Abstract
A mild and facile Cp*Rh(III)-catalyzed C–H activation and intramolecular cascade annulation protocol has been proposed for the furnishing of highly fused isochromeno-1,2-benzothiazines scaffolds using S-phenylsulfoximides and 4-diazoisochroman-3-imine as substrates under room temperature. This method features diverse substituents and functional groups tolerance and relatively mild reaction conditions with moderate to excellent yields. Additionally, retentive configuration of sulfoximides in the conversion has been verified.
1. Introduction
Over the past decade, sulfoximines moiety has gained an increasing attention in organic chemistry [1,2,3,4,5,6,7,8,9] and pharmaceutical industries for their interesting properties such as multiple hydrogen-bond acceptor/donor functionalities, structural diversity, and favorable physicochemical properties [10,11,12,13]. For instances, sulfoximines along with benzothiazines scaffold-containing compounds possess diversified biologically active molecules such as antihypertensive activity α-adrenergic receptor blocker [14], anti-HIV nonnucleoside reverse transcriptase inhibitors [15], and hepatocytes protective mitogen-activated protein kinase kinase 4 (MKK4) inhibitor (Figure 1).
Figure 1.
Representatives of biologically active compounds containing sulfoximines moiety.
Considering the significance of the sulfoximines motif as a pharmacophore in medicinal chemistry, synthetic methods accessing to this moiety have been increasingly studied. The typical route approach to the sulfoximines starting from commercially available sulfides requires two steps include oxidation and successively imination [6,16,17]. Sometimes, in order to produce the N-free sulfoximines, an additional step should be involved to dissociate the protecting group. Thus, these traditional methods have drawbacks such as requiring relatively harsh reaction conditions and poor step-economy for constructing cyclic sulfoximines. In recent years, transition-metal-catalyzed direct C–H functionalization has been broadly investigated, and these strategies have been proven to be an efficient tool for the rapid construction of C–C, C–O, C–N, or C–S bonds [18,19,20,21,22,23,24,25,26,27,28,29,30]. Additionally, owing to the high efficiency and easy accessibility of Rh(III) catalysis, the construction of 1,2-benzothiazines through Rh(III)-catalyzed C–H bond activation has attracted attention and been extensively studied [31,32,33]. For instance, in 2013, Bolm and coworkers developed a Rh(III)-catalyzed C–H functionalization for the synthesis of 1,2-benzothiazines starting from N-H-sulfoximines and alkynes (Scheme 1a) [34]. This process had been accomplished under 1 atm O2 at 100 °C, and the desired products could be yielded in good to excellent yields but with limited structural diversity. Later in 2015, Bolm et al. has disclosed another strategy approaching the 1,2-benzothiazines via sulfoximines-assisted Rh(III)-catalyzed C–H functionalization and coupling reaction with diazo compounds (Scheme 1b) [35]. It is noteworthy that the dizao coupling partners should be electro-withdrawing groups-incorporated moieties, which lead to a limited versatility, and the process was carried out under argon at 100 °C. Recently, in Lee’s group, an Rh(III)-catalyzed domino C–H activation/cyclization strategy has been reported by mixing sulfoximine and pyridotriazole compounds to build the 1,2-benzothiazines skeleton (Scheme 1c) [36]. In the methodology, the target products were 1,2-benzothiazines bearing pyridyl motifs as well as carbonyl groups and the process was conducted at a high reaction temperature. However, it is of note that most of these strategies have to be conducted at harsh reaction conditions with a limited reaction versatility and structural diversity. Only in 2019, Wu et al. reported a mild protocol to synthesize 1,2-benzothiazines derivatives [37]. Moreover, the constructed 1,2-benzothiazines scaffolds were bicyclic moieties, and to the best of our knowledge, only limited examples have been disclosed for the synthesis of fused 1,2-benzothiazines motif under harsh reaction conditions [38].
Scheme 1.
Synthetic methods access to sulfoximines. (a) Bolm’s work; (b) Bolm’s work; (c) Lee’s work; (d) This work.
In continuation of our studies on the establishment of fused ring heterocyclic compounds via Rh(III)-catalyzed C-H functionalization [39,40,41], we envisioned that a fused 1,2-benzothiazines scaffold could be achieved via an Rh(III)-catalyzed C–H functionalization/annulation between sulfoximines and 4-diazoisochroman-3-imines. To our delight, the fused isochromeno-1,2-benzothiazines were successfully accomplished in good to excellent yields through a redox-neutral process, and our strategy could be carried out in the air under room temperature with broad generality and versatility. We herein described our results in detail.
2. Results and Discussion
Based on our previous work and relevant reports, we initially focused the studies on the Rh(III)-catalyzed coupling of sulfoximide (1a) and 4-diazoisochroman-3-imine (2a) (Table 1). In the presence of 10 mol% [Cp*RhCl2]2 and 40 mol% AgSbF6 in dichloroethane (DCE) at 80 °C, the desired product 3aa was produced in 16% yield, and its structure was further confirmed by 1H NMR spectroscopy (Table 1, Entry 2). We further assessed the reaction temperature in different solvents (Table 1, Entries 1–5), and the results demonstrated that when applying hexafluoro-isopropanol (HFIP) as the solvent, the reaction could be preceded by producing the 3aa in 47% yield under room temperature. This result leads us to realize that the polar alcohols would more facilitate the reaction at mild conditions rather than alkane such as DCE, which might retarded the process (Table 1, Entries 4 and 5). Inspired by this result, the other reaction solvents were screened under room temperature (Table 1, Entries 6–9). After a series of solvents was examined, the trifluoroethanol (TFE) was found to be the optimal in which 3aa was obtained in 75% yield (Table 1, Entry 6), and the structure of the desired product was further verified by X-ray crystallography (CCDC 1988905). We next investigated the effect of additives and gratifyingly, AgOPiv emerged to be the most effective additive among all those examined ones (Table 1, entries 10–13) to afford the desired product in an excellent isolated yield of 92%. Afterward, the ratio of the catalyst and additive was subsequently conducted (Table 1, Entries 14–16). The results disclosed that the 1:4 ratio of catalyst and additive was necessary for the full conversion of the starting material 1a and 2a (Table 1, Entries 13–17). In addition, further exploration proved that there was no obvious discrepancy of the yield of 3aa when the reaction was moved to an argon atmosphere (Table 1, Entry 18). However, when the reaction time was shortened to 12 h, the yield of 3aa was slightly reduced (Table 1, Entry 19). Moreover, we also tested different transition-metal catalysts such as the cost-effective ruthenium (II) or iridium (III) complex, and 3aa could be only detected in 85% yield when treated with 10 mol% [Cp*lrCl2]2 as catalyst (Table 1, entries 20–21). Notably, 3aa could not be detected when in the absence of [Cp*RhCl2]2, which indicated the [Cp*RhCl2]2 catalyst is indispensable for this transformation (Table 1, Entry 22). Therefore, the standard conditions for this Rh(III)-catalyzed coupling reaction is 5 mol %[Cp*RhCl2]2 and 20 mol %AgOPiv in TFE at room temperature for 18 h in the air.
Table 1.
Optimization of reaction conditions a. TFE: trifluoroethanol.
After establishing the optimal reaction conditions, we next turned to investigate the scope of sulfoximide derivatives. As illustrated in Table 2, this Rh-catalyzed coupling reaction could proceed smoothly with substituted S-aryl sulfoximine substrates bearing electron-donating or electron-withdrawing substituents, and the corresponding products could be yielded in moderate to good yields. Sulfoximines with substituents including methyl, methoxyl, halogen, nitro, etc. installed at the para-position of the benzene ring coupled with 2a smoothly to afford the isochromeno-benzothiazines products in good yields (3ca–3ha), albeit methyl substituted product (3ba) was obtained in only 47% yield. It should be mentioned that functional groups such as carbonyl, ester, or carbamate were all viable under the standard reaction conditions to give the desired products in 66% (3ia), 82% (3ja), and 89% (3ka) yields, respectively. This result indicated that the strategy could be broadly extended for further transformation. The ortho-methyl-incorporated sulfoximines also gave a relatively low yield of the desired product (3la, 58% yield). Notably, the substituents of sulfoximine substrates at different positions of its benzene ring did not alter the reaction efficiency, as for the halogenated substrates (compare 3ga, 3ma, and 3na) provided the desired products in similar yields (72% to 74%). Interestingly, when an electron-withdrawing group such as bromo was installed at the meta-position of the benene ring in 1a, only the o-C-H bond of sulfoximine located on the less hindered site was activated, which led to a production of 3na as a single isomer in 72% yield. On the contrary, if an electron-donating group was incorporated on the meta-position, the products were isolated as a regioisomer (3oa and 3oa’) in a total yield of 50%. In addition, naphthalene-fused sulfoximide was also coupled with 2a smoothly, and the desired product 3pa was obtained as a single isomer through activation/annulation on the less hindered site of sulfoximine in 73% yield.
Table 2.
Substrate scope of sulfoximines a.
We also evaluated a variety of S-substituted phenylsulfoximine substrates (3qa–3va), and the results revealed that alkyl, halogen, hydroxyl, and aryl substituents on sulfur substrates were also compatible under the standard conditions and generated the corresponding product in moderate to good yields varying from 40% to 90%. In particularly, the cyclopropyl with huge steric hindrance effect exhibited no impact on the reaction efficiency and showed the best reactivity with 90% yield. Additionally, pyridine sulfoximine substrate could not generate the desired product (3wa), which might be caused by the strong coordination effect of the nitrogen atom in pyridine, which ceased the reaction process.
Subsequently, we investigated the scope of 4-diazoisochroman-3-imine coupling partner (Table 3). The introduction of both electron-donating or electron-withdrawing substituents including methyl, methoxy, Cl, F, and trifluoromethyl at the 6- or 7- positions of isochroman were all tolerated in this coupling reaction (3ab–3aj) and the yields were varying from 53% to 76%. Among all the substituents, the electron-deficient trifluoromethyl isochroman substrates exhibited good reactivity and independently furnished the products 3aj and 3ai in 76% and 74% yields. Besides, the nitro group-substituted substrate was not compatible for this coupling reaction, and no desired product (3ak) was achieved. Substituents at different positions has no obvious influence on the reaction efficiency, as the yields of the 6- and 7- substituted substrates are basically the same.
Table 3.
Substrate scope of 4-diazoisochroman-3-imines a.
The chirality of the sufoximine group is important [42,43,44,45,46]. In order to verify the stereospecificity in the whole reaction process, optically pure R- and S-configured 1a were parallelly coupled with 2a under the standard condition (Scheme 2). The results demonstrated that the corresponding products were obtained with a retention of configuration with no erosion of the enantiopurity of the sulfoximine occurred, which indicated that the current coupling protocol possesses a potential utility on asymmetric synthesis.
Scheme 2.
Conversion of stereoisomer substrates.
Next, we conducted a series of control experiments to explore the preliminary reaction mechanism (Scheme 3). First, the kinetic isotope effect (KIE) experiment in intramolecular between d1-1a and 2a were performed and a small KIE value (kH/kD) was measured as 0.47, which indicated that the aryl Csp2-H bond cleavage was not the rate-limiting step (Scheme 3a) [47]. Next, in the H/D exchange study, phenylsulfoximine 1a was conducted under the standard conditions in deuterium TFE in the absence of 2a, and the deuterated d2-1a recovered in 91% deuterium at the ortho-position of benzene, which suggested that the C–H bond activation process was reversible (Scheme 3b). Finally, an intermolecular competitive experiment between electron-rich and electron-deficient substrates (1c/1i = 1:1) lead to the products 3ca/3ia with a ratio of 1.46, implying that an electrophilic rhodation of C–H bond activation probably involved in the catalytic cycle (Scheme 3c).
Scheme 3.
Preliminary mechanistic experiments. (a) KIE experiment; (b) H/D exchange experiment; (c) Competitive experiment.
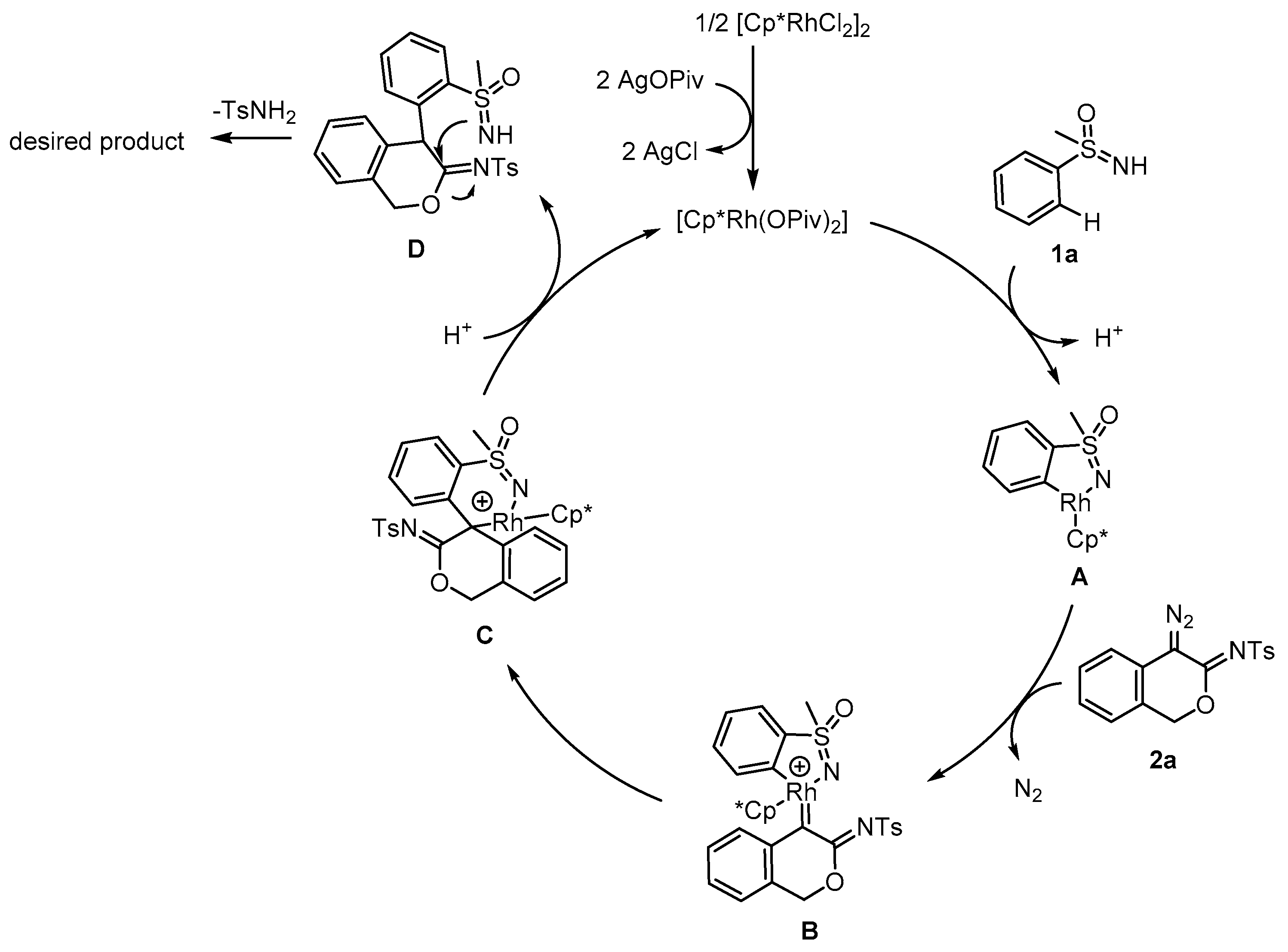
A plausible mechanism has been proposed based on the preliminary mechanistic experiments and previous reports [33,38,41,48]. As shown in Scheme 4, initially the five-membered rhodacycle intermediate A was formed via coordination of the activated rhodium catalyst with the nitrogen of the sulfoximine moiety and undergoes electrophilic C–H bond cleavage at the benzene ortho-position of substrate 1a. Then, intermediate A coordinated with 2a generates rhodium carbenoid intermediate B, followed by intramolecular carbene migratory insertion and produced a six-membered rhodacycle intermediate C. Finally, the intermediate C protonation to yield compound D and regenerated the active cationic Cp*Rh(III) species for the next catalytic cycle. Compound D could easily undergo intramolecular nucleophilic attack of imine and elimination of the p-toluenesulfonamide (TsNH2) process to produce the desired isochromeno-1,2-benzothiazines product 3aa.
Scheme 4.
Proposed mechanism.
3. Materials and Methods
3.1. General Information
All reagents and solvents were purchased from commercial sources (J&K Scientific Co., Ltd., Beijing, China; TCI Development Co., Ltd., Shanghai, China; Adamas Reagent, Co., Ltd., Shanghai, China.) and used without further purification. The analytical thin layer chromatography (TLC) was HSGF 254 (0.15–0.2 mm thickness). All products were characterized by their NMR and MS spectra. 1H and 13C nuclear magnetic resonance spectra (NMR) were acquired on a Bruker 400 MHz or 500 MHz or 600 MHz NMR spectrometer (Billerica, MA, USA). Chemical shifts were reported in parts per million (ppm, δ) downfield from tetramethylsilane, and the coupling constants (J) were indicated in Hz. Proton coupling patterns are described as singlet (s), doublet (d), triplet (t), quartet (q), multiplet (m), doublet of doublets (dd), and broad (br). Low-resolution mass spectra (LRMS) data were measured on Agilent 1260 Infinity II (Palo Alto, CA, USA) with Electrospray Ionization (ESI). High-resolution mass spectra (HRMS) data were measured on an Agilent G6520 Q-TOF (Palo Alto, CA, USA) with Electrospray Ionization (ESI). AgOPiv was prepared according to the reported literature method [49].
3.2. Experimental Part Method
3.2.1. General Procedure A for the Synthesis of Substrates 1a–1w
To a stirred solution of sulfide (1 mmol) in MeOH (10 mL) was added (NH4)2CO3 (1.5 equiv.). Subsequently, PhI(OAc)2 (2.3 equiv.) was added, and the solution was stirred at rt for 10 min. The solvent was removed under reduced pressure, and the crude product was purified by flash column chromatography eluted with dichloromethane (DCM)/MeOH from 30:1 to 10:1 to give the desired product 1. Compounds 1e, 1f, 1q, R-1a, and S-1a were purchased from commercial sources and used without further purification. Compounds 1a–1c, 1g-1i, 1l–1p, 1r–1w are known compounds.
[4-(S-Methylsulfonimidoyl)phenyl]methanol (1d): white solid; m.p.: 108–109 °C; 1H NMR (500 MHz, DMSO-d6): δ 7.88 (d, J = 8.3 Hz, 2H), 7.55–7.49 (m, 2H), 5.41 (t, J = 5.7 Hz, 1H), 4.59 (d, J = 5.6 Hz, 2H), 4.15 (s, 1H), 3.04 (s, 3H); 13C NMR (126 MHz, DMSO-d6): δ 147.5, 142.3, 127.2, 126.6, 62.2, 46.0; LRMS (ESI): m/z 186.0 [M + H]+; HRMS (ESI): calculated for C8H12NO2S [M + H]+: 186.0583, found: 186.0584.
Ethyl [4-(S-methylsulfonimidoyl)phenyl]acetate (1j): colorless oil (207.5 mg, 86% yield); 1H NMR (600 MHz, DMSO-d6): δ 7.88 (d, J = 8.3 Hz, 2H), 7.49 (d, J = 8.4 Hz, 2H), 4.18 (s, 1H), 4.09 (q, J = 7.1 Hz, 2H), 3.80 (s, 2H), 3.05 (s, 3H), 1.19 (t, J = 7.1 Hz, 3H); 13C NMR (126 MHz, CDCl3): δ 170.6, 142.5, 139.8, 130.4, 128.1, 61.4, 46.3, 41.2, 14.3; LRMS (ESI): m/z 242.1 [M + H]+; HRMS (ESI): calculated for C11H16NO3S [M + H]+: 242.0845, found: 242.0841.
tert-Butyl (4-(S-methylsulfonimidoyl)phenyl)carbamate (1k): white solid; m.p.: 155–156 °C; 1H NMR (600 MHz, DMSO-d6): δ 9.78 (s, 1H), 7.80 (d, J = 8.7 Hz, 2H), 7.63 (d, J = 8.5 Hz, 2H), 4.01 (s, 1H), 3.00 (s, 3H), 1.49 (s, 9H); 13C NMR (126 MHz, DMSO-d6): δ 152.5, 143.3, 136.7, 128.4, 117.5, 79.8, 46.2, 28.0; LRMS (ESI) m/z: 271.1 [M + H]+; HRMS (ESI) m/z: calculated for C12H18N2O3S [M + H]+: 271.1111, found: 271.1115.
3.2.2. General Procedure for the Synthesis of Substrates 2a–2k
To a two-neck round bottom flask was successively added (2-ethynylphenyl)methanols (5.0 mmol, 1.0 equiv.), CuBr (0.5 mmol, 0.1 equiv.), and Et3N (10.0 mmol, 2.0 equiv.) in anhydrous MeCN (50 mL, 0.1 M). The mixture was evacuated and refilled with Ar 3 times. To the resulting mixture was slowly added p-toluenesulfonyl azide (75% in EA solution, 11.0 mmol, 2.2 equiv.) over 10 min under Ar, and the reaction was processed under room temperature for 4–6 h. Then, the mixture was filtered through a pad of celite and washed with DCM (30 mL × 3). The combined organic layer was washed with saturated NaHCO3, dried over anhydrous Na2SO4, filtered, and concentrated under reduced pressure. The crude residue was purified by flash chromatography eluted with hexane/EA/DCM = 5:1:2 to give the desired product 2 as a yellow solid. Compounds 2a–2k are known compounds.
3.2.3. General Procedure for the Synthesis of Compounds 3
To a 15 mL vial was added sulfoximines 1 (0.15 mmol), 4-diazoisochroman-3-imines 2 (0.165 mmol), [Cp*RhCl2]2 (5 mol%), and AgOPiv (20 mol%) under air. Trifluoroethanol (TFE, 2.5 mL) was added subsequently. The resulting mixture was stirred at ambient temperature for 18 h. Upon completion of the reaction, the mixture was filtered through a celite pad and washed with DCM (10 mL × 3). The combined organic layer was concentrated under vacuo, and the residue was purified by silica gel chromatography eluting with DCM/MeOH from 50:1 to 10:1 to give the desired isochromeno-1,2-benzothiazines product 3.
3.2.4. Characterization of the Products
5-Methyl-8H-5λ4-isochromeno[3,4-c][1,2]benzothiazine 5-oxide (3aa): yellow-green solid; m.p.: 182–184 °C; 1H NMR (500 MHz, CDCl3): δ 8.07 (d, J = 9.6 Hz, 1H), 7.78 (dd, J = 8.0, 1.3 Hz, 1H), 7.62–7.54 (m, 2H), 7.38–7.26 (m, 2H), 7.21–7.11 (m, 2H), 5.20–4.99 (m, 2H), 3.49 (s, 3H); 13C NMR (126 MHz, CDCl3): δ 157.3, 135.0, 132.9, 131.3, 128.8, 128.2, 125.0, 124.8, 124.5, 124.4, 123.2, 122.2, 120.0, 91.9, 70.3, 43.0; LRMS (ESI): m/z 284.1 [M + H]+; HRMS (ESI): calculated for C16H14NO2S [M + H]+: 284.0740, found: 284.0745.
2,5-Dimethyl-8H-5λ4-isochromeno[3,4-c][1,2]benzothiazine 5-oxide (3ba): yellow solid; m.p.: 101–103 °C; 1H NMR (600 MHz, CDCl3): δ 7.87 (s, 1H), 7.67 (d, J = 8.2 Hz, 1H), 7.61 (d, J = 8.8 Hz, 1H), 7.32 (t, J = 6.8 Hz, 1H), 7.20 (d, J = 7.4 Hz, 1H), 7.18–7.13 (m, 2H), 5.14–5.00 (m, 2H), 3.46 (s, 3H), 2.44 (s, 3H); 13C NMR (151 MHz, CDCl3): δ 157.3, 143.7, 135.2, 131.4, 128.8, 128.2, 125.7, 125.0, 124.7, 124.2, 123.2, 122.2, 117.6, 91.6, 70.2, 43.1, 22.2; LRMS (ESI): m/z 298.0 [M + H]+; HRMS (ESI): calculated for C17H16NO2S [M + H]+: 298.0896, found: 298.0900.
2-Methoxy-5-methyl-8H-5λ4-isochromeno[3,4-c][1,2]benzothiazine 5-oxide (3ca): pale yellow solid; m.p.: 105–106 °C; 1H NMR (400 MHz, CDCl3): δ 7.70 (d, J = 8.9 Hz, 1H), 7.64 (d, J = 7.8 Hz, 1H), 7.47 (d, J = 2.4 Hz, 1H), 7.35–7.27 (m, 1H), 7.20 (d, J = 5.9 Hz, 1H), 7.14 (t, J = 7.3 Hz, 1H), 6.88 (dd, J = 8.9, 2.4 Hz, 1H), 5.07 (q, J = 12.2 Hz, 2H), 3.86 (s, 3H), 3.42 (s, 3H); 13C NMR (126 MHz, CDCl3): δ 163.3, 157.9, 137.5, 131.5, 128.9, 128.2, 125.5, 125.1, 124.6, 121.8, 112.9, 112.8, 106.7, 91.5, 70.1, 55.7, 43.7; LRMS (ESI): m/z 314.0 [M + H]+; HRMS (ESI): calculated for C17H16NO3S [M + H]+: 314.0845, found: 314.0844.
(5-Methyl-5-oxido-8H-5λ4-isochromeno[3,4-c][1,2]benzothiazin-2-yl)methanol (3da): orange solid; m.p.: 65–67 °C; 1H NMR (600 MHz, CDCl3): δ 7.99 (s, 1H), 7.66 (d, J = 8.2 Hz, 1H), 7.54 (d, J = 7.8 Hz, 1H), 7.29–7.23 (m, 2H), 7.13 (d, J = 6.8 Hz, 2H), 5.01–4.93 (m, 2H), 4.73 (s, 2H), 3.40 (s, 3H), 2.97 (s, 1H); 13C NMR (126 MHz, CDCl3): δ 157.2, 146.6, 135.0, 131.1, 128.7, 128.3, 125.0, 124.8, 123.4, 122.8, 122.1, 121.7, 118.6, 92.0, 70.1, 64.5, 42.9; LRMS (ESI): m/z 314.0 [M + H]+; HRMS (ESI): calculated for C17H16NO3S [M + H]+: 314.0845, found: 314.0846.
2-Fluoro-5-methyl-8H-5λ4-isochromeno[3,4-c][1,2]benzothiazine 5-oxide (3ea): yellow solid; m.p.: 149–151 °C; 1H NMR (600 MHz, CDCl3): δ 7.79 (dd, J = 8.9, 5.5 Hz, 1H), 7.70 (dd, J = 11.3, 2.5 Hz, 1H), 7.57 (d, J = 7.6 Hz, 1H), 7.33 (td, J = 7.5, 1.7 Hz, 1H), 7.22–7.13 (m, 2H), 7.07–6.99 (m, 1H), 5.15–5.02 (m, 2H), 3.47 (s, 3H); 13C NMR (151 MHz, CDCl3): δ 157.8, 134.5, 133.5, 132.2, 131.9, 131.1–130.2 (m), 125.5, 125.0, 124.0, 123.4, 121.5–121.3 (m), 120.2, 118.6 (q, J = 3.8 Hz), 91.3, 69.7, 43.0; LRMS (ESI): m/z 302.0 [M + H]+; HRMS (ESI): calculated for C16H13FNO2S [M + H]+: 302.0646, found: 302.0650.
2-Chloro-5-methyl-8H-5λ4-isochromeno[3,4-c][1,2]benzothiazine 5-oxide (3fa): yellow-green solid; m.p.: 210–211 °C; 1H NMR (600 MHz, CDCl3): δ 8.04 (d, J = 2.0 Hz, 1H), 7.70 (d, J = 8.6 Hz, 1H), 7.57 (d, J = 7.8 Hz, 1H), 7.39–7.30 (m, 1H), 7.28 (d, J = 1.9 Hz, 1H), 7.22–7.15 (m, 2H), 5.15–5.02 (m, 2H), 3.48 (s, 3H); 13C NMR (151 MHz, CDCl3): δ 157.6, 139.2, 136.0, 130.2, 128.2, 127.9, 124.6, 124.6, 124.3, 124.0, 123.2, 121.5, 117.3, 91.1, 69.8, 42.6; LRMS (ESI): m/z 318.0 [M + H]+; HRMS (ESI): calculated for C16H13ClNO2S [M + H]+: 318.0350, found: 318.0350.
2-Bromo-5-methyl-8H-5λ4-isochromeno[3,4-c][1,2]benzothiazine 5-oxide (3ga): yellow-green solid; m.p.: 93–94 °C; 1H NMR (500 MHz, CDCl3): δ 8.21 (d, J = 1.8 Hz, 1H), 7.62 (d, J = 8.5 Hz, 1H), 7.56 (d, J = 7.8 Hz, 1H), 7.42 (dd, J = 8.5, 1.8 Hz, 1H), 7.37–7.33 (m, 1H), 7.22 – 7.15 (m, 2H), 5.16–5.02 (m, 2H), 3.48 (s, 3H).; 13C NMR (126 MHz, CDCl3): δ 157.6, 136.1, 130.1, 128.2, 128.0, 127.8, 126.8, 126.3, 124.6, 124.6, 124.2, 121.5, 117.7, 91.0, 69.8, 42.5; LRMS (ESI): m/z 361.0 [M + H]+; HRMS (ESI): calculated for C16H13BrNO2S [M + H]+: 361.9845, found: 361.9850.
5-Methyl-2-nitro-8H-5λ4-isochromeno[3,4-c][1,2]benzothiazine 5-oxide (3ha): brown solid; m.p.: 179–181 °C; 1H NMR (600 MHz, CDCl3): δ 8.92 (d, J = 2.2 Hz, 1H), 8.04 (dd, J = 8.7, 2.1 Hz, 1H), 7.91 (d, J = 8.7 Hz, 1H), 7.56 (d, J = 7.8 Hz, 1H), 7.39 (dt, J = 8.2, 4.4 Hz, 1H), 7.23 (d, J = 4.1 Hz, 2H), 5.21 – 5.03 (m, 2H), 3.61 (s, 3H); 13C NMR (126 MHz, CDCl3): δ 158.1, 150.0, 135.5, 129.6, 128.3, 128.1, 125.3, 124.8, 124.3, 121.8, 121.4, 119.5, 117.3, 92.6, 70.0, 42.2; LRMS (ESI): m/z 329.2 [M + H]+; HRMS (ESI): calculated for C16H13N2O4S [M + H]+: 329.0591, found: 329.0603.
1-(5-Methyl-5-oxido-8H-5λ4-isochromeno[3,4-c][1,2]benzothiazin-2-yl)ethanone (3ia): orange-yellow solid; m.p.: 112–114 °C; 1H NMR (600 MHz, CDCl3): δ 8.63 (s, 1H), 7.86–7.80 (m, 2H), 7.57 (d, J = 7.8 Hz, 1H), 7.35 (td, J = 7.5, 1.7 Hz, 1H), 7.24–7.16 (m, 2H), 5.21–5.02 (m, 2H), 3.57 (s, 3H), 2.63 (s, 3H); 13C NMR (151 MHz, CDCl3): δ 197.4, 157.8, 140.1, 135.1, 130.8, 128.7, 128.6, 125.3, 125.2, 123.6, 123.0, 122.0, 122.0, 92.7, 70.4, 42.7, 27.1; LRMS (ESI): m/z 326.0 [M + H]+; HRMS (ESI): calculated for C18H16NO3S [M + H]+: 326.0845, found: 326.0850.
Ethyl (5-methyl-5-oxido-8H-5λ4-isochromeno[3,4-c][1,2]benzothiazin-2-yl)acetate (3ja): yellow solid; m.p.: 70–72 °C; 1H NMR (600 MHz, CDCl3): δ 7.96 (d, J = 1.8 Hz, 1H), 7.73 (d, J = 8.2 Hz, 1H), 7.59 (d, J = 7.9 Hz, 1H), 7.31 (td, J = 7.5, 1.6 Hz, 1H), 7.25 (d, J = 1.6 Hz, 1H), 7.19 (dd, J = 7.6, 1.5 Hz, 1H), 7.15 (td, J = 7.4, 1.1 Hz, 1H), 5.17–4.97 (m, 2H), 4.17 (q, J = 7.1 Hz, 2H), 3.68 (s, 2H), 3.48 (s, 3H), 1.27 (t, J = 7.1 Hz, 3H); 13C NMR (126 MHz, CDCl3): δ 170.7, 157.5, 139.4, 135.2, 131.2, 128.8, 128.2, 125.5, 125.0, 125.0, 124.8, 123.5, 122.1, 118.7, 91.8, 70.2, 61.3, 43.0, 41.7, 14.3; LRMS (ESI): m/z 370.0 [M + H]+; HRMS (ESI): calculated for C20H20NO4S [M + H]+: 370.1108, found: 370.1116.
tert-Butyl (5-methyl-5-oxido-8H-5λ4-isochromeno[3,4-c][1,2]benzothiazin-2-yl)carbamate (3ka): yellow-green solid; m.p.: 77–79 °C; 1H NMR (600 MHz, CDCl3): δ 7.90 (d, J = 2.0 Hz, 1H), 7.65 (d, J = 8.8 Hz, 1H), 7.59 (d, J = 7.4 Hz, 1H), 7.46 (d, J = 8.6 Hz, 1H), 7.30 – 7.24 (m, 1H), 7.13 (d, J = 7.5 Hz, 1H), 7.09 (t, J = 7.4 Hz, 1H), 6.98 (s, 1H), 5.08 – 4.95 (m, 2H), 3.39 (s, 3H), 1.49 (s, 9H); 13C NMR (126 MHz, CDCl3): δ 157.5, 152.3, 143.0, 136.3, 131.2, 128.6, 128.2, 124.9, 124.7, 124.6, 122.0, 115.1, 114.2, 111.9, 91.5, 81.4, 70.1, 43.4, 28.3; LRMS (ESI): m/z 399.0 [M + H]+; HRMS (ESI): calculated for C21H23N2O4S [M + H]+: 399.1373, found: 399.1383.
4,5-Dimethyl-8H-5λ4-isochromeno[3,4-c][1,2]benzothiazine 5-oxide (3la): yellow solid; m.p.: 109–111 °C; 1H NMR (600 MHz, CDCl3): δ 7.90 (d, J = 6.5 Hz, 1H), 7.53 (d, J = 6.7 Hz, 1H), 7.44 (dd, J = 8.3, 7.3 Hz, 1H), 7.28 (td, J = 7.7, 1.6 Hz, 1H), 7.18 (dd, J = 7.4, 0.8 Hz, 1H), 7.13 (td, J = 7.4, 1.1 Hz, 1H), 7.10 (dt, J = 7.3, 1.0 Hz, 1H), 5.12–5.02 (m, 2H), 3.43 (s, 3H), 2.76 (s, 3H); 13C NMR (126 MHz, CDCl3): δ 156.2, 136.6, 135.4, 132.5, 131.7, 128.9, 128.1, 127.6, 125.0, 124.6, 123.0, 122.2, 120.0, 91.2, 70.2, 46.6, 21.1; LRMS (ESI): m/z 298.1 [M + H]+; HRMS (ESI): calculated for C17H16NO2S [M + H]+: 298.0896, found: 298.0900.
4-Bromo-5-methyl-8H-5λ4-isochromeno[3,4-c][1,2]benzothiazine 5-oxide (3ma): yellow solid; m.p.: 101–103 °C; 1H NMR (500 MHz, CDCl3): δ 8.07 (dd, J = 8.4, 1.1 Hz, 1H), 7.53–7.42 (m, 2H), 7.37 (t, J = 8.0 Hz, 1H), 7.31–7.25 (m, 1H), 7.19 (d, J = 7.6 Hz, 1H), 7.15 (t, J = 6.8 Hz, 1H), 5.19–5.02 (m, 2H), 3.89 (s, 3H); 13C NMR (151 MHz, CDCl3): δ 156.5, 138.5, 132.8, 131.1, 129.7, 128.9, 128.2, 125.2, 125.0, 124.6, 122.3, 120.9, 118.2, 91.2, 70.3, 49.2; LRMS (ESI): m/z 360.9 [M + H]+; HRMS (ESI): calculated for C16H13BrNO2S [M + H]+: 361.9845, found: 361.9854.
3-Bromo-5-methyl-8H-5λ4-isochromeno[3,4-c][1,2]benzothiazine 5-oxide (3na): yellow solid; m.p.: 120–122 °C; 1H NMR (600 MHz, CDCl3): δ 7.95 (d, J = 8.9 Hz, 1H), 7.88 (d, J = 2.1 Hz, 1H), 7.63 (dd, J = 8.9, 2.1 Hz, 1H), 7.52 (d, J = 8.3 Hz, 1H), 7.31 (td, J = 7.5, 1.7 Hz, 1H), 7.21–7.12 (m, 2H), 5.15–5.01 (m, 2H), 3.52 (s, 3H); 13C NMR (151 MHz, CDCl3): δ 157.3, 135.9, 133.7, 130.7, 128.7, 128.3, 126.2, 125.5, 125.1, 125.1, 122.1, 120.9, 116.2, 91.9, 70.3, 42.9; LRMS (ESI): m/z 361.2 [M + H]+; HRMS (ESI): calculated for C16H13BrNO2S [M + H]+: 361.9845, found: 361.9843.
3-Methoxy-5-methyl-8H-5λ4-isochromeno[3,4-c][1,2]benzothiazine 5-oxide (3oa) and 1-Methoxy-5-methyl-8H-5λ4-isochromeno[3,4-c][1,2]benzothiazine 5-oxide (3oa’): pale yellow solid; 1H NMR (500 MHz, CDCl3) for the mixtures: δ 8.00 (d, J = 9.7 Hz, 1H), 7.54 (d, J = 7.9 Hz, 1H), 7.46 (d, J = 5.8 Hz, 1H), 7.41–7.33 (m, 5H), 7.30 (t, J = 7.4 Hz, 1H), 7.23–7.16 (m, 6H), 7.13 (d, J = 6.2 Hz, 7H), 7.08 (t, J = 7.2 Hz, 3H), 6.90 (d, J = 7.9 Hz, 1H), 6.85 (d, J = 7.8 Hz, 3H), 5.16–4.96 (m, 7H), 3.89 (s, 3H), 3.77 (s, 8H), 3.64 (s, 8H), 3.45 (s, 3H); 13C NMR (126 MHz, CDCl3) for the mixtures: δ 157.5, 154.8, 132.2, 132.0, 130.8, 128.2, 128.0, 127.6, 126.3, 125.8, 124.9, 124.5, 124.3, 124.1, 123.8, 123.2, 123.1, 123.1, 122.0, 121.4, 121.3, 120.0, 115.7, 115.1, 113.6, 113.5, 104.8, 89.4, 69.8, 69.6, 55.5, 54.8, 42.4, 42.0; LRMS (ESI): m/z 314.2 [M + H]+; HRMS (ESI): calculated for C17H16NO3S [M + H]+: 314.0845, found: 314.0837.
8-Methyl-5H-8λ4-isochromeno[3,4-c]naphtho[2,3-e][1,2]thiazine 8-oxide (3pa): yellow solid; m.p.: 98–100 °C; 1H NMR (600 MHz, CDCl3): δ 8.40 (s, 2H), 7.92 (d, J = 8.3 Hz, 1H), 7.82 (d, J = 8.4 Hz, 1H), 7.77 (d, J = 7.8 Hz, 1H), 7.61–7.55 (m, 1H), 7.46 (t, J = 7.5 Hz, 1H), 7.37 (t, J = 8.2 Hz, 1H), 7.23 (d, J = 7.1 Hz, 1H), 7.19 (t, J = 6.5 Hz, 1H), 5.11 (s, 2H), 3.41 (s, 3H); 13C NMR (126 MHz, CDCl3): δ 156.4, 135.8, 131.7, 130.2, 130.0, 129.3, 128.9, 128.8, 128.2, 127.8, 126.0, 125.1, 124.8, 124.6, 123.3, 121.9, 121.8, 91.8, 70.2, 42.5; LRMS (ESI): m/z 334.0 [M + H]+; HRMS (ESI): calculated for C20H16NO2S [M + H]+: 334.0896, found: 334.0894.
5-Ethyl-8H-5λ4-isochromeno[3,4-c][1,2]benzothiazine 5-oxide (3qa): yellow-green solid; m.p.: 77–79 °C; 1H NMR (500 MHz, CDCl3): δ 8.07 (d, J = 8.4 Hz, 1H), 7.72 (dd, J = 8.0, 1.4 Hz, 1H), 7.60 (d, J = 6.8 Hz, 1H), 7.59–7.55 (m, 1H), 7.34–7.27 (m, 2H), 7.19 (d, J = 5.9 Hz, 1H), 7.14 (td, J = 7.4, 1.2 Hz, 1H), 5.09 (q, J = 12.2 Hz, 2H), 3.60 (ddt, J = 32.6, 14.5, 7.3 Hz, 2H), 1.36 (t, J = 7.3 Hz, 3H); 13C NMR (126 MHz, CDCl3): δ 157.7, 136.0, 133.0, 131.4, 128.8, 128.2, 125.0, 124.7, 124.6, 124.2, 123.8, 122.0, 117.2, 91.3, 70.2, 49.3, 7.9; LRMS (ESI): m/z 298.1 [M + H]+; HRMS (ESI): calculated for C17H16NO2S [M + H]+: 298.0896, found: 298.0904.
5-Cyclopropyl-8H-5λ4-isochromeno[3,4-c][1,2]benzothiazine 5-oxide (3ra): yellow oil; 1H NMR (600 MHz, CDCl3): δ 8.09 (d, J = 8.3 Hz, 1H), 7.87 (d, J = 8.0 Hz, 1H), 7.62 (d, J = 7.8 Hz, 1H), 7.56 (t, J = 7.7 Hz, 1H), 7.33–7.28 (m, 2H), 7.19 (d, J = 7.3 Hz, 1H), 7.14 (t, J = 7.4 Hz, 1H), 5.17–4.99 (m, 2H), 2.88 (tt, J = 8.0, 4.7 Hz, 1H), 1.78 – 1.70 (m, 1H), 1.57–1.49 (m, 1H), 1.42 (dt, J = 14.9, 7.8 Hz, 1H), 1.31–1.26 (m, 1H); 13C NMR (151 MHz, CDCl3): δ 157.4, 135.2, 132.5, 131.3, 128.8, 128.1, 125.0, 124.7, 124.4, 124.1, 123.3, 122.3, 120.5, 91.8, 70.2, 30.7, 7.0, 4.6; LRMS (ESI): m/z 310.1 [M + H]+; HRMS (ESI): calculated for C18H16NO2S [M + H]+: 310.0896, found: 310.0904.
5-(Chloromethyl)-8H-5λ4-isochromeno[3,4-c][1,2]benzothiazine 5-oxide (3sa): yellow-green solid; m.p.: 194–196 °C; 1H NMR (600 MHz, CDCl3): δ 8.06 (d, J = 8.4 Hz, 1H), 7.87 (dd, J = 8.1, 1.4 Hz, 1H), 7.66–7.62 (m, 1H), 7.61 (d, J = 7.4 Hz, 1H), 7.38–7.34 (m, 1H), 7.32 (td, J = 7.5, 1.7 Hz, 1H), 7.21 (dd, J = 7.6, 1.6 Hz, 1H), 7.17 (td, J = 7.3, 1.1 Hz, 1H), 5.09 (q, J = 12.3 Hz, 2H), 4.89–4.75 (m, 2H); 13C NMR (126 MHz, CDCl3): δ 157.3, 137.3, 134.3, 130.8, 128.9, 128.3, 125.8, 125.1, 125.1, 124.7, 124.4, 122.1, 114.6, 91.7, 70.4, 58.6; LRMS (ESI): m/z 317.9 [M + H]+; HRMS (ESI): calculated for C16H13ClNO2S [M + H]+: 318.0350, found: 318.0345.
2-(5-Oxido-8H-5λ4-isochromeno[3,4-c][1,2]benzothiazin-5-yl)ethanol (3ta): yellow-green solid; m.p.: 143–145 °C; 1H NMR (600 MHz, CDCl3): δ 8.08 (d, J = 8.3 Hz, 1H), 7.80 (dd, J = 8.1, 1.3 Hz, 1H), 7.64–7.56 (m, 2H), 7.36–7.29 (m, 2H), 7.21–7.14 (m, 2H), 5.19–5.03 (m, 2H), 4.18–4.07 (m, 2H), 3.95 – 3.83 (m, 2H), 3.26 (s, 1H); 13C NMR (151 MHz, CDCl3): δ 156.5, 135.1, 132.9, 130.9, 129.7, 128.6, 128.1, 126.4, 125.0, 124.4, 123.4, 122.2, 118.8, 92.2, 70.2, 56.3, 56.2; LRMS (ESI): m/z 314.1 [M + H]+; HRMS (ESI): calculated for C17H16NO3S [M + H]+: 314.0845, found: 314.0842.
5-Phenyl-8H-5λ4-isochromeno[3,4-c][1,2]benzothiazine 5-oxide (3ua): yellow solid; m.p.: 102–103 °C; 1H NMR (600 MHz, CDCl3): δ 8.13 (d, J = 8.4 Hz, 1H), 8.07 (d, J = 7.8 Hz, 2H), 7.71 (t, J = 7.4 Hz, 1H), 7.67 (d, J = 7.8 Hz, 1H), 7.62 (t, J = 7.7 Hz, 2H), 7.51 (t, J = 7.7 Hz, 1H), 7.34 (t, J = 7.6 Hz, 1H), 7.22 (t, J = 8.0 Hz, 2H), 7.19–7.13 (m, 2H), 5.24–5.10 (m, 2H); 13C NMR (151 MHz, CDCl3): δ 157.4, 136.8, 134.6, 134.3, 132.2, 131.3, 129.8, 129.3, 128.9, 128.2, 125.0, 124.9, 124.7, 124.2, 124.1, 122.5, 121.2, 92.1, 70.4; LRMS (ESI): m/z 346.0 [M + H]+; HRMS (ESI): calculated for C21H16NO2S [M + H]+: 346.0896, found: 346.0899.
5-Benzyl-8H-5λ4-isochromeno[3,4-c][1,2]benzothiazine 5-oxide (3va): yellow-green solid; m.p.: 66–68 °C; 1H NMR (600 MHz, CDCl3): δ 7.99 (dd, J = 8.1, 1.1 Hz, 1H), 7.75 (dd, J = 7.8, 1.4 Hz, 1H), 7.65 (d, J = 8.9 Hz, 1H), 7.59 – 7.53 (m, 1H), 7.38 (td, J = 7.5, 1.1 Hz, 1H), 7.32 (t, J = 6.9 Hz, 1H), 7.30–7.26 (m, 2H), 7.25–7.22 (m, 1H), 7.18 (td, J = 7.4, 1.1 Hz, 1H), 7.16–7.12 (m, 3H), 5.33 (d, J = 15.5 Hz, 1H), 5.08 (d, J = 12.1 Hz, 1H), 4.98 (d, J = 15.5 Hz, 1H), 4.62 (d, J = 12.1 Hz, 1H); 13C NMR (126 MHz, CDCl3): δ 147.2, 137.0, 133.9, 131.4, 130.6, 129.0, 128.8, 128.5, 128.3, 127.8, 127.4, 126.5, 125.8, 125.4, 125.3, 124.9, 123.5, 97.0, 70.4, 54.2; LRMS (ESI): m/z 360.0 [M + H]+; HRMS (ESI): calculated for C22H18NO2S [M + H]+: 360.1053, found: 360.1053.
5,10-Dimethyl-8H-5λ4-isochromeno[3,4-c][1,2]benzothiazine 5-oxide (3ab): yellow-green solid; m.p.: 152–154 °C; 1H NMR (600 MHz, CDCl3): δ 8.05 (d, J = 8.4 Hz, 1H), 7.77 (d, J = 7.7 Hz, 1H), 7.59–7.54 (m, 1H), 7.49 (d, J = 7.9 Hz, 1H), 7.32 (t, J = 7.6 Hz, 1H), 7.12 (dd, J = 8.0, 1.8 Hz, 1H), 7.01 (s, 1H), 5.12–5.00 (m, 2H), 3.49 (s, 3H), 2.36 (s, 3H); 13C NMR (151 MHz, CDCl3): δ 156.8, 135.1, 134.6, 132.8, 129.0, 128.8, 128.4, 125.7, 124.5, 124.3, 123.2, 122.2, 119.9, 91.9, 70.3, 43.0, 21.1.; LRMS (ESI): m/z 298.1 [M + H]+; HRMS (ESI): calculated for C17H16NO2S [M + H]+: 298.0896, found: 298.0902.
10-Methoxy-5-methyl-8H-5λ4-isochromeno[3,4-c][1,2]benzothiazine 5-oxide (3ac): yellow-green solid; m.p.: 108–110 °C; 1H NMR (600 MHz, CDCl3): δ 8.02 (d, J = 8.4 Hz, 1H), 7.76 (d, J = 8.1 Hz, 1H), 7.56 (t, J = 7.7 Hz, 1H), 7.51 (d, J = 8.5 Hz, 1H), 7.31 (t, J = 7.6 Hz, 1H), 6.87 (dd, J = 8.6, 2.7 Hz, 1H), 6.76 (d, J = 2.7 Hz, 1H), 5.05 (q, J = 12.3 Hz, 2H), 3.82 (s, 3H), 3.50 (s, 3H); 13C NMR (151 MHz, CDCl3): δ 157.2, 156.2, 135.0, 132.8, 130.5, 124.4, 124.2, 123.9, 123.5, 123.1, 119.8, 113.5, 110.9, 91.7, 70.2, 55.6, 42.9; LRMS (ESI): m/z 314.1 [M + H]+; HRMS (ESI): calculated for C17H16NO3S [M + H]+: 314.0845, found: 314.0847.
11-Methoxy-5-methyl-8H-5λ4-isochromeno[3,4-c][1,2]benzothiazine 5-oxide (3ad): yellow solid; m.p.: 209–211 °C; 1H NMR (600 MHz, CDCl3): δ 8.06 (d, J = 8.3 Hz, 1H), 7.74 (d, J = 6.7 Hz, 1H), 7.60–7.51 (m, 1H), 7.32–7.27 (m, 1H), 7.12 (d, J = 2.5 Hz, 1H), 7.08 (d, J = 8.2 Hz, 1H), 6.66 (dd, J = 8.2, 2.5 Hz, 1H), 5.07–4.95 (m, 2H), 3.78 (s, 3H), 3.46 (s, 3H); 13C NMR (151 MHz, CDCl3): δ 159.7, 157.5, 135.0, 133.0, 132.6, 125.9, 124.5, 124.4, 123.2, 121.4, 120.0, 109.4, 108.7, 91.9, 69.9, 55.5, 42.9; LRMS (ESI): m/z 314.0 [M + H]+; HRMS (ESI): calculated for C17H16NO3S [M + H]+: 314.0845, found: 314.0842.
10-Chloro-5-methyl-8H-5λ4-isochromeno[3,4-c][1,2]benzothiazine 5-oxide (3ae): yellow solid; m.p.: 180–182 °C; 1H NMR (500 MHz, CDCl3): δ 7.98 (d, J = 7.3 Hz, 1H), 7.78 (dd, J = 8.1, 1.3 Hz, 1H), 7.60–7.56 (m, 1H), 7.51 (d, J = 8.3 Hz, 1H), 7.37–7.31 (m, 1H), 7.28–7.24 (m, 1H), 7.17 (d, J = 2.2 Hz, 1H), 5.11–4.95 (m, 2H), 3.51 (s, 3H); 13C NMR (126 MHz, CDCl3): δ 157.3, 134.7, 133.0, 130.4, 129.9, 129.8, 128.2, 125.1, 124.6, 124.3, 123.3, 123.3, 120.1, 91.3, 69.6, 43.0; LRMS (ESI): m/z 318.1 [M + H]+; HRMS (ESI): calculated for C16H13ClNO2S [M + H]+: 318.0350, found: 318.0359.
11-Chloro-5-methyl-8H-5λ4-isochromeno[3,4-c][1,2]benzothiazine 5-oxide (3af): yellow-green solid; m.p.: 66–68 °C; 1H NMR (600 MHz, CDCl3): δ 8.02 (d, J = 8.2 Hz, 1H), 7.78 (dd, J = 8.1, 1.3 Hz, 1H), 7.65–7.60 (m, 1H), 7.56 (s, 1H), 7.38–7.33 (m, 1H), 7.11 (d, J = 1.3 Hz, 2H), 5.13–4.95 (m, 2H), 3.50 (s, 3H); 13C NMR (151 MHz, CDCl3): δ 157.7, 134.6, 134.2, 133.3, 133.2, 126.9, 126.2, 124.8, 124.5, 124.2, 123.3, 121.9, 120.1, 91.2, 69.7, 43.0; LRMS (ESI): m/z 318.1 [M + H]+; HRMS (ESI): calculated for C16H13ClNO2S [M + H]+: 318.0350, found: 318.0349.
10-Fluoro-5-methyl-8H-5λ4-isochromeno[3,4-c][1,2]benzothiazine 5-oxide (3ag): yellow-green solid; m.p.: 77–79 °C; 1H NMR (600 MHz, CDCl3): δ 8.00 (d, J = 8.4 Hz, 1H), 7.78 (dd, J = 8.1, 1.3 Hz, 1H), 7.60–7.55 (m, 1H), 7.53 (dd, J = 8.6, 5.2 Hz, 1H), 7.40–7.30 (m, 1H), 7.00 (td, J = 8.6, 2.8 Hz, 1H), 6.91 (dd, J = 8.4, 2.7 Hz, 1H), 5.12–4.97 (m, 2H), 3.52 (s, 3H); 13C NMR (151 MHz, CDCl3): δ 161.1, 159.5, 156.8, 134.7, 132.9, 130.7 (d, J = 7.0 Hz), 127.3 (d, J = 3.2 Hz), 124.4 (d, J = 42.3 Hz), 123.6 (d, J = 7.7 Hz), 123.2, 120.1, 114.9 (d, J = 21.4 Hz), 112.3 (d, J = 22.3 Hz), 91.4, 69.6 (d, J = 2.1 Hz), 42.9; LRMS (ESI): m/z 302.1 [M + H]+; HRMS (ESI): calculated for C16H13FNO2S [M + H]+: 302.0646, found: 302.0649.
11-Fluoro-5-methyl-8H-5λ4-isochromeno[3,4-c][1,2]benzothiazine 5-oxide (3ah): pale yellow solid; m.p.: 91–93 °C; 1H NMR (600 MHz, CDCl3): δ 8.02 (d, J = 8.9 Hz, 1H), 7.78 (dd, J = 8.1, 1.3 Hz, 1H), 7.67–7.57 (m, 1H), 7.38–7.32 (m, 1H), 7.28 (dd, J = 10.6, 2.5 Hz, 1H), 7.14 (dd, J = 8.3, 5.7 Hz, 1H), 6.82 (td, J = 8.4, 2.5 Hz, 1H), 5.12–4.97 (m, 2H), 3.51 (s, 3H); 13C NMR (151 MHz, CDCl3): δ 163.7, 162.1, 157.6, 134.5, 133.3 (d, J = 9.2 Hz), 133.1, 126.3 (d, J = 9.3 Hz), 124.6, 124.1 (d, J = 3.6 Hz), 123.2, 120.0, 111.0 (d, J = 22.3 Hz), 109.0 (d, J = 24.1 Hz), 91.3 (d, J = 2.2 Hz), 69.6, 42.9; LRMS (ESI): m/z 302.0 [M + H]+; HRMS (ESI): calculated for C16H13FNO2S [M + H]+: 302.0646, found: 302.0645.
5-Methyl-10-(trifluoromethyl)-8H-5λ4-isochromeno[3,4-c][1,2]benzothiazine 5-oxide (3ai): yellow solid; m.p.: 191–193 °C; 1H NMR (600 MHz, CDCl3): δ 8.01 (d, J = 8.3 Hz, 1H), 7.80 (dd, J = 8.0, 1.3 Hz, 1H), 7.68 (d, J = 8.2 Hz, 1H), 7.63–7.58 (m, 1H), 7.56–7.52 (m, 1H), 7.44 (s, 1H), 7.42–7.35 (m, 1H), 5.21–5.02 (m, 2H), 3.53 (s, 3H); 13C NMR (151 MHz, CDCl3): δ 158.3, 135.0, 134.5, 133.2, 128.7, 126.4 (q, J = 32.6 Hz), 125.3 (d, J = 3.6 Hz), 124.9, 124.3, 123.3, 122.0 (d, J = 3.9 Hz), 121.9, 120.2, 91.4, 69.7, 43.0; LRMS (ESI): m/z 352.0 [M + H]+; HRMS (ESI): calculated for C17H13F3NO2S [M + H]+: 352.0614, found: 352.0617.
5-Methyl-11-(trifluoromethyl)-8H-5λ4-isochromeno[3,4-c][1,2]benzothiazine 5-oxide (3aj): yellow solid; m.p.: 150–152 °C; 1H NMR (600 MHz, CDCl3): δ 8.00 (d, J = 8.3 Hz, 1H), 7.83 (s, 1H), 7.81 (dd, J = 8.1, 1.3 Hz, 1H), 7.67–7.61 (m, 1H), 7.42–7.36 (m, 2H), 7.30 (d, J = 7.8 Hz, 1H), 5.20–5.04 (m, 2H), 3.52 (s, 3H); 13C NMR (151 MHz, CDCl3): δ 157.8, 134.5, 133.5, 132.2, 131.9, 131.0–130.3 (m), 125.5, 125.0, 124.0, 123.4, 121.5–121.4 (m), 120.2, 118.6 (q, J = 3.9 Hz), 91.3, 69.7, 43.0; LRMS (ESI): m/z 352.0 [M + H]+; HRMS (ESI): calculated for C17H13F3NO2S [M + H]+: 352.0614, found: 352.0618.
3.2.5. Mechanistic Investigations
KIE Experiment. To a 15 mL vial was added d1-1a (23.43 mg, 0.15 mmol), 2a (54.01 mg, 0.165 mmol), [Cp*RhCl2]2 (4.64 mg, 5 mol%), AgOPiv (6.27 mg, 20 mol%) under air. Trifluoroethanol (TFE, 2.5 mL) was added subsequently. The resulting mixture was stirred at ambient temperature for 6 h. Then, the mixture was filtered through a celite pad and washed with DCM (10 mL × 3). The combined organic layer was concentrated under vacuo, and the residue was purified by silica gel chromatography eluting with DCM/MeOH from 50:1 to 30:1 to give the mixture of 3aa and d1-3aa. The ratio of two products was determined by 1H NMR to give an intramolecular kinetic isotopic effect (KIE) kH/kD = 0.47. (see Supporting Information).
H/D Exchange Experiment. A mixture of 1a (23.43 mg, 0.15 mmol), [Cp*RhCl2]2 (4.64 mg, 5 mol%), AgOPiv (6.27 mg, 20 mol%) and d3-TFE was added into a vial under air. The resulting mixture was stirred at room temperature for 18 h. Then, the mixture was filtered through a celite pad and washed with DCM (10 mL × 3). The combined organic layer was concentrated under vacuo, and the residue was purified by silica gel chromatography eluting with DCM/MeOH 10:1 to give the product d2-1a. H/D exchange occurred at the o-position of S-phenylsulfoximine (91% D). (see Supporting Information).
Competition Experiment. To a mixture of 1c (27.79 mg, 0.15 mmol), 1i (29.59 mg, 0.15 mmol), 2a (54.01 mg, 0.165 mmol), [Cp*RhCl2]2 (4.64 mg, 5 mol%), and AgOPiv (6.27 mg, 20 mol%) was added TFE (2.5 mL) under air. The resulting mixture was stirred at room temperature for 18 h. After the reaction was completed, the mixture was filtered through a celite pad and washed with DCM (10 mL × 3). The combined organic layer was concentrated under vacuo and the residue was purified by silica gel chromatography eluting with DCM/MeOH from 100:1 to 30:1 to give the isolated products 3ca and 3ia. The ratio was calculated according to the moles of products.
4. Conclusions
In summary, we have developed a sulfoximie-assisted Rh(III)-catalyzed C–H activation and intramolecular annulation. In this strategy, fused isochromeno-1,2-benzothiazines was unprecedentedly synthesized, and the desired products could be yields in good to excellent yields. Most importantly, it is a redox-neutral process that can be conducted under room temperature and the strategy features broad generality and versatility.
Supplementary Materials
Supplementary File 1Author Contributions
Experiments and investigation, B.W., X.H. and J.L.; formal analysis and data curation, B.W.; writing—original draft preparation, B.W. and X.H.; writing—review and editing, C.L. and H.L. All authors have read and agreed to the published version of the manuscript.
Funding
We are grateful to the National Natural Science Foundation of China (No. 21672232, 21977106, 81620108027), National S&T Major Projects (2018ZX09711002) and the Strategic Priority Research Program of the Chinese Academy of Sciences (XDA12040217) for financial support.
Conflicts of Interest
The authors declare no conflict of interest.
References
- Cho, G.Y.; Bolm, C. Silver-Catalyzed Imination of Sulfoxides and Sulfides. Org. Lett. 2005, 7, 4983–4985. [Google Scholar] [CrossRef]
- Gais, H.-J. Development of New Methods for Asymmetric Synthesis Based on Sulfoximines. Heteroat. Chem. 2007, 18, 472–481. [Google Scholar] [CrossRef]
- Hendriks, C.M.M.; Lamers, P.; Engel, J.; Bolm, C. Sulfoxide-to-Sulfilimine Conversions: Use of Modified Burgess-Type Reagents. Adv. Synth. Catal. 2013, 355, 3363–3368. [Google Scholar] [CrossRef]
- Bizet, V.; Kowalczyk, R.; Bolm, C. Fluorinated sulfoximines: Syntheses, properties and applications. Chem. Soc. Rev. 2014, 43, 2426–2438. [Google Scholar] [CrossRef] [PubMed]
- Miao, J.; Richards, N.G.J.; Ge, H. Rhodium-catalyzed direct synthesis of unprotected NH-sulfoximines from sulfoxides. Chem. Commun. 2014, 50, 9687–9689. [Google Scholar] [CrossRef] [PubMed]
- Bizet, V.; Hendriks, C.M.M.; Bolm, C. Sulfur imidations: Access to sulfimides and sulfoximines. Chem. Soc. Rev. 2015, 44, 3378–3390. [Google Scholar] [CrossRef] [PubMed]
- Tota, A.; Zenzola, M.; Chawner, S.J.; John-Campbell, S.S.; Carlucci, C.; Romanazzi, G.; DeGennaro, L.; Bull, J.A.; Luisi, R. Synthesis of NH-sulfoximines from sulfides by chemoselective one-pot N- and O-transfers. Chem. Commun. 2017, 53, 348–351. [Google Scholar] [CrossRef]
- Davies, T.; Hall, A.; Willis, M.C. One-Pot, Three-Component Sulfonimidamide Synthesis Exploiting the Sulfinylamine Reagent N -Sulfinyltritylamine, TrNSO. Angew. Chem. Int. Ed. 2017, 56, 14937–14941. [Google Scholar] [CrossRef]
- Yu, H.; Li, Z.; Bolm, C. Iron(II)-Catalyzed Direct Synthesis of NH Sulfoximines from Sulfoxides. Angew. Chem. Int. Ed. 2017, 57, 324–327. [Google Scholar] [CrossRef]
- Lücking, U. Sulfoximines: A Neglected Opportunity in Medicinal Chemistry. Angew. Chem. Int. Ed. 2013, 52, 9399–9408. [Google Scholar] [CrossRef]
- MarcusFrings; CarstenBolm; AndreasBlum; ChristianGnamm, Sulfoximines from a Medicinal Chemist’s Perspective: Physicochemical and in vitro Parameters Relevant for Drug Discovery. Eur. J. Med. Chem. 2017, 126, 225–245. [CrossRef] [PubMed]
- Sirvent, J.A.; Lücking, U. Novel Pieces for the Emerging Picture of Sulfoximines in Drug Discovery: Synthesis and Evaluation of Sulfoximine Analogues of Marketed Drugs and Advanced Clinical Candidates. ChemMedChem 2017, 12, 487–501. [Google Scholar] [CrossRef]
- Lücking, U. Neglected sulfur(vi) pharmacophores in drug discovery: Exploration of novel chemical space by the interplay of drug design and method development. Org. Chem. Front. 2019, 6, 1319–1324. [Google Scholar] [CrossRef]
- Dillard, R.D.; Yen, T.T.; Stark, P.; Pavey, D.E. Synthesis and Blood Pressure Lowering Activity of 3-(Substituted-amino)-l,2,4-benzothiadiazine 1-Oxide Derivatives. J. Med. Chem. 1980, 23, 717–722. [Google Scholar] [CrossRef]
- Buckheit, R.W.; Fliakas-Boltz, V.; Decker, W.; Roberson, J.L.; Pyle, C.A.; White, E.; Bowdon, B.J.; McMahon, J.B.; Boyd, M.R.; Bader, J.P.; et al. Biological and biochemical anti-HIV activity of the benzothiadiazine class of nonnucleoside reverse transcriptase inhibitors. Antivir. Res. 1994, 25, 43–56. [Google Scholar] [CrossRef]
- Okamura, H.; Bolm, C. Rhodium-Catalyzed Imination of Sulfoxides and Sulfides: Efficient Preparation of N-Unsubstituted Sulfoximines and Sulfilimines. Org. Lett. 2004, 6, 1305–1307. [Google Scholar] [CrossRef] [PubMed]
- Xie, Y.; Zhou, B.; Zhou, S.; Wei, W.; Liu, J.; Zhan, Y.; Cheng, D.; Chen, M.; Li, Y.; Wang, B.; et al. Sulfimine-Promoted Fast O Transfer: One-step Synthesis of Sulfoximine from Sulfide. ChemistrySelect 2017, 2, 1620–1624. [Google Scholar] [CrossRef]
- Alberico, D.; Scott, M.E.; Lautens, M. Aryl−Aryl Bond Formation by Transition-Metal-Catalyzed Direct Arylation. Chem. Rev. 2007, 107, 174–238. [Google Scholar] [CrossRef]
- Chen, X.; Engle, K.M.; Wang, N.-H.; Yu, J.-Q. ChemInform Abstract: Palladium(II)-Catalyzed C-H Activation/C-C Cross-Coupling Reactions: Versatility and Practicality. Chemin 2009, 40, 5094–5115. [Google Scholar] [CrossRef]
- Cho, S.H.; Kim, J.Y.; Kwak, J.; Chang, S. ChemInform Abstract: Recent Advances in the Transition Metal-Catalyzed Twofold Oxidative C-H Bond Activation Strategy for C-C and C-N Bond Formation. Chemin 2011, 43, 5068–5083. [Google Scholar] [CrossRef]
- Colby, D.A.; Tsai, A.S.; Bergman, R.G.; Ellman, J.A. Rhodium Catalyzed Chelation-Assisted C–H Bond Functionalization Reactions. Accounts Chem. Res. 2011, 45, 814–825. [Google Scholar] [CrossRef]
- Song, G.; Wang, F.; Li, X. ChemInform Abstract: C-C, C-O and C-N Bond Formation via Rhodium(III)-Catalyzed Oxidative C-H Activation. Chemin 2012, 43, 3651–3678. [Google Scholar] [CrossRef]
- Rouquet, G.; Chatani, N. Catalytic Functionalization of C(sp 2 )?H and C(sp 3 )?H Bonds by Using Bidentate Directing Groups. Angew. Chem. Int. Ed. 2013, 52, 11726–11743. [Google Scholar] [CrossRef]
- Wencel-Delord, J.; Glorius, F. ChemInform Abstract: C-H Bond Activation Enables the Rapid Construction and Late-Stage Diversification of Functional Molecules. Chemin 2013, 44, 369–375. [Google Scholar] [CrossRef]
- Song, G.; Li, X. Substrate Activation Strategies in Rhodium(III)-Catalyzed Selective Functionalization of Arenes. Acc. Chem. Res. 2015, 48, 1007–1020. [Google Scholar] [CrossRef]
- Hummel, J.R.; Boerth, J.A.; Ellman, J.A. Transition-Metal-Catalyzed C–H Bond Addition to Carbonyls, Imines, and Related Polarized π Bonds. Chem. Rev. 2016, 117, 9163–9227. [Google Scholar] [CrossRef]
- Xia, Y.; Qiu, D.; Wang, J. Transition-Metal-Catalyzed Cross-Couplings through Carbene Migratory Insertion. Chem. Rev. 2017, 117, 13810–13889. [Google Scholar] [CrossRef]
- Fernández-Rodríguez, M.A.; Shen, Q.; Hartwig, J.F. A General and Long-Lived Catalyst for the Palladium-Catalyzed Coupling of Aryl Halides with Thiols. J. Am. Chem. Soc. 2006, 128, 2180–2181. [Google Scholar]
- Platon, M.; Wijaya, N.; Rampazzi, V.; Cui, L.; Rousselin, Y.; Saeys, M.; Hierso, J.-C. Thioetherification of Chloroheteroarenes: A Binuclear Catalyst Promotes Wide Scope and High Functional-Group Tolerance. Chem. A Eur. J. 2014, 20, 12584–12594. [Google Scholar] [CrossRef]
- Guilbaud, J.; Labonde, M.; Selmi, A.; Kammoun, M.; Cattey, H.; Pirio, N.; Roger, J.; Hierso, J.-C. Palladium-catalyzed heteroaryl thioethers synthesis overcoming palladium dithiolate resting states inertness: Practical road to sulfones and NH-sulfoximines. Catal. Commun. 2018, 111, 52–58. [Google Scholar] [CrossRef]
- Yu, D.-G.; De Azambuja, F.; Glorius, F. α-MsO/TsO/Cl Ketones as Oxidized Alkyne Equivalents: Redox-Neutral Rhodium(III)-Catalyzed C-H Activation for the Synthesis of N-Heterocycles. Angew. Chem. Int. Ed. 2014, 53, 2754–2758. [Google Scholar] [CrossRef] [PubMed]
- Wen, J.; Tiwari, D.P.; Bolm, C. 1,2-Benzothiazines from Sulfoximines and Allyl Methyl Carbonate by Rhodium-Catalyzed Cross-Coupling and Oxidative Cyclization. Org. Lett. 2017, 19, 1706–1709. [Google Scholar] [CrossRef] [PubMed]
- Xie, H.; Lan, J.; Gui, J.; Chen, F.; Jiang, H.; Zeng, W.; Jiang, H. Ru (II)-Catalyzed Coupling-Cyclization of Sulfoximines with alpha -Carbonyl Sulfoxonium Ylides as an Approach to 1,2-Benzothiazines. Adv. Synth. Catal. 2018, 360, 3534–3543. [Google Scholar] [CrossRef]
- Dong, W.; Wang, L.; Parthasarathy, K.; Pan, F.; Bolm, C. Rhodium-Catalyzed Oxidative Annulation of Sulfoximines and Alkynes as an Approach to 1,2-Benzothiazines. Angew. Chem. Int. Ed. 2013, 52, 11573–11576. [Google Scholar] [CrossRef]
- Cheng, Y.; Bolm, C. Regioselective Syntheses of 1,2-Benzothiazines by Rhodium-Catalyzed Annulation Reactions. Angew. Chem. Int. Ed. 2015, 54, 12349–12352. [Google Scholar] [CrossRef]
- Jeon, W.H.; Son, J.-Y.; Kim, J.E.; Lee, P.H. ChemInform Abstract: Synthesis of 1,2-Benzothiazines by a Rhodium-Catalyzed Domino C-H Activation/Cyclization/Elimination Process from S-Aryl Sulfoximines and Pyridotriazoles. Chemin 2016, 47, 3498–3501. [Google Scholar] [CrossRef]
- Liu, Y.-Z.; Hu, Y.; Lv, G.-H.; Nie, R.-F.; Peng, Y.; Zhang, C.; Lv, S.-Y.; Hai, L.; Wang, H.-J.; Wu, Y. Synthesis of 1,2-Benzothiazines via C–H Activation/Cyclization in a Recyclable, Mild System. ACS Sustain. Chem. Eng. 2019, 7, 13425–13429. [Google Scholar] [CrossRef]
- Ko, G.H.; Son, J.-Y.; Kim, H.; Maeng, C.; Baek, Y.; Seo, B.; Um, K.; Lee, P.H. Synthesis of Indolo-1,2-Benzothiazines from Sulfoximines and 3-Diazoindolin-2-imines. Adv. Synth. Catal. 2017, 359, 3362–3370. [Google Scholar] [CrossRef]
- Wu, X.; Wang, B.; Zhou, S.; Zhou, Y.; Liu, H. Ruthenium-Catalyzed Redox-Neutral [4 + 1] Annulation of Benzamides and Propargyl Alcohols via C–H Bond Activation. ACS Catal. 2017, 7, 2494–2499. [Google Scholar] [CrossRef]
- Xie, Y.; Wu, X.; Cai, J.; Wang, J.; Li, J.; Liu, H. Ruthenium(II)-Catalyzed Redox-Neutral [3+2] Annulation of Indoles with Internal Alkynes via C–H Bond Activation: Accessing a Pyrroloindolone Scaffold. J. Org. Chem. 2017, 82, 5263–5273. [Google Scholar] [CrossRef]
- Han, X.; Gao, F.; Li, C.; Fang, D.; Xie, X.; Zhou, Y.; Liu, H. Synthesis of Highly Fused Pyrano[2,3-b]pyridines via Rh(III)-Catalyzed C–H Activation and Intramolecular Cascade Annulation under Room Temperature. J. Org. Chem. 2020, 85, 6281–6294. [Google Scholar] [CrossRef] [PubMed]
- Back, T.G. Organosulfur Chemistry in Asymmetric Synthesis. Angew. Chem. 2009, 121, 2112–2114. [Google Scholar] [CrossRef]
- Otocka, S.; Kwiatkowska, M.; Madalińska, L.; Kiełbasiński, P. Chiral Organosulfur Ligands/Catalysts with a Stereogenic Sulfur Atom: Applications in Asymmetric Synthesis. Chem. Rev. 2017, 117, 4147–4181. [Google Scholar] [CrossRef] [PubMed]
- Shen, B.; Wan, B.; Li, X. Enantiodivergent Desymmetrization in the Rhodium(III)-Catalyzed Annulation of Sulfoximines with Diazo Compounds. Angew. Chem. Int. Ed. 2018, 57, 15534–15538. [Google Scholar] [CrossRef]
- Sun, Y.; Cramer, N. Enantioselective Synthesis of Chiral-at-Sulfur 1,2-Benzothiazines by CpXRhIII-Catalyzed C-H Functionalization of Sulfoximines. Angew. Chem. Int. Ed. 2018, 57, 15539–15543. [Google Scholar] [CrossRef]
- Brauns, M.; Cramer, N. Efficient Kinetic Resolution of Sulfur-Stereogenic Sulfoximines by Exploiting CpXRhIII -Catalyzed C-H Functionalization. Angew. Chem. Int. Ed. 2019, 58, 8902–8906. [Google Scholar] [CrossRef]
- Simmons, E.M.; Hartwig, J.F. On the Interpretation of Deuterium Kinetic Isotope Effects in C?H Bond Functionalizations by Transition-Metal Complexes. Angew. Chem. Int. Ed. 2012, 51, 3066–3072. [Google Scholar] [CrossRef]
- Wang, H.; Li, L.; Yu, S.; Li, Y.; Li, X. ChemInform Abstract: Rh(III)-Catalyzed C-C/C-N Coupling of Imidates with α-Diazo Imidamide: Synthesis of Isoquinoline-Fused Indoles. Chemin 2016, 47, 2914–2917. [Google Scholar] [CrossRef]
- Zhu, R.-Y.; He, J.; Wang, X.-C.; Yu, J.-Q. Ligand-Promoted Alkylation of C(sp3)–H and C(sp2)–H Bonds. J. Am. Chem. Soc. 2014, 136, 13194–13197. [Google Scholar] [CrossRef]
Sample Availability: Samples of the compounds are not available from the authors. |
© 2020 by the authors. Licensee MDPI, Basel, Switzerland. This article is an open access article distributed under the terms and conditions of the Creative Commons Attribution (CC BY) license (http://creativecommons.org/licenses/by/4.0/).









