyrrolyl)-1,3,4-oxadiazoles from tetrazole derivatives. Russ. J. Appl. Chem. 2005, 78, 773–775. [Google Scholar] [CrossRef]
- Jiang, X.; Register, R.A. Statistical copolymers with side-chain hole and electron transport groups for single-layer electroluminescent device applications. Chem. Mater. 2000, 12, 2542–2549. [Google Scholar] [CrossRef]
- Guan, M.; Bian, Z.Q.; Zhou, Y.F.; Li, F.Y.; Li, Z.J.; Huang, C.H. High-performance blue electroluminescent devices based on 2-(4-biphenylyl)-5-(4-carbazole-9-yl)phenyl-1,3,4-oxadiazole. Chem. Commun. 2003, 2003, 2708–2709. [Google Scholar]
- Zheng, Y.; Batsanov, A.S.; Jankus, V.; Dias, F.D.; Bryce, M.R.; Monkman, A.P. Bipolar molecules with high triplet energies: Synthesis, photophysical, and structural properties. J. Org. Chem. 2011, 76, 8300–8310. [Google Scholar]
- Efimova, Y.A.; Artamonova, T.V.; Koldobskii, G.I. Tetrazoles: LIII.* Microwave-activated acylation of 5-substituted tetrazoles. Russ. J. Org. Chem. 2008, 44, 1345–1347. [Google Scholar]
- Reichart, B.; Kappe, C.O. High-temperature continuous flow synthesis of 1,3,4-oxadiazoles via N-acylation of 5-substituted tetrazoles. Tetrahedron Lett. 2012, 53, 952–955. [Google Scholar] [CrossRef]
- Oliveira, C.S.; Lira, B.F.; Falcão-Silva, V.S.; Siqueira-Junior, J.P.; Barbosa-Filho, J.M.; Athayde-Filho, P.F. Synthesis, molecular properties prediction, and anti-staphylococcal activity of N-acylhydrazones and new 1,3,4-oxadiazole derivatives. Molecules 2012, 17, 5095–5107. [Google Scholar]
- Sahin, G.; Palaska, E.; Ekizoglu, M.; Ozalp, M. Synthesis and antimicrobial activity of some 1,3,4-oxadiazole derivatives. Il Farmaco 2002, 57, 539–542. [Google Scholar] [CrossRef]
- Fuloria, N.K.; Singh, V.; Shaharyar, M.; Ali, M. Synthesis and antimicrobial evaluation of some new oxadiazoles derived from phenylpropionohydrazides. Molecules 2009, 14, 1898–1903. [Google Scholar]
- Kumar, S. Anodic synthesis, spectral characterization and antimicrobial activity of novel 2-amino-5-substituted-1,3,4-oxadiazoles. J. Chil. Chem. Soc. 2010, 55, 126–129. [Google Scholar]
- Sangshetti, J.N.; Chabukswar, A.R.; Shinde, D.B. Microwave assisted one pot synthesis of some Novel 2,5-disubstituted 1,3,4-oxadiazoles as antifungal agents. Bioorg. Med. Chem. Lett. 2011, 21, 444–448. [Google Scholar] [CrossRef]
- Chandrakantha, B.; Shetty, P.; Nambiyar, V.; Isloor, N.; Isloor, A.M. Synthesis, characterization and biological activity of some new 1,3,4-oxadiazole bearing 2-flouro-4-methoxi phenyl moiety. Eur. J. Med. Chem. 2010, 45, 1206–1210. [Google Scholar] [CrossRef]
- Bakht, M.A.; Yar, M.S.; Abdel-Hamid, S.G.; Qasoumi, S.I.; Samad, A. Molecular properties prediction, synthesis and antimicrobial activity of some newer oxadiazole derivatives. Eur. J. Med. Chem. 2010, 45, 5862–5869. [Google Scholar]
- Kumar, R.; Kumar, A.; Jain, S.; Kaushik, D. Synthesis, antibacterial evaluation and QSAR studies of 7-[4-(5-aryl-1,3,4-oxadiazole-2-yl)piperazinyl] quinolone derivatives. Eur. J. Med. Chem. 2011, 46, 3543–3550. [Google Scholar] [CrossRef]
- Palekar, V.S.; Damle, A.J.; Shukla, S.R. Synthesis and antibacterial activity of some novel bis-1,2,4-triazolo[3,4-b]-1,3,4-thiadiazoles and bis-4-thiazolidinone derivatives from terephthalic dihydrazide. Eur. J. Med. Chem. 2009, 44, 5112–5116. [Google Scholar] [CrossRef]
- Ramaprasad, G.C.; Kalluraya, B.; Kumar, B.S.; Hunnur, R.K. Synthesis and biological property of some novel 1,3,4-oxadiazoles. Eur. J. Med. Chem. 2010, 45, 4587–4593. [Google Scholar] [CrossRef]
- Patel, R.V.; Kumari, P.; Rajani, D.P.; Chikhalia, K.H. Synthesis of coumarin-based 1,3,4-oxadiazol-2ylthio-N-phenyl/benzothiazolyl acetamides as antimicrobial and antituberculosis agents. Med. Chem. Res. 2012. [Google Scholar] [CrossRef]
- Patel, R.V.; Patel, A.B.; Kumari, P.; Chikhalia, K.H. Synthesis of novel 3-(5-sulfanyl-1,3,4-oxadiazol-2-yl)-2H-chromen-2-one condensed s-triazinyl piperazines and piperidines as antimicrobial agents. Med. Chem. Res. 2011. [Google Scholar] [CrossRef]
- Sridhara, A.M.; Reddy, K.R.V.; Keshavayya, J.; Goud, P.S.K.; Somashekar, B.C. Bose, P.; Peethambar, S.K.; Gaddam, S.K. Synthesis and antimicrobial activity of 2-substituted [4-(1,3,4-oxadiazol-2-yl methyl)] phthalazin-1(2H)-one derivatives. Eur. J. Med. Chem. 2010, 45, 4983–4989. [Google Scholar]
- Yar, M.S.; Siddiqui, A.A.; Ali, M.A. Synthesis and anti tuberculostatic activity of novel 1,3,4-oxadiazole derivatives. J. Chin. Soc. 2007, 54, 5–8. [Google Scholar]
- Yoshida, Y.; Matsuda, K.; Sasaki, H.; Matsumoto, Y.; Matsumoto, S.; Tawara, S.; Takasugi, H. Studies on anti-Helicobacter pylori agents. Part 2: New cephem derivatives. Bioorg. Med. Chem. 2000, 8, 2317–2335. [Google Scholar]
- Bakal, R.L.; Gattan, S.G. Identification and development of 2,5-disubstituted oxadiazole as potential candidate for treatment of XDR and MDR tuberculosis. Eur. J. Med. Chem. 2012, 47, 278–282. [Google Scholar] [CrossRef]
- Alia, M.A.; Shaharyar, M. Oxadiazole mannich bases: Synthesis and antimycobacterial activity. Bioorg. Med. Chem. Lett. 2007, 17, 3314–3316. [Google Scholar]
- Kashaw, S.K.; Gupta, V.; Kashaw, V.; Mishra, P.; Stables, J.P.; Jain, N.K. Anticonvulsant and sedative-hypnotic activity of some novel 3-[5-(4-substituted) phenyl-1,3,4-oxadiazole-2yl]-2-styrylquinazoline-4(3H)-ones. Med. Chem. Res. 2010, 19, 250–261. [Google Scholar] [CrossRef]
- Zarghi, A.; Tabatabai, S.A.; Faizi, M.; Ahadian, A.; Navabi, P.; Zanganeh, V.; Shafiee, A. Synthesis and anticonvulsant activity of new 2-substituted-5-(2-benzyloxyphenyl)-1,3,4-oxadiazoles. Bioorg. Chem. Lett. 2005, 15, 1863–1865. [Google Scholar]
- Rajak, H.; Deshmukh, R.; Veerasamy, R.; Sharma, A.K.; Mishra, P.; Kharya, M.D. Novel semicarbazones based 2,5-disubstituted-1,3,4-oxadiazoles: One more step towards establishing four binding site pharmacophoric model hypothesis for anticonvulsant activity. Bioorg. Med. Chem. Lett. 2010, 20, 4168–4172. [Google Scholar]
- Kaur, H.; Kumar, S.; Vishwakarma, P.; Sharma, M.; Saxena, K.K.; Kumar, A. Synthesis and antipsychotic and anticonvulsant activity of some new substituted oxa/thiadiazolylazetidinonyl/thiazolidinonylcarbazoles. Eur. J. Med. Chem. 2010, 45, 2777–2783. [Google Scholar]
- Bhat, M.A.; Al-Omar, M.A.; Siddiqui, N. Synthesis, anticonvulsant and neurotoxicity of some novel 1,3,4-oxadiazole derivatives of phthalimide. Pharm. Chem. 2010, 2, 1–10. [Google Scholar]
- Jain, N.; Kashaw, S.K.; Agrawal, R.K.; Gupta, A.; Soni, A. Synthesis, anticonvulsant and neurotoxic activity of some new 2,5-disubstituted-1,3,4-oxadiazoles. Med. Chem. Res. 2011, 20, 1696–1703. [Google Scholar]
- Jalilian, A.R.; Sheikhha, M.; Mirzaei, M.; Aslani, G.R.; Shafiee, A. Radiosynthesis of [18F]-5-[2-(2-chlorophenoxy)phenyl]-1,3,4-oxadiazole-2-yl-4-fluorobenzoate: A labeled ligand for benzodiazepine receptors. J. Radioanal. Nucl. Chem. 2004, 260, 373–377. [Google Scholar] [CrossRef]
- Somani, R.R.; Kadam, G.; Vohra, R.; Vijayaraghavan, S.; Shirodkar, P.Y. Studies of CNS activities of some mannich bases of 1,3,4-oxadiazole. Int. J. Pharmacol. 2010, 6, 696–704. [Google Scholar]
- Almasirad, A.; Tabatabai, S.A.; Faizi, M.; Kebriaeezadeh, A.; Mehrabi, N.; Dalvandia, A.; Shafiee, A. Synthesis and anticonvulsant activity of new 2-substituted-5-[2-(2-fluorophenoxy)phenyl]-1,3,4-oxadiazoles and 1,2,4-triazoles. Bioorg. Med. Chem. Lett. 2004, 14, 6057–6059. [Google Scholar]
- Husain, A.; Ahmad, A.; Alam, M.M.; Ajmal, M.; Ahuja, P. Fenbufen based 3-[5-(substituted aryl)-1,3,4-oxadiazol-2-yl)]-1-(biphenyl-4-yl)propan-1-ones as safer anti-inflammatory and analgesic agents. Eur. J. Med. Chem. 2009, 44, 3798–3804. [Google Scholar] [CrossRef]
- Kadi, A.A.; El-frollosy, N.R.; Al-deeb, O.A.; Habib, E.E.; Ibrahim, T.M.; El-emam, A.A. Synthesis, antimicrobial, and anti-inflammatory activities of novel 2-(1-adamantyl)-5-substituted-1,3,4-oxadiazoles and 2-(1-adamantylamino)-5-substituted-1,3,4-thiadiazoles. Eur. J. Med. Chem. 2007, 42, 235–242. [Google Scholar]
- Burbuliene, M.M.; Jakubkiene, V.; Mekuskiene, G.; Udrenaite, E.; Smicius, R.; Vainilavicius, P. Synthesis and anti-inflammatory activity of derivatives of 5-[(2-disubstitutedamino-6-methyl-pyrimidin-4-yl)-sulfanylmethyl]-3H-1,3,4-oxadiazole-2-thiones. Farmaco 2004, 59, 767–774. [Google Scholar] [CrossRef]
- Kumar, A.; Rajput, C.S. Synthesis and anti-inflammatory activity of newer quinazolin-4-one derivatives. Eur. J. Med. Chem. 2009, 44, 83–90. [Google Scholar] [CrossRef]
- Küçükgüzel, Ş.G.; Küçükgüzel, İ.; Tatar, E.; Rollas, S.; Şahin, F.; Güllüce, M.; Clercq, E.D.; Kabasakal, L. Synthesis of some novel heterocyclic compounds derived from diflunisal hydrazide as potential anti-infective and anti-inflammatory agents. Eur. J. Med. Chem. 2007, 42, 893–901. [Google Scholar]
- Akhter, M.; Husain, A.; Azad, B.; Ajmal, M. Aroylpropionic acid based 2,5-disubstituted-1,3,4-oxadiazoles: Synthesis and their anti-inflammatory and analgesic activities. Eur. J. Med. Chem. 2009, 44, 2372–2378. [Google Scholar]
- Jayashankar, B.; Rai, K.M.L.; Baskaran, N.; Sathish, H.S. Synthesis and pharmacological evaluation of 1,3,4-oxadiazole bearing bis(heterocycle) derivatives as anti-inflammatory and analgesic agents. Eur. J. Med. Chem. 2009, 44, 3898–3902. [Google Scholar]
- Kumar, H.; Javed, S.A.; Khan, S.A.; Amir, M. 1,3,4-Oxadiazole/thiadiazole and 1,2,4-triazole derivatives of biphenyl-4-yloxy acetic acid: Synthesis and preliminary evaluation of biological properties. Eur. J. Med. Chem. 2008, 43, 2688–2698. [Google Scholar] [CrossRef]
- Chandra, T.; Garg, N.; Lata, S.; Saxena, K.K.; Kumar, A. Synthesis of substituted acridinyl pyrazoline derivatives and their evaluation for anti-inflammatory activity. Eur. J. Med. Chem. 2010, 45, 1772–1776. [Google Scholar]
- Bhandari, S.V.; Parikh, J.K.; Bothara, K.G.; Chitre, T.S.; Lokwani, D.K.; Devale, T.L.; Modhave, N.S.; Pawar, V.S.; Panda, S. Design, synthesis, and evaluation of anti-inflammatory, analgesic, ulcerogenicity, and nitric oxide releasing studies of novel indomethacin analogs as non-ulcerogenic derivatives. J. Enzyme Inhib. Med. Chem. 2010, 25, 520–530. [Google Scholar] [CrossRef]
- Palusa, S.K.G.; Udupi, R.H.; Himabindu, V.; Sridhara, A.M. Synthesis and evaluation of a series of pyrimidine substituted 1,3,4-oxadiazole derivatives as antimicrobial and anti-inflammatory agents. Org. Commun. 2011, 4, 82–93. [Google Scholar]
- Gilani, S.J.; Khan, S.A.; Siddiqui, N. Synthesis and pharmacological evaluation of condensed heterocyclic 6-substituted 1,2,4-triazolo-[3,4-b]-1,3,4-thiadiazole and 1,3,4-oxadiazole derivatives of isoniazid. Bioorg. Med. Chem. Lett. 2010, 20, 4762–4765. [Google Scholar] [CrossRef]
- Savariz, F.C.; Formagio, A.S.N.; Barbosa, V.A.; Foglio, M.A. Carvalho, J.E.; Duarte, M.C.T.; Filho, B.P.D.; Sarragiotto, M.H. Synthesis, antitumor and antimicrobial activity of novel 1-substituted phenyl-3-[3-alkylamino(methyl)-2-thioxo-1,3,4-oxadiazol-5-yl]-b-carboline derivatives. J. Braz. Chem. Soc. 2010, 21, 288–298. [Google Scholar]
- Liu, K.; Lu, X.; Zhang, H.-J.; Sun, J.; Zhu, H.-L. Synthesis, molecular modeling and biological evaluation of 2-(benzylthio)-5-aryloxadiazole derivatives as anti-tumor agents. Eur. J. Med. Chem. 2012, 47, 473–478. [Google Scholar]
- Ouyang, X.; Piatnitski, E.L.; Pattaropong, V.; Chen, X.; He, H.Y.; Kiselyov, A.S.; Velankar, A.; Kawakami, J.; Labelle, M.; Smith, L.; et al. Oxadiazole derivatives as a novel class of antimitotic agents: Synthesis, inhibition of tubulin polymerization, and activity in tumor cell lines. Bioorg. Med. Chem. Lett. 2006, 16, 1191–1196. [Google Scholar]
- Tuma, M.C.; Malikzay, A.; Ouyang, X.; Surgulazde, D.; Fleming, J.; Mitelman, S.; Camara, M.; Finnerty, B.; Doody, J.; Chekler, E.L.P.; et al. Antitumor activity of IMC-038525, a novel oral tubulin polymerization inhibitor. Transl. Oncol. 2010, 3, 318–325. [Google Scholar]
- Lee, L.; Robb, L.M.; Davis, R.; Mackay, H.; Chavda, S.; Babu, B.; O’brien, E.L.; Risinger, A.L.; Mooberry, S.L.; Lee, M. Design, synthesis, and biological evaluations of 2,5-diaryl-2,3-dihydro-1,3,4-oxadiazoline analogs of combretastatin-A4. J. Med. Chem. 2010, 53, 325–334. [Google Scholar]
- Zhang, X.-M.; Qiu, M.; Sun, J.; Zhang, Y.-B.; Yang, Y.-S.; Wang, X.-L.; Tang, J.-F.; Zhu, H.-L. Synthesis, biological evaluation, and molecular docking studies of 1,3,4-oxadiazole derivatives possessing 1,4-benzodioxan moiety as potential anticancer agents. Bioog. Med. Chem. 2011, 19, 6518–6524. [Google Scholar]
- Bondock, S.; Adel, S.; Etman, H.A.; Badria, F.A. Synthesis and antitumor evaluation of some new 1,3,4-oxadiazole-based heterocycles. Eur. J. Med. Chem. 2012, 48, 192–199. [Google Scholar]
- Puthiyapurayil, P.; Poojary, B.; Chikkanna, C.; Buridipad, S.K. Design, synthesis and biological evaluation of a novel series of 1,3,4-oxadiazole bearing N-methyl-4-(trifluoromethyl)phenyl pyrazole moiety as cytotoxic agents. Eur. J. Med. Chem. 2012, 53, 203–210. [Google Scholar]
- Temesgen, Z.; Siraj, D.S. Raltegravir: first in class HIV integrase inhibitor. Ther. Clin. Risk Manage. 2008, 4, 493–500. [Google Scholar]
- Wang, Z.; Wang, M.; Yao, X.; Li, Y.; Qiao, W.; Geng, Y.; Liu, Y.; Wang, Q. Hydroxyl may not be indispensable for raltegravir: Design, synthesis and SAR studies of raltegravir derivatives as HIV-1 inhibitors. Eur. J. Med. Chem. 2012, 50, 361–369. [Google Scholar]
- El-Emam, A.A.; Al-Deeb, O.A.; Al-Omar, M.; Lehmann, J. Synthesis, antimicrobial, and anti-HIV-1 activity of certain 5-(1-adamantyl)-2-substituted thio-1,3,4-oxadiazoles and 5-(1-adamantyl)-3-substituted aminomethyl-1,3,4-oxadiazoline-2-thiones. Bioorg. Med. Chem. 2004, 12, 5107–5113. [Google Scholar]
- Iqbal, R.; Zareef, M.; Ahmed, S.; Zaidi, J.H.; Arfan, M.; Shafique, M.; Al-masoudi, N.A. Synthesis, antimicrobial and anti-HIV activity of some novel benzenesulfonamides bearing 2,5-disubstituted-1,3,4-oxadiazole moiety. J. Chin. Chem. Soc. 2006, 53, 689–696. [Google Scholar]
- Kim, R.M.; Rouse, E.A.; Chapman, K.T.; Schleif, W.A.; Olsen, D.B.; Stahlhurt, M.; Rutkowski, C.A.; Emini, E.A.; Tata, J.R. P1' oxadiazole protease inhibitors with excellent activity against native and protease inhibitor-resistant HIV-1. Bioorg. Med. Chem. Lett. 2004, 14, 4651–4654. [Google Scholar]
- Johns, B.; Weatherhead, J.G.; Allen, S.H.; Thompson, J.B.; Garvey, E.P.; Foster, S.A.; Jeffrey, J.L.; Miller, W.H. 1,3,4-Oxadiazole substituted naphthyridines as HIV-1 integrase inhibitors. Part 2: SAR of the C5 position. Bioorg. Med. Chem. Lett. 2009, 19, 1807–1810. [Google Scholar]
- Llinàs-Brunet, M.; Bailey, M.D.; Bolger, G.; Brochu, C.; Faucher, A.-M.; Ferland, J.M.; Garneau, M.; Ghiro, E.; Gorys, V.; Grand-Maître, C. Structure-activity study on a novel series of macrocyclic inhibitors of the hepatitis C virus NS3 protease leading to the discovery of BILN 2061. J. Med. Chem. 2004, 47, 1605–1608. [Google Scholar] [CrossRef]
- Bankar, G.R.; Nandakumar, K.; Nayak, P.G.; Thakur, A.; Chamallamudi, M.R.; Nampurath, G.K. Vasorelaxant effect in rat aortic rings through calcium channel blockage: A preliminary in vitro assessment of a 1,3,4-oxadiazole derivative. Chem. Biol. Interact. 2009, 181, 377–382. [Google Scholar] [CrossRef]
- Bankar, G.R.; Nampurath, G.K.; Nayak, P.G.; Bhattcharya, S. A possible correlation between the correction of endothelial dysfunction and normalization of high blood pressure levels by 1,3,4-oxadiazole derivative, an L-type Ca2+ channel blocker in deoxycorticosterone acetate and NG-nitro-l-arginine hypertensive rats. Chem. Biol. Interact. 2010, 183, 327–331. [Google Scholar]
- Xiang, Z.; Thompson, A.D.; Brogan, J.T.; Schulte, M.L.; Melancon, B.J.; Mi, D.; Lewis, L.M.; Zou, B.; Yang, L.; Morrison, R. The discovery and characterization of ML218: A novel, centrally active T-Type calcium channel inhibitor with robust effects in STN neurons and in a rodent model of Parkinson’s disease. Chem. Neurosci. 2011, 2, 730–742. [Google Scholar] [CrossRef]
- Ducharme, Y.; Blouin, M.; Brideau, C.; Châteauneuf, A.; Gareau, Y.; Grimm, E.L.; Juteau, H.; Laliberté, S.; MacKay, B.; Massé, F.; et al. The discovery of setileuton, a potent and selective 5-lipoxygenase inhibitor. Med. Chem. Lett. 2010, 1, 170–174. [Google Scholar] [CrossRef]
- Gosselin, F.; Britton, R.A.; Davies, I.W.; Dolman, S.J.; Gauvreau, D.; Hoerrner, R.S.; Hughes, G.; Janey, J.; Lau, S.; Molinaro, C.; et al. A practical synthesis of 5-lipoxygenase inhibitor MK-0633. J. Org. Chem. 2010, 75, 4154–4160. [Google Scholar]
- Leung, D.; Du, W.; Hardouin, C.; Cheng, H.; Hwang, I.; Cravatt, B.F.; Boger, D.L. Discovery of an exceptionally potent and selective class of fatty acid amide hydrolase inhibitors enlisting proteome-wide selectivity screening: Concurrent optimization of enzyme inhibitor potency and selectivity. Bioorg. Med. Chem. Lett. 2005, 15, 1423–1428. [Google Scholar]
- Khan, M.T.; Choudhary, M.I.; Khan, K.M.; Rani, M.; Atta-Ur, R. Structure-activity relationships of tyrosinase inhibitory combinatorial library of 2,5-disubstituted-1,3,4-oxadiazole analogues. Bioorg. Med. Chem. 2005, 16, 3385–3395. [Google Scholar]
- Tomi, I.H.R.; Al-Qaisi, A.H.J.; Al-Qaisi, Z.H.J. Synthesis, characterization and effect of bis-1,3,4-oxadiazole rings containing glycine moiety on the activity of some transferase enzymes. J. King Saud Univ. 2011, 23, 23–33. [Google Scholar] [CrossRef]
- Maccioni, E.; Alcaro, S.; Cirilli, R.; Vigo, S.; Cardia, M.C.; Sanna, M.L.; Meleddu, R.; Yanez, M.; Costa, G.; Casu, L.; et al. 3-Acetyl-2,5-diaryl-2,3-dihydro-1,3,4-oxadiazoles: A new scaffold for the selective inhibition of monoamine oxidase B. J. Med. Chem. 2011, 54, 6394–6398. [Google Scholar]
- Garfunkle, J.; Ezzili, C.; Rayl, T.J.; Hochstatter, D.G.; Hwang, I.; Boger, D.L. Optimization of the Central heterocycle of α-ketoheterocycle inhibitors of fatty acid amide hydrolase. J. Med. Chem. 2008, 51, 4392–4403. [Google Scholar] [CrossRef]
- Ohmoto, K.; Yamamoto, T.; Horiuchi, T.; Imanishi, H.; Odagaki, Y.; Kawabata, K.; Sekioka, T.; Hirota, Y.; Matsuoka, S.; Nakai, H.; et al. Design and synthesis of new orally active nonpeptidic inhibitors of human neutrophil elastase. J. Med. Chem. 2000, 43, 4927–4929. [Google Scholar] [CrossRef]
- Ohmoto, K.; Yamamoto, T.; Okuma, M.; Horiuchi, T.; Imanishi, H.; Odagaki, Y.; Kawabata, K.; Sekioka, T.; Hirota, Y.; Matsuoka, S.; et al. Development of orally active nonpeptidic inhibitors of human neutrophil elastase. J. Med. Chem. 2001, 44, 1268–1285. [Google Scholar]
- Willoughby, C.A.; Bull, H.G.; Garcia-Calvo, M.; Jiang, J.; Chapmana, K.T.; Thornberry, N.A. Discovery of potent, selective human granzyme B inhibitors that inhibit CTL mediated apoptosis. Bioorg. Med. Chem. Lett. 2002, 12, 2197–2200. [Google Scholar] [CrossRef]
- Zeng, H.; Zhang, H.; Jang, F.; Zhao, L.; Zhang, J. Molecular modeling studies on benzimidazole carboxamide derivatives as PARP-1 inhibitors using 3D-QSAR and docking. Chem. Biol. Drug Des. 2011, 78, 333–352. [Google Scholar] [CrossRef]
- Elzein, E.; Ibrahim, P.; Koltun, D.O.; Rehder, K.; Shenk, K.D.; Marquart, T.A.; Jiang, B.; Li, X.; Natero, R.; Li, Y.; et al. CVT-4325: A potent fatty acid oxidation inhibitor with favorable oral bioavailability. Bioorg. Med. Chem. Lett. 2004, 14, 6017–6021. [Google Scholar]
- Perni, R.B.; Pitlik, J.; Britt, S.D.; Court, J.J.; Courtney, L.F.; Deininger, D.D.; Farmer, L.J.; Gates, C.A.; Harbeson, S.L.; Levin, R.B.; et al. Inhibitors of hepatitis C virus NS3·4A protease 2. Warhead SAR and optimization. Bioorg. Med. Chem. Lett. 2004, 14, 1441–1446. [Google Scholar]
- Palanki, M.S.S.; Gayo-Fung, L.M.; Shevlin, G.I.; Erdman, P.; Sato, M.; Goldman, M.; Ransone, L.J.; Spooner, C. Structure-activity relationship studies of ethyl 2-[(3-methyl-2,5-dioxo(3-pyrrolinyl))amino]-4-(trifluoromethyl)pyrimidine-5-carboxylate: An inhibitor of AP-1 and NF-κB Mediated Gene Expression. Bioorg. Med. Chem. Lett. 2002, 12, 2573–2577. [Google Scholar] [CrossRef]
- Matsuno, K.; Masuda, Y.; Uehara, Y.; Sato, H.; Muroya, A.; Takahashi, O.; Yokotagawa, T.; Furuya, T.; Okawara, T.; Otsuka, M.; et al. Identification of a new series of STAT3 inhibitors by virtual screening. Med. Chem. Lett. 2010, 1, 371–375. [Google Scholar] [CrossRef]
- Rai, G.; Kenyon, V.; Jadhav, A.; Schultz, L.; Armstrong, M.; Jameson, J.B.; Hoobler, E.; Leister, W.; Simeonov, A.; Holman, T.R.; et al. Discovery of potent and selective inhibitors of human reticulocyte 15-lipoxygenase-1. J. Med. Chem. 2010, 53, 7392–7404. [Google Scholar]
- White, A.D.; Creswell, M.W.; Chucholowski, A.W.; Blankley, C.B.; Wilson, M.W.; Bousley, R.F.; Essenburg, A.D.; Hamelehle, K.L.; Krause, B.R.; Stanfield, R.L.; et al. Heterocyclic ureas: Inhibitors of acyl-CoA: Cholesterol O-acyltransferase as hypocholesterolemic agents. J. Med. Chem. 1996, 39, 4382–4395. [Google Scholar]
- Rydzewski, R.M.; Burrill, L.; Mendonca, R.; Palmer, J.T.; Rice, M.; Tahilramani, R.; Bass, K.E.; Leung, L.; Gjerstad, E.; Janc, J.W.; et al. Optimization of subsite binding to the β5 subunit of the human 20S proteasome using vinyl sulfones and 2-keto-1,3,4-oxadiazoles: Syntheses and cellular properties of potent, selective proteasome inhibitors. J. Med. Chem. 2006, 49, 2953–2968. [Google Scholar]
- Uto, Y.; Ueno, Y.; Kiyotsuka, Y.; Miyazawa, Y.; Kurata, H.; Ogata, T.; Yamada, M.; Deguchi, T.; Konishi, M.; Takagi, T.; et al. Synthesis and evaluation of novel stearoyl-CoA desaturase 1 inhibitors: 10-{6-[5-(pyridin-3-ylmethyl)-1,3,4-oxadiazol-2-yl]pyridazin-3-yl}-3,4-dihydrospiro[chromene-2,40-piperidine] analogs. Eur. J. Med. Chem. 2010, 45, 4788–4796. [Google Scholar]
- Hou, Z.; Nakanishi, I.; Kinoshita, T.; Takei, Y.; Yasue, M.; Misu, R.; Suzuki, Y.; Nakamura, S.; Kure, T.; Ohno, H.; et al. Structure-based design of novel potent protein kinase CK2 (CK2) inhibitors with phenyl-azole scaffolds. J. Med. Chem. 2012, 55, 2899–2903. [Google Scholar] [CrossRef]
- Uto, Y.; Kiyotsuka, Y.; Ueno, Y.; Miyazawa, Y.; Kurata, H.; Ogata, T.; Deguchi, T.; Yamada, M.; Watanabe, N.; Konishi, M.; et al. Novel spiropiperidine-based stearoyl-CoA desaturase-1 inhibitors: Identification of 10-{6-[5-(pyridin-3-ylmethyl)-1,3,4-oxadiazol-2-yl]-pyridazin-3-yl}-5-(trifluoromethyl)-3,4-dihydrospiro [chrome ne-2,40-piperidine]. Bioorg. Med. Chem. Lett. 2010, 20, 746–754. [Google Scholar]
- McCoull, W.; Addie, M.S.; Birch, A.M.; Birtles, S.; Buckett, L.K.; Butlin, R.J.; Bowker, S.S.; Boyd, S.; Chapman, S.; Davies, R.D.M.; et al. Identification, optimisation and in vivo evaluation of oxadiazole DGAT-1 inhibitors for the treatment of obesity and diabetes. Bioorg. Med. Chem. Lett. 2012, 22, 3873–3878. [Google Scholar]
- Iqbal, A.K.M.; Khan, A.Y.; Kalashetti, M.B.; Belavagi, N.S.; Gong, T.-D.; Khazi, I.A.M. Synthesis, hypoglycemic and hypolipidemic activities of novel thiazolidinedione derivatives containing thiazole/triazole/oxadiazole ring. Eur. J. Med. Chem. 2012, 53, 308–315. [Google Scholar]
- Khalilullah, H.; Ahsan, M.J.; Hedaitullah, M.; Khan, S.; Ahmed, B. 1,3,4-Oxadiazole: A biologically active scaffold. Mini Rev. Med. Chem. 2012, 12, 789–801. [Google Scholar] [CrossRef]
- Li, Z.; Zhan, P.; Liu, X. 1,3,4-Oxadiazole: A privileged structure in antiviral agents. Mini Rev. Med. Chem. 2011, 11, 1130–1142. [Google Scholar] [CrossRef]
- Suman, B.; Sunil, K.; Asho, K. Heterocyclic 1,3,4-oxadiazole compounds with diverse biological activities: A comprehensive review. J. Pharm. Res. 2010, 3, 2993–2997. [Google Scholar]
- Liao, Y.; Böttcher, H.; Harting, J.; Greiner, H.; Amsterdam, C.V.; Cremers, T.; Sundell, S.; März, J.; Rautenberg, W.; Wikström, H. New selective and potent 5-HT1B/1D antagonists: Chemistry and pharmacological evaluation of N-piperazinylphenyl biphenylcarboxamides and biphenylsulfonamides. J. Med. Chem. 2000, 43, 517–525. [Google Scholar] [CrossRef]
- Ali, K.A.; Ragab, E.A.; Farghaly, T.A.; Abdalla, M.M. Synthesis of new functionalized 3 subsitituted [1,2,4]triazolo [4,3-a]pyrimidine dreivatives: Potential antihypertensive agents. Acta Pol. Pharm. 2011, 68, 237–247. [Google Scholar]
- Khanfar, M.A.; Hill, R.A.; Kaddoumi, A.; El Sayed, K.A. Discovery of novel GSK-3β inhibitors with potent in vitro and in vivo activities and excellent brain permeability using combined ligand-and structure-based virtual screening. J. Med. Chem. 2010, 53, 8534–8545. [Google Scholar]
- Tan, T.M.C.; Chen, Y.; Kong, K.H.; Bai, J.; Li, Y.; Lim, S.G.; Ang, T.H.; Lam, Y. Synthesis and the biological evaluation of 2-benzenesulfonylalkyl-5-substituted-sulfanyl-[1,3,4]-oxadiazoles as potential anti-hepatitis B virus agents. Antivir. Res. 2006, 71, 7–14. [Google Scholar]
- Saitoh, M.; Kunitomo, J.; Kimura, E.; Iwashita, H.; Uno, Y.; Onishi, T.; Uchiyama, N.; Kawamoto, T.; Tanaka, T.; Mol, C.D.; et al. 2-{3-[4-(Alkylsulfinyl)phenyl]-1-benzofuran-5-yl}-5-methyl-1,3,4-oxadiazole derivatives as novel inhibitors of glycogen synthase kinase-3beta with good brain permeability. J. Med. Chem. 2009, 52, 6270–6286. [Google Scholar]
- Onishi, T.; Iwashita, H.; Uno, Y.; Kunitomo, J.; Saitoh, M.; Kimura, E.; Fujita, H.; Uchiyama, N.; Kori, M.; Takizawa, M. A novel glycogen synthase kinase-3 inhibitor 2-methyl-5-(3-{4-[(S)-methylsulfinyl]phenyl}-1-benzofuran-5-yl)-1,3,4-oxadiazole decrease tau phosphorylation and ameliorates cognitive deficits in a transgenic model of Alzheimer’s disease. J. Neurochem. 2011, 119, 1330–1340. [Google Scholar] [CrossRef]
- Kampmanna, T.; Yennamallia, R.; Campbella, P.; Stoermerc, M.J.; David, P.; Fairlie, D.P.; Kobea, B.; Young, P.R. In silico screening of small molecule libraries using the dengue virus envelope E protein has identified compounds with antiviral activity against multiple flaviviruses. Antivir. Res. 2009, 84, 234–241. [Google Scholar]
- Attaby, F.A.; Abdel-Fattah, A.M.; Shaif, L.M.; Elsayed, M.M. Anti-alzheimer and anti-cox-2 activities of the newly synthesized 2,3'-bipyridine derivatives (ii). Phosphorus Sulfur 2010, 185, 668–679. [Google Scholar] [CrossRef]
- Chrysina, E.D.; Kosmopoulou, M.N.; Tiraidis, C.; Kardakaris, R.; Bischler, N.; leonidas, D.D.; Hadady, Z.; Somsak, L.; Docsa, T.; Gergely, P.; et al. Kinetic and crystallographic studies on 2-(β-D-glucopyranosyl)-5-methyl-1, 3,4-oxadiazole, -benzothiazole, and -benzimidazole, inhibitors of muscle glycogen phosphorylase b. Evidence for a new binding site. Protein Sci. 2005, 14, 873–888. [Google Scholar] [CrossRef]
- Abdel-Aal, M.T.; El-Sayed, W.A.; El-Kosy, S.M.; El-Ashry, E.S.H. Synthesis and antiviral evaluation of novel 5-(N-arylaminomethyl-1,3,4-oxadiazol-2-yl)hydrazines and their sugars, 1,2,4-triazoles, tetrazoles and pyrazolyl derivatives. Arch. Pharm. Chem. Life Sci. 2008, 341, 307–313. [Google Scholar] [CrossRef]
- Shamroukh, A.H.; Ali, M.A. Anti-HIV activity of some newly synthesized triazolo[4,3-b]pyridazines. Arch. Pharm. Chem. Life Sci. 2008, 341, 223–230. [Google Scholar] [CrossRef]
- Maciolek, C.M.; Ma, B.; Menzel, K.; Laliberte, S.; Bateman, K.; Krolikowski, P.; Gibson, C.R. Novel cytochrome P450-mediated ring opening of the 1,3,4-oxadiazole in setileuton, a 5-lipoxygenase inhibitor. Drug Metab. Dispos. 2011, 39, 763–770. [Google Scholar] [CrossRef]
- Idrees, G.A.; Aly, O.M.; Abuo-Rahma, G.E.-D.A.A.; Radwan, M.F. Design, synthesis and hypolipidemic activity of novel 2-(naphthalen-2-yloxy)propionic acid derivatives as desmethyl fibrate analogs. Eur. J. Med. Chem. 2009, 44, 3973–3980. [Google Scholar]
- Zareef, M.; Iqbal, R.; Dominguez, N.G.; Rodrigues, J.; Zaidi, J.H.; Arfan, M.; Supuran, C.T. Synthesis and antimalarial activity of novel chiral and achiral benzenesulfonamides bearing 1,3,4-oxadiazole moieties. J. Enzym. Inhib. Med. Chem. 2007, 22, 301–308. [Google Scholar] [CrossRef]
- Maslat, A.O.; Abussaud, M.; Tashtoush, H.; Al-Talib, M. Synthesis, antibacterial, antifungal and genotoxic activity of bis-1,3,4-oxadiazole derivatives. Pol. J. Pharmacol. 2002, 54, 55–59. [Google Scholar]
- Tajik, H.; Dadras, A. Synthesis and herbicidal activity of novel 5-chloro-3-fluoro-2-phenoxypyridines with a 1,3,4-oxadiazole ring. J. Pestic. Sci. 2011, 36, 27–32. [Google Scholar] [CrossRef]
- Liu, Z.; Yang, G.; Qin, X. Syntheses and biological activities of novel diheterocyclic compounds containing 1,2,4-triazolo[1,5-a]pyrimidine and 1,3,4-oxadiazole. J. Chem. Technol. Biotechnol. 2001, 76, 1154–1158. [Google Scholar]
- Cao, S.; Qian, X.H.; Song, G.H.; Chai, B.; Jiang, Z.S. Synthesis and antifeedant activity of new oxadiazolyl 3(2H)-pyridazinones. J. Agric. Food Chem. 2003, 51, 152–155. [Google Scholar]
- Shi, W.; Qian, X.H.; Song, G.H.; Zhang, R.; Li, R.P. Syntheses and insecticidal activities of novel 2-fluorophenyl-5-aryl/cyclopropyl-1,3,4-oxadiazoles. J. Fluor. Chem. 2000, 106, 173–179. [Google Scholar] [CrossRef]
- Almajan, G.L.; Barbuceanu, S.F.; Saramet, I.; Dinu, M.; Doicin, C.V.; Draghici, C. Synthesis and biological evaluation of various new substituted 1,3,4-oxadiazole-2-thiols. Rev. Chim. 2008, 59, 395–399. [Google Scholar]
© 2012 by the authors; licensee MDPI, Basel, Switzerland. This article is an open-access article distributed under the terms and conditions of the Creative Commons Attribution license (http://creativecommons.org/licenses/by/3.0/).


