Abstract
This study investigated the effect of blanching pomegranate seeds (PS) on oil yield, refractive index (RI), yellowness index (YI), conjugated dienes (K232), conjugated trienes (K270), total carotenoid content (TCC), total phenolic compounds (TPC) and DPPH radical scavenging of the extracted oil. Furthermore, phytosterol and fatty acid compositions of the oil extracted under optimum blanching conditions were compared with those from the oil extracted from unblanched PS. Three different blanching temperature levels (80, 90, and 100 °C) were studied at a constant blanching time of 3 min. The blanching time was then increased to 5 min at the established optimum blanching temperature (90 °C). Blanching PS increased oil yield, K232, K270, stigmasterol, punicic acid, TPC and DPPH radical scavenging, whereas YI, β-sitosterol, palmitic acid and linoleic acid were decreased. The RI, TCC, brassicasterol, stearic acid, oleic acid and arachidic acid of the extracted oil were not significantly (p > 0.05) affected by blanching. Blanching PS at 90 °C for 3 to 5 min was associated with oil yield, TPC and DPPH. Blanching PS at 90 °C for 3 to 5 min will not only increase oil yield but could also improve functional properties such as antioxidant activity, which are desirable in the cosmetic, pharmaceutical, nutraceutical and food industries.
1. Introduction
Fruit processing generates huge amounts of waste in the form of compacted peels and seeds commonly referred to as pomace. This byproduct presents a huge disposal problem to the agro-processing industry as it is regarded as waste. However, fruit pomace is a good source of carbohydrates, proteins and lipids that are valuable for the production of human food supplements [1,2]. In addition, fruit pomace is a natural source of bioactive compounds such as dietary fiber, phenols, carotenoids, tocopherols, phytosterols and vitamins [3]. Commonly reported fruit pomace rich in bioactive compounds include grape, apple, strawberry, papaya and pomegranate [4,5,6,7].
The global production and consumption of pomegranate fruit continue to increase due to its health-promoting effects [8]. Consequently, this has generated more waste from the fruit between the preharvest and processing stages as sunburned, bruised, cracked and scalded fruit is rejected due to failure in meeting export market standards. Low quality grade fruit such as bruised fruit may be processed, further increasing losses in the form of peels and seeds. For instance, the pomegranate juice processing industry generates pomegranate pomace consisting of approximately 78% peels and 22% seeds [9,10]. Pomegranate seeds (PS) have attracted the interest of many researchers because they contain oil rich in punicic acid (65%–80%), a polyunsaturated fatty acid with multiple functional properties that are related to the prevention of coronary heart diseases, hypertension, diabetes, carcinogenesis, skin ageing and food decay [11,12,13,14]. With the increased consumer demand for natural food products for cases of chronic and degenerative diseases, valorisation of PS into oil is valuable to the food, cosmetic, nutraceutical and pharmaceutical industries.
Seed oil processing involves a series of steps that include drying, oil extraction and refining. Depending on the seed drying method and oil extraction technique, substantial amounts of bioactive compounds may be lost due to thermal degradation or extraction inefficiency as the bioactive compounds may remain trapped in the defatted seeds residues [15,16,17]. Cold pressing produces low seed oil yield, although the oil contains more natural and beneficial compounds such as tocopherols, sterols, carotenoids and phospholipids [18,19]. Supercritical carbon dioxide extraction, a greener seed oil extraction technique, is an expensive and energy intensive technology due to the high pressure needed to reach the super critical point, and therefore its application at a commercial level is limited [20]. Food and environmental safety concerns have been raised over the use of solvents such as hexane [21]. Furthermore, as hexane is non-polar, it is not a good solvent to extract polar bioactive compounds and therefore the extracted oil has poor functional properties compared to polar solvents such as ethanol [22].
The use of less toxic solvents such as ethanol in seed oil extraction has been studied. As a polar solvent, ethanol extracts polar antioxidant compounds that improve the functionality of the seed oil [23,24]. Furthermore, ethanol is cheaper, readily available, bio-renewable [25] and has been approved for food extraction by the European Directive 2009/32/EC [26]. The drawback with the use of ethanol is that it produces low oil yield [22,26]. To improve the oil extraction efficiency with ethanol, the seeds’ cellular structures may be altered prior to oil extraction to increase their permeability to lipids and bioactive compounds.
Researchers have studied several seed pretreatment techniques for improving oil yield and bioactive compound recovery such as enzyme digestion, microwave irradiation, ultrasound and pulse electric field exposure [27,28,29,30,31]. The highlighted seed pretreatment techniques for oil extraction are relatively expensive and their application at a commercial level is limited [32,33,34,35]. Blanching the oil seeds could be a promising technique to improve the yield and quality of the oil. It is an inexpensive technique that disintegrates the seeds’ cell walls and increases the extractability of the intracellular material [36]. This in turn reduces the oil extraction time and solvent and energy consumption. In addition, blanching cleans the seeds, inactivates the lipid oxidation enzymes, increases mass transport in the plant tissue and considerably reduces seed drying time [37,38].
To the best of our knowledge, the effect of seed blanching on oil yield and quality has not been studied. The objectives of this study were to investigate the effect of blanching PS on the quality of the extracted oil and establish the optimum blanching conditions for higher oil yield, better physicochemical attributes, bioactive compounds and antioxidant activity.
2. Results and Discussion
2.1. Oil Yield and Seeds Microstructure Changes
The results in Table 1 and Table 2 demonstrate that increasing the blanching temperature and time significantly improved the pomegranate seed oil (PSO) yield (p < 0.05). Blanching PS at 90 °C for 3 min significantly increased the PSO yield by 35%, which was the highest improvement in the oil yield when compared with the oil yield from seeds blanched at 80 and 100 °C. Increasing the blanching time to 5 min at 90 °C significantly improved the oil yield by 18% when compared with unblanched PS, suggesting that blanching is a valuable pretreatment technique to enhance PSO yield. Furthermore, increasing the blanching temperature to 100 °C at a constant time of 3 min did not significantly increase the oil yield. To have a better insight on the effect of blanching on PS and the oil extraction mechanism, microscopic studies were done on both unblanched and blanched pomegranate seeds using a scanning electron microscope (SEM). The SEM images in Figure 1 confirm that blanching disintegrated the PS cell walls, loosening the hemi-cellulose, cellulose and pectin networks of PS [36,39]. Compared with unblanched PS, the SEM graph from blanched PS exhibited clear pores on the cells walls (Figure 1A,B). Figure 1C shows the parenchymal cells from unblanched PS with intact cell walls. In the absence of the blanching pretreatment, which provides cell disruption, the penetration of solvent into the cell matrix of the unblanched sample was limited as evidenced by the low oil yield from unblanched PS [30]. Figure 1D shows deformed parenchymal cells due to blanching pretreatment. The structural changes to the cell walls could have increased the permeability of the PS cell walls to the extraction solvent and enhanced the mass transfer of the lipids into the extraction solvent [40].
Table 1.
Physicochemical and bioactive compounds and antioxidant activity of oil from pomegranate seeds blanched for 3 min as a function of blanching temperature.
Table 2.
Physicochemical and bioactive compounds and antioxidant activity of oil from pomegranate seeds blanched at 90 °C as a function of blanching time.
Figure 1.
SEM graphs showing the effect of blanching (90 °C/3 min) on the pomegranate seed microstructures (A) unblanched pomegranate seeds, (B) blanched pomegranate seeds, (C) parenchymal cells from unblanched pomegranate seeds and (D) parenchymal cells from blanched pomegranate seeds.
2.2. Refractive and Yellowness Index
Refractive index (RI) of seed oil is related to the degree of unsaturation and conjugation of the fatty acids and therefore can be used as an indirect way of measuring oil quality [41]. It was found that blanching PS did not significantly affect the RI of the extracted oil, despite significant effects of blanching PS on conjugated dienes, trienes and fatty acids (Table 1 and Table 2). Therefore, the interpretation of the RI results in this study should be done with caution. The RI of the extracted oil (1.5215–1.5218) was comparable to the one reported in literature. Costa et al. [42] reported RI ranging from 1.5091 to 1.5177 from cold pressed pomegranate seed oil.
The degree of seed oil yellowness commonly referred to as yellowness index (YI) is a valuable quality property of seed oil because color influences consumers’ choices and purchase decisions [43]. Blanching PS significantly decreased the oil YI (Table 1 and Table 2). Blanching PS at 80 and 90 °C for 3 min significantly reduced the YI by 22 and 17%, respectively. Slight but significant increase in YI (9%) was observed when the blanching temperature was raised to 100 °C. Increasing the blanching time to 5 min at a constant temperature of 90 °C significantly decreased the YI by 15% (Table 2). The decrease in the YI can be attributed to the oxidation and isomerisation of carotenoids compounds during blanching. In the presence of heat, trans-carotenoids (usual configuration) can be converted to cis-isomers, which may lead to the decrease in the oil yellowness [44]. Furthermore, blanching PS could have enhanced the extraction of Maillard reaction products that imparts a brownish color and reduces the oil yellowness [24,26].
2.3. Conjugated Dienes and Trienes
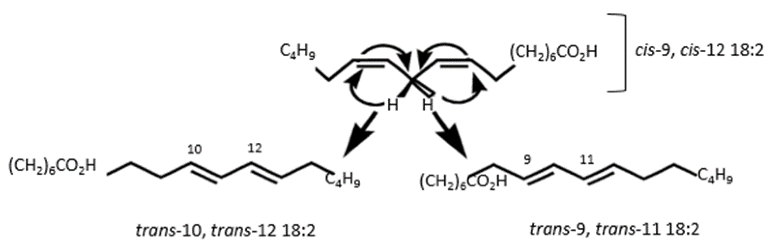
The seed oil conjugated dienes and trienes (K232 and K270) are a measure of the seed oil primary (conjugated dienes) and secondary products (conjugated trienes) of triglycerides oxidation [45]. Our findings demonstrate that blanching PS may increase the K232 and K270 values of the extracted oil (Table 1 and Table 2). For instance, blanching PS at 90 °C for 3 min significantly increased the K232 and K270 values 3- and 4-fold, respectively. As reported by Destaillats and Angers [46], the possible mechanism for the formation of conjugated bonds in the present study could be intramolecular sigmatropic rearrangement of the hydrogen atoms in polyunsaturated fatty acids such as linoleic acid to produce (trans-10, trans-12) and (trans-9, trans-11) conjugated linoleic acid isomers (Figure 2). Varying the blanching temperature did not significantly affect the K232 and K270 values, whilst these values significantly changed with variation in blanching time. Even though blanching PS significantly increased fatty acid conjugation, the K232 values (0.14–0.41) and K270 values (0.13–0.48) remained lower than those reported in previous studies, suggesting that blanching may not cause significant deterioration to the oil quality. Amri et al. [47] reported higher values of K232 values (4.15) from PSO hexane extracts of Tounsi cultivar. As shown in Figure 1, blanching may increase the porosity of the PS cell walls, promoting the leaching of antioxidative bioactive compounds and therefore exposing the fatty acids to oxidation [48]. In addition, Moghimi et al. [49] reported that the activity of lipolytic enzymes on fat and oil increases in damaged cells.
Figure 2.
Formation of conjugated dienes and isomers of linoleic acid through sigmatropic rearrangement.
2.4. Total Carotenoids, Total Phenols and Antioxidant Activity
Carotenoids have been reported to prevent or reduce the risks of being affected by cardiovascular disease, age-related cataracts, macular degeneration and cancers [50,51]. As can be seen in Table 1 and Table 2, blanching PS neither significantly enhanced nor degraded the total carotenoid content (TCC) of the extracted oil. Carotenoids are insoluble in water and therefore could have resisted leaching during blanching [44]. In plant cells, carotenoids exist complexed together with proteins [31]. Although the SEM results in Figure 1 indicate that blanching deformed the PS cell walls, it could be hypothesized that the applied blanching temperature and time did not cause significant dissociation of these bioactive compounds from the protein complexes.
PSO is a good source of phenolic compounds and the total phenolic compounds (TPC) (2.01–5.58 mg GAE/g PSO) in the present study were higher than that of other fruit seed oils such as grape seed oil [48,52]. The results in Table 1 and Table 2 demonstrate that pretreatment of PS with blanching is a promising technique to enrich the phenolic content of the extracted oil. Increasing the blanching temperature from 80 to 90 °C at 3 min blanching time significantly improved the TPC from 3.03 to 4.04 mg GAE/g PSO. Further, increasing the blanching time to 5 min at a constant blanching temperature of 90 °C significantly increased the TPC by 1.5 mg GAE/g PSO (Table 2). In the seed cells, the phenolic compounds are bonded to other compounds to form complex structures [36]. Blanching PS could have reduced the complexation of phenolic compounds with the polysaccharides, proteins and pectin, thereby increasing their mass transfer into the oil phase. In addition, blanching PS could have initiated polymerization and increased the phenolic compounds [36]. Apart from enhancing the cell wall permeability, blanching may cause significant degradation or leaching of the phenolic compounds, a phenomenon that may explain the significant decrease in TPC (3.41–2.01 mg GAE/g PSO) when the PS was blanched at 100 °C for 3 min.
The impact of blanching PS on the antioxidant activity of PSO was evaluated using the DPPH assay. Blanching PS at 80 and 90 °C for 3 min significantly improved the DPPH radical scavenging of the extracted oil by 6% and 10%, respectively (Table 1 and Table 2). This could be directly related to the level of phenolic compounds recovered at these blanching conditions. The phenolic compounds scavenge the DPPH radical through hydrogen atom or electron donation (Figure 3). According to Koroleva et al. [53] the DPPH radical attack aims at the phenolic compound carbon atom with the highest electron density and subsequently abstracts the hydrogen atom from the hydroxyl group (OH) to a form stable diamagnetic molecule (2,2-Diphenyl-1-picrylhydrazine) and phenoxyl radical. The peroxyl radical is stabilized by the delocalized unpaired electrons created due to hydrogen abstraction. Increasing the blanching time to 5 min at 90 °C did not have a significant effect on the oil DPPH radical scavenging potential. When the blanching temperature was increased to 100 °C, the DPPH radical scavenging of the extracted oil significantly decreased by 6%. The results suggest that blanching PS at 90 °C for 3 min could be the optimum conditions for improved PSO antioxidant activity.
Figure 3.
Mechanism of phenolic compound interactions with DPPH (2,2-Diphenyl-1-picrylhydrazyl) using vanillic acid as an example.
2.5. Phytosterols Composition
Phytosterols have similar biological functions as mammalian cholesterols, however they inhibit the absorption of mammalian cholesterol and therefore their intake from food of plant sources is important [54]. Three types of phytosterols including stigmasterol, β-sitosterol and brassicasterol were identified and quantified from oil of both unblanched and blanched PS. The results of phytosterol analysis in the PSO are presented in Table 3. Blanching PS (90 °C/3 min) significantly increased the stigmasterol by 1.9-fold but also significantly reduced β-sitosterol, the major phytosterol in PSO by 1.7-fold. Brassicasterol, the minor fatty acid identified in the PSO, was not significantly affected by blanching. The results suggest that the response to blanching differed among the phytosterols and the form in which they exist in the seed cells could explain the observation. In the plant cells, the phytosterols exist as free sterols or as conjugates of fatty acid esters and glycosides [53]. Since phytosterols are non-polar and insoluble in water, the possible loss of the β-sitosterol due to blanching could be thermal degradation. The decrease in β-sitosterol due to the seeds’ thermal pretreatment was also reported in previous studies. Zhou et al. [55] reported a 7% decrease in β-sitosterol of walnut oil microwaved at 600 W for 4 min.
Table 3.
Phytosterol composition (mg/100 g pomegranate seed oil, PSO) of oil from the unblanched and blanched pomegranate seeds at optimum conditions.
2.6. Fatty Acids Composition
The results of fatty acid composition of PSO from unblanched and blanched seeds (90 °C/3 min) are shown in Table 4. The primary fatty acids identified in the PSO were punicic acid, linoleic acid, oleic acid, palmitic acid, stearic acid and arachidic acid. It was established that the effect of blanching PS on the fatty acid composition varied among the individual fatty acids. Blanching PS significantly decreased linoleic acid (18%), palmitic acid (16%) and saturated fatty acid (SFA) (16%) in the extracted oil. Nevertheless, the PSO from blanched seeds was significantly higher in punicic acid (7%), polyunsaturated fatty acid (PUFA) (3%) and UFA/SFA ratio (22%) than the oil from unblanched seeds. Since punicic acid (81.49%–83.83%) is the predominant component of the fatty acids, it can be suggested that the deformation of the PS cell walls increased its mass transfer into the extraction solvent (Figure 1). The significant increase in punicic acid in oil from blanched PS is essential because punicic acid is responsible for most of the biological activities of PSO, suggesting that the oil from blanched PS might still have improved functional properties regardless of the decrease in other fatty acids [13]. It is clear that blanching PS did not significantly affect the stearic acid, oleic acid, arachidic acid and monosaturated fatty acids (MUFA) of the extracted oil. Previous studies have also reported similar findings. For instance, Wroniak et al. [28], Moradi and Rahimi [29], Khittiphoom and Sutasinee [56] and Durdevic et al. [57] established that pretreatment did not significantly affect fatty acids in oils of rape, sunflower, mango and pomegranate seeds, respectively.
Table 4.
Fatty acid composition and their relative abundance (%) in oil from the unblanched and blanched pomegranate seeds at optimum conditions.
2.7. Principal Component Analysis
To have a better understanding of the influence of blanching conditions on the PSO quality, the multivariate data was subjected to principal component analysis (PCA). The eigenvalue measures the factor contribution to total variability. Eigenvalues greater than one are significant and therefore, the factors with the highest eigenvalues were considered the most important [58] (Figure 4). The first two principal components effectively separated the variables and observations and accounted for 90.23% of the total variation (Figure 5). The first factor (F1) was responsible for 67.30% of the total variation, whilst the second factor (F2) explained 22.94% of the total variation, demonstrating that the maximum possible variation in the oil quality due to blanching was explained by the F1. Positive scores on F1 corresponded with oil from PS blanched at 90 °C for 3 min. These variables were associated with oil yield and DPPH radical scavenging ability in addition to K232, K270 and RI. The higher oil yield obtained at this particular blanching condition could mean that higher amounts of K232 and K270 were proportionally generated, subsequently increasing the RI of the oil [41]. Negative scores on F1 corresponded with oil from unblanched PS as well as oil from PS blanched at 100 °C for 3 min and were associated with YI. This illustrates that improvements in oil yield and antioxidant activity were associated with decreases in the oil YI a phenomenon that can be explained by increased extractability of phenolic compounds and oxidation of color pigments such as carotenoids. Positive scores on F2 corresponded to oil from PS blanched at 90 °C for 5 min, that were correlated with TPC and TCC.
Figure 4.
Scree plot of variance explained by each factor of the principal component.
Figure 5.
Principal component analysis data of PSO quality attributes from the different blanching conditions. YI = Yellowness index. RI = Refractive index. K232 = Conjugated dienes. K270 = Conjugated dienes TCC = Total carotenoids content. TPC = Total phenolic content. DPPH = 2.2-Diphenyl-1-picryl hydrazyl.
3. Materials and Methods
3.1. Materials
Commercially mature pomegranate fruits (cv. Wonderful) were procured from Sonia pack-house (33°34′851″ S, 19°00′360″ E) in Western Cape Province, South Africa. The fruits were stored in the Postharvest Technology Research Laboratory at Stellenbosch University at 7.5 ± 0.5 °C and 92% ± 3% RH prior to processing to preserve quality [59]. The chemical reagents used in the current study including Folin–Ciocalteau reagent, gallic acid, β-Carotene, heptadecanoic acid, 2,4,6-Tri(2-pyridyl)-s-triazine (TPTZ), 6-hydroxy-2,5,7,8-tetramethylchromane-2-carboxylic acid (Trolox), 5α-Cholestan-3β-ol and 2,2-Diphenyl-1-picrylhydrazyl (DPPH), were supplied by Sigma, South Africa. All the other solvents and reagents were of analytical grade.
3.2. Sample Preparation and Blanching Pretreatments
Pomegranate seeds (PS) were collected from the fruit pomace after juice extraction using a hand juice-pressing machine. Clean PS were hot water blanched in a water bath (Scientific, Maraisburg, South Africa) at 80, 90 and 100 °C for 3 min. The blanching time of 3 min was based on a preliminary experiment, which confirmed that blanching below 3 min, regardless of temperature, did not have a significant effect on oil yield. In order to establish the effect of an increase in blanching time on oil yield and quality attributes, a follow-up experiment was carried at the optimum temperature (90 °C) for 5 min. The blanched seeds were quickly cooled with cold water to stop the blanching process after which they were oven dried at 55 ± 2 °C for 24 h to 2% (w/w) moisture content [60]. Moisture content of the dried seeds was determined in a moisture analyzer at 100 °C (KERN, DBS60-3, Balingen, Germany). The dried seeds were stored at 4 ± 2 °C until oil extraction [61].
3.3. Oil Extraction
Ultrasound-assisted solvent extraction was used to extract the oil from ground PS (<1 mm particle size) following the method described by Samaram et al. [62] with minor modifications. An ultrasonic bath (Scientific, South Africa) (maximum power: 700 W, frequency: 40 kHz and internal dimensions: 500 mm × 300 mm × 150 mm) was used to extract the oil. The ultrasound extraction was carried out under the following experimental conditions: temperature (40 ± 5 °C), time (40 min), solid to solvent ratio (1:5 w/v) and maximum power (40 MHz and 700 W). The samples (20 g) were mixed with ethanol, sonicated and filtered under vacuum before they were subjected to vacuum evaporation to recover the solvent (G3 Heidolph, Germany). Unblanched PS powder was used as the control sample. Oil extraction was done twice after which the samples were packed in brown bottles and stored at 4 ± 2 °C [21]. The extraction was performed in triplicates (n = 3). The pomegranate seed oil (PSO) yield was calculated gravimetrically as:
where M1 is the mass of the PSO and M2 is the dry mass of the pomegranate seeds.
3.4. Pomegranate Seeds Microstructure Analysis
A field emission scanning electron microscope (FESEM) (Thermo Fisher Apreo, Waltham, MA, USA) was used to investigate the changes in the PS microstructures due to blanching treatment. The sample was mounted on aluminum stubs with double-sided carbon tape and then sputter-coated with a thin layer of gold (10 nm thick) using a gold sputter coater (EM ACE200, Leica, Wetzlar, Germany) to make the sample conductive. The images were collected using a voltage of 2 kV and recorded digitally.
3.5. Physicochemical Attributes Analysis
3.5.1. Yellowness and Refractive Index
Refractive index (RI) was measured at ambient conditions (25 °C) using a calibrated Abbe 5 refractometer (Bellingham + Stanley, United Kingdom). Colour (L*: lightness and b*: yellowness) of the extracted PSO was determined using a calibrated Chroma meter CR-410 (Konica Minolta, INC, Tokyo, Japan). Yellowness index (YI) was calculated as:
3.5.2. Conjugated Dienes and Trienes
PSO conjugated dienes (K232) and trienes (K270) were determined according to the standard [63]. The oil solution (1%) (w/v) was prepared by dissolving it in cyclohexane. The absorbance values were measured at 232 and 270 nm with a UV Spectrophotometer (Thermo Scientific technologies, Madison, WI, USA).
3.6. Bioactive Compounds and Antioxidant Activity Determination
3.6.1. Total Carotenoids
PSO (0.2 g) was dissolved in hexane (2 mL) and 0.5 mL of 0.5% (w/v) sodium chloride (NaCl) was added. The mixture was vortexed for approximately 30 s and centrifuged (Centrifuge 5810R, Eppendorf, Hamburg, Germany) for 10 min at 1500 rpm. Absorbance of the supernatant was measured at 460 nm with a UV spectrophotometer (Helios Omega, Thermo Scientific, Waltham, MA, USA). The absorbance of the β-carotene standard was linear between 0.5–100 µg/mL. Results were expressed as mgβ-carotene/100 g of PSO.
3.6.2. Total Phenolic Compounds
Total phenolic content of PSO was determined according to a method described by Abbasi et al. [11]. The reaction mixture contained 100 µL of PSO extracts, 500 µL of the Folin–Ciocalteau reagent, 1.5 mL of 20% (w/v) sodium carbonate and 6 mL of distilled water. The solutions were incubated in the dark for 30 min and their absorbance measured at 760 nm with a UV Spectrophotometer (Helios Omega, Thermo Scientific, Waltham, MA, USA). Gallic acid standard curve (0.0–20 mg/mL) was used and the total phenolic compounds were expressed as milligram gallic acid equivalent per mL PSO (mg GAE/g PSO).
3.6.3. Phytosterol Composition
PSO (0.1 g) was weighed into 15 mL glass vials and 2.5 mL of saponification reagent (94 mL of absolute ethanol, 6 mL of 33% (w/v) potassium hydroxide, 500 µL of 20% (w/v) ascorbic acid) was added. To the samples, 100 µL of 5 α-cholestenol (1000 ppm) in chloroform was added as an internal standard. The mixture was vortexed and then saponified in an oven at 60 °C for 1 h. The saponified samples were cooled in ice for 10 min after which 5 mL of distilled water and 2 mL of chloroform were added and the mixture vortexed. The samples were centrifuged at 3000 rpm for 4 min. The chloroform extracts (500 µL) were transferred into 2 mL glass vials and concentrated with a gentle stream of nitrogen to ± 200 µL. To 100 µL of the chloroform extracts, pyridine (100 µL) and N,O-Bis (trimethylsilyl) trifluoroacetamide (30 µL) were added and the mixture was vortexed and then derivatized in an oven at 100 °C for 1 h. The derivatized samples were analyzed with GC-MS. The results were expressed as mg/100 g of PSO.
3.6.4. Antioxidant Activity
The antioxidant activity of PSO was determined using 2, 2-Diphenyl-1-picryl hydrazyl (DPPH) following the procedure described by Siano et al. [64]. In brief, 0.1 mL aliquot of oil extract was added to 2.5 mL of 0.0004% (w/v) freshly prepared DPPH in 80% (v/v) methanol. The mixture was vortexed and immediately incubated in the dark for 60 min. The absorbance was measured with a UV spectrophotometer (Helios Omega, Thermo Scientific, Waltham, MA, USA) at 517 nm. The absorbance of DPPH in 80% methanol was measured as the negative control. Lower absorbance represented higher radical scavenging ability [65]. The absorbance of the Trolox standard curve was linear between 5–100 mM. Results were reported as mmol Trolox/g of PSO.
3.7. Analysis of Fatty Acid Composition
The fatty acid composition of PSO was determined by the gas chromatography-mass spectrometry (GC-MS) method as described by Mphahlele et al. [66]. Briefly, pomegranate seed oil (0.1 g) was weighed into 15 mL glass vials followed by the addition of 2.0 mL hexane, 50 µL heptadecanoic acid (1000 ppm, internal standard) and 1.0 mL of 20% (v/v) H2SO4 in methanol. The reaction mixture was vortexed and incubated at 80 °C for 1 h in an oven. The mixture was cooled and then 3 mL of saturated NaCl was added, vortexed and centrifuged. The supernatant containing hexane phase was transferred into vials for analysis with GC-MS (6890N, Agilent technologies network) coupled to an Agilent technologies inert XL EI/CI Mass Selective Detector (MSD) (5975B, Agilent technologies Inc., Palo Alto, CA, USA). Helium was employed as the carrier gas at a flow rate of 0.017 mL/s. One microliter of sample was injected in a split ratio of 10:1. The oven temperature was run as: 100 °C/min, 180 °C at 25 °C/min and held for 3 min, 200 °C at 4 °C/min and held for 5 min, 280 °C at 8 °C/min, and 310 °C at 10 °C/min and held for 5 min. The pomegranate seed oil fatty acid profiles were identified using the NIST library. Results were expressed as mean area % relative abundance.
3.8. Statistical Analysis
The results of all the studied variables were presented as mean ±S.E (standard error). Significant differences were calculated using the independent t-test and one way analysis of variance (ANOVA) (p < 0.05), using Statistica software (Statistical v13, TIBC, Palo Alto, CA 94304, USA) and the mean values were separated according to Duncan’s multiple range test. The relationship between the variables and observations was determined by performing principal component analysis (PCA) using Microsoft Excel (XLSTAT 2019.4.1.63305, Addinsoft, New York, NY, USA).
4. Conclusions
The valorization of PS into oil is a valuable way of managing the pomegranate waste generated during processing. The present study showed that blanching PS increased oil yield and K232, K270, stigmasterol, punicic acid, TPC and antioxidant activity. However, it decreased the YI, β-sitosterol, palmitic acid and linoleic acid of the oil. Regarding RI, TCC, brassicasterol, stearic acid, oleic acid and arachidic acid, blanching PS did not present any significant effect. PS blanched at 90 °C for 3 to 5 min significantly improved the oil yield, TPC and DPPH radical scavenging. With the significant improvement in TPC and antioxidant activity of the oil from blanched PS, it can be concluded that blanching PS as a pretreatment technique for oil extraction may improve the antioxidant properties of the oil, an attribute that is valuable to the oil for its application in the cosmetic, pharmaceutical, nutraceutical and food industries.
Author Contributions
Conceptualization, T.K.; O.A.F. and U.L.O.; formal analysis, T.K.; funding acquisition, O.A.F. and U.L.O.; investigation, T.K.; methodology, T.K.; supervision, O.A.F. and U.L.O.; validation, O.A.F. and U.L.O.; visualization, T.K.; writing-original draft, T.K.; writing-review and editing, T.K.; O.A.F. and U.L.O. All authors have read and agreed to the published version of the manuscript.
Funding
This research was funded by National Research Foundation of South Africa, grant number 64813 and APC was partly funded by Stellenbosch University.
Acknowledgments
This work is based on the research supported wholly or in part by the National Research Foundation of South Africa (Grant Numbers: 64813). The opinions, findings and conclusions or recommendations expressed are those of the author(s) alone, and the NRF accepts no liability whatsoever in this regard. The authors are grateful to Agri Edge, Technology and Human Resources for Industry Programme (THRIP) and Department of Trade and Industry (DTI), South Africa for their partial bursary support.
Conflicts of Interest
The authors declare that they have no conflict of interest.
References
- Tian, Y.; Xu, Z.; Zheng, B.; Lo, Y.M. Ultrasonics sonochemistry optimization of ultrasonic-assisted extraction of pomegranate (Punica granatum L.) seed oil. Ultrason. Sonochem. 2013, 20, 202–208. [Google Scholar] [CrossRef] [PubMed]
- Banerjee, J.; Singh, R.; Vijayaraghavan, R.; Macfarlane, D.; Patti, A.F.; Arora, A. Bioactives from fruit processing wastes: Green approaches to valuable chemicals. Food Chem. 2017, 225, 10–22. [Google Scholar] [PubMed]
- Mallek-ayadi, S.; Bahloul, N.; Kechaou, N. Chemical composition and bioactive compounds of Cucumis melo L. seeds: Potential source for new trends of plant oils. Process. Saf. Environ. 2017, 113, 68–77. [Google Scholar] [CrossRef]
- Lutterodt, H.; Slavin, M.; Whent, M.; Turner, E.; Yu, L.L. Fatty acid composition, oxidative stability, antioxidant and antiproliferative properties of selected cold pressed grape seed oils and flours. Food Chem. 2011, 128, 391–399. [Google Scholar] [PubMed]
- Carolina, A.; Jorge, N. Data Report on bioactive compounds of oils extracted from fruits seeds obtained from agroindustrial waste. Eur. J. Lipid Sci. Technol. 2017, 119, 1–5. [Google Scholar]
- Đurđević, S.; Šavikin, K.; Živković, J.; Böhm, V.; Stanojković, T.; Damjanović, A.; Petrović, S. Antioxidant and cytotoxic activity of fatty oil isolated by supercritical fluid extraction from microwave pretreated seeds of wild growing Punica granatum L. J. Supercrit. Fluids 2018, 133, 225–232. [Google Scholar] [CrossRef]
- Sagar, N.A.; Pareek, S.; Sharma, S.; Yahia, E.M.; Lobo, M.G. Fruit and vegetable waste: Bioactive compounds, their extraction, and possible utilization. Compr. Rev. Food Sci. Food Saf. 2018, 17, 512–531. [Google Scholar]
- Fawole, O.A.; Opara, U.L. Developmental changes in maturity indices of pomegranate fruit: A descriptive review. Sci. Hortic. 2013, 159, 152–161. [Google Scholar] [CrossRef]
- Mohagheghi, M.; Rezaei, K.; Labbafi, M.; Ebrahimzadeh, S.M. Pomegranate seed oil as a functional ingredient in beverages. Eur. J. Lipid Sci. Technol. 2011, 113, 730–736. [Google Scholar]
- Abid, M.; Cheikhrouhou, S.; Renard, C.M.G.C.; Bureau, S.; Cuvelier, G.; Attia, H.; Ayadi, M.A. Characterization of pectins extracted from pomegranate peel and their gelling properties. Food Chem. 2017, 215, 318–325. [Google Scholar] [CrossRef]
- Abbasi, H.; Rezaei, K.; Emamdjomeh, Z.; Ebrahimzadeh Mousavi, S.M. Effect of various extraction conditions on the phenolic contents of pomegranate seed oil. Eur. J. Lipid Sci. Technol. 2008, 110, 435–440. [Google Scholar] [CrossRef]
- Goula, A.M.; Adamopoulos, K.G. A method for pomegranate seed application in food industries: Seed oil encapsulation. Food Bioprod. Process. 2012, 90, 639–652. [Google Scholar] [CrossRef]
- Aruna, P.; Venkataramanamma, D.; Singh, A.K.; Singh, R.P. Health benefits of punicic acid: A review. Compr. Rev. Food Sci. Food Saf. 2016, 15, 16–27. [Google Scholar] [CrossRef]
- Talekar, S.; Patti, A.F.; Singh, R.; Vijayraghavan, R.; Arora, A. From waste to wealth: High recovery of nutraceuticals from pomegranate seed waste using a green extraction process. Ind. Crop. Prod. 2018, 112, 790–802. [Google Scholar] [CrossRef]
- Mailer, R.J.; Ayton, J. Comparison of olive oil (Olea europaea) quality extracted by stonemill and hammermill. N. Z. J. Crop Hortic. Sci. 2004, 32, 325–330. [Google Scholar] [CrossRef]
- Güneşer, A.B.; Yilmaz, E. Effects of microwave roasting on the yield and composition of cold pressed orange seed oils. Grasas Aceites 2017, 68, 1–10. [Google Scholar]
- Hassini, L.; Bettaieb, E.; Motri, S.; Desmorieux, H. Studies on convective drying of (Ameclyae) Opuntia ficus-indica seeds and its effect on the quality of extracted oil based on its α-tocopherol content. Int. J. Heat Mass Transf. 2018, 54, 393–402. [Google Scholar] [CrossRef]
- Gogolewski, M.; Nogala-Kalucka, M.; Szeliga, M. Changes of the tocopherol and fatty acid contents in rapeseed oil during refining. Eur. J. Lipid Sci. Technol. 2000, 102, 618–623. [Google Scholar] [CrossRef]
- Koski, A.; Pekkarinen, S.; Hopia, A.; Wähälä, K.; Heinonen, M. Processing of rapeseed oil: Effects on sinapic acid derivative content and oxidative stability. Eur. Food Res. Technol. 2003, 217, 110–114. [Google Scholar] [CrossRef]
- Wang, L.; Weller, C.L. Recent advances in extraction of nutraceuticals from plants. Trends Food Sci. Technol. 2006, 17, 300–312. [Google Scholar] [CrossRef]
- Fetzer, D.L.; Cruz, P.N.; Hamerski, F.; Corazza, M.L. Extraction of baru (Dipteryx alata vogel) seed oil using compressed solvents technology. J. Supercrit. Fluids 2018, 137, 23–33. [Google Scholar] [CrossRef]
- Tir, R.; Dutta, P.C.; Badjah-hadj-ahmed, A.Y. Effect of the extraction solvent polarity on the sesame seeds oil composition. Eur. J. Lipid Sci. Technol. 2012, 114, 1427–1438. [Google Scholar] [CrossRef]
- Teng, H.; Chen, L.; Huang, Q.; Wang, J.; Lin, Q.; Liu, M.; Lee, W.Y.; Song, H. Ultrasonic-assisted extraction of raspberry seed oil and evaluation of its physicochemical properties, fatty acid compositions and antioxidant activities. PLoS ONE 2016, 11, 1–18. [Google Scholar]
- Efthymiopoulos, I.; Hellier, P.; Ladommatos, N.; Russo-pro, A.; Eveleigh, A.; Aliev, A.; Kay, A.; Mills-lamptey, B. Influence of solvent selection and extraction temperature on yield and composition of lipids extracted from spent coffee grounds. Ind. Crops Prod. 2018, 119, 49–56. [Google Scholar] [CrossRef]
- Saxena, B.D.K.; Sharma, S.K.; Sambi, S.S. Kinetics and thermodynamics of cottonseed oil extraction. Grasas Aceites 2011, 62, 198–205. [Google Scholar] [CrossRef]
- Citeau, M.; Slabi, S.A.; Joffre, F.; Carré, P. Improved rapeseed oil extraction yield and quality via cold separation of ethanol miscella. OCL 2018, 25, 1–9. [Google Scholar] [CrossRef]
- Passos, C.P.; Yilmaz, S.; Silva, C.M.; Coimbra, M.A. Enhancement of grape seed oil extraction using a cell wall degrading enzyme cocktail. Food Chem. 2009, 115, 48–53. [Google Scholar] [CrossRef]
- Wroniak, M.; Rekas, A.; Siger, A.; Janowicz, M. Microwave pretreatment effects on the changes in seeds microstructure, chemical composition and oxidative stability of rapeseed oil. LWT Food Sci. Technol. 2016, 68, 634–641. [Google Scholar] [CrossRef]
- Moradi, N.; Rahimi, M. Effect of simultaneous ultrasound/pulsed electric field pretreatments on the oil extraction from sunflower seeds. Sep. Sci. Technol. 2018, 53, 2088–2099. [Google Scholar] [CrossRef]
- Fathi-Achachlouei, B.; Azadmard-damirchi, S.; Zahedi, Y.; Shaddel, R. Microwave pretreatment as a promising strategy for increment of nutraceutical content and extraction yield of oil from milk thistle seed. Ind. Crops Prod. 2019, 128, 527–533. [Google Scholar] [CrossRef]
- Mazaheri, Y.; Torbati, M.; Azadmard-Damirchi, S.; Savage, G.P. Effect of roasting and microwave pretreatments of Nigella sativa L. seeds on lipase activity and the quality of the oil. Food Chem. 2019, 274, 480–486. [Google Scholar]
- Zhang, M.; Tang, J.; Mujumdar, A.S.; Wang, S. Trends in microwave-related drying of fruits and vegetables. Trends Food Sci. Technol. 2006, 17, 524–534. [Google Scholar] [CrossRef]
- Subramaniam, S.; Vaughn, K.; Carrier, D.J.; Clausen, E.C. Pretreatment of milk thistle seed to increase the silymarin yield: An alternative to petroleum ether defatting. Bioresour. Technol. 2008, 99, 2501–2506. [Google Scholar] [CrossRef] [PubMed]
- Mothibe, K.J.; Zhang, M.; Nsor-atindana, J.; Yu-Chuan, W. Use of ultrasound pretreatment in drying of fruits: Drying rates, quality attributes, and shelf life extension. Dry. Technol. 2011, 29, 1611–1621. [Google Scholar] [CrossRef]
- Yusoff, M.M.; Gordon, M.H. Aqueous enzyme assisted oil extraction from oilseeds and emulsion methods: A review. Trends Food Sci. Technol. 2015, 41, 60–82. [Google Scholar] [CrossRef]
- Wen, T.N.; Prasad, K.N.; Yang, B.; Ismail, A. Bioactive substance contents and antioxidant capacity of raw and blanched vegetables. Innov. Food Sci. Emerg. Technol. 2010, 11, 464–469. [Google Scholar] [CrossRef]
- Li, B.; Zhao, L.; Chen, H.; Sun, D.; Deng, B.; Li, J.; Liu, Y.; Wang, F. Inactivation of lipase and lipoxygenase of wheat germ with temperature-controlled short wave infrared radiation and its effect on storage stability and quality of wheat germ oil. PLoS ONE 2016, 11, 1–13. [Google Scholar] [CrossRef]
- Wang, H.; Fu, Q.; Chen, S.; Hu, Z.; Xie, H. Effect of hot-water blanching pretreatment on drying characteristics and product qualities for the novel integrated freeze-drying of apple slices. J. Food Qual. 2018, 2018, 1–12. [Google Scholar] [CrossRef]
- Xiao, H.W.; Pan, Z.; Deng, L.Z.; El-Mashad, H.M.; Yang, X.H.; Mujumdar, A.S.; Gao, Z.J.; Zhang, Q. Recent developments and trends in thermal blanching – A comprehensive review. Inf. Process. Agric. 2017, 4, 101–127. [Google Scholar] [CrossRef]
- Uquiche, E.; Jeréz, M.; Ortíz, J. Effect of pretreatment with microwaves on mechanical extraction yield and quality of vegetable oil from Chilean hazelnuts (Gevuina avellana Mol.). Innov. Food Sci. Emerg. Technol. 2008, 9, 495–500. [Google Scholar]
- Davis, J.P.; Sweigart, D.S.; Price, K.M.; Dean, L.L.; Sanders, T.H. Refractive index and density measurements of peanut oil for determining oleic and linoleic acid contents. J. Am. Oil Chem. Soc. 2013, 90, 199–206. [Google Scholar]
- Costa, A.M.M.; Silva, L.O.; Torres, A.G. Chemical composition of commercial cold-pressed pomegranate (Punica granatum) seed oil from Turkey and Israel, and the use of bioactive compounds for samples’ origin preliminary discrimination. J. Food Compos. Anal. 2019, 75, 8–16. [Google Scholar] [CrossRef]
- Pathare, P.B.; Opara, U.L.; Al-Said, F.A. Colour measurement and analysis in fresh and processed foods: A review. Food Bioprocess Technol. 2013, 6, 36–60. [Google Scholar] [CrossRef]
- Khoo, H.; Nagendra Prasad, K.; Kong, K.; Jiang, Y.; Ismail, A. Carotenoids and their isomers: Colour pigments in fruits and vegetables. Molecules 2011, 16, 1710–1738. [Google Scholar] [CrossRef] [PubMed]
- Xu, B.; Wei, B.; Ren, X.; Liu, Y.; Jiang, H.; Zhou, C.; Ma, H. Dielectric pretreatment of rapeseed 1: Influence on the drying characteristics of the seeds and physicochemical properties of cold-pressed oil. Food Bioprocess Technol. 2018, 11, 1236–1247. [Google Scholar] [CrossRef]
- Destaillats, F.; Angers, P. Thermally induced formation of conjugated isomers of linoleic acid. Eur. J. Lipid Sci. Technol. 2005, 107, 167–172. [Google Scholar]
- Amri, Z.; Lazreg-Aref, H.; Mekni, M.; El-gharbi, S.; Dabbaghi, O.; Mechri, B.; Hammami, M. Oil characterization and lipids class composition of pomegranate seeds. Biomed. Res. Int. 2017, 2017, 1–8. [Google Scholar] [CrossRef]
- Wen, X.; Zhu, M.; Hu, R.; Zhao, J.; Chen, Z.; Li, J.; Ni, Y. Characterisation of seed oils from different grape cultivars grown in China. J. Food Sci. Technol. 2016, 53, 3129–3136. [Google Scholar] [CrossRef]
- Moghimi, M.; Farzaneh, V. The effect of ultrasound pretreatment on some selected physicochemical properties of black cumin (Nigella Sativa). Nutrire 2018, 43, 1–8. [Google Scholar] [CrossRef]
- Cai, L.; Cao, A.; Aisikaer, G.; Ying, T. Influence of kernel roasting on bioactive components and oxidative stability of pine nut oil. Eur. J. Lipid Sci. Technol. 2013, 115, 556–563. [Google Scholar] [CrossRef]
- Fiedor, J.; Science, A.C. Potential role of carotenoids as antioxidants in human health and disease. Nutrients 2014, 6, 466–488. [Google Scholar] [CrossRef] [PubMed]
- Rombaut, N.; Savoire, R.; Thomasset, B.; Bélliard, T.; Castello, J.; Van Hecke, É.; Lanoisellé, J.L. Grape seed oil extraction: Interest of supercritical fluid extraction and gas-assisted mechanical extraction for enhancing polyphenol co-extraction in oil. Proc. Natl. Acad. Sci. USA 2014, 17, 284–292. [Google Scholar] [CrossRef]
- Koroleva, O.; Torkova, A.; Nikolaev, I.; Khrameeva, E.; Fedorova, T.; Tsentalovich, M.; Amarowicz, R. Evaluation of the antiradical properties of phenolic acids. Int. J. Mol. Sci. 2014, 15, 16351–16380. [Google Scholar] [CrossRef] [PubMed]
- Uddin, M.S.; Ferdosh, S.; Haque Akanda, M.J.; Ghafoor, K.; Rukshana, A.H.; Ali, M.E.; Kamaruzzaman, B.Y.; Fauzi, M.B.; Hadijah, S.; Shaarani, S.; et al. Techniques for the extraction of phytosterols and their benefits in human health: A review. Sep. Sci.Technol. 2018, 53, 2206–2223. [Google Scholar]
- Zhou, Y.; Fan, W.; Chu, F.; Pei, D. Improvement of the flavour and oxidative stability of walnut oil by microwave pretreatment. J. Am. Oil Chem. Soc. 2016, 93, 1563–1572. [Google Scholar] [CrossRef]
- Kittiphoom, S.; Sutasinee, S. Effect of microwaves pretreatments on extraction yield and quality of mango seed kernel oil. Int. Food Res. 2015, 22, 960–964. [Google Scholar]
- Đurđević, S.; Šavikin, K.; Živković, J.; Böhm, V.; Stanojković, T.; Damjanović, A.; Petrović, S. Improvement of supercritical CO2 and n-hexane extraction of wild growing pomegranate seed oil by microwave pretreatment. Ind. Crops Prod. 2017, 104, 21–27. [Google Scholar] [CrossRef]
- Fawole, O.A.; Opara, U.L. Seasonal variation in chemical composition, aroma volatiles and antioxidant capacity of pomegranate during fruit development. Afr. J. Biotechnol. 2013, 12, 4006–4019. [Google Scholar]
- Mphahlele, R.R.; Fawole, O.A.; Makunga, N.P.; Opara, U.L. Functional properties of pomegranate fruit parts: Influence of packaging systems and storage time. J. Food Meas. Charact. 2017, 11, 2233–2246. [Google Scholar] [CrossRef]
- Górnaś, P.; Rudzińska, M.; Segliņa, D. Lipophilic composition of eleven apple seed oils: A promising source of unconventional oil from industry by-products. Ind. Crops Prod. 2014, 60, 86–91. [Google Scholar] [CrossRef]
- Wang, H.; Hu, Z.; Wang, Y.; Chen, H.; Huang, X. Phenolic compounds and the antioxidant activities in litchi pericarp: Difference among cultivars. Sci. Hortic. 2011, 129, 784–789. [Google Scholar] [CrossRef]
- Samaram, S.; Mirhosseini, H.; Tan, C.P.; Ghazali, H.M. Ultrasound-assisted extraction (UAE) and solvent extraction of papaya seed oil: Yield, fatty acid composition and triacylglycerol profile. Molecules 2013, 18, 12474–12487. [Google Scholar] [PubMed]
- ISO. Animal and Vegetable Fats and Oils. In: ISO 3656: Determination of Ultraviolet Absorbance Expressed as Specific UV Extinction. International Organisation for Standardisation. 2011, pp. 1–8. Available online: https://www.iso.org/standard/51008 (accessed on 27 May 2020).
- Siano, F.; Straccia, M.C.; Paolucci, M.; Fasulo, G.; Boscaino, F.; Volpe, M.G. Physico-chemical properties and fatty acid composition of pomegranate, cherry and pumpkin seed oils. J. Sci. Food Agric. 2015, 96, 1730–1735. [Google Scholar] [PubMed]
- Khan, R.A.; Khan, M.R.; Sahreen, S.; Ahmed, M. Evaluation of phenolic contents and antioxidant activity of various solvent extracts of Sonchus asper (L.) hill. Chem. Cent. J. 2012, 6, 1–7. [Google Scholar] [CrossRef]
- Mphahlele, R.R.; Fawole, O.A.; Mokwena, L.M.; Opara, U.L. Effect of extraction method on chemical, volatile composition and antioxidant properties of pomegranate juice. S. Afr. J. Bot. 2016, 103, 135–144. [Google Scholar] [CrossRef]
Sample Availability: Samples of the pomegranate seed oil extracts are available from the authors. |
© 2020 by the authors. Licensee MDPI, Basel, Switzerland. This article is an open access article distributed under the terms and conditions of the Creative Commons Attribution (CC BY) license (http://creativecommons.org/licenses/by/4.0/).




