Abstract
Pyrazino[2,1-a]isoquinolin analogues were reported as potent activators of Nrf2/ARE signaling both in vitro and in vivo by our group. In this study, we simplified the ring system to investigate the functions of various parts of the pyrazino[2,1-a]isoquinolin scaffold. We proved that the tetrahydroisoquinoline was not essential for activity and the pyrido[1,2-a]pyrazin analogues 3b and 3g retained the cellular Nrf2/ARE activation activity. Besides, this simplification significantly enhanced water solubility and membrane permeability, indicating that these compounds are more favourable for the further development of therapeutic agents around Nrf2 activation.
1. Introduction
Nuclear factor erythroid 2-related factor 2 (Nrf2) is a key transcription factor which plays a central role in inducible expression of many cytoprotective proteins in response to oxidative and electrophilic stress [1,2]. Under normal condition, Nrf2 is constantly degraded via the ubiquitin-proteasome in Kelch-like ECH-associated protein 1 (Keap1)-dependent manner in the cell cytoplasm [3,4]. Under oxidative or electrophilic stressed conditions, the thiols of Keap1 are modified by oxidization or alkylation resulting in the change of Keap1 conformation and the cease of Nrf2 ubiquitination and degradation. Then, the newly synthesized Nrf2 can translocate into nuclei to induce the transcription of target genes with Maf proteins [4,5,6]. These target genes all contain the enhancer sequence of antioxidant response element (ARE) in their promoter regulatory region, which are involved in glutathione synthesis, elimination of reaction oxygen species (ROS), detoxification of xenobiotics, and drug transport [7,8].
Therefore, identifying Nrf2 activators has been regarded as a potential strategy in the development of antioxidant, anti-inflammatory, or chemoprevention agents [9,10]. However, until now the progress in druglike Nrf2/ARE inducers discovery is limited [11]. The most successful Nrf2/ARE inducers are traditional electrophilic Nrf2 activators, which may mimic this endogenous process of Nrf2 by Keap1 thiols modification [12,13]. For example, Dimethyl fumarate (DMF) and synthetic triterpenoid bardoxolone methyl (CDDO-Me) are two well-known Nrf2 inducers (Figure 1) [14,15]. DMF has been approved by the FDA as a first-line oral drug for relapsing forms of multiple sclerosis (MS).
Figure 1.
Structures of Dimethyl fumarate (DMF), synthetic triterpenoid bardoxolone methyl (CDDO-Me), 1 and 2.
Our group previously discovered a novel small-molecule Nrf2/ARE inducer 1 by screening the in-house database using luciferase reporter assay (26.87-fold induction of ARE at 10 μM) [16]. This compound could induce the nuclear translocation of Nrf2 and the expression of NAD(P)H/quinone oxidoreductase 1 (NQO1) and heme oxygenase-1 (HO-1) in human colorectal cancer cells (HCT116), and significantly inhibit the development of colorectal adenomas in the azoxymethane (AOM)-dextran sodium sulfate (DSS) mouse model. For a preliminary structure-activity relationship (SAR) investigation, a more potent compound 2 with –F substitution at meta position of D ring was identified (33.00-fold induction of ARE at 10 μM). However, in later studies, 2 showed disadvantages in physicochemical properties, especially poor water solubility (0.022 μg/μL, pH 7.4) and poor membrane permeability (11.680 × 10−6 cm/s, pH 7.4). The poor physicochemical properties may be from the complex ring systems and the rigid backbone. Thus, we conducted a forward investigation of the structure-activity and structure-property relationships of the ring systems to improve the drug-like properties.
2 contains four rings (A, B, C, D) and a, β-unsaturated ketone. According to DMF and CDDO-Me [17], a, β-unsaturated ketone is essential for Nrf2/ARE induction. Thus, in this study, we retained a, β-unsaturated ketone and mainly focused our efforts on investigating the compounds with polar side chains at D ring and compounds without A ring or D ring, for finding novel Nrf2/ARE inducers with comparable in vitro efficacy and enhanced physicochemical properties.
Herein, as a part of our ongoing program, we synthesized 24 compounds in three series totally and determined the induction folds of ARE activity in HepG2-ARE-C8 cell and IC50 values in HCT116 cells. First, we retained the backbone and introduced polar group substitutions at the benzene ring D by amino group (1a–1e). The results showed that introduction of the polar groups at the D ring was unfavorable to ARE induction activity. Secondly, various replacements of benzene ring D resulted in much weaker Nrf2 activators, 2a–2i. The results showed that the benzene ring D is a key driver of the Nrf2/ARE induction effects. Finally, the removal of benzene ring A resulted in 3a–3j, containing the pyrido[1,2-a]pyrazin scaffolds. 3b and 3g had comparable effects on ARE induction at 10 μM. 3g could elevate protein levels of Nrf2 and Nrf2-regulated genes, NAD(P)H: quinone oxidoreductase-1 (NQO1). Subsequently, physicochemical properties of 1e, 2c, 3a, 3b and 3g were determined for further analysis, including pKa, partition coefficient (log D, pH 7.4), permeability (Pe) and water solubility (solubility, pH 7.4). They showed higher permeability and water solubility than 2. Taken together, 3b and 3g showed improved physicochemical properties with comparable inducing activities of Nrf2/ARE at the cellular level. Thus, 3b and 3g were deserved further optimization with the aim to obtain therapeutic agents through Keap1-Nrf2-ARE pathways.
2. Results and Discussions
2.1. Chemistry
1a–1e were synthesized according to the protocol outlined in Scheme 1. Intermediate 8 was furnished via acylated, alkylated, cyclizated, reducted, deprotected from phenethylamine. At the same time, meta or para amino substituted acetophenone with diethyl oxalate via Claisen condensation gave the respective 10. Subsequent reaction of 8 with 10 afforded the corresponding products 1a–1b. Acylation of 1a–1b resulted in 1c–1e.
Scheme 1.
Structures and synthesis of 1a–1e. Reagents and conditions: (a) chloracetyl chloride, NaHCO3, DCM, 0–10 °C, 2 h; (b) phthalimide potassium, DMF, 90 °C, 12 h; (c) P2O5,CH3CN, reflux, 2 h; (d) NaBH4, CH3OH, 25 °C, 3 h; (e) NaBH4, i-PrOH/H2O (6:1), AcOH, 80 °C, 2 h; (f) diethyl oxalate, NaOMe, MeOH, reflux, 4 h; (g) NaHCO3, EtOH, H2O, AcOH, reflux, 2 h; (h) SnCl2·2H2O, EA, reflux, 12 h; (i) acid anhydride or acid chloride, DMF, 30–90 °C, 4–24 h.
The synthesis routes of 2a–2i was similar with those of 1a–1e from the same intermediate 8 (Scheme 2). Acetylated materials 9 with diethyl oxalate via Claisen condensation gave the respective 10. Subsequent reaction of 8 with 10 afforded the corresponding products 2a–2i.
Scheme 2.
Structures and synthesis of 2a–2i. Reagents and conditions: (j) diethyl oxalate, NaOMe, MeOH, reflux, 4 h; (k) NaHCO3, EtOH, H2O, AcOH, reflux, 2 h.
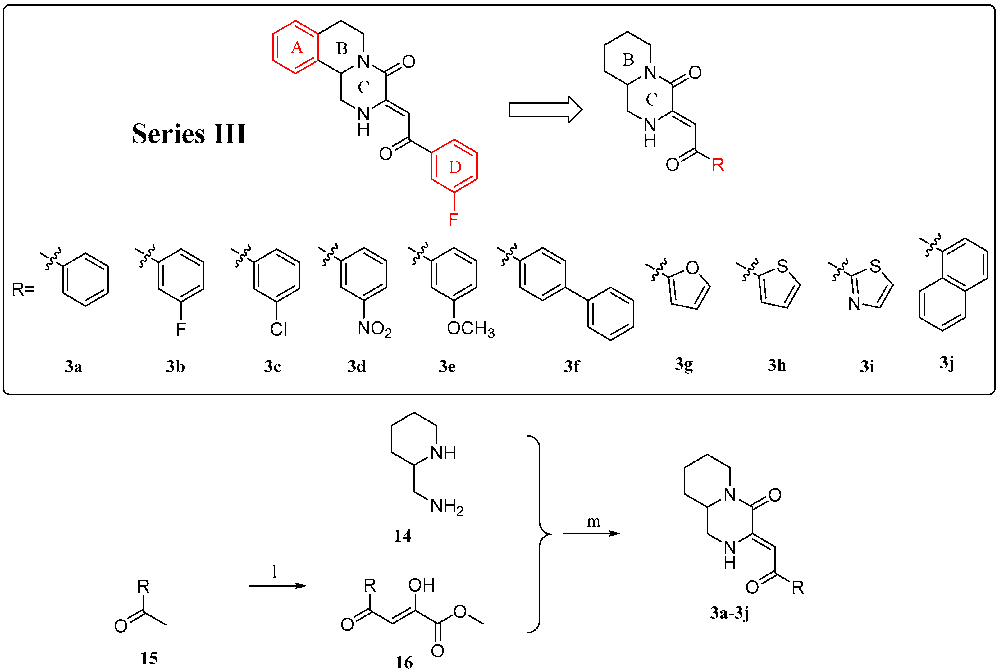
3a–3j were synthesized according to the protocol outlined in Scheme 3. Acetylated materials 15 with diethyl oxalate via Claisen condensation gave the respective 16. Subsequent reaction of 16 with 14 afforded the corresponding products 3a–3j.
Scheme 3.
Structures and synthesis of 3a–3j. Reagents and conditions: (l) diethyl oxalate, NaOMe, MeOH, reflux, 4 h; (m) NaHCO3, EtOH, H2O, AcOH, reflux, 2 h.
2.2. ARE Luciferase Reporter Assay and Cytotoxicity Evaluation
All the derivatives were evaluated for their ability to induce ARE in HepG2-ARE-C8 cell (HepG2 cells stably transfected with a luciferase reporter) by ARE luciferase reporter assay, and they were compared to the lead compound 2. At the same time, cytotoxicity studies were performed by the MTT assay against the HCT116 cells. The results of cytotoxic activity in vitro were expressed as the IC50 [18]. Because those compounds were designed for chemoprevention, they should not be cytotoxic. In general, as shown in Table 1, it was found that all of the compounds showed moderate cytotoxicity against the HCT116 cell line (IC50 ≥ 92.36 μM).
Table 1.
Induction fold of antioxidant response element (ARE) activity in HepG2-ARE-C8 cell and IC50 value measured in HCT116 cells of Series I, II and III compounds.
The previously reported ARE induction fold and IC50 value for 2 were 33.00-fold (10 μM) and >100 μM, respectively. The present measured ARE induction fold and IC50 value for 2 were 31.17-fold (10 μM) and 165.1 μM, respectively, consistent to the reported data. It is worth mentioning that 2 dose dependently induced ARE below 10 μM as usual, but reversed at 50 μM and 100 μM (Table 1). The reversal at high concentration may be due to the cytotoxicity at the high administrated concentration. Thus, we chose the induction folds at 10 μM to evaluate the induction activity in the ensuing discussion. Besides, in comparison, the moderate Nrf2 activator tert-butylhydroquinone (tBHQ) showed 10.79-fold induction at 100 μM (Table 1).
In general, 24 compounds showed quite different ARE induction activities in the ARE luciferase reporter assay. In the first series, 1a–1e showed the dramatic decrease in activity, indicated that the polar group cannot replace the –F on D ring. 1e, with morpholinecarbonyl is the most potent one in this series without a reversal at a high concentration.
In the next series, considering the rigid ring systems may lead to the unacceptable physicochemical properties, various replacements of the planar aromatic π system D ring were chosen as the next optimization sites. Replacements of rigid D ring with more flexible n-propyl, cyclopropyl, cyclobutyl, cyclopentyl, cyclohexyl, and cyclohexene resulted in 2a–2f. The luciferase reporter assay results showed that almost all of them showed a dramatic decrease in activity, indicating the necessary of the benzene ring. On the other hand, much larger rigid structures, the indole ring 2g, quinoline ring 2h and phenylmorpholine 2i were synthesized for further SAR studies. Induction fold of those three candidates 2g–2i were even smaller than that of six previous candidates 2a–2f. In this series, 2c showed some interesting characters. It was the most effective in ARE induction in this series, and its ARE induction effect was dose-dependent for the whole concentration ranges. 2i with phenylmorpholine group showed dramatically decreased activity followed the trend of polar group substitution at D ring as described above. In summary, the lower right corner of the structure is the key driver of the Nrf2/ARE induction effects, and the benzene ring with 3-F substitution was still the best so far.
In the last series, the upper left corner benzene ring A were chosen as the next optimization. Removal of A ring in 2 gave 3b, and it had a comparable effect on ARE induction at 10 μM, which indicated that A ring was not the determinant for activity. Secondly, replacements of F with H, electron-donating groups and electron-withdrawing groups gave 3a, 3c, 3d, 3e and 3f. Generally, none of them are comparable with 3b in activity. It was consistent with that the benzene ring with 3-F substitution was the best. 3e and 3f with an electron-donating group were not preferred for ARE induction activity, whereas the 3c and 3d with an electron-withdrawing group exhibited better performance. This observation indicated that electron-withdrawing groups in the Michael acceptor may be beneficial for the covalent modification with Keap1 cysteine residues.
According to above research, replacements of D ring with both cycloalkanes and fused heterocycles (indole and quinolone) reduced activities. Thus, we focused on the replacements of single heterocycles and naphthalene in this series, and synthesized 3g–3j. The replacement of D ring for naphthalene ring 3j showed little effect on ARE induction activity, whereas the furan ring 3g, thiophene ring 3h, and thiazole ring 3i showed increased activity. 3g dose dependently increased ARE induction effects at all of the chosen concentrations, and it showed 27.01-fold induction of ARE at 10 μM and 79.74-fold at 100 μM. Also, the IC50 value of MTT assay showed that 3g was not cytotoxic in the administrated concentration (the IC50 value of 3g was more than 300 μM). Considering that both 3b and 3g remarkably activated ARE without A ring. We summarized that and benzene ring A was not critical for Nrf2/ARE inducing activity and it could be removed. The novel pyrido[1,2-a]pyrazin scaffold of the Nrf2 activator was obtained by removal of A ring of pyrazino[2,1-a]isoquinolin scaffold.
2.3. Western Blot Assay
Compound 3g was selected to evaluate its capacity to activate the expression of Nrf2-regulated NQO1 by measuring the protein levels in HCT116 via Western Blot [19]. In comparison, tBHQ induced expression of NQO1 at 100 μM. As shown in Figure 2, NQO1 were induced by 3g in a concentration-dependent manner, and the effect is better than tBHQ at 100 μM. Moreover, 3g also elevated the protein level of Nrf2 at 10 μM, and the up-regulation effect is more remarkable than tBHQ at 100 μM. Those data further confirmed that 3g bearing pyrido[1,2-a]pyrazin scaffold could elevate both Nrf2 and downstream proteins of Nrf2 at the cellular level.
Figure 2.
3g can elevate the protein level of Nrf2 and NQO1.
2.4. Physicochemical Properties
Then we evaluated the physicochemical properties of a selected series of our compounds. 1e and 2c were chosen as a representation of series I and series II, respectively. 3a, 3b and 3g were selected from the most potent series III. All of them were evaluated with pKa, partition coefficient (log D, pH 7.4), membrane permeability (Pe, pH 7.4) and water solubility. The pKa and distribution coefficient (log D, pH 7.4) were determined according to the methods of Avdeef and Tsinman on a Gemini Profiler instrument (pION) by the “goldstandard” Avdeef-Bucher potentiometric titration method. Permeability (Pe) was determined by a standard parallel artificial membrane permeability assay (PAMPA by pION). Ketoprofen and propranolol were chosen as a control. Ketoprofen shows poor membrane permeability, while propranolol shows good membrane permeability.
As shown in Table 2, when compared with 2, almost all of the new synthetic compounds had better membrane permeability and water solubility. This indicated that three strategies of introducing side chains at D ring and removing D ring or A ring were favorable for physicochemical properties. We found 3b and 3g significantly enhanced water solubility and membrane permeability with comparable in vitro inducing activities of Nrf2/ARE (32.97-fold and 27.01-fold induction of ARE at 10 μM). Whether 3b and 3g were better than 2 in vivo is still unrevealed and is worth being confirmed in further research.
Table 2.
Physicochemical properties of selected compounds.
3. Conclusions
In summary, three series of compounds were synthesized and evaluated as efficient activators for Nrf2 (Figure 3). The SAR studies revealed that the induction fold for ARE were not favored by the introduction of polar side chains at D ring. The lower right corner of the structure is a key driver of the Nrf2/ARE induction effects. Removal of A ring with proper lower right corner ring, such as 3-F benzene ring (3b) and furan ring (3g), can not only retain Nrf2/ARE induction activity, but also improve the physicochemical properties. The novel pyrido[1,2-a]pyrazin scaffold was obtained by removal of A ring of pyrazino[2,1-a]isoquinolin scaffold. Our Western Blot studies supported that the novel scaffold of pyrido[1,2-a]pyrazin structure still can elevate both Nrf2 and NQO1 at cellular level. These findings encourage further investigations of the novel pyrido[1,2-a]pyrazin analogues as Nrf2 chemoprevention agents.
Figure 3.
SAR results and developments of pyrazino[2,1-a]isoquinolin analogue 2 and pyrido[1,2-a]pyrazin analogues 3b and 3g.
4. Materials and Methods
4.1. Chemistry
4.1.1. General Chemistry
All reagents were purchased from commercial sources and unless otherwise noted, were used without further purification. All of the synthesized compounds were characterized with 1H-NMR, 13C-NMR (300 MHz, Bruker, Karlsruhe, Germany), and HRMS (ESI+). Purity (≥95%) of target compounds was determined by the HPLC study performed on Agilent C18 (4.6 mm × 150 mm, 3.5 μm) column and peak detection at 254 nm under UV. ESI-mass and high resolution mass spectra (HRMS) were recorded on a Water Q-Tofmicro mass spectrometer. Analytical results are within 0.40% of the theoretical values.
4.1.2. General Procedure for the Preparation of Compounds 1a–1e
A solution of diethyl oxalate (1.82 mL, 13.40 mmol) and 9 (1.37 g, 8.32 mmol) in CH3OH (50 mL) was added dropwise to a solution of CH3ONa in CH3OH (3.33 mL of mol/L, 16.64 mmol), and the reaction was allowed to proceed at reflux for 4 h. After cooling to room temperature (RT), the mixture was poured into water (100 mL) and acidified with HCl (2 mL of 37% w/v). The precipitate was filtered to afford the respective product 10. Yield 48–54%.
A solution of NaHCO3 (672 mg, 8 mmol) in water (4 mL) was added to a solution of the 8 (940 mg, 4 mmol) in ethanol (4 mL) and slightly heated until the evolution of gas ceased. A solution of the 10 (1004 mg, 4 mmol) in ethanol (4 mL) and glacial AcOH (2 mL) was then added and refluxed for 2 h. After cooling, the precipitated solid 11 was filtered off and recrystallized from ethanol. Yield 55–57%.
11 (727 mg, 2 mmol) was dissolved in ethyl acetate (80 mL), after which SnCl2·2H2O (2.26 g, 10 mmol) was added. The reaction mixture was stirred at room temperature for 12 h. Ethyl acetate (200 mL) was added for the completely soluble mixture. Then, saturated sodium bicarbonate solution was added. The mixture was stirred for 15 min, followed by filtration. The organic extracts were concentrated in vacuo to give the product 1a–1b. Yield 74–79%. 1a or 1b (100 mg, 0.3 mmol) was dissolved in DMF (2 mL), after which acetic anhydride (28.3 μL, 0.3 mmol) was added. The reaction mixture was stirred at room temperature for 4 h. The mixture was poured to water (50 mL). The precipitate was filtered and dried to give the product 1c–1d. Yield 60–61%. 1a (100 mg, 0.3 mmol) was dissolved in DMF (2 mL), after which 4-Morpholinecarbonyl chloride (35 μL, 0.3 mmol) and triethylamine (61 μL, 0.6 mmol) were added. The reaction mixture was stirred at room temperature for 4 h. The mixture was poured to water (50 mL). The precipitate was filtered and dried to give the crude product, which was purified through column chromatography over silica gel to give the product 1e, Yield 34%.
3-(2-(3-aminophenyl)-2-oxoethylidene)-1,2,3,6,7,11b-hexahydro-4H-pyrazino[2,1-a]isoquinolin-4-one (1a) Yield 79%. Brown solid. m.p. 206–208 °C. 1H-NMR (300 MHz, DMSO-d6): δ 10.75 (d, J = 4.77 Hz, 1H), 7.33–7.24 (m, 4H), 7.13–7.08 (m, 2H), 7.01 (d, J = 7.71 Hz, 1H), 6.71–6.68 (m, 1H), 6.51 (s, 1H), 5.28 (s, 2H), 5.12–5.07 (m, 1H), 4.67–4.62 (m, 1H), 4.04–3.96 (m, 1H), 3.28 (t, J = 14.45 Hz, 1H), 3.19–2.81 (m, 3H). IR (cm−1, KBr film): 3448 (-NH), 1656 (-CON), 1613 (-CO). HRMS (ESI): calcd. for C20H20N3O2 [M + H]+ 334.155, found 334.1548, HPLC (80% methanol in water): tR = 4.73 min, 95.39%.
3-(2-(4-aminophenyl)-2-oxoethylidene)-1,2,3,6,7,11b-hexahydro-4H-pyrazino[2,1-a]isoquinolin-4-one (1b) Yield 74%. Yellow solid. m.p. 238–240 °C. 1H-NMR (300 MHz, DMSO-d6): δ 10.57 (d, J = 4.89 Hz, 1H), 7.65 (d, J = 8.61 Hz, 2H), 7.35–7.26 (m, 4H), 6.59 (d, J = 8.61 Hz, 2H), 6.52 (s, 1H), 5.86 (s, 2H), 5.10–5.05 (m, 1H), 4.69–4.64 (m, 1H), 4.02–3.95 (m, 1H), 3.20 (t, J = 12.36 Hz, 1H), 3.02–2.88 (m, 3H). IR (cm−1, KBr film): 3442 (-NH), 1655 (-CON), 1594 (-CO). HRMS (ESI): calcd. for C20H20N3O2 [M + H]+ 334.155, found 334.1546, HPLC (80% methanol in water): tR = 4.58 min, 95.20%.
N-(3-(2-(4-oxo-1,6,7,11b-tetrahydro-2H-pyrazino[2,1-a]isoquinolin-3(4H)-ylidene)acetyl)phenyl)acetamide (1c) Yield 61%. Yellow solid. m.p. 247–249 °C. 1H-NMR (300 MHz, DMSO-d6): δ 10.83 (d, J = 4.89 Hz, 1H), 10.12 (s, 1H), 8.09 (s, 1H), 7.81 (d, J = 8.97 Hz, 1H), 7.54 (d, J = 7.89 Hz, 1H), 7.40 (t, J = 7.89 Hz, 1H), 7.33–7.25 (m, 4H), 6.55 (s, 1H), 5.14–5.09 (m, 1H), 4.67–4.62 (m, 1H), 4.09–3.96 (m, 1H), 3.31–3.22 (m, 1H), 3.08–2.82 (m, 3H), 2.06 (s, 3H). IR (cm−1, KBr film): 3448 (-NH), 1668 (-CON), 1615 (-CO). HRMS (ESI): calcd. for C22H22N3O3 [M + H]+ 376.1656, found 376.1661, HPLC (80% methanol in water): tR = 4.62 min, 95.11%.
N-(4-(2-(4-oxo-1,6,7,11b-tetrahydro-2H-pyrazino[2,1-a]isoquinolin-3(4H)-ylidene)acetyl)phenyl)acetamide (1d) Yield 60%. Yellow solid. m.p. 279–281 °C. 1H-NMR (300 MHz, DMSO-d6): δ 10.80 (d, J = 4.02 Hz, 1H), 10.22 (s, 1H), 7.88 (d, J = 8.70 Hz, 2H), 7.70 (d, J = 8.55 Hz, 2H), 7.33–7.28 (m, 4H), 6.59 (s, 1H), 5.14–5.09 (m, 1H), 4.68–4.60 (m, 1H), 4.05–4.01 (m, 1H), 3.26 (t, J = 12.80 Hz, 1H), 3.05–2.89 (m, 3H), 2.09 (s, 3H). IR (cm−1, KBr film): 3433 (-NH), 1692 (-CON), 1594 (-CO). HRMS (ESI): calcd. for C22H22N3O3 [M + H]+ 376.1656, found 376.1662. HPLC (80% methanol in water): tR = 5.01 min, 95.26%.
N-(3-(2-(4-oxo-1,6,7,11b-tetrahydro-2H-pyrazino[2,1-a]isoquinolin-3(4H)-ylidene)acetyl)phenyl)morpholine-4-carboxamide (1e) Yield 34%. Yellow solid. m.p. 228–230 °C. 1H-NMR (300 MHz, DMSO-d6): δ 10.85 (d, J = 4.89 Hz, 1H), 8.77 (s, 1H), 8.02 (s, 1H), 7.73 (d, J = 7.95 Hz, 1H), 7.49 (d, J = 7.74 Hz, 1H), 7.39–7.27 (m, 5H), 6.58 (s, 1H), 5.16–5.11 (m, 1H), 4.69–4.64 (m, 1H), 4.08–4.01 (m, 1H), 3.64 (t, J = 4.67 Hz, 4H), 3.48–3.45 (m, 4H), 3.28 (t, J = 12.69 Hz, 1H), 3.04-2.85 (m, 3H). IR (cm−1, KBr film): 3365 (-NH), 1655 (-CON), 1614 (-CO). HRMS (ESI): calcd. for C25H26N4NaO4 [M + Na]+ 469.1846, found 469.1843, HPLC (80% methanol in water): tR = 6.03 min, 98.42%.
4.1.3. General Procedure for the Preparation of Compounds 2a–2i
A solution of diethyl oxalate (1.82 mL, 13.40 mmol) and 12 (8.32 mmol) in CH3OH (50 mL) was added dropwise to a solution of CH3ONa in CH3OH (3.33 mL of mol/L, 16.64 mmol), and the reaction was allowed to proceed at reflux for 4 h. After cooling to RT, the mixture was poured into water (100 mL) and acidified with HCl (2 mL of 37% w/v). The precipitate was filtered to afford the respective product 13. The product was ready for the next step without the further purification.
A solution of NaHCO3 (336 mg, 4 mmol) in water (3 mL) was added to a solution of the 8 (470 mg, 2 mmol) in ethanol (2 mL) and slightly heated until the evolution of gas ceased. A solution of the 13 (2 mmol) in ethanol (2 mL) and glacial AcOH (1 mL) was then added and refluxed for 2 h. After cooling, the precipitated solid 2a–2i was filtered off and recrystallized from ethanol. Yield 55–82%.
3-(2-oxopentylidene)-1,2,3,6,7,11b-hexahydro-4H-pyrazino[2,1-a]isoquinolin-4-one (2a) Yield 67%. Yellow solid. m.p. 158–160 °C. 1H-NMR (300 MHz, DMSO-d6): δ 10.28 (d, J = 5.46 Hz, 1H), 7.30–7.25 (m, 4H), 5.85 (s, 1H), 5.08–5.02 (m, 1H), 4.65–4.57 (m, 1H), 3.98–3.90 (m, 1H), 3.16 (t, J = 12.44 Hz, 1H), 2.99–2.84 (m, 3H), 2.33 (t, J = 7.32 Hz, 2H), 1.61–1.49 (m, 2H), 0.88 (t, J = 7.38 Hz, 3H). IR (cm−1, KBr film): 3416 (-NH), 1665 (-CON), 1614 (-CO). HRMS (ESI): calcd. for C17H20N2NaO2 [M + Na]+ 307.1417, found 307.1416, HPLC (80% methanol in water): tR = 6.40 min, 98.39%.
3-(2-cyclopropyl-2-oxoethylidene)-1,2,3,6,7,11b-hexahydro-4H-pyrazino[2,1-a]isoquinolin-4-one (2b) Yield 57%. Yellow solid. m.p. 173–175 °C. 1H-NMR (300 MHz, DMSO-d6): δ 10.21 (d, J = 4.71 Hz, 1H), 7.28–7.24 (m, 4H), 6.00 (s, 1H), 5.05–5.00 (m, 1H), 4.63–4.58 (m, 1H), 3.93–3.86 (m, 1H), 3.13 (t, J = 12.71 Hz, 1H), 2.98–2.79 (m, 3H), 2.02–1.88 (m, 1H), 0.78–0.75 (m, 4H). IR (cm−1, KBr film): 3416 (-NH), 1664 (-CON), 1612 (-CO). HRMS (ESI): calcd. for C17H19N2O2 [M + H]+ 283.1441, found 283.1434, HPLC (80% methanol in water): tR = 5.69 min, 98.78%.
3-(2-cyclobutyl-2-oxoethylidene)-1,2,3,6,7,11b-hexahydro-4H-pyrazino[2,1-a]isoquinolin-4-one (2c) Yield 68%. Yellow solid. m.p. 172–174 °C. 1H-NMR (300 MHz, DMSO-d6): δ 10.24 (d, J = 4.92 Hz, 1H), 7.28–7.24 (m, 4H), 5.75 (s, 1H), 5.06–5.00 (m, 1H), 4.62–4.57 (m, 1H), 3.97–3.90 (m, 1H), 3.27–3.11 (m, 2H), 2.97–2.83 (m, 3H), 2.14–2.07 (m, 4H), 2.04–1.87 (m, 1H), 1.85–1.67 (m, 1H). IR (cm−1, KBr film): 3448 (-NH), 1663 (-CON), 1617 (-CO). HRMS (ESI): calcd. for C18H21N2O2 [M + H]+ 297.1598, found 297.1600, HPLC (80% methanol in water): tR = 6.63 min, 95.01%.
3-(2-cyclopentyl-2-oxoethylidene)-1,2,3,6,7,11b-hexahydro-4H-pyrazino[2,1-a]isoquinolin-4-one (2d) Yield 67%. Yellow solid. m.p. 185–187 °C. 1H-NMR (300 MHz, DMSO-d6): δ 10.22 (d, J = 4.89 Hz, 1H), 7.28–7.23 (m, 4H), 5.86 (s, 1H), 5.06–5.00 (m, 1H), 4.63–4.57 (m, 1H), 3.95–3.88 (m, 1H), 3.14 (t, J = 12.45 Hz, 1H), 2.97–2.78 (m, 4H), 1.75–1.50 (m, 8H). IR (cm−1, KBr film): 3448 (-NH), 1664 (-CON), 1614 (-CO). HRMS (ESI): calcd. for C19H23N2O2 [M + H]+ 311.1754, found 311.1753, HPLC (80% methanol in water): tR = 8.07 min, 98.99%.
3-(2-cyclohexyl-2-oxoethylidene)-1,2,3,6,7,11b-hexahydro-4H-pyrazino[2,1-a]isoquinolin-4-one (2e) Yield 61%. Yellow solid. m.p. 203–205 °C. 1H-NMR (300 MHz, DMSO-d6): δ 10.30 (d, J = 4.95 Hz, 1H), 7.28–7.24 (m, 4H), 5.86 (s, 1H), 5.06–5.00 (m, 1H), 4.62–4.55 (m, 1H), 3.95–3.88 (m, 1H), 3.15 (t, J = 12.50 Hz, 1H), 2.97–2.80 (m, 3H), 2.32–2.24 (m, 1H), 1.70–1.60 (m, 5H), 1.34–1.16 (m, 5H). IR (cm−1, KBr film): 3448 (-NH), 1662 (-CON), 1616 (-CO). HRMS (ESI): calcd. for C20H25N2O2 [M + H]+ 325.1911, found 325.1905, HPLC (80% methanol in water): tR = 9.90 min, 98.61%.
3-(2-(cyclohex-1-en-1-yl)-2-oxoethylidene)-1,2,3,6,7,11b-hexahydro-4H-pyrazino[2,1-a]isoquinolin-4-one (2f) Yield 55%. Yellow solid. m.p. 180–182 °C. 1H-NMR (300 MHz, DMSO-d6): δ 10.47 (d, J = 5.13 Hz, 1H), 7.29–7.23 (m, 4H), 6.71 (s, 1H), 6.23 (s, 1H), 5.06–5.01 (m, 1H), 4.64–4.56 (m, 1H), 3.97–3.90 (m, 1H), 3.16 (t, J = 12.35 Hz, 1H), 2.98–2.80 (m, 3H), 2.30–2.14 (m, 4H), 1.59–1.57 (m, 4H). IR (cm−1, KBr film): 3448 (-NH), 1658 (-CON), 1608 (-CO). HRMS (ESI): calcd. for C20H23N2O2 [M + H]+ 323.1754, found 323.1760, HPLC (80% methanol in water): tR = 9.04 min, 98.19%.
3-(2-(1H-indol-3-yl)-2-oxoethylidene)-1,2,3,6,7,11b-hexahydro-4H-pyrazino[2,1-a]isoquinolin-4-one (2g) Yield 59%. Yellow solid. m.p. 270–272 °C. 1H-NMR (300 MHz, DMSO-d6): δ 11.79 (s, 1H), 10.38 (d, J = 4.74 Hz, 1H), 8.28 (d, J = 6.93 Hz, 1H), 8.18 (d, J = 2.10 Hz, 1H), 7.43 (d, J = 8.37 Hz, 1H), 7.34–7.26 (m, 4H), 7.20–7.11 (m, 2H), 6.50 (s, 1H), 5.09–5.05 (m, 1H), 4.68–4.65 (m, 1H), 4.00–3.94 (m, 1H), 3.19 (t, J = 12.54 Hz, 1H), 3.00–2.87 (m, 3H). IR (cm−1, KBr film): 3448 (-NH), 1644 (-CON), 1605 (-CO). HRMS (ESI): calcd. for C22H20N3O2 [M + H]+ 358.1550, found 358.1546, HPLC (80% methanol in water): tR = 6.41 min, 95.67%.
3-(2-oxo-2-(quinolin-3-yl)ethylidene)-1,2,3,6,7,11b-hexahydro-4H-pyrazino[2,1-a]isoquinolin-4-one (2h) Yield 82%. Yellow solid. m.p. 245–247 °C. 1H-NMR (300 MHz, DMSO-d6): δ 11.00 (d, J = 4.74 Hz, 1H), 9.34 (d, J = 2.10 Hz, 1H), 8.94 (d, J = 1.86 Hz, 1H), 8.22 (d, J = 7.74 Hz, 1H), 8.08 (d, J = 8.04 Hz, 1H), 7.89–7.84 (m, 1H), 7.69 (t, J = 7.47 Hz, 1H), 7.35–7.26 (m, 4H), 6.77 (s, 1H), 5.18–5.13 (m, 1H), 4.70–4.65 (m, 1H), 4.12–4.04 (m, 1H), 3.37–3.28 (m, 1H), 3.06–2.84 (m, 3H). IR (cm−1, KBr film): 3424 (-NH), 1664 (-CON), 1616 (-CO). HRMS (ESI): calcd. for C23H20N3O2 [M + H]+ 370.1550, found 370.1550, HPLC (80% methanol in water): tR = 7.04 min, 96.28%.
3-(2-(4-morpholinophenyl)-2-oxoethylidene)-1,2,3,6,7,11b-hexahydro-4H-pyrazino[2,1-a]isoquinolin-4-one (2i) Yield 57%. Yellow solid. m.p. 235–237 °C. 1H-NMR (300 MHz, DMSO-d6): δ 10.67 (d, J = 4.77 Hz, 1H), 7.79 (d, J = 8.94 Hz, 2H), 7.33–7.24 (m, 4H), 6.99 (d, J = 9.03 Hz, 2H), 6.55 (s, 1H), 5.11–5.05 (m, 1H), 4.67–4.62 (m, 1H), 4.03–3.95 (m, 1H), 3.73 (t, J = 4.76 Hz, 4H), 3.26–3.17 (m, 5H), 3.01–2.86 (m, 3H). IR (cm−1, KBr film): 3442 (-NH), 1663 (-CON), 1597 (-CO). HRMS (ESI): calcd. for C24H26N3O3 [M + H]+ 404.1969, found 404.1973, HPLC (80% methanol in water): tR = 6.58 min, 95.13%.
4.1.4. General Procedure for the Preparation of Compounds 3a–3j
A solution of diethyl oxalate (1.82 mL, 13.40 mmol) and 15 (8.32 mmol) in CH3OH (50 mL) was added dropwise to a solution of CH3ONa in CH3OH (3.33 mL of mol/L, 16.64 mmol), and the reaction was allowed to proceed at reflux for 4 h. After cooling to RT, the mixture was poured into water (100 mL) and acidified with HCl (2 mL of 37% w/v). The precipitate was filtered to afford the respective product 16. The product was ready for the next step without the further purification.
14 (242 μL, 2 mmol) and 16 (2 mmol) were was dissolved in ethanol (10 mL), after which glacial AcOH (1 mL) was added. The reaction was allowed to proceed at reflux for 2 h. After cooling, the precipitated solid 3a–3j was filtered off and recrystallized from ethanol. Yield 45.79–69.66%.
3-(2-oxo-2-phenylethylidene)octahydro-4H-pyrido[1,2-a]pyrazin-4-one (3a) Yield 59%. Yellow solid. m.p. 164–166 °C. 1H-NMR (300 MHz, DMSO-d6): δ 10.64 (s, 1H), 7.86 (d, J = 1.32 Hz, 2H), 7.84–7.44 (m, 3H), 6.59 (s, 1H), 4.38 (d, J = 13.32 Hz, 1H), 3.64–3.58 (m, 2H), 3.33–3.21 (m, 1H), 2.75–2.66 (m, 1H), 1.79–1.72 (m, 3H), 1.49–1.30 (m, 3H). IR (cm−1, KBr film): 3422 (-NH), 1658 (-CON), 1611 (-CO). HRMS (ESI): calcd. for C16H19N2O2 [M + H]+ 271.1441, found 271.1439, HPLC (80% methanol in water): tR = 7.63 min, 99.31%.
3-(2-(3-fluorophenyl)-2-oxoethylidene)octahydro-4H-pyrido[1,2-a]pyrazin-4-one (3b) Yield 59%. Yellow solid. m.p. 156–158 °C. 1H-NMR (300 MHz, DMSO-d6): δ 10.72 (s, 1H), 7.72 (d, J = 7.83 Hz, 1H), 7.61–7.51 (m, 2H), 7.42–7.35 (m, 1H), 6.58 (s, 1H), 4.40 (d, J = 13.44 Hz, 1H), 3.69–3.62 (m, 2H), 3.34–3.24 (m, 1H), 2.78–2.70 (m, 1H), 1.82–1.74 (m, 3H), 1.44–1.25 (m, 3H). IR (cm−1, KBr film): 3455 (-NH), 1657 (-CON), 1613 (-CO). HRMS (ESI): calcd. for C16H18FN2O2 [M + H]+ 289.1347, found 289.1348, HPLC (80% methanol in water): tR = 7.80 min, 98.74%.
3-(2-(3-chlorophenyl)-2-oxoethylidene)octahydro-4H-pyrido[1,2-a]pyrazin-4-one (3c) Yield 66%. Yellow solid. m.p. 157–159 °C. 1H-NMR (300 MHz, DMSO-d6): δ 10.71 (s, 1H), 7.84–7.82 (m, 2H), 7.63–7.50 (m, 2H), 6.56 (s, 1H), 4.40 (d, J = 13.29 Hz, 1H), 3.70–3.62 (m, 2H), 3.30–3.25 (m, 1H), 2.78–2.70 (m, 1H), 1.82–1.74 (m, 3H), 1.52–1.40 (m, 3H). IR (cm−1, KBr film): 3416 (-NH), 1672 (-CON), 1605 (-CO). HRMS (ESI): calcd. for C16H18ClN2O2 [M + H]+ 305.1051, found 305.1055, HPLC (80% methanol in water): tR = 8.26 min, 98.81%.
3-(2-(3-nitrophenyl)-2-oxoethylidene)octahydro-4H-pyrido[1,2-a]pyrazin-4-one (3d) Yield 61%. Yellow solid. m.p. 174–176 °C. 1H-NMR (300 MHz, DMSO-d6): δ 10.78 (s, 1H), 8.55 (s, 1H), 8.38–8.35 (m, 1H), 8.30 (d, J = 7.80 Hz, 1H), 7.77 (t, J = 7.87 Hz, 1H), 6.61 (s, 1H), 4.37 (d, J = 13.29 Hz, 1H), 3.68–3.64 (m, 2H), 3.32 (m, 1H), 2.77–2.68 (m, 1H), 1.80–1.77 (m, 3H), 1.49–1.14 (m, 3H). IR (cm−1, KBr film): 3449 (-NH), 1666 (-CON), 1614 (-CO). HRMS (ESI): calcd. for C16H18N3O4 [M + H]+ 316.1292, found 316.1293, HPLC (80% methanol in water): tR = 6.93 min, 95.92%.
3-(2-(3-methoxyphenyl)-2-oxoethylidene)octahydro-4H-pyrido[1,2-a]pyrazin-4-one (3e) Yield 48%. Yellow solid. m.p. 133–135 °C. 1H-NMR (300 MHz, DMSO-d6): δ 10.66 (s, 1H), 7.46–7.35 (m, 3H), 7.13–7.10 (m, 1H), 6.58 (s, 1H), 4.40 (d, J = 13.32 Hz, 1H), 3.82 (s, 3H), 3.66–3.60 (m, 2H), 3.28–3.23 (m, 1H), 2.78–2.69 (m, 1H), 1.81–1.78 (m, 3H), 1.48–1.25 (m, 3H). IR (cm−1, KBr film): 3422 (-NH), 1658 (-CON), 1608 (-CO). HRMS (ESI): calcd. for C17H21N2O3 [M + H]+ 301.1547, found 301.1534, HPLC (80% methanol in water): tR = 6.14 min, 98.64%.
3-(2-([1,1′-biphenyl]-4-yl)-2-oxoethylidene)octahydro-4H-pyrido[1,2-a]pyrazin-4-one (3f) Yield 47%. Yellow solid. m.p. 197–199 °C. 1H-NMR (300 MHz, DMSO-d6): δ 10.70 (s, 1H), 7.97 (d, J = 8.31 Hz, 2H), 7.80 (d, J = 8.31 Hz, 2H), 7.74 (d, J = 7.23 Hz, 2H), 7.52 (t, J = 7.46 Hz, 2H), 7.45–7.40 (m, 1H), 6.67 (s, 1H), 4.42 (d, J = 13.26 Hz, 1H), 3.68–3.63 (m, 2H), 3.34–3.24 (m, 1H), 2.79–2.70 (m, 1H), 1.82–1.79 (m, 3H), 1.52–1.25 (m, 3H). IR (cm−1, KBr film): 3415 (-NH), 1659 (-CON), 1604 (-CO). HRMS (ESI): calcd. for C22H23N2O2 [M + H]+ 347.1754, found 347.1757, HPLC (80% methanol in water): tR = 11.36 min, 99.10%.
3-(2-(furan-2-yl)-2-oxoethylidene)octahydro-4H-pyrido[1,2-a]pyrazin-4-one (3g) Yield 63%. Yellow solid. m.p. 152–154 °C. 1H-NMR (300 MHz, DMSO-d6): δ 10.31 (s, 1H), 7.88–7.87 (m, 1H), 7.15–7.13 (m, 1H), 6.66–6.64 (m, 1H), 6.45 (s, 1H), 4.39 (d, J = 13.47 Hz, 1H), 3.67–3.58 (m, 2H), 3.29–3.20 (m, 1H), 2.77–2.68 (m, 1H), 1.80–1.77 (m, 3H), 1.51–1.38 (m, 3H). 13C-NMR (300 MHz, CDCl3) δ: 180.1, 159.7, 154.0, 150.2, 145.2, 114.2, 112.0, 92.1, 53.8, 44.2, 43.3, 29.9, 24.4, 22.8. IR (cm−1, KBr film): 3415 (-NH), 1670 (-CON), 1612 (-CO). HRMS (ESI): calcd. for C14H17N2O3 [M + H]+ 261.1234, found 261.1234, HPLC (80% methanol in water): tR = 4.54 min, 98.87%.
3-(2-oxo-2-(thiophen-2-yl)ethylidene)octahydro-4H-pyrido[1,2-a]pyrazin-4-one (3h) Yield 70%. Yellow solid. m.p. 182–184 °C. 1H-NMR (300 MHz, DMSO-d6): δ 10.31 (s, 1H), 7.83–7.81 (m, 1H), 7.72–7.71 (m, 1H), 7.20–7.16 (m, 1H), 6.47 (s, 1H), 4.40 (d, J = 13.41 Hz, 1H), 3.64–3.58 (m, 2H), 3.28–3.21 (m, 1H), 2.77–2.68 (m, 1H), 1.80–1.77 (m, 3H), 1.52–1.25 (m, 3H). IR (cm−1, KBr film): 3422 (-NH), 1673 (-CON), 1601 (-CO). HRMS (ESI): calcd. for C14H17N2O2S [M + H]+ 277.1005, found 277.1011, HPLC (80% methanol in water): tR = 5.13 min, 98.89%.
3-(2-oxo-2-(thiazol-2-yl)ethylidene)octahydro-4H-pyrido[1,2-a]pyrazin-4-one (3i) Yield 46%. Yellow solid. m.p. 151–153 °C. 1H-NMR (300 MHz, DMSO-d6): δ 10.47 (s, 1H), 8.04–8.02 (m, 2H), 6.88 (s, 1H), 4.38 (d, J = 13.44 Hz, 1H), 3.69–3.63 (m, 2H), 3.34–3.26 (m, 1H), 2.79–2.70 (m, 1H), 1.82–1.78 (m, 3H), 1.51–1.25 (m, 3H). IR (cm−1, KBr film): 3448 (-NH), 1671 (-CON), 1612 (-CO). HRMS (ESI): calcd. for C13H16N3O2S [M + H]+ 278.0958, found 278.0961, HPLC (80% methanol in water): tR = 4.37 min, 98.28%.
3-(2-(naphthalen-1-yl)-2-oxoethylidene)octahydro-4H-pyrido[1,2-a]pyrazin-4-one (3j) Yield 50%. Yellow solid. m.p. 151–153 °C. 1H-NMR (300 MHz, DMSO-d6): δ 10.63 (s, 1H), 8.36–8.31 (m, 1H), 8.02–7.95 (m, 2H), 7.69–7.67 (m, 1H), 7.57–7.52 (m, 3H), 6.31 (s, 1H), 4.36 (d, J = 13.23 Hz, 1H), 3.71–3.63 (m, 2H), 3.33–3.29 (m, 1H), 2.75–2.67 (m, 1H), 1.81–1.72 (m, 3H), 1.46–1.22 (m, 3H). IR (cm−1, KBr film): 3442 (-NH), 1656 (-CON), 1608 (-CO). HRMS (ESI): calcd. for C20H21N2O2 [M + H]+ 321.1598, found 321.1602, HPLC (80% methanol in water): tR = 6.84 min, 96.12%.
4.2. Biology
4.2.1. Cell lines and Culture
HepG2-ARE-C8 cells were kindly provided by Professor Rong Hu (China Pharmaceutical University, Nanjing). Cells were maintained in modified RPMI-1640 medium (GiBco, Invitrogen Corp., Carlsbad, CA, USA) with 10% fetal bovine serum (FBS) (GiBco, Invitrogen Corp., Carlsbad, CA, USA) in a humidified atmosphere of 5% CO2 and 95% air at 37 °C. HCT116 were cultured in McCoy’s 5A (Sigma-Aldrich, St. Louis, MO, USA) and supplemented with 10% (v/v) FBS.
4.2.2. Cell Viability Assay
Cell viabilities were determined by using 3-[4,5-dimethylthiazol-2-yl]-2,5-diphenyltetrazolium bromide (MTT) assay. MTT was dissolved in (phosphate buffered solution) PBS to a concentration of 5 mg/mL. HCT116 cells (8 × 103 cells/well) were plated in 96-well plates and incubated overnight. Different concentrations of test compounds were added to each cell for 24 h at 37 °C, and the 20 μL MTT solution was added and incubated for an additional 4 h. Then, 100 μL of DMSO was added to dissolve formazan precipitate after the solution was removed. The OD value was determined at 570 nm by Elx800 absorbance microplate reader (BioTek, Winooski, VT, USA). IC50 value (concentration at which cell survival equals 50% of control) = [1 − (ODtest − ODblank)/(ODcontrol − ODblank)] × 100%.
4.2.3. ARE-Luciferase Activity Assay
HepG2-ARE-C8 cells (4 × 104 cells/well) were incubated overnight in 96-well plates, and then treated with different concentrations of test compounds. tBHQ was used as a positive control, DMSO was used as a negative control, and the luciferase cell culture lysis reagent was used as a blank. The medium was removed after 12 h treatment. Then, the cells were harvested in the luciferase cell culture lysis reagent together with 100 μL of cold PBS. Then, centrifuging the solution and 20 μL of the supernatant was used for determining the luciferase activity. The luciferase activity was measured by a Luminoskan Ascent (Thermo Scientific, Waltham, MA, USA). The data were obtained in triplicate and expressed as fold induction over the control. Induction fold = (RLUtest − RLUblank)/(RLUDMSOcontrol − RLUblank). RLU = relative light unit l [20].
4.2.4. Western Blot
Anti-NQO1 (sc-271116), anti-Nrf2 (BS1258) and Anti-β-actin (AP0060) antibodies were purchased from Santa Cruz Biotechnology (Santa Cruz, CA, USA) and Bioworlde (Bioworlde, Visalia, CA, USA), respectively. The isolation of cell fractions and Western blotting were performed as detailed previously [16]. Briefly, the extracts were separated by SDS-PAGE and then electrotransferred to PVDF membranes (Perkin Elmer, Northwalk, CT, USA). Membranes were blocked with 1% BSA for 1 h followed by incubation with a primary antibody at 4 °C overnight. Then they were washed and treated with a DyLight 800 labeled secondary antibody at 37 °C for 2 h. The membranes were screened through the odyssey infrared imaging System (LI-COR, Lincoln, NE, USA).
4.3. Physicochemical Properties
The pKa and distribution coefficient (log D, pH 7.4) were determined according to the methods of Avdeef and Tsinman on a Gemini Profiler instrument (pION) by the “goldstandard” Avdeef-Bucher potentiometric titration method. Permeability (Pe) was determined by a standard parallel artificial membrane permeability assay (PAMPA by pION). The pH-metric method was used to determine the intrinsic solubility. This is a new potentiometric acid−base titration method. The potentiometric solubility data were obtained with the pSOL model 3 instrument (pION INC., Cambridge, MA, USA) and subsequently processed with the accompanying computer program, pS.
Acknowledgments
This work is supported by the project 81602948 and 81230078 of National Natural Science Foundation of China, the Natural Science Foundation of Jiangsu Province of China (No. BK20160746), the National Major Science and Technology Project of China (Innovation and Development of New Drugs) 2015ZX09101032 and 2017ZX09101-004-003-006, the Research Innovation Program for College Graduates of Jiang-su Province (KYLX16_1169), the Priority Academic Program Development of Jiangsu Higher Education Institutions, the Project Program of State Key Laboratory of Natural Medicines, China Pharmaceutical University (No. SKLNMZZCX201611), College Students Innovation Project for the R&D of Novel Drugs (J1310032) and the Fundamental Research Funds for the Central Universities (2016ZPY016). HepG2 cells stably transfected with a luciferase reporter (HepG2-ARE-C8) were kindly provided by A.N. Tony Kong (Rutgers University, Piscataway, NJ) and Rong Hu (China Pharmaceutical University, Nanjing).
Author Contributions
H.D. and Z.J. conceived and designed the experiments; H.D., Q.J. and T.L. performed the experiments; H.D., Q.Y. and Z.J. analyzed the data; H.D., Q.Y. and Z.J. wrote the paper.
Conflicts of Interest
The authors declare no conflict of interest. The founding sponsors had no role in the design of the study; in the collection, analyses, or interpretation of data; in the writing of the manuscript, and in the decision to publish the results.
References
- Kaspar, J.W.; Niture, S.K.; Jaiswal, A.K. Nrf2:INrf2 (Keap1) signaling in oxidative stress. Free Radic. Biol. Med. 2009, 47, 1304–1309. [Google Scholar] [CrossRef] [PubMed]
- Ma, Q. Role of Nrf2 in oxidative stress and toxicity. Annu. Rev. Pharmacol. Toxicol. 2013, 53, 401–426. [Google Scholar] [CrossRef] [PubMed]
- Lu, M.; Zhou, H.-S.; You, Q.-D.; Jiang, Z. Design, Synthesis, and Initial Evaluation of Affinity-based Small-Molecule Probes for Fluorescent Visualization and Specific Detection of Keap1. J. Med. Chem. 2016, 59, 7305–7310. [Google Scholar] [CrossRef] [PubMed]
- Suzuki, T.; Yamamoto, M. Molecular basis of the Keap1-Nrf2 system. Free Radic. Biol. Med. 2015, 88 Pt B, 93–100. [Google Scholar] [CrossRef]
- Jiang, Z.-Y.; Lu, M.-C.; You, Q.-D. Discovery and Development of Kelch-like ECH-Associated Protein 1. Nuclear Factor Erythroid 2-Related Factor 2 (KEAP1:NRF2) Protein–Protein Interaction Inhibitors: Achievements, Challenges, and Future Directions. J. Med. Chem. 2016, 59, 10837–10858. [Google Scholar] [CrossRef] [PubMed]
- Niture, S.K.; Khatri, R.; Jaiswal, A.K. Regulation of Nrf2-an update. Free Radic. Biol. Med. 2014, 66, 36–44. [Google Scholar] [CrossRef] [PubMed]
- Hayes, J.D.; Dinkova-Kostova, A.T. The Nrf2 regulatory network provides an interface between redox and intermediary metabolism. Trends Biochem. Sci. 2014, 39, 199–218. [Google Scholar] [CrossRef] [PubMed]
- Tebay, L.E.; Robertson, H.; Durant, S.T.; Vitale, S.R.; Penning, T.M.; Dinkova-Kostova, A.T.; Hayes, J.D. Mechanisms of activation of the transcription factor Nrf2 by redox stressors, nutrient cues, and energy status and the pathways through which it attenuates degenerative disease. Free Radic. Biol. Med. 2015, 88 Pt B, 108–146. [Google Scholar] [CrossRef] [PubMed]
- Rojo de la Vega, M.; Dodson, M.; Chapman, E.; Zhang, D.D. NRF2-targeted therapeutics: New targets and modes of NRF2 regulation. Curr. Opin. Toxicol. 2016, 1, 62–70. [Google Scholar] [CrossRef]
- Zhuang, C.; Wu, Z.; Xing, C.; Miao, Z. Small molecules inhibiting Keap1-Nrf2 protein-protein interactions: A novel approach to activate Nrf2 function. MedChemComm 2017, 8, 286–294. [Google Scholar] [CrossRef]
- Lu, M.-C.; Ji, J.-A.; Jiang, Z.-Y.; You, Q.-D. The Keap1–Nrf2–ARE Pathway as a Potential Preventive and Therapeutic Target: An Update. Med. Res. Rev. 2016, 36, 924–963. [Google Scholar] [CrossRef] [PubMed]
- Wilson, A.J.; Kerns, J.K.; Callahan, J.F.; Moody, C.J. Keap calm, and carry on covalently. J. Med. Chem. 2013, 56, 7463–7476. [Google Scholar] [CrossRef] [PubMed]
- Satoh, T.; McKercher, S.R.; Lipton, S.A. Reprint of: Nrf2/ARE-mediated antioxidant actions of pro-electrophilic drugs. Free Radic. Biol. Med. 2014, 66, 45–57. [Google Scholar] [CrossRef] [PubMed]
- Dinkova-Kostova, A.T.; Kostov, R.V.; Canning, P. Keap1, the cysteine-based mammalian intracellular sensor for electrophiles and oxidants. Arch. Biochem. Biophys. 2017, 617, 84–93. [Google Scholar] [CrossRef] [PubMed]
- Magesh, S.; Chen, Y.; Hu, L. Small Molecule Modulators of Keap1-Nrf2-ARE Pathway as Potential Preventive and Therapeutic Agents. Med. Res. Rev. 2012, 32, 687–726. [Google Scholar] [CrossRef] [PubMed]
- Xi, M.Y.; Jia, J.M.; Sun, H.P.; Sun, Z.Y.; Jiang, J.W.; Wang, Y.J.; Zhang, M.Y.; Zhu, J.F.; Xu, L.L.; Jiang, Z.Y.; et al. 3-Aroylmethylene-2,3,6,7-tetrahydro-1H-pyrazino[2,1-a]isoquinolin-4(11bH)-ones as Potent Nrf2/ARE Inducers in Human Cancer Cells and AOM-DSS Treated Mice. J. Med. Chem. 2013, 56, 7925–7938. [Google Scholar] [CrossRef] [PubMed]
- Li, W.; Zheng, S.; Higgins, M.; Morra, R.P., Jr.; Mendis, A.T.; Chien, C.W.; Ojima, I.; Mierke, D.F.; Dinkova-Kostova, A.T.; Honda, T. New Monocyclic, Bicyclic, and Tricyclic Ethynylcyanodienones as Activators of the Keap1/Nrf2/ARE Pathway and Inhibitors of Inducible Nitric Oxide Synthase. J. Med. Chem. 2015, 58, 4738–4748. [Google Scholar] [CrossRef] [PubMed]
- Jiang, Z.Y.; Xu, L.L.; Lu, M.C.; Chen, Z.Y.; Yuan, Z.W.; Xu, X.L.; Guo, X.K.; Zhang, X.J.; Sun, H.P.; You, Q.D. Structure-Activity and Structure-Property Relationship and Exploratory in Vivo Evaluation of the Nanomolar Keap1-Nrf2 Protein-Protein Interaction Inhibitor. J. Med. Chem. 2015, 58, 6410–6421. [Google Scholar] [CrossRef] [PubMed]
- Lu, M.-C.; Ji, J.-A.; Jiang, Y.-L.; Chen, Z.-Y.; Yuan, Z.-W.; You, Q.-D.; Jiang, Z.-Y. An inhibitor of the Keap1-Nrf2 protein-protein interaction protects NCM460 colonic cells and alleviates experimental colitis. Sci. Rep. 2016, 6, 26585. [Google Scholar] [CrossRef] [PubMed]
- Jiang, Z.-Y.; Lu, M.-C.; Xu, L.L.; Yang, T.-T.; Xi, M.-Y.; Xu, X.-L.; Guo, X.-K.; Zhang, X.-J.; You, Q.-D.; Sun, H.-P. Discovery of Potent Keap1–Nrf2 Protein–Protein Interaction Inhibitor Based on Molecular Binding Determinants Analysis. J. Med. Chem. 2014, 57, 2736–2745. [Google Scholar] [CrossRef] [PubMed]
Sample Availability: Samples of the compounds 2, 3b and 3g are available from the authors. |
© 2017 by the authors. Licensee MDPI, Basel, Switzerland. This article is an open access article distributed under the terms and conditions of the Creative Commons Attribution (CC BY) license (http://creativecommons.org/licenses/by/4.0/).





