Abstract
Spironucleosides are a type of conformationally restricted nucleoside analogs in which the anomeric carbon belongs simultaneously to the sugar moiety and to the base unit. This locks the nucleic base in a specific orientation around the N-glycosidic bond, imposing restrictions on the flexibility of the sugar moiety. Anomeric spiro-functionalized nucleosides have gained considerable importance with the discovery of hydantocidin, a natural spironucleoside isolated from fermentation broths of Streptomyces hygroscopicus which exhibits potent herbicidal activity. The biological activity of hydantocidin has prompted considerable synthetic interest in this nucleoside and also in a variety of analogues, since important pharmaceutical leads can be found among modified nucleoside analogues. We present here an overview of the most important advances in the synthesis of spironucleosides.
1. Introduction
The study of the chemistry and biochemistry of nucleosides has been a fundamental research field since the crucial role of nucleic acids in cells was established in the 1950s. It was then when the role of nucleic acids as constituents of the macromolecules that convey genetic information in living cells was established. As the metabolic processes involving nucleic acids became understood, the interest in analogues nucleosides grew. In this regard, nucleoside analogues has been a subject of great interest in the development of novel drugs owing to the fact that they can be involved in the disruption of nucleic acid biosynthesis and thus inhibit a series of crucial biological processes, such as cellular division and viral replication [1]. Using this concept, several nucleoside analogues designed to interact with DNA (RNA) and to inhibit enzymes utilizing them possess antiviral, antimetabolic, and antibacterial properties and are currently in use in clinical fields [2,3,4,5,6,7,8,9,10,11].
The extensive search for clinically useful nucleoside derivatives has resulted in a plethora of bioactive modified nucleosides. Taking into account that in many occasions there is a close correlation between reduced conformational flexibility and a potent interaction with biomacromolecules, the modifications include the preparation of conformationally restricted nucleosides. These nucleoside analogues can show a dramatic improvement in enzymatic recognition, as well as enhancing base stacking and backbone pre-organization [12]. Conformational restriction of the furanose ring of nucleosides, nucleotides and oligonucleotides has been intensively pursued in recent years, stimulated by the potential application of these molecules as therapeutic agents [13,14,15,16]. Among those, spiro-functionalized nucleosides have recently gained more interest.
Spironucleosides are a family of conformationally restricted nucleosides in which the anomeric carbon belongs simultaneously to a pyranoid or furanoid sugar ring and to an aza-heterocyclic moiety [17]. This fixes the nucleotide base in a specific orientation around the N-glycosidic bond, thus altering the flexibility of the sugar moiety. Anomeric spirocyclic nucleosides gained considerable interest with the discovery of (+)-hydantocidin, a natural spironucleoside isolated from fermentation broths of Streptomyces hygroscopicus SANK 63584 [18,19], Tu-2474 [20] and A1491 [21]. Hydantocidin exhibits potent herbicidal and plant growth regulatory activity with high selective toxicity between plants and animals [22] Biochemical studies have shown that hydantocidin is a proherbicide which is phosphorylated at the 5′ position in vivo and inhibits adenylosuccinate synthetase (AdSS) [23], an enzyme that plays an important role in the de novo purine synthesis in plants [24]. These observations have understandably stimulated considerable interest, not only in the synthesis of (+)-hydantocidin itself, but also in a variety of its analogues, with the notion that important pharmaceutical leads can be found among modified nucleoside analogues. A number of anomeric spirocyclic nucleosides have subsequently appeared in the literature being hydantoines or diketopiperazines analogues, but also, barbiturates and more diverse spiroheterocyclic subunits.
This extensive research on the synthesis and biology of hydantocidin analogues was awarded with the discovery of a glucopyranose spirohydantoin which is the most active inhibitor of glycogen phosphorylase (GP) known to date, with a Ki value of 3.1 µM [25]. Glycogen phosphorylase is a key enzyme in the regulation of muscle and hepatic glycogen metabolism, and catalyzes the first step in the intracellular degradation of glycogen [26,27,28,29]. Inhibition of glycogen phosphorylase is believed to assist in shifting the equilibrium between glycogen degradation and glycogen synthesis in favor of the latter in both muscle and liver [30,31,32,33]. Therefore, GP inhibitors may be clinically useful for the treatment of diabetes mellitus, especially the non-insulin dependent diabetes mellitus (NIDDM or type II diabetes) [34,35].
Most of the synthetic strategies for spironucleosides revolve around the use of carbohydrate derivatives to generate the desired stereochemistry in the sugar ring. However, a very diverse range of strategies are available for the synthesis of the characteristic spirocyclic base. Unfortunately, to the best of our knowledge, the literature suffers from the lack of an exhaustive review on the preparation of spironucleosides. Our main aim in this review is to draw together all of the synthetic information on spironucleosides in a form which is easily consulted The coverage is primarily from the point of view of organic chemists, so our intention is to describe in detail those strategies that have been employed to synthetize spiroonucleosides.
2. Synthesis of Hydantoins
2.1. (+)-Hydantocidin
The most representative member of the hydantoins family is (+)-hydantocidin (1, Figure 1), a natural spironucleoside displaying potent herbicidal activity with high selective toxicity between plants and animals.
Figure 1.
Natural spironucleoside (+)-hydantocidin (1).
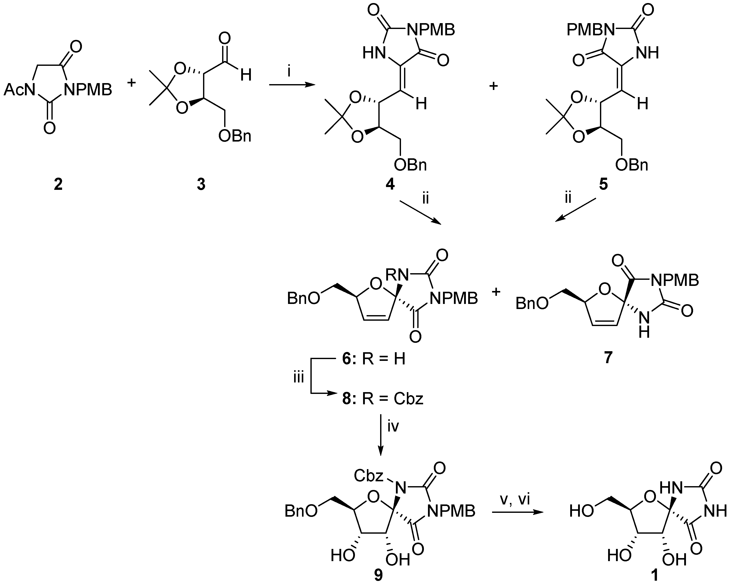
This interesting biological profile prompted many research groups to investigate the synthesis of hydantocidin (1). The first total synthesis of 1, proposed by Mio and co-workers in 1991, included as key step the condensation of a tetrose and a hydantoin ring [36]. Starting from 4-O-benzyl-2,3-isopropylidene-d-threose (3), aldol condensation with l-N-acetyl-3-N-(4-methoxybenzyl)hydantoin (2) in the presence of potassium tert-butoxide afforded a mixture of (Z)-isomer 4 and (E)-isomer 5 (Scheme 1). Treatment of both isomers 4 and 5 under transketalization conditions led to the mixture of cyclized products 6 and 7, which were separated by column chromatography. Introduction of a benzyloxycarbonyl group at the amide-NH group of 6, followed by diastereoselective dihydroxylation of the olefin on the β-face and removal of the protecting groups, finally gave desired (+)-hydantocidin (1).
Scheme 1.
Mio et al. total synthesis of (+)-hydantocidin (1). Reagents and conditions: (i) t-BuOK, dioxane, r.t., 4 h, 71% of 4 and 14% of 5; (ii) p-TsOH-H2O, MS 4Å, reflux, 2 h, 82%, 6/7 63:37; (iii) CbzCl, t-BuOK, THF, r.t.; (iv) OsO4, N-methylmorpholine-N-oxide, acetone/H2O, r.t., 24 h, 48%; (v) CAN, CH3CN/H2O, r.t., 20 min, 94%; (vi) H2/Pd-C (5%), CH3OH, 55 °C, 6 h.
Because of the need for laborious chromatography, this methodology is inconvenient for the large-scale synthesis of (+)-hydantocidin. Mio and co-workers subsequently developed a new synthetic method overcoming these problems [37]. The procedure (Scheme 2) involves the N-glycosidation of a d-psicofuranose derivative prior to the formation of the hydantoin ring. Thus, treatment of psicofuranose derivative 10 [38] with azidotrimethylsilane in the presence of catalytic amounts of trimethylsilyltriflate, afforded the desired azide 11. Oxidation of the primary hydroxyl group to the corresponding carboxylic acid, followed by coupling with ammonia, afforded amide 12. Reaction of 12 with tributylphosphine in acetonitrile yielded the corresponding spiro-hydantoin, which was immediately acetylated in order to avoid epimerization at the spiro-center to afford 13. Removal of the protecting groups finally gave desired hydantocidin (1).
Scheme 2.
Improved Mio et al. synthesis of (+)-hydantocidin (1). Reagents and conditions: (i) TMSN3, TMSOTf, CH3CN, r.t.; (ii) (COCl)2, DMSO, Et3N, CH2Cl2. r.t., 96%; (iii) 1. NaClO2, NaH2PO4, 2-methylbutene, t-BuOH/H2O, r.t.; 2. ClCO2Et, Et3N, CH2Cl2, 0 °C then NH3, 72%; (iv) PBu3, CO2 gas, CH3CN, r.t., 5 h then Ac2O, DMAP, r.t., 90%; (v) DOWEX 50 (H+), MeOH/H2O, r.t., 92%; (vi) 1. NH2NH2, MeOH, r.t.; 2. H2, Pd/C, MeOH, 55 °C, 30 min, 88%.
Since the isomer bearing the nitrogen in the α-anomeric position is thermodynamically more stable than the desired β-isomer, the main challenge in the synthesis of hydantocidin is the control of the anomeric configuration. In an attempt to overcome this limitation, Chemla described an alternative synthesis of hydantocidin from protected psicofuranose 15 using as key step an oxygen-bridged intramolecular Vorbrüggen coupling of an intermediate N-hydroxyurea [39]. Initially, 15 was converted into the p-methoxybenzylurea 16, which on treatment with a catalytic amount of trimethylsilyltriflate led to the isoxazolidine 17 (Scheme 3).
Scheme 3.
Chemla et al. synthesis of (+)-hydantocidin (1). Reagents and conditions: (i) 1. N-hydroxy-phtalimide, PPh3, DEAD, THF, r.t.; 2. NH2NH2·H2O, EtOH, reflux, 82%; (ii) PMB-N=C=O, CH3CN, r.t., 92%; (iii) TMSOTf, CH3CN, 0 °C to r.t., 97%; (iv) Na2CrO7, H2SO4, acetone, r.t., 70%; (v) CAN, CH3CN/H2O, 100%; (vi) Mo(CO)6, CH3CN/H2O, 70%; (vii) CF3COOH/H2O (1:3), 0 °C, 100%.
After oxidation of the free hydroxy group in 17 to the corresponding carboxylic acid and removal of the PMB protecting group, subsequent cyclization to the tricyclic isoxazolidine hydantocidin 18, followed acidic hydrolysis finally afforded desired (+)-hydantocidin (1).
In spite of the considerable synthetic work focused to the synthesis of hydantocidin, the problem of accessing multigram quantities remained unresolved. In 2002, Shiozaki reported a synthesis of hydantocidin from dichloroolefin 20, easily available from protected d-ribonolactone 19 (Scheme 4) [40]. Oxidation of 20 with MCPBA afforded a 4:1 anomeric mixture of chlorosugars 21 and 22. Conversion of 21 to urea 24 was easily accomplished via azide 23. Finally, formation of the hydantoin ring, followed by hydrogenolysis and acidic hydrolysis yielded hyantocidin (1).
Scheme 4.
Shiozaki et al. route to (+)-hydantocidin (1). Reagents and conditions: (i) CBrCl3, (Me2N)3P, CH2Cl2, −78 °C to r.t., 16 h, 86%; (ii) m-CPBA, MeOH, CH2Cl2, r.t., 16 h, 54% (21) and 14% (22); (iii) NaN3, DMF, 24 °C, 16 h, 95%; (iv) 1. PPh3, THF, 24 °C, 2 h; 2. PMBNCO, THF, 24 °C, 16 h, two steps 90%; (v) 1. 1:20 aq 1 M HCl–THF, r.t., 15 min, quant. 2. CAN, 2:1 MeCN/water, r.t., 20 min, 97%; (vi) 0.2 M NH3 in MeOH, 27 °C, 4 h, 99%; (vii) 1. H2, Pd/C, EtOAc, 24 °C, 30 min; 2. 1:3 TFA/H2O, 0 °C, 2 h, quant.
2.2. Modifications of Hydantocidin in the Sugar Ring
In order to elucidate the role of the sugar part of the hydantocidin molecule in the herbicidal activity, several hydantocidin diastereomers, deoxy derivatives, pyranose analogues and carbocyclic derivatives were synthesized.
2.2.1. Furanoses
The basic structure of this spironucleoside is comprised by a spiro-hydantoin ring at the anomeric carbon of a d-ribofuranose. That is a total of four stereocenters, which could play a fundamental role in the processes of recognition of the molecule at the active site of herbicidal action in the plant. All hydantocidin stereoisomers have been synthetized; however, sometimes the different isomers are prepared following the same synthetic sequence just varying the starting material. To avoid repetition, only the syntheses of several representative examples hydantocidin isomers are herein described (Figure 2).
Figure 2.
Examples of stereoisomers of hydantocidin.
Once accomplished the synthesis of the natural product itself, Mio and co-workers reported the preparation of all the stereoisomers of hydantocidin [41]. For example, starting from the substituted hydantoin 35 an aldol condensation with tetrose l-36 afforded condensate 37 as a mixture of four diastereomers (Scheme 5).
Scheme 5.
Mio and co-workers’ preparation of the diastereoisomers of (+)-hydantocidin (1). Reagents and conditions: (i) LiN(TMS)2, THF, −20 °C, 2 h, 76%; (ii) t-BuOK, MeOCOCl, THF, 0 °C, 30 min; (iii) aq K2CO3, MeOH, r.t., 1.5 h; (iv) p-TsOH, ethylene glycol, dichloroethane, 60 °C, from 37a: 71% of 38 and 14% of 39; from 37c: 74% of 38 and 15% of 39; (v) 1. TBAF, THF, 0 °C, 15 min, 78–85%; 2. CAN, 2:1 MeCN/water, r.t., 20 min, 78–86%; 3. H2, Pd/C, EtOAc, 24 °C, 30 min, 61–81%.
After chromatographic separation, isomers 37a and 37c were transformed into the same pair of two cyclized isomers 38 and 39, which after removal of the protecting groups provided isomers 25 and 26. Similarly, isomers 37b and 37d provided the other two isomers of the l-series, compounds 27 and 28. In addition, when the same sequence of reactions was applied to aldehyde d-36, the four isomers of the d-series were obtained.
Based on the diastereoselective dihydroxylation of spiro-2,5-dihydrofuran systems, Mio and co-workers also reported a general synthetic route for the diastereoisomers of the series of d-sugars [42]. In this methodology, the selectivity is controlled by the choice of substituents at N-6 position (H or Cbz). Thus, catalytic osmium tetroxide oxidation of spiro-2,5-dihydrofurane 7 afforded a single isomer 41, while oxidation of the N-benzyloxycarbonyl protected derivative 40 gave isomer 42 (Scheme 6). The cis-isomers 41 and 42 were then easily converted to hydantocidin stereoisomers 29 and 33.
Scheme 6.
Mio et al. general synthetic route to the d-sugar diastereoisomer series. Reagents and conditions: (i) OsO4, N-methylmorpholine-N-oxide, acetone/H2O, r.t., 6 h, 76%; (ii) OsO4, N-methylmorpholine-N-oxide, acetone/H2O, 35 °C, 67 h, 53%; (iii) 1. CAN, 2:1 MeCN/H2O, r.t., 15 min, 50%; 2. H2, Pd/C, EtOAc, 55 °C, 6 h, 66%.
For the synthesis of the trans isomers, the strategy involves the opening of the corresponding 3,4-epoxides in an acidic medium (Scheme 7). Epoxidation of 7 with m-chloroperbenzoic acid, followed by acidic ring-opening gave dihydroxy compounds 43 and 44, as the rather drastic acidic conditions used for the epoxide opening resulted in the epimerization at the anomeric position. Interestingly, the ring opening occurred selectively on the C-3 position, although the factor involved in this regioselectivity are unknown. Removal of the protecting groups finally afforded the desired trans isomers 31 and 32.
Scheme 7.
Mio et al. synthesis of the trans isomers. Reagents and conditions: (i) m-CPBA, dichloroethane, reflux, 4 h, 41%; (ii) 50% aq. H2SO4, DME, 50 °C, 7 h, 17% of 43 and 30% of 44; (iii) 1. CAN, MeCN/H2O (2:1), r.t.; 2. H2, Pd/C, EtOAc, 55 °C, 21% of 31 and 27% of 32.
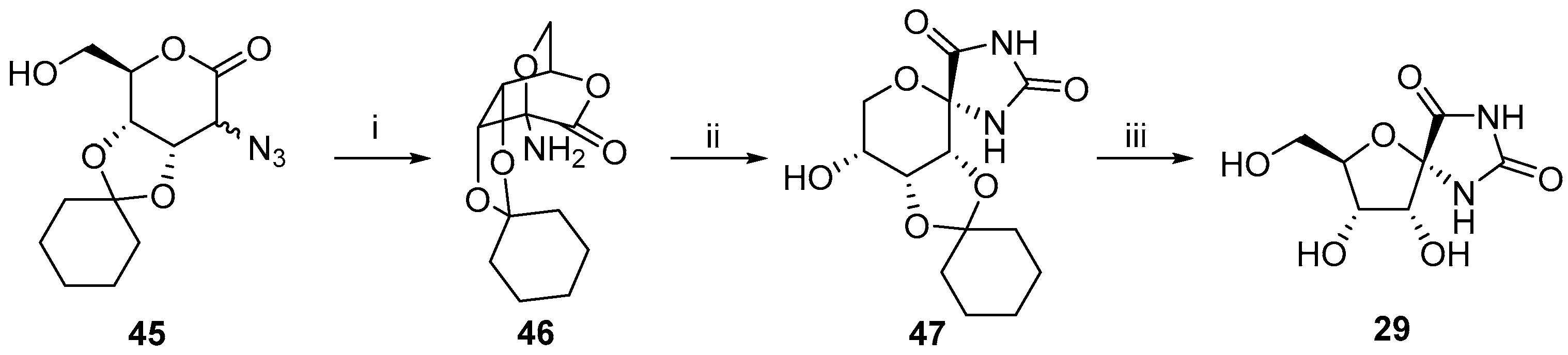
Fleet et al. reported a short synthesis of 5-epi-hydantocidin 29 from a d-ribose-derived azidolactone [43]. Oxidation of azidonolactone 45 [44] with tetra-n-propylammonium perruthenate (TPAP) in the presence of morpholine-N-oxide gave a single product 46 (Scheme 8).
Scheme 8.
Fleet et al. short synthesis of 5-epi-hydantocidin (29). Reagents and conditions: (i) TPAP, morpholine-N-oxide, MeCN, r.t., 1 h, 60%; (ii) KOCN, AcOH, 60 °C, 1.5 h, 76%; (iii) 1. tert-BuOK, THF, r.t. 10 min, 61%; 2. aq. CF3COOH, r.t., 2 h, 98%.
Treatment of 46 with potassium cyanate in acetic acid afforded the corresponding urea, which on reaction with potassium tert-butoxide and acidic hydrolysis gave epihydantocidin 29.
In order to gain further insight into the role of the hydroxyl groups in the structure-herbicidal activity, a number of deoxy-derivatives of hydantocidin were also prepared (Figure 3).
Figure 3.
Deoxy analogues of hydantocidin.
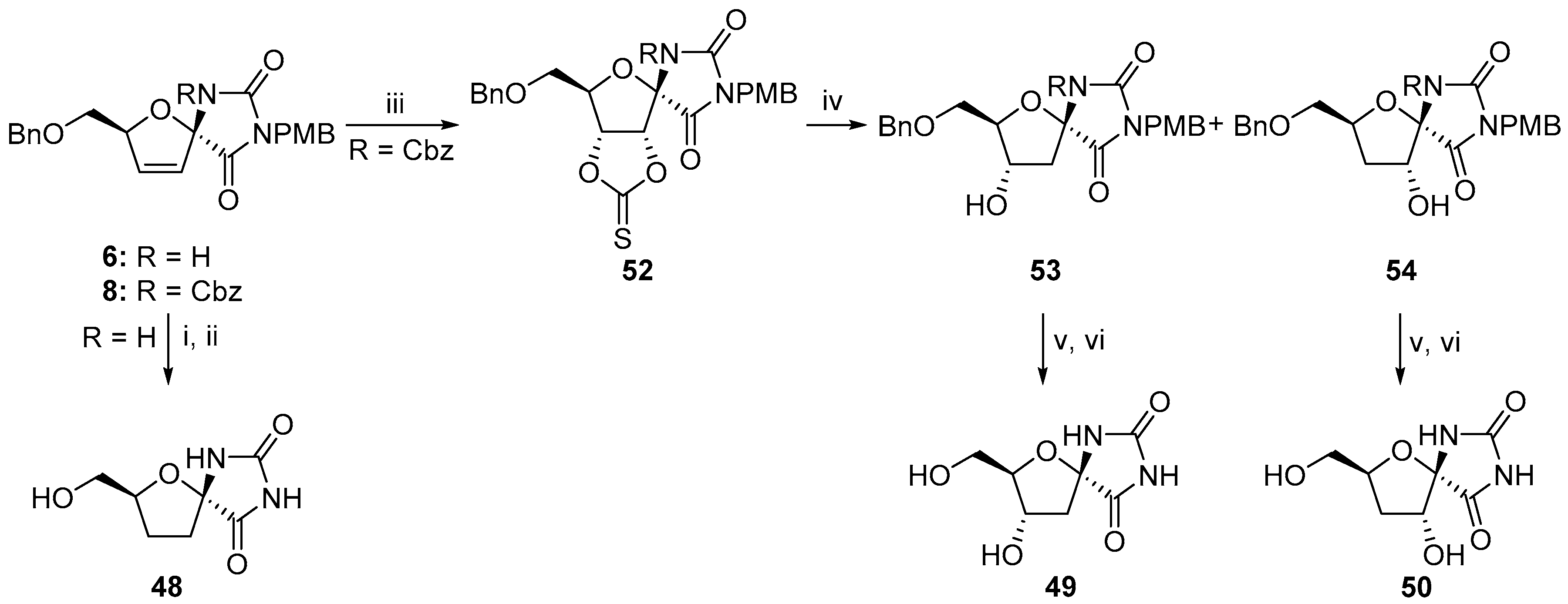
Starting from spiro-hydantoin derivative 6, deprotection of the p-methoxybenzyl group followed by hydrogenation afforded dideoxy derivative 48 (Scheme 9) [45]. Mono-deoxyisomers 49 and 50 were synthesized from common intermediate 52, which was derived from 8 via thiocarbonylation, radical reduction and deprotection.
Scheme 9.
Synthesis of monodeoxyisomers 49 and 50. Reagents and conditions: (i) CAN, 2:1 MeCN/water, r.t., 7 min, 86%; (ii) H2, Pd/C, EtOAc, 55 °C, 5 h, 65%; (iii) (imd)2CS, toluene, 100 °C, 1 h, 69%; (iv) 1. n-Bu3SnH, AIBN, toluene, r.t., 39% of 53 and 30% of 54; (v) CAN, MeCN/H2O (2:1), r.t.; (vi) H2, Pd/C, EtOAc, 55 °C, 75% of 49 and 80% of 50.
For the synthesis of deoxy-hydantocin 51, compound 55 was chosen as starting material (Scheme 10). Debenzylation and iodination of the resulting hydroxy derivative yielded iodo-hydantocidin 56. Removal of the iodine under radical conditions, followed by acidic hydrolysis of the isopropylidene protecting group finally afforded deoxy-hydantocidin 51.
Scheme 10.
Synthesis of deoxyhydantocin 51. Reagents and conditions: (i) H2, Pd/C, EtOAc, 55 °C, 78%; (ii) (PhO)3P+I−, DMF, r.t., 2 h, 90%; (iii) n-Bu3SnH, AIBN, toluene, r.t., 85%; (iv) 1. Dowex 50W (H+), MeOH/H2O, 70 °C, 1 h, 85%; 2. NH2NH2, MeOH, r.t., 30 min, 70%.
Even though the mode of herbicidal action of hydantocidin remained elusive at that time, Fleet and co-workers surmised that spirohydantoins of other sugars could also possess other interesting biological properties, so they initiated extensive investigations targeting diverse hydantoins of pentoses other than ribose and hexoses (Figure 4).
Figure 4.
Hydantoins of pentoses and hexoses.
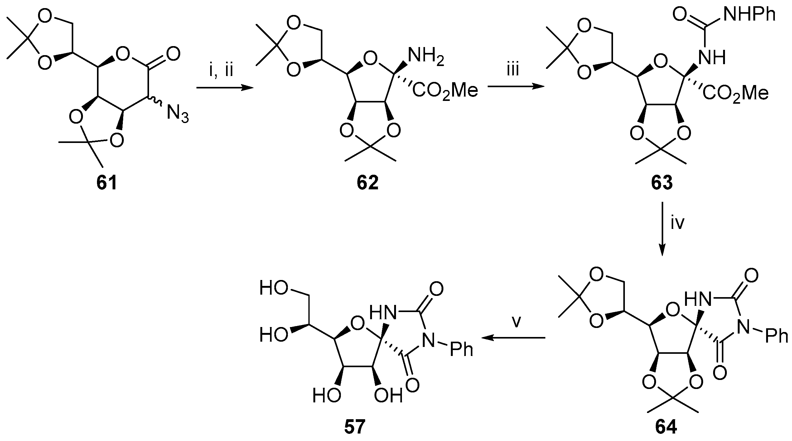
For example, Fleet’s group reported the first example of hexose-derived hydantoins, in a synthetic sequence using as key step an oxidative ring contraction of an α-amino-δ-lactone [46]. Hydrogenation of the azidolactone 61 gave the corresponding amine, which on oxidation with bromine in methanol in the presence of sodium acetate, followed by addition of triethylamine gave the amine ester 62 as the major product (Scheme 11). Reaction of 62 with phenyl isocyanate afforded the urea 63, which on standing in methanol, spontaneously cyclised to the fully protected hydantoin 64. Acidic hydrolysis of 64 gave the unprotected phenylhydantoin 57.
Scheme 11.
Hexose-derived hydantoin synthesis. Reagents and conditions: (i) H2, Pd black, EtOAc, r.t., 60%; (ii) Br2, NaOAc, MeOH then Et3N (iii) PhNCO, THF, r.t.; (iv) MeOH; (v) 1. 80% aq. AcOH, r.t. 2. 40% aq. CF3CO2H, r.t., 96%.
For the synthesis of glucose-derived hydantoins, readily available glucoheptonolactone was used as starting material [47]. Ring contraction of glucoheptonolactone derivative 65, followed by protection of the diol with tert-butyldimethylsilyl chloride, afforded the tetrahydrofuran 66 (Scheme 12).
Scheme 12.
Glucose-derived hydantoin synthesis. Reagents and conditions: (i) 1. (CF3SO2)2O, Py, CH2Cl2, 77%; 2. H+, Me2CO, r.t., 80%; 3. Me2tBuSiCl, imidazole, DMF, 65 °C, 80%; (ii) 1. NBS, (PhCOO)2, CCl4, 80 °C; 2. NaN3, DMF, r.t., 37% and 34%; 3. H2, Pd, MeOH, r.t.; 4. PhNCO, THF, r.t., 36% of 67 and 63% of 68; (iii) 1. tert-BuOK, DMF, 88% and 78%; 2. CF3COOH, dioxane, H2O, 73% of 58 and 75% of 59.
Radical bromination and subsequent reaction of the resulting bromides with sodium azide gave, after hydrogenation and reaction with phenyl isocyanate, ureas 67 and 68. Potassium tert-butoxide-promoted cyclisation, followed by acidic hydrolysis, finally gave anomeric spirohydantoins 58 and 59.
As yet another contribution of Fleet’s group to the chemistry of sugar hydantoins, in 2006 these researchers reported the synthesis of lyxofuranose analogues of hydantocidin [48]. l-Fucose-derived triflate 69 [49] was transformed into inseparable mixture of epimeric azidoesters 72 (Scheme 13). From this mixture, lyxofuranose hydantoin 60 was obtained using the methodology established in the group for the construction of a spirohydantoin ring (formation and subsequent cyclization of an intermediate urea).
Scheme 13.
Fleet et al. synthesis of epimeric azidoesters. Reagents and conditions: (i) CF3COONa, DMF; (ii) Tf2O, pyridine, −30 °C, 84%; (iii) 1. 3% HCl in MeOH; 2. 2,2-dimethoxypropane, CSA, acetone, 97%; (iv) 1. NBS, CCl4, (PhCOO)2; 2. NaN3, DMF, r.t., 74%; (v) 1. H2, Pd/C, MeOH, 70%; 2. KOCN, AcOH, 74%; 3. 50% aq TFA, 94%.
2.2.2. Pyranoses
As stated in the introduction, Fleet and co-workers discovered a glucopyranose spirohydantoin which is the most active inhibitor of glycogen phosphorylase (GP) and therefore may be clinically useful for the treatment of diabetes mellitus. Inspired by the biological relevance of the glucopyranose hydantocidin, several pyranose analogues of hydantocidin were synthetized (Figure 5).
Figure 5.
Pyranose derivatives of hydantocidin.
Before pyranose analogues of hydantocidin were described, molecular modelling studies made a firm prediction that a glucopyranose analogue of hydantocidin would bind to and might strongly inhibit, glycogen phosphorylase. In order to confirm this hypothesis, Fleet and co-workers tackled the synthesis of the spirohydantoins of glucopyranose from the methyl ester 77 [50]. Treatment of 77 [51] with lithium bis(trimethylsilyl)amide and carbon tetrabromide gave an intermediate bromide, which was transformed into the ureas 79 and 80 via intermediate amines 78 (Scheme 14). Unlike in the case of the ribofuranosyl hydantoins, once the nitrogen of the quaternary anomeric centre has been acylated, there is no longer a kinetically easy pathway for the equilibration of the anomers to take place and 79 and 80 were separated by flash chromatography. Reaction of 79 with potassium tert-butoxide afforded, after removal of the protecting groups, glucopyranosyl hydantoin 73. Following the same synthetic sequence, hydantoin 74 was obtained from 80. As predicted by the molecular modeling studies, the spirohydantoin 73 is a potent inhibitor of glycogen phosphorylase, while 74 have a poor activity.
Scheme 14.
Glucopyranose hydantoin synthesis. Reagents and conditions: (i) 1. (Me3Si)2NLi then CBr4, −0 °C; 2. NaN3, DMF, r.t., 66%; 3. H2, Pd black, MeCOOEt, r.t., 86%; (ii) KNCO, MeCOOH, 29% of 79 and 29% of 80 (iii) 1. tert-BuOK, THF; 2. H2, Pd black, EtOH, HCl, 81% of 73 and 73% of 74.
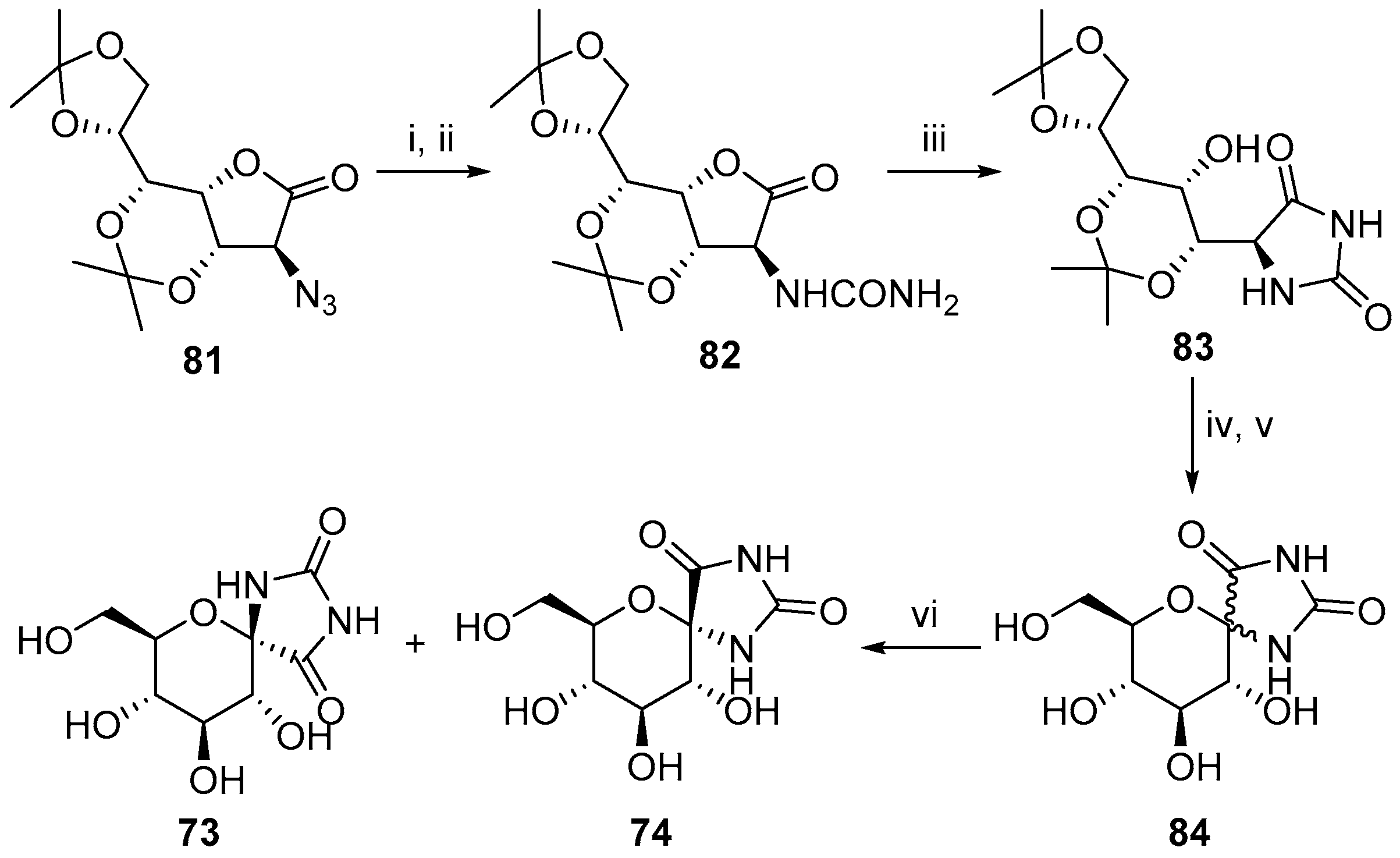
This original synthesis of glucopyranosyl hydantoin 73 was lengthy and required a separation step, so was disadvantageous for a multi-gram preparation of the active compound. In view that furan isomers are thermodynamically more stable than their pyranose counterparts, all the attempts to isomerize spirofuran hydantoins to the pyranose isomers were abandoned. In turn, Fleet and co-workers reported yet another procedure for the synthesis of both anomeric glycopyranose hydantoins, this time from the cheap and readily available glucoheptonolactone [52]. (Scheme 15).
Scheme 15.
Reagents and conditions: (i) H2, Pd/C, THF, r.t., 100%; (ii) KOCN, AcOH, 20 min, r.t., 45%; (iii) AcOH, 1 h, 80 °C, 79%; (iv) AcOH/H2O (4:1), 1 h, 55 °C, 87%; (v) Br2, AcONa, MeOH; (vi) 1. PhCH(OMe)2, TsOH, DMF; 2. AcOH/H2O (4:1), 20 min, 75 °C; 3. Chromatographic separation; 4. H2, Pd black, MeOH, 19% of 73, 9% of 74.
Starting from azide 81, available on large scale from glucoheptonolactone, hydrogenation followed by treatment of the resulting amine with potassium cyanate in acetic acid, gave the urea 82. After acidic hydrolysis to the open chain derivative 83, bromine oxidation afforded the epimeric mixture of hydantoins 84. Since it was not possible to separate the isomers directly, the anomeric mixture was converted to the corresponding benzylidene acetals, which were then separated by column chromatography and deprotected to finally yield both anomeric hydantoins 73 and 74.
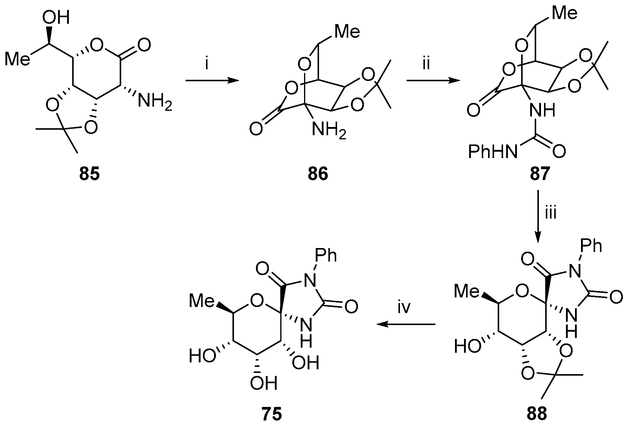
On account of the biological activity of spirohydantoin of glucopyranose 73 as a specific inhibitor of the glucosyl transferase glycogen phosphorylase, it was reasonable to assume that rhamnose hydantoins may interact with the active site of some rhamnose processing enzymes. Fleet and co-workers reported a route towards l-rhamnose hydantoins which includes as key step an ionic brominative oxidation of rhamnose derivative 85 [53] to bicyclic intermediate 86, with both a nitrogen and a carbonyl function at the anomeric position (Scheme 16) [54]. Reaction of 86 with phenyl isocyanate and pyridine afforded the phenyl urea 87, which spontaneously cyclised on refluxing methanol to afford the protected hydantoin 88. Acidic hydrolysis finally gave the rhamnopyranose analogue of hydantocidin 75.
Scheme 16.
Reagents and conditions: (i) NBS, NaOAc, MeCN, r.t., 79%; (ii) PhNCO, pyridine, THF, r.t, 85%; (iii) MeOH, reflux, 76%; (iv) 50% aq. CF3COOH, r.t., 76%.
In their continuous search for highly specific binding to enzymes or receptors involving carbohydrates, Fleet and co-workers also described the synthesis of a galactopyranose analogue of hydantocidin [55] (Scheme 17).
Scheme 17.
Reagents and conditions: (i) 1. MeOH, HCl; 2. Acetone, CSA, 60%; (ii) TBDMSOTf, NEt3, 100%; (iii) 1. NBS, (PhCO)2O, CCl4; 2. NaN3, DMF, 65%; (iv) 1. H2, Pd, MeOH; 2. KNCO, MeCOOH, 60%; (v) 1. KOtBu, THF; 2. dioxane/H2O/CF3COOH (1:1:1), 86%.
Starting from protected nitrile 89 [56], reaction with methanolic hydrogen chloride followed by isopropylidenation of the cis-1,2-diol and protection of the remaining hydroxy groups as tert-butyldimethylsilyl ethers afforded ester 90. After radical bromination, intermediate bromide was transformed into urea 92, which on tert-butoxide-induced cyclization and acidic hydrolysis afforded the desired galactopyranose analogue of hydantocidin 76.
2.2.3. Carbocycles
Since (+)-hydantocidin possess a N,O-hemiacetal functionality at the anomeric position, it could be easily isomerized to the more thermodynamically stable 5-epimer. In order to avoid epimerization, a series of carbocyclic analogues were synthetized (Figure 6).
Figure 6.
Carbocyclic analogues of hydantocidin.
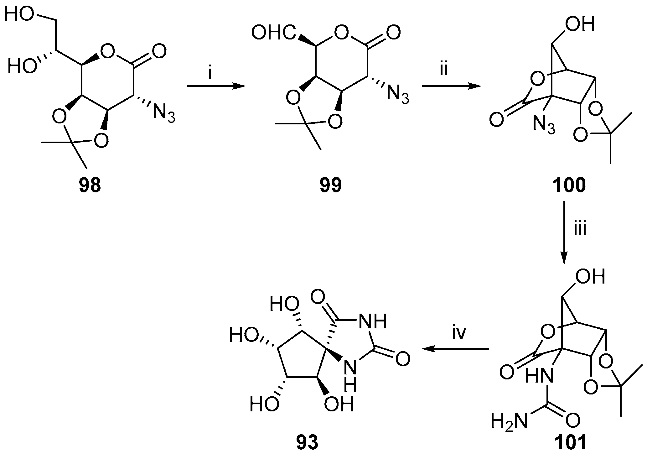
The first synthesis of a carbocyclic hydantoin was reported by Fleet et al. in 1993 [57]. Intramolecular aldol reaction of aldehyde 99, prepared from readily available azidodiol 98 [58], afforded bicyclic azidolactone 100 (Scheme 18). This lactone was converted into hydantoin 93 via the corresponding urea 101.
Scheme 18.
Reagents and conditions: (i) HIO4, THF, r.t., quant; (ii) KF, 18-crown-6, CH3CN, −6 °C, 58%; (iii) 1. H2, Pd black, aq. EtOH, r.t., 83%; 2. KOCN, AcOH, r.t., 90%; (vi) HCl, MeOH, r.t., quant.
The same researchers described the synthesis of a cyclohexane analogue of hydantocidin [59]. Thus, treatment of the azidosulphate 102 [60] with sodium hydride induced intramolecular cyclisation to azidolactone 103 (Scheme 19). From lactone 103, the cyclohexane analogue of hydantocidin 94 was easily available following a synthetic sequence involving hydrogenation, formation of the urea and acidic hydrolysis.
Scheme 19.
Reagents and conditions: (i) NaH, DMF then H+/H2O, 59%; (ii) 1. TFA/H2O, 70%; 2. H2, 10% Pd/C, EtOH, quant; (iii) 1. KOCN, AcOH, 87%; 2. HCl, MeOH, 88%.
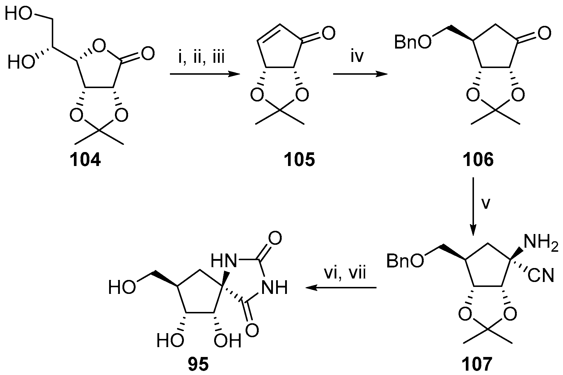
Later in 1995, Sano et al. reported the synthesis of the carba-analogue of hydantocidin 95, in which the oxygen atom of the d-ribose unit has been replaced by a methylene unit. After finding that the racemic carba-hydantocidin maintained the herbicidal activity [61], they focused on the synthesis of the optically active compound, which was prepared from easily available d-gulono-l,4-lactone [62]. Oxidative cleavage of gulonolactone 104 with sodium periodate, followed by formation of an intermediate isopropyl acetal and reaction with dimethyl methylphosphonate and n-butyl lithium, afforded cyclopentenone 105 (Scheme 20). Conjugate 1,4-addition of benzyl β-hydroxymethyl anion gave cyclopentanone 106 as a single isomer. Reaction of 106 with potassium cyanide, followed by treatment of the resulting aminonitrile 107 with chlorosulfonyl isocyanate afforded, after removal of the protecting groups, optically active carbocyclic analogue 95.
Scheme 20.
Reagents and conditions: (i) NaIO4, NaOH, H2O, r.t.; (ii) p-TsOH-Py, i-PrOH, 90 °C, 51%; (iii) MeP(O)(OMe)2, n-BuLi, THF, −8 °C to r.t., 51%; (iv) (BnOCH2)2CuBr 2Li Me2S, TMSCl, −8 °C to r.t., 99%; (v) KCN, NH4Cl; (vi) ClSO2NCO, CH2Cl2 then HCl 1 M, 100 °C, 64%; (vii) H2, Pd/C, MeOH, 55 °C, 98%.
Most of the reported syntheses of hydantocidin and its analogues have revolved around the use of sugar derivatives to generate the desired stereochemistry of the hydroxyl groups in the furan ring. However, Pham and co-workers reported the preparation of carbocyclic hydantocidins 96 and 97 from ethyl 2-butynoate and N,N′-diprotected-5-methylenehydantoins using as key step a phosphine-catalysed [3 + 2]-cycloaddition to generate the spiro-heterocyclic system (Scheme 21) [63]. Thus, the cycloaddition reaction of the 5-methylenehydantoin 108 with the ylide that was generated in situ from the reaction of ethyl 2-butynoate 109 and tributylphosphine afforded ester 110, which was then isomerized to ester 111 on treatment with potassium bistrimethylsilylamide. Acid catalysed hydrolysis of the ester group of 111, followed by reduction and cis-dihydroxylation afforded, after removal of the protecting groups, carbocyclic hydantoins 96 and 97.
Scheme 21.
Reagents and conditions: (i) Bu3P, toluene, r.t; (ii) 1. KN(TMS)2, THF, −8 °C, 10 min; 2. HOAc, −8 °C to r.t., 99%; (iii) 1. 10% HCl, MeCN, 90 °C, 15 h, 99%; 2. BH3.DMS, THF, 0 °C, 6 h, 95%; 3. K2OsO4.2H2O, NMO, acetone/H2O (4:1), r.t., 5 days, 37%; 4. Ac2O, pyridine, MeCN, r.t., 10 h, 91%; (iv) 1. NBS, C6H5Cl, 125 °C, 14 h; 2. 10% HCl, THF, reflux, 4 h, 95–99%.
2.3. Modifications of Hydantocidin in the Hydantoin Ring
In order to shed some light on the functionalities required for the herbicidal action of hydantocidin, researchers also focused on the synthesis of structural analogues of hydantocidin resulting from modifications in the hydantoin ring of the parent molecule (Figure 7).
Figure 7.
Analogues of hydantocidin modified in the hydantoin ring.
For example, anticipating that the presence of a N-hydroxy group could provide a site for possible H-bonding and a polar environment on the β-face of the molecule, Hanessian and co-workers described the preparation of a N-hydroxyspirohydantoin 112 from readily available d-erythronolactone 118 (Scheme 22) [64]. Addition of lithium trimethylsilylacetylide gave 119, which on acetylation and treatment with ethyl N-benzyloxycarbamate in the presence of sodium hydride and trimethylsilyl triflate, led to the formation of 120. Removal of the TMS group and hydrogenation of the triple bond under Lindlar conditions gave the anomeric C-vinyl derivative, which on ozonolysis, oxidation of the resulting aldehyde and amidation with PyBroP afforded the corresponding anomeric amide 121. Treatment of 121 with TBAF gave, after removal of the protecting groups, the intended hydantocidin analog 112.
Scheme 22.
Reagents and conditions: (i) LiCCTMS; (ii) Ac2O, 80%; (iii) BnONHCO2Et, NaH, TfOTMS; (iv) 1. TBAF, THF; 2. H2, Pd/BaSO4, quinoline, 71%; (v) O3, CH2Cl2 then SMe2; (vi) 1. NaClO2, NaHPO4, 2-methyl-2-butene, t-BuOH, H2O; 2. PyBroP, NH3; (vii) TBAF, THF; (viii) 1. Dowex-H+; 2. H2, Pd/C, 83%.
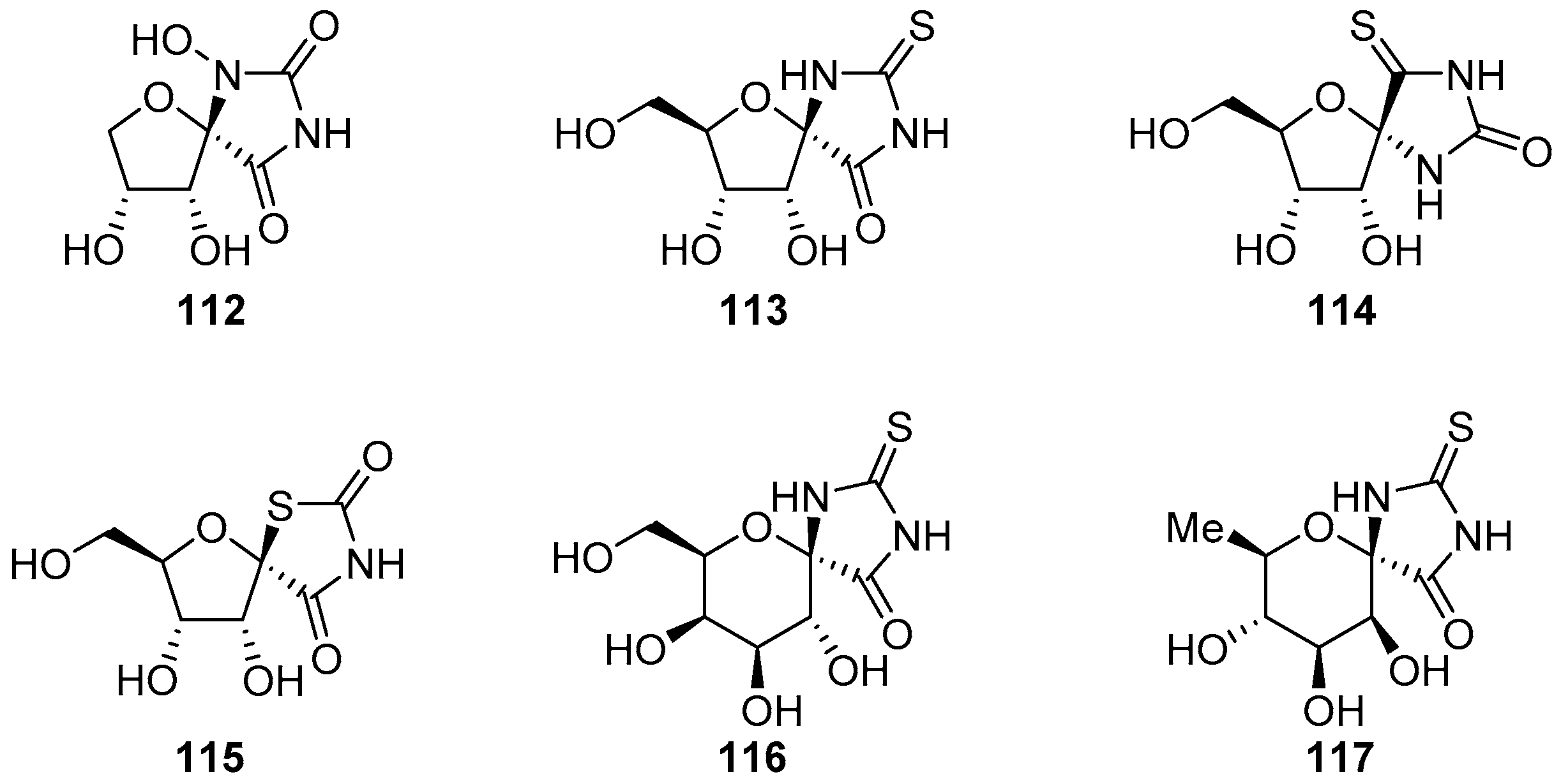
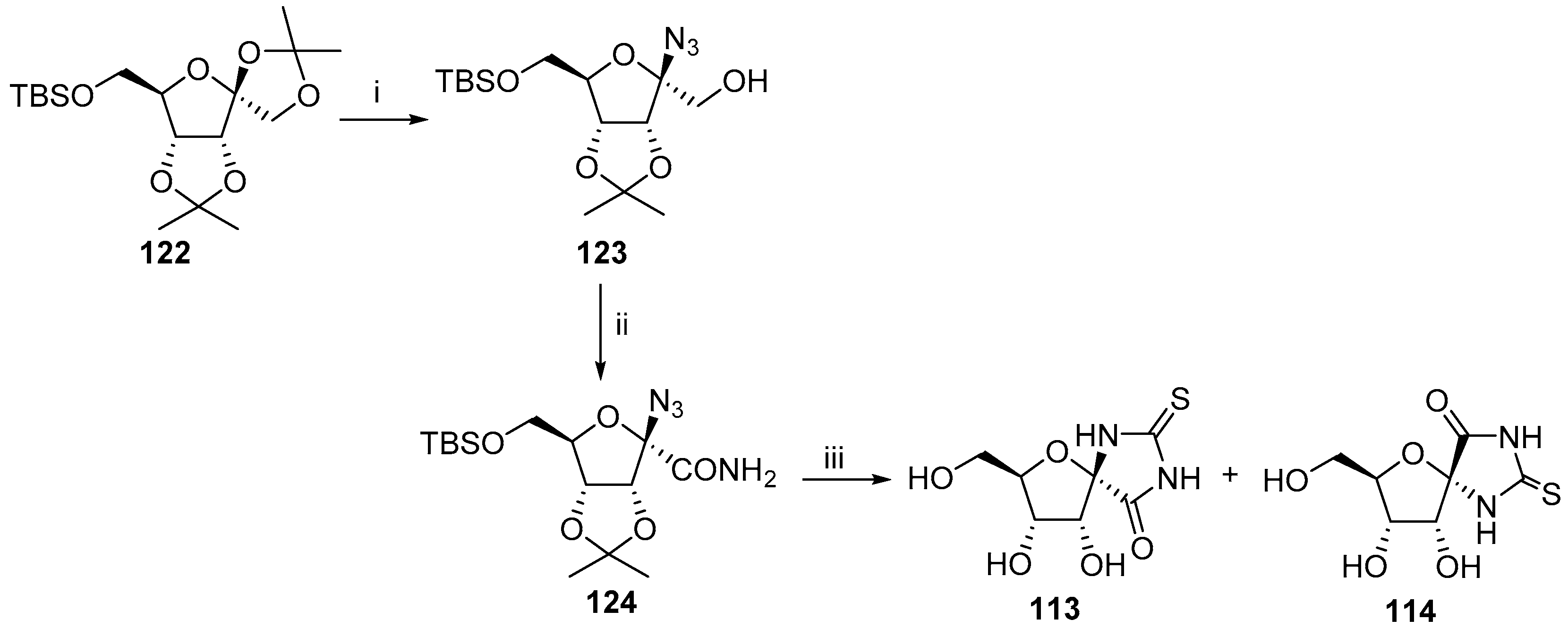
It was soon clear that drastic derivatization only led to diminished herbicidal activity, so attention of researchers turned to minimum modification without changing the basic structure. In this regard, Sano and co-workers described the first thiohydantoine derivative, in which the C7 carbonyl group was replaced with a thiocarbonyl group (compounds 113 and 114) [65]. Starting with d-psicofuranose derivative 122 [38], selective cleavage of the exocyclic diol, followed by stereoselective introduction of an azide group in the anomeric position, afforded azide 123 (Scheme 23). Oxidation to the corresponding carboxylic acid, followed by coupling with ammonia, gave azide 124. Spirothiohydantoin ring formation at the anomeric position was achieved by treatment of 124 with tri-n-butylphosphine and carbon disulfide affording, after acidic hydrolysis, spirothiohydantoin 113 along with its epimer 114.
Scheme 23.
Reagents and conditions: (i) N3TMS, TfOTMS, CH3CN, 0 °C, 28%; (ii) 1. Swern; 2. NaClO2, NaHPO4, 2-methyl-2-butene, t-BuOH, H2O; 3. ClCO2Et, Et3N, NH3, 25%; (iii) Bu3P, CS2, 50 °C, 16% of 113 and 25% of 114.
The observation that the introduction of the sulfur atom did not affect the herbicidal activity, sparkled the interest in thio analogues of hydantocidin. Thus, a number of analogues belonging to the family of thiohydantoins were described in the past few years. In an attempt to design analogues of hydantocidin which are more resistant to isomerisation, Lamberth and co-workers described the synthesis of a mimic of hydantocidin in which the hydantoin moiety was replaced by a thiazolidondione (compound 115, Scheme 24) [66]. Photobromination of the readily available nitrile 125 [67] gave the bromo-ribosyl cyanide 126, with on reaction thiourea and acidic hydrolysis afforded spiro-thiazolidindione 115.
Scheme 24.
Reagents and conditions: (i) Br2, h⎨, CCl4, 93%; (ii) 1. H2NCSNH2, sulfolane; 2. 2 N HCl, 37%.
Somsák and co-workers developed an efficient general procedure for the short synthesis of thiohydantoins [68,69,70,71]. For example, Scheme 25 displays the synthesis of thiohydantoin 116 from d-galactopyranosyl cyanide 128 [72]. Thus, TiCl4 promoted addition of water to the nitrile moiety afforded formamide 129, which on nucleophilic displacement of the bromide with silver thiocyanate followed by deacetylation furnished the pyranose thiohydantocidin 116.
Scheme 25.
Reagents and conditions: (i) TiCl4, H2O, AcOH, r.t., 77%; (ii) 1. AgSCN, CH3NO2, 80 °C, 240%. 2. NaOMe, MeOH, r.t., 64%.
Yet another synthesis of a thiohydantoin was reported in 2011 [73]. l-Rhamnopyranose bromide 130 (Scheme 26), obtained by a known procedure from l-rhamnopyranose [74], was treated with mercury(II) cyanide to give rhamnopyranose cyanide 131. The partial hydrolysis of the nitrile moiety was accomplished on treatment with HBr in acetic acid to afford the corresponding formamide, which on photobromination gave derivative 132. Reaction of 132 with ammonium thiocyanate in nitromethane in the presence of elemental sulfur finally gave spiro-thiohydantoin 117.
Scheme 26.
Reagents and conditions: (i) Hg(CN)2, AcOH, r.t., 48 h, 56%; (ii) HBr, CH3Cl, r.t., 3 h, 94%; (iii) Br2, CH3Cl, 80 °C, 7 h; (iv) NH4SCN, CH3NO2, r.t., 6 h, 63%.
3. Synthesis of Diketopiperazine Analogues
As seen in the previous section, the bioactivity of hydantocidin has prompted extensive synthetic studies towards hydantocidin itself and a variety of its analogues. Additional preparative work has focused on the substitution of the hydantoin ring for other spiroheterocyclic subunits. In this regard, the potential of diketopiperazine analogues has not escaped attention. Diketopiperazines, both naturally occurring [75] and synthetic [76], are a class of bioactive peptides with a range of chemotherapeutic applications [77]. Given their biological relevance and in the search for novel mimics of hydantocidin, several syntheses of diketopiperazine analogues of hydantocidin were reported (Figure 8).
Figure 8.
Analogues of hydantocidin containing a diketipiperazine ring.
In this regard, Fleet and co-workers extensively investigated the incorporation of a spirodiketopiperazine ring into the anomeric position of furanose and pyranose sugars [78,79]. Thus, on reaction with Cbz-glycine, amino ester 140 [80] isomerizes to the more nucleophilic amine intermediate before the actual coupling reaction, affording dipeptide 141 as the major product (Scheme 27). Removal of the Cbz-protecting group, followed by reaction with potassium tert-butoxide gave, after acidic hydrolysis, the desired spiro compound 133.
Scheme 27.
Reagents and conditions: (i) DCC, l-hydroxybenzotriazole, Cbz-Gly-OH, 72%; (ii) 1. H2, Pd. MeOH, 91%; 2. tert-BuOK, THF, 89%; (iii) tert-BuOK, DMF, 100 °C, 12 h, 88% (vi) 1. AcOH, H2O; 2. CF3COOH, H2O, 80%.
In an attempt to access the mannopyranose derivative, a slightly different strategy was used [81]. Coupling of the amine 143 with Cbz-glycine afforded derivative 144. After selective removal of the exocyclic isopropylidene protecting group, oxidation with N-bromophthalimide afforded bicycle 146. (Scheme 28).
Scheme 28.
Reagents and conditions: (i) Cbz-Gly-OH, ClCOOEt, Py, MeCN/THF (1:1), 86%; (ii) 1. AcOH/H2O (1:1), 100%; 2. N-bromophthalimide, MeCOONa, 54%; (iii) H2, Pd. MeOH; (iv) CF3COOH, H2O; (v) tert-BuOK, DMF.
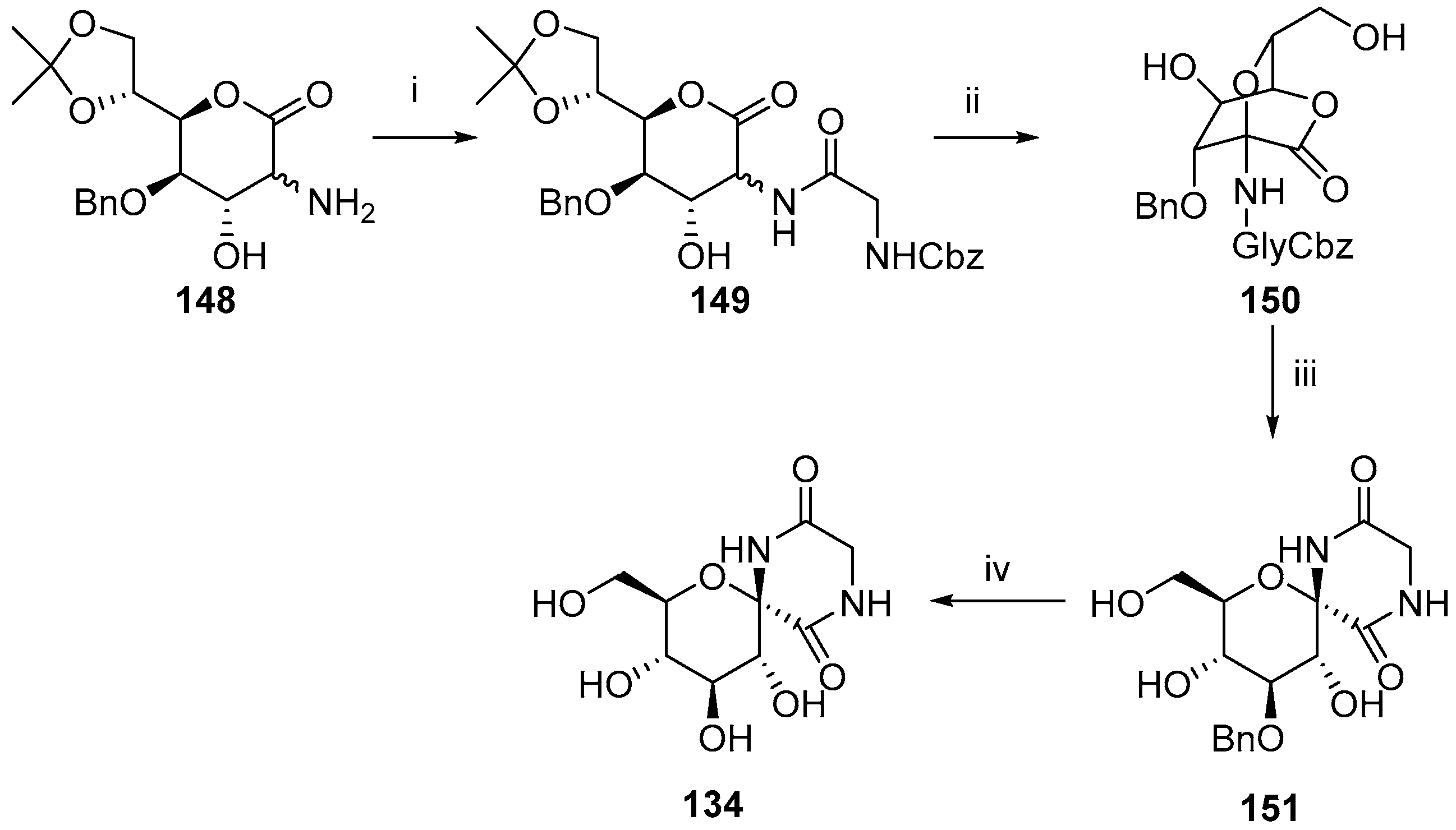
Removal of the benzyloxycarbonyl protecting group on hydrogenation was accompanied by spontaneously cyclisation of the resulting amine to give the spirodiketopiperazine 147. However, acidic hydrolysis of 147, followed by reaction with potassium tert-butoxide, gave mannofuranose diketopiperazine 133, which is more stable than the corresponding mannopyranose derivative. In connection with their work aimed to discover efficient inhibitors of glycogen phosphorylase as possible therapeutic agents for the treatment of diabetes, Fleet and co-workers reported the synthesis of glucopyranosyl spirodiketopiperazine 134, analogue of the bioactive glucopyranose hydantoin 73 [82]. Thus, coupling of lactone 148 with Cbz-glycine, followed by acidic hydrolysis and spontaneous cyclization, afforded the bicyclic lactone 150 (Scheme 29). Transfer hydrogenation of 150 gave a free amine which, on spontaneous cyclization yielded the spirodiketopiperazine 151. Further transfer hydrogenation gave the required unprotected spiro compound 134.
Scheme 29.
Reagents and conditions: (i) Cbz-Gly-OH, ClCOOEt, MeCN/THF (1:1), 88%; (ii) aq. AcOH with a trace of TFA, r.t., 82%; (iii) NBS, AcONa, CH3CN, 68%; (iv) Cyclohexene, 10% Pd/C, MeOH.
Fleet and co-workers also developed the synthesis of rhamnofuranose-derived diketopiperazines [54]. The aminoester 152 [83] was coupled with Cbz-glycine activated as a mixed anhydride with ethyl chloroformate, to give the dipeptide 153 in which the configuration at the anomeric centre has been retained (Scheme 30). Removal of the Cbz-protecting group gave an intermediate amine which spontaneously cyclised to the corresponding diketopiperazine, finally affording derivative 135 after acidic hydrolysis.
Scheme 30.
Reagents and conditions:(i) Cbz-Gly-OH, ClCOOEt, Et3N,THF; (ii) Cbz-GIy-OH, DCC, 1-hydroxybenzotriazole, DMF; (iii) H2, Pd black, EtOH; (iv) 50% aq. CF3COOH.
On the other hand, when Cbz-glycine was activated by DCC (N,N′-dicyclohexylcarbodiimide), the major product from coupling with the amine 152 was the dipeptide 154. In the case of DCC activation, the carbonyl group is less electrophilic than is the case in activation by ethyl chloroformate. Thus, must equilibrate to the less stable, but more reactive, amine prior to acylation. Following a similar synthetic procedure as in the case of 153, epimeric spirodiketopiperazine 136 was prepared from dipeptide 154.
More recently, Feet et al. reported the synthesis of anomeric spirodiketopiperazines derived from 6-deoxy-l-lyxofuranose [48]. Using their established methodology for the construction of the spirodiketopiperazine ring, coupling of the mixture of epimeric aminoesters 156 with Cbz-glycine afforded epimeric dipeptides 157 and 158 (Scheme 31). Hydrogenolysis of the benzyloxycarbonyl protecting group in 157 gave the corresponding amine, which cyclized upon treatment with t-BuOK to afford, after acidic hydrolysis, the spirodiketopiperazine compound 137. The same sequence was applied to dipeptide 158 to afford epimeric spirocyclic sugar 138.
Scheme 31.
Reagents and conditions: (i) Cbz-Gly-OH, DCC, 1-hydroxybenzotriazole, dichloromethane, 73%; (ii) H2, Pd black, MeOH then tert-BuOK, THF, 44–69%; (iii) 50% aq TFA, 80%.
After the pioneering work of Fleet’s group, other synthetic procedures have been developed for the preparation of different anomeric spirodiketopiperazines. For example, 2,3-dideoxy derivative 139 was synthesized using a procedure featuring an acid-catalyzed rearrangement of a 3-hydroxy β-lactam and the ammonolysis of a spiro keto lactone (Scheme 32) [84]. Starting from hydroxyazetidinone 159, isomerization with PPTS gave derivatives 160 and 161. Baeyer-Villiger oxidation the spiro system, followed by ammonolysis, yielded the lactol amide 162 as a 1:1 mixture of epimers. Ring closure and desilylation finally afforded diketopiperazine 139.
Scheme 32.
Reagents and conditions: (i) PPTS, DCM; (ii) m-CPBA, NaHCO3, DCM, 93%; (iii) NH3, MeOH, 100%; (iv) PPTS, benzene, 4 Å molecular sieves; (v) TBAF, THF, 100%.
4. Synthesis of Barbiturate Analogues
A relevant problem with hydantoins and diketopiperazines is their lack of stability, mainly due to facile anomeric epimerization in basic media. To avoid epimerization around C-1′, hydantoin or diketopiperazine rings can be replaced by a barbiturate ring. Like the hydantoin ring, the barbiturate ring system possesses thymine-like hydrogen bonding capacity against adenine derivatives [85] and is found in many pharmaceutically relevant molecules [86]. In 2002, Renard and collaborators reported the synthesis of a spiro-barbituric deoxyribofuranose and its carbocyclic analogue from carbohydrate derivatives [87]. Erythrolactol 165 was condensed with barbituric acid in the presence of sodium carbonate to give the erythrosyl barbituric acid derivative 166 (Scheme 33). After hydrogenolysis, bromination of intermediate alcohol 167 in the presence tert-butyldimethylsilyl chloride afforded derivative 168. Silyl deprotection finally gave the desired spiro-barbituric deoxyribofuranose 169.
Scheme 33.
Reagents and conditions: (i) barbituric acid, Na2CO3, H2O, 59%; (ii) H2, Pd-C, MeOH, 91%; (iii) Br2, TBDMSCl, imidazole, DMF, 63%; (iv) TMSCl, MeOH, 95%.
In order to enhance the stability of derivative 169, the synthesis of a carba-sugar analogue was also described. Prins reaction of cyclopentene diester 170, followed by pancreatin-catalyzed resolution (25%, ee > 98%) of the resulting racemic diol, afforded the optically pure diol 171 (Scheme 34). Silylation and condensation with urea afforded the spiro-barbituric acid 173, which on deprotection of the silyl groups gave the desired carbocyclic analogue 174.
Scheme 34.
Reagents and conditions: (i) (CH2O)n, AcOH, H2SO4, 60 °C, 24 h; (ii) TMCl, MeOH; (iii) resolution, 60%; (iv) TBDMSCl, imidazole, DMF, 90%; (v) t-BuOK, urea, 68%; (vi) TMSCl, MeOH, 99%.
5. Synthesis of Miscellaneous Spiroheterocyclic Units
On addition to diketopiperazines and barbiturates, several other hydantocidin analogues with very diverse spiroheterocyclic rings were synthetized, as depicted in Figure 9. For example, in order to study the direction of the hydrogen bonding of the hydantoin, a spirodihydrouracil analogue of (+)-hydantocidin was developed [88]. Starting from mixture on nitriles 191, reduction with lithium aluminium hydride afforded aminoalcohol 192, which was N-carbonylated to give carbamates 193 and 194 (Scheme 35). Oxidation of the alcohol 193 to the corresponding carboxylic acid followed by condensation with ammonia provided amide 196. The base-promoted intramolecular cyclization of 196 gave, after removal of the protecting groups, the spirodihydrouracil 175.
Figure 9.
Hydantocidin analogues with miscellaneous spiroheterocyclic rings.
Scheme 35.
Reagents and conditions: (i) LiAlH4, THF, r.t., 0 °C, 30 min; (ii) ClCO2Me, CH2Cl2, NEt3, 0 °C, 20 min, 63% of 193 and 15% of 194; (iii) 1. Swern; 2. NaClO2, MeOH, r.t., −0 °C, 20 min, 86% (iv) ClCO2Et, then NH3, 0 °C, 91%; (v) NaN(TMS)2, n-Bu4NF, THF, r.t., 86%; (vi) 1. Dowex, 50 W; 2. H2, Pd-C, r.t., 100%.
Sano et al. prepared several hydantocidin analogues including modifications on the carbonyl groups of the hydantoin ring [89]. For example, spiroimidazolidinone 176 was synthesized using a demethyldesulfurization as key step (Scheme 36). Thus, compound 197 [36] was converted to the mixture of epimeric thioacetals 199, which on radical demethylsulfurization afforded compound 200. The final 3 steps consisted of the removal of the protecting groups, to finally afford analogue 176.
Scheme 36.
Reagents and conditions: (i) 2,2-Dimethoxypropane, p-TsOH·H2O, r.t., 50 min, 83%; (ii) NaBH4, MeOH, r.t., 40 min, 91%; (iii) n-Bu3P, MeSSMe, CH2Cl2, r.t., 28 h, 50%; (iv) n-Bu3SnH, AIBN, toluene, 100 °C, 1 h, 75%; (v) CAN, MeCN/H2O, r.t., 20 min, 51% (vi) p-TsOH·H2O, MeOH, r.t., 28 h, 79%; (vii) H2, Pd-C, 55 °C, 5 h, 45%.
The synthesis of a spiroimidazolinone analogue of hydantocidin was also described (Scheme 37). Treatment of azido amide 201 with benzyl isocyanate and tri-n-butylphosphine afforded the spiro compound 202, which on acid hydrolysis and hydrogenolysis gave desired spiroimidazolinone 177.
Scheme 37.
Reagents and conditions: (i) BnNCO, n-Bu3P, THF, r.t., 2 h, 98%; (ii) Dowex 50W (H+), MeOH/H2O, 80 °C, 1.5 h, 20%; (iii) H2, Pd-C, 55 °C, 5 h, 27%.
Gasch and collaborators reported the stereoselective synthesis of a wide range of pyranoid and furanoid spiroheterocyclic analogues of hydantocidin [90,91]. Thus, reaction of psicofuranose spiroketal 203 with trimethylsilyl isothiocyanate in the presence of trimethylsilyl triflate provided the corresponding O-protected thioxo-oxazolidine 204 (Scheme 38). The N-glycosylation of 203 with trimethylsilyl isothiocyanate in the presence of a Lewis acid afforded the mixture of oxazolidines 178a and 178b. For the synthesis of spiro-C-glycosides, spiroketal 203 was transformed into psicofuranosyl cyanides 205 and 206 according to Sano’s procedure [88]. Reduction of psicofuranosyl cyanide 205 with lithium aluminium hydride, followed by treatment with thiophosgene, afforded isothiocyanate 207, which on treatment with triethylamine afforded the intramolecular cycloadduct 179. Similarly, compound 180 was obtained from 206. The reaction of 203 with (trimethylsilyl)acetonitrile afforded two products of the nucleophylic attack on the anomeric carbon, via either the nitrogen atom (N-attack) or the methylenic carbon (C-attack). The N-attack forms a heterocumulene intermediate 209, whereas the C-attack produces intermediate nitrile 210; both intermediates undergo intramolecular cyclization to finally afford 181 and 182.
Scheme 38.
Reagents and conditions: (i) TMSNCS, TMSOTf, −20 °C, 1 h, 10%; (ii) TMSNCO, TMSOTf, −20 °C, 2 h, 22% (178a) and 5% (178b); (iii) Ref [74]; (iv) 1. LiAlH4, Et2O, 0 °C to r.t., 2 h; 2. Cl2CS, r.t., 6 h, 39% (205) and 36% (206); (v) NEt3, 80 °C, 40 min, 85% (179) and 93% (180); (vi) TMSCH2CN, TMSOTf, −20 °C, 23% (181) and 5% (182).
Additional work allowed the preparation of other 6 + 5, 6 + 6 spironucleosides and spiro-C-glycosides from spiroketal derivative 211 (Scheme 39). N-glycosylation of 211 with trimethyl azide afforded 212, as a 9:1 anomeric mixture. Pd-catalyzed hydrogenation of 212, followed by treatment of the intermediate amine 213 with TBAF and thiocarbonyldiimidazole afforded spironucleoside 183. C-glycosylation of 211 with trimethylcyanide in the presence of trimethylsilyltriflate, followed by desilylation with TBAF gave the fructopyranolsyl cyanide 214. Reduction with lithium aluminium hydride, followed by reaction with thiocarbonyl diimidazole and triethylamine-promoted intramolecular cyclization, provided compound 184. Finally, reaction of 211 with trimethylsilylacetonitrile in the presence of trimethylsilyltriflate afforded derivative 185.
Scheme 39.
Reagents and conditions: (i) 1. TMSN3, 0 °C, 5 min; 2. TMSOTf, 0 °C, 5 min, 85%; (ii) H2/Pd-C, r.t., 2 h, 90%; (iii) 1. Bu4NF.3H2O, r.t., 1 h; 2. Im2CS, r.t., 3 h, 83%; (iv) 1. TMSCN, −0 °C, 5 min; 2. TMSOTf, 0 °C, 5 min; 3. Bu4NF.3H2O, r.t., 8 h, 55%; (v) a. LiAlH4, 0 °C, 30 min; b. Im2CS; (vi) Et3N, r.t., 10 h, 80%; (vii) TMSCH2CN, TMSOTf, −20 °C, 1 h, 75%.
Also related to spironucleosides are the recently described spiro-oxazoline furanosides 186 [92] Their synthesis was achieved using a TMSOTf-promoted nucleophilic addition of electron-rich nitriles to the oxacarbenium ion intermediate of reaction of protected psicofuranose derivative 215 (Scheme 40). In addition to their pharmacological interest, spiro-fused carbohydrate oxazoline derivatives have potential applications in asymmetric catalysis [93].
Scheme 40.
Reagents and conditions: (i) TMSOTf, R-CN, toluene, 0 °C to r.t., 1 h, 44–72%.
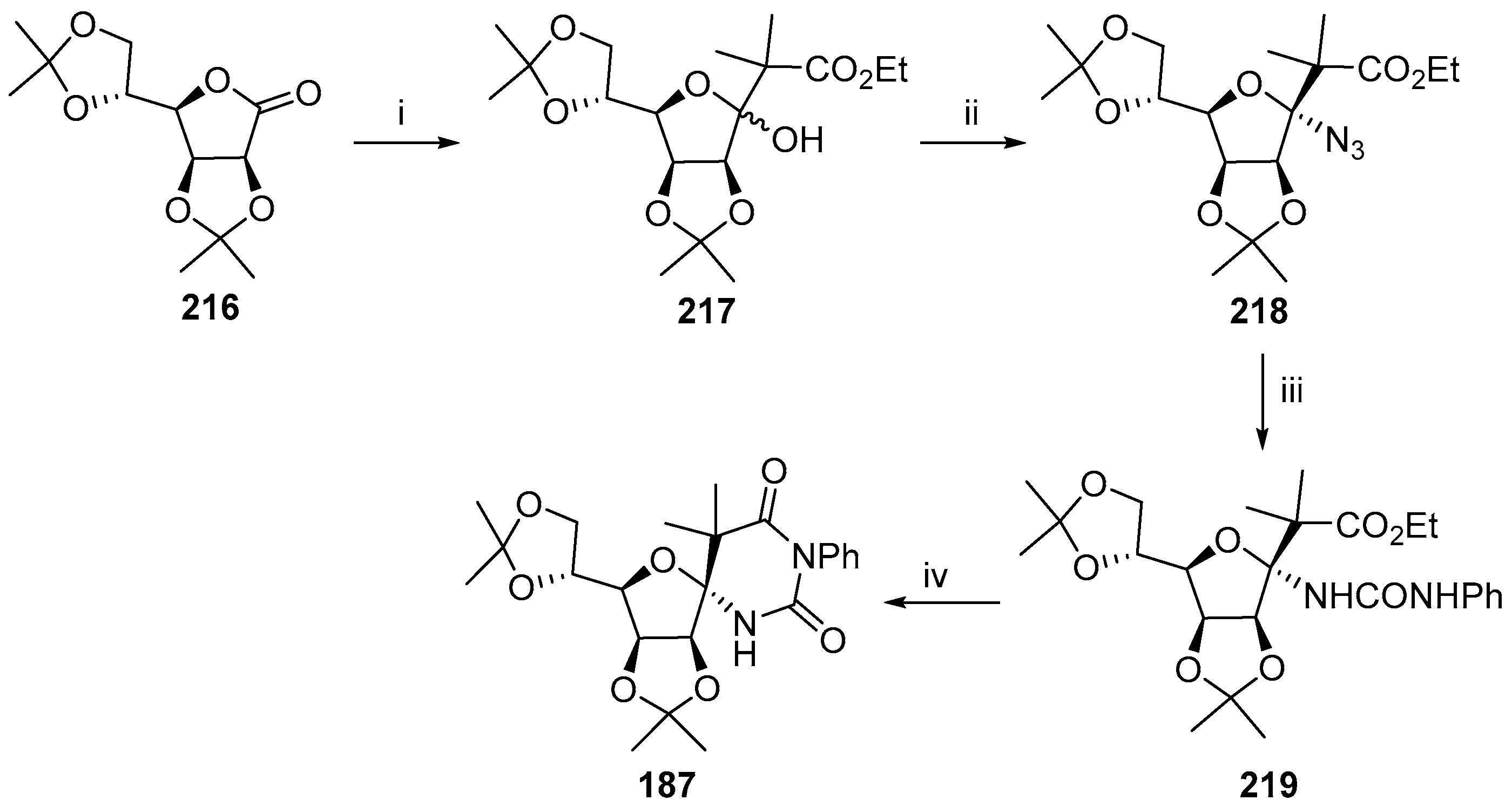
As a variation of the spirodiketopiperazine skeleton, the spiro-derivative 187 was recently prepared from carbohydrate lactones in a route involving N-glycosylation of ulosonic acid esters [94]. Thus, an indium-mediated Reformatsky reaction of mannonolactone diacetonide 216 with ethyl α-bromoisobutyrate gave ulosonate 217 (Scheme 41). N-glycosylation of compound 217 was achieved by acetylation followed by reaction with trimethylsilyl azide in the presence of trimethylsilyl triflate, affording azide 218 diastereoselectively. Catalytic hydrogenation and treatment of the resulting anomeric mixture of amino esters with phenyl isocyanate afforded derivative 219 as a single anomer. Basic treatment of urea 219 easily gave the corresponding diketopiperazine 187 without any equilibration of anomers taking place.
Scheme 41.
Reagents and conditions: (i) In, BrC(CH3)2CO2Et, THF, US, r.t; (ii) 1. Ac2O, Et3N, CH2Cl2, r.t., 14 h; 2. TMSN3, TMSOTf, powdered MS, CH2Cl2, r.t., 14 h, 71%; (iii) 1. Pd/C, MeOH, r.t., 14 h; 2. PhCNO, toluene, r.t., 3 h, 85%; (iv) NaOMe, r.t., 14 h, quant.
Maza et al. recently reported the first selenium-containing (+)-hydantocidin analogues [95]. Starting from N-arylfructosamine 220, reaction with phenyl isoselenocyanate afforded the corresponding imidazolidine-2-selone 221, which underwent dehydration under weak acidic conditions to give spiranic derivative 188 as a major compound (Scheme 42).
Scheme 42.
Reagents and conditions: (i) PhNCSe, DMF, r.t., 72 h, 98%; (ii) AcOH, EtOH/H2O (2:1), reflux, 1 h, 39% of 222 and 60% of 188.
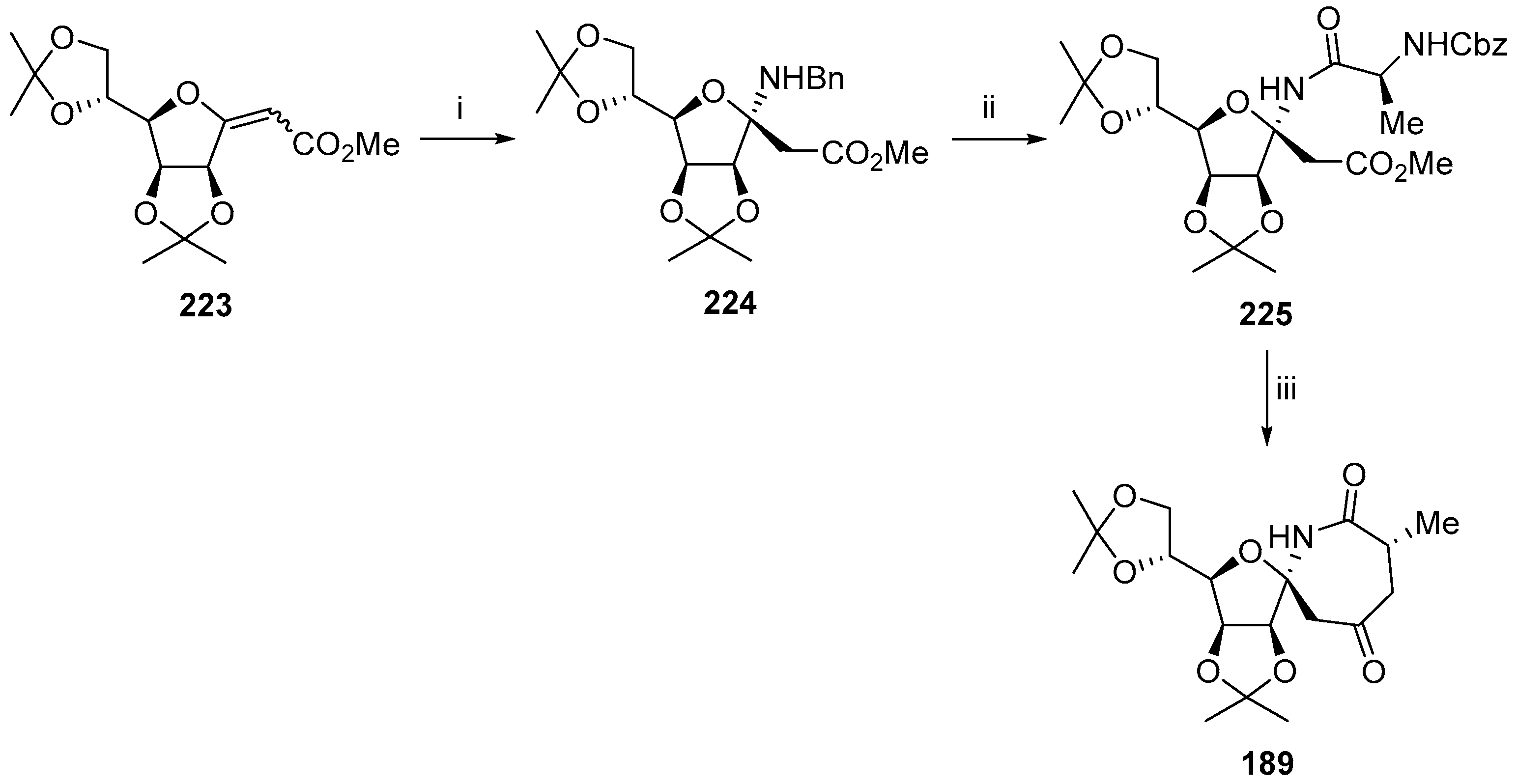
Taillefumier and co-workers reported the first synthesis of 1,4-diazepine 2,5-dione anomeric spirosugars, which can be regarded as the first members of a new class of spironucleosides [96]. Michael addition of benzylamine to glycal 223 [97], followed by hydrogenation and coupling of the resulting free amine with Cbz-Ala-OH, afforded dipeptide 225. After protecting group removal, base cyclization of dipeptide 225 on high dilution gave diazepine 189 (Scheme 43).
Scheme 43.
Reagents and conditions: (i) Neat BnNH2, 48 h, 91%; (ii) 1. H2/1 atm, 10% Pd–C, EtOAc; 2. Cbz-Ala-OH, PyBOP, Et3N, DMF, r.t., 92%; (iii) 1. H2/1 atm, 10% Pd–C, EtOAc; 2. K2CO3, MeOH/H2O 10:1, r.t., 48 h; 3. H2/1 atm, 10% Pd–C, EtOH/EtOAc 1.5:1; 4. DPPA, Et3N, DMF, 0 °C to r.t., 14 h, 47%.
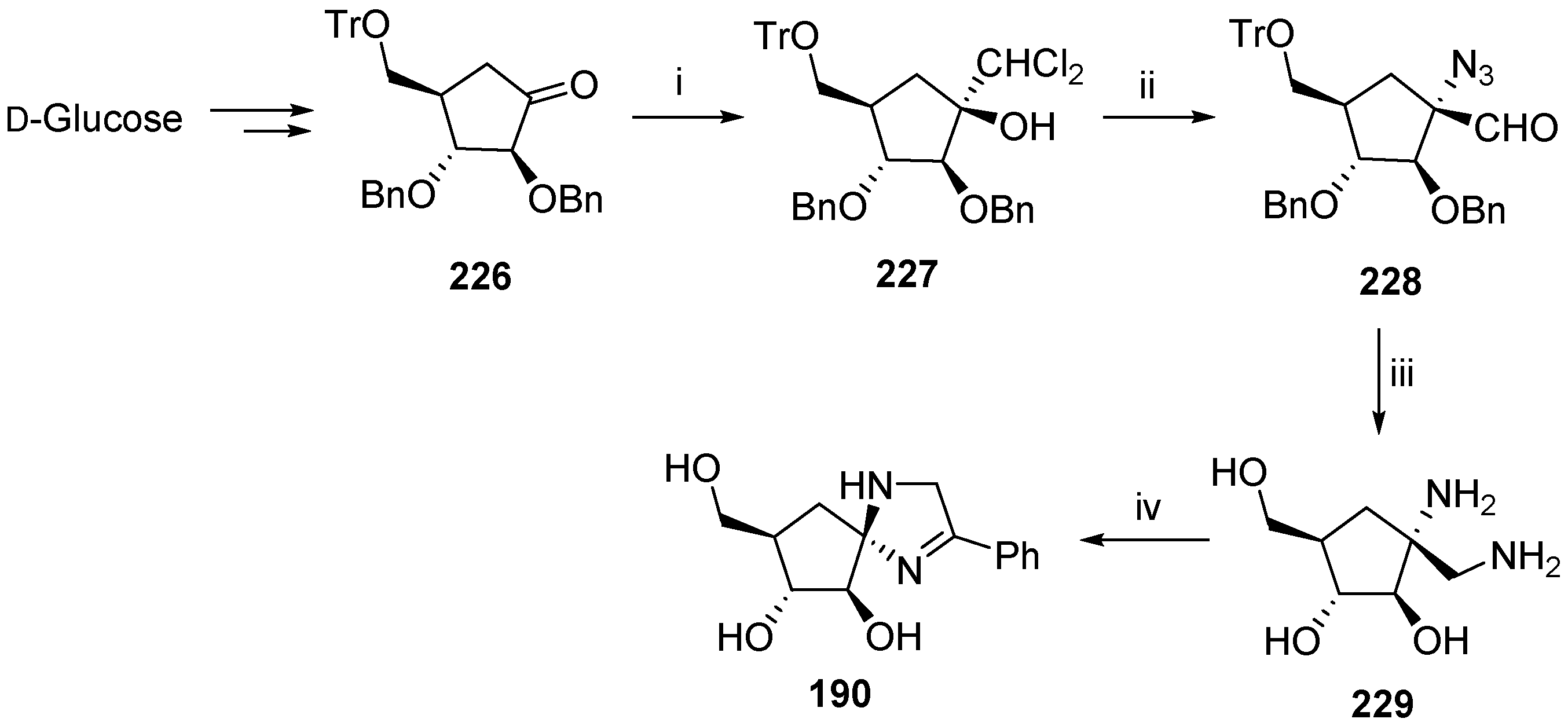
In 2008, Nakahara et al. reported the synthesis of a carbocyclic spiroimidazoline from d-glucose [98]. Nucleophilic addition of dichloromethyllithium to ketone 226 afforded branched cyclopentitol 227, which was then converted to azido aldehyde 228 on treatment with sodium azide (Scheme 44). Introduction of the second nitrogen atom of the imidazoline ring was achieved by reductive amination of 228. After hydrogenation, condensation of the resulting diamine 229 with benzaldehyde using N-bromosuccinimide gave desired imidazoline 190.
Scheme 44.
Reagents and conditions: (i) i-Pr2NH, n-BuLi, CH2Cl2, THF, 67%; (ii) NaN3, 15-crown-5, Me2SO, 79%; (iii) 1. BnNH2, NaBH2CN, AcOH, TFA, 86%; 2. H2, Pd(OH)2–C, HCl, MeOH, THF; (iv) 1. (Boc)2O, Et3N, MeOH, H2O; 2. TFA, CH2Cl2, 64%; 3. PhCHO, NBS, Et2N, MeOH, 33%.
Other carbohydrate derivatives containing spirocycles in the anomeric position described in the literature include spirolactones [99], spiroaminals [100,101], spiroazacycles [102] and spirosulfamidates [103]. As their structural resemblance to spironucleosides is just anecdotal, these derivatives are outside of the scope of this review.
6. Polycyclic Spironucleosides
A number of spironucleosides in which the nucleobase is attached to the anomeric position of the sugar giving rise to a polycyclic system have been described. Such molecules provide conformationally fixed models, which can be useful to elucidate the glycosidic torsion angle of nucleosides (Figure 10).
Figure 10.
Polycyclic spironucleosides.
Early work from Zavgorodny resulted in the development of two synthetic routes to prepare syn-like anhydronucleosides modified at the C-1′ position of the 2-α-d-psicofuranosides [104]. Heating the starting compound psicofuranosyl cytosine 235 [105] with a solution of mercury (II) acetate followed by iodomercuration of the resulting intermediate afforded the iododinated compound 236, which was then converted on nucleoside 230 on treatment with potassium tert-butoxide in DMSO (Scheme 45).
Scheme 45.
Reagents and conditions: (i) Hg(OAc)2, ∆; (ii) iodomercuration, 75%; (iii) t-BuOK, DMSO, 60 °C, 60%.
On the other hand, starting from psicofuranosyl nucleoside 237, acetylation and bromination gave intermediate 238, which on treatment with methanolic ammonia afforded the cyclonucleoside 239 (Scheme 46).
Scheme 46.
Reagents and conditions: (i) Ac2O, Py, 93%; (ii) Br2, EtOH, 63%; (iii) NH3, MeOH, 51%.
Gimisis and collaborators reported the synthesis of a spyronucleoside containing a remarkably stable orthoamide modification of the C-1′ anomeric position [106]. Starting from uridine 239 [107], silylation and hydroxymethylation afforded compound 240, which under Suárez conditions afforded, after deprotection of the silyl groups, derivative 232 (Scheme 47).
Scheme 47.
Reagents and conditions: (i) 1. ButMe2SiCl, imidazole, DMF, r.t., 16 h. 2. LDA, THF, −70 °C, 3 h, HCO2Et, −0 °C, 2 h. 3. NaBH4, MeOH, r.t., 30 min, 68%; (ii) PhI(OAc)2, I2, cyclohexane, hv, 28 °C, 5 h; (iii) Bu4NF on SiO2, THF, r.t., 2 h, 90%.
The same researchers also described a synthesis of polycyclic spironucleosides based on the reaction of l′-C-cyano-pyrimidine nucleosides and organolithium reagents [108,109]. Thus, reaction of nucleoside 241 with methyllithium afforded, under the appropriate experimental conditions, spironucleoside 242 (Scheme 48). Then, deprotection of compound 242 by overnight treatment with ammonium fluoride in refluxing MeOH finally gave the corresponding desilylated nucleoside 233.
Scheme 48.
Reagents and conditions: (i) MeLi, THF, −8 °C, 20 min, 52%; (ii) NH4F, MeOH, reflux, 14 h, 90%.
Dell’Isola et al. recently reported the synthesis of bioactive spirocyclic triazolooxasine nucleosides [110]. The synthetic route started from the isomerization of the d-psicopyranose derivative 243 [111] into the furanose form 244, promoted by an Amberlyst acid resin in acetone (Scheme 49).
Scheme 49.
Reagents and conditions: (i) Amberlyst A15, acetone; (ii) 1. BzCl, Et3N, DMAP, DCM, 0 °C to r.t. 2. TMSN3, TMSOTf, 4Å MS, CH3CN, 0 °C, 5 min; (iii) 1. AcOH, MeOH, acetone; 2. propargyl bromide, CH3CN, 0 °C, 2 h; (iv) toluene, reflux, 24 h; (v) 1. NH3, MeOH; 2. Dowex-H+, MeOH/H2O 8:2, 50 °C.
Benzoylation of 244, followed by treatment with azidotrimethylsilane in the presence of trimethylsilyl triflate in acetonitrile to afforded compound 245. After acidic hydrolysis of the silyl protecting group, O-alkylation of compound with a range of propargyl bromides afforded a series of propargyl ether intermediates 246, which underwent intramolecular 1,3-dipolar cycloaddition achieved a novel library of protected anomeric spironucleosides 247. Deacylation of 247, followed by hydrolysis of the isopropylidene group, yielded finally anomeric spironucleosides 234.
7. Conclusions
In summary, this literature review reports on all synthetic approaches to hydantocidin and their analogues and also to similar classes of spironucleosides such as diketopiperazines or barbiturates. Taking into account the biological relevance of spironucleosides, these derivatives were the synthetic target of many researchers since the pioneering work by Mio et al. Most of the reported syntheses of spironucleosides have revolved around the use of sugar derivatives as starting materials to generate the desired stereochemistry of the hydroxyl groups In this regard, the extensive work by Fleet and co-workers on the preparation of sugar amino acids (SAAs) and their transformation into spironucleosides provided tremendous advances for the future development of this fascinating class of biologically active compounds. However, much work remains to be done, as more spironucleoside analogues are still required for further structure-activities studies. Looking to the future, the widespread field of application of spironucleosides in medicinal chemistry, and the emergence of increasingly sophisticated synthetic methodologies, will certainly ensure continued interest in the development of this class of “synthetic” nucleosides.
Acknowledgments
Financial support from the Xunta de Galicia (Centro singular de investigación de Galicia accreditation 2016–2019) and the European Union (European Regional Development Fund—ERDF) is greatfully acknowledged. Gustavo da Silva thanks FCT for his Ph.D. grant (SFRH/BD/103412/2014). Gustavo da Silva thanks FCT for his Ph.D. grant (SFRH/BD/103412/2014).
Conflicts of Interest
The authors declare no conflict of interest.
References
- Jordheim, L.P.; Durantel, D.; Zoulim, F.; Dumontet, C. Advances in the development of nucleoside and nucleotide analogues for cancer and viral diseases. Nat. Rev. Drug Discov. 2013, 12, 447–464. [Google Scholar] [CrossRef] [PubMed]
- De Clercq, E. A 40-year journey in search of selective antiviral chemotherapy. Annu. Rev. Pharmacol. Toxicol. 2011, 51, 1–24. [Google Scholar] [CrossRef] [PubMed]
- De Clercq, E. Highlights in the Discovery of Antiviral Drugs: A Personal Retrospective. J. Med. Chem. 2010, 53, 1438–1450. [Google Scholar] [CrossRef] [PubMed]
- Mehellou, Y.; De Clercq, E. Twenty-six years of anti-HIV drug discovery: Where do we stand and where do we go? J. Med. Chem. 2010, 53, 521–538. [Google Scholar] [CrossRef] [PubMed]
- De Clercq, E. The history of antiretrovirals: Key discoveries over the past 25 years. Rev. Med. Virol. 2009, 19, 287–299. [Google Scholar] [CrossRef] [PubMed]
- Bonate, P.L.; Arthaud, L.; Cantrell, W.R., Jr.; Stephenson, K.; Secrist, J.A., III; Weitman, S. Discovery and development of clofarabine: A nucleoside analogue for treating cancer. Nat. Rev. Drug Discov. 2006, 5, 855–863. [Google Scholar] [CrossRef] [PubMed]
- Elgemeie, G. Thioguanine, mercaptopurine: Their analogs and nucleosides as antimetabolites. Curr. Pharm. Des. 2003, 9, 2627–2642. [Google Scholar] [CrossRef] [PubMed]
- Miura, S.; Izuta, S. DNA polymerases as targets of anticancer nucleosides. Curr. Drug Targets 2004, 5, 191–195. [Google Scholar] [CrossRef] [PubMed]
- Parker, W.; Secrist, J.; Waud, W. Purine nucleoside antimetabolites in development for the treatment of cancer. Curr. Opin. Investig. Drugs 2004, 5, 592–596. [Google Scholar] [PubMed]
- Sharma, P.; Nurpeisov, V.; Hernandez-Santiago, B.; Beltran, T.; Schinazi, R. Nucleoside inhibitors of human immunodeficiency virus type 1 reverse transcriptase. Curr. Top. Med. Chem. 2004, 4, 895–919. [Google Scholar] [CrossRef] [PubMed]
- Otto, M. New nucleoside reverse transcriptase inhibitors for the treatment of HIV infections. Curr. Opin. Pharmacol. 2004, 4, 431–436. [Google Scholar] [CrossRef] [PubMed]
- Watts, J.K. Locked nucleic acid: Tighter is different. Chem. Commun. 2013, 49, 5618–5620. [Google Scholar] [CrossRef] [PubMed]
- Marquez, V.E.; Ezzitouni, A.; Russ, P.; Siddiqui, M.A.; Ford, H.; Feldman, R.J.; Mitsuya, H.; George, C.; Barchi, J.J. HIV-1 Reverse transcriptase can discriminate between two conformationally locked carbocyclic AZT triphosphate analogues. J. Am. Chem. Soc. 1998, 120, 2780–2789. [Google Scholar] [CrossRef]
- Herdewijn, P. Targeting RNA with conformationally restricted oligonucleotides. Liebigs Ann. Chem. 1996, 1996, 1337–1348. [Google Scholar] [CrossRef]
- Kool, E.T. Preorganization of DNA: Design principles for improving nucleic acid recognition by synthetic oligonucleotides. Chem. Rev. 1997, 97, 1473–1488. [Google Scholar] [CrossRef] [PubMed]
- Wengel, J. Synthesis of 3′-C- and 4′-C-branched oligodeoxynucleotides and the development of locked nucleic acid (LNA). Acc. Chem. Res. 1999, 32, 301–310. [Google Scholar] [CrossRef]
- Soengas, R.G.; Sandrina, S. Spirocyclic nucleosides in medicinal chemistry: An overview. Mini Rev. Med. Chem. 2012, 12, 1485–1496. [Google Scholar] [CrossRef] [PubMed]
- Haneishi, T.; Nakajima, M.; Torikata, A.; Okazaki, T.; Tohjigamori, M.; Kawakubo, K. Process for the Production of an Imidazoledione Compound by a Strain of Streptomyces hygroscopicus. U.S. Patent 5,064,760, 12 November 1991. [Google Scholar]
- Haneishi, T.; Nakajima, M.; Torikata, A.; Okazaki, T.; Tohjigamori, M.; Kawakubo, K. Imidazoledione Compounds Useful as Herbicides. U.S. Patent 4,952,234, 28 August 1990. [Google Scholar]
- Pachlatko, J.P.; Zaehner, H.P. New Streptomyces hygroscopicus TU-2474 for Production of the Herbicide Hydantocidin and the Bactericide Homomycin. D.E. Patent 4,129,616, 03 December 1992. [Google Scholar]
- Mitsubishi Kasei Corp. Synthesis of Spiroacetal Nucleosides. J.P. Patent 04,222,589, 1990. [Google Scholar]
- Nakajima, M.; Itoi, K.; Takamatsu, Y.; Kinoshita, T.; Okazaki, T.; Kawakubo, K.; Shindo, M.; Honma, T.; Tohjigamori, M.; Haneishi, T. Hydantocidin: A new compound with herbicidal activity from Streptomyces hygroscopicus. J. Antibiot. 1991, 44, 293–300. [Google Scholar] [CrossRef] [PubMed]
- Heim, D.R.; Cseke, C.; Gerwick, B.C.; Murdoch, M.G.; Green, S.B. Hydantocidin: a possible proherbicide inhibiting purine biosynthesis at the site of adenylosuccinate synthetase. Pestic. Biochem. Physiol. 1995, 53, 138–145. [Google Scholar] [CrossRef]
- Smith, J.L. Enzymes of nucleotide synthesis. Curr. Opin. Struct. Biol. 1995, 5, 752–757. [Google Scholar] [CrossRef]
- Gregoriou, M.; Noble, M.E.M.; Watson, K.A.; Garman, E.F.; Krülle, T.M.; de la Fuente, C.; Fleet, G.W.J.; Oikonomakos, N.G.; Johnson, L.N. The structure of a glycogen phosphorylase glucopyranose spirohydantoin complex at 1.8 A resolution and 100 K: The role of the water structure and its contribution to binding. Protein Sci. 1998, 7, 915–927. [Google Scholar] [CrossRef] [PubMed]
- Barford, D.; Johnson, L.N. The allosteric transition of glycogen phosphorylase. Nature 1989, 340, 609–616. [Google Scholar] [CrossRef] [PubMed]
- Livanova, N.B.; Kornilaev, B.A. Structure, regulation, and denaturation of rabbit muscle glycogen phosphorylase b. Biochemistry 1996, 61, 1432–1442. [Google Scholar]
- Johnson, L.N.; O’Reilly, M. Control by phosphorylation. Curr. Opin. Struct. Biol. 1996, 6, 762–769. [Google Scholar] [CrossRef]
- Ortmeyer, H.K.; Bodkin, N.L.; Hansen, B.C. Insulin regulates liver glycogen synthase and glycogen phosphorylase activity reciprocally in rhesus monkeys. Am. J. Physiol. 1997, 272, E133–E138. [Google Scholar] [PubMed]
- Martin, J.L.; Veluraja, K.; Ross, K.; Johnson, L.N.; Fleet, G.W.J.; Ramsden, N.G.; Bruce, I.; Orchard, M.G.; Oikonomakos, N.G.; Papageorgiou, A.C.; et al. Glucose analogue inhibitors of glycogen phosphorylase: The design of potential drugs for diabetes. Biochemistry 1991, 30, 10101–10116. [Google Scholar] [CrossRef] [PubMed]
- Watson, K.A.; Mitchell, E.P.; Johnson, L.N.; Son, J.C.; Bichard, C.J.F.; Orchard, M.G.; Fleet, G.W.J.; Oikonomakos, N.G.; Leonidas, D.D.; Kontou, M.; et al. Design of inhibitors of glycogen phosphorylase: A study of .alpha.- and .beta.-C-glucosides and 1-thio-.beta.-d-glucose compounds. Biochemistry 1994, 33, 5745–5758. [Google Scholar] [CrossRef] [PubMed]
- Board, M.; Bollen, M.; Stalmans, W.; Kim, Y.; Fleet, G.W.J.; Johnson, L.N. Effects of C-1-substituted glucose analogue on the activation states of glycogen synthase and glycogen phosphorylase in rat hepatocytes. Biochem. J. 1995, 311, 845–852. [Google Scholar] [CrossRef]
- Martin, J.L.; Johnson, L.N.; Withers, S.G. Comparison of the binding of glucose and glucose 1-phosphate derivatives to T-state glycogen phosphorylase b. Biochemistry 1990, 29, 10745–10757. [Google Scholar] [CrossRef] [PubMed]
- Osei, K. Diabetes, Clinical Science in Practice; Leslie, R.D.G., Robbins, D.C., Eds.; Cambridge University: Cambridge, UK, 1995; Chapter 12; ISBN 0521450292. [Google Scholar]
- DeFronzo, R.A. The triumvirate: Cell, muscle, liver: A collusion responsible for NIDDM. Diabetes 1988, 37, 667–687. [Google Scholar] [CrossRef] [PubMed]
- Mio, S.; Ichinose, R.; Goto, K.; Sugai, S. Synthetic studies on (+)-hydantoicin: A total synthesis of (+)-hydantoicin, a new herbicidal metabolite from microorganism. Tetrahedron 1991, 47, 2111–2120. [Google Scholar] [CrossRef]
- Mio, S.; Kumagawa, Y.; Sugai, S. Synthetic studies on (+)-hydantocidin (3): A new synthetic method for construction of the spiro-hydantoin ring at the anomeric position of d-ribofuranose. Tetrahedron 1991, 47, 2133–2144. [Google Scholar] [CrossRef]
- Prisbe, E.J.; Smejkal, J.; Verheyder, J.P.H.; Moffat, L.J.G. Halo sugar nucleosides. V. Synthesis of angustmycin A and some base analogues. J. Org. Chem. 1976, 41, 1836–1846. [Google Scholar] [CrossRef] [PubMed]
- Chemla, P. Stereoselective Synthesis of (+)-Hydantocidin. Tetrahedron Lett. 1993, 34, 7391–7394. [Google Scholar] [CrossRef]
- Shiozaki, M. Syntheses of hydantocidin and C-2-thioxohydantocidin. Carbohydr. Res. 2002, 337, 2077–2088. [Google Scholar] [CrossRef]
- Mio, S.; Shiraishi, M.; Sugai, S. Synthetic studies on (+)-hydantocidin (2): Aldol addition approaches towards the stereoisomers of (+)-hydantocidin. Tetrahedron 1991, 47, 2121–2132. [Google Scholar] [CrossRef]
- Mio, S.; Ueda, M.; Hamura, M.; Kitakawa, J.; Sugai, S. Synthetic studies on (+)-hydantocidin (4): Synthesis of stereoisomers of (+)-hydantocidin. Tetrahedron 1991, 47, 2145–2154. [Google Scholar] [CrossRef]
- Fairbanks, A.J.; Fleet, G.W.J. Synthesis of 5-epihydantocidin from d-Ribose. Tetrahedron 1995, 51, 3881–3894. [Google Scholar] [CrossRef]
- Hsia, K.Y.; Ward, P.; Lamont, R.B.; Lilley, P.M.; De, Q.; Watkin, D.J.; Fleet, G.W.J. Formation of highly substituted cyclopentanes from radical and anionic Michael cyclisations of α-iodo-γ- and -δ-lactones. Tetrahedron Lett. 1994, 35, 4823–4826. [Google Scholar] [CrossRef]
- Mio, S.; Sane, H.; Shindou, M.; Honma, T.; Sugai, S. Synthesis and herbicidal activity of deoxy derivatives of (+)-hydantocidin. Agric. Biol. Chem. 1991, 55, 1105–1109. [Google Scholar]
- Burton, J.W.; Son, J.C.; Fairbanks, A.J.; Choi, S.S.; Taylor, H.; Watkin, D.J.; Winchester, B.G.; Fleet, G.W.J. Anomeric spirohydantoins of mannofuranose: Approaches to novel anomeric amino acids by oxidative ring contraction. Tetrahedron Lett. 1993, 34, 6119–6122. [Google Scholar] [CrossRef]
- Brandstetter, T.W.; Kim, Y.; Son, J.C.; Taylor, H.M.; Lilley, P.M.D.Q.; Watkin, D.J.; Johnson, L.N.; Oikonomakos, N.G.; Fleet, G.W.J. Spirohydantoins of glucofuranose: Analogues of hydantocidin. Tetrahedron Lett. 1995, 36, 2149–2152. [Google Scholar] [CrossRef]
- Blériot, Y.; Simone, M.I.; Wormald, M.R.; Dwek, R.A.; Watkin, D.J.; Fleet, G.W.J. Sugar amino acids at the anomeric position of carbohydrates: Synthesis of spirocyclic amino acids of 6-deoxy-l-lyxofuranose. Tetrahedron: Asymm. 2006, 17, 2276–2286. [Google Scholar] [CrossRef]
- Szewczyk, K. Aldono-1,5-lactones: Preparation, nucleophilic substitution and deoxygenation reactions. Pol. J. Chem. 2000, 74, 1275–1282. [Google Scholar]
- Bichard, C.J.F.; Mitchell, E.P.; Wormald, M.R.; Watson, K.A.; Johnson, L.N.; Zographos, S.E.; Koutra, D.D.; Oikonomakos, N.G.; Fleet, G.W.J. Potent inhibition of glycogen phosphorylase by a spirohydantoin of glucopyranose: First pyranose analogues of hydantocidin. Tetrahedron Lett. 1995, 36, 2145–2148. [Google Scholar] [CrossRef]
- Bichard, C.J.F.; Wheatley, J.R.; Fleet, G.W.J. Acetonides of heptonolactones: Kiliani ascension of 3-O-benzyl-d-glucose and 3-O-benzyl-d-allose. Tetrahedron Asymm. 1994, 5, 431–440. [Google Scholar] [CrossRef]
- Fuente, C.; Krülle, T.M.; Watson, K.A.; Gregoriou, M.; Johnson, L.N.; Zographos, S.E.; Oikonomakos, N.G.; Fleet, G.W.J. Glucopyranose analogues of spirohydantoins: Specific inhibitors of glycogen phosphorylase. Synlett 1997, 485–487. [Google Scholar] [CrossRef]
- Wheatley, J.R.; Beacham, A.R.; Lilley, P.M.D.Q.; Watkin, D.J.; Fleet, G.W.J. Ketals of l-rhamnoheptonolactones: Potential mimics of l-rhamnose. Tetrahedron Asymm. 1994, 5, 2523–2534. [Google Scholar] [CrossRef]
- Estevez, J.C.; Smith, M.D.; Lane, A.L.; Crook, S.; Watkin, D.J.; Besra, G.S.; Brennan, P.J.; Nash, R.J.; Fleet, G.W.J. Mimics of l-rhamnose: Analogues of rhamnopyranose containing a constituent amino acid at the anomeric position. A rhamnopyranose analogue of hydantocidin. Tetrahedron Asymm. 1996, 7, 391–394. [Google Scholar] [CrossRef]
- Brandstetter, T.W.; Wormald, M.R.; Dwek, R.A.; Butters, T.D.; Platt, F.M.; Tsitsanou, K.E.; Zographos, S.E.; Oikonomakos, N.G.; Fleet, G.W.J. A galactopyranose analogue of hydantocidin. Tetrahedron Asymm. 1996, 7, 157–170. [Google Scholar] [CrossRef]
- Köll, P.; Frötsch, A. Ein neuer effizienter weg zur darstellung von glycopyranosylcyaniden (2,6-anhydroaldononitrilen) ohne nachbargruppenbeteiligung. Reduktion von 2,6-anhydro-1-desoxy-1-nitroalditolen mit phosphortrichlorid. Carbohydr. Res. 1987, 171, 301–315. [Google Scholar] [CrossRef]
- Elliott, R.P.; Hui, A.; Fairbanks, A.J.; Nash, R.J.; Winchester, B.G.; Way, G.; Smith, C.; Lamont, B.; Storer, R.; Fleet, G.W.J. Highly substituted cis-β-cyclopentane amino acids: An approach to the synthesis of trehazolin analogues. Tetrahedron Lett. 1993, 34, 7949–7952. [Google Scholar] [CrossRef]
- Fairbanks, A.J.; Elliott, R.P.; Smith, C.; Hui, A.; Way, G.; Storer, R.; Taylor, H.; Watkin, D.J.; Winchester, B.G.; Fleet, G.W.J. Synthesis of cyclopentane spirohydantoins by aldol cyclisations: An approach to highly substituted α-cyclopentane amino acids. Tetrahedron Lett. 1993, 34, 7953–7956. [Google Scholar] [CrossRef]
- Skead, B.M.; Fleet, G.W.J.; Saunders, J.R.B.; Lament, R.B. Cyclic sulphates of δ-lactones in the synthesis of tetrahydrofurans, tetrahydropyrans and cyclohexanes. Tetrahedron Lett. 1993, 34, 6115–6118. [Google Scholar] [CrossRef]
- Fairbanks, A.J.; Hui, A.; Skead, B.M.; Lilley, P.M.; Lamont, R.B.; Storer, R.; Saunders, J.; Watkin, D.J.; Fleet, G.W.J. Polyhydroxylated cyclohexane and cyclopentane α-amino acids from cyclisations of an azidolactone. Tetrahedron Lett. 1994, 35, 8891–8894. [Google Scholar] [CrossRef]
- Sano, H.; Sugai, S. Synthesis of (±)-carbocyclic analogue of spirohydantoin nucleoside. Tetrahedron 1995, 51, 4635–4646. [Google Scholar] [CrossRef]
- Sano, H.; Sugai, S. Synthesis of an optically active carbocyclic derivative of (+)-hydantocidin. Tetrahedron Asymm. 1995, 6, 1143–1150. [Google Scholar] [CrossRef]
- Pham, T.Q.; Pyne, S.G.; Skelton, B.W.; White, A.H. Synthesis of carbocyclic hydantocidins via regioselective and diastereoselective phosphinecatalyzed [3 + 2]-cycloadditions to 5-methylenehydantoins. J. Org. Chem. 2005, 70, 6369–6377. [Google Scholar] [CrossRef] [PubMed]
- Hanessian, S.; Sancéau, J.-Y.; Chemla, P. Synthesis of surrogate structures related to the herbicidal agent hydantocidin. Tetrahedron 1995, 51, 6669–6678. [Google Scholar] [CrossRef]
- Sano, H.; Mio, S.; Kitagawa, J.; Shindou, M.; Honma, T.; Sugai, S. Synthesis of spirothiohydantoin analogues of hydantocidin. Tetrahedron 1995, 51, 12561–12572. [Google Scholar] [CrossRef]
- Lamberth, C.; Blarer, S. Concise approach to 1-thia-hydantocidin. Synth. Commun. 1996, 26, 75–81. [Google Scholar] [CrossRef]
- Utimoto, K.; Wakabayashi, Y.; Horiie, T.; Inoue, M.; Shishiyama, Y.; Obayashi, M.; Nozaki, H. Cyanotrimethylsilane as a versatile reagent for introducing cyanide functionality. Tetrahedron 1983, 39, 967–973. [Google Scholar] [CrossRef]
- Osz, E.; Somsák, L.; Sziládgy, L.; Dinya, Z. A Straightforward route to hydantocidin analogues with pyranose ring structure. Tetrahedron 1997, 53, 5813–5824. [Google Scholar] [CrossRef]
- Osz, E.; Somsák, L.; Sziládgy, L.; Kováks, L.; Docsa, T.; Tóth, B.; Gergely, P. Efficient inhibition of muscle and liver glycogen phosphorylases by a new glucopyranosylidene-spiro-thiohydantoin. Bioorg. Med. Chem. Lett. 1999, 9, 1385–1390. [Google Scholar] [CrossRef]
- Somsák, L.; Nagy, V.; Docsa, T.; Tóth, B.; Gergely, P. Gram-scale synthesis of a glucopyranosylidene-spirothiohydantoin and its effect on hepatic glycogen metabolism studied in vitro and in vivo. Tetrahedron Asymm. 2000, 11, 405–408. [Google Scholar] [CrossRef]
- Somsák, L.; Nagy, V. A new, scalable preparation of a glucopyranosylidene-spiro-thiohydantoin: One of the best inhibitors of glycogen phosphorylases. Tetrahedron Asymm. 2000, 11, 1719–1727. [Google Scholar] [CrossRef]
- Somsák, L.; Batta, G.; Farkas, I. Preparation of acetylated C-(1-bromo-d-glycosyl) heterocycles and 1-bromo-d-glycosyl cyanides. Carbohydr. Res. 1983, 124, 43–51. [Google Scholar] [CrossRef]
- Ghoneim, A.A. Synthesis of some nucleosides derivatives from l-rhamnose with expected biological activity. Chem. Cent. J. 2011, 5, 7–11. [Google Scholar] [CrossRef] [PubMed]
- Lockhoff, O. Acetale als anomere zentren von kohlenhydraten (Hal/O- und O/O-Acetale). In Methoden der Organischen Chemie (Houben-Weyl); Hagemann, H., Klamann, D., Eds.; Thieme: Stuttgart, Germany, 1992; Volume E14a/3, p. 708. ISBN 1588900223. [Google Scholar]
- Adamczeski, M.; Reed, A.R.; Crews, P. New and known diketopiperazines from the caribbean sponge, calyx cf. podatypa. J. Nat. Prod. 1995, 58, 201–208. [Google Scholar] [CrossRef] [PubMed]
- Funabashi, Y.; Horiguchi, T.; Iinuma, S.; Tanida, S.; Hamda, S. TAN-1496 A, C and E, diketopiperazine antibiotics with inhibitory activity against mammalian DNA topoisomerase I. J. Antibiot. 1994, 47, 1202–1218. [Google Scholar] [CrossRef] [PubMed]
- Barrow, C.I.; Musza, L.L.; Cooper, R. Structure-activity studies of the natural product substance P antagonist win 64821. Bioorg. Med. Chem. Lett. 1995, 5, 377–380. [Google Scholar] [CrossRef]
- Estevez, J.C.; Ardron, H.; Wormald, M.R.; Brown, D.; Fleet, G.W.J. Spirocyclic peptides at the anomeric position of mannofuranose. Tetrahedron Lett. 1994, 35, 8889–8890. [Google Scholar] [CrossRef]
- Estevez, J.C.; Burton, J.W.; Estevez, R.J.; Ardron, H.; Wormald, M.R.; Dwek, R.A.; Brown, D.; Fleet, G.W.J. Spirodiketopiperazines of mannofuranose: Carbopeptoid α-amino acid esters at the anomeric position of mannofuranose. Tetrahedron Asymm. 1998, 9, 2137–2154. [Google Scholar] [CrossRef]
- Estévez, J.C.; Estévez, R.J.; Ardron, H.; Wormald, M.R.; Brown, D.; Fleet, G.W.J. Tri- and tetra-peptides incorporating an α-amino acid at the anomeric position of mannofuranose. Tetrahedron Lett. 1994, 35, 8885–8888. [Google Scholar] [CrossRef]
- Long, D.D.; Tennant-Eyles, R.J.; Estevez, J.C.; Wormald, M.R.; Dwek, R.A.; Smith, M.D.; Fleet, G.W.J. Carbopeptoids: Peptides and diketopiperazines incorporating the anomeric centre of mannopyranose. J. Chem. Soc. Perkin Trans. 1 2001, 8, 807–813. [Google Scholar] [CrossRef]
- Krülle, T.M.; Watson, K.A.; Gregoriou, M.; Johnson, L.N.; Crook, S.; Watkin, D.J.; Griffiths, R.C.; Nash, R.J.; Tsitsanou, K.E.; Zographos, S.E.; et al. Specific inhibition of glycogen phosphorylase by a spirodiketopiperazine at the anomeric position of glucopyranose. Tetrahedron Lett. 1995, 36, 8291–8294. [Google Scholar] [CrossRef]
- Estevez, J.C.; Saunders, J.; Besra, G.S.; Brennan, P.J.; Nash, R.J.; Fleet, G.W.J. Mimics of l-rhamnose: Synthesis of C-glycosides of l-rhamnofuranose and an α-azidoester as divergent intermediates for combinatorial generation of rhamnofuranose libraries. Tetrahedron Asymm. 1996, 7, 383–386. [Google Scholar] [CrossRef]
- Paquette, L.A.; Brand, S.; Behrens, C. An enantioselective ring expansion route leading to furanose and pyranose nucleosides featuring spirodiketopiperazines at the anomeric position. J. Org. Chem. 1999, 64, 2010–2025. [Google Scholar] [CrossRef] [PubMed]
- Kyogoku, Y.; Lord, R.C.; Rich, A. Specific hydrogen bonding of barbiturates to adenine derivatives. Nature 1968, 218, 69–72. [Google Scholar] [CrossRef] [PubMed]
- Ito, T.; Suzuki, T.; Wellman, S.E.; Ho, I.K. Pharmacology of barbiturate tolerance/dependence: GABAA receptors and molecular aspects. Life Sci. 1996, 59, 169–195. [Google Scholar] [CrossRef]
- Renard, A.; Lhomme, J.; Kotera, M. Synthesis and properties of Spiro nucleosides containing the barbituric acid moiety. J. Org. Chem. 2002, 67, 1302–1307. [Google Scholar] [CrossRef] [PubMed]
- Sano, H.; Mio, S.; Kitakawa, J.; Sugai, S. Stereocontrolled synthesis of spirodihydrouracil nucleoside. Tetrahedron Asymm. 1994, 5, 2233–2240. [Google Scholar] [CrossRef]
- Sano, H.; Mio, S.; Hamura, M.; Kitagawa, J.; Shindou, M.; Honma, T.; Sugai, S. Synthesis and herbicidal activity of hydantocidin analogues: Modification of the carbonyl groups in spirohydantoin. Biosci. Biotechnol. Biochem. 1995, 59, 2247–2250. [Google Scholar] [CrossRef]
- Fuentes, J.; Salameh, B.A.B.; Pradera, M.A.; Fernandez de Cordoba, F.J.; Gasch, C. Stereocontrolled synthesis of thiohydantoin spiro-nucleosides from sugar spiroacetals. Tetrahedron 2006, 62, 97–111. [Google Scholar] [CrossRef]
- Gasch, C.; Pradera, M.A.; Salameh, B.A.B.; Molina, J.L.; Fuentes, J. Isothiocyanato derivatives of sugars in the stereoselective synthesis of spironucleosides and spiro-C-glycosides. Tetrahedron Asymm. 2001, 12, 1267–1277. [Google Scholar] [CrossRef]
- Vangala, M.; Shinde, G.P. Synthesis of d-fructose-derived spirocyclic 2-substituted-2-oxazoline ribosides. Beilstein J. Org. Chem. 2015, 11, 2289–2296. [Google Scholar] [CrossRef] [PubMed]
- Kraft, J.; Golkowski, M.; Ziegler, T. Spiro-fused carbohydrate oxazoline ligands: Synthesis and application as enantio-discrimination agents in asymmetric allylic alkylation. Beilstein J. Org. Chem. 2016, 12, 166–171. [Google Scholar] [CrossRef] [PubMed]
- Soengas, R.G. A straightforward route to novel α,α-disubstituted tetrahydrofuran β-amino acids and spirodiketopiperazines from sugar lactones. Synlett 2010, 2549–2552. [Google Scholar] [CrossRef]
- Maza, S.; López, O.; Martos, S.; Maya, I.; Fernández-Bolaños, J.G. Synthesis of the first selenium-containing acyclic nucleosides and anomeric spironucleosides from carbohydrate precursors. Eur. J. Org. Chem. 2009, 5239–5246. [Google Scholar] [CrossRef]
- Taillefumier, C.; Thielges, S.; Chapleur, Y. Anomeric spiro-annelated 1,4-diazepine 2,5-diones from furano exo-glycals: Towards a new class of spiro-nucleosides. Tetrahedron 2004, 60, 2213–2224. [Google Scholar] [CrossRef]
- Lakhrissi, M.; Chapleur, Y. Wittig Olefination of Lactones. Angew. Chem. Int. Ed. Engl. 1996, 35, 750–752. [Google Scholar] [CrossRef]
- Nakahara, T.; Okamoto, N.; Suzuki, K.; Kanie, O. Synthetic studies towards a new scaffold, spirobicycloimidazoline. Carbohydr. Res. 2008, 343, 1624–1635. [Google Scholar] [CrossRef] [PubMed]
- Martin, A.; Perez-Martin, I.; Suarez, E. Intramolecular hydrogen abstraction promoted by amidyl radicals. Evidence for electronic factors in the nucleophilic cyclization of ambident amides to oxocarbenium ions. Org. Lett. 2005, 7, 2027–2030. [Google Scholar] [CrossRef] [PubMed]
- Pal, A.P.J.; Kadigachalam, P.; Mallick, A.; Doddi, V.R.; Vankar, Y.D. Synthesis of sugar-derived spiroaminals via lactamization and metathesis reactions. Org. Biomol. Chem. 2011, 9, 809–819. [Google Scholar]
- Pal, A.P.J.; Vankar, Y.D. Azidation of anomeric nitro sugars: Application in the synthesis of spiroaminals as glycosidase inhibitors. Tetrahedron Lett. 2010, 51, 2519–2524. [Google Scholar]
- Martin, A.; Perez-Martin, I.; Suarez, E. Synthesis of oxa-aza spirobicycles by intramolecular hydrogen atom transfer promoted by N-radicals in carbohydrate systems. Tetrahedron 2009, 65, 6147–6155. [Google Scholar] [CrossRef]
- Benltifa, M.; De Kiss, M.; Garcia-Moreno, M.I.; Mellet, C.O.; Gueyrard, D.; Wadouachi, A. Regioselective synthesis and biological evaluation of spiro-sulfamidate glycosides from exo-glycals. Tetrahedron Asymm. 2009, 20, 1817–1823. [Google Scholar] [CrossRef]
- Zavgorodny, S.G. A novel type of anhydronucleosides to model syn-conformers of natural nucleosides. Tetrahedron Lett. 1981, 22, 3003–3006. [Google Scholar] [CrossRef]
- Farkaii, J.; Sorm, F. Nucleic acid components and their analogues. XXX. The synthesis of psicofuranine. Collect. Czechoslov. Chem. Commun. 1963, 28, 882–886. [Google Scholar] [CrossRef]
- Gimisis, T.; Castellari, C.; Chatgilialoglu, C. A new class of anomeric spironucleosides. Chem. Commun. 1997, 0, 2089–2090. [Google Scholar] [CrossRef]
- Groziak, M.P.; Koohang, A.; Stevens, W.C.; Robinson, P.D. A new class of nucleosides possessing unusual physical properties: Syntheses, hydration, and structural equilibria of 1-(.beta.-d-glycofuranosyl)uracil-6-carboxaldehydes. J. Org. Chem. 1993, 58, 4054–4060. [Google Scholar] [CrossRef]
- Chatgilialoglu, C.; Ferreri, C.; Gimisis, T. Anionically induced formation of anomeric spironucleosides from l′-C-Cyano-2′-deoxyuridine. Tetrahedron Lett. 1999, 40, 2837–2840. [Google Scholar] [CrossRef]
- Chatgilialoglu, C.; Ferreri, C.; Gimisis, T.; Roberti, M.; Balzarini, J.; De Clercq, E. Synthesis and biological evaluation of novel branched and spironucleoside analogues. Nucleosides Nucleotides Nucleic Acids 2004, 23, 1565–1581. [Google Scholar] [CrossRef] [PubMed]
- Dell’Isola, A.; McLachlan, M.M.W.; Neuman, B.W.; Al-Mullah, H.M.N.; Binks, A.W.D.; Elvidge, W.; Shankland, K.; Cobb, A.J.A. Synthesis and antiviral properties of spirocyclic [1,2,3]-triazolooxazine nucleosides. Chem. Eur. J. 2014, 20, 11685–11689. [Google Scholar] [CrossRef] [PubMed]
- Perali, R.S.; Mandava, S.; Bandi, R. A convenient synthesis of l-ribose from d-fructose. Tetrahedron 2011, 67, 4031–4035. [Google Scholar] [CrossRef]
© 2017 by the authors. Licensee MDPI, Basel, Switzerland. This article is an open access article distributed under the terms and conditions of the Creative Commons Attribution (CC BY) license (http://creativecommons.org/licenses/by/4.0/).


























































