Abstract
In this study, Michaelis-Arbuzov-type reaction of 1-imidoalkyltriarylphosphonium salts with phosphites, phosphonites, and phosphinites was used in the synthesis of a wide range of phosphorus analogs of α-amino acids such as 1-imidoalkylphosphonates, 1-imidoalkylphosphinates, and 1-imidoalkylphosphine oxides. Large differences were observed in the reactivity of substrates depending on their structure, especially on the type of phosphonium moiety and N-protecting group. The conditions under which the expected products can be obtained in good to excellent yields have been developed. Mechanistic aspects of the transformation have been provided.
1. Introduction
The chemistry of phosphorus analogs of α-amino acids has enjoyed unflagging interest for decades [1,2,3,4,5,6,7,8,9,10]. The replacement of flat carboxylic moiety with either the phosphonyl, phosphinyl, or phosphinoyl group in the structure of α-amino acids enables them to have extremely valuable biological properties. These compounds are strong bioregulators and are used in agrochemicals as growth regulators, fungicides, and insecticides; they show antiviral, antibacterial, and anticancer properties [1,2,3,6,9,11,12,13].
1-Imidoalkylphosphonates, 1-imidoalkylphosphinates, and 1-imidoalkylphosphine oxides can be classified as a specific group of phosphorus analogs of α-amino acids. They are used as building blocks in the synthesis of many bioactive compounds such as phosphopeptides and statins (which act as enzyme inhibitors) [14,15], oligonucleotides [16], cytotoxic agents (e.g., cryptophycin 52) [17], and herbicides and plant growth regulators (2,4,5-imidazolidinetriones) [18]. Moreover, they are used in the synthesis of macrocyclic ligands, which are useful in medical diagnostics for obtaining luminescent probes and contrast agents in magnetic resonance imaging (MRI) [19,20]. This type of phosphorus analogs of α-amino acids exhibits also antibacterial and antifungal properties [21].
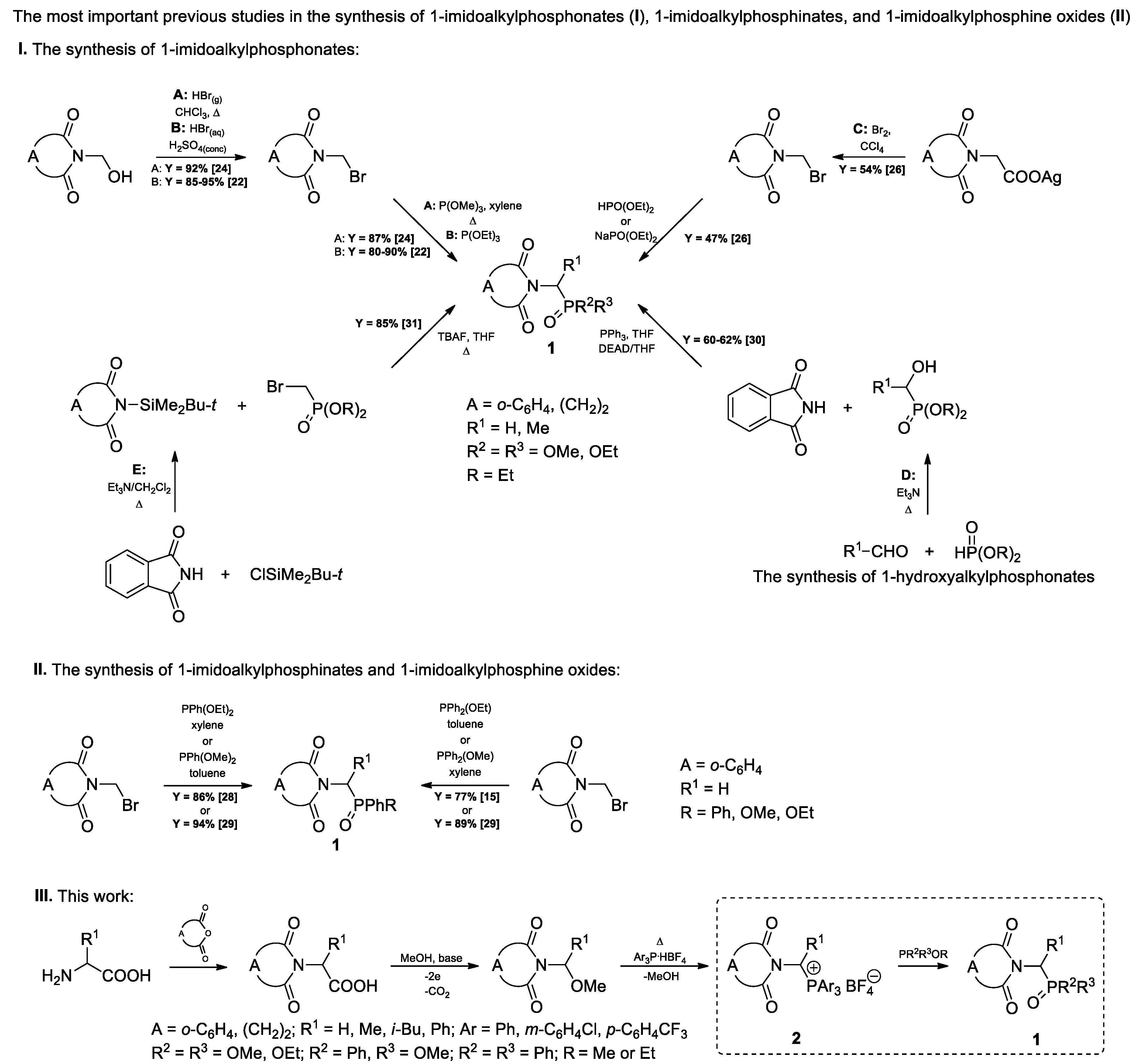
The synthesis of 1-imidoalkylphosphonates, 1-imidoalkylphosphinates, and 1-imidoalkylphosphine oxides described in the literature are mainly based on the Michaelis-Arbuzov- or Michaelis-Becker-type reaction of the corresponding halides with phosphorus nucleophiles, and in most cases, they are related to the simplest derivatives (1, R1 = H; I and II, Scheme 1) [15,19,22,23,24,25,26,27,28,29]. Other known methods are rather labor consuming and require more sophisticated substrates such as 1-hydroxyalkylphosphonates [30] or silyl compounds [31] (Scheme 1, I, path D and E), which limits the structural diversity of the products obtained. Scheme 1 presents a fused summary of the various approaches discussed above.
Scheme 1.
1-Imidoalkylphosphonates, 1-imidoalkylphosphinates, and 1-imidoalkylphosphine oxides—various synthetic routes.
In 2017, we described a three-step protocol for the synthesis of 1-imidoalkyltriarylphosphonium salts from α-amino acids and demonstrated their reactivity as imidoalkylating agents on the example of reaction with aromatic compounds [32,33]. In this study, we present the results of our research on the synthetic utility of 1-imidoalkyltriarylphosphonium salts in the Michaelis-Arbuzov-type reaction with phosphorus nucleophiles (III, Scheme 1).
2. Results and Discussion
The reactivity of 1-imidoalkylphosphonium salts toward phosphorus nucleophiles was investigated based on the reaction of 1-(phthalimido)ethyltris(4-trifluoromethylphenyl)phosphonium salt 2a with trimethyl phosphite (Scheme 2).
Scheme 2.
Reaction of 1-(phthalimido)ethyltris(4-trifluoromethylphenyl)phosphonium tetrafluoroborate 2a with trimethyl phosphite.
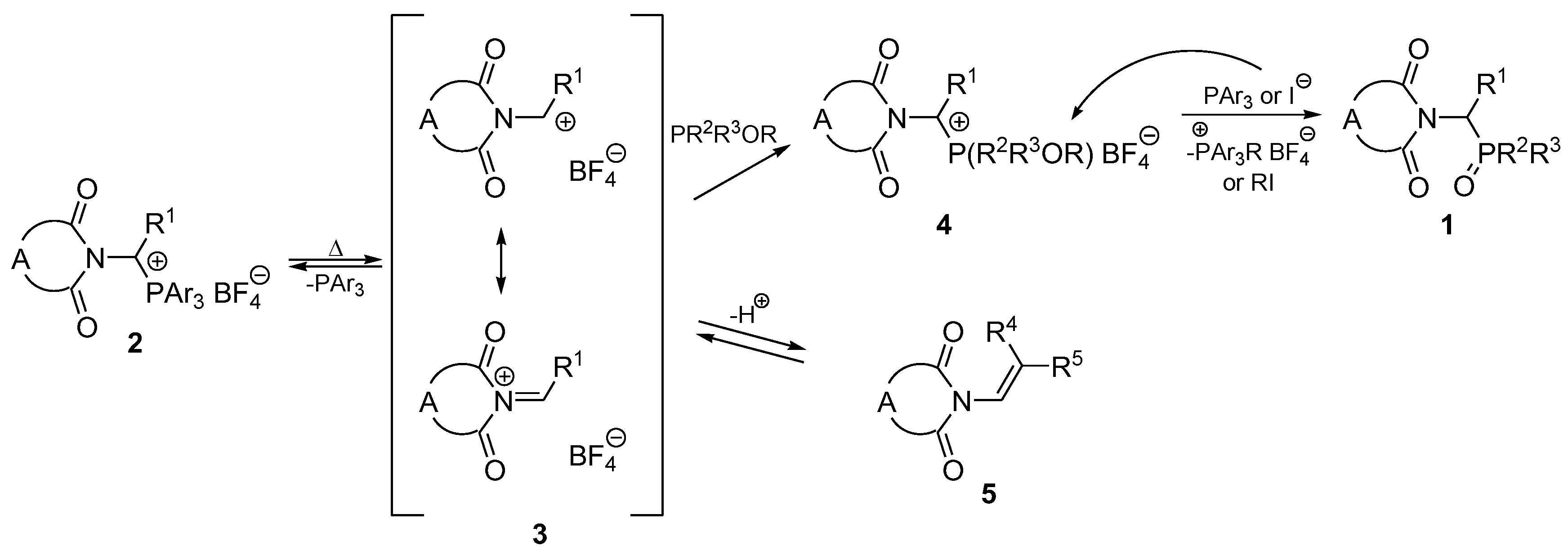
We assumed that in the first stage of the reaction, it is necessary to cleave the Cα–P+ bond and form a corresponding carbenium cation 3a (Scheme 2). Our previous research has shown that depending on the type of 1-imidoalkylphosphonium salt, the cations can be efficiently generated at a high temperature, which is appropriate for that of salt. The appropriate temperature for tris(4-trifluoromethylphenyl)phosphonium salts was about 90–100 °C [32]. Therefore, we decided to conduct the first experiments at 100 °C. Indeed, it was confirmed that the reaction proceeds at an acceptable rate at this temperature (reaction time was 2 h; the minimum temperature at which any visible progress of the reaction observed was equal to 80 °C).
Then, we investigated the effect of molar ratio of substrates and the type of solvent on the reaction yield (entries 1–5, Table 1). It should be noted that one of the Michaelis-Arbuzov reaction stages is dealkylation of the alkoxyphosphonium salt 4 (see Scheme 3) [34,35]. To facilitate the course of this step, we used methyltriphenylphosphonium iodide as the catalyst (iodide anions are a good dealkylating agent) [34,35,36]. The progress of the reaction was monitored based on 1H-NMR spectroscopy. The highest yields were obtained by conducting the reaction in chloroform at a molar ratio of reagents equal to 1:10:0.25 (salt 2:P-nucleophile:catalyst). We also proved that the addition of the catalyst was not necessary, but it improved the yields (compare entries 6 and 7, Table 1). In turn, the change in the polarity of the solvent did not give any positive effects on the reaction (compare entries 3–5, Table 1).
Table 1.
Synthesis of 1-imidoalkylphosphonates, 1-imidoalkylphosphinates, and 1-imidoalkylphosphine oxides—conditions and yields.
Scheme 3.
α-Amidoalkylation of P-nucleophiles by 1-imidoalkyltriarylphosphonium salts 2—a plausible mechanism.
Next, we determined the scope of applicability of the developed method. To this end, we modified the structure of 1-imidoalkylphosphonium salt (phosphonium moiety, N-protecting group, and substituent R1 at the α-position) and changed the type of phosphorus nucleophile.
Modifications in the phosphonium moiety (the introduction of electron-withdrawing groups) and changes of the N-protecting group had the greatest influence on the course of the examined reaction. The highest yields were obtained for 1-(N-phthalimido)alkylphosphonium salt derivatives of tris(3-chlorophenyl)phosphine and tris(4-trifluorophenyl)phosphine. Based on our results, 1-(N-succinimido)alkylphosphonium salts showed significantly less reactivity. To increase the yield, we had to raise the temperature and increase the concentration of phosphorus nucleophile (entry 18, Table 1). The reaction of triphenylphosphonium salt 2c also required higher temperature, but in this case, the yield was still poor (entry 9, Table 1).
Changes of substituents in the α-position did not significantly affect reaction conditions or yields. Only in the case of phosphonium salts 2d and 2e (no possibility of the side β-elimination reaction), higher yields of the expected products were noticed, which was particularly apparent in the preparation of 1-imidoalkylphosphinates and 1-imidoalkylphosphine oxides (entries 21 and 24, Table 1).
In the end, we proved that the described protocol could be used not only in reactions with phosphites but also with other phosphorus nucleophiles such as phosphonites and phosphinites (entries 19–24, Table 1). The expected products—1-imidoalkylphosphinates and 1-imidoalkylphosphine oxides—were obtained with satisfactory to excellent yield.
Based on our previous research [32,33,34,35,36] and above-described facts, we proposed a plausible mechanism of the Michaelis-Arbuzov-type reaction of 1-imidoalkylphosphonium salts with phosphorus nucleophiles (Scheme 3). It seems that the first stage is crucial for the course of the entire reaction. In the case of 1-imidoalkylphosphonium salts with weakened Cα–P+ bond strength (Ar = m-C6H4Cl, p-C6H4CF3), the generation of imidocarbenium cation 3 was easier and the reaction temperature was lower (80–120 °C) than that of 1-imidoalkyltriphenylphosphonium salt (Ar = Ph, 150 °C). Moreover, the high temperature promoted side reactions—the formation of enimides 5 by β-elimination. All these factors affect the efficiency of the synthesis. Yields were much higher when 1-imidoalkylphosphonium salts with weakened Cα–P+ bond strength were used as substrates (see Table 1).
In the second stage, the alkoxyphosphonium salt 4 was formed as a result of nucleophilic attack by phosphorus (PR2R3OR, Scheme 3). Dealkylation of this intermediate led to the expected products: 1-imidoalkylphosphonates, 1-imidoalkylphosphinates, and 1-imidoalkylphosphine oxides. The addition of catalyst facilitated this stage and improved the yield of the reaction. However, at the elevated temperature, phosphines generated in the first step could also act as the dealkylating agent. We think it explains the possibility of conducting the reaction without a catalyst (but with lower yields).
3. Experimental Section
3.1. General Information
Melting points were determined in capillaries and were uncorrected. Next, 1H- and 13C-NMR spectra were recorded at operating frequencies of 400 and 100 MHz, respectively, using tetramethylsilane (TMS) as the resonance shift standard. 31P-NMR spectra were recorded at operating frequencies of 161.9 MHz without the resonance shift standard, with respect to H3PO4 as 0 ppm. All chemical shifts (δ) are reported in ppm and coupling constants (J) in Hz. IR-spectra were measured on an FT-IR spectrophotometer (attenuated total reflectance method; ATR). High-resolution mass spectrometry (HR-MS) analyses were performed on a Waters Xevo G2 Q-TOF mass spectrometer equipped with an electrospray ionization (ESI) source operating in the positive ion mode. The accurate mass and composition of the molecular ion adducts were calculated using the MassLynx software incorporated within the instrument.
3.2. Synthesis
3.2.1. Substrate Synthesis
The synthesis of 1-imidoalkyltriarylphosphonium salts 2 from α-amino acids was performed according to our previously described three-step procedure [32].
3.2.2. General Procedure for the Reaction of 1-Imidoalkyltriarylphosphonium Salts 2 with Phosphorus Nucleophiles
To a suspension of 1-imidoalkyltriarylphosphonium salt 2 (0.25 mmol, 1.0 equiv.) in CHCl3 (2 cm3) placed in a glass vial sealed with a screw-cap a phosphorus nucleophile (2.5 mmol, 10 equiv.) and, in the case of a catalytic reaction, methyltriphenylphosphonium iodide (25.3 mg, 0.0625 mmol, 0.25 equiv.) was added. The reaction was carried out under conditions given in Table 1. Then, the solvent was evaporated to dryness under reduced pressure and the product was isolated by column chromatography using 50 cm3 of hexane and then ethyl acetate as the eluent. If necessary, purification can be repeated using acetonitrile or toluene:ethyl acetate (5:1, v/v) as the eluent (this is particularly useful during the separation of diastereoisomers 1h and 1i). The crystalline compounds were recrystallized from toluene.
Dimethyl 1-(N-Phthalimido)ethylphosphonate (1a) [37]. White crystals (53.8 mg, 76% yield), m.p. 75.0–77.0 °C. 1H-NMR (400 MHz, CD3CN) δ 7.71–7.80 (m, 4H, Phth), 4.59 (dq, J1 = 18.7 Hz, J2 = 7.6 Hz, 1H, CαH), 3.69 (d, J = 10.7 Hz, 3H, OCH3), 3.63 (d, J = 10.7 Hz, 3H, OCH3), 1.57 (dd, J1 = 16.3 Hz, J2 = 7.6 Hz, 3H, CH3) ppm; 13C-NMR (100 MHz, CD3CN) δ 168.4 (C=O), aromatic carbons: 135.6, 132.7, 124.2, 54.1 (d, J = 6.5 Hz, OCH3), 53.8 (d, J = 6.8 Hz, OCH3), 43.2 (d, J = 158.0 Hz, CαH), 13.5 (CH3) ppm; 31P-NMR (161.9 MHz, CD3CN) δ 25.1 ppm; IR (ATR) 2960, 1709, 1380, 1280, 1253, 1021, 906, 877, 832, 806, 712, 681 cm−1 (Supplementary Materials).
Dimethyl N-Phthalimidomethylphosphonate (1b) [24]. White crystals (63.9 mg, 95% yield), m.p. 145.5–147.5 °C. 1H-NMR (400 MHz, CD3CN) δ 7.84–7.89 (m, 2H, Phth), 7.80–7.84 (m, 2H, Phth), 4.06 (d, J = 11.2 Hz, 2H, CH2), 3.75 (d, J = 10.9 Hz, 6H, 2×OCH3) ppm; 13C-NMR (100 MHz, CD3CN) δ 168.2 (C=O), aromatic carbons: 135.6, 132.8, 124.3, 54.0 (d, J = 6.1 Hz, OCH3), 33.2 (d, J = 157.6 Hz, CH2) ppm; 31P-NMR (161.9 MHz, CD3CN) δ 22.1 ppm; IR (ATR) 2974, 1715, 1403, 1238, 1060, 1014, 903, 845, 715, 701 cm−1.
Diethyl 1-(N-Phthalimido)ethylphosphonate (1c) [30]. Resin (70.0 mg, 90% yield). 1H-NMR (400 MHz, CD3CN) δ 7.75–7.88 (m, 4H, Phth), 4.61 (dq, J1 = 18.5 Hz, J2 = 7.6 Hz, 1H, CαH), 4.00–4.20 (m, 4H, 2×OCH2CH3), 1.66 (dd, J1 = 16.1 Hz, J2 = 7.6 Hz, 3H, CH3), 1.28 (td, J1 = 7.1 Hz, J2 = 0.5 Hz, 3H, OCH2CH3), 1.23 (td, J1 = 7.0 Hz, J2 = 0.5 Hz, 3H, OCH2CH3) ppm; 13C-NMR (100 MHz, CD3CN) δ 168.4 (d, J = 1.8 Hz, C=O), aromatic carbons: 135.5, 132.7, 124.1, 63.7 (d, J = 6.5 Hz, OCH2CH3), 63.4 (d, J = 6.5 Hz, OCH2CH3), 43.9 (d, J = 158.0 Hz, CαH), 16.8 (d, J = 5.7 Hz, OCH2CH3), 13.4 (CH3) ppm; 31P-NMR (161.9 MHz, CD3CN) δ 22.6 ppm; IR (ATR) 2989, 1716, 1383, 1010, 906, 879, 719 cm−1.
Diethyl Phenyl(N-phthalimido)methylphosphonate (1d) [38]. White crystals (92.4 mg, 99% yield), m.p. 102.5–104.5 °C. 1H-NMR (400 MHz, CD3CN) δ 7.77–7.90 (m, 4H, Ph), 7.56–7.66 (m, 2H, Ph), 7.28–7.41 (m, 3H, Ph), 5.70 (d, J = 24.6 Hz, 1H, CαH), 4.00–4.19 (m, 4H, 2×OCH2CH3), 1.21 (t, J = 7.1 Hz, 3H, OCH2CH3), 1.20 (t, J = 7.0 Hz, 3H, OCH2CH3) ppm; 13C-NMR (100 MHz, CD3CN) δ 168.4 (d, J = 3.3 Hz, C=O), aromatic carbons: 135.7, 134.7, 132.5, 130.3, 129.5, 129.3, 124.4, 64.3 (d, J = 6.6 Hz, OCH2CH3), 63.6 (d, J = 6.9 Hz, OCH2CH3), 52.3 (d, J = 156.9 Hz, CαH), 16.7 (d, J = 5.3 Hz, OCH2CH3), 16.6 (d, J = 5.3 Hz, OCH2CH3) ppm; 31P-NMR (161.9 MHz, CD3CN) δ 18.4 ppm; IR (ATR) 2988, 1712, 1383, 1359, 1254, 1053, 1026, 1014, 969, 890, 802, 728, 719, 697 cm−1.
Diethyl 3-Methyl-1-(N-phthalimido)butylphosphonate (1e). Resin (83.0 mg, 94% yield). 1H-NMR (400 MHz, CD3CN) δ 7.80–7.87 (m, 4H, Phth), 4.58 (ddd, J1 = 19.6 Hz, J2 = 11.9 Hz, J3 = 4.3 Hz, 1H, CαH), 4.03–4.17 (m, 4H, 2xOCH2CH3), 2.39–2.49 (m, 1H, CH), 1.60–1.69 (m, 1H, CH), 1.48–1.55 (m, 1H, CH), 1.27 (td, J1 = 7.1 Hz, J2 = 0.5 Hz, 3H, OCH2CH3), 1.23 (td, J1 = 7.0 Hz, J2 = 0.5 Hz, 3H, OCH2CH3), 0.91 (d, J = 6.7 Hz, 3H, CH3), 0.88 (d, J = 6.5 Hz, 3H, CH3) ppm; 13C-NMR (100 MHz, CD3CN) δ 168.7 (d, J = 1.4 Hz, C=O), aromatic carbons: 135.6, 132.5, 124.2, 63.6 (d, J = 6.5 Hz, OCH2CH3), 63.3 (d, J = 6.6 Hz, OCH2CH3), 46.8 (d, J = 156.2 Hz, CαH), 35.9 (d, J = 1.2 Hz, CH2), 25.7 (d, J = 12.3 Hz, CH), 23.2 (OCH2CH3), 21.2 (OCH2CH3), 16.8 (CH3), 16.7 (CH3) ppm; 31P-NMR (161.9 MHz, CD3CN) δ 22.3 ppm; IR (ATR) 2959, 1713, 1379, 1249, 1051, 1017, 963, 717 cm−1; HRMS (ESI-TOF) calculated for C17H25NO5P [M + H]+ 354.1470 found 354.1469.
Diethyl 1-(N-Succinimido)ethylphosphonate (1g). Resin (42.8 mg, 65% yield). 1H-NMR (400 MHz, CD3CN) δ 4.57 (dq, J1 = 19.1 Hz, J2 = 7.5 Hz, 1H, CαH), 4.04–4.30 (m, 4H, 2xOCH2CH3), 2.73 (s, 4H, 2xCH2), 1.57 (dd, J1 = 16.0 Hz, J2 = 7.5 Hz, 3H, CH3), 1.35 (t, J = 6.6 Hz, 3H, OCH2CH3), 1.33 (t, J = 6.8 Hz, 3H, OCH2CH3) ppm; 13C-NMR (100 MHz, CD3CN) δ 176.4 (C=O), 63.4 (d, J = 6.4 Hz, OCH2CH3), 62.4 (d, J = 6.6 Hz, OCH2CH3), 43.6 (d, J = 158.2 Hz, CαH), 28.2 (CH2), 16.5 (OCH2CH3), 16.5 (OCH2CH3), 13.0 (CH3) ppm; 31P-NMR (161.9 MHz, CD3CN) δ 22.4 ppm; IR (ATR) 2984, 1702, 1387, 1238, 1195, 1051, 1017, 960, 797 cm−1; HRMS (ESI-TOF) calculated for C10H19NO5P [M + H]+ 264.1001 found 264.1001.
Methyl phenyl [1-(N-Phthalimido)ethyl]phosphinate (1ha + 1hb). A mixture of two diastereoisomers, resin (48.6 mg, 59% yield). 1H-NMR (400 MHz, CD3CN) δ 7.78–7.81 (m, 2H, Ph)a, 7.58–7.77 (m, 4H, Ph)a, 7.37–7.56 (m, 3H, Ph)a, 4.68–4.80 (m, 1H, CαH)a, 3.68 (d, J = 10.8 Hz, 3H, OCH3)b, 3.66 (d, J = 10.7 Hz, 3H, OCH3)b, 1.69 (dd, J1 = 14.5 Hz, J2 = 7.6 Hz, 1H, CH3)b, 1.60 (dd, J1 = 15.5 Hz, J2 = 7.6 Hz, 2H, CH3)b ppm; 13C-NMR (100 MHz, CD3CN) δ 168.4 (d, J = 1.2 Hz, C=O), 168.2 (d, J = 1.1 Hz, C=O), aromatic carbons: 135.5, 135.4, 133.8 (d, J = 2.7 Hz), 133.8 (d, J = 2.8 Hz), 133.6 (d, J = 9.9 Hz), 133.1 (d, J = 9.9 Hz), 132.7, 132.5, 130.2 (d, J = 18.3 Hz), 129.6, 129.5, 129.0 (d, J = 18.3 Hz), 124.0, 123.9, 52.5 (d, J = 6.5 Hz, OCH3), 52.4 (d, J = 6.1 Hz, OCH3), 46.8 (d, J = 109.0 Hz, CαH), 46.7 (d, J = 108.0 Hz, CαH), 13.1 (d, J = 2.7 Hz, CH3), 12.6 (d, J = 1.3 Hz, CH3) ppm; 31P-NMR (161.9 MHz, CD3CN) δ 39.3, 39.0 ppm; IR (ATR) 2947, 1711, 1378, 1226, 1120, 1023, 992, 879, 791, 718, 697 cm−1; HRMS (ESI-TOF) calculated for C17H17NO4P [M + H]+ 330.0895 found 330.0898. aOverlapping signals of both diastereoisomers. bSeparate signals of both diastereoisomers.
Methyl Phenyl[phenyl(N-phthalimido)methyl]phosphinate (1i). A mixture of two diastereoisomers (92.0 mg, 94% yield). Diastereoisomers were separated by column chromatography (toluene:ethyl acetate; 5:1, v/v).
Methyl Phenyl[phenyl(N-phthalimido)methyl]phosphinate (1ia, the first diastereoisomer). Resin. 1H-NMR (400 MHz, CD3CN) δ 7.71–7.75 (m, 4H, Ph), 7.63–7.71 (m, 5H, Ph), 7.44–7.52 (m, 1H, Ph), 7.33–7.43 (m, 4H, Ph), 5.83 (d, J = 17.9 Hz, 1H, CαH), 3.63 (d, J = 11.0 Hz, 3H, OCH3) ppm; 13C-NMR (100 MHz, CD3CN) δ 168.1 (d, J = 2.6 Hz, C=O), aromatic carbons: 135.6, 134.2, 133.8 (d, J = 2.9 Hz), 133.1 (d, J = 9.9 Hz), 132.2, 131.1, 131.0, 129.5 (d, J = 12.7 Hz), 129.5 (d, J = 0.8 Hz), 129.5, 124.2, 55.1 (d, J = 107.3 Hz, CαH), 52.6 (d, J = 6.5 Hz, OCH3) ppm; 31P-NMR (161.9 MHz, CD3CN) δ 36.3 ppm; IR (ATR) 3059, 1717, 1379, 1070, 1033, 717, 696 cm−1; HRMS (ESI-TOF) calculated for C22H19NO4P [M + H]+ 392.1052 found 392.1054.
Methyl Phenyl[phenyl(N-phthalimido)methyl]phosphinate (1ib, the second diastereoisomer). Resin. 1H-NMR (400 MHz, CD3CN) δ 7.80–7.90 (m, 4H, Ph), 7.42–7.55 (m, 5H, Ph), 7.31–7.40 (m, 2H, Ph), 7.23–7.30 (m, 3H, Ph), 5.87 (d, J = 21.5 Hz, 1H, CαH), 3.63 (d, J = 11.0 Hz, 3H, OCH3) ppm; 13C-NMR (100 MHz, CD3CN) δ 168.7 (d, J = 2.5 Hz, C=O), aromatic carbons: 135.7, 134.5 (d, J = 2.5 Hz), 134.0 (d, J = 9.1 Hz), 133.6 (d, J = 2.8 Hz), 132.6, 130.3, 130.2, 129.5 (d, J = 1.6 Hz), 129.3 (d, J = 2.2 Hz), 129.0 (d, J = 13.0 Hz), 124.4, 55.6 (d, J = 104.5 Hz, CαH), 52.5 (d, J = 6.7 Hz, OCH3) ppm; 31P-NMR (161.9 MHz, CD3CN) δ 36.7 ppm; IR (ATR) 3060, 1716, 1381, 1236, 1071, 1024, 889, 791, 717, 695 cm−1; HRMS (ESI-TOF) calculated for C22H19NO4P [M + H]+ 392.1052 found 392.1052.
Diphenyl 1-(N-Phthalimido)ethylphosphine oxide (1j). White crystals (44.1 mg, 47% yield), m.p. 138.0–140.0 °C. 1H-NMR (400 MHz, CD3CN) δ 7.89–7.99 (m, 2H, Ph), 7.67–7.76 (m, 6H, Ph), 7.54–7.66 (m, 3H, Ph), 7.29–7.44 (m, 3H, Ph), 5.27 (qd, J1 = 7.5 Hz, J2 = 6.5 Hz, 1H, CαH), 1.69 (dd, J1 = 14.0 Hz, J2 = 7.5 Hz, 3H, CH3) ppm; 13C-NMR (100 MHz, CD3CN) δ 168.4 (d, J = 1.0 Hz, C=O), aromatic carbons: 135.4, 133.3 (d, J = 2.7 Hz), 133.0 (d, J = 2.8 Hz), 132.9 (d, J = 18.6 Hz), 132.4, 132.4 (d, J = 8.8 Hz), 131.9 (d, J = 21.6 Hz), 131.8 (d, J = 9.2 Hz), 129.9 (d, J = 11.4 Hz), 129.4 (d, J = 11.6 Hz), 123.9, 47.2 (d, J = 74.7 Hz, CαH), 12.9 (d, J = 1.9 Hz, CH3) ppm; 31P-NMR (161.9 MHz, CD3CN) δ 28.7 ppm; IR (ATR) 3057, 1710, 1376, 1202, 1116, 1046, 878, 715, 698, 669 cm−1; HRMS (ESI-TOF) calculated for C22H19NO3P [M + H]+ 376.1103 found 376.1104.
Diphenyl Phenyl(N-phthalimido)methylphosphine oxide (1k). White crystals (96.2 mg, 88% yield), m.p. 233.0–235.0 °C. 1H-NMR (400 MHz, CD3CN) δ 7.82–7.90 (m, 2H, Ph), 7.71–7.79 (m, 2H, Ph), 7.56–7.68 (m, 6H, Ph), 7.32–7.50 (m, 6H, Ph), 7.21–7.30 (m, 3H, Ph), 6.24 (d, J = 12.3 Hz, 1H, CαH) ppm; 13C-NMR (100 MHz, CD3CN) δ 167.5 (d, J = 2.2 Hz, C=O), aromatic carbons: 134.2, 133.0, 132.2 (d, J = 2.8 Hz), 132.0 (d, J = 3.2 Hz), 132.0 (d, J = 8.9 Hz), 131.8 (d, J = 7.9 Hz), 131.6 (d, J = 9.3 Hz), 130.9, 130.8, 130.8 (d, J = 9.5 Hz), 128.8 (d, J = 1.7 Hz), 128.8, 128.7 (d, J = 11.8 Hz), 128.4 (d, J = 11.9 Hz), 123.6, 55.4 (d, J = 71.2 Hz, CαH) ppm; 31P-NMR (161.9 MHz, CD3CN) δ 22.2 ppm; IR (ATR) 3058, 1717, 1372, 1345, 1321, 1199, 1119, 1101, 1074, 887, 709, 693 cm−1; HRMS (ESI-TOF) calculated for C27H21NO3P [M + H]+ 438.1259 found 438.1262.
4. Conclusions
The possibility of the synthetic use of 1-imidoalkyltriarylphosphonium salts in reactions with phosphorus nucleophiles was investigated. It has been noticed that the structure of the substrates has a great impact on the course of the studied reaction. Moreover, 1-(N-phthalimido)alkylphosphonium salts with weakened Cα–P+ bond strength show the highest reactivity and react under milder conditions in comparison with other 1-imidoalkylpohosphonium salts. The reaction may be conducted with or without the addition of a catalyst. It has been demonstrated, that not only phosphites but also phosphonites, and phosphinites can be used as phosphorus nucleophiles. The most favorable reaction conditions for all examined types of 1-imidoalkylphosphonium salts and P-nucleophiles were proposed. A plausible reaction mechanism, which explains the currently obtained results, was also presented.
Our research confirmed a universal character of the developed method and its considerable potential in the synthesis of phosphorus analogs of α-amino acids.
Further studies on expanding the range of nucleophiles (not only P-nucleophiles), which can be used in a reaction with 1-imidoalkyltriarylphosphonium salts, are in progress.
Supplementary Materials
Supporting information includes 1H-, 13C-, 31P-NMR and IR spectra of all new compounds. Supplementary data associated with this article can be found in the online version.
Author Contributions
Conceptualization, J.A.; Formal analysis, J.A., A.W.-S., K.S. and K.E.; Investigation, J.A., A.W.-S., K.S. and K.E.; Methodology, J.A. and A.W.-S.; Supervision, J.A. and K.W.; Writing—original draft, J.A.; Writing—review & editing, J.A. and A.W.-S.
Funding
This research received no external funding.
Conflicts of Interest
The authors declare no conflict of interest.
References
- Kukhar, V.; Hudson, H. Aminophosphonic and Aminophosphinic Acids: Chemistry and Biological Activity; John Wiley & Sons Inc.: Hoboken, NJ, USA, 2000. [Google Scholar]
- Kafarski, P.; Lejczak, B. Aminophosphonic Acids of Potential Medical Importance. Curr. Med. Chem. Anti Cancer Agents 2001, 1, 301–312. [Google Scholar] [CrossRef] [PubMed]
- Ordóñez, M.; Rojas-Cabrera, H.; Cativiela, C. An overview of stereoselective synthesis of α-aminophosphonic acids and derivatives. Tetrahedron 2009, 65, 17–49. [Google Scholar] [CrossRef] [PubMed]
- Orsini, F.; Sello, G.; Sisti, M. Aminophosphonic acids and derivatives. Synthesis and biological applications. Curr. Med. Chem. 2010, 17, 264–289. [Google Scholar] [CrossRef] [PubMed]
- Kudzin, Z.H.; Kudzin, M.H.; Drabowicz, J.; Stevens, C.V. Aminophosphonic acids-phosphorus analogues of natural Amino Acids. Part 1: Syntheses of α-aminophosphonic acids. Curr. Org. Chem. 2011, 15, 2015–2071. [Google Scholar] [CrossRef]
- Mucha, A.; Kafarski, P.; Berlicki, Ł. Remarkable Potential of the α-aminophosphonate/phosphinate structural motif in medicinal chemistry. J. Med. Chem. 2011, 54, 5955–5980. [Google Scholar] [CrossRef]
- Keglevich, G.; Bálint, E. The Kabachnik–Fields Reaction: Mechanism and Synthetic Use. Molecules 2012, 17, 12821–12835. [Google Scholar] [CrossRef] [PubMed]
- Ordóñez, M.; Viveros-Ceballos, J.L.; Cativiela, C.; Sayago, F.J. An update on the stereoselective synthesis of α-aminophosphonic acids and derivatives. Tetrahedron 2015, 71, 1745–1784. [Google Scholar] [CrossRef]
- Lewkowski, J.; Rodriguez Moya, M.; Chmielak, M.; Rogacz, D.; Lewicka, K.; Rychter, P. Synthesis, Spectral Characterization of Several Novel Pyrene-Derived Aminophosphonates and Their Ecotoxicological Evaluation Using Heterocypris incongruens and Vibrio fisheri Tests. Molecules 2016, 21, 936. [Google Scholar] [CrossRef]
- Cypryk, M.; Drabowicz, J.; Gostynski, B.; Kudzin, M.H.; Kudzin, Z.H.; Urbaniak, P. 1-(Acylamino)alkylphosphonic Acids—Alkaline Deacylation. Molecules 2018, 23, 859. [Google Scholar] [CrossRef]
- Huang, J.; Chen, R. An Overview of Recent Advances on the Synthesis and Biological Activity of α-Aminophosphonic Acid Derivatives. Heteroat. Chem. 2000, 11, 480–492. [Google Scholar] [CrossRef]
- Lavielle, G.; Hautefaye, P.; Schaeffer, C.; Boutin, J.A.; Cudennec, C.A.; Pierre, A. New alpha-amino phosphonic acid derivatives of vinblastine: Chemistry and antitumor activity. J. Med. Chem. 1991, 34, 1998–2003. [Google Scholar] [CrossRef] [PubMed]
- Xiao, L.-X.; Li, K.; Shi, D.-Q. A Convenient Synthesis and Herbicidal Activity of N-phosphonoalkylpyrazolo[4,3-e][1,2,4]-triazolo[1,5-d]pyrimidines. Phosphorus Sulfur Silicon Relat. Elem. 2008, 183, 3156–3165. [Google Scholar] [CrossRef]
- Malachowski, W.P.; Coward, J.K. The Chemistry of Phosphapeptides: Formation of Functionalized Phosphonochloridates under Mild Conditions and Their Reaction with Alcohols and Amines. J. Org. Chem. 1994, 59, 7616–7624. [Google Scholar] [CrossRef]
- Pradhan, B.S.; Dhokiya, K.V. Pyrrole Derivatives. U.K. Patent GB2479830, 26 October 2011. [Google Scholar]
- Fathi, R.; Huang, Q.; Syi, J.-L.; Delaney, W.; Cook, A.F. (Aminomethyl)phosphonate derivatives of oligonucleotides. Bioconjug. Chem. 1994, 5, 47–57. [Google Scholar] [CrossRef] [PubMed]
- Nahrwold, M.; Bogner, T.; Eissler, S.; Verma, S.; Sewald, N. “Clicktophycin-52”: A Bioactive Cryptophycin-52 Triazole Analogue. Org. Lett. 2010, 12, 1064–1067. [Google Scholar] [CrossRef] [PubMed]
- Plenat, F.; Cassagne, M.; Cristau, J.H. Synthesis of new phosphorus 2,4,5-imidazolidinetriones. Tetrahedron 1995, 51, 9551–9558. [Google Scholar] [CrossRef]
- Kálmán, F.K.; Woods, M.; Caravan, P.; Jurek, P.; Spiller, M.; Tircsó, G.; Király, R.; Brülcher, E.; Sherry, A.D. Potentiometric and Relaxometric Properties of a Gadolinium-Based MRI Contrast Agent for Sensing Tissue pH. Inorg. Chem. 2007, 46, 5260–5270. [Google Scholar] [CrossRef] [PubMed]
- Leygue, N.; De Heredia, A.P.; Galaup, C.; Benoist, E.; Lamarque, L.; Picard, C. New advances in the synthesis of tripyridinophane macrocycles suitable to enhance the luminescence of Ln(III) ions in aqueous solution. Tetrahedron 2018, 74, 4272–4287. [Google Scholar] [CrossRef]
- Abdou, W.M.; Khidre, R.E. Efficient synthesis routes for various phthalimido phosphor esters as antimicrobial agents in terms of structure–activity relationship. Monatsh. Chem. 2010, 141, 214–228. [Google Scholar] [CrossRef]
- Davidsen, S.K.; Phllips, G.W.; Martin, S.F. Geminal Acylation-Alkylation at a Carbonyl Center Using Diethyl N-Benzylideneaminomethylphosphonate: 2-Methyl-2-Phenyl-4-Pentenal. Org. Synth. 1987, 65, 119–134. [Google Scholar] [CrossRef]
- Hirschmann, R.; Yager, K.M.; Taylor, C.M.; Witherington, J.; Sprengeler, P.A.; Phillips, B.W.; Moore, W.; Smith, A.B. Phosphonate Diester and Phosphonamide Synthesis. Reaction Coordinate Analysis by 31P NMR Spectroscopy: Identification of Pyrophosphonate Anhydrides and Highly Reactive Phosphonylammonium Salts. J. Am. Chem. Soc. 1997, 119, 8177–8190. [Google Scholar] [CrossRef]
- Seyferth, D.; Marmor, R.S.; Hilbert, P. Reactions of dimethylphosphono-substituted diazoalkanes. (MeO)2P(O)CR transfer to olefins and 1,3-dipolar additions of (MeO)2P(O)C(N2)R. J. Org. Chem. 1971, 36, 1379–1386. [Google Scholar] [CrossRef]
- Yamauchi, K.; Kinoshita, M.; Imoto, M. Peptides Containing Aminophosphonic Acids. II. The Synthesis of Tripeptide Analogs. Bull. Chem. Soc. Jpn. 1972, 45, 2531–2534. [Google Scholar] [CrossRef]
- Ösapay, G.; Szilagyi, I.; Seres, J. Conversion of amino acids and dipeptides into their phosphonic analogs: Aminoalkylphosphonic acids and peptides II. Tetrahedron 1987, 43, 2977–2983. [Google Scholar] [CrossRef]
- Elliott, R.L.; Marks, N.; Berg, M.J.; Portoghese, P.S. Synthesis and Biological Evaluation of Phosphonamidate Peptide Inhibitors of Enkephalinase and Angiotensin-Converting Enzyme. J. Med. Chem. 1985, 28, 1208–1216. [Google Scholar] [CrossRef] [PubMed]
- Popoff, I.C.; Peter, B.B.; Huber, L.K. Aminoalkylphosphinic Acids. U.S. Patent 3,332,987, 25 July 1967. [Google Scholar]
- Popoff, I.C.; Huber, L.K.; Block, B.P.; Morton, P.D.; Riordan, R.P. α-Aminophosphinic Acids and α-Aminophosphine Oxides. I. Alkyl-α-aminoalkylphosphinic Acids, α-Aminoalkyl(aryl)phosphinic Acids, and α-Aminoalkyl(diaryl)phosphine Oxides. J. Org. Chem. 1963, 28, 2898–2900. [Google Scholar] [CrossRef]
- Baraldi, P.G.; Guarneri, M.; Moroder, F.; Pollini, G.P.; Simoni, D. Synthesis of 1-Phthalimidoalkanephosphonates. Synthesis 1982, 653–655. [Google Scholar] [CrossRef]
- Chun, Y.-J.; Park, J.-N.; Oh, G.-M.; Hong, S.-I.; Kim, Y.-J. Synthesis of ω-Phthalimidoalkylphosphonates. Synthesis 1994, 909–910. [Google Scholar] [CrossRef]
- Adamek, J.; Mazurkiewicz, R.; Węgrzyk, A.; Erfurt, K. 1-Imidoalkylphosphonium salts with modulated Cα-P+ bond strength: Synthesis and application as new active α-imidoalkylating agents. Beilstein J. Org. Chem. 2017, 13, 1446–1455. [Google Scholar] [CrossRef]
- Adamek, J.; Węgrzyk, A. Catalyst-free Friedel-Crafts reaction of 1-(N-acylamino)- and 1-imidoalkyltriarylphosphonium salts with arenes. Phosphorus Sulfur Silicon Relat. Elem. 2019, 194, 351–352. [Google Scholar] [CrossRef]
- Adamek, J.; Październiok-Holewa, A.; Zielińska, K.; Mazurkiewicz, R. Comparative Studies on the Amidoalkylating Properties of N-(1-Methoxyalkyl)Amides and 1-(N-Acylamino)Alkyltriphenylphosphonium Salts in the Michaelis–Arbuzov-Like Reaction: A New One-Pot Transformation of N-(1-Methoxyalkyl)Amides into Phosphonic or Phosphinic Analogs of N-Acyl-α-Amino Acids. Phosphorus Sulfur Silicon Relat. Elem. 2013, 188, 967–980. [Google Scholar] [CrossRef]
- Adamek, J.; Węgrzyk, A.; Kończewicz, J.; Walczak, K.; Erfurt, K. 1-(N-Acylamino)alkyltriarylphosphonium Salts with Weakened Cα-P+ Bond Strength—Synthetic Applications. Molecules 2018, 23, 2453. [Google Scholar] [CrossRef] [PubMed]
- Październiok-Holewa, A.; Adamek, J.; Mazurkiewicz, R.; Zielińska, K. Amidoalkylating Properties of 1-(N-Acylamino)Alkyltriphenylphosphonium Salts. Phosphorus Sulfur Silicon Relat. Elem. 2013, 188, 205–212. [Google Scholar] [CrossRef]
- Hoffmann, M.; Wasielewski, C. Amino phosphonic acids. Part VI. Diazomethane as a reagent in the synthesis of N-acylated 1-aminophosphonic acid esters. Roczniki Chem. 1976, 50, 139–146. [Google Scholar] [CrossRef]
- Yamauchi, K.; Kinoshita, M.; Imoto, M. Peptides Containing Aminophosphonic Acids. I. Reactivity of α-Aminobenzylphosphonic Acid. Bull. Chem. Soc. Jpn. 1972, 45, 2528–2531. [Google Scholar] [CrossRef]
Sample Availability: Samples of the compounds 1 are available from the authors. |
© 2019 by the authors. Licensee MDPI, Basel, Switzerland. This article is an open access article distributed under the terms and conditions of the Creative Commons Attribution (CC BY) license (http://creativecommons.org/licenses/by/4.0/).



