Abstract
Thirty two new Cu(II), Ni(II) and Zn(II) complexes (1–32) with salicylidene thiosemicarbazones (H2L1–H2L10) were synthesized. Salicylidene thiosemicarbazones, of general formula (X)N-NH-C(S)-NH(Y), were prepared through the condensation reaction of 2-hydroxybenzaldehyde and its derivatives (X) with thiosemicarbazide or 4-phenylthiosemicarbazide (Y = H, C6H5). The characterization of the new formed compounds was done by 1H-NMR, 13C-NMR, IR spectroscopy, elemental analysis, magnetochemical, thermoanalytical and molar conductance measurements. In addition, the structure of the complex 5 has been determined by X-ray diffraction method. All ligands and metal complexes were tested as inhibitors of human leukemia (HL-60) cells growth and antibacterial and antifungal activities.
1. Introduction
The design and study of well-arranged metal-containing Schiff bases with ONS – donor atoms is an interesting field of inorganic and bioinorganic chemistry [1,2,3,4,5,6,7,8,9,10,11]. In-situ one-pot template condensation reactions lie at the heart of the coordination chemistry. Transition metal complexes have also received great attention because of their biological interests, including antiviral, anticarcinogenic, antibacterial and antifungal activities [12,13,14,15,16]. Thiosemicarbazones and their Cu(II) complexes demonstrated potent cytotoxic activities against a series of murine and human tumor cells in culture [17,18,19].
In a recent study [20], we have concluded that the in vitro HL-60 leukemia cell growth inhibitory activity is influenced by the nature and geometric structure of copper complexes. Indeed, copper complexes containing tridentate ONS Schiff bases as well as salicyliden thiosemicarbazones have been found as effective inhibitors of cell proliferation. We have started a program directed toward the synthesis of different classes of anticancer, antibacterial and antifungal agents designed with complexes of a transition metal and an organic ligand [21,22,23,24].
In continuation of this approach, the present paper describes the synthesis, characterisation and in vitro evaluation of inhibitors of HL-60 cell proliferation, antibacterial and antifungal activity using thirty two novel Cu(II), Ni(II) and Zn(II) complexes with the salicylidene thiosemicarbazones (H2L1–H2L10), obtained from the condensation reaction of thiosemicarbazide or 4-phenylthiosemicarbazide with 2-hydroxybenzaldehyde derivatives. All ligands and metal complexes were tested as inhibitors of human leukemia (HL-60) cell growth. The Cu(II) complexes 21–25, 30 have also been tested for their in vitro antibacterial activity against Staphylococcus aureus (Wood-46, Smith, 209-P), Staphylococcus saprophyticus, Streptococcus (group A), Enterococcus faecalis (Gram-positive), Escherichia coli (O-111), Salmonella typhimurium, Salmonella enteritidis, Klebsiella pneumoniaie, Pseudomonas aeruginosa, Proteus vulgaris and Proteus mirabilis (Gram-negative) and antifungal activity against Aspergillus niger, Aspergillus fumigatus, Candida albicans and Penicillium strains.
2. Results and Discussion
2.1. Chemistry
The salicylidene thiosemicarbazones H2L1–H2L10 used in this work were prepared by refluxing (for 30 min.) in ethanol an equimolar amount of aldehyde (salicylaldehyde or its derivatives, 5-chloro-, 5-bromo-, 5-nitro-, 5-methyl- and 3,5-dichlorosalicylaldehyde) and thiosemicarbazide or 4-phenylthiosemicarbazide. The structures of the Schiff bases H2L1–H2L10 were established by IR, 1H-NMR and 13C-NMR spectroscopy.
These Schiff bases were further used for the complexation reaction with Cu2+, Ni2+, Zn2+ metal ions, using the following salts: CuSO4·5H2O (for complexes 1–7), Cu(NO3)2·3H2O (for 8–14), CuCl2·2H2O (for 15–30), NiCl2·6H2O (for 31) and ZnCl2 (for 32). To metal salt (10 mmol) dissolved in distilled water was added salicylidene thiosemicarbazone, HL, (10 mmol) dissolved in ethanol. The reaction mixture was stirred and heated (50–55 °C) for 1.5 h. The precipitate was filtered, washed with ethanol, ether and dried in air.
The complexes obtained are microcrystalline solids which are stable in air and decompose above 310 °C (Table 1). They are insoluble in organic solvents such as acetone and chloroform but soluble in DMF and DMSO.
The molar conductance of the soluble complexes in DMF showed values indicating that 1–14 (80–100 ohm−1 cm2 mol−1) are electrolytes and 15–32 (10–20 ohm−1 cm2 mol−1) are non-electrolytes in nature [25].
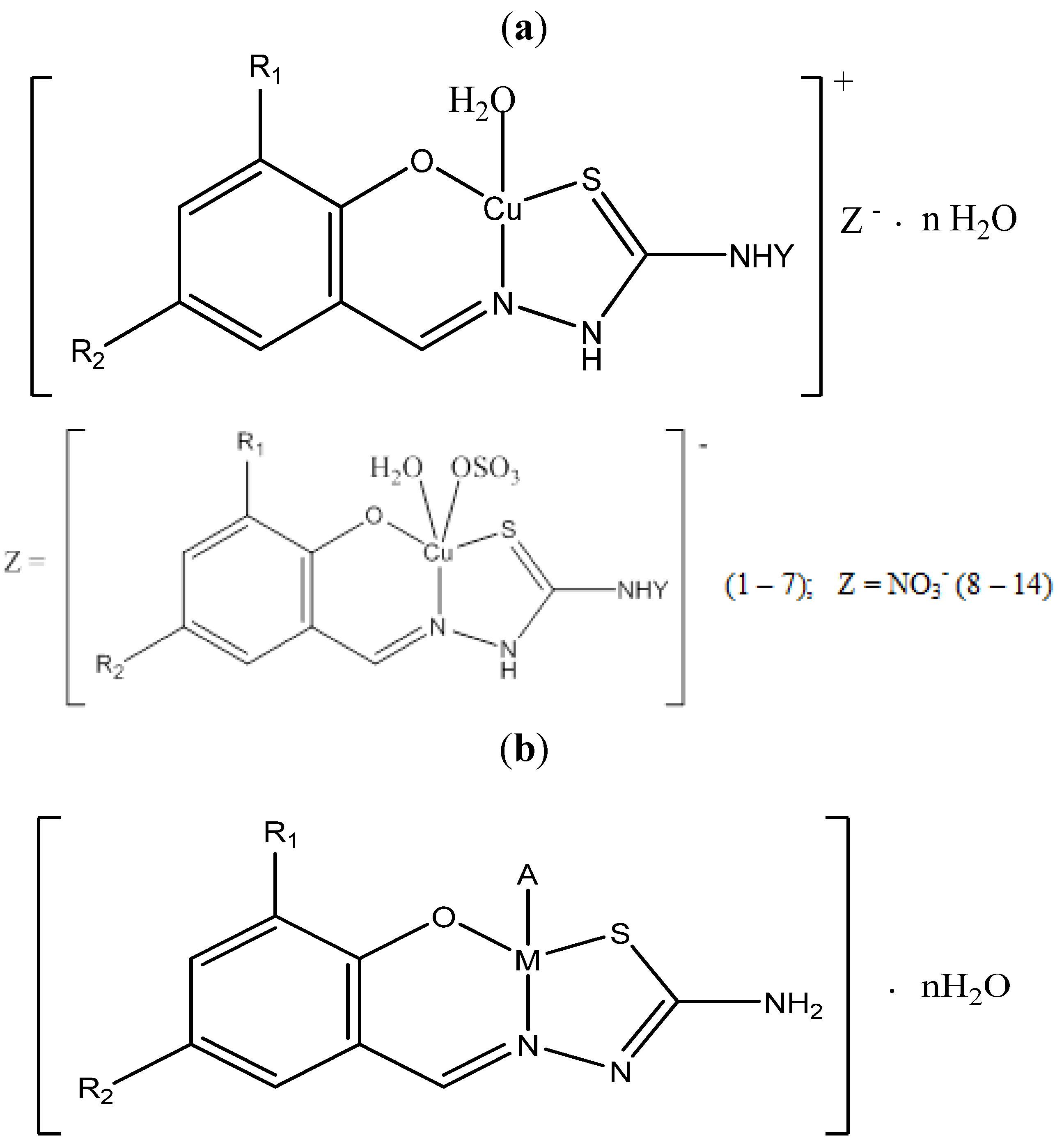
The elemental analyses data of Schiff bases (reported in the Experimental section) and their complexes (Table 1) are in agreement with the proposed composition of the ligands as shown in Scheme 1 and with the formulas of the complexes as shown in Figure 1a,b.
Scheme 1.
General synthesis of organic ligands H2L1−1°.
Scheme 1.
General synthesis of organic ligands H2L1−1°.

R1 = H, R2 = H, Y = H (H2L1), R1 = Cl, R2 = Cl, Y = H (H2L6)
R1 = H, R2 = Cl, Y = H (H2L2), R1 = Br, R2 = Br, Y = H (H2L7)
R1 = H, R2 = Br, Y = H (H2L3), R1 = H, R2 = H, Y = C6H5 (H2L8)
R1 = H, R2 = NO2, Y = H (H2L4), R1 = H, R2 = Br, Y = C6H5 (H2L9)
R1 = H, R2 = CH3, Y = H (H2L5), R1 = H, R2 = NO2, Y = C6H5 (H2L10)
Figure 1.
(a) General structure of complexes 1–14. (b) General structure of complexes 15–32.
Figure 1.
(a) General structure of complexes 1–14. (b) General structure of complexes 15–32.

M = Cu (15–30), Ni (31), Zn (32); R1 = H (1–19, 30–32), Cl (20), Br (21–29); R2 = H (1, 2, 8, 9, 15, 30–32), CH3 (19), Cl (7, 14, 16, 20), Br (5, 6, 12, 13, 17, 21–29), NO2 (3, 4, 10, 11, 18); Y = H (1, 3, 5, 7, 8, 10, 12, 14–32), C6H5 (2, 4, 6, 9, 11, 13).
Table 1.
Physical and analytical data of the metal complexes 1–32 a.
| Comp. No. | Molecular formula | Mr b | µ effc B.M. | C, H, N, calc (found) % | M(3d) d % | IR (cm−1) | η, % e | T, C f dec |
|---|---|---|---|---|---|---|---|---|
| 1 | C16H24Cu2N6O10S3 [Cu(H2O)(HL1)][Cu(H2O)(HL1)SO4] . 2H2O | 684 | 2.14 | C: 28.1(28.5); H: 3.5 (3.0); N: 12.3(12.5); S: 14.0 (13.7) | 18.7 (18.6) | H2O (3585, 1575, 920); NH2 (3435, 3420); NH(3335, 3220, 3145); C= N (1605); C-O (1200); C = S (781); Cu-N (510, 415); Cu-O (470); Cu-S (450) | 65 | 460 |
| 2 | C28H30Cu2N6O9S3 [Cu(H2O)(HL8)][Cu(H2O)][(HL8)SO4] . H2O | 818 | 2.07 | C: 41.1(41.4); H: 3.7 (3.4); N: 10.3(10.3); S: 11.7 (11.6) | 15.6 (15.8) | H2O (3580, 1570, 925); NH (3325, 3222, 3143); C = N (1600); C-0(1195); C = S (780); Cu-N(517, 428); Cu-O (472); Cu-S (445) | 64 | 450 |
| 3 | C16H22Cu2N8O14S3 [Cu(H2O)(HL4)][Cu(H2O)(HL4)(SO4) ] . H2O | 774 | 1.98 | C: 24.8 (24.5); H: 2.8(2.7); N: 14.5 (14.8); S: 12.4 (12.7) | 16.5 (16.3) | H2O (3575, 1570, 922); NH2 (3445, 3425); NH (3330 3230, 3140); C = N (1590); C-O (1195); C = S (776); Cu-N (530, 410); Cu-O (470); Cu-S (465) | 77 | 425 |
| 4 | C28H30Cu2N8O14S3 [Cu(H2O)(HL1°)][Cu(H2O)(HL1°)(SO4)]. 2H2O | 926 | 2.09 | C: 36.3 (36.5); H: 3.2 (3.0); N: 12.1 (12.4); S: 10.4 (10.1) | 13.8 (14.1) | H2O (3580, 1583, 915); NH (3315, 3230, 3138); C = N (1585); C-O (1197); C = S (779); Cu-N (525, 430); Cu-O (475); Cu-S(440) | 72 | 410 |
| 5 | C16H26Br2Cu2N6O12S3 [Cu(H2O)(HL3)][Cu(H2O)(HL3)(SO4)] . 4H2O | 878 | 1.85 | C: 21.9 (22.2); H: 3.3 (3.3); Br: 18.2 (18.4); N: 9.6 (9.4); S: 10.3 (10.5) | 14.6 (14.4) | H2O (3565, 1575, 935); NH2 (3445, 3430); NH (3340, 3230, 3137); C = N (1590); C-O (1205); C = S (780); Cu-N (505, 430); Cu-O (485); Cu-S (462) | 69 | 450 |
| 6 | C28H28Br2Cu2N6O9S3 [Cu(H2O)(HL9)][Cu(H2O)(HL9)(SO4)] . H2O | 976 | 1.91 | C: 34.4 (34.0); H: 2.9 (2.7); Br: 16.4 (16.5); N: 8.6 (8.4); S: 9.8 (9.9) | 13.1 (12.8) | H2O (3580, 1565, 930); NH (3330, 3225, 3145); C = N (1585); C-O (1203); C = S (778); Cu-N (525, 425); Cu-O (484); Cu-S (465) | 56 | 435 |
| 7 | C16H20Cl2Cu2N6O9S3 [Cu(H2O)(HL2)][Cu(H2O)(HL2)(SO4)] . H2O | 735 | 1.79 | C: 26.1 (26.3); H: 2.7 (2.4); Cl: 9.7 (10.0); N: 11.4 (11.5); S: 13.1 (13.3) | 17.4 (17.7) | H2O (3585, 1575, 920); NH2 (3430, 3430); NH (3335, 3220, 3145); C = N (1595); C-0(1200); C = S(785); Cu-N (528, 410); Cu-O (482); Cu-S (464) | 78 | 430 |
| 8 | C8H12CuN4O6S [Cu(H2O) (HL1)]NO3. H2O | 356 | 1.87 | C: 27.0 (27.3); H: 3.4 (3.1); N: 15.7 (15.5); S: 9.0 (9.4) | 18.0 (18.2) | H2O (3580, 1574, 915); NH2 (3440, 3430); NH (3325, 3230, 3140); C = N(1600); C-0(1200); C = S(776); Cu-N(530, 410); Cu-O(480); Cu-S(450) | 70 | 390 |
| 9 | C14H16CuN4O6S [Cu (H2O)(HL8)]NO3. H2O | 432 | 2.12 | C: 38.9 (38.4); H: 3.7 (3.5); N: 13.0 (13.1); S: 7.4 (7.2) | 14.8 (14.5) | H2O (3576, 1570, 930); NH(3345, 3227, 3146); C = N(1595); C-O (1198); C = S (787); Cu-N (525, 430); Cu-O (465); Cu-S (440) | 54 | 380 |
| 10 | C8H11CuN5O8S [Cu (H2O)(HL4)]NO3. H2O | 401 | 1.85 | C: 23.9 (24.2); H: 2.7 (2.5); N: 17.5 (17.1); S: 8.0 (8.3) | 16.0 (16.3) | H2O (3570, 1565, 925); NH2 (3445, 3430); NH (3325, 3215, 3140); C = N (1598); C-O (1195); C = S (777); Cu-N (525, 410); Cu-O (475); Cu-S (440) | 76 | 325 |
| 11 | C14H17CuN5O9S [Cu (H2O)(HL1°)]NO3. 2H2O | 495 | 1.94 | C: 33.9 (34.1); H: 3.4 (3.5); N: 14.1 (14.2); S: 6.5 (6.9) | 12.9 (12.7) | H2O (3590, 1585, 915); NH(3325, 3225, 3140); C = N(1593); C-0(1192); C = S(783); Cu-N(525, 430); Cu-O(480); Cu-S(455) | 80 | 315 |
| 12 | C8H11BrCuN4O6S [Cu (H2O)(HL3)]NO3. H2O | 435 | 1.80 | C: 22.1 (21.8); H: 2.5 (2.2); N: 12.9 (13.2); S: 7.4 (7.5) | 14.7 (14.5) | H2O (3585, 1575, 920); NH2(3430, 3415); NH(3335, 3220, 3145); C = N(1595); C-0(1195); C = S(784); Cu-N(525, 425); Cu-O(475); Cu-S(460) | 52 | 370 |
| 13 | C14H19BrCuN4O8S [Cu(H2O)(HL9)]NO3. 3H2O | 547 | 1.97 | C: 30.7 (30.9); H: 3.4 (3.2); Br: 14.6 (14.4); N: 10.2 (9.9); S: 5.8 (5.7) | 11.7 (11.5) | H2O (3570, 1565, 925); NH(3330, 3210, 3135); C = N(1590); C-0(1197); C = S(780); Cu-N(530, 423); Cu-O(470); Cu-S(465) | 65 | 360 |
| 14 | C8H11ClCuN4O6S [Cu(H2O)(HL2)]NO3. H2O | 390.5 | 2.03 | C: 24.6 (24.6); H: 2.8 (2.5); Cl: 9.1 (9.3); N: 14.3 (14.5); S: 8.2 (8.5) | 16.4 (16.1) | H2O (3585, 1575, 920); NH2(3435, 3425); NH(3335, 3220, 3145); C = N(1605); C-0(1193); C = S(780); Cu-N(515, 430); Cu-O(490); Cu-S(455) | 75 | 365 |
| 15 | C13H12CuN4OS [Cu L1Py] | 336 | 1.78 | C: 46.4 (46.5); H: 3.6 (3.5); N: 16.7 (16.5); S: 9.5 (9.4) | 19.0 (18.8) | NH2(3440, 3425); C = N(1590, 1580, 1575, 1310); C-0 (1215); C-S ( 760); Cu-N(530, 425); Cu-O(475); Cu-S(460) | 71 | 460 |
| 16 | C13H11ClCuN4OS [Cu L2Py] | 370.5 | 1.78 | C: 42.1 (42.0); H: 3.0 (2.9); Cl: 9.6 (9.5); N: 15.1 (15.0); S: 8.6 (8.4) | 17.3 (17.0) | NH2 (3435, 3420); C = N (1585, 1580, 1570, 1305); C-O (1225); C-S (750); Cu-N (510, 405); Cu-O (470); Cu-S (465) | 72 | 440 |
| 17 | C13H11BrCuN4OS [Cu L3Py] | 415 | 1.93 | C: 37.6 (37.5); H: 2.7 (2.5); Br: 19.3 (19.0); N: 13.5 (13.3); S: 7.7 (7.5) | 15.4 (15.5) | NH2 (3430, 3420); C = N (1585, 1580, 1575, 1300); C-O (1210); C-S (750); Cu-N (515, 410); Cu-O (475); Cu-S (465) | 75 | 450 |
| 18 | C13H11CuN5O3S [Cu L4Py] | 381 | 1.84 | C: 40.9 (40.8); H: 2.9 (2.8); N: 18.4 (18.2); S: 8.4 (8.3) | 16.8 (16.7) | NH2 (3440, 3425); C = N (1585, 1580, 1570, 1315); C-O (1220); C-S ( 770); Cu-N (525, 410); Cu-O (470); Cu-S (465) | 69 | 400 |
| 19 | C14H14CuN4OS [Cu L5Py] | 350 | 1.75 | C: 48.0 (47.8); H: 4.0 (3.9); N: 16.0 (15.9); S: 9.1 (9.0) | 18.3 (18.0) | NH2 (3430, 3425); C = N (1590, 1585, 1570, 1315); C-O (1220); C-S ( 770); Cu-N (520, 415); Cu-O (470); Cu-S (465) | 70 | 460 |
| 20 | C13H10Cl2CuN4OS [Cu L6Py] | 405 | 1.80 | C: 38.5 (38.3); H: 2.5 (2.4); Cl: 17.5 (17.4); N: 13.8 (13.6); S: 7.9 (7.8) | 15.8 (15.7) | NH2 (3435, 3425); C = N (1585, 1580, 1575, 1305); C-O (1205); C-S ( 770); Cu-N (515, 430); Cu-O (485); Cu-S (47 0) | 76 | 410 |
| 21 | C8H12Br2CuN4O3S [Cu L7(NH3)] × 2H2O | 468 | 1.87 | C: 20.5 (20.4); H: 2.6 (2.5); Br: 34.2 (34.0); S: 6.8(6.7) | 11.9(1.7) | NH2 (3440, 3425); NH (3330, 3215, 3150); C = N (1582, 1585); C-O (1225); C-S (748); Cu-N (540, 425); Cu-O (490); Cu-S (410); | 78 | 310 |
| 22 | C14H14 Br2CuN4O2S [Cu L7(4-MePy)] × H2O | 526 | 1.79 | C: 31.9 (31.8); H: 2.7 (2.5); Br: 31.5(31.3); S: 6.3(6.0) | 12.2(12.3) | NH2 (3435,3430); C = N (1580,1585); C-O (1225); CNC (1042); C-S (748); Cu-O (540); Cu-O (490); Cu-S (410) | 77 | 380 |
| 23 | C14H12 Br2CuN4OS [Cu L7(3-MePy)] | 508 | 1.99 | C: 33.1 (33.0); H: 2.4 (2.2); Br: 31.5(31.4); S: 6.3(6.1) | 12.6(12.4) | NH2 (3440,3425); C = N (1580,1585); C-O (1225); CNC (1042); C-S (748); Cu-O (540); Cu-O (490); Cu-S (410) | 76 | 390 |
| 24 | C14H12 Br2CuN4OS [Cu L7(2-MePy)] | 508 | 1.92 | C: 33.1 (32.9); H: 2.4 (2.5); Br: 31.5(31.4); S: 6.3(6.0) | 12.6(12.3) | NH2 (3440,3430); C = N (1580,1585); C-O (1225); CNC (1042); C-S (748); Cu-O (540); Cu-O (490); Cu-S (410) | 71 | 345 |
| 25 | C18H17Br2CuN7O3S3 [Cu L7(Etz)] | 699 | 1.35 | C: 30.9 (31.0); H: 2.4 (2.2); Br: 22.9 (22.7); N: 14.0(13.9); S: 13.7(13.5) | 9.2(8.6) | NH2 (3435,3425, 3420, 3410); C = N (1610, 1600, 1585); SO2 (1320, 1140), C-O (1215); Cu-N (540, 415); Cu-O (490); Cu-S (440) | 81 | 470 |
| 26 | C14H13Br2CuN5O3S2 [Cu L7(Str)] | 587 | 1.28 | C: 28.6 (28.5); H: 2.2 (2.0); Br: 27.3 (27.0); N: 11.9 (12.0); S: 10.9 (10.7) | 10.9 (11.0) | NH2 (3415,3420,3405,3415); C = N (1600, 1585); SO2 (1325, 1140); C-O (1210); Cu-N (525, 410); Cu-O (475); Cu-S (455) | 68 | 430 |
| 27 | C16H15Br2CuN5O4S2 [Cu L7(Sfc)] | 629 | 1.31 | C: 30.5 (30.3); H 2.4 (2.5); Br: 25.4 (25.3); N: 11.1 (11.0); S: 10.2 (10.0) | 10.2 (10.1) | NH2 (3420,3415,3415,3405); C = N (1605, 1590); SO2 (1320, 1145); C-O (1215); Cu-N (530, 425); Cu-O (480); Cu-S (465); | 63 | 450 |
| 28 | C17H14Br2CuN6O3S3 [Cu L7(Nor)] | 670 | 1.35 | C: 30.4 (30.2); H: 2.1 (2.0); Br: 23.9 (24.0); N: 12.5 (12.3); S: 14.3 (14.2) | 9.6 (9.5) | NH2 (3430, 3425, 3415, 3410); C = N (1610, 1605, 1590); SO2 (1315, 1145); C-O (1210); Cu-N (530, 420); Cu-O (480); Cu-S (455); | 69 | 470 |
| 29 | C20H19Br2CuN7O3S2 [Cu L7(Sdm)] | 693 | 1.22 | C: 34.6 (34.5); H: 2.7 (2.5); Br: 23.1 (23.0); N: 14.1 (14.0); S: 9.2 (9.0) | 9.2 (9.1) | NH2 (3440, 3430, 3425, 3415); C = N (1610, 1600, 1595); SO2 (1310, 1150); C-O (1215); Cu-N (510, 425); Cu-O (475); Cu-S (450); | 68 | 460 |
| 30 | C18H19CuN7O3S3 [Cu L1(Etz)] | 541 | 1.45 | C: 39.9 (40.0); H: 3.5 (3.4); N: 18.1 (17.9); S: 17.7(17.5) | 11.8(11.6) | NH2 (3435, 3430, 3425, 3415); C = N (1600, 1595, 1590); SO2 (1310, 1140); C-O (1225); Cu-N (515, 410); Cu-O (470); Cu-S (465) | 70 | 500 |
| 31 | C18H23NiN7O5S3 [Ni L1(Etz)] × 2H2O | 572 | dia | C: 37.8 (37.5); H: 4.0 (3.8); N: 17,1 (17.0); S: 16.8 (16.6) | 10.3(10.2) | NH2 (3430, 3430, 3420, 3410); C = N (1605, 1595, 1590); SO2 (1315, 1145); C-O (1220); Cu-N (525, 415); Cu-O (475); Cu-S (460) | 80 | 380 |
| 32 | C18H19N7O3S3Zn [Zn L1(Etz)] | 542 | dia | C: 39.9 (40.0); H: 3.5 (3.4); N: 18.1 (18.0); S: 17.7 (17.5) | 12.0 (11.8) | NH2 (3430, 3430, 3420, 3415); C = N (1605, 1595, 1585); SO2 (1315, 1140); C-0 (1215); Cu-N (525, 425); Cu-O (480); Cu-S (470) | 75 | 490 |
aH2L10, used in the preparation of complexes are reported in Scheme 1. b Mr: relative molecular mass. c µ eff: magnetic moment. d M (3d): metal 3d. e η: yield. f Tdec .: decomposition temperature.
2.1.1. X-ray Structure of [Cu(H2O)(HL3)][Cu(H2O)(HL3)(SO4)]·4H2O (5)
The structure of crystals, obtained from ethanolic solution after recrystallization of (5), has been determined by means of X-ray analysis and is similar to the structure described in [26].
2.1.2. IR Spectra and Coordination Mode
The tentative assignments of the significant IR spectral bands of H2L1–H2L10 and their Cu(II), Ni(II) and Zn(II) complexes are presented in Table 1. It has been established that the substituted salicylaldehyde thiosemicarbazones of complexes 1–14 behave as monodeprotonated tridentate ligands and are coordinated to the central ions through deprotonated phenolic oxygen atom, azomethinic nitrogen atom and sulphur atom forming five- and six-membered metalocycles [9,20,21].
The IR spectra of the free ligands shows a broad band at ca. 3600 cm−1 attributed to phenolic group, δ(OH). This band disappeared from IR spectra of complexes 1–14 [22,23,27]. Moreover, this is confirmed by the shift of ν(C-O) stretching vibration bands observed in the range of 1250-1240 cm−1 in the spectra of the free ligands, to lower frequency at around 1225–1210 cm−1 in the spectra of the complexes. This is further confirmed by the presence of the band appearing in the region 500-470 cm−1 assigned to the ν(M-O) frequency [28].
Likewise, the IR spectra of the ligands exhibits a strong band in the range 1620–1610 cm−1 assignable to ν(C = N). In the spectra of the complexes 1–14 this band is shifted to lower frequencies by ca. 25–15 cm−1 suggesting the coordination of the azomethine nitrogen to the central metal atom. Also, this coordination is supported of ν(M-N) vibration around 515–540 cm−1 [29].
In the IR spectra of the H2L1–H2L10, the ν(S-H) band at 2570 cm−1 [30,31,32,33] was absent, but the ν(C = S) bands at about 1560 and 822 cm−1 were present. These bands were shifted to lower wavenumbers in complexes 1–14 and this shift can be assigned to the thiocarbonyl ν(C = S) stretching and bending modes of vibrations and to the coordination of sulfur atom to metal ion [34,35,36].
In complexes 15–32, thiosemicarbazones behave as double deprotonated tridentate ligands, coordinating to the central ion through phenolic oxygen atom, azomethinic nitrogen atom and sulphur atom forming two five- and six-membered heterocycles. As much, the absorption bands ν(C-OH), ν(N-NH) and ν(C=S), observed in the spectra of the free thiosemicarbazones, in the range 1245–1240, 1540–1535 and 1125–1120 cm−1, respectively, were shifted to lower frequencies in the spectra complexes. In the spectra complexes the absorption band ν(C-S) is observed in the range 750–740 cm−1 and the band ν(C-N) is shifted to small frequencies with 35-30 cm−1, being accompanied by the splitting into two components [27,28,29].
In the IR spectra of complexes 15–32, an absorption band is observed in the range 1520–1518 cm−1, conditioned by valence oscillations >C = N-N = C<. This character of IR spectra demonstrates the thiosemicarbazone enolization in the process of synthesized complexes formation [30,31,32,33].
The nitrate complexes 8–14 shows a single band at around 1345-1340 cm−1. It is attributable to ionic NO3− [37].
In compounds 1–14 the absorption bands characteristic to the water molecule from the inner sphere are observed: ν(H2O) = 3595–3585 cm−1, δ(H2O) = 1590–1585 cm−1, γ(H2O) = 920–915 cm−1, w(H2O) = 640–615 cm−1 due to OH stretching, HOH deformation, H2O rocking and H2O wagging, respectively [38].
The presence of sulphanilamides in complexes 25–32 is confirmed by the characteristic absorption bands observed in IR spectra: νas(NH2), νs(NH2): ≈ 3400 cm−1; ν(N-H): 3330 ± 20 cm−1, ν(C-N)(arom): 1305 ± 55 cm−1, ν(C = N)(arom) 1580 ± 30 cm−1; νas(SO2), νs(SO2): 1320 ± 20 cm−1, 1100 ± 20 cm−1. It has been established that the investigated sulphanilamides of the given complexes behave as monodentate ligands and are coordinated to the central atom through nitrogen atoms and amino groups in the case of streptocide (Str) and sulphacil (Sfc), thiadiazolic nitrogen atom in the case of ethazole (Etz) and norsulphazole (Nor) one of the pyrimidinic nitrogen atoms in the case of sulphadimezine (Sdm) [38].
2.1.3. Magnetochemistry
The room temperature magnetic moment of the solid copper (II) complexes 1-24 was found in the range 1.75–2.00 BM, indicative one unpaired electron per Cu(II) ion [39]. These experimental data allow us to suppose that in these compounds the spin-spin interaction lacks and probably the investigated complexes have monomer structure. Also, the magnetic moment values in the range 1.22–1.45 BM for the copper (II) complexes 25–30 are of indicative anti-ferromagnetic spin-spin interaction through molecular association [40]. Complex 31 is diamagnetic and the central Ni2+ ion is in a square planar environment [40].
2.1.4. Thermal Decomposition
All complexes studied were investigated by thermogravimetry analysis. The TG thermograms of complexes 1–14 are characterized by three degradation steps (50–100, 130–170, 310–530 °C). The weight loss between 50 and 100 °C corresponds to the elimination of water molecules of dehydration and is an endothermic effect. The second step, also an endothermic effect, corresponds to the elimination of coordinated water molecules (Table 1). The following effect on DTA curve is exothermic and corresponds to the complete decomposition (TG, TGD curves) of the organic part of the complexes.
The TG and TGD curves of the complexes 15–32 are characterized by two steps of weight loss united (350–480 °C, 480–620 °C) and corresponds to the complete decomposition of the ligands. In addition, the TG and TGD curves of the complexes 21, 22 and 31 are characterized by a weight loss in the renge 50–100 °C.
By replacing the sulphate ion from complexes with nitrate ion or by changing the thiosemicarbazide fragment with 4-phenylthiosemicarbazide fragment, TG and TGD curves show weight loss at lower temperatures. The final residues were identified by IR spectroscopy as CuO, which provides %Cu values in the initial samples, by quantitative analyses. They were in agreement wich the theoretical obtained %Cu values.
2.1.5. NMR Spectra
The NMR spectra of ligands H2L1–H2L10 were recorded in DMSO-d6. The 1H-NMR and 13C-NMR spectral data are reported along with the possible assignments [41]. All the protons were found to be in the expected regions. It was observed that DMSO did not have any coordinating effect on the ligands or their metal complexes.
2.1.6. Mass Spectra
The FAB mass spectra of Cu(II), Ni(II) and Zn(II) complexes with salicyliden thiosemicarbazones (H2L1–H2L10) have been recorded (Table 2). The molecular ion [M]+ peaks obtained from Cu(II), Ni(II) and Zn(II) complexes are as follows: m/z = 274.8 (1), m/z = 319.7 (3), m/z = 309.6 (7), m/z = 350.9 (9), m/z = 395.6 (11), m/z = 429.8 (13), m/z = 369.8 (16), m/z = 349.3 (19), m/z = 506.8 (22), m/z = 698.2 (25), m/z = 586.1 (26), m/z = 536 (31), m/z = 541.4 (32). The data obtained are in good agreement with the proposed molecular formula for Cu(II), Ni(II) and Zn(II) complexes. The FAB mass spectra of these complexes shows peaks assignable to various fragments arising from the thermal cleavage of the complexes.
Table 2.
FAB mass spectral data of Cu(II) Ni(II) and Zn(II) complexes.
| Molecular formula | Mw
(g/mol) | Molecular ion peak [M]+ | The peaks due to complex fragmentation | |||
|---|---|---|---|---|---|---|
| [Cu(H2O)(HL1)][Cu(H2O)(HL1)SO4] . 2H2O (1) | 684 | 274.8 | 101.2 | 170.3 | 203.4 | |
| [Cu(H2O)(HL4)][Cu(H2O)(HL4)(SO4)] . H2O (3) | 774 | 319.7 | 147.3 | 216.5 | 296.3 | |
| [Cu(H2O)(HL2)][Cu(H2O)(HL2)(SO4)] . H2O (7) | 735 | 309.6 | 136.7 | 206.3 | 287.5 | |
| [Cu (H2O)(HL8)]NO3 . H2O (9) | 432 | 350.9 | 101.7 | 171.4 | 203.8 | 320.2 |
| [Cu (H2O)(HL1°)]NO3 . 2H2O (11) | 495 | 395.6 | 147.7 | 220.2 | 286.3 | 372.1 |
| [Cu(H2O)(HL9)]NO3 . 3H2O (13) | 547 | 429.8 | 181.2 | 229.1 | 295.2 | 398.8 |
| [Cu L2Py] (16) | 370.5 | 369.8 | 136.7 | 207.5 | 292.1 | 322.6 |
| [Cu L5Py] (19) | 350 | 349.3 | 132.1 | 203.3 | 289.2 | 318.5 |
| [Cu L7(4-MePy)] × H2O (22) | 526 | 506.8 | 262.3 | 327.8 | 403.2 | 498.8 |
| [Cu L7(Etz)] (25) | 699 | 698.2 | 296.3 | 357.5 | 434.4 | 544.2 |
| [Cu L7(Str)] (26) | 587 | 586.1 | 284.1 | 345.6 | 422.1 | 532.4 |
| [Ni L1(Etz)] × 2H2O (31) | 572 | 536 | 269.5 | 330.6 | 401.3 | 517.8 |
| [Zn L1(Etz)] (32) | 542 | 541.4 | 282.2 | 344.2 | 416.1 | 527.4 |
2.2. Biological Activity
2.2.1. Antiproliferative Activity of Human Leukemia HL-60 Cells
All ligands (Table 3) and their metal complexes (Table 4) were tested as inhibitors of HL-60 cells proliferation using three concentrations: 0.1, 1.0 and 10 μmol/L. At 0.1 and 1.0 μmol/L the ligands have unsignificant inhibitor activity, but at 10 μmol/L H2L8 (salicylidene-4-phenylthiosemicarbazone), H2L9 (5-Br-salicylidene-4-phenylthiosemicarbazone) and H2L1 (5-NO2-salicyliden-4-phenylthio-semicarbazone) inhibit the cell proliferation (90, 75 and 70%, respectively). So, we can assert that the presence of phenyl-radical in the Schiff bases composition is important. The same fact is confirmed for copper complexes, but in the enforced variant. So, copper complexes act selectively in this biological process [23,42,43,44]. In fact, copper complexes, including inner sphere water and tridentate ONS ligands, are more active than those containing inner sphere amine, which blocked the metal active centre. Complexes 1–14 are thus better inhibitors of cell proliferation than complexes 15–30.
If copper is capsulated with amine, the antiproliferative activity change in dependence of substituents R1 and R2 in the same series Y = H or Y = -C6H5. The following three examples illustrate our SAR results. If A = Py, Y = H and R1 = H, the antiproliferative activity varies (from 60% to 10%) depending on R2: H (15) > CH3 (19) > Br (17) > Cl (16) > NO2 (18). If Y = H, R1 = R2 = Br and A - is variable, the moderate influence of amine nature can be observed depending on the ability of amine(N)-copper bond force: 25 > 28 > 26 = 27 = 29 > 23 = 24 > 21 > 22. If Y = H, R1 = R2 = H, A = ethazole and copper ion is replaced by nickel or zinc (31, 32), the antiproliferative activity dramatically decreases.
Table 3.
Schiff bases H2L1–H2L10 and their antiproliferative activity on human leukemia (HL-60) cells at three concentrations.
| Schiff base | (X)N-NH-C(S)-NH(Y) | Inhibition of cell proliferation (%) | ||||
|---|---|---|---|---|---|---|
| X | Y | 10 µM | 1 µM | 0.1µM | ||
![]() | ||||||
| R1 | R2 | |||||
| H2L1 | H | H | H | 20 | 10 | 0 |
| H2L2 | H | Cl | H | 0 | 0 | 0 |
| H2L3 | H | Br | H | 5 | 0 | 0 |
| H2L4 | H | NO2 | H | 0 | 0 | 0 |
| H2L5 | H | CH3 | H | 5 | 0 | 0 |
| H2L6 | Cl | Cl | H | 10 | 0 | 0 |
| H2L7 | Br | Br | H | 0 | 0 | 0 |
| H2L8 | H | H | C6H5 | 90 | 0 | 0 |
| H2L9 | H | Br | C6H5 | 75 | 0 | 0 |
| H2L10 | H | NO2 | C6H5 | 70 | 0 | 0 |
SEM < ± 4% of a single experiment in triplicate.
Table 4.
Antiproliferative activity of complexes 1–32 on human leukemia (HL-60) cells at three concentrations.
| Complex a | Structural formula of copper complex | Inhibition of cell proliferation (%) b | Complex a | Structural formula of metal complexes | Inhibition of cell proliferation (%)b | ||||||||
![]() | 10 µM | 1 µM | 0.1 µM | ![]() | 10 µM | 1 µM | 0.1 µM | ||||||
| R1 | R2 | Y | R1 | R2 | A | ||||||||
| 1 | H | H | H | 98 | 50 | 0 | 15 | H | H | Py | - | 35 | 10 |
| 2 | H | H | -C6H5 | 100 | 90 | 0 | 16 | H | Cl | Py | - | 25 | 5 |
| 3 | H | NO2 | H | 90 | 70 | 0 | 17 | H | Br | Py | - | 50 | 0 |
| 4 | H | NO2 | -C6H5 | 96 | 78 | 0 | 18 | H | NO2 | Py | - | 10 | 0 |
| 5 | H | Br | H | 95 | 90 | 0 | 19 | H | CH3 | Py | - | 55 | 0 |
| 6 | H | Br | -C6H5 | 90 | 90 | 0 | 20 | Cl | Cl | Py | - | 60 | 10 |
| 7 | H | Cl | H | 95 | 95 | 0 | 21 | Br | Br | NH3 | - | 25 | 0 |
| 8 | H | H | H | 100 | 95 | 0 | 22 | Br | Br | 4-MePy | - | 20 | 0 |
| 9 | H | H | -C6H5 | 100 | 100 | 0 | 23 | Br | Br | 3-MePy | - | 30 | 15 |
| 10 | H | NO2 | H | 100 | 90 | 0 | 24 | Br | Br | 2-MePy | - | 30 | 5 |
| 11 | H | NO2 | -C6H5 | 100 | 90 | 0 | 25 | Br | Br | Ethazole | - | 60 | 15 |
| 12 | H | Br | H | 98 | 95 | 0 | 26 | Br | Br | Streptocide | 65 | 40 | 5 |
| 13 | H | Br | C6H5 | 100 | 80 | 0 | 27 | Br | Br | Sulfocile | 65 | 40 | 5 |
| 14 | H | Cl | H | 100 | 90 | 0 | 28 | Br | Br | Norsulfosole | 65 | 55 | 5 |
| 29 | Br | Br | Sulfadimizine | 65 | 40 | 5 | |||||||
| DOX | 100 | 100 | 30 | 30 | H | H | Ethazole | 60 | 65 | 0 | |||
| 31 | H | H | Ethazole | 5 | 5 | 5 | |||||||
| 32 | H | H | Ethazole | 10 | 5 | 0 | |||||||
a The molecular formula of complexes are reported in Table 1. b SEM < ± 4% of a single experiment in triplicate. DOX = Doxorubicine.
2.2.2. Antibacterial Activity
Experimental results obtained from the study of antimicrobial activity (Table 5) demonstrate that compounds 21–25 and 30 display bacteriostatic and bactericide activity in the concentration range 0.03-4000 µg/mL towards both Gram-positive as well as Gram-negative bacteria. In comparison, the antimicrobial data characteristic for furacillinum used in medical practice are given. The antimicrobial activity displayed by the above mentioned compounds is 32–260 times higher towards staphylococcus and streptococcus than furacillinum and exceeds by 2–260 times her bacteriostatic activity towards the majority of Gram-negative bacteria. The minimum inhibitory concentration (MIC) and minimum bactericide concentration (MBC) are influenced by the nature of thiosemicarbazone and amine of the inner sphere of the coordination compound.
The data concerning the study of antimycotic properties of compounds 22–24 show that they also display selective bacteriostatic and bactericide activity in the concentration range 9.3–600 μg/mL towards investigated fungi stems. In order to make a comparison, we also added data regarding the activity of nystatine, a compound used in medicine at mycoses treatment. The results show that the synthesized substances have antimycotic activity against most fungi, higher than nystatine activity. Aspergillus fumigatus is an exception, being less sensible towards mentioned substances. The toxicity (LD50) of complexes 24 and 30 (some of the most active in this group of substances) is 1,420 mg/kg and 4,250 mg/kg so it is 8.6–25.5 times lower than that of furacillinum (LD50 = 166.7 mg/kg).
Table 5.
Antimicrobial or antifungal activity (MIC a/MBC b) (μg/mL) of some copper complexes.
| Stem | Complexes c | |||||||||
|---|---|---|---|---|---|---|---|---|---|---|
| 21 | 22 | 23 | 24 | 25 | 30 | Furacillinum | Nystatin | |||
| Staphylococcus aureus | Wood-46 | MIC | 0.29 | 0.145 | 0.145 | 0.29 | 0.06 | 0.03 | 9.35 | - |
| MBC | 0.29 | 0.145 | 0.145 | 0.29 | 0.06 | 0.03 | 9.35 | - | ||
| Smith | MIC | 0.29 | 0.145 | 0.29 | 0.29 | - | - | 9.35 | - | |
| MBC | 0.58 | 0.29 | 0.29 | 0.58 | - | - | 9.35 | - | ||
| 209-P | MIC | 0.58 | 0.29 | 0.29 | 0.29 | 0.06 | 0.03 | 18.7 | - | |
| MBC | 0.58 | 1.16 | 1.16 | 0.58 | 0.06 | 0.03 | 18.7 | - | ||
| Staphylococcus saprophyticus | MIC | 0.29 | 0.29 | 0.145 | 0.29 | 0.12 | 0.03 | 9.35 | - | |
| MBC | 0.29 | 0.58 | 0.145 | 0.29 | 0.24 | 0.06 | 18.7 | - | ||
| Streptococcus( group A) | MIC | 0.036 | 0.009 | 1.16 | 0.29 | 0.12 | 0.06 | - | - | |
| MBC | 0.072 | 0.036 | 2.33 | 0.58 | 0.24 | 0.06 | - | - | ||
| Enterococcus faecalis | MIC | - | - | - | - | 0.06 | 0.03 | 37.5 | - | |
| MBC | - | - | - | - | 0.06 | 0.097 | 37.5 | - | ||
| Escherichia coli, O-111 | MIC | 1.16 | 9.35 | 18.7 | 4.67 | 15.6 | 15.6 | 18.7 | - | |
| MBC | 37.5 | 9.35 | 18.7 | 9.35 | 31.2 | 15.6 | 37.5 | - | ||
| Salmonella typhimurium | MIC | 2.33 | 4.67 | 4.67 | 0.29 | 1.95 | 7.8 | 75 | - | |
| MBC | 9.35 | 4.67 | 1000 | 75 | 62.5 | 31.2 | 150 | - | ||
| Salmonella enteritidis | MIC | 2.33 | 9.35 | 4.67 | 1.16 | - | - | 9.35 | - | |
| MBC | 600 | 9.35 | 2000 | 300 | - | - | 9.35 | - | ||
| Klebsiella pneumoniae | MIC | 0.58 | 1.16 | 0.29 | 0.29 | 1.95 | 7.8 | >300 | - | |
| MBC | 600 | 300 | 400 | 300 | 62.5 | 15.6 | >300 | - | ||
| Pseudomonas aeruginosa | MIC | 2000 | 1000 | 2000 | >4000 | 1000 | 250 | >300 | - | |
| MBC | >4000 | 1000 | 4000 | >4000 | >4000 | 250 | >300 | - | ||
| Proteus vulgaris | MIC | 0.29 | 1000 | 1.16 | 1.16 | 0.49 | 7.8 | 150 | - | |
| MBC | 2000 | >4000 | 4000 | 150 | 7.8 | 15.6 | 300 | - | ||
| Proteus mirabilis | MIC | 2.33 | 1000 | 9.35 | 1.16 | - | - | 150 | - | |
| MBC | 1000 | >4000 | >4000 | >4000 | - | - | 300 | - | ||
| Aspergillus niger | MIC | - | 150 | 9.3 | 18.7 | - | - | - | 240 | |
| MBC | - | 150 | 9.3 | 18.7 | - | - | - | 240 | ||
| Aspergillus fumigatus | MIC | - | 300 | 300 | 300 | - | - | - | 240 | |
| MBC | - | 300 | 300 | 300 | - | - | - | 240 | ||
| Candida albicans | MIC | - | 37.5 | 37.5 | 37.5 | - | - | - | 80 | |
| MBC | - | 37.5 | 37.5 | 37.5 | - | - | - | 80 | ||
| Penicillium | MIC | - | 18.7 | 37.5 | 37.5 | - | - | - | 80 | |
| MBC | - | 18.7 | 37.5 | 37.5 | - | - | - | 80 | ||
| LD50, mg/kg | - | - | - | 1420 | - | 4250 | 166.7 | - | ||
a MIC – minimum inhibitory concentration. b MBC – minimum bactericide. c The molecular formula of complexes are reported in Table 1.
3. Experimental
3.1. Chemistry
All commercially available reagents and chemicals were of analytical- or reagent-grade purity and used as received. 1H-NMR and 13C-NMR spectra were recorded at room temperature on a Bruker DRX 400 spectrometer in DMSO-d6, using TMS as the internal standard. IR spectra were recorded on a Specord-M80 spectrophotometer in the 4000–400 cm−1 region using KBr pellets. The chemical elemental analysis for the determination of C, H, N and Br was done the Carlo-Erba LA-118 microdosimeter. Metal ions were determined following the method described by G. Schwarenbach and H. Flaschka [45]. The complexes were studied by thermogravimetry (TG), in a current of air, with a sample heating rate of 1 °C/min, using a SETARAM 92-1600 thermo-balance. Magnetic measurements were carried out on solid complexes using the Gouy’s method [39].
X-ray diffraction analysis of compound 5 was carried out on a Nonius KappaCCD diffractometer (MoKα radiation, λ = 0.71069 Å) at room temperature. The structures of complex 5 was solved by the direct method using SHELXS-86 [46] and SIR-97 [47] software and refined by least squares in the anisotropic approximation for nonhydrogen atoms (CRYSTALS) [48]. The hydrogen atoms were refined isotropically. In complex 5, all hydrogen atoms were included in the refinement in geometrically calculated positions (except for water molecules in which hydrogen atoms were not located). The C–H and N–H bond lengths varied in the 0.93–0.98 and 0.86–0.89 Å ranges, respectively. The thermal factors UH were taken to be 1.2–1.5 times as high as the Ueq values of the carbon and nitrogen atoms.
3.1.1. General Procedures for the Synthesis of the Schiff Bases H2L1–H2L10
A hot solution of salicylaldehyde (10 mmol) in ethanol (20 mL, 50 °C ) was added to a magnetically stirred solution of H2N-NH-C(S)-NH(Y) (10 mmol), where Y = H, in warm ethanol (20 mL). The mixture was refluxed for 1–2 h. The resulting precipitate was filtered, washed with cold ethanol, then with diethyl ether, and dried under vacuum. Crystallization from ethanol gave H2L1. The same method was applied for the synthesis of H2L2–H2L10 by using 2-hydroxybenzaldehyde and its derivatives (X) with thiosemicarbazide or 4-phenylthiosemicarbazide.
Salicylidene thiosemicarbazone (H2L1). Yield: 75%. Anal. Calc. (%) for C8H9N3OS (195 g/mol): C, 49.23; H, 4.61; N, 21.53; S, 16.41. Found: C, 49.40; H, 4.52; N, 21.35; S,16.28. IR (cm−1, KBr): 3600 (m, OH), 3058 (m, NH), 1560 (s, C=S), 1586 (w, C=N), 1535 (m, NNH), 822 (m, C=S). 1H-NMR (DMSO-d6, δ, ppm): 11.39 (s, 1H, NNH); 9.88 (s, 1H, OH); 8.37 (s, 1H, HC=N); 7.93, 7.91 (2s, 1H+1H, NH2); 8.20, 7.21, 6.85, 6.80 (m, 4H, benzene). 13C-NMR (DMSO-d6, δ, ppm): 177.6 (C=S); 156.4 (HC=N); 139.6 (C-OH); 116.0, 131.1 120.4, 126.7, 118.9 (benzene).
5-Chlorosalicylidene thiosemicarbazone (H2L2). Yield: 70%. Anal. Calc. (%) for C8H8ClN3OS (229.5 g/mol): C, 41.83; H, 3.48; N, 18.30; S, 13.94. Found: C, 42.26; H, 3.34; N, 18.15; S, 13.79. IR (cm−1, KBr): 3600 (m, OH), 3058 (m, NH), 1565 (s, C=S), 1585 (w, C=N), 1535 (m, NNH), 820 (m, C=S). 1H-NMR (DMSO-d6, δ, ppm): 11.44 (s, 1H, NNH); 10.21 (s, 1H, OH); 8.30 (s, 1H, HC=N); 8.16, 8.11 (2s, 1H+1H, NH2); 8.10, 7.21, 6.86 , (m, 3H, benzene). 13C-NMR (DMSO-d6, δ, ppm): 177.8 (C=S); 155.1 (HC=N); 137.7 (C-OH); 117.7, 132.6, 130.4, 122.4, 123.5, 126.5 (benzene).
5-Bromosalicylidene thiosemicarbazone (H2L3). Yield: 71%. Anal. Calc. (%) for C8H8 BrN3OS (274 g/mol): C, 35.03; H, 2.91; N, 15.32; Br, 29.19; S, 11.67. Found: C, 34.89; H, 2.78; N, 15.25; Br, 28.91; S, 11.45. IR (cm−1, KBr): 3600 (m, OH), 3055 (m, NH), 1562 (s, C=S), 1584 (w, C=N), 1535 (m, NNH), 823 (m, C=S). 1H-NMR (DMSO-d6, δ, ppm): 11.42 (s, 1H, NNH); 10.23 (s, 1H, OH); 8.29 (s, 1H, HC=N); 8.21, 8.17 (2s, 1H+1H, NH2); 8.21, 7.32, 6.81 (m, 3H, benzene). 13C-NMR (DMSO-d6, δ, ppm): 177.8 (C=S); 155.6 (HC=N); 137.2 (C-OH); 118.2, 133.2, 111.2, 128.3, 122.9 (benzene).
5-Nitrosalicylidene thiosemicarbazone (H2L4). Yield: 62%. Anal. Calc. (%) for C8H8N4O3S (240 g/mol): C, 40.00; H, 3.33; N, 23.33; S, 13.33. Found: C, 40.46; H, 3.12; N, 23.16; S, 13.10. IR (cm−1, KBr): 3600 (m, OH), 3058 (m, NH), 1559 (s, C=S), 1586 (w, C=N), 1535 (m, NNH), 821 (m, C=S). 1H-NMR (DMSO-d6, δ, ppm): 11.53 (s, 1H, NNH); 11.55 (s, 1H, OH); 8.37 (s, 1H, HC=N; 8.29, 8.24 (2s 1H+1H, NH2); 8.86, 78.11, 7.04 (m, 3H, benzene). 13C-NMR (DMSO-d6, δ, ppm): 178.0 (C=S); 161.9 (HC=N); 136.8 (C-OH); 116.5, 126.3, 140.3, 122.2, 121.4 (benzene).
5-Methylsalicylidene thiosemicarbazone (H2L5). Yield: 68%. Anal. Calc. (%) for C9H11N3OS (209 g/mol): C, 51.67; H, 5.26; N, 20.09; S, 15.31. Found: C, 52.02; H, 5.00; N, 19.83; S, 15.04. IR (cm−1, KBr): 3600 (m, OH), 3058 (m, NH), 1558 (s, C=S), 1583 (w, C=N), 1535 (m, NNH), 824 (m, C=S). 1H-NMR (DMSO-d6,, δ, ppm): 11.50 (s, 1H, NNH); 9.85 (s, 1H, OH); 8.31 (s, 1H, HC=N); 8.02, 8.07 (2s 1H+1H, NH2); 7.22, 6.85, 6.62 (m, 3H, benzene); 2.30 (s, 3H, CH3). 13C-NMR (DMSO-d6, δ, ppm): 178.2 (C=S); 153.4 (HC=N); 140.3 (C-OH); 116.0, 133.4, 130.8, 130.5, 118.0 (benzene); 20.9 (CH3).
3,5-Dichlorosalicylidene thiosemicarbazone (H2L6). Yield: 75%. Anal. Calc. (%) for C8H7 Cl2N3OS (264 g/mol): C, 36.36; H, 2.65; N, 15.90; Cl, 26.89; S, 12.12. Found: C, 36.53; H, 2.48; N, 15.73; Cl, 26.57; S, 11.98. IR (cm−1, KBr): 3600 (m, OH), 3058 (m, NH), 1558 (s, C=S), 1587 (w, C=N), 1535 (m, NNH), 822 (m, C=S). 1H-NMR (DMSO-d6, δ, ppm): 11.48 (s, 1H, NNH); 10.3 (s, 1H, OH); 8.35 (s, 1H, HC=N); 7.98, 7.93 (2s 1H+1H, NH2); 7.28, 7.13, (m, 2H, benzene). 13C-NMR (DMSO-d6, δ, ppm): 177.9 (C=S); 154.0 (HC=N); 140.5 (C-OH); 123.0, 133.1, 126.9, 127.1, 121.5 (benzene).
3,5-Dibromosalicylidene thiosemicarbazone (H2L7). Yield: 72%. Anal. Calc. (%) for C8H7Br2N3OS (353 g/mol): C, 27.19; H, 1.98; N, 11.89; Br, 45.32; S, 9.06. Found: C, 27.40; H, 1.78; N, 11.68; Br, 45.03; S, 8.83. IR (cm−1, KBr): 3650 (m, OH), 3058 (m, NH), 1560 (s, C=S), 1586 (w, C=N), 1535 (m, NNH), 819 (m, C=S). 1H-NMR (DMSO-d6, δ, ppm): 11.45 (s, 1H, NNH); 10.55 (s, 1H, OH); 8.29 (s, 1H, HC=N); 8.10, 8.01 (2s, 2H, NH2); 8.20, 7.56 (d, 2H, benzene). 13C-NMR (DMSO-d6, δ, ppm): 178.5 (C=S); 155.4 (HC=N); 150.2 (C-OH); 118.1, 137.5, 111.2, 130.8, 123.0 (benzene).
Salicylidene-4-phenylnthiosemicarbazone (H2L8). Yield: 58%. Anal. Calc. (%) for C14H13N3OS (271 g/mol): C, 61.99; H, 4.79; N, 15.49, S, 11.80. Found: C, 62.27; H, 4.58; N, 15.28; S, 11.73. IR (cm−1, KBr): 3600 (m, OH), 3060 (m, NH), 1565 (s, C=S), 1586 (w, C=N), 1535 (m, NNH), 823 (m, C=S). 1H-NMR (DMSO-d6, δ, ppm): 11.78 (s, 1H, NNH); 9.98 (s, 1H, OH); 8.50 (s, 1H, HC=N); 10.06 (1s 1H, NH-C6H5); 8.10, 7.22, 6.90, 6.88 (m, 4H, benzene-OH); 7.38, 7.34, 7.34, 7.25, 7.25 (m, 5H-benzene-NH). 13C-NMR (DMSO-d6, δ, ppm): 177.2 (C=S); 157.1 (HC=N); 140.5 (C-OH); 116.5, 131.8, 120.7, 128.5, 118.4 (benzene-OH); 139.6 (C-NH); 127.5, 127.5, 126.1, 126.1, 127.7 (benzene-NH).
5-Bromosalicylidene-4-phenylthiosemicarbazone (H2L9). Yield: 70%. Anal. Calc. (%) for C14H12BrN3OS (350 g/mol): C, 48.00; H, 3.42; N, 12.00; Br, 22.85; S, 9.14. Found: C, 48.39; H, 3.25; N, 11.80; Br, 22.63; S, 9.00. IR (cm−1, KBr): 3600 (m, OH), 3060 (m, NH), 1565 (s, C=S), 1586 (w, C=N), 1535 (m, NNH), 822 (m, C=S). 1H-NMR (DMSO-d6, δ, ppm): 11.82 (s, 1H, NNH); 10.32 (s, 1H, OH); 8.42 (s, 1H, HC=N); 10.20 (1s 1H, NH-C6H5); 8.35, 7.35, 6.85 (m, 3H, benzene-OH); 7.38, 7.39, 7.52, 7.51, 7.24 (m, 5H-benzene-NH). 13C-NMR (DMSO-d6, δ, ppm): 176.6 (C=S); 156.2 (HC=N); 139.7 (C-OH); 118.6, 138.4, 111.6, 133.9, 123.2 (benzene-OH); 139.4 (C-NH); 128.5, 128.5, 126.9, 126.9, 125.9 (benzene-NH).
5-Nitrosalicylidene-4-phenylthiosemicarbazone (H2L10). Yield: 76%. Anal. Calc. (%) for C14H12N4O3S (316 g/mol): C, 53.16; H, 3.79; N, 17.72; S, 10.12. Found: C, 53.34; H, 3.57; N, 17.58; S, 9.97. IR (cm−1, KBr): 3600 (m, OH), 3060 (m, NH), 1565 (s, C=S), 1586 (w, C=N), 1535 (m, NNH), 822 (m, C=S). 1H-NMR (DMSO-d6, δ, ppm): 11.91 (s, 1H, NNH); 11.67 (s, 1H, OH); 8.49 (s, 1H, HC=N); 10.35 (1s 1H, NH-C6H5); 8.98, 8.15, 7.06 (m, 3H, benzene-OH); 7.37, 7.39, 7.31, 7.52, 7.21 (m, 5H-benzene-NH). 13C-NMR (DMSO-d6, δ, ppm): 176.6 (C=S); 156.2 (HC=N); 139.7 (C-OH); 118.6, 138.4, 111.6, 133.9, 123.2 (benzene-OH); 139.4 (C-NH); 128.5, 128.5, 126.9, 126.9, 125.9 (benzene-NH).
3.1.2. General Procedure for the Preparation of Complexes 1–32
Synthesis of compound 1. 30 mL of ethanolic solution, which contains 10 mmol of salicyliden thiosemicarbazone is mixed with 10 mmol of CuSO4·5H2O, dissolved in 20 mL of distilled water. The reaction mixture is heated (50–55 °C) and stirred continuously for 1.5 h. The green colored solid, which separated on cooling, was filtered, washed with ethanol, diethyl ether and dried in air. Method for the synthesis of compound 1 is similar to that of work [26] but were modified working conditions.
Synthesis of Compounds 2–14. This compounds have been synthesized according to the above described procedure, using CuSO4·5H2O or Cu(NO3)2·3H2O and salicyliden thiosemicarbazone, 5-chloro-, 5-bromo-, 5-nitro- salicyliden thiosemicarbazones or 5-bromo-, 5-nitro-salicyliden-4-phenylthiosemicarbazones, in 1:1 molar ratio.
Synthesis of Compound 15. To CuCl2·2H2O (10 mmol) dissolved in 20 mL ethanol was added salicyliden thiosemicarbazone (10 mmol) dissolved in 15 mL hot ethanol.The mixture was stirred continuously (1 h) and then pyridine alcoholic solution is added till pH=7.5–8. The dark green microcrystals was filtered, washed with ethanol, diethyl ether and dried in air.
Synthesis of Compound 16–32. This compounds have been synthesized according to the above described procedure, using as initial substances CuCl2·2H2O, thiosemicarbazones H2L2−7 and ethanolic solution of pyridine, 2-, 3-, 4-picoline, streptocide (Str), sulphacil (Sfc), norsulphazol (Nor), ethazol (Etz) or sulphadimezine (Sdm), in 1:1:1 molar ratio. The elemental analysis confirms the molecular formula. The physical and analytical data are presented in Table 1.
3.2. Cytotoxicity Assay
3.2.1. Preparation of Test Solutions
Stock solutions of the investigated compounds (H2L1–H2L10) and copper complexes 1–30 were prepared in dimethylsulfoxide (DMSO) at a concentration of 10 mM and diluted with nutrient medium to various working concentrations. DMSO was used instead of ethanol due to solubility problems.
3.2.2. Cell Culture
Human promyelocytic leukemia cells HL-60 (ATCC, Rockville, MD, USA) were routinely grown in suspension in 90% RPMI-1640 (Sigma, Saint Louis, USA) containing L-glutamine (2 nM), antibiotics (100 IU penicillin/mL, 100 µg streptomycin/mL) and supplemented with 10% (v/v) foetal bovine serum (FBS), in a 5% CO2 humidified atmosphere at 37 °C. Cells were currently maintained in continuous exponential growth with twice a week dilution of the cells in culture medium [9].
3.2.3. Cell Proliferation Assay
The cell proliferation assay was performed using 3-(4,5-dimethylthiazol-2-yl)-5-(3-carboxymethoxyphenyl)2-(4-sulfophenyl)-2H-tetrazolium (MTS) (Cell Titer 96 Aqueous, Promega, Madison, Wi, USA), which allowed us to measure the number of viable cells. In brief, triplicate cultures of 1 x 104 cells in a total of 100 µL medium in 96-well microtiter plates (Becton Dickinson and Company, Lincoln Park, NJ, USA) were incubated at 37 °C, 5% CO2. Compounds were dissolved in DMSO to prepare the stock solution of 1 × 10−2 M. These compounds were diluted at the appropriate concentration (1 or 10 µM) with culture media, added to each well and incubated for 3 days. Following each treatment, 20 µL MTS was added to each well and incubated for 4 h. MTS is converted to water-soluble coloured formazan by dehydrogenase enzymes present in metabolically active cells. Subsequently, the plates were read at 490 nm using a microplate reader (Molecular Devices, Sunnyvale, CA). The results were reported as the percentage of cell proliferation inhibition compared to the control (basal cell proliferation=100%).
3.3. Antibacterial Activity
The antibacterial activity of complexes and also of their prototype Furaciline has been determined under liquid nutritive environment [2% of peptonate bullion (pH 7.0)] using successive dilutions method [36,37,38]. Staphylococcus aureus (Wood-46, Smith, 209-P), Staphylococcus saprophyticus, Streptococcus faecalis, Escherihia coli (O-111), Salmonella typhimurium, Salmonella enteritidis, Klebsiella pneumoniaie, Pseudomonas aeruginosa, Proteus vulgaris and Proteus mirabilis standard stems were used as reference culture for in vitro experiments. The dissolution of studied substances in dimethylformamide, microorganisms cultivation, suspension obtaining, determination of minimal inhibition concentration (MIC) and minimal bactericide concentration (MBC) have been carried out according to the method previously reported [39].
3.4. Antifungal Bioassay
Antimycotic properties of the complexes were investigated in vitro on laboratory stems: Aspergillus niger, Aspergillus fumigatusi, Candida albicans and Penicillium. The activity has been determined in liquid Sabouroud nutritive environment (pH 6.8). The inoculates were prepared from fungi stems which were harvested during 3–7 days. Their concentration in suspension is (2–4) × 106 colonies form unities in milliliter. Sowings for levures and micelles were incubated at 37 °C during 7 and 14 days, respectively.
4. Conclusions
Ten new salicyliden thiosemicarbazones ligands and their corresponding Cu(II), Ni(II) and Zn(II) complexes have been synthesized and characterized. The molecular structure of the complex 5 has been determined by single crystal X-ray diffraction method. The IR, 1H-NMR and 13C-NMR data were successfully used to elucidate the formation of the salicyliden thiosemicarbazones ligands. All ligands and their metal complexes were tested as inhibitors of HL-60 cells proliferation. The ligands have unsignificant inhibitor activity at 0.1 and 1.0 μmol/L, but at 10 μmol/L H2L8, H2L9 and H2L10 inhibit the cell proliferation. The copper complexes, including inner sphere water and tridentate ONS ligands, are more active than those containing inner sphere amine, which blocked the metal active centre. The most indicative criteria for future synthesis of biological active coordination compounds from theview point of the inhibition of HL-60 cell proliferation, antibacterial and antifungal activity: use of copper (II) complexes and presence of sulphur atom in the tridentate organic ligand.
Supplementary Data
CCDC 623449 contain the supplementary crystallographic data for C16H8Br2Cu2N6O12S3 (5). These data can be obtained free of charge via http://www.ccdc.cam.ac.uk/conts/retrieving.html, or from the Cambridge Crystallographic Data Centre, 12 Union Road, Cambridge CB2 1EZ, UK; fax: (+44) 1223-336-033; or e-mail: deposit@ccdc.cam.ac.uk.
Acknowledgments
The authors wish to thank the CHUQ (CHUL) Research Center at Québec City (Canada) and State University of Medicine and Pharmacy of Chisinau (Moldova) for their help in carrying out biological studies. The authors thank the Academy of Sciences of Moldova (Institute of Chemistry), for their help in carrying out C, H, N and Br elemental analyses. Also authors thank the FQRNT grant funding project 115825 for financial support.
Conflicts of Interest
The authors declare no conflict of interest.
References
- Rosu, T.; Pahontu, E.; Pasculescu, S.; Georgescu, R.; Stanica, N.; Curaj, A.; Popescu, A.; Leabu, M. Synthesis, characterization antibacterial and antiproliferative activity of novel Cu(II) and Pd(II) complexes with 2-hydroxy-8-R-tricyclo[7.3.1.0.2,7] tridecane-13-one thiosemicarbazone. Eur. J. Med. Chem. 2010, 45, 1627–1634. [Google Scholar] [CrossRef]
- Leovac, V.M.; Bogdanović, G.A.; Jovanović, L.S.; Joksović, L.; Marcović, V.; Joksovic, M.D.; Denčić, S.M.; Isaković, A.; Marković, I.; Heinemann, F.W.; et al. Snthesis, characterization and antitumor activity of polymeric copper (II) complexes with thiosemicarbazones of 3-methyl-5-oxo-1-phenyl-3-pyrazolin-4-carboxaldehyde and 5-oxo-3-phenyl-3-pyrazolin-4-carboxaldehyde. J. Inorg. Biochem. 2011, 105, 1413–1421. [Google Scholar] [CrossRef]
- Hanafy, A.I.; Maki, A.B.K.T.; Mostafa, M.M. Synthesis, structural and catalytic activity of binaphthyl macrocyclic complexes. Transition Met. Chem. 2007, 32, 960–966. [Google Scholar] [CrossRef]
- Fernandez, M.C.; Basitida, R.; Macias, A.; Valencia, L.; Lourida, P.P. ifferent nuclearities of M(II) nitrate complexes (M=Co, Ni, Cu and Cd) with a tetrapyridyl pendant-armed hexaazamacrocyclic ligand. Polyhedron 2006, 25, 783–792. [Google Scholar] [CrossRef]
- Ilhan, S.; Temel, H. Synthesis and spectral studies of macrocyclic Pb(II), Zn(II), Cd(II) and La(III) complexes derived from 1,4-bis(3-aminopropoxy)butane with metal nitrate and salicylaldehyde derivatives. Transition Met Chem. 2007, 32, 1039–1046. [Google Scholar]
- Casas, J.S.; García-Tasende, M.S.; Sánchez, A.; Sordo, J.; Touceda, A. Coordination modes of 5-pyrazolones: A solid-state overview. Coord. Chem. Rev. 2007, 251, 1561. [Google Scholar] [CrossRef]
- Lindoy, L.F. The Chemistry of Macrocyclic Ligand Complexes; Cambridge University Press: Cambridge, UK, 1989. [Google Scholar]
- Ali, M.A.; Mirza, A.H.; Abu Bakar, H.J.H.; Bernhardt, P.V. Preparation and structural characterization of nickel(II), cobalt(II), zinc(II) and tin(IV) complexes of the isatin Schiff bases of S-methyl and S-benzyldithiocarbazates. Polyhedron 2011, 30, 556–564. [Google Scholar] [CrossRef]
- Youssef, N.S.; El-Seidy, A.M.A.; Schiavoni, M.; Castano, B.; Ragaini, F.; Gallo, E.; Caselli, A. Thiosemicarbazone copper complexes as competent catalysts for olefin cyclopropanations. J. Organometallic Chem. 2012. [Google Scholar] [CrossRef]
- Pathan, A.H.; Bakale, R.P.; Naik, G.N.; Frampton, C.S. Synthesis, crystal structure, redox behavior and comprehensive studies on DNA binding and cleavage properties of transition metal complexes of a fluoro substituted thiosemicarbazone derived from ethyl pyruvate. Polyhedron 2012, 34, 149–156. [Google Scholar] [CrossRef]
- Saif, M.; Mashaly, M.M.; Eid, M.F.; Fouad, R. Synthesis, characterization and thermal studies of binary and/or mixed ligand complexes of Cd(II), Cu(II), Ni(II) and Co(III) based on 2-(Hydroxybenzylidene) thiosemicarbazone: DNA binding affinity of binary Cu(II) complex. Spectrochim. Acta A Mol. Biomol. Spectrosc. 2012, 92, 347–356. [Google Scholar] [CrossRef]
- Chandra, S.; Gupta, N.; Gupta, R.; Bawa, S.S. Biologically Relevent Macrocylic Complexes of Copper Spectral, Magnetic Thermal and Antibactrial Approach. Transition Met Chem. 2006, 31, 147–151. [Google Scholar] [CrossRef]
- Tan, K.W.; Seng, H.L.; Lim, F.S.; Cheah, Sh.-Ch.; Ng, C.H.; Koo, K.S.; Mustafa, M.R.; Ng, S.W.; Maah, M.J. Towards a selective cytotoxic agent for prostate cancer: Interaction of zinc complexes of polyhydroxybenzaldehyde thiosemicarbazones with topoisomerase. Polyhedron 2012, 38, 275–284. [Google Scholar] [CrossRef]
- Raja, D.S.; Bhuvanesh, N.S.P.; Natarajan, K. Biological evaluation of a novel water soluble sulphur bridged binuclear copper(II) thiosemicarbazone complex. Eur. J. Med. Chem. 2011, 46, 4584–4594. [Google Scholar] [CrossRef]
- Ramachandran, E.; Thomas, S.P.; Poornima, P.; Kalaivani, P.; Prabhakaran, R.; Padma, V.V.; Natarajan, K. Evaluation of DNA binding, antioxidant and cytotoxic activity of mononuclear Co(III) complexes of 2-oxo-1,2-dihydrobenzoh]quinoline-3-carbaldehyde thiosemicarbazones. Eur. J. Med. Chem. 2012, 50, 405–415. [Google Scholar] [CrossRef]
- Chohan, Z.H.; Pervez, H.; Rauf, A.; Khan, K.M.; Supuran, C.T. Antibacterial cobalt (II), copper (II), nickel (II) and zinc (II) complexes of mercaptothiadiazole--derived furanyl, thienyl, pyrrolyl, salicylyl and pyridinyl Schiff bases. J. Enz. Inh. Med. Chem. 2006, 21, 193. [Google Scholar] [CrossRef]
- Hall, I.H.; Lackey, C.B.; Kistler, T.D.; Durham,, R.W., Jr.; Jouad, E.M.; Khan, M.; Thanh, X.D.; Djebbar-Sid, S.; Benali-Baitich, O.; Bouet, G.M. Cytotoxicity of copper and cobalt complexes of furfural semicarbazone and thiosemicarbazone derivatives in murine and human tumor cell lines. Pharmazie 2000, 937–941. [Google Scholar]
- Baldini, M.; Belicchi-Ferrari, M.; Bisceglie, F.; Dall’Aglio, P.P.; Pelosi, G.; Pinelli, S.; Tarasconi, P. Copper (II) complexes with substituted thiosemicarbazones of α-ketoglutaric acid: synthesis, X-ray structures, DNA binding studies, and nuclease and biological activity. Inorg. Chem. 2004, 43, 7170–7179. [Google Scholar] [CrossRef]
- Belicchi, F.M.; Bisceglie, F.; Pelosi, G.; Tarasconi, P.; Albertini, R.; Dall’Aglio, P.P.; Pinelli, S.; Bergamo, A.; Sava, G.A.J. Synthesis, characterization and biological acvity of copper complexes with pyridoxal thiosemicarbazone derivatives. X-ray crystal structure of three dimeric complexes. Inorg. Biochem. 2004, 98, 301–312. [Google Scholar] [CrossRef]
- Gulea, A.; Poirier, D.; Roy, J.; Stavila, V.; Bulimestru, I.; Ţapcov, V.; Bârcă, V.M.; Popovschi, L. In vitro antileukemia, antibacterial and antifungal activities of some 3d metal complexes: Chemical synthesis and structure–activity relationships. J. Enz. Inh. Med. Chem. 2008, 23, 806–818. [Google Scholar] [CrossRef]
- Gulea, A.P.; Samusi, N.M.; Prisacari, V.I.; Ţapcov, V.I.; Buraciov, S.A.; Spinu, S.N.; Bejenari, N.P.; Poirier, D.; Roy, J. Synthesis and antibacterial activity of Copper and Nickel saliciliden thiosemicarbazidates. Pharm. Chem. J. 2007, 41, 114–117. [Google Scholar]
- Stavila, V.; Davidovich, R.L.; Gulea, A.; Whitmire, K.H. Bismuth(III) complexes with aminopolycarboxylate and polyaminopolycarboxylate ligands: Chemistry and structure. Coord. Chem. Rev. 2006, 250, 2782–2793. [Google Scholar] [CrossRef]
- Gulea, A.; Poirier, D.; Roy, J.; Tapcov, V. Inhibitors of enzyme 17β-HSD proliferation. Patent of invention MD 3771. BOPI 12, 2008. [Google Scholar]
- Samusi, N.M.; Prisacari, V.I.; Ţapcov, V.I.; Buraciov, S.A.; Gulea, A.P. Synthesis and antimicrobial activity of the complexes of 3d-metals with substituted salicylaldehyde benzoylhydrazones. Pharm. Chem. J. 2004, 38, 373–377. [Google Scholar] [CrossRef]
- Geary, W.J. The use of conductivity measurements in organic solvents for the characterisation of coordination compounds. Coord. Chem. Rev. 1971, 7, 81–122. [Google Scholar] [CrossRef]
- Chumakov, M.Yu.; Janneau, E.; Bejenari, P.N.; Tsapkov, I.V.; Gulea, P.A. Crystal Structure of Cooper Sulfate and Thiocyanate Complexes with 5-Bromo-and 5-Nitrosalicylaldehyde Thiosemicarbazones. Koordinatsionnaya Khimiya 2008, 34, 46–54. [Google Scholar]
- Saydam, S.; Yilmaz, E. Synthesis, characterization and thermal behavior of 4-chloromethyl-2-(2-hydroxybenzilidenehydrazino) thiazole and its complexes with Cr(III), Co(II), Ni(II) and Cu(II). Spectrochim. Acta A 2006, 63, 506–510. [Google Scholar] [CrossRef]
- Larabi, L.; Harek, Y.; Reguig, A.; Mostafa, M.M. Synthesis, structural study and electrochemical properties of copper(II) complexes derived from benzene- and p-toluenesulphonylhydrazones. J. Serb. Chem. Soc. 2003, 68, 85–95. [Google Scholar] [CrossRef]
- Gupta, L.; Chandra, S. Spectroscopy: the study of DNA cleavage by newly synthesized polydentate macrocyclic ligand and its copper(II) complexes. Spectrochim. Acta A 2008, 71, 496–501. [Google Scholar] [CrossRef]
- El-Reash, G.M.A.; Ibrahim, K.M.; Bekheit, M.M. Synthesis, characterization and thermal analysis of new Cu(II) complexes with hydrazide ligands. E-J. Chem. 2010. [Google Scholar] [CrossRef]
- Jouad, E.M.; Riou, A.; Allain, M.; Khan, M.A.; Bouet, G.M. Synthesis, structural and spectral studies of 5-methyl 2-furaldehyde thiosemicarbazone and its Co, Ni, Cu and Cd complexes. Polyhedron 2001, 20, 67–74. [Google Scholar] [CrossRef]
- Chandra, S.; Sangeetika, X. Spectroscopic, redox and biological activities of transition metal complexes with ons donor macrocyclic ligand derived from semicarbazide and thiodiglycolic acid. Spectrochim. Acta A 2004, 60, 147–153. [Google Scholar] [CrossRef]
- Chanrda, S.; Pundir, M. Spectral studies of cobalt(II) complexes of 12-membered macrocyclic ligands having thiosemicarbazone moieties. Spectrochim. Acta A 2007, 68, 833–840. [Google Scholar] [CrossRef]
- Goel, S.; Pandey, O.P.; Sengupta, S.K. Synthesis and physico-chemical studies on neodymium(III) and samarium (III) derivatives with mercapto triazoles. Thermochim. Acta 1988, 133, 359–364. [Google Scholar] [CrossRef]
- Raphae, P.F.; Manoj, E.; Kurup Prathapachandra, M.R. Copper(II) complexes of N(4)-substituted thiosemicarbazones derived from pyridine-2-carbaldehyde: Crystal structure of a binuclear complex. Polyhedron 2007, 26, 818–828. [Google Scholar] [CrossRef]
- Kostas, I.D.; Andreadaki, F.J.; Demertzi, D.K.; Prentjas, C.; Demertzis, M.A. Suzuki-Miyaura cross-coupling reaction of aryl bromides and chlorides with phenylboronic acid under aerobic conditions catalyzed by palladium complexes with thiosemicarbazone ligands. Tetrahedron Lett. 2005, 46, 1967–1970. [Google Scholar] [CrossRef]
- Belicchi-Ferrari, M.; Bisceglie, F.; Cavalieri, C.; Pelosi, G.; Tarasconi, P. Bis(triphenylphosphine)4-fluorobenzaldehyde thiosemicarbazone copper(I): Forcing chelation through oxoanions. Polyhedron 2007, 26, 3774–3782. [Google Scholar] [CrossRef]
- Nakamoto, K. Infrared and Raman Spectra of Inorganic and Coordination Compounds Part B. Applications in Coordination, Organometallic and Bioinorganic Chemisrty, 6th ed.; Wiley-Interscience: Hoboken, NJ, USA, 2008; p. 384. [Google Scholar]
- Drago, R.S. Physical Methods in Chemistry; W.B. Saunders Company: Philadelphia, PA, USA, 1977. [Google Scholar]
- Carlin, R.L. Transition Metal Chemistry, 2nd ed.; Marcel Decker Inc.: New York, NY, USA, 1965. [Google Scholar]
- Pretsch, E.; Clerc, T.; Seibl, J.; Simon, W. Tables of Spectral Data for Structure Determination of Organic Compounds 13C-NMR, 1H-NMR, IR, MS, UV/VIS; Springer-Verlag: Berlin, Gemany, 1989. [Google Scholar]
- Raja, D.S.; Paramaguru, G.; Bhuvanesh, N.S.P.; Reibenspies, J.H.; Renganathan, R.; Natarajan, K. Effect of terminal N- substitution in 2-oxo-1,2-dihydroquinoline-3-carbaldehyde thiosemicarbazone on the mode of ccordination, structure, interaction with protein, radical scavenging and cytotoxic activity of copper(II) complexes. Dalton Trans. 2011, 40, 4548–4559. [Google Scholar] [CrossRef]
- Mohan, M.; Gupta, N.S.; Kumar, A.; Kumar, M. Synthesis, characterization and antitumor activity of iron (II) and iron (III) complexes of 3- and 5- substituted salicylaldehyde benzoyl hydrazones. Inorg. Chim. Acta. 1987, 135, 167–171. [Google Scholar] [CrossRef]
- Mohan, M.; Kumar, A.; Kumar, M.K. Synthesis, characterization and antitumor activity of manganese(II), cobalt(II), nickel(II), copper(II), zinc(II) and platinum complexes of 3- and 5- substituted salicylaldehide benzoylhydrazones. Inorg. Chim. Acta 1987, 136, 65–70. [Google Scholar] [CrossRef]
- Schwarenbach, G.; Flaschka, H. Die Komplexometrische Titration; Ferdinand Euke: Verlag Stuttgart, Germany, 1956. [Google Scholar]
- Sheldrick, G.M. A short history of SHELX. Acta Crystallogr. 2008, A64, 112–122. [Google Scholar]
- Altomare, A.; Burla, M.C.; Camalli, M.; Cascarano, G.L.; Giacovazzo, C.; Guagliardi, A.G.; Moliterni, G.; Polidori, G.; Spagna, R. SIR97: A new tool for crystal structure determination and refinement. J. App. Cryst. 1999, 32, 115–119. [Google Scholar] [CrossRef]
- Betteridge, P.W.; Carruthers, J.R.; Cooper, R.I.; Prout, K.; Watkin, D.J. CRYSTALS version 12: software for guided crystal structure analysis. J. Appl. Cryst. 2003, 36, 1487–1452. [Google Scholar] [CrossRef]
- Sample Availability: Not available.
© 2013 by the authors; licensee MDPI, Basel, Switzerland. This article is an open access article distributed under the terms and conditions of the Creative Commons Attribution license (http://creativecommons.org/licenses/by/3.0/).











