Abstract
An efficient synthesis of enantiopure (R)-heteroarylpyrimidine analogs is described here, which involves introduction of a chiral group, formation and separation of diasteroisomers and final transformation of an amide to an ester. The absolute configuration of the enantiopure HAPs is confirmed by X-ray analysis of their intermediates.
1. Introduction
Chronic HBV infections remain a serious public health problem worldwide. Nucleoside/nucleotide analogs and immune modulators have been approved for the treatment of chronic hepatitis B. Unfortunately, drug resistance and side effects have limited the utility of currently approved drugs [1,2]. Therefore new kinds of anti-hepatitis B agents are still highly desired. Heteroarylpyrimidines (HAPs) were discovered to be a class of highly potent non-nucleoside inhibitors of HBV replication (Figure 1) [3,4,5]. Bay39-5493 has reached the clinical test stage as an anti-HBV candidate drug. Z060228, another novel HAP derivative found by our laboratory, exhibits excellent activity against HBV replication at submicromolar concentration and is currently under preclinical study [6,7].
Figure 1.
Structures of HAP analogs.
Figure 1.
Structures of HAP analogs.

The biological activity of HAPs depends on their absolute configuration and only the (R)-enantiomers exhibit anti-HBV activity, so the synthesis of (R)-HAPs is necessary for the further drug development. Racemic HAPs were easily prepared from amidine, ethyl acetoacetate and benzaldehyde by a Biginelli reaction (Scheme 1) [8]. However, enantiopure (R)-HAPs were difficult to obtain and only Goldman et al. have reported the preparation of (R)-Bay39-5493 through a chiral-phase HPLC method [9,10]. Herein, we report on a feasible and convenient synthesis of enantiopure (R)-HAPs.
Scheme 1.
Synthesis of racemic HAPs.
Scheme 1.
Synthesis of racemic HAPs.

2. Results and Discussion
In general, the methods frequently used for the synthesis of enantiopure 1,4-dihydropyridines are the resolution of racemic dihydropyridines, separation via diastereomeric esters, enantioselective synthesis with chiral auxiliary groups, chemoenzymatic separation of dihydropyridines, and chromatographic separation of enantiomers [11,12,13]. The synthetic strategies we first adopted for the preparation of (R)-HAPs involved resolution of the racemic-HAPs I via diastereomeric salts using camphorsulfonic acid as resolution reagent and direct enantioselective synthesis in the chiral environment of quinidine or quinine, but the results were not satisfactory. Then we attempted an indirect method with a chiral auxiliary group to synthesize (R)-HAPs as shown in Scheme 2. A chiral group Y was introduced in starting material and a couple of diasteroisomers II were formed by the Biginelli reaction. The enantiopure IIa and IIb could be separated by taking advantage of the differences in their physiochemical properties and then the enantiopure IIa could be transformed into (R)-HAPs after getting rid of the introduced chiral group Y. Apparently, the choice of chiral group Y is key for the whole strategy. According to their cost and practical properties, several chiral agents such as menthol, and mandelic acid were adopted. When menthol was used, the enantiopure IIa or IIb were not crystallized easily from common solvents. When mandelic acid was used, racemization was found to occur under basic conditions. By comparison, (R)-1-phenylethanamine was proved to be the suitable chiral agent, which was enantiomerically stable in the subsequent reaction steps and was removed conveniently after enantiopure intermediate IIa was separated.
Scheme 2.
Synthetic strategy analysis of enantiopure (R)-HAPs.
Scheme 2.
Synthetic strategy analysis of enantiopure (R)-HAPs.

With this method (R)-Z060228 has been synthesized by the synthetic route shown in Scheme 3. In the first step, acylation of (R)-1-phenylethanamine (1, >99% ee) with diketene (2) easily gave the intermediate 3 in 95% yield [14]. Next, Knoevenagel condensation of 3 with 2-chloro-4-fluorobenzaldehyde in the presence of acetic acid and piperidine followed by reaction with 2,4,6-trifluorobenzimidamide acetate afforded the diastereomeric 4 in 78% yield [15,16,17].
Scheme 3.
Synthesis of (R)-Z060228.
Scheme 3.
Synthesis of (R)-Z060228.

As we expected, the diastereomers 4a and 4b have different solubility in different solvents. Compound 4a was easily crystallized from ethyl acetate, whose de value was >99% according to HPLC and then 4b was easily recrystallized from ethanol.
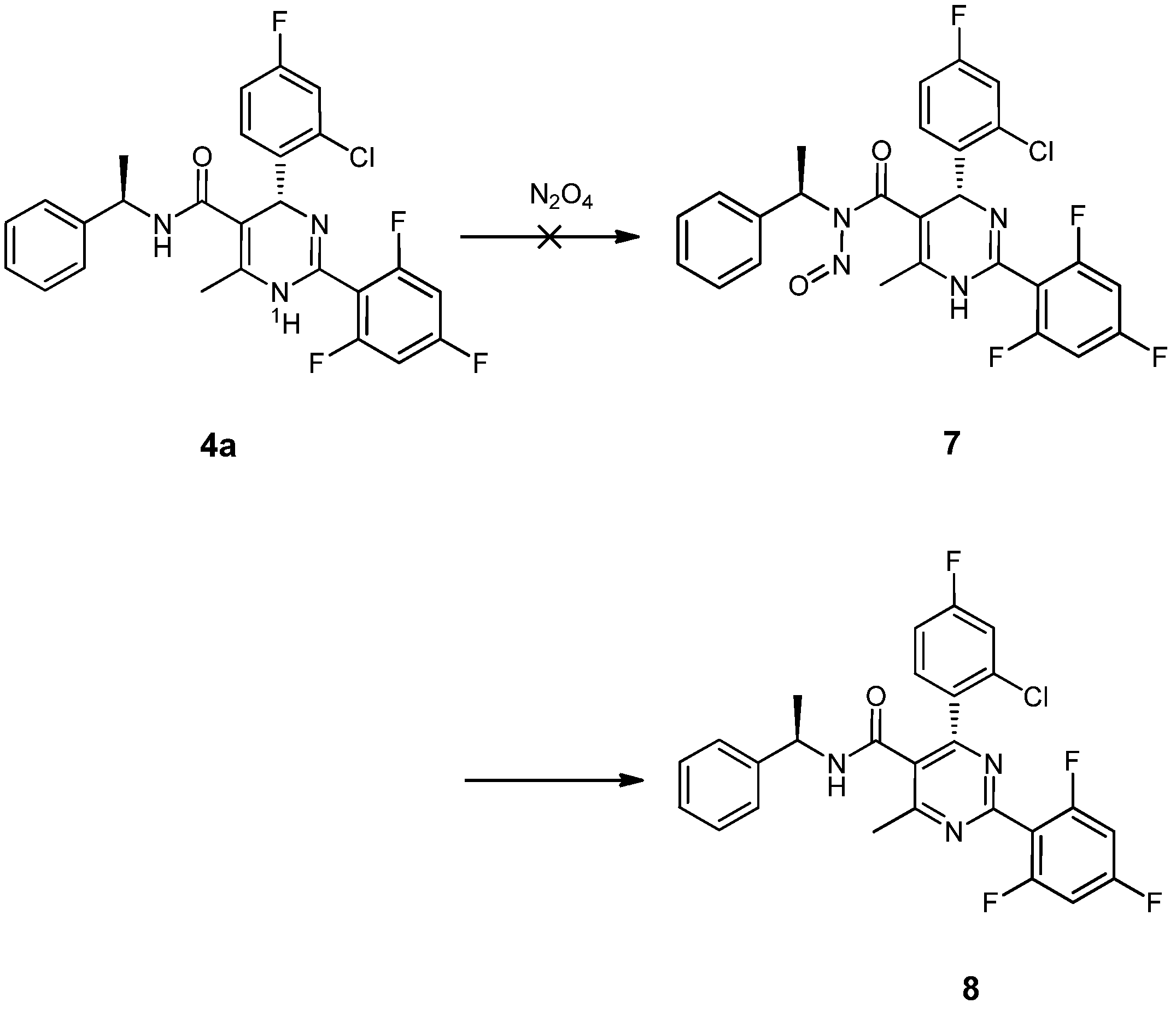
Next we focused our attention on the transformation of amide 4a into the ester (R)-Z060228, which was also a key step of the synthetic route. In general, esters aren’t easily obtained from the corresponding amides. Alcoholysis of amides, especially for polyfunctional amide was problematic because conventional methods under strongly basic and acidic conditions were only suitable for simple amides and otherwise result in extensive substrate decomposition [18]. What’s more, the amide 4a has lower activity because of its 1,4-dihydropyrimidine ring. In order to improve the reactivity of 4a, introduction of an electron-withdrawing group on the amide-N atom of 4a was considered Methyl chloroformate and glutaric anhydride were firstly selected as activation reagents, but the results were not satisfactory because of 4a’s steric effect. Fortunately, we found that N-nitrosamide formation was also an efficient method for activation of amides. Nitrosation of secondary amines is usually accomplished using nitrosating agents such as nitrous acid, NaNO2/HC1, nitrogen oxides (NO, N2O3 or N2O4) and so on. To improve the yield and avoid the formation of side products, dinitrogen tetroxide was considered as a selective and efficient reagent for N-nitrosation of the secondary amine 4a [19,20,21,22,23,24,25].
However, in the course of our experiments, direct N-nitrosation of compound 4a with dinitrogen tetroxide afforded the undesired product 8 in almost 100% yield instead of the desired compound 7. It is noteworthy that this accidental discovery might actually be an excellent method to prepare substituted pyrimidines. According to the analysis of the reaction and the product we concluded that the higher activity of N1-H than the amide N-H may be the main cause (Scheme 4). To overcome this problem, protection of the amide N1-H was required. Acylation of 4a with acetyl chloride in the presence of triethylamine gave the intermediate 5 in good 95% yield. N-Nitrosation of 5 with dinitrogen tetroxide easily gave the intermediate 6. Then alcoholysis of crude 6 with sodium ethoxide in cold dry DMF afforded the desired compound (R)-Z060228 in 78% yield.
Scheme 4.
Direct N-nitrosation only yielded an arylate product.
Scheme 4.
Direct N-nitrosation only yielded an arylate product.

(R)-Z060228’s optical purity (>99% ee) was checked with HPLC on a chiral stationary phase (ULTRON ES-OVM 150 × 4.6 mm, 0.01M KH2PO4:CH3CN = 90:10, λ = 240 nm, 1.0 mL/min), which indicated that no racemization occurred in the last two steps. (R)-Z060228’s specific rotation was found to be
= −92.4 (c = 1.0, CH3OH) and its absolute (R) configuration could be directly confirmed by determination of the absolute configuration of the intermediate (4R,2'R)-5 by X-ray crystallography (Figure 2) [26]. Using a similar reaction sequence, Bay39-5493 was prepared in 99% ee and its specific rotation closely matched the reported value (observed:
= −54.6, c = 1.0, CH3OH; lit.:
= −52, c = 1.0, CH3OH) [27].
= −92.4 (c = 1.0, CH3OH) and its absolute (R) configuration could be directly confirmed by determination of the absolute configuration of the intermediate (4R,2'R)-5 by X-ray crystallography (Figure 2) [26]. Using a similar reaction sequence, Bay39-5493 was prepared in 99% ee and its specific rotation closely matched the reported value (observed:
= −54.6, c = 1.0, CH3OH; lit.:
= −52, c = 1.0, CH3OH) [27].
Figure 2.
X-ray crystal structure of the intermediate 5 [28].
Figure 2.
X-ray crystal structure of the intermediate 5 [28].

3. Experimental
3.1. General
1H-NMR and 13C-NMR spectra were recorded at 400 MHz and 100 MHz on a JNM-ECA-400 instrument with tetramethylsilane as an internal standard in the DMSO. ESI-MS (high resolution) mass spectra were obtained by using a Waters Xevo G2 Qtof (ESI) mass spectrometer. Melting points were determined using a RY-1 apparatus and are uncorrected.
3.2. Synthesis
R,R-N-(1-Phenylethyl)-4-(2-chloro-4-fluorophenyl)-2-(2,4,6-trifluorophenyl)-6-methyl-1,4-dihydro-pyrimidine-5-carboxamide (4a) and R,S-N-(1-phenylethyl)-4-(2-chloro-4-fluorophenyl)-2-(2,4,6-trifluorophenyl)-6-methyl-1,4-dihydropyrimidine-5-carboxamide (4b). (R)-(+)-N-(1-phenylethyl)-3-oxobutyramide (3, 4.50 g, 22.05 mmol) and 2-chloro-4-fluorobenzaldehyde (3.50 g, 22.05 mmol) are dissolved in anhydrous alcohol (85 mL) containing acetic acid (1 mL) and piperidine (1 mL) as catalysts. After stirring at R.T. for 24 h, 2,4,6-trifluorobenzimidamide acetate (3.51 g, 22.05 mmol) and sodium acetate (2.05 g, 25.00 mmol) are added. After refluxing for 20 h, the reaction mixture is concentrated and the residue is dissolved in water (50 mL) and extracted with ethyl acetate (3 × 25 mL). The combined organic extracts are washed with brine (20 mL × 3) and dried over anhydrous sodium sulfate. After evaporation of the solvent in vacuo, a 1:1 mixture of diastereomeric amides 4a and 4b is obtained and subjected to recrystallization from ethyl acetate and pentane (50:50), 4a (3.9 g, 35%) is isolated as white particles (>99% d.e., according to HPLC). Rf = 0.34 (ethyl acetate-petroleum ether = 2:1). Mp = 208–210 °C. 1H-NMR (DMSO-d6) δ: 1.29–1.33 (3H, m); 1.97 (3H, s); 4.83–4.87 (1H, m); 5.97 (1H, s); 7.04–7.06 (2H, d, J = 6.4 Hz); 7.12–7.24 (7H, m); 7.25–7.27 (1H, m); 8.08–8.10 (1H, d, J = 8 Hz); 9.24 (1H, s); HRMS (ESI) m/z: Calcd for C26H21ClF4N3O, 502.1304 [M+H]+; Found: 502.1299.
The mother liquor was concentrated and redissolved in anhydrous alcohol, whereby 4b is crystallized (3.43 g, yield 31%) as white plates (>99% d.e., according to HPLC). Rf = 0.36 (ethyl acetate-petroleum ether = 2:1). Mp = 197–199 °C. 1H-NMR (DMSO-d6) δ: 1.17–1.25 (3H, m); 2.12 (3H, s); 4.85–4.88 (1H, m); 6.01 (1H, s); 7.15–7.20 (8H, m); 7.86–7.87 (2H, d, J = 4 Hz); 7.94–7.95 (1H, m); 9.37 (1H, s); HRMS (ESI) m/z: Calcd for C26H20N3OF4Cl, 502.1304 [M+H]+; Found: 502.1299.
R,R-N-(1-phenylethyl)-N-1-acetyl-6-(2-chloro-4-fluorophenyl)-2-(2,4,6-trifluorophenyl)-4-methyl-1,6-dihydropyrimidine-5-carboxamide (5). A solution of diastereomeric amide 4a (3.03 g, 6 mmol) and anhydrous triethylamine (0.9 g, 9 mmol) in dry DMF (45 mL) is stirred at 0 °C, and then acetyl chloride (0.51 mL, 7.2 mmol) is added dropwise. After stirring for 6 h, the reaction mixture is quenched with water (60 mL), and extracted with ethyl acetate (3 × 60 mL). The combined organic phase is dried over anhydrous sodium sulfate and concentrated under reduced pressure. The residue is purified by column chromatography on silica gel (ethyl acetate-pentane = 1:3) to give 5 (3.11 g, 95%) as a white powder. Rf = 0.4 (ethyl acetate-petroleum ether = 1:1). Mp: 183–184.2 °C. 1H-NMR (DMSO-d6) δ: 1.39–1.41 (3H, d, J = 8 Hz), 2.07 (3H, s), 2.10 (3H, s), 4.95–4.99 (1H, m), 6.47 (1H, s), 7.08–7.12 (3H, m), 7.15–7.30 (5H, m); 7.45–7.51 (2H, m), 8.70–8.72 (1H, d, J = 8 Hz). HRMS (ESI) m/z: Calcd for C28H23N3O2ClF4, 544.1409 [M+H]+; Found: 544.1398.
Ethyl 4-(R)-(2-chloro-4-fluorophenyl)-2-(2,4,6-trifluorophenyl)-6-methyl-1,4-dihydropyrimidine-5-carboxylate (R)-Z060228. To a solution of 5 (2.71 g, 5 mmol) in dichloromethane (50 mL) at 0 °C is added dinitrogen tetroxide (4.60 g, 50 mmol, 10 eq.). The solution is stirred under nitrogen at 0 °C for 20h and then poured over ice, and extracted with cold dichloromethane (2 × 200 mL), the organic part is concentrated in vacuum in an ice water bath to yield a yellow oil, which is dissolved in cold dry DMF (150 mL, −40 °C), and sodium ethoxide (6.8 g, 100 mmol, 20 eq.) is added. The mixture is stirred for 15 min under nitrogen atmosphere and then quenched with water (200 mL) neutralized with 4 M HCl, and extracted with ethyl acetate (150 mL × 3). The combined extracts are dried over anhydrous sodium sulfate, and concentrated at reduced pressure. The residue is purified by column chromatography on silica gel (ethyl acetate-dichloromethane 4:100) to give (R)-Z060228 (1.66 g, 78%) as a white powder.
= −92.4 (c = 1.0, CH3OH), 1H-NMR (DMSO-d6) δ: 1.02–1.05 (3H, t); 2.32 (3H, s); 3.92–3.96 (2H, m); 5.97 (1H, s); 7.21–7.45 (5H, m); 9.86 (1H, s). 13C-NMR (DMSO-d6) δ: 14.4, 17.9, 56.0, 59.6, 96.2, 101.3, 101.5, 101.8, 115.2, 116.6, 116.8, 131.2, 131.2, 132.6, 139.8, 142.0, 147.6, 160.0, 162.4, 166.1. HRMS (ESI) m/z: Calcd for C20H15N2O2F4Cl, 427.0831 [M+H]+; Found: 427.0827.
= −92.4 (c = 1.0, CH3OH), 1H-NMR (DMSO-d6) δ: 1.02–1.05 (3H, t); 2.32 (3H, s); 3.92–3.96 (2H, m); 5.97 (1H, s); 7.21–7.45 (5H, m); 9.86 (1H, s). 13C-NMR (DMSO-d6) δ: 14.4, 17.9, 56.0, 59.6, 96.2, 101.3, 101.5, 101.8, 115.2, 116.6, 116.8, 131.2, 131.2, 132.6, 139.8, 142.0, 147.6, 160.0, 162.4, 166.1. HRMS (ESI) m/z: Calcd for C20H15N2O2F4Cl, 427.0831 [M+H]+; Found: 427.0827.Ethyl 4-(R)-(2-chloro-4-fluorophenyl)-2-(thiazol-2-yl)-6-methyl-1,4-dihydropyrimidine-5-carboxylate (R)-Bay39-5493.
= −54.6 (c = 1.0, CH3OH). 1H-NMR (DMSO-d6) δ: 1.01–1.04 (3H, m); 2.50 (3H, s); 3.90–3.94 (2H, m); 5.99 (1H, s); 7.36–7.43 (3H, m); 7.90–7.91 (1H, d, J = 4 Hz); 7.97–7.98 (1H, d, J = 4 Hz); 9.96 (1H, s); HRMS (ESI) m/z: Calcd for C17H15N3O2FSCl, 380.0630 [M+H]+; Found: 380.0628.
= −54.6 (c = 1.0, CH3OH). 1H-NMR (DMSO-d6) δ: 1.01–1.04 (3H, m); 2.50 (3H, s); 3.90–3.94 (2H, m); 5.99 (1H, s); 7.36–7.43 (3H, m); 7.90–7.91 (1H, d, J = 4 Hz); 7.97–7.98 (1H, d, J = 4 Hz); 9.96 (1H, s); HRMS (ESI) m/z: Calcd for C17H15N3O2FSCl, 380.0630 [M+H]+; Found: 380.0628.4. Conclusions
In summary, a novel and efficient approach to the synthesis of enantiomerically pure HAPs is accomplished from inexpensive starting materials. Key feature of this synthesis include an introduction of another chiral group and the alcoholysis to yield the final product. The method described herein could be an attractive alternative for the synthesis of chiral HAPs.
Acknowledgments
We gratefully acknowledge financial support from the National Nature Science Foundation of China (Grant No.21172263).
Conflicts of Interest
The authors declare no conflict of interest.
References and Notes
- Janssen, H.L.; Van-Zonneveld, M.; Senturk, H.; Zeuzem, S.; Akarca, U.S.; Cakaloglu, Y.; Simon, C.; So, T.M.; Gerken, G.; de Man, R.A.; et al. Pegylated interferon alfa-2b alone or in combination with lamivudine for HBeAg-positive chronic hepatitis B: A randomised trial. Lancet 2005, 365, 123–129. [Google Scholar] [CrossRef]
- Zoulim, F.; Poynard, T.; Degos, F.; Slama, A.; El Hasnaoui, A.; Blin, P.; Mercier, F.; Deny, P.; Landais, P.; Parvaz, P.; et al. A prospective study of the evolution of lamivudine resistance mutations in patients with chronic hepatitis B treated with lamivudine. J. Viral. Hepat. 2006, 13, 278–288. [Google Scholar] [CrossRef]
- Hacker, H.J.; Deres, K.; Mildenberger, M.; Schröder, C.H. Antivirals interacting with hepatitis B virus core protein and core mutations may misdirect capsid assembly in a similar fashion. Biochem. Pharmacol. 2003, 66, 2273–2279. [Google Scholar] [CrossRef]
- Stray, S.J.; Bourne, C.R.; Punna, S.; Lewis, W.G.; Finn, M.G.; Zlotnick, A. A heteroaryldihydropyrimidine activates and can misdirect hepatitis B virus capsid assembly. Proc. Natl. Acad. Sci. USA 2005, 102, 8138–8143. [Google Scholar]
- Bourne, C.R.; Finn, M.G.; Zlotnick, A. Global Structural Changes in Hepatitis B Virus Capsids Inducedby the Assembly Effector HAP1. J. Virol. 2006, 80, 11055–11061. [Google Scholar] [CrossRef]
- Li, S.; Zhao, G.M; Xia, G.Q. Dihydropyrimidine compounds and their uses in preparation of medicaments for treating and preventing antiviral diseases. U.S. Patent 8168642 B2, 1 May 2012. [Google Scholar]
- Zhao, G.M.; Wang, X.K.; Ju, X.J.; Guan, H.; Zhong, W.; Wang, L.L.; Xiao, J.H.; Yang, X.H.; Li, S. Synthesis and Anti-HBV Activity of Novel Dihydropyrimidine Analogs. Scientia Sinica Vitae 2011, 41, 971–977. [Google Scholar] [CrossRef]
- Deres, K.; Schroder, C.H.; Paessens, A.; Goldmann, S.; Hacker, H.J.; Weber, O.; Krämer, T.; Niewöhner, U.; Pleiss, U.; Stoltefuss, J.; et al. Inhibition of hepatitis B virus replication by drug-induced depletion of nucleocapsids. Science 2003, 299, 893–896. [Google Scholar] [CrossRef]
- Goldmann, S.; Stoltefuss, J.; Niewohner, U.; Schelemmer, K.H. Dihydropyrimidines and the use thereof as medicaments for the treatment of hepatitis B. DE 10012824A1, 20 September 2001. [Google Scholar]
- Goldmann, S.; Stoltefuss, J.; Paessens, A.; Graef, E.; Lottmann, S. 2-heterocyclically substituted dihydropyrimidines. U.S. Patent 6503913B1, 7 January 2003. [Google Scholar]
- Evans, P.A.; Qin, J.; Robinson, J.E.; Bazin, B. Enantioselective total synthesis of the polycyclic guanidine-containing marine alkaloid (−)-batzelladine D. Angew. Chem. Int. Ed. 2007, 46, 7417–7419. [Google Scholar]
- Kamaljit, S.; Divya, A.; Danielle, F.; Liu, Q.X.; Moreland, R.S. An Efficacious Protocol for 4-Substituted 3,4-Dihydropyrimidinones: Synthesis and Calcium Channel Binding Studies. Eur. J. Org. Chem. 2009, 19, 3258–3264. [Google Scholar]
- Siegfried, G.; Jiirgen, S. 1,4-Dihydropyridines: Effects of Chirality and Conformation on the Calcium Antagonist and Calcium Agonist Activities. Angew. Chem. Inr. Ed. Engl. 1991, 30, 1559–1578. [Google Scholar]
- Hudlicky, T.; Gillman, G.; Andersen, Catherine. Homochiral amine synthesis by baker's yeast resolution of a β-keto amide: 1-Phenylethylamine. Tetrahedron Asymmetry 1992, 3, 281–286. [Google Scholar]
- Slee, H.D.; Chen, Y.; Zhang, X. 2-Amino-N-pyrimidin-4-ylacetamides as A2A receptor antagonists: 1. Structure-activity relationships and optimization of heterocyclic substituents. J. Med. Chem. 2008, 51, 1719–1729. [Google Scholar]
- Judkins, B.D.; Allen, D.G.; Cook, T.A. A Versatile Synthesis of Amidines from Nitriles Via Amidoximes. Synth. Commun. 1996, 26, 4351–4367. [Google Scholar]
- Zhu, X.J.; Zhao, G.M.; Li, S. 2,4-Diaryl-4,6,7,8-tetrahydroquinazolin-5(1 H)-one derivatives as anti-HBV agents targeting at capsid assembly. Med. Chem. Lett. 2010, 20, 299–301. [Google Scholar]
- Evans, D.A.; Carter, P.H.; Dinsmore, C.J.; James, C.B.; Jeffrey, L.K.; Daniel, W.K. Mild nitrosation and hydrolysis of polyfunctional amides. Tetrahedron Lett. 1997, 38, 4535–4538. [Google Scholar]
- Julio, C.; Albino, C.; Ramon Leis, J.; Manuel, M.; Pena, M.E. Kinetic Studies on the Formation of N-Nitroso Compounds X. The Nitrosation of N-Methylacetamide and Its Differences with Respect to the Nitrosation of Amines. Monatshefte für Chemie 1984, 115, 1047–1057. [Google Scholar]
- Nasser, I.; Habib, F.; AliReza, P. Dinitrogen Tetroxide – ImpregnatedCharcoal (N2O4/Charcoal): Selective Nitrosation of Amines, Amides,Ureas, and Thiols. Synth. Commun. 2005, 35, 1517–1526. [Google Scholar]
- Hoang-V, L.; Li, J.F.; Bruce, G. A practical and inexpensive ‘convertible’ isonitrilefor use in multicomponent reactions. Tetrahedron Lett. 2011, 52, 2209–2211. [Google Scholar]
- Fujita, D.; Suzuki, K.; Sato, S.; Maho, Y.U.; Kurimoto, E.; Yamaguchi, Y.; Kato, K.; Fujita, M. Synthesis of a Bridging Ligand with a Non-denatured Protein Pendant: Toward Protein Encapsulation in a Coordination Cage. Chem. Lett. 2012, 3, 313–315. [Google Scholar]
- Monika, C.; Alexis, B.; Caroline, W.; Martial, T.; Jérôme, B.; Caroline, W.; Krzystof, L.; Isabelle, G. P–C Cross-Coupling Onto Enamides: Versatile Synthesis of α-Enamido Phosphane Derivatives. Eur. J. Org. Chem. 2012, 6, 1101–1106. [Google Scholar]
- Daniel-S, L.; Anupong, T.; Ramajeyam, S.; Taylor, M.T.; Fox, J.M.; Ting, A.Y. Diels-Alder cycloaddition for fluorophore targeting to specific proteins inside living cells. J. Am. Chem. Soc. 2012, 134, 792–795. [Google Scholar]
- Bisset, A.; Desmond, L.; Clarkson, J.; Dishington, A.; Jones, T.; Clarkson, G.J.; Ikariya, T.; Wills, M. Synthesis and asymmetric hydrogenation of (3E)-1-benzyl-3-[(2-oxopyridin-1(2H)-yl)methylidene]piperidine-2,6-dione. Chem. Comm. 2012, 48, 11978–11980. [Google Scholar]
- Yang, X.Y.; Zhao, G.M.; Yang, S.Y. Synthesis and Crystal Structure of (R)-1-acetyl-6-(2-chloro-4-fluorophenyl)-4-methyl-N-((R)-1-phenylethyl)-2-(2,4,6-trifluorophenyl)-1,6-dihydropyr-imidine-5-carboxamide. Chin. J. Struct. Chem. 2013, 32, 989–992. [Google Scholar]
- Weber, O.; Schlemmer, K.-H.; Hartmann, E.; Hagelschuer, I.; Paessens, A.; Graef, E.; Deres, K.; Goldmann, S.; Niewoehner, U.; Stoltefuss, J.; et al. Inhibition of human hepatitis B virus (HBV) by a novel non-nucleosidic compound in a transgenic mouse model. Antiviral Res. 2002, 54, 69–78. [Google Scholar]
- CCDC 908381 contains the supplementary crystallographic data for this paper. These data can be obtained free of charge from The Cambridge Crystallographic Data Centre via www.ccdc.cam.ac.uk/data_request/cif
- Sample Availability: Samples of the compound (R)-Z060228 are available from the authors.
© 2013 by the authors; licensee MDPI, Basel, Switzerland. This article is an open access article distributed under the terms and conditions of the Creative Commons Attribution license (http://creativecommons.org/licenses/by/3.0/).